Стадии биосинтеза холестерина

  • Вид работы:
    Реферат
  • Предмет:
    Химия
  • Язык:
    Русский
    ,
    Формат файла:
    MS Word
    405,22 Кб
  • Опубликовано:
    2012-08-05
Вы можете узнать стоимость помощи в написании студенческой работы.
Помощь в написании работы, которую точно примут!

Стадии биосинтеза холестерина

Введение

стероид холестерин биосинтез эксперимент

Важное место в физиологии и патологии человека играет метаболизм липидов из класса стероидов. Холестерин (холестерол) - основной представитель стеринов животного происхождения, транспорт и биотрансформация которого связаны с обменом других стероидов, является соединением, необходимым для нормального функционирования клеток, поддерживания физического состояния биомембран, образования веществ гормонального действия. Нарушение транспорта холестерина и триацилглицеролов может стать причиной возникновения многих тяжелых болезней человека.

Холестерин - стероид, который выполняет важные структурные и регуляторные функции, входя в состав биомембран и выступая предшественником в синтезе физиологически активных соединений разных классов. Источниками холестерина для организма человека является его биосинтез и поступление с продуктами питания животного происхождения.

Всего за сутки в организме взрослого человека синтезируется в среднем от 0,5 до 1,0 г холестерина, с пищей поступает 0,3-0,5 г (в некоторых случаях - до 1,0-1,2 г) холестерина. К синтезу холестерина способны все клетки животного происхождения, кроме зрелых эритроцитов. Однако наибольшее количество эндогенного холестерина (от 50 до 80%) синтезируется в печени, оставшаяся часть стерола образуется в кишечнике (10-15%) и в коже (около 5%). Именно в клетках печени и слизистой оболочки кишечника стерол синтезируется не только для собственных потребностей, но и «на экспорт».

Предшественником в биосинтезе стерола является ацетил-КоА, который образуется при окислении глюкозы за счет окислительного декарбоксилирования пирувата или при β-окислении жирных кислот. [1]

Биосинтез холестерина протекает почти во всех тканях и органах. Особенно высокая интенсивность этого процесса в надпочечниках, почках, семенниках, тонкой кишке и коже. Центральное место в метаболизме холестерина занимает печень, в которой осуществляется его биосинтез, а также протекают основные метаболические процессы, связанные с его использованием. [2]

Биосинтез холестерина

О возможности синтеза холестерина в тканях животного организма стало известно с 1913 г., когда Дезани установил увеличение холестерина у крыс, содержавшихся на бесхолестериновом рационе. Эти данные были подтверждены исследованиями, проведенными на других вида животных и на людях.

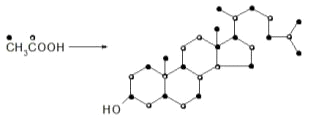
Первые работы по новообразованию холестерина проводились с помощью методов баланса и артериовенозной разницы. Позднее стали использоваться изотопные методы исследования. Начало им было положено в 1937 г. Риттенбергом и Шоенгеймером, обнаружившими включения дейтерия  в холестерин из тяжелой воды, которую давали мышам. В дальнейшем, используя меченную уксусную кислоту, Блох обнаружил радиоактивную метку () как в стероидном кольце, так и в боковой цепи холестерина. Интенсивные исследования в этой области позволили сделать вывод, что уксусная кислоты является основным первоначальным метаболитом в биосинтезе холестерина. Экперименты с двойной меткой в уксусной кислоте показали, что все 27 атомов холестерина могут происходить из ацетата, при этом 15 углеродов происходит из метильного углерода уксусной кислоты, а остальные 12 - из карбоксильной группы (рис. 1).

