Трехфазный выпрямитель, работающий на активно-индуктивную нагрузку
РЕФЕРАТ
ПЗ: 39 страниц, 15 рисунков, 4 дополнения, 10
источников
Объект исследования - трехфазный выпрямитель,
работающий на активно-индуктивную нагрузку.
Цели проектирования - выбрать удовлетворительную
конструкцию трехфазного выпрямителя. Получить навыки расчета его основных
параметров.
Метод исследования - расчетно-аналитический за
методикой Ю.А. Исакова с использованием программ MathCAD,
Word и Компас.
Физические процессы, проходящие в выпрямителе
довольно сложные. Они могут быть описаны сложными нелинейными и
дифференциальными уравнениями. Использование электронно-вычислительных машин,
дали возможность применять более сложные и точные формулы. Реализация этих
возможностей требует разработки новых методов и создания новых формул.
Одной из важнейших задач силовой электроники
является преобразование переменного тока в постоянный ток. В работе рассмотрены
основные схемы трехфазных выпрямителей, проанализированы их достоинства и
недостатки. Для одной из выбранных схем произведен расчет ее основных параметров,
на основании которых выбрана элементная база, и произведена конструкторская
сборка прибора.
Ключевые слова: выпрямитель, диод, вентиль,
дроссель, мощность, ток, частота, преобразователь, трансформатор, пульсация,
проводимость, индуктивность.
СОДЕРЖАНИЕ
Реферат
Введение
1. Выбор
направления проектирования
1.1 Обзор
схемных решений
.1.1 Трехфазная
неуправляемая схема со средней точкой
1.1.2 Трехфазная
управляемая схема со средней точкой
.1.3 Трехфазная
мостовая управляемая схема
1.1.4 Трехфазный
мостовой несимметричный управляемый выпрямитель
.1.5 Трехфазная
мостовая схема (схема Ларионова)
1.1.6 Многомостовые
схемы
1.2 Обзор
конструктивных решений
1.3 Постановка
задачи
2. Принцип
работы схемы
3. Расчет
выпрямителя, работающего на активно-индуктивную нагрузку
. Конструкция
прибора
4.1
Расчет геометрических размеров кабелей
Выводы
Список
источников
Дополнение
А. Справочные данные диода
Дополнение
Б. Справочные данные дросселя
Дополнение
В. Справочные данные трансформатора
Дополнение
Г. Справочные данные фиксированных соединений
ВВЕДЕНИЕ
Электронные аппараты, отнесенные к устройствам
силовой электроники, используются в различных системах и источниках
электропитания, которые служат для преобразования электрической энергии с
одними параметрами в электрическую энергию с другими параметрами. Например,
преобразование переменного тока в постоянный (выпрямители); постоянного тока в
переменный (инверторы); переменного тока одной частоты в переменный ток другой
частоты (преобразователи частоты); постоянное напряжение (ток) одной величины в
постоянное напряжение (ток) другой величины (преобразователи напряжения
(тока)). Электронные устройства для фильтрации и стабилизации тока и напряжения
также относятся к устройствам силовой электроники. Все перечисленные выше устройства
объединяются названием преобразователи.
Методика проектирования преобразователей малой
мощности отличается от методики проектирования преобразователей большой
мощности, учитывая некоторые особенности этих устройств, но электромагнитные
процессы в них имеют тот же самый характер. Курсовой проект с дисциплины
«Основы силовой электроники» имеет целью получение практических навыков расчета
и применения преобразователей электрической энергии, разработка чертежей и
необходимой документации для дальнейшего применения расчетного объекта на
производстве.
1. ВЫБОР НАПРАВЛЕНИЯ
ПРОЕКТИРОВАНИЯ
1.1 Обзор
схемных решений
Схемы выпрямителей трехфазного тока применяются
в основном для питания потребителей средней и большой мощности.
Первичная обмотка трансформаторов таких
выпрямителей состоит из трех фаз и соединяется либо в звезду, либо в
треугольник. Вторичная обмотка трансформатора (их может быть несколько), также
трехфазная. С помощью специальных схем соединения вторичной обмотки и всего
выпрямителя, можно получить выпрямленное напряжение с числом пульсаций за
период mp
, кратным
трем. С возрастанием числа пульсаций в выпрямленном напряжении значительно
сокращаются габаритные размеры сглаживающих элементов фильтров, либо вообще
отпадает необходимость в них. Выпрямители трехфазного питания равномерно
нагружают сеть трехфазного тока и отличаются высоким коэффициентом
использования трансформатора.
