Технологические испытания оборудования электрических станций

  • Вид работы:
    Курсовая работа (т)
  • Предмет:
    Физика
  • Язык:
    Русский
    ,
    Формат файла:
    MS Word
    5,49 Мб
  • Опубликовано:
    2012-10-12
Вы можете узнать стоимость помощи в написании студенческой работы.
Помощь в написании работы, которую точно примут!

Технологические испытания оборудования электрических станций

Содержание

Введение

I. Составление программы испытаний турбогенератора

1.1 Испытание повышенным напряжением частоты 50 Гц

1.2 Испытание изоляции обмотки повышенным выпрямленным напряжением

1.3 Определение характеристик генератора

II.Определение работоспособности промежуточного реле с катушкой из медного провода

III. Выбор реле максимального напряжения и добавочного термостабильного резистора для термокомпенсации

IV. Определение начальной температуры обмотки статора электрической машины

V. Расчет намагничивающей и контрольной обмоток для

испытания стали статора

Заключение

Библиографический список источников информации

Введение

Одним из основных параметров работы любой электростанции и энергосистемы является непрерывность выработки энергии и снабжение ею потребителей. Непрерывность выработки энергии обеспечивается высокой надежностью всего энергетического (вспомогательного и основного), силового и слаботочного оборудования. Поэтому абсолютно все оборудование электростанции подвергается периодическим ремонтам и испытаниям. Периодичность этих работ строго регламентируется ПТЭ и Нормами испытаний. Ни одно оборудование на электростанции не может быть включено в работу, если срок его безремонтной работы и испытаний истек. В данной курсовой работе составляется программа испытаний турбогенератора, определяется работоспособность промежуточного реле, выбирается реле максимального напряжения и добавочный термостабильный резистор, определяется начальная температура обмотки статора, а также производится расчет намагничивающей и контрольной обмоток для испытания стали статора.

I. Составление программы испытаний турбогенератора

Основные параметры генератора:

электрический турбогенератор испытание статор

Тип турбогенератора

ТВВ-200-2

Мощность номинальная

235 МВА / 200 МВт

Напряжение статора, номинальное

15,75 кВ

Ток статора, номинальный

8625 А

Ёмкость одной фазы статора относительно земли и двух других заземленных фаз

0,13 мкФ

Система возбуждения

Индукторная, ВТ-4000-2У3

Сопротивление обмотки ротора, при 15 ºС

0,0878 Ом

Система охлаждения статора

Непосредственное, водой

Система охлаждения ротора

Непосредственное, водородом


1.1 Испытание повышенным напряжением частоты 50 Гц

Условия проведения испытаний:

ü схема статорной обмотки генератора разобрана, каждая фаза испытывается отдельно, две другие фазы закорочены и заземлены;

ü  обмотка генератора очищена от грязи, промыта и просушена;

ü в системе охлаждения и по обмотке циркулирует дистиллят с удельным сопротивлением не ниже 75 кОм/см. Расход дистиллята номинальный;

ü испытания проводятся в тёмное время суток при потушенном общем освещении машинного зала и включенном местном освещении. На последнем этапе местное освещение также отключается для наблюдения за коронированием обмотки статора;

Схема испытании приведена на рисунке 1.1.

Испытательное напряжение вычисляется по формуле:



где - номинальное напряжение генератора;

.

Схема подключается на линейное напряжение, в котором меньше, чем в фазном высших гармоник, а следовательно, меньше возможность искажения синусоиды испытательного напряжения.

Перед началом испытаний необходимо отрегулировать пробивное напряжение разрядника FV на 110% испытательного напряжения :


Испытательная схема отключается от объекта испытаний, и испытательное напряжение поднимается на холостом ходу. Устанавливается заданное напряжение 30,36 кВ, и шары разрядника сближаются до возникновения пробоя.

Испытательное напряжение снижается до 50% и вновь поднимается до возникновения пробоя: напряжение пробоя разрядника должно быть в пределах (1,05-1,1) , то есть 28,98-30,36 кВ. Контрольный пробой шарового разрядника FV производится трижды подъёмом напряжения с

1.2 Проведение испытаний повышенным напряжением частоты 50 Гц.

Напряжение поднимается с нуля плавно, со скоростью около 2 %/с-0,38 кВ/с. Следовательно вся процедура подъёма напряжения будет длится около 1-2 мин.

В процессе подъёма напряжения необходимо прослушивать генератор на предмет возникновения потрескивания или шипения частичных разрядов. Одновременно необходимо наблюдать за обмоткой- не появится ли тление или искрение на поверхности обмотки.

В процессе подъёма напряжения необходимо делать промежуточные отсчеты по вольтметрам и индикатору частичных разрядов. В случае расхождения в показаниях вольтметра или резкого возрастания показаний индикатора частичных разрядов подъём напряжения следует прекратить и немедленно выяснить причину ненормальности.