Рис.1. Схема эксперимента с двойной меткой в уксусной кислоте

Кроме уксусной кислоты, предшественником холестерина могут быть и другие низкоуглеродистые соединения, такие как ацетоальдегид, этанол, пировиноградная, изомасляная, ацетоуксусная кислота, глюкоза, лейцин, валин и т. д. Однако все эти соединения вначале превращаются в уксусную кислоту, точнее в активированную форму уксусной кислоты - ацетил-КоА, а затем уже последний используется для биосинтеза холестерина. [2]

.1 Этапы биосинтеза холестерина

В настоящее время основные этапы биосинтеза холестерина хорошо известны. Весь путь биосинтеза состоит более чем из 20 последовательных реакций, которые в суммарном виде могут быть записаны так:

 (1.1)

Для удобства изложения все реакции биосинтеза можно распределить на четыре основных стадии:

. Ацетил-КоА  Мевалоновая кислота.

. Мевалоновая кислота  Сквален.

. Сквален  Ланостерин.

. Ланостерин  Холестерин. [2]

1.1.1 Образование мевалоновой кислоты

Образование мевалоновой кислоты происходит в результате конденсации трех молекул ацетил-КоА. Ацетил-КоА образуется в тканях организма при катаболизме жирных кислот, углеводов, дезаминированных аминокислот. Две молекулы ацетил-КоА конденсируются с образованием ацетоацетил-КоА. Катализирует эту реакцию тиолаза, фермент последнего этапа β-окисления жирных кислот:


(

Рис.

На следующем этапе ацетоацетил-КоА конденсируется с ацетил-КоА, образуя 3-гилрокси-3-метилглутарил-КоА (ГМГ-КоА). Ферментом, катализирующим эту реакцию, является ГМГ-КоА-синтаза:

Рис.

Указанная реакция может проходить как в микросомах, так и в митохондриях. [3]

Мевалоновая кислота получается при восстановалении ГМГ-КоА в присутствии восстановленного НАДФ. Реакция осуществляется ферментом ГМГ-КоА-редуктазой:

(1.4)

Рис.

ГМГ-КоА-редуктаза обнаружена в микросомах печени. Приведенная необратимая реакция занимает важное место в регуляции биосинтеза холестерина, на чем мы подробно остановимся далее.

В литературе описан второй путь образования мевалоновой кислоты. Он отличается от первого лишь тем, что ацетил-КоА реагирует с ацетоацетил-S-АПБ, образуя ГМГ-глутарил-S-АПБ, который затем восстанавливается до мевалоновой кислоты. Эти реакции происходят в растворимой фракции цитоплазмы. [2]

.1.2 Образование сквалена

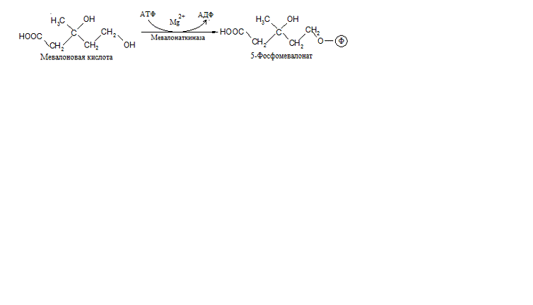
Мевалоновая кислота фосфорилируется при наличии АТФ, образуя 5-фосфомева-лоновую кислоту. Ферментом, катализирующим эту реакцию, является мевалонаткиназа, детально описанная Леви и Попьяк.

Рис.

Мевалонаткиназа - специфическая для (+)-формы мевалоновой кислоты, и для ее активности требуется наличие ,  или .

-Фосфомевалонат подвергается фосфорилированию, в результате чего получается 5-дифосфомевалонат. Реакция осуществляется ферментом фосфомевалонатиназой:

Рис.

5-Дифосфомевалонат превращается затем в изопентенилдифосфат, теряя при этом  и . Поскольку для осуществления этой реакции требуется наличие АТФ, предполагается, что в качестве промежуточного соединения образуется 3-фосфо-5-дифосфомевалонат. Однако экспериментально этот этап остается неподтвержденным.

Рис.

В результате последующей реакции декарбоксилирования образуется изопентенил-дифосфат. Фермент, катализирующий эту реакцию, - пирофосфомевалонат-декарбоксилаза:

Рис.