Схемы выпрямителей трехфазного тока используются
для питания статических нагрузок активного и активно-индуктивного характера,
статических нагрузок с противоЭДС, а также динамических нагрузок в виде
электродвигателей постоянного тока. Последний вид нагрузки следует
рассматривать как противоЭДС с индуктивностью.
1.1.1 Трехфазная неуправляемая схема со средней
точкой
Составным элементом сложных схем выпрямителей
трехфазного тока является простая трехфазная схема с нулевым выводом,
предложенная Миткевичем.
А схеме не учитываются индуктивности рассеяния
обмоток трансформатора, что допустимо для выпрямителей малой мощности; предполагается
также, что вентили и трансформатор идеальны.
В идеализированной схеме коммутация
осуществляется мгновенно, т.е. в любой момент времени ток пропускает только
один вентиль, анод которого имеет наиболее высокий потенциал. Продолжительность
работы каждого вентиля
.
Выпрямленное напряжение и ток содержат трехкратные пульсации за период.
В трехфазном выпрямителе с нулевым
выводом имеет место явление вынужденного намагничивания сердечника
трансформатора. Магнитные потоки в сердечнике трансформатора, обусловленные
нескомпенсированными н.с. в стержнях, называют потоками вынужденного
намагничивания. Так как нескомпенсированные н.с. содержат постоянную и
переменную составляющие, то поток вынужденного намагничивания ФВ
содержит постоянную ФВ(0) и переменную Ф~ составляющие
при соединении первичной и вторичной обмоток трансформатора звездой. Потоки
вынужденного намагничивания составляют 20-25% от основного магнитного потока
трансформатора. В результате сердечник трансформатора насыщается, а в стальной
арматуре возникают тепловые потери за счет потока вынужденного намагничивания.
Для устранения дополнительных
потерь, вызванных переменной составляющей потока вынужденного намагничивания,
первичные обмотки трансформатора необходимо соединять в треугольник. При этом в
потоке вынужденного намагничивания остается только постоянная составляющая;
переменная же составляющая с явно выраженной третьей гармоникой, компенсируется
потоками, которые образуют токи высших гармонических с частотой, кратной трем,
содержащиеся в токах первичных обмоток трансформатора и замыкаются по контуру,
образованному этими обмотками. Расчетная мощность трансформатора при соединении
обмоток в треугольник не изменяется. Для устранения в сердечнике трансформатора
постоянной составляющей потока вынужденного намагничивания применяют
расщепление каждой вторичной обмотки на две части с последующим соединением
шести обмоток «зигзагом».
В выпрямителях трехфазного тока для
уменьшения переменной составляющей выпрямленного тока обычно последовательно с
нагрузкой включат индуктивный сглаживающий фильтр, индуктивность которого LH
имеет конечное значение.
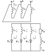
Рисунок 1.1 - Трехфазный выпрямитель
с нулевым выводом при активно-индуктивной нагрузке
При малых пульсациях кривой
выпрямленного тока данный режим работы выпрямителя практически мало отличается
от режима при активной нагрузке, поэтому может быть использована методика
расчета трехфазного выпрямителя с нулевым выводом при активной нагрузке.
С учетом индуктивностей рассеяния
обмоток трансформатора La¹0, LH=¥
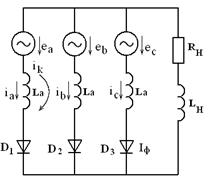
эквивалентная схема выпрямителя представлена на рисунке 1.2.
Рисунок 1.2 - Трехфазный выпрямитель
при ra=0, La¹0, LH=¥
1.1.2 Трехфазная управляемая схема со средней
точкой
В отличие от схемы неуправляемого выпрямителя
или управляемого, но работающего с углом a=0, в данном случае
управляющие импульсы приходят на тиристоры поочередно с задержкой на угол a
относительно моментов прохождения через нуль синусоид линейных напряжений
вторичных обмоток трансформатора. Моменты прохождения через нуль синусоид
линейного напряжения соответствуют точкам пересечения синусоид напряжений ua,
ub, uc.
