Строительство жилого дома
Введение
Целью данной курсовой работы является
закрепление знаний, полученных при изучении дисциплины «Менеджмент проектов в
энергетике», а также приобретение навыков практических расчетов сетевых моделей
проектов, как вручную, так и с использованием соответствующих программных
пакетов (WinQSB).
Название темы курсового проекта: «Строительство
жилого дома».
Выполнение курсовой работы проводится в
следующей последовательности. На первом этапе дается общая характеристика
проекта и приводится таблица исходных данных по работам. Строится полная
сетевая модель проекта в терминах «работы-связи» и «события-операции». Второй
этап включает в себя упорядочение событий сети методом Де-Мукрона. На третьем
этапе проводится расчет временных характеристик сетевой модели. Далее, следует
четвертый этап, включающий в себя расчет сетевой модели с помощью программного
пакета WinQSB с построением соответствующих таблиц, схем и графиков. Все
расчеты выполнены с использованием методик изложенных в [1]. Курсовую работу
завершает заключение с итогами выполненных работ.
1. Общая характеристика проекта
Цель проекта - разработка и построение сетевой
модели отражающей строительство жилого дома. Будет рассмотрен полный процесс
создания объекта с момента заключения договора на строительство и выпуска
проектно-сметной документации, полного цикла производимых всех
строительно-монтажных и пусконаладочных работ, до введения объекта в
эксплуатацию.
Исходные данные по работам представлены в
таблице 1.
Таблица 1
|
№
|
Обозначение
работы
|
Содержание
работы
|
Обозначения
предшествующих работ
|
Длительность
работ (дни)
|
|
1
|
A
|
Подготовка
технического задания на проектирование и заключение договора на строительство
жилого дома
|
-
|
20
|
|
2
|
B
|
Разработка
и выпуск проектно-сметной документации проектным институтом
|
A
|
90
|
|
3
|
C
|
Просмотр
проектно-сметной документации подрядными организациями выполняющими
строительство и монтажные работы
|
B
|
14
|
|
4
|
D
|
Заказ
технологического и электротехнического оборудования, приобретение материалов
|
B
|
25
|
|
5
|
E
|
Привязка
на местности и получение документов разрешающих строительство
|
C
|
14
|
|
6
|
F
|
Разработка
котлована под строительство дома и внешние коммуникации
|
E
|
70
|
|
7
|
G
|
Бурение
артезианских скважин резервного водоснабжения
|
F
|
25
|
|
8
|
H
|
Устройство
дренажа
|
F
|
20
|
|
9
|
I
|
Начало
работ по бетонированию фундаментной плиты дома
|
H,
G
|
25
|
|
10
|
J
|
Строительство
жилого дома из сборного и монолитного железобетона
|
I
|
70
|
|
11
|
K
|
Устройство
кровли дома
|
J
|
14
|
|
12
|
L
|
Монтаж
внешних сетей отопления
|
J
|
20
|
|
13
|
M
|
Монтаж
внешних сетей водоснабжения и канализации
|
J
|
21
|
|
14
|
N
|
Подвод
внешних сетей электроснабжения и телефонной связи
|
J
|
30
|
|
15
|
O
|
Предмонтажная
отделка помещений
|
K,
L, M
|
21
|
|
16
|
P
|
Монтаж
внутренних сетей отопления
|
O
|
30
|
|
17
|
Q
|
Монтаж
внутренних сетей вентиляции
|
O
|
30
|
|
18
|
R
|
Монтаж
внутренних сетей водоснабжения
|
O
|
20
|
|
19
|
S
|
Чистовая
отделка помещений
|
N,P,R,Q,D
|
25
|
|
20
|
T
|
Монтаж
внутренних сетей телефонной связи
|
S
|
20
|
|
21
|
U
|
Монтаж
внутренних сетей автоматической пожарной сигнализации
|
S
|
20
|
|
22
|
V
|
Монтаж
освещения и электрооборудования
|
S
|
30
|
|
23
|
W
|
Окончательная
приемка строительно - монтажных работ
|
T,U,V
|
14
|
|
24
|
X
|
Проведение
комплексных испытаний смонтированных систем
|
W
|
14
|
|
25
|
Y
|
Сдача
жилого дома в эксплуатацию
|
X
|
7
|
1.1 Построение сетевой модели
проекта в терминах «работы-связи» и «события-операции»
сетевая модель связь событие
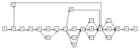
Сетевая модель проекта, представленная в
терминах «работы-связи» показана на рис. 1, а в терминах «события-операции» на
рис. 2. Между обоими вариантами существует взаимно однозначное соответствие.