При достижении полного испытательного напряжения  оно выдерживается в течение 1 мин и плавно снижается до номинального напряжения


На номинальном напряжении в течение 5 мин изоляция проверяется визуально, для чего желательно полностью выключить освещение в машинном зале при соблюдении мер безопасности.

При этом не должно наблюдаться сосредоточенное в отдельных точках свечение жёлтого и красного цвета, дым, тление бандажей и т.п.

Голубое и белое свечение допускается. По выполнению наблюдений коронирования обмотки напряжение плавно снижается до нуля, обмотка разряжается и заземляется. Освещение машинного зала включается.

Поочерёдно испытываются все три фазы обмотки статора.

Необходимое оборудование:

ü испытательная установка высокого напряжения согласно схеме на рисунке 1.1;

ü  секундомер пружинный с ценой деления 0,2 с;

ü  разрядно-заземляющая штанга;

ü  температура обмотки принимается как среднее значение показании штатного термоконтроля статора.

Рисунок 1 - Схема установки для испытания генератора повышенным напряжением промышленной частоты 50 Гц


-   Снятие характеристики трехфазного короткого замыкания (КЗ).

Условие проведения испытаний закоротки, устанавливаемые при снятии характеристики трёхфазного замыкания, должны быть рассчитаны на длительное протекание номинального тока генератора.

Характеристика КЗ в пределах не менее полуторократного номинального тока статора имеет прямолинейный характер, поэтому достаточно снять 4-5 точек характеристики до .

Если определение характеристики КЗ генератора не сопровождается изменением его потерь, то поддержание номинальной частоты вращения не обязательно.

Характеристика снимается при постепенном увеличении тока ротора и одновременной записи, установившихся значений на каждой ступени тока ротора и тока во всех фазах статора.

Отклонение характеристики КЗ, снятой при испытании, от заводской должно находиться в пределах допустимых погрешностей измерений. Обращается особое внимание на то, чтобы характеристика стремилась к началу координат. В противном случае делаются повторные испытания, и если результат повторяется, то делается предположение о наличии витковых замыканий в обмотке ротора. В этом случае включение машины в работу не допускается.

-   Снятие характеристики холостого хода генератора (ХХ).

Перед подъёмом напряжения на генераторе для снятия характеристики измеряют остаточное напряжение на генераторе при разомкнутой обмотке ротора.

Для снятия характеристики холостого хода генератора производится плавный подъём напряжения до заданной величины при номинальной скорости вращения. Обычно напряжение на генераторе поднимается до 115% от номинального.

Испытательное напряжение, кВ,


Во время проведения пусковых испытаний генератора снятие характеристики холостого хода совмещают с проверкой витковой изоляции. Для этого напряжение на генераторе поднимается до напряжения, соответствующего номинальному току ротора, но не ниже 130% номинального напряжения.

Продолжительность такого испытания - 5 мин.

Испытательное напряжение, кВ,


Снижая напряжение на генераторе, снимают основные точки характеристики. Последняя точка снимается при отключенном токе возбуждения. Всего снимают 10-15 точек примерно на равных интервалах напряжения. Полученную характеристику холостого хода смещают на Di0.

Отсчет показаний приборов производится только при установившихся параметрах одновременно на всех приборах по команде руководителя испытаний или наблюдателя, измеряющего ток ротора. Как отсчет, так и запись показаний приборов производится в делениях шкалы с указанием предела измерения.

После окончания измерений до разбора схемы необходимо построить характеристику и убедиться в отсутствии большого числа сомнительных точек, затрудняющих построение характеристики.

Для получения характеристики холостого хода в области повышенного напряжения, без значительного повышения напряжения на генераторе, ее снимают при пониженной скорости вращения с последующим пересчетом по формуле


где UНОМ - напряжение при номинальной скорости вращения;

nНОМ - номинальная скорость вращения;

n1 - скорость вращения, при которой производились измерения.

Одновременно со снятием характеристики холостого хода при проведении пуско-наладочных испытаний проверяют симметрию напряжения. Для этого при установившемся режиме, близком к номинальному, измеряются напряжения между тремя фазами. Измерение производится одним вольтметром, что повышает точность измерения. Несимметрия напряжения DU определяется отношением разности между наибольшим UMAX и наименьшим UMIN измеренными напряжениями к среднему его значению линейного напряжения UСР:


Коэффициент несимметричности не должен превышать 5 %.

По характеристике холостого хода определяется ток ротора, соответствующий номинальному напряжению генератора на холостом ходу. Он должен соответствовать расчетному значению. Если ток ротора выше расчетного, то следует искать ошибки в расчетах или монтаже (увеличенный воздушный зазор или неправильная установка ротора по высоте, отклонения в качестве стали).