При активно-индуктивной нагрузке
схема может работать в двух режимах: режим непрерывных токов, когда
(угол
регулирования a в трехфазных
выпрямителях принято отсчитывать от точки естественного отпирания вентилей) и
режим прерывистых токов
.
Прерывистость тока в цепи нагрузки зависит не только от диапазона изменения
угла регулирования a, но и от
соотношения параметров нагрузки Rн и Lн. Так же,
как и в однофазных схемах, кривая выпрямленного напряжения на интервале a может иметь отрицательные
значения, что объясняется возможностью вентиля пропускать ток при отрицательном
напряжении на обмотке данной фазы за счет накопленной энергии в магнитном поле
дросселя Lн. Если a
, непрерывный режим тока имеет место
при любых соотношениях Rн и Lн и ничем не
отличается от случая активной нагрузки для тех же a
. В случае дальнейшего увеличения
угла регулирования, непрерывный режим тока сохраняется только при значительном
преобладании индуктивности Lн (
. Для (
без больших
погрешностей можно считать ток нагрузки идеально сглаженным.
Для исключения отрицательных
участков в кривой выпрямленного напряжения и улучшения коэффициента мощности
выпрямителя в схему вводится нулевой вентиль Д0, шунтирующий нагрузку.
Рисунок 1.3 - Трехфазный управляемый
выпрямитель со средней точкой (LH=¥)
Ток через нулевой вентиль при
активно-индуктивной нагрузке поддерживается за счет ЭДС самоиндукции нагрузки и
протекает за интервал времени π/6 (рисунок 1.3). При этом
напряжение на нагрузке в интервале времени π/6 равно
нулю, а тиристоры В1, В2, В3 заперты.
1.1.3 Трехфазная мостовая управляемая схема
Трехфазный управляемый мостовой выпрямитель
(рисунок 1.4) широко применяется в преобразовательных установках.
Рисунок 1.4 - Трехфазный управляемый мостовой
управляемый выпрямитель при активно-индуктивной нагрузке
Для управляемых выпрямителей закономерность
изменения внешней характеристики зависит от величины угла регулирования aПо
этому для таких выпрямителей обычно строят семейство внешних характеристик Uср=f(Iср)a=const
при
различных значениях угла a. При выводе этих зависимостей для
трехфазного мостового выпрямителя с активно-индуктивной нагрузкой пренебрегают
потерями в вентилях и обмотках трансформатора, находящихся в контурах
коммутации, учитываются лишь индуктивности рассеяния обмоток трансформатора Lа,
а также полагая, что в цепи нагрузки величина индуктивности LH=¥.
При таких упрощенных условиях ток в цепи
нагрузки получается идеально сглаженным и неизменным по величине, а ток
коммутации зависит лишь от величины индуктивности Lа
и
закономерности изменения ЭДС обмоток трансформатора, находящихся в контурах
коммутации.
1.1.4 Трехфазный мостовой несимметричный
управляемый выпрямитель
Трехфазный мостовой управляемый выпрямитель
может быть выполнен и по несимметричной схеме (три тиристора В1, В3, В5 и три
диода Д4, Д6, Д2, рисунок 1.5). Несимметричная схема широко применяется в
выпрямителях небольшой мощности.
Особенностью работы схемы при
активно-индуктивной нагрузке в диапазоне регулирования (
) является
то, что при снятии сигнала управления не удается обеспечить запирание всех
тиристоров. При снятии сигнала управления происходит запирание двух тиристоров,
а третий остается открытым за счет ЭДС самоиндукции нагрузки и через него
протекает ток нагрузки. Это приводит к снижению диапазона регулирования
напряжения и ухудшению использования вентилей по току.
Для повышения эффективности в схему
вводят нулевой вентиль Д0, шунтирующий нагрузку, через который разряжается
индуктивность нагрузки, не препятствуя запиранию тиристоров.

Это позволяет реализовать полный
диапазон регулирования выпрямленного напряжения. Если угол регулирования a
, нулевой вентиль Д0 все время
заперт и необходимость в нем отпадает.
1.1.5 Трехфазная мостовая схема (схема
Ларионова)
Широкое применение в преобразовательной технике
находит трехфазный мостовой выпрямитель (схема Ларионова). Схема выпрямителя
содержит выпрямительный мост, состоящий из шест диодов Д1…Д6. В мостовой схеме
ток одновременно пропускают два вентиля: один - с наиболее высоким потенциалом
анода относительно нулевой точки трансформатора из катодной группы вентилей, а
другой - с наиболее низким потенциалом катода из анодной группы вентилей. Иными
словами в проводящем состоянии будут находиться те два накрест лежащих диода
выпрямительного моста, между которыми действует в проводящем направлении
наибольшее линейное напряжение.