Под действием изопентенилдифосфат-Δ-изомеразы образуется диметилаллил-дифосфат.

Рис.

Конденсация изопентенилдифосфата и диметилаллилдифосфата приводит к образованию геранилдифосфата. Фермент, катализирующий эту реакцию - диметилаллил-трансфераза.

Рис.

В результате дальнейшей конденсации геранилдифосфата с изопентенил-дифосфатом с участием того же самого фермента получается фарнезилдифосфат:

Рис.

Две молекулы фарнезилдифосфата образуют сквален. Реакция проходит в два этапа На первом этапе две молекулы фарнезилдифосфата конденсируются с образованием прескваландифосфата (-метаболит) и освобождением пирофосфата. На втором этапе прескваленпирофосфат восстанавливается НАДФ·Н до сквалена: [2]


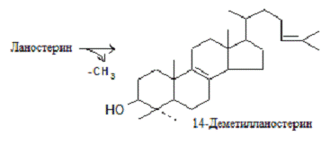
1.1.3 Образование ланостерина из сквалена

Сквален имеет структуру очень сходную со стероидной. Циклизация сквалена происходит в результате внутримолекулярных перемещений. Вначале идет эпоксидация сквалена в 2,3-оксидосквален, а затем метильная группа при С-14 переходит на С-13, а метильная рупа при С-8 - на С-14. Реакции катализируются ферментами соответственно сквален-монооксигеназой и 2,3-оксидосквален - ланостерол-циклазой. Эпоксидация осцществляется в результате влючения одного атома молекулярного кислорода в присутствии НАДФ·Н и ионов . Реакция происходит в микросомальной фракции печени. [2]


Рис.

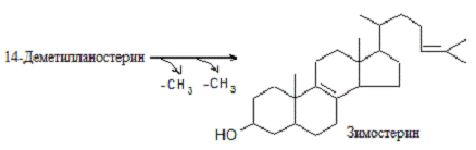
1.1.4 Образование холестерина из ланостерина

Образование холестерина из ланостерина происходит в результате потери ланостерином трех метильных групп (4, 4΄, 14), перемещения двойной связи ( и насыщения двойной связи .

Деметилирование начинается с метила С-14, который окисляется до С.

Рис.

Окислительное деметилирование проходит в несколько стадий:

 


Рис.

Превращение зимостерина в десмостерин (перемещение  происходит в результате первоначальной изомеризации . Эта реакция катализируется изомеразой, не требующей кофакторов и . В дальнейшем появляется сопряженная двойная связь в положении 5. Этот процесс идет в микросомальной фракции в присутствии  под действием -дегидрогеназы. -Стерин превращается в демостерин в результате действия -редуктазы в присутствии НАДФ·Н:

Рис.

 Десмостерин (1.17)

Заключительная реакция образования холестерина - восстановление , осуществляется демостерин-редуктазой [2]:

Десмостерин







Рис.

.2 Альтернативный путь образования холестерина

Мы рассмотрели путь образования холестерина из ланостерина, где насыщение двойной связи в боковой цепи происходит в последней реакции биосинтеза. Однако существует также альтернативный путь образования холестерина, который начинается насыщением двойной связи в боковой цепи ланостерина.

Альтернативный путь включает образование 24,25-дигидроланостерина, 4α-метил--холестенола, -холестенола и 7-дегидрохолестерина.

Рис. 24,25-Дигидроланостерин -Холестенол (Латостерин) (1.19)

В последнее время поступает все больше доказательств того, что восстановление боковой цепи происходит раньше миграции двойной связи из  в . Вместе с тем имеется также возможность реализации каждого из этих путей для отдельных тканей или в зависимости от функционального состояния тканей. Необходимы дальнейшие экспериментальные подтверждения пути превращения ланостерина в холестерин через 7-дегидрохолестерин или десмостерин. [5]

Итак, хотя в целом мы имеем представление об основных путях биосинтеза холестерина, промежуточные реакции и химизм многих реакций остаются до настоящего времени неизвестными. Ряд ферментов, выступающих в качестве катализаторов на отдельных стадиях биосинтеза холестерина, выделено в очищенном виде и охарактеризовано. Большинство других остаются неочищенными, а реакции, в которых они участвуют, исследовались только на тканевых гомогенатах.

