Оптимізація параметрів росту фотонних стекол та кристалів

  • Вид работы:
    Дипломная (ВКР)
  • Предмет:
    Химия
  • Язык:
    Украинский
    ,
    Формат файла:
    MS Word
    1,54 Мб
  • Опубликовано:
    2012-08-27
Вы можете узнать стоимость помощи в написании студенческой работы.
Помощь в написании работы, которую точно примут!

Оптимізація параметрів росту фотонних стекол та кристалів

ЗМІСТ

ВСТУП

РОЗДІЛ 1. ЛІТЕРАТУРНИЙ ОГЛЯД

1.1 Стуктура фотонних кристалів та стекол

1.2 Методи отримання фотонних структур

1.3 Методика синтезу та обробки штучних опалів

ПОСТАНОВКА ЗАДАЧІ

РОЗДІЛ 2. ЕКСПЕРИМЕНТАЛЬНА ЧАСТИНА

.1 Розрахунок хімічної реакції для синтезу фотонних структур

.2 Підготовка та проведення синтезу фотонних кристалів

2.3 Оптимізація параметрів росту фотонних кристалів та підготовка зразків

2.4 Дослідження оптичного спектру фотонного кристалу

ВИСНОВКИ

СПИСОК ВИКОРИСТАНИХ ДЖЕРЕЛ

ВСТУП

Бурхливий прогрес у мікроелектроніці і грандіозні проекти розвитку інформаційних технологій в останній час все ближче стикаються з проблемою існування фундаментальних обмежень швидкодії напівпровідникових пристроїв. У зв'язку з цим все більша кількість досліджень присвячується розробці принципових основ альтернативних до напівпровідникової електроніки областей - мікроелектроніки надпровідників і фотоніки.

Фотонні кристали (ФК) - це штучні періодичні діелектричні структури (матеріали) з забороненою зоною, що перешкоджає поширенню світла в певному частотному діапазоні [1]. Створюючи точкові дефекти (або резонансні порожнини) в такому кристалі, можна захопити фотони в "пастки" забороненої зони (локалізувати фотони в порожнинах дефекту), а потім певним чином використовувати. Частотний діапазон і інші параметри такої порожнини можна задавати досить просто. Регулярні структури інтегральних оптичних волноводів (або діелектричних стержнів) з круглим, прямокутним або шестигранним перетином дозволяють формувати діелектричні (оптичну) і навіть гібридні (діелектрично-металеву) кристалічні структури, які володіють дивовижними властивостями.

Ідея фотонних кристалів вперше була запропонована в 1987 році Елі Яблоновічем [2]. У 1991 Яблоновіч з колегами виготовив перший фотонний кристал шляхом свердління міліметрових отворів у матеріалі з високим показником заломлення. Штучний кристал, який зараз називають «яблоновіт», не пропускав випромінювання міліметрового діапазону і реалізовував фотонну структуру з забороненою зоною. Однак запропонована їм технологія мало підходила для формування структури кристалів, яка дозволяла б працювати з оптичними довжинами хвиль в широко відомих вікнах прозорості (850, 1310, 1550 нм).

Одним з перших практично важливих застосувань таких структур стало виготовлення діелектричних покриттів з унікальними оптичними характеристиками, що застосовуються для створення високоефективних оптичних спектральних фільтрів і зниження небажаного відбиття від оптичних елементів (така оптика одержала назву просвітленої) і діелектричних дзеркал з коефіцієнтом відбиття, близьким до 100%. В якості другого добре відомого прикладу одномірних фотонних структур можна згадати напівпровідникові лазери з розподіленим зворотним зв'язком, а також оптичні волноводи з періодичною поздовжною модуляцією фізичних параметрів (профілю або коефіцієнта заломлення).

Фотонні кристали знайдуть широке застосування в фотонних (оптичних) інтегральних технологіях для створення фотонних інтегральних схем (ФІС). Ці схеми необхідні не тільки для перспективного обладнання оптичних мереж зв'язку, але й для надшвидкодіючих комп'ютерних систем. Так, використовуючи систему пов'язаних лінійних і просторових дефектів, можна формувати складну геометрію просторового оптичного волновода, аналогічно топології електричних зв'язків в електричних інтегральних схемах (ЕІС). Отже, технологія формування ФК може бути використана для виготовлення ФІС, здатних у майбутньому замінити ЕІС в мікропроцесорній техніці. Така заміна дозволить різко скоротити високе енергоспоживання, характерне для всіх ЕІС, а також збільшити тактові частоти та швидкість передачі даних за рахунок більш високої швидкості розповсюдження оптичного променя в порівнянні з фазовою швидкістю електричного сигналу. Крім того, ФК можуть бути застосовані у ряді складних, функціональних завдань, таких як поворот оптичного променя на 90о, перетин в площині двох оптичних волноводов з мінімальними перехідними перешкодами та ефективна фільтрація окремої оптичної несучої.

