Термодинамический расчет цикла парогазовой установки

  • Вид работы:
    Курсовая работа (т)
  • Предмет:
    Физика
  • Язык:
    Русский
    ,
    Формат файла:
    MS Word
    81,06 Кб
  • Опубликовано:
    2012-11-21
Вы можете узнать стоимость помощи в написании студенческой работы.
Помощь в написании работы, которую точно примут!

Термодинамический расчет цикла парогазовой установки

Министерство Образования и Науки РФ

Федеральное государственное бюджетное образовательное учреждение высшего профессионального образования «Восточно-Сибирский государственный университет технологий и управления»

(ФГБОУ ВПО «ВСГУТУ»)

Кафедра «ТЭС»






Курсовая работа по дисциплине

«Техническая термодинамика»

Термодинамика расчет цикла парогазовой установки

Вариант 2

Выполнил: студент 680 группы

Баннов Алексей

Проверила: преподаватель

Батуев Б.Б.





Улан-Удэ 2012

Введение

На основании проведенного рассмотрения циклов теплосиловых установок можно сформулировать требования к свойствам наиболее удобного (с термодинамической и эксплуатационной точек зрения) рабочего тела. Эти требования таковы:

. Рабочее тело должно обеспечивать возможно более высокий коэффициент заполнения цикла. Для этого рабочее тело должно иметь возможно меньшую изобарную теплоемкость в жидком состоянии (в этом случае изобары в T, s-диаграмме, наклон которых определяется величиной (дТ/дs) =T/сp , будут идти достаточно круто, приближаясь к вертикали). Желательно также, чтобы рабочее тело имело возможно более высокие критические параметры: при одной и той же температуре насыщенного пара больший коэффициент заполнения имеет цикл, осуществляемый с рабочим веществом, имеющим более высокие критические параметры.

. Свойства рабочего тела должны быть такими, чтобы высокая верхняя температура при достаточно высоком коэффициенте заполнения цикла обеспечивалась при не слишком высоком давлении пара, т. е. чтобы высокий термический к. п. д. достигался без перехода к чрезмерно высоким давлениям, которые приводят к большому усложнению установки. С другой стороны, рабочее тело должно быть таким, чтобы его давление насыщения при низшей температуре цикла (т. е. температуре, близкой к температуре окружающей среды) было не слишком низким; слишком низкое давление насыщения потребует применения глубокого вакуума в конденсаторе, что сопряжено с большими техническими сложностями.

. Рабочее тело должно быть недорогим; оно не должно быть агрессивным в отношении конструкционных материалов, из которых выполняется теплосиловая установка; оно не должно представлять вреда для обслуживающего персонала (т. е. не должно быть токсичным).

К сожалению, в настоящее время рабочие тела, в должной мере удовлетворяющие всем этим условиям, неизвестны. Самое распространенное рабочее тело современной теплоэнергетики - вода не удовлетворяет условию достаточно низкой теплоемкости в жидкой фазе, но удовлетворяет условию не слишком низкого значения давления в конденсаторе; вода является вполне подходящим рабочим телом для низкотемпературной части цикла. Однако достижение высоких коэффициентов заполнения пароводяного цикла сопряжено с необходимостью перехода к высоким давлениям; при этом вследствие сравнительно невысокой критической температуры длина изобарно-изотермического участка двухфазной области уменьшается, что уменьшает темп роста коэффициента заполнения цикла при переходе к высоким давлениям. Именно вследствие этого средняя температура подвода тепла в пароводяном цикле сравнительно невысока, что, как показано ранее приводит к значительным потерям работоспособности.

Другим рабочим телам присущи иные недостатки. Так, например, ртуть имеет невысокое давление насыщения при высоких температурах и высокие критические параметры ркр=151 МПа (1540 кгс/см2), Ткр==1490° С, а при температуре, например, 550°С давление насыщения составляет всего лишь 1420 кПа (14,5 кгс/см2); это позволяет осуществить цикл Ренкина на насыщенном ртутном паре без перегрева с достаточно высоким термическим к. п. д. Однако, с другой стороны, при температурах, близких к температуре окружающей среды, давление насыщения ртути слишком мало: при Т=30°С Рs =0,36 Па (3,7-10-6 кгс/см2), давлению же, обычно применяемому в конденсаторах паровых турбин (ps=4кПа~0,04 кгс/см2), соответствует слишком большая температура насыщения ртутиTs=217,1° С. Термический к. п. д. цикла со столь большой нижней температурой был бы невелик. Таким образом, ртуть как рабочее тело хороша для верхней (высокотемпературной) части цикла и неудовлетворительна для нижней.

Так как в настоящее время нет рабочих тел, удовлетворяющих перечисленным требованиям во всем температурном интервале цикла, то можно осуществить цикл, используя комбинацию двух рабочих тел, применяя каждое из них в той области температур, где это рабочее тело обладает наибольшими преимуществами.

Циклы такого рода носят название бинарных.