Для биосинтеза необходимы микросомальная и надосадочная (105000 g -  фракции. В -фракции предполагают наличие белка-»активатора», который стимулирует и, по всей вероятности, регулирует биосинтез холестерина. Из недосадочной -фракции выделен и очищен термостабильный белок, который связывает стерины и водонерастворимый предшественник холестерина - сквален. Этот белок, получивший название SCP (белок-носитель стерина и сквалена), необходим для превращения водонерастворимых предшественников холестерина в холестерин микросомальными ферментами. Считается, что с микросомальными ферментами взаимодействует высокомолекулярный комплекс стерин-SCP, образованный из протомерной формы с молекулярным весом 16000. Молекулярный вес липид-SCP-комплекса 2,5· Роль SCP в биосинтезе холестерина показана на рис. 2.

Рис. 2. Предполагаемая роль SCP в биосинтезе и метаболизме холестерина

С помощью SCP обеспечивается взаимодействие фермента и субстрата - предшественника холестерина, что в конечном счете заканчивается образованием комплекса холестерин-SCP. Последний, как предполагают, может участвовать в регуляции собственного биосинтеза. Также были получены доказательства того, что SCP участвует в синтезе липопротеидов, стероидных гормонов, желчных кислот и мембран. [6]

Биосинтез холестерина идет в эндоплазматическом ретикулуме. Микросомальными ферментами являются ГМГ-КоА-синтаза, ГМГ-КоА-редуктаза, скваленсинтетаза, сквален-монооксидогеназа, 2,3-оксидосквален - ланостерол-циклаза и ферменты, обеспечивающие превращение ланостерина в холестерин. [2]


2. Место биосинтеза холестерина в организме

Исследование с помощью меченых атомов показали, что синтез холестерина осуществляется почти во всех органах и тканях животного организма. Одно из главных мест в процессе новообразования холестерина в организме принадлежит печени. Работы Чайкофа свидетельствую, что биосинтез холестерина активно происходит в надпочечниках, почках, семенниках, тонком кишечнике и коже крыс. Удельная активность холестерина в инкубируемых кусочках тонкого кишечника была сходной с таковой в срезах печени крыс. В других исследованиях на крысах скорость включения 1--ацетат в холестерин тонкого кишечника была даже выше, чем в печени. Биосинтез холестерина из -ацетата был продемонстрирован на срезах коры надпочечников быка. Хотя скорость биосинтеза холестерина в коре надпочечников почти такая же, как в печени, общее количество синтезируемого холестерина в надпочечниках гораздо ниже по сравнению с таковым в печени, учитывая размеры этих органов.

Мышечная ткань намного меньше способна синтезировать холестерин, нежели печень, но так как мышцы составляют значительную массу в организме животного, общее количество новообразованного холестерина в этой ткани может быть довольно большим.

Срезы кожи в опытах in vitro активно синтезируют холестерин из -ацетата со скоростью, близкой к скорости биосинтеза в печени.

Исследование биосинтеза холестерина в мозге крыс, проведенное с использованием  показало, что у молодых животных в процессе миелинизации холестерин синтезируется непосредственно в тканях мозга. После прекращения роста мозга биосинтез холестерина останавливается. Использование -ацетата подтвердило выводы исследований.