РОЗДІЛ 1. ЛІТЕРАТУРНИЙ ОГЛЯД

1.1 Структура фотонних кристалів та стекол

Фотонні кристали - матеріали структура яких характеризується періодичною зміною показника заломлення в одному або декількох просторових напрямках або ж матеріали у яких діелектрична проникність періодично змінюється в просторі з періодом що допускає брэггівську дифракцію світла.

Фотонні кристали за характером зміни коефіцієнта заломлення можна розділити на три основні класи [3]: одномірні, двомірних, тривимірні.

У одновимірних кристалах, коефіцієнт заломлення періодично змінюється в одному просторовому напрямку як показано на рисунку 1.1. На цьому рисунку символом Λ позначений період зміни коефіцієнта заломлення, n1 і n2 - показники заломлення двох матеріалів. У загальному випадку в періодичній структурі може бути присутнім будь-яке число матеріалів. Такі фотонні кристали складаються з паралельних один одному шарів різних матеріалів з різними коефіцієнтами заломлення і можуть проявляти свої властивості в одному просторовому напрямку, перпендикулярно верствам.

фотонний кристал опал синтез

 <#"584770.files/image002.jpg"> <#"584770.files/image003.jpg">

Рис 1.3. Схематичне представлення тривимірного фотонного кристалу. Символами позначені коефіцієнти заломлення двох матеріалів n1 і n2.

Як і електричні середовища в залежності від ширини заборонених і дозволених зон, фотонні кристали можна поділити на провідники - здатні проводити світло на великі відстані з малими втратами, діелектрики - практично ідеальні дзеркала, напівпровідники - речовини здатні, наприклад, вибірково відображати фотон певної довжини хвилі і надпровідників, в яких завдяки колективним явищам фотони здатні поширюватися практично на необмежені відстані.

Також розрізняють резонансні і нерезонансние фотонні кристали [1]. Резонансні фотонні кристали відрізняються від нерезонансних тим, що в них використовуються матеріали, у яких діелектрична проникність (або коефіцієнт заломлення) як функція частоти має полюс на деякій резонансній частоті.

Будь-яка неоднорідність в фотонному кристалі (наприклад, відсутність одного або декількох квадратів на рисунку. 1.2, їх більший чи менший розмір щодо квадратів оригінального фотонного кристалу та інше) називаються дефектом фотонного кристалу. У таких областях часто зосереджується електромагнітне поле, що використовується в мікрорезонаторах та волноводах побудованих на основі фотонних кристалів.

Прикладом фотонного кристалу є опал, його мікроструктура являє собою щільну упаковку монодісперсних куль з аморфної двоокису кремнію (a-SiO2), діаметр яких залежить від умов їх отримання і може змінюватися від декількох десятків до тисяч нм [4]. Порожнечі між SiO2-кулями утворюють систему макропор, об'ємна частка яких становить 26% у разі щільноспакованних недеформованних куль.

Однак структуроутворюучі кулі в свою чергу складені з набагато більш дрібних частинок a-SiO2 діаметром 5-20 нм [5] і містять систему нанопор, що є порожнечами між цими частками. В роботі [6] було показано, що структура великих (~ 1000 нм) куль може бути більш складною, ніж для куль 200-300 нм. Останні є "вторинними" і складені первинними частинками діаметром 5 - 10 нм (рис. 1.4). Об'ємні зразки опалу з регулярно упакованих вторинних куль

Рис. 1.4. Схема будови великої частки з ядром. В центрі велике ядро що складається з первинних часток, ядро вкрите кількома шарами менших за розміром вторинних часток.