Модель проверена на соответствие к требованиям к изображению подобных моделей,
а именно:
модель представлена ориентированным связным
графом без циклов;
имеется только одно начальное и одно завершающее
событие.
Рис. 1 - Сетевая модель проекта, представленная
в терминах «работы-связи»
Рис. 2 - Сетевая модель проекта, представленная
в терминах «события-операции»
2. Упорядочение и перенумерация
работ сети
Упорядочение выполняем методом Де-Мукрона
(табличный метод), подход исключение предков.
Таблица 2
|
1
|
2
|
3
|
4
|
5
|
6
|
7
|
8
|
9
|
10
|
11
|
12
|
13
|
114
|
15
|
16
|
17
|
18
|
19
|
20
|
21
|
22
|
23
|
24
|
25
|
26
|
|
1
|
|
1
|
|
|
|
|
|
|
|
|
|
|
|
|
|
|
|
|
|
|
|
|
|
|
|
|
|
2
|
|
|
1
|
|
1
|
|
|
|
|
|
|
|
|
|
|
|
|
|
|
|
|
|
|
|
|
|
|
3
|
|
|
|
1
|
1
|
|
|
|
|
|
|
|
|
|
|
|
|
|
|
|
|
|
|
|
|
|
|
4
|
|
|
|
|
|
1
|
|
|
|
|
|
|
|
|
|
|
|
|
|
|
|
|
|
|
|
|
|
5
|
|
|
|
|
|
|
|
|
|
|
|
|
|
|
|
|
|
1
|
|
|
|
|
|
|
|
|
|
6
|
|
|
|
|
|
|
1
|
|
|
|
|
|
|
|
|
|
|
|
|
|
|
|
|
|
|
|
|
7
|
|
|
|
|
|
|
|
1
|
1
|
|
|
|
|
|
|
|
|
|
|
|
|
|
|
|
|
|
|
8
|
|
|
|
|
|
|
|
|
|
1
|
|
|
|
|
|
|
|
|
|
|
|
|
|
|
|
|
|
9
|
|
|
|
|
|
|
|
1
|
|
|
|
|
|
|
|
|
|
|
|
|
|
|
|
|
|
|
|
10
|
|
|
|
|
|
|
|
|
|
|
1
|
|
|
|
|
|
|
|
|
|
|
|
|
|
|
|
|
11
|
|
|
|
|
|
|
|
|
|
|
|
1
|
1
|
1
|
1
|
|
|
|
|
|
|
|
|
|
|
|
|
12
|
|
|
|
|
|
|
|
|
|
|
|
|
|
|
|
1
|
|
|
|
|
|
|
|
|
|
|
|
13
|
|
|
|
|
|
|
|
|
|
|
|
1
|
|
|
|
|
|
|
|
|
|
|
|
|
|
|
|
14
|
|
|
|
|
|
|
|
|
|
|
|
1
|
|
|
|
|
|
|
|
|
|
|
|
|
|
|
|
15
|
|
|
|
|
|
|
|
|
|
|
|
|
|
|
|
|
|
1
|
|
|
|
|
|
|
|
|
|
16
|
|
|
|
|
|
|
|
|
|
|
|
|
|
|
|
|
1
|
1
|
1
|
|
|
|
|
|
|
|
|
17
|
|
|
|
|
|
|
|
|
|
|
|
|
|
|
|
|
|
1
|
|
|