Измерительная аппаратура и оборудование:

ü вольтметр класса 0,5 или 0,2, подключающийся через «вольтметровый ключ», позволяющий в процессе испытаний быстро переключать вольтметр на другие линейные напряжения;

ü  частотомер с пределами 45-55 Гц, а для снятия характеристики холостого хода при пониженной частоте- частотомер с низким пределом измерения 40Гц;

ü  милливольтметр класса 0,2, подключенный к штатному или специально установленному в цепи ротора шунту класса 0,2.

Рисунок 2 - Схема снятие характеристик трехфазного короткого замыкания и холостого хода

II. Определение работоспособности промежуточного реле с катушкой из медного провода

Таблица 1 - Исходные данные

Номинальное напряжение реле, , В220


Минимальное напряжение срабатывания реле, , В165


Сопротивление катушки реле при 20 ºС, , Ом10000


Максимальная температура реле , , ºС80


Номинальное напряжение сети постоянного тока, , В220



Минимальное напряжение сети оперативного постоянного тока, при котором схема должна работать, В:

 .

Минимальный ток срабатывания реле, А:


Сопротивление обмотки реле при максимальной температуре 80 ºС, Ом:


Ток в горячей обмотке реле с сопротивлением 13352,9 Ом при возможном минимальном напряжении в сети постоянного тока, А:

.

Заключение о работоспособности реле.


Так как ток в обмотке реле в самом тяжёлом режиме  меньше минимального тока срабатывания реле , то можно сделать вывод о невозможности применения исследуемого реле в данных условиях.

III. Выбор реле максимального напряжения и добавочного термостабильного резистора для термокомпенсации

Таблица 2 - Исходные данные

Требуемое напряжение срабатывания реле, Uмср, В

55

Допустимая погрешность срабатывания, %

2

Диапазон изменения температуры реле, ºС

10 - 30


Изменение сопротивления обмотки реле, % ,


В заданном диапазоне температур сопротивление обмотки реле, а следовательно и напряжение срабатывания изменяются на 8%. Для решения поставленной задачи необходимо применить схему, в которой ток, протекающий через реле не зависел бы от температуры реле.

ü напряжение срабатывания Uср=6,4 В;

ü  сопротивление обмотки реле при 20ºС R20=2400 Ом.

Все остальное напряжение 55-6,4=48,6 В погашается на сопротивлении резистора, выполненного из температуронезависимого резистивного материала - константана или манганина.

Сопротивление добавочного резистора, Ом ,


Суммарное изменение сопротивления цепи реле с добавленным резистором в заданном диапазоне температур, %,


Так как суммарное изменение сопротивления цепи реле с добавленным резистором, а значит и изменение сопротивления срабатывания реле не превысило 2% - предельно допустимой нормы, то можно сделать вывод о возможности применения рассчитанного реле и резистора в заданном диапазоне температур.

IV. Определение начальной температуры обмотки статора электрической машины

Исходные данные:

Отсчет

1

2

3

4

5

Время

t,c

20

40

80

150

250

Перегрев

0C

77,3

73,0

65,1

53,7

41,6


Аналитический метод

Постоянная времени отключения на участках, Т, с:


Среднеарифметическое значение постоянной времени остывания, с:


Процесс остывания горячей машины описывается уравнением


Перегрев обмотки статора машины в момент отключения от сети, ºС,


Температура обмотки машины в момент остановки, ºС,

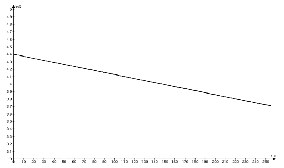
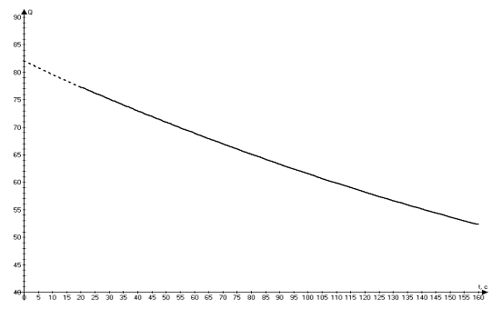
Графический метод

Рисунок 3 - График остывания машины в линейных координатах

Рисунок 4 - График остывания машины в линейных координатах

Построив по заданным данным предложенную на (рисунке 3) графическую зависимость и экстраполировав полученную кривую до пересечения с осью ординат, мы получили значение перегрева в начальный момент времени, то есть в момент отключения машины от сети.


Погрешность (разность результатов, полученных графическим и аналитическим методами) 0,4%.

Изображенная на рисунке 4 зависимость в полулогарифмических координатах дает нам решение, ºС,


Разница которого с результатом, полученным аналитическим методом, составляет 0,2%. Большая точность достигается за счет линейности характеристики в полулогарифмических координатах.