Большой интерес представляет биосинтез холестерина в кровеносной системе. Литературные данные свидетельствуют о том, что в токе крови синтез холестерина минимальный. Небольшое количество меченого холестерина, обнаруживаемое при инкубации цельной крови, вероятнее всего, появляется за счет биосинтеза холестерина в лейкоцитах, поскольку холестерин плазмы и эритроцитов не обладал радиоактивностью. Сосудистая стенка, как и большинство тканей, способна синтезировать холестерин. Это впервые было показано Сайперштейном и др. в опытах по инкубации срезов аорты кроликов и цыплят. Однако биосинтез холестерина в тканях аорты цыплят идет довольно слабо. Так, аорта цыпленка в 40 раз менее активна, чем печень, аорта кролика обладает лишь 1/500 активности печени.

Таким образом, наиболее активно биосинтез холестерина проходит в печени, кишечнике и коже. Умеренной активностью обладают внутренние органы: почки, легкие, кора надпочечников, половые железы. В скелетных мышцах холестерина вырабатывается мало, в мозге взрослых и животных он практически отсутствует. Большей синтетической активностью обладают те ткани, которые характеризуются более высокой активностью новообразования клеток (слизистая кишечника, железы внутренней секреции) или синтезом липопротеидовых мицелл (печень). Холестерин является компонентом клеточных мембран, интенсивность новообразования которых, по всей вероятности, тесно связана со скоростью биосинтеза холестерина. [2]

3. Регуляция биосинтеза холестерина

Лимитирующим этапом в процессе биосинтеза холестерина является реакция образования мевалоната из ГМГ-КоА, катализируемая ГМГ-КоА-редуктазой. Торможение скорости процесса осуществляется по принципу отрицательной обратной связи, когда накопление конечного продукта анаболического пути - холестерина уменьшает скорость его образования.

Ингибитором фермента является холестерин или холестериносодержащий липопротеин ЛПНП. В соответствии с такими механизмами, употребление холестерина с пищей тормозит его образование в печени, а безхолестериновая диета, наоборот, активирует эндогенный синтез холестерина в гепатоцитах.

Молекулярный механизм регуляции ГМГ-КоА-редуктазной реакции включает в себя как ковалентную модификацию фермента (фосфорилированная форма - неактивна, а дефосфорилированная - активна), так и влияние биохимических модуляторов на скорость синтеза (ферментная индукция) или деградацию фермента.

Инсулин и гормоны щитовидной железы увеличивают активность ГМГ-КоА-редуктазы, а глюкагон и глюкокортикоиды - уменьшают. [2]


4. Транспорт холестерина

.1 Холестерин в лимфе

Холестерин кишечного тракта поступает в лимфатическую систему, в основном в составе хиломикронов и ЛПОНП. Хиломикроны - основная транспортная форма экзогенных триглицеридов, поскольку жирные кислоты с длиной цепи более 10 углеродов всасываются через лимфатическую систему. Состав хиломикронов ЛПОНП показан в табл. 1.


Таблица 1. Процентный состав липопротеидов и период полувыведения их из плазмы крови человека [2]

Липопротеид

Белок

Фосфолипиды

Свободный холестерин

Эстерифици- рованный холестерин

Тригли-цериды

Отношение общего холестерина к фосфолипидам

Период полувы-ведения, t₁/₂

α-Липопротеиды (ЛПВП)








ЛПВП₂

50

24

2

20

4

1

5 сут.

ЛПВП₃

60

24

2

10

4

0,5


β-Липопротеиды (ЛПНП)

25

20

8

37

10

2,2

2-4 сут.

10

20

5

10

55

0,75

3-4 ч.

Хиломикроны (после жирной пищи)

1

5

1

3

90

0,8

15-30 мин.


Хиломикроны и ЛПОНП кишечного происхождения поступают в кровеносную систему через грудной лимфатический поток. С кровью они достигают печени и других тканей, где подвергаются дальнейшим превращениям. Холестерин в хиломикронах находится преимущественно в эстерифицированной форме. У крысы и у человека натощак пальмитиновая кислота является основной кислотой в эфирах холестерина, второй по количеству кислотой в эфирах холестерина лимфы является олеиновая кислота. После жировой нагрузки жирнокислотный состав в эфирах холестерина в основном отражает состав жирных кислот в пище, но это сходство меньше, чем для триглицеридов нимфы.