Интервал проводимости каждого вентиля составляет
,
а интервал совместной работы двух диодов равен
.
Таким образом, выпрямленное напряжение имеет шестифазные пульсации. Схема
работает в шесть тактов в связи с чем, ее часто называют шестипульсной. Кривая
выпрямленного напряжения ud
состоит из участков линейных напряжений вторичных обмоток трансформатора.
Рисунок 1.6 - Трехфазная мостовая схема
выпрямителя на неуправляемых вентилях
В мостовом выпрямителе нет вынужденного
намагничивания сердечника трансформатора, так как ток во вторичной обмотке
протекает за период дважды, причем в противоположных направлениях. Для
уменьшения амплитуды пульсаций выпрямленного тока обычно последовательно с
нагрузкой включат индуктивный сглаживающий фильтр, индуктивность которого LH
имеет конечное значение.
В настоящее время, когда в основном применяются
силовые полупроводниковые вентили, схема Ларионова получила широкое применение
вследствие ее хороших технико-экономических показателей: эффективного
использования трансформатора, малой величины обратного напряжения на вентиле,
сравнительно малого коэффициента пульсаций, высокого КПД и др. Следует
упомянуть, что для схемы Ларионова все электрические параметры рассчитываются,
когда mp=6.
1.1.6 Многомостовые схемы
Среди группы мостовых схем можно выделить
многомостовые схемы с одним трансформатором и многомостовые с двумя и более
трансформаторами, имеющими разные группы соединения обмоток. Основное
назначение многомостовых схем - это уменьшение пульсаций выпрямленного
напряжения и улучшение формы тока, потребляемого из питающейсети, приближение
ее к синусоидальной.
На рисунке 1.5 представлены два варианта
двухмостовых схем. Первая схема состоит из трехобмоточного трансформатора,
соединенного по схеме «звезда/звезда-треугольник», и двух трехфазных мостов.
Вторая схема имеет два двухобмоточных трансформатора, один из которых соединен
по схеме «звезда/звезда», а другой - по схеме «треугольник-звезда», и два
трехфазных моста.
В обеих схемах вторичные напряжения
трансформаторов сдвинуты по фазе на угол
.
Рисунок 1.7 - Трехфазные двухмостовые
выпрямители с параллельным соединением мостов: а) - с одним трансформатором; б)
- с двумя трансформаторами
Обе схемы работают аналогично. Рассмотрим работу
схемы с двумя трансформаторами. В связи с тем, что первичные обмотки
трансформаторов Тр1 и Тр2 имеют разные схемы соединений,
выпрямленное напряжение одной схемы ud1
будет иметь пульсации, сдвинутые по фазе на угол
относительно
пульсаций выпрямленного напряжения другой схемы (рисунок 1.7). Для уравнивания
мгновенных значений выпрямленных напряжений параллельное соединение мостов
производят через уравнительный реактор УР. В результате суммарное напряжение на
нагрузке будет иметь пульсации, частота которых в 2 раза выше частоты пульсаций
каждой из схем. В данном случае каждая мостовая схема имеет шесть пульсаций за
период, а суммарное напряжение будет иметь 12 пульсаций за период. Поэтому
данную схему иногда называют 12-фазной. Разность мгновенных напряжений
воспринимается уравнительным реактором, две обмотки которого расположены на
одном магнитопроводе.
Рисунок 1.8 - Диаграммы токов и напряжений
двухмостового неуправляемого выпрямителя
1.2 Обзор конструктивных решений
Выпрямителем называется статический
преобразователь электрической энергии переменного тока в электрическую энергию
постоянного тока. Такой преобразователь представляет собой электрический
агрегат, силовая часть которого состоит, в общем, из следующих основных узлов
(рисунок 1.6):) Трансформатора Тр;
b) Блока полупроводниковых элементов V;) Выходного
фильтра Ф.
Рисунок 1.9 - Структурная схема выпрямителя
Выпрямители обычно классифицируют:
· По мощности;
· По напряжению;
· По числу фаз первичной обмотки
трансформатора;
· По схеме выпрямителя;
· По способу регулирования выходного
напряжения.