(діаметром до 500 нм) мають систему мікропор (порожнини між кулями) і нанопор (порожнечі між частинками куль). Великі кулі (~ 1000 нм) можуть містити ядро діаметром до 500 нм з будовою, аналогічною будовою 200 - 300 нанометрових куль. Ядро оточують частинки діаметром 70 - 1000 нм, які, так само як і ядро, є вторинними (тобто складені первинними частинками діаметром 5 - 10 нм). Таким чином, кулі діаметром ~ 1000 нм є третинні, і складені з них об'ємні зразки опала мають трирівневу систему пір, тобто з'являється додаткова система мікропор між вторинними частками оболонки. Їх розмір є проміжним (20 - 40 нм) між нанопорами і мікропорами зразків опалу з розміром куль 200 - 300 нм.

1.2 Методи отримання фотонних структур

У загальному випадку, фотонний кристал - це матеріал, структура якого характеризується періодичною зміною коефіцієнта заломлення. Будучи прозорими для широкого спектру електромагнітного випромінювання, фотонні кристали не пропускають світло з довжиною хвилі, що співрозмірно з періодом структури фотонного кристалу. Ці спектральні діапазони отримали назву "Фотонні заборонені зони" [7]. В даний час найбільший інтерес представляють фотонні кристали, для яких фотонна заборонена зона лежить у видимій (λ ≈ 400 - 700 нм) або в ближній інфрачервоній (λ = 1 - 1,5 мкм) області [8].

Існує кілька вимог, які висуваються до фотонних кристалів: відношення коефіцієнтів заломлення різних фазових просторів фотонного кристалу має бути достатньо великим (n2/n1 ≥ 3) [9], області як з високим, так і з низькими коефіцієнтами заломлення повинні бути топологічно пов'язані; співвідношення фазових просторів повинні відповідати оптимальному [10]. Більшість отриманих в даний час фотонних кристалів мають щільну гексагональну або кубічну кульову упаковку, однак значно більший інтерес становлять фотонні кристали зі структурою алмазу [12], синтез яких по просторовим міркуванням являє собою більш складну задачу [7].

Для створення тривимірних фотонних кристалів з фотонною забороненою зоною у вказаному вище інтервалі довжин хвиль існує два принципово різних підходи: використання темплатного методу, що створює передумови для самоорганізації синтезованих наносистем, і нанолітографія.

Серед першої групи методів найбільше поширення отримали такі, які в якості темплатів для створення твердих тіл з періодичною системою пір використовують монодісперсні колоїдні сфери [12]. Ці методи включають кілька загальних етапів [13] (рис. 1.5).

Рис.1.5. Схема темплатного синтезу фотонних кристалів.

На першому етапі, близькі за розмірами колоїдні сфери рівномірно "упаковують" у вигляді тривимірних (іноді двомірних) каркасів, які надалі виступають в якості темплатів (рис. 1.5а). Для впорядкування сфер крім природного (спонтанного) осадження використовується осадження за допомогою центрифуги, фільтрування з використанням мембран і електрофорез. При цьому, у випадку використання кварцових сфер матеріал що отримується є синтетичним аналогом природного опалу [14].

На другому етапі, порожнини в темплатній структурі насичують рідиною, що згодом при різних фізико-хімічних впливах перетворюється на твердий каркас (рис. 1.5б).

На останньому етапі, темплати (колоїдні сфери) видаляють, використовуючи в залежності від його природи процеси розчинення або термічного розкладання (рис. 1.5в). Такі структури часто називають зворотніми репліками вихідних колоїдних кристалів або "зворотними опалами". Щоб кінцевий пористий матеріал мав фотонні властивості, сфери повинні мати вузький розподіл за розмірами: їх діаметри не повинні відрізнятися від середнього розміру більш ніж на 5-8%.

Як правило, сферичні кварцові частинки синтезують з використанням методу, вперше запропонованого В. Стебером (W. Stöber) та ін [15] і згодом дослідженому в роботі [16]. За даним методом, сферичні кварцові частинки отримують реакцією гідролізу ефіру ортокремніевої кислоти (тетраетоксісілан - ТЕОС) в нижчих спиртах СnH2n+1OH (n=1-4). В якості каталізатора використовується аміак. ТЕОС додають у суміш будь-якого із зазначених спиртів з аміаком і водою в необхідних співвідношеннях, після чого реакційна суміш інтенсивно перемішується. Вже через 5 хвилин у розчині починається процесс створення кристалів, а через 30 хвилин частинки кремнезему досягають своїх остаточних розмірів, при цьому відхилення діаметрів частинок від середнього стає мінімальним [17]. В роботі [15] були також досліджені вплив концентрацій всіх компонентів на швидкість реакції, морфологію, розміри і однорідність кварцових частинок що отримуються. Метод дозволяє отримувати сферичні кварцові частинки з розміром від 50 нм до 2 мкм.