Хиломикроны поступают в гепатоцит главным образом в результате их деградации, а не пиноцитоза. Хиломикроны разрушаются в результате действия липопротеидлипазы, находящейся в капиллярах экстрагепатических тканей, особенно в жировой ткани. Хиломикроны, не захваченные печенью, продолжают некоторое время циркулировать в крови с периодом полувыведения =15-30 мин. Хиломикроны превращаются в ЛПОНП. [2]

Итак, холестерин - необходимый компонент при образовании мицеллярных частиц, возникающих во время всасывания липидов (триглицеридов) в кишечнике. При отсутствии экзогенного холестерина особое значение приобретает холестерин кишечноо сока и желчи, который используется для построения хиломикронов. Это одна из функций эндогенного холестерина в просвете кишечника.

4.2 Холестерин в липопротеидах плазмы крови

Холестерин, являясь соединением гидрофобным, циркулирует в плазме крови благодаря присутствию в липопротеидах - нековалентных надмолекулярных образований. С помощью ультрацентрифугирования или электрофореза можно разделить липопротеиды плазмы крови на несколько классов. Липопротеиды имеют плотность d = 0,93 - 1,16. По степени флотации в растворе хлористого натрия с d = 1.063 различают четыре основных классов липопротеидов:

. Хиломикроны, d < 0.940, Sf > 400. Они обычно отсутствуют в плазме натощак и появляются в послеобеденный период, на бумажной электрофореграмме остаются на старте. Хиломикроны транспортируют триглицериды, поступающие при всасывании из кишечника.

. Липопротеиды очень низкой плотности (ЛПОНП), 0.940 < d < 1.006, . При электрофорезе на бумаге ЛПОНП мигрируют быстрее, чем β-липопротеиды, и соответствуют пре-β-липопротеидам.

. Липопротеиды низкой плотности (ЛПНП), 1.006 < d < 1.063,  и  на электрофореграммах соответствуют β-липопротеидам.

. Липопротеиды высокой плотности (ЛПВП), 1.063 < d < 1.210, подразделяются на две наиболее важные группы: ЛПВП₂ (1.063 < d < 1.125) и ЛПВП₃ (1.125 < d < 1.210), которые соответствуют α-липопротеидам при электрофорезе на бумаге.

Электрофорез на полиакриламидном геле и иммунохимические методы позволили показать гетерогенность белков в липопротеидах. Различают три основных типа аполипопротеидов, являющиеся полипептидами А, В и С (табл. 2).

Таблица 2. Классификация аполипопротеидов. [2]

Аполипопротеид

N-терминальные аминокислоты

С-терминальные аминокислоты

А



А₁

Асп

Глун

А₂

?

Глун

В



Апо-ЛПНП

Глу

Сер

С



С₁

Тре

Сер

С₂

Тре

Глу

С₃

Сер

Ала


Эти аполипопротеиды относительно богаты полярными аминокислотами, которые могут образовывать ионные связи с фосфолипидами. Названия аполипопротеидов определяются N- и С-концевыми аминокислотами. В табл. 3 показано распределение аполипротеидов среди основных липопротеидных классов.

Таблица 3. Распределение аполипопротеидов в липопротеидах плазмы крови человека.[2]

Аполипопротеид

Хиломикроны

ЛПОНП

ЛПНП

ЛПВП

А₁

?

?

-

65-70%

А₂

?

?