Классификация выпрямителей по мощности и
напряжению весьма условна. Обычно по мощности выделяют выпрямители: маломощные
- до 1 кВт, средней мощности - до 100 кВт и мощные - свыше 100 кВт, а по
напряжению: низкого - до 250 В, среднего - до 1000 В и высокого - свыше 1000 В.
По числу фаз первичной обмотки трансформатора
выпрямители делятся на однофазные и трехфазные.
Под схемой выпрямителя, как правило, понимают
схему соединения полупроводниковых элементов и трансформатора.
По схеме выпрямления различают выпрямители:
· С одним диодом (однофазный однополупериодный);
· Со средней точкой (однофазный двухполупериодный
и трехфазный);
· Мостовые.
Отдельно выделяют класс выпрямителей с
многофазной схемой выпрямителя (шесть, двенадцать и более фаз вторичной обмотки
трансформатора). Однако изготовление многофазных трансформаторов связано с
конструктивными и технологическими трудностями, поэтому в большинстве случаев
многофазные схемы получают путем последовательного или параллельного включения
трехфазных выпрямителей, имеющих разные схемы соединения обмоток
трансформаторов. Такие схемы называю многофазными эквивалентными или
комбинированными.
Основные эксплуатационные характеристики
выпрямителей:
) Среднее значение выпрямленного напряжения и
тока (Ud,Id);
2) Коэффициент полезного действия (КПД), (η);
) Коэффициент мощности (χ);
) Внешняя характеристика выпрямителя -
зависимость Ud=f(Id);
) Регулировочная характеристика для
управляемых выпрямителей Ud=f(
),
где
-
угол управления (регулирования);
) Коэффициент пульсаций:
(1.1)
где q - номер
гармоники,
Um - амплитуда
напряжения.
1.3 Постановка задачи
Необходимо рассчитать и спроектировать
выпрямитель, работающий на активно-индуктивную нагрузку.
Дано:- среднее выпрямленное напряжение, Ud=50
В;- средний выпрямленный ток, Id=10 А;- напряжение трехфазной питающей сети,
U1=127 В;с - частота питающей сети, fс=50 Гц.
Необходимо выполнить:
выбрать схему выпрямителя;
- выполнить ее расчет;
произвести подбор элементов для
устройства;
спроектировать конструкцию устройства;
сборочный чертеж и чертеж печатной
платы.
активный индуктивный трехфазный
выпрямитель
2. ПРИНЦИП РАБОТЫ СХЕМЫ
Рассмотрим трехфазный мостовой выпрямитель
(рисунок 1.4) схемы Ларионова. Временные диаграммы приведены на рисунке 2.1.
В схеме последовательно соединены две трехфазные
выпрямительные группы: анодная Д2, Д4, Д6 и катодная Д1, Д3, Д5, каждая из
которых повторяет работу трехфазной схемы с нулевым выводом. Следовательно, при
таком же значении ЭДС вторичной обмотки трансформатора Е2, как и в
трехфазной схеме с нулевым выводом, данная схема имеет среднее выпрямленное
напряжение Uср
в два раза больше, или, наоборот, при том же значении Uср
ЭДС в два раза меньше.
Из катодной группы в открытом состоянии будет
находиться тот из диодов, напряжение анода которого имеет положительную
полярность относительно нулевого вывода и наибольшую величину по сравнению с
другими диодами. Из анодной группы открытое состояние принимает тот из
вентилей, напряжение катода которого в данный момент является наибольшим и
имеет отрицательную полярность. Таким образом, выпрямленное напряжение имеет
шестифазные пульсации, хотя продолжительность работы каждого вентиля осталась
такая же, как и в трехфазной схеме с нулевым выводом.
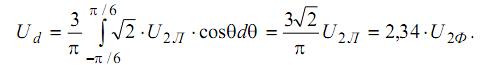
Среднее значение выпрямленного напряжения находят
по среднему значению Ud за период повторяемости
(заштрихованный
участок на рисунке 2.1):
(2.1)
Напряжение на нагрузке по сравнению с трехфазной
схемой с нулевым выводом получается вдвое больше.