|
|
|
|
|
|
|
18
|
|
|
|
|
|
|
|
|
|
|
|
|
|
|
|
|
|
|
|
1
|
|
|
|
|
|
|
|
19
|
|
|
|
|
|
|
|
|
|
|
|
|
|
|
|
|
|
1
|
|
|
|
|
|
|
|
|
|
20
|
|
|
|
|
|
|
|
|
|
|
|
|
|
|
|
|
|
|
|
|
1
|
1
|
1
|
|
|
|
|
21
|
|
|
|
|
|
|
|
|
|
|
|
|
|
|
|
|
|
|
|
|
|
1
|
|
|
|
|
|
22
|
|
|
|
|
|
|
|
|
|
|
|
|
|
|
|
|
|
|
|
|
|
|
|
1
|
|
|
|
23
|
|
|
|
|
|
|
|
|
|
|
|
|
|
|
|
|
|
|
|
|
|
1
|
|
|
|
|
|
24
|
|
|
|
|
|
|
|
|
|
|
|
|
|
|
|
|
|
|
|
|
|
|
|
|
1
|
|
|
25
|
|
|
|
|
|
|
|
|
|
|
|
|
|
|
|
|
|
|
|
|
|
|
|
|
|
1
|
|
26
|
|
|
|
|
|
|
|
|
|
|
|
|
|
|
|
|
|
|
|
|
|
|
|
|
|
|
|
1
|
0
|
1
|
1
|
1
|
1
|
1
|
1
|
2
|
1
|
1
|
1
|
3
|
1
|
1
|
1
|
1
|
1
|
5
|
1
|
1
|
1
|
3
|
1
|
1
|
1
|
1
|
|
2
|
-
|
0
|
1
|
1
|
1
|
1
|
1
|
2
|
1
|
1
|
1
|
3
|
1
|
1
|
1
|
1
|
1
|
5
|
1
|
1
|
1
|
3
|
1
|
1
|
1
|
1
|
|
3
|
-
|
-
|
0
|
1
|
1
|
1
|
1
|
2
|
1
|
1
|
1
|
3
|
1
|
1
|
1
|
1
|
1
|
5
|
1
|
1
|
1
|
3
|
1
|
1
|
1
|
1
|
|
4,5
|
-
|
-
|
-
|
0
|
0
|
1
|
1
|
2
|
1
|
1
|
1
|
3
|
1
|
1
|
1
|
1
|
1
|
5
|
1
|
1
|
1
|
3
|
1
|
1
|
1
|
1
|
|
6
|
-
|
-
|
-
|
-
|
0
|
1
|
2
|
1
|
1
|
1
|
3
|
1
|
1
|
1
|
1
|
1
|
4
|
1
|
1
|
1
|
3
|
1
|
1
|
1
|
1
|
|
7
|
-
|
-
|
-
|
-
|
-
|
-
|
0
|
2
|
1
|
1
|
1
|
3
|
1
|
1
|
1
|
1
|
1
|
4
|
1
|
1
|
1
|
3
|
1
|
1
|
1
|
1
|
|
9
|
-
|
-
|
-
|
-
|
-
|
-
|
-
|
1
|
0
|
1
|
1
|
3
|
1
|
1
|
1
|
1
|
1
|
4
|
1
|
1
|
1
|
3
|
1
|
1
|
1
|
1
|
|
8
|
-
|
-
|
-
|
-
|
-
|
-
|
-
|
0
|
-
|
1
|
1
|
3
|
1
|
1
|
1
|
1
|
1
|
4
|
1
|
1
|
1
|
3
|
1
|
1
|
1
|
1
|
|
10
|
-
|
-
|
-
|
-
|
-
|
-
|
-
|
-
|
-
|
0
|
1
|
3
|
1
|
1
|
1
|
1
|
1
|
4
|
1
|
1
|
1
|
3
|
1
|
1
|
1
|
1
|
|
11
|
-
|
-
|
-
|
-
|
-
|
-
|
-
|
-
|
-
|
-
|
0
|
3
|
1
|
1
|
1
|
1
|
1
|
4
|
1
|
1
|
1
|
3
|
1
|
1
|
1
|
1