-

20-25%

В

10-20%

40%

Следы

С₁

15%

15%

Следы

Следы

С₂

15%

15%

Следы

Следы

С₃

50%

30%

Следы

5-10%


Из табл. 3 видно, что апо-А находятся исключительно в ЛПВП, апо-В (или апо-ЛПНП) в хиломикронах, ЛПОНП и ЛПНП. Апо-С выделен главным образом из хиломикронов и ЛПОНП. Если функция липопротеидов в целом заключается в транспорте липидов, то ЛПНП (β-липопротеиды) можно считать основной функцией, участвующей в транспорте холестерина. [2]

.3 Холестерин в эритроцитах

Холестерин, транспортируемый кровью, помимо того, что включается в состав различных липопротеидов, входит в структуру форменных элементов - эритроцитов и лейкоцитов. В безъядерных эритроцитах млекопитающих весь холестерин находится в клеточной мембране, или строме, составляющей около 1% массы эритроцита. Содержание холестерина, представленного исключительно неэстерифицированной формой, в эритроцитах различных видов млекопитающих равно 25-29% общих липидов, содержание которых в свою очередь колеблется в пределах 1,2-4,8·. Эфиры холестерина почти полностью отсутствуют в эритроцитах человека, крысы и кролика. Но есть и другие данные, согласно которым, эфиры холестерина составляют 20% общего холестерина эритроцитов человека. В ядерных эритроцитах голубя и курицы холестерин находится в неэстерифицированной форме. Содержание холестерина в эритроцитах различных видов млекопитающих, по-видимому, может значительно различаться, несмотря на то, что размеры эритроцитов очень близки. Эритроцит человека содержит меньше холестерина (0,439· мг), чем эритроцит крысы (0,841· мг) или собаки (0,963· мг). Соответственно и содержание холестерина на единицу поверхности плазматической мембраны эритроцита у человека меньше, чем у крысы и собаки. [7]

Холестерин эритроцитов легко обменивается с холестерином плазмы крови. Период полуобновления составляет 1-4 ч., причем обменивается только свободный холестерин плазмы на холестерин эритроцитов. Этот процесс не зависит от уровня гликолиза, концентрации АТФ и НАД. Легкая обмениваемость холестерина эритроцитов позволяет сделать предположение о транспортной роли эритроцитов для холестерина и других стеринов из различных тканей организма. [2]


Выводы

В данной курсовой работе был подробно постадийно рассмотрен процесс биосинтеза холестерина, место биосинтеза холестерина в организме и способы его регуляции. Также внимание оказывается транспорту холестерина в лимфе, в липопротеидах плазмы крови и в эритроцитах.

Таким образом, биосинтез холестерина - сложный многоступенчатый процесс, в результате которого из простых по строению двууглеродных соединений, хорошо растворимых в воде, образуются гидрофобные молекулы, находящиеся в водной фазе только благодаря белкам их связывающим и транспортирующим - липопротеидам мембран или липопротеидам плазмы крови. Биосинтез холестерина протекает почти во всех тканях и органах. Регуляция биосинтеза холестерина играет важную роль в правильном функционировании организма человека.


Список литературы

. Губський Ю.І. Біологічна хімія: Підручник. - Київ - Тернопіль: Укрмедкнига, 2000. - 508 с.

. Кучеренко Н.Е., Васильев А.Н. Липиды. - Киев: Вища шк.. Главное изд-во, 1985. - 247 с.

. Финагин Л.К. Обмен холестерина и его регуляция. - Киев. - Издательское объединение «Вища школа», 1980, 168 с.

4. Евстигнеева Р.П., Звонкова Е.Н., Серебренникова Г.А., Швец В.И. Химия липидов. - М.: Химия, 1983. - 296 с., ил.

. Общая органическая химия./ Под ред.. Д. Бартона и У.Д. Оллиса. Т. 11. Липиды, углеводы, макромолекулы, біосинтез,/ Под ред.. . Хаслама. - Пер. с англ./ Под ред.. Н. Кочеткова. - М.: Химия, 1986. - 736 с., ил.

. Статья: Полякова Э.Д., Докусова О.К., Петрова Л.А. О начальних етапах биосинтеза холестерина.

. Миронович Л.М. Біоорганічна хімія: Скорочений курс: Навч. посібн. 2-ге вид. - К.: Каравела, 2010. - 184 с.


Не нашли материал для своей работы?
Поможем написать уникальную работу
Без плагиата!
Без нейросетей!