Рисунок 2.1 - Временные диаграммы токов и
напряжений трехфазной мостовой схемы (LH=¥)
Это объясняется тем, что трехфазная мостовая
схема представляет собой как бы две трехфазные схемы с нулевым выводом, выходы
которых включаются последовательно. При заданном напряжении Ud здесь
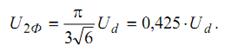
требуется вдвое меньшее напряжение U2:
(2.2)
Коэффициент пульсаций по первой гармонике:
(2.3)
Поскольку период повторяемости кривой Ud равен
,
трехфазная мостовая схема эквивалентна шестифазной в отношении коэффициента
пульсаций и частоты ее первой гармоники, то есть m=6,
Таким образом, амплитуда первой гармоник
пульсации составляет 5,7% от напряжения Ud против 25% для трехфазной
схемы с нулевым выводом. Частота первой гармоники 300 Гц, второй - 600 Гц и так
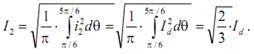
далее. Ток нагрузки из-за наличия в ней индуктивности сглажен:
(2.4)
Поскольку каждый вентиль проводит ток в течение
трети периода, среднее значение анодного тока
(2.5)
Кривые токов вентилей показаны на рисунке 2.1.
При открытом состоянии двух вентилей
выпрямительного моста другие четыре вентиля закрыты, приложенным к ним обратным
напряжением, максимальное значение которого:
(2.6)
Таким образом, вентили в трехфазной мостовой
схеме следует выбирать на напряжение близкое к Ud.
Кривая тока вторичной обмотки трансформатора
определяется токами двух вентилей, подключенных к данной фазе. Один из вентилей
входит в анодную группу, а другой в катодную. Так, например, ток i2a
состоит
из токов вентилей Д1 и Д4. Вторичный ток является переменным, имеет форму
прямоугольных импульсов с амплитудой Id
и паузой между импульсами длительностью
,
когда оба вентиля фазы закрыты. Постоянная составляющая во вторичном токе
отсутствует, в связи с чем, магнитный поток вынужденного намагничивания
магнитопровода трансформатора в мостовой схеме не создается. Действующее
значение тока вторичной обмотки определяется как:
(2.7)
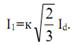
Ток первичной обмотки трансформатора:
i1=k*i2 (2.8)
где k=w2/w1;
Действующее значение:
(2.9)
Первая гармоника потребляемого тока, как и во
всех неуправляемых выпрямителях, совпадает по фазе с напряжением питания.
Расчетные мощности:
(2.10)
. РАСЧЕТ ВЫПРЯМИТЕЛЯ, РАБОТАЮЩЕГО НА
АКТИВНО-ИНДУКТИВНУЮ НАГРУЗКУ
Исходные данные:- среднее выпрямленное
напряжение, Ud=50 В;- средний выпрямленный ток, Id=10 А;- напряжение трехфазной
питающей сети, U1=127 В;с - частота питающей сети, fс=50 Гц.
1. На основании значений выпрямленного тока и
напряжения, а также для уменьшения размеров трансформатора и фильтра,
уменьшения потребляемой из сети мощности выбираем схему Ларионова с соединением
обмоток звезда-звезда.
2. Из таблицы 19.2 [1]
определяем:
В (4.1)
A (4.2)
По вычисленным значениям Uобр.макс и Ia выбираем в
качестве вентилей кремниевые диоды типа КД202Г (шесть диодов по одному в плече
моста).
3. Активное сопротивление фазы трансформатора:
(4.3)
где значение Kr берется из таблицы
19.3 [1] для случая индуктивной нагрузки, коэффициент Kr=2.5.
4. Индуктивность рассеяния обмоток
трансформатора:
(4.4)
где значение KL
берется из таблицы 19.3 [1] для случая индуктивной нагрузки, коэффициент KL=1.0*10-3.
. Падение напряжения на вентилях в схеме
В. (4.5)
6. Напряжение холостого хода с учетом
сопротивления фазы выпрямителя rтр
и падения на дросселе ΔUдр:
(4.6)
где ΔUдр =(0,1…0,05)Ud
для Pd
=(100…1000)Вт,
Pd =Id* Ud =10*50=500
Вт (4.7)
Уточненное значение обратного
напряжения на вентиле:
(4.8)
7. По таблице 19.2 [1] определяем параметры
трансформатора:
(4.9)
(4.10)
(4.11)
(4.12)
(4.13)
8. Угол коммутации:
(4.14)
Следовательно,
γ=arcos 0,963
=160.