У той же час, відомі й інші методи отримання монодісперсних кварцових сфер [18], в яких у якості джерела кремнезему використовується силікат натрію Na2SiO3. Очевидним недоліком цих методів є полідісперсність сфер що отримуться, що призводить до необхідності їх попередньої багаторазової сепарації перед використанням [19].

Рис. 1.6. Схема синтезу монодісперсних полістирольних сфер, описаного в роботі [20].

Для отримання однорідних полістирольних сфер, як правило, використовують методику, що описана в роботі [20] (рис. 1.6). Для цього у водний розчин стиролу, попередньо багаторазово промита 0,1 M NaOH і водою, при температурі 70°С додають ініціатор полімеризації (персульфат калію або амонію) і перемішують зі швидкістю 250-360 об./хв. протягом 28 годин (реакцію проводять в атмосфері азоту). Для видалення великих агломератів отриману суспензію фільтрують через скловату. Латексні сфери можуть залишатися в розчині в стійкому стані невизначено довго, тому перед використанням їх центрифугуют (900-1000 об./хв. протягом 12-24 годин) і висушують на повітрі. В роботі [20] були отримані полімерні сфери з діаметрами 421 ± 40 нм і 697 ± 64 нм при швидкостях перемішування 245 та 360 об./хв., відповідно. У загальному випадку, метод дозволяє отримувати сферичні полімерні частинки з діаметром від 100 нм до декількох мікрон.

Осадження колоїдних частинок тільки під дією сил гравітації моделює природний механізм утворення природного опалу. У процесі тривалого відстоювання відбувається розподіл частинок за розмірами, що дозволяє одержувати добре впорядковані зразки синтетичних опалів, навіть якщо використовувані кварцові сфери мають значні відхилення за розмірами. Однак, природне осадженням - дуже повільний процес, як правило, вимагає декількох тижнів або навіть місяців, особливо в тому випадку, коли діаметр сфер не перевищує 300 нм. Центрифугування дозволяє значно прискорити процес формування колоїдних кристалів. Однак, отримані в таких умовах матеріали впорядковані гірше, через те що при високій швидкості осадження, розподіл частинок за розмірами не встигає відбутися [14].

Як зазначає автор [21], метод природного осадження пов'язаний з рядом труднощів. Якщо розміри кварцових сфер достатньо малі (<300 нм), вони можуть не утворити осаду, оскільки енергія теплового руху стає співрозмірною з енергією гравітаційного поля. З іншого боку, при осадженні великих сфер (діаметром> 550 нм) швидкість їх осадження настільки велика, що отримати впорядковані масиви стає важко, а при подальшому збільшенні розмірів сфер - практично неможливо.

У зв'язку з цим, у роботі [22] для збільшення швидкості седиментації малих сфер і зменшення - великих використовували електрофорез. У цих експериментах вертикальне електричне поле (в залежності від напрямку) в одних випадках "збільшувало", а в інших - "зменшувало" силу тяжіння, що діє на частинки. Як і очікувалося, чим повільніше проходив процес осадження, тим більш упорядкованими виходили зразки.

Останнім часом велике поширення одержав метод впорядкування колоїдних сфер, пов'язаний з використанням капілярних сил [23]. Було показано, що кристалізація субмікронних частинок на кордоні меніска між вертикальною підкладкою та колоїдною суспензією по мірі випаровування останньої призводить до утворення тонкої, плоскої, добре впорядкованої структури. У той же час, вважалося, що використання цього методу для одержання колоїдних кристалів на основі частинок діаметром > 400 нм неможливо, оскільки осадження великих частинок під дією сили тяжіння, як правило, відбувається швидше, ніж рух меніска вздовж підложки внаслідок випаровування розчинника.

Автори робіт [24, 25] вирішили цю проблему, застосовуючи градієнт температур, який ініціює конвекцію: конвекційні потоки сповільнюють седіментацію, прискорюють випаровування і призводять до безперервного току сферичних частинок до меніска.