|
|
13,
14, 15
|
-
|
-
|
-
|
-
|
-
|
-
|
-
|
-
|
-
|
-
|
-
|
2
|
0
|
0
|
0
|
1
|
1
|
4
|
1
|
1
|
1
|
3
|
1
|
1
|
1
|
1
|
|
12
|
-
|
-
|
-
|
-
|
-
|
-
|
-
|
-
|
-
|
-
|
-
|
0
|
-
|
-
|
-
|
1
|
1
|
3
|
1
|
1
|
1
|
3
|
1
|
1
|
1
|
1
|
|
16
|
-
|
-
|
-
|
-
|
-
|
-
|
-
|
-
|
-
|
-
|
-
|
-
|
-
|
-
|
-
|
0
|
1
|
3
|
1
|
1
|
1
|
3
|
1
|
1
|
1
|
1
|
|
17,
19
|
-
|
-
|
-
|
-
|
-
|
-
|
-
|
-
|
-
|
-
|
-
|
-
|
-
|
-
|
-
|
-
|
0
|
2
|
0
|
1
|
1
|
3
|
1
|
1
|
1
|
1
|
|
18
|
-
|
-
|
-
|
-
|
-
|
-
|
-
|
-
|
-
|
-
|
-
|
-
|
-
|
-
|
-
|
-
|
-
|
0
|
-
|
1
|
1
|
3
|
1
|
1
|
1
|
1
|
|
20
|
-
|
-
|
-
|
-
|
-
|
-
|
-
|
-
|
-
|
-
|
-
|
-
|
-
|
-
|
-
|
-
|
-
|
-
|
-
|
0
|
1
|
3
|
1
|
1
|
1
|
1
|
|
21,
23
|
-
|
-
|
-
|
-
|
-
|
-
|
-
|
-
|
-
|
-
|
-
|
-
|
-
|
-
|
-
|
-
|
-
|
-
|
-
|
-
|
0
|
2
|
0
|
1
|
1
|
1
|
|
22
|
-
|
-
|
-
|
-
|
-
|
-
|
-
|
-
|
-
|
-
|
-
|
-
|
-
|
-
|
-
|
-
|
-
|
-
|
-
|
-
|
0
|
-
|
1
|
1
|
1
|
|
24
|
-
|
-
|
-
|
-
|
-
|
-
|
-
|
-
|
-
|
-
|
-
|
-
|
-
|
-
|
-
|
-
|
-
|
-
|
-
|
-
|
-
|
-
|
-
|
0
|
1
|
1
|
|
25
|
-
|
-
|
-
|
-
|
-
|
-
|
-
|
-
|
-
|
-
|
-
|
-
|
-
|
-
|
-
|
-
|
-
|
-
|
-
|
-
|
-
|
-
|
-
|
-
|
0
|
1
|
|
26
|
-
|
-
|
-
|
-
|
-
|
-
|
-
|
-
|
-
|
-
|
-
|
-
|
-
|
-
|
-
|
-
|
-
|
-
|
-
|
-
|
-
|
-
|
-
|
-
|
-
|
0
|
|
|
|
|
|
|
|
|
|
|
|
|
|
|
|
|
|
|
|
|
|
|
|
|
|
|
|
|
|
|
|
|
|
Рис. 3 - Сеть событий, упорядоченных методом
Де-Мукрона
Рис. 4 - Сеть событий, упорядоченных методом
Де-Мукрона, с перенумерацией событий
3. Расчет временных характеристик
сетевой модели
.1 Определение критического пути
Определяем ранние и поздние сроки свершения
событий методом Форда. Результаты представлены в таблице 3. Затем определяем
критический путь.