9. Минимально допустимая индуктивность дросселя
фильтра:
(4.15)
10. Внешняя характеристика выпрямителя
представляет собой прямую линию. Она строится по двум точкам: Id=0;
Ud=Uср.х.х.
(холостой
ход) и Id,
Ud (номинальная
нагрузка). Внешняя характеристика представлена на рисунке 3.1.
Рисунок 3.1 - Внешняя характеристика выпрямителя
. Внутреннее сопротивление выпрямителя:
(4.16)
12. КПД выпрямителя:
(4.17)
где
(4.18)
(4.19)
4. КОНСТРУКЦИЯ ПРИБОРА
.1 Расчет геометрических размеров кабелей
Для определения площади поперечного сечения
кабеля, находящегося под напряжением, исходя из величины тока и удельной
плотности тока (для проводов из меди J=0,9~1.2
A/мм2
, из алюминия J=0,7~0.9
A/мм2),
используем следующую формулу:
(4.20)
где q1
-
поперечное сечение кабеля, мм2;
I1
- максимальный рабочий ток проводника, А;
J - Допустимая
плотность тока, A/мм2.
Для расчета выберем удельную плотность тока J=0,9
A/мм2
(медь), максимальный рабочий ток I1
=1,65
А.
Площадь поперечного сечения q1=3,056 мм2.
(4.21)
Диаметр шины равный d=1,972мм.
Согласно каталогу, номинальный диаметр до d=2 мм.
В ходе расчета трехфазного
неуправляемого мостового выпрямителя, соединенного по схеме «звезда-звезда»,
было выбрано необходимое оборудование: диоды, дроссель, фиксированные
соединения и трансформатор.
Размер печатной платы 140×175
мм,
ширина 3 мм, материал - невоспламеняющийся стеклянный ламинат, с покрытием
СОНФ-2 (ДСТУ 12652-74), толщиной 50 мкм. Масса
печатной платы - 0,4 кг. Элементы спайки ПОС61 ДСТУ
21931-76.
Тип сборки - печатный. Крепление элементов
выполнено в подвесном монтаже, штепсель связан гибким соединенным проводом с
изоляцией (ТУ 16-505.083-78).
Все элементы печатной карты связаны медными проводами, диаметром 2 мм. Карта
может располагаться на роликовых опорах.
Для схемы были выбраны шесть диодов типа КД202Г,
дроссель Д201T, трансформатор ТПП
273-127/220-50 и фиксированные соединения типа Б-324-4. Монтаж произведен на
печатной плате, размером 140×175 мм,
толщина 3 мм з невоспламеняющегося стеклянного ламинита.
Обобщенный показатель технико-экономической
эффективности конструкции дросселей серии Д представляет собой отношение
величин Э/Р, где Р - мощность, ВА; Э - масса, кг; объем, см3, или
стоимость. Минимизация этого отношения является задачей оптимального
конструирования.
ВЫВОД
В результате выполнения данного курсового
проекта, был исследован трехфазный выпрямитель, работающий на
активно-индуктивную нагрузку.
Выпрямителем называется статический
преобразователь электрической энергии переменного тока в электрическую энергию
постоянного тока. Основными элементами выпрямителя являются трансформатор и
вентили, с помощью которых обеспечивается одностороннее протекание тока в цепи
нагрузки, в результате чего переменное напряжение преобразуется в пульсирующие.
Трехфазные выпрямители применяются в основном
для потребителей средней и большой мощности. Они равномерно нагружают сеть и
отличаются высоким коэффициентом использования трансформатора. Такие схемы
применяются для питания статических нагрузок активного и активно-индуктивного
характера, статических нагрузок с противоЭДС.
Учитывая заданные параметры выпрямителя с целью
получения оптимальной конструкции выпрямителя, была выбрана трехфазная мостовая
схема выпрямителя, или схема Ларионова. Для схемы был произведен расчет ее
основных параметров, с целью выбора оборудования для устройства.
Выпрямитель звезда-Ларионов (шестипульсный)
применяется в генераторах электроснабжения бортовой сети почти на всех
средствах транспорта (автотракторных, водных, подводных, воздушных и др.). В
электроприводе дизельэлектровозов и дизельэлектроходов почти вся мощность
проходит через выпрямитель звезда-Ларионов. Его широкое применение связано с
хорошими технико-экономическими показателями: эффективное использование
трансформатора, большой КПД, низкий коэффициент пульсации, низкая стоимость
вентилей. Важная особенность схемы Ларионова - отсутствие вынужденного
намагничивания сердечника трансформатора, поскольку ток дважды за период меняет
свое направление.