V. Расчет намагничивающей и контрольной обмоток для испытания стали статора

Исходные данные:

Наружный диаметр, dH, M

3,00

Внутренний диаметр, dB, м

1,34

Полная длина спинки статора, l, м

Ширина вентиляционного канала, lк , м

0,01

Число вентиляционных каналов, n

49

Высота зуба статора, hэ, м

0,28

Коэффициент заполнения стали, k

 0,96

Теплоемкость стали, m, кВт×ч/(кг×град)

1,429 × 10-4


Принимается, что 1/3 мощности расходуется на потери во внешнюю среду на конвекцию и лучеиспускание. Для питания обмоток намагничивания выбирается напряжение 380 В.

Рассчитать:

. Число витков намагничивающей и контрольной обмоток.

. Потребляемый намагничивающей обмоткой ток, активную и полную

мощности.

. Скорость нагрева активной стали.

Определение массы активной стали статора.

Длина спинки:


Высота спинки:



Чистое сечение спинки:


Средний диаметр спинки:


Масса активной стали статора:


Расчет необходимой мощности.

Требуемая скорость подъема температуры a = 5 0С/ч. Необходимая для этого мощность:


Для получения необходимой мощности нужно создать в стали активные потери:


Определяется значение индукции для создания удельных потерь р0 = 1,072 Вт/кг:

 

В = 0,825 Тл.

Расчет числа витков намагничивающей обмотки.

Если включить намагничивающую обмотку на линейное напряжение сети СН 380 В, то потребуется следующее число витков:


Практически невозможно создать дробное число витков. Поэтому выбираем один виток W=1. При этом индуктивное сопротивление намагничивающей обмотки неизбежно уменьшится против расчетного значения, ток намагничивания и индукция - увеличатся. Можно воспользоваться переключением отпаек трансформатора собственных нужд и переключить его на минимальное напряжение (+10% номинального) 418 В. Данное напряжение позволит создать в статоре индукцию:


что на


меньше вычисленного ранее значения индукции. При В = 0,593 Тл нагрев будет происходить несколько медленнее.

Потребляемые ток и мощность.

Для создания индукции В = 0,593 Тл определяем требуемые удельные ампер-витки:

w0 = 75 А-в/м

Полные ампер-витки:


При одном витке W = 1 ток намагничивания численно равен:

I = AW / W,

I = 577 /1 = 577 A.

Полная мощность намагничивающей обмотки:

S = I×U,

S = 577 × 418 = 241186 ВА.

Активная мощность при индукции В = 0,593 Тл вычисляется по величине удельных потерь р0 = 0,77 Вт/кг:

Р = р0 × G,

Р = 0,77 × 190519,35 = 146699,9 Вт=146,7 кВт.

Коэффициент мощности схемы намагничивания:

 ,

 ,


 ,

 .

Расчет контрольной обмотки.

Учитывая, что напряжение на контрольной обмотке при равном числе витков с намагничивающей обмоткой будет близким к напряжению 380 В , выбираем для контрольной обмотки один виток WК = 1, ЭДС контрольной обмотки при индукции в статоре В = 1 Тл определяется:

 ,

 .

Добавочный резистор R (рис. 5.1) для вольтметра 300 В, 150 дел. и внутренним сопротивлением RВ = 30 кОм выбирается таким образом, чтобы при 724 В (соответствует В=1 Тл) его показания были бы равны 100 делениям:

 ,

 .

Рис. 5.1 Схема индукционного нагрева статора генератора намагничиванием стали статора.

Заключение

В данной курсовой работе была составлена программа испытаний для турбогенератора. Была определена работоспособность промежуточного реле в определенных условиях, также выбрано реле максимального напряжения и добавочный термостабильный резистор для термокомпенсации. Также был произведен расчет для определения начальной температуры, графическим и аналитическим методами. Рассчитаны, для определенных генераторов, контрольные и намагничивающие обмотки.

Библиографический список источников информации

1.     Объемы и нормы испытания электрооборудования / Под. общ. ред. Б.А. Алексеева, Ф.Л. Когана, Л.Г. Мамикоянца. - 6-е изд. - М.: НЦ ЭНАС, 1998.

2.       Справочник по наладке электрооборудования электрических станций и подстанций / Под. ред. Э.С. Мусаэляна - М.: Энергоатомиздат, 1984.

.         Мусаэлян Э.С. Наладка и испытания электрооборудования электрических станций и подстанций. - М.: Энергоатомиздат, 1986.

Похожие работы на - Технологические испытания оборудования электрических станций

 

Не нашли материал для своей работы?
Поможем написать уникальную работу
Без плагиата!
Без нейросетей!