Таблица 3
|
|
События
|
|
|
1
|
2
|
3
|
4
|
5
|
6
|
7
|
8
|
9
|
10
|
11
|
12
|
13
|
14
|
15
|
16
|
17
|
18
|
19
|
20
|
|
Ранние
сроки свершения событий
|
0
|
20
|
110
|
124
|
135
|
138
|
208
|
228
|
233
|
258
|
328
|
358
|
348
|
349
|
349
|
370
|
400
|
390
|
400
|
425
|
|
|
|
|
|
|
|
|
|
228
|
|
|
|
|
|
342
|
|
|
|
390
|
|
|
|
|
|
|
|
|
|
|
|
|
|
|
|
|
348
|
|
|
|
400
|
|
|
|
|
|
|
|
|
|
|
|
|
|
|
|
|
|
|
|
|
349
|
|
|
|
|
|
|
|
|
|
|
|
|
|
|
|
|
|
|
|
|
135
|
|
|
0
|
20
|
110
|
124
|
135
|
138
|
208
|
228
|
233
|
258
|
328
|
358
|
348
|
349
|
349
|
370
|
400
|
390
|
400
|
425
|
|
|
1
|
2
|
3
|
4
|
5
|
6
|
7
|
8
|
9
|
10
|
11
|
12
|
13
|
14
|
15
|
16
|
17
|
18
|
19
|
20
|
|
μ
|
490
|
470
|
380
|
366
|
90
|
352
|
282
|
257
|
257
|
232
|
162
|
90
|
141
|
141
|
141
|
120
|
90
|
90
|
90
|
65
|
|
|
|
115
|
|
|
|
277
|
|
|
|
120
|
|
|
|
|
120
|
|
|
|
55
|
|
|
|
|
|
|
|
|
|
|
|
161
|
|
|
|
|
110
|
|
|
|
55
|
|
|
|
|
|
|
|
|
|
|
|
155
|
|
|
|
|
|
|
|
|
|
|
490
|
470
|
380
|
366
|
90
|
352
|
282
|
257
|
257
|
232
|
162
|
90
|
141
|
141
|
141
|
120
|
90
|
90
|
90
|
65
|
|
Поздние
сроки свершения событий
|
0
|
20
|
110
|
124
|
400
|
138
|
208
|
233
|
233
|
258
|
328
|
400
|
349
|
349
|
349
|
370
|
400
|
400
|
400
|
425
|
|
Резерв
|
0
|
0
|
0
|
0
|
5
|
0
|
0
|
5
|
0
|
0
|
0
|
42
|
1
|
0
|
0
|
0
|
0
|
10
|
0
|
0
|
Определяем критический путь.
Критических путей два:
критический путь состоит из работ:
A-B-C-E-F-G-I-J-M-O-S-V-W-X-Y
(1-2;2-3;3-4;4-6;6-7;7-9;9-10;10-11;11-14;14-15;15-16;16-17;17-19;19-20;20-22;22-23;23-24;
24-25;25-26)
критический путь состоит из работ:
A-B-C-E-F-G-I-J-M-O-S-V-W-X-Y (1-2;2-3;3-4;4-6;6-7;7-9;9-10;10-11;11-14;14-15;15-16;16-19;19-20;20-22;22-23;23-24;
24-25;25-26)
Проверка:-tp1=20 -0=20=T1_2 -
критический-tp2=110 -20=90=T2_3- критический-tp3=124-110=14=T3_4 -
критический-tp4=138-124=14=T4_6- критический
tp19
-tp5=400-135=265>T5_19-tp12=400-358=42>T12_19
tp16-tp15=370-349=21= T15_16 - критический
И так далее, получаем критический путь,
состоящий из работ: A-B-C-E-F-G-I-J-M-O-P-S-V-W-X-Y, аналогично путь
A-B-C-E-F-G-I-J-M-O-Q-S-V-W-X-Y.
3.2 Расчет резервов работ
Проводим расчет следующих временных характеристик
проекта:
раннее начало работы - tрн ij = tpi,
раннее окончание работы - tpo ij = tpi + tij,
позднее окончание работы - tпо ij = tпj,
позднее начало работы - tпн ij = tпj - tij,
свободный резерв работы - Rсв ij = max{tpi - tпi
- tij},
частный резерв первого рода - Rч1ij = tпj - tпi
- tij,
частный резерв второго рода - Rч2 ij = tpj - tpj
- tij.
Результаты расчета временных характеристик
сведены в таблицу 4.