СПИСОК ИСТОЧНИКОВ
1. Исаков
Ю.А. и др. Основы промышленной электроники. - К.: Техника, 1976.-554с.
2. Справочник
конструктора РЭА / Под ред. Варламова Р.Г. - М.: Радио и связь, 1985.-354с.
3. Варламов
Р.Г. Компоновка радиоэлектронной аппаратуры. - М.: Советское радио, 1975.-352с.
4. Лярский
В.Ф., Мурадян О.Б. Электрические соединители: Справочник. - М.: Радио и связь,
1988.-272с.
5. Электрические
кабели и провода, шнуры: Справочник / Под ред. Белоруссова И.И. - М.:
Энергоатомиздат, 1987.-536с.
6. Сидоров
Н.Н. и др. Малогабаритные трансформаторы и дроссели: Справочник. - М.: Радио и
связь, 1985.-540с.
7. Усатенко
С.Т. и др. Выполнение электрических схем по ЕСКД: Справочник. - М.:
издательство стандартов, 1989.-325с.
8. Диоды:
Справочник / Под ред. Григорьева О.П. и др. - М.: Радио и связь, 1990.-335с.
9. Полупроводниковые
приборы. Диоды выпрямительные, стабилитроны, тиристоры: Справочник / Под ред.
Голомедова А.В. - М.: Радио и связь, 1983.-523с.
10.Янковенко
В.С. и др. Расчет и конструирование элементов электропривода. - М.:
Энергоатомиздат, 1987.-320с.
ПРИЛОЖЕНИЕ А
Справочные данные диода
Согласно рассчитанным параметрам Uобр.макс.=73
В и Id=1.65A
я выбрал в качестве вентилей кремнёвый диод типа КД202Г.
Основные параметры диода КД202Г:
Среднее за период значение прямого тока
диода: 3.5 А;
- Наибольшее мгновенное значение
обратного напряжения диода: 100 В;
Наибольшее постоянное обратное
напряжение диода: 70 В;
Постоянный прямой ток диода: 9 А;
Максимально допустимая частота: 0.005
МГц;
Постоянное прямое напряжение диода: 0.9
В;
Диапазон рабочих температур: -60..+300.
Изобразим конструкцию диода:
Рисунок A
- Выпрямительный диод типа KD202Г.
ПРИЛОЖЕНИЕ Б
Справочные данные дросселя
Согласно расчетным параметрам
минимальной доступной индуктивности дросселя фильтра Lдр.min=
и тока
намагничивания I=3,2A я выбрал
дроссель типа D201T.
Главные параметры этого дросселя:
магнитопровод: ШЛ 5х5;
масса 40 г.
Индуктивность и номинальный ток:
- При параллельном соединении обмоток: 0,00015
Гн/3,2 А;
- При последовательном соединении
обмоток: 0,0002 Гн/1,6 А ;
Изобразим структуру данного дросселя:
Рисунок Б - Дроссель типа Д201T
Размеры дросселя:
A=12мм
h=4мм=25мм
L=29мм=14мм
d=M2,5
H=27,5мм
ПРИЛОЖЕНИЕ В
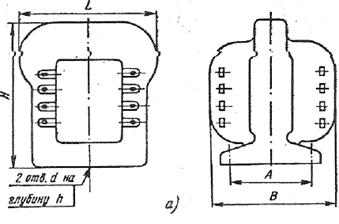
Справочные данные трансформатора
Согласно рассчитанным данным, я
выбрал трансформатор типа ТПП 273-127/220-50. Электрические параметры
трансформатора:
U1 = 220V -
напряжение первичной обмотки
U2 = 127V -
напряжение вторичной обмотки
I = 12A - входной
ток
P = 960 Вт -
мощность
f=50 Гц -
частота
Габаритные размеры:
A = 50 мм=
81 мм= 92 мм=
10 мм
= 88 мм
d = M5
Рисунок В - Строение трансформатора типа ТПП
273-127/220-50
ПРИЛОЖЕНИЯ Г
Справочные данные фиксированных соединений
Рисунок D
- Структура фиксированных соединений