Бинарные циклы - термодинамические циклы с использованием двух рабочих тел <#"584900.files/image001.gif">для каждого процесса

.        Найти изменение внутренней энергии

.        Определить теплоту qи работу I в каждом процессе

.        Найти суммарную работу за весь цикл

.        Определить подведеннуюи отведенную  теплоты в цикле

.        Результаты расчетов занести в таблицу 3

.        Определить термический КПД газового цикла

.        Построить в масштабе в TS - диаграмме газовый цикл.

II Пароводяной цикл

Требуется:

.        Определить с помощью hS- диаграммы и таблиц воды и водяного пара параметры P, V, T, h, U, S, X для основных точек цикла и занести в таблицу 6

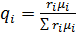
.        Определить кратность газа m из уравнения теплового баланса газоводяного подогревателя.

.        Определить удельную полезную работу пароводяного цикла

.        Определить теоретическое удельное количество теплоты получаемое рабочим телом

.        Определить теоретический КПД парогазового цикла

.        Определить термический КПД парогазового цикла

.        Изобразить в масштабе циклы в PVи TS-диаграммах

Исходные данные

Состав газовой смеси:

Газ

СО

Количество

10%

80%

2%

8%


Данные для газового цикла:

13

5

17

300


Данные для парового цикла:

Величина

Значение

34

420

0,045



Газовый цикл

.        Определение параметров P,V,Tдля основных точек.

Найдем газовую постоянную смеси:

 =

 

 

Точка a:

a-b-изотермический процесс

=573K

Точка b:

a-b - изотермический процессT=const

 

Точка c:

b-c адиабатный процесс dq=0

 

Точка d:

a-d - адиабатный процесс dq=0

 

.        Определим значение средних теплоемкостей  для каждого процесса

 

 

 

 

 

 

-b процесс

==

b-c процесс

 

 

 

 

 

 

c-d процесс

==

a-d прооцесс

 

 

 

 

 

 

.        Найдем изменение внутренней энергии

 

 

 

 

 

 

 

 

 

 

Изменение энтропии зависит от типа процесса

.        Определим теплоту q и работу I в каждом процессе

a-b изотермический процесс

 

-c адиабатический процесс

 

c-d изотермический процесс

=0.277881*290*ln76.517

d-a адиабатический процесс

 

Определим подведенную, отведенную теплоту и полную теплоту

 

=-76.517=75.575

5.       Определим термический КПД газового цикла

 

 


P бар

A

13

0.1225

573

300

B

5

0.3184

573

300

C

52.34

0.0153

290

17

D

136.08

0.00592

290

17


Результаты расчетов газового цикла

процессы

n

g

l

a-b

0

0

0,265

0

b-c

-

-

0

0

5,35

c-d

0

0

-0,263

76.517

0

d-a

-

0

0

10,4723

-

2.00752

1.45174

0

0

0,002

228.609

15,8223


Паровой цикл

.        Определим параметры P, V, T, h, U, S, X для основных точек цикла:


P бар

X

1

16

0.118779144

201.37

2714.856

6.255696

814.389696

0.96

2

13

0.118779144

191.6

2360.1992

5.5764712

816.070328

0.784

3

16

0.1439

250

2919.84

6.67836

617.44

-

4

6.5

0.35

201.37

2880

7

605

-

5

3

0.52173436

133.53

2424.1874

6.255696

858.9843056

0.861


2.       Определим кратность газа m из уравнения теплового баланса газоводяного подогревателя:

 

 

.        Определим удельную работу пароводяного цикла :

 

4.       Определим теоретическое удельное количество теплоты полученное рабочим телом :

 

5.       Определим теоретический КПД парогазового цикла:

 

 

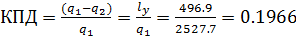
.        Определим термический КПД парогазового цикла:

 

термодинамический цикл газ теплоемкость


В данной работе был рассчитан термодинамический цикл парогазовой установки, в которой в качестве рабочих тел использовались газовая смесь, состоящая из азота, углекислого газа, водяного пара и кислорода, а в качестве 2-го рабочего тела был использован водяной пар. Были высчитаны основные параметры рабочих тел, а так же количества теплоты использующиеся в процессах и КПД процессов.

В ходе работы были углублены знания по дисциплине « Техническая термодинамика», в частности по теории тепловых двигателей и расчету термодинамических процессов в газовых смесях, а так же в пароводяных циклах. Приобретены навыки работы со справочной и учебной литературой, а так же с таблицами различных теплоёмкостей различных газов, свойств воды и водяного пара а так же hSдиаграммы водяного пара.

Список используемой литературы

1.       Нащокин В.В. Техническая термодинамика и теплопередача М. Высшая Школа 1980 г.

.        Ривкин С.Л. Александров А.А. Теплофизические свойства воды и водяного пара М. Энергия 1998 г.

.        Батуев Б.Б. Матханова В.Э. Методические указания к курсовой работе «Термодинамический расчет цикла парогазовой установки» У-У. ВСГТУ 2004

.        Кириллин В.А. Техническая термодинамика М. Энергия 1980


Не нашли материал для своей работы?
Поможем написать уникальную работу
Без плагиата!
Без нейросетей!