Таблица 4
|
№
раб.
|
t
раб.
|
t
р.н.
|
t
р.о.
|
t
п.н.
|
t
п.о.
|
R
п.
|
R
св.
|
R
ч1
|
R
ч2
|
|
A
|
20
|
0
|
20
|
0
|
20
|
0
|
0
|
0
|
0
|
|
B
|
90
|
20
|
110
|
20
|
110
|
0
|
0
|
0
|
0
|
|
C
|
14
|
110
|
124
|
110
|
124
|
0
|
0
|
0
|
0
|
|
D
|
25
|
110
|
135
|
375
|
400
|
265
|
0
|
265
|
0
|
|
E
|
14
|
124
|
138
|
124
|
138
|
0
|
0
|
0
|
0
|
|
F
|
70
|
138
|
208
|
138
|
208
|
0
|
0
|
0
|
0
|
|
G
|
25
|
208
|
233
|
208
|
233
|
0
|
0
|
0
|
0
|
|
H
|
20
|
208
|
228
|
213
|
233
|
5
|
0
|
5
|
0
|
|
I
|
25
|
233
|
258
|
233
|
258
|
0
|
0
|
0
|
0
|
|
J
|
70
|
258
|
328
|
258
|
328
|
0
|
0
|
0
|
0
|
|
K
|
14
|
328
|
342
|
335
|
349
|
7
|
7
|
7
|
7
|
|
L
|
20
|
328
|
348
|
329
|
349
|
1
|
0
|
1
|
0
|
|
M
|
21
|
328
|
349
|
328
|
349
|
0
|
0
|
0
|
0
|
|
N
|
30
|
328
|
358
|
370
|
400
|
42
|
0
|
42
|
0
|
|
O
|
21
|
349
|
370
|
349
|
370
|
0
|
0
|
0
|
0
|
|
R
|
20
|
370
|
390
|
380
|
400
|
10
|
0
|
10
|
0
|
|
S
|
25
|
400
|
425
|
400
|
425
|
0
|
0
|
0
|
0
|
|
T
|
20
|
425
|
445
|
435
|
455
|
10
|
0
|
10
|
0
|
|
U
|
20
|
425
|
445
|
435
|
455
|
10
|
10
|
10
|
10
|
|
V
|
30
|
425
|
455
|
425
|
455
|
0
|
0
|
0
|
0
|
|
W
|
14
|
455
|
469
|
455
|
469
|
0
|
0
|
0
|
0
|
|
X
|
14
|
469
|
483
|
469
|
483
|
0
|
0
|
0
|
0
|
|
Y
|
7
|
483
|
490
|
483
|
490
|
0
|
0
|
0
|
0
|
4. Стохастический расчёт временных
характеристик
Метод PERT-time.
Для проведения стохастического
расчёта введём значения оптимистической оценки длительности
,
пессимистической оценки
и медиану
, с помощью
которых рассчитываются математическое ожидание длительности работы
, дисперсия
длительности
.
Результаты расчетов сведены в
таблицу 5.
Таблица 5
|
№
п/п
|
Работа
|
Предки
|
Оценка
длительности
|

|
|
|
|
|
 
|
|
|
|
|
|
1
|
A
|
|
17
|
20
|
22
|
19,83333
|
0,694444
|
|
2
|
B
|
A
|
85
|
90
|
93
|
89,66667
|
1,777778
|
|
3
|
C
|
B
|
12
|
14
|
18
|
14,33333
|
1
|
|
4
|
D
|
B
|
22
|
25
|
28
|
25
|
1
|
|
5
|
E
|
C
|
12
|
14
|
18
|
14,33333
|
1
|
|
6
|
F
|
E
|
65
|
70
|
73
|
69,66667
|
1,777778
|
|
7
|
G
|
F
|
21
|
25
|
28
|
24,83333
|
1,361111
|
|
8
|
H
|
F
|
17
|
20
|
22
|
19,83333
|
0,694444
|
|
9
|
I
|
H,G
|
21
|
25
|
28
|
24,83333
|
1,361111
|
|
10
|
J
|
I
|
65
|
70
|
73
|
69,66667
|
1,777778
|
|
11
|
K
|
J
|
12
|
14
|
18
|
14,33333
|
1
|
|
12
|
L
|
J
|
17
|
20
|
19,83333
|
0,694444
|
|
13
|
M
|
J
|
18
|
21
|
25
|
21,16667
|
1,361111
|
|
14
|
N
|
J
|
27
|
30
|
33
|
30
|
1
|
|
15
|
O
|
K,L,M
|
18
|
21
|
28
|
21,66667
|
2,777778
|
|
16
|
P
|
O
|
27
|
30
|
33
|
30
|
1
|
|
17
|
Q
|
O
|
27
|
30
|
32
|
29,83333
|
0,694444
|
|
18
|
R
|
O
|
17
|
20
|
23
|
20
|
1
|
|
19
|
S
|
N,P,Q,R,D
|
21
|
25
|
28
|
24,83333
|
1,361111
|
|
20
|
T
|
S
|
17
|
20
|
22
|
19,83333
|
0,694444
|
|
21
|
U
|
S
|
17
|
20
|
22
|
19,83333
|
0,694444
|
|
22
|
V
|
S
|
27
|
30
|
32
|
29,83333
|
0,694444
|
|
23
|
W
|
T,U,V
|
10
|
14
|
18
|
14
|
1,777778
|
|
24
|
X
|
W
|
10
|
14
|
20
|
14,33333
|
2,777778
|
|
25
|
Y
|
X
|
4
|
7
|
10
|
7
|
1
|
Дисперсии работ критического пути выделены
жирным шрифтом, их сумма -
Мат. ожидания длительности работ
критического пути выделены жирным шрифтом, их сумма-
Далее методом Форда рассчитываем
ранние сроки событий:
Таблица 6
|
События
|
|
Ранние
сроки
|
1
|
2
|
3
|
4
|
5
|
6
|
7
|
8
|
9
|
10
|
11
|
12
|
13
|
14
|
15
|
16
|
|
0
|
19,83
|
109,5
|
123,83
|
134,5
|
138,17
|
207,83
|
227,67
|
227,67
232,66
|
257,50
|
327,16
|
357,16
|
346,99
|
348,33
|
341,49
348,33 346,99
|
370
|
|
0
|
19,83
|
109,5
|
123,83
|
134,5
|
138,17
|
207,83
|
227,67
|
232,66
|
257,50
|
327,16
|
357,16
|
346,99
|
348,33
|
348,33
|
370
|
Решим задачу нахождения ожидаемых с
вероятностями: 36, 50, 73, 98% сроков выполнения проекта:
,
,
Используя таблицу (см.учебное
пособие стр.90) отыщем квантили по значениям вероятности и на их основе
рассчитаем ожидаемые сроки завершения проекта:
а)
(488 дней)
в)
(490 дней)
С вероятностью 50% проект завершится
к длине критического пути.
с)
(493 дня)
д)
(502 дня)
5. Решение задачи с помощью пакета
WinQSB
На данном этапе решаем задачу,
используя программный пакет WinQSB. Ниже приведены все стадии решения.
Собираем задачу и задаем исходные
данные (для этого используем сетевую модель проекта, составленную в
представлениях «работы-связи».
Рис. 5
Полученное решение в табличном виде:
Рис. 6
График Гантта:
Рис. 7
Табличное представление критического
пути:
Рис. 8
Схематическое представление
критического пути.
Рис. 9
Рис. 10
Рис. 11
Рис. 12
Ранее рассчитана:
(стр.14)
Проверка рассчитанных ранее сроков
выполнения проекта.
Рис. 13
Рис. 14
Рис. 15
Рис. 16
Заключение
В курсовой работе представлены
разработка сетевой модели комплекса работ и расчет ее временных характеристик.
Расчет был выполнен вручную, а затем на компьютере с помощью программного
пакета WinQSB. Расчеты, выполненные вручную совпали с расчетами, выполненными
на компьютере, что говорит о верности решения.
Литература
1.
Макаров В.М. Управление проектами в энергетике: Учебное пособие. СПб.: Изд-во
СПбГПУ , 2009 (Экономика и менеджмент в энергетике).