Розглянуті методи далеко не вичерпують всього різномаїття відомих на сьогоднішній день способів одержання колоїдних кристалів. У літературі описані методи текстурування [26], упорядкування кварцових і полімерних частинок між двома паралельними підложками [27], всередині краплі, поміщеної в інертному неполярному розчиннику високою щільністю[28], і ряд інших [30, 31].

У багатьох випадках, синтетичні опали, отримані на основі кварцових сфер, вже розглядаються як фотонні кристали [31, 32], однак вимірювання показали, що вони не володіють повною фотонною забороненою зоною у видимій області. Тому синтетичні опали так само використовуються в якості темплатів для створення пористих структур з фотонними властивостями. Зокрема, в роботі [19] макропористі матеріали були синтезовані на основі вуглецю. Вони одержали назву "зворотні вуглецеві опали". Синтезовані на основі силікату натрію кварцові сфери кристалізовані протягом 10 місяців, висушують на повітрі при температурі 120°С 2-3 доби після чого спікалі при 700°С. Після цього порожнини в структурі синтетичного опалу заповнювалися вуглецем, а кварцові сфери видаляли розчиненням в плавіковій кислоти.

Перспективним напрямком у створенні фотонних кристалів є використання нанолітографіі. Більшість робіт, виконаних в цій області, присвячені отриманню фотонних кристалів зі структурою [33, 34], що представляє із себе систему шарів, що складаються з еквідістантно і паралельно розташованих "брусків". В кожному наступному шарі бруски укладаються перпендикулярно до брусків попереднього шару, через один шар бруски зсуваються на половину періода (таким чином, шари повторюються через кожні 4 шари). В результаті виникає асиметрична гранецентрованна кубічна структура (рис. 1.7д).

Метод синтезу фотонного кристалу з описанною структурою на основі напівпровідника арсеніду галію GaAs (або фосфіду Індія InP) розглянутий у роботах [33, 34] (рис. 1.7). Спочатку на основі вирощується шар GaAs необхідної товщини (рис. 1.7а). Потім за допомогою літографії і травлення плівку GaAs перетворювали в послідовність паралельних і еквідістантно розташованих брусків однакового розміру (рис. 1.7б). Отриманий композит розрізали на дві частини і шари GaAs поєднували таким чином, щоб бруски одого шару були перпендикулярні брускам іншого.

Рис. 1.7. Метод синтезу фотонного кристалу зі структурою складеною з брусків [33].

Отриману багатошарову систему зпікают в атмосфері водню, після чого одну з підкладок стравлюють (рис. 1.7г). Для отримання багатошарових (чотирьох-, шести-, восьми-і т.д.) систем шарів GaAs, описані процедури повторюють відповідне число разів, причому (як зазначалося вище) при кожному з'єднанні шарів GaAs його структура зсувається на половину періода (рис. 1.7д).

У той же час, нанолітографія дозволяє створювати фотонні кристали і з більш складними структурами: алмаза і "зворотного алмаза" (рис. 1.8) [35]. Моделювання структур проводили з використанням CAD-програми (Computer Aided Design). Далі програма розбиває створену тривимірну структуру на плоскі шари і керувала роботою стереолітографічної машини (D-MEC Ltd, Japan, SCS-300P). Формування двомірних шарів здійснювали скануванням поверхні рідкої фоточутливої гуми УФ-лазером з довжиною хвилі λ = 355 нм. Будучи обробленою лазерним променем, фоточутлива гума локально полімерізовалась і ставала твердою, утворюючи решітку майбутнього фотонного кристалу. Задані тривимірні структури були отримані поетапно: шар за шаром. Товщина кожного шару становила 100 мкм. У деяких випадках для збільшення коефіцієнта заломлення матеріалу фотонного кристалу до фоточутливої гуми додавали частки діоксиду титану TiO2 - до 10%.

Рис. 1.8. Фотонні кристали зі структурами алмаза і "зворотного алмаза", отримані методом стереолітографії [35].

Ще більш незвичайна структура була отримана в роботі [36] (рис. 1.9): тетрагональний фотонний кристал збирався з спіральних стовпчиків, отриманих з використанням методу GLAD (glancing angle deposition) [37]. Даний метод дозволяє створювати складні тривимірні структури на основі металів, оксидів металів та напівпровідників шляхом осадження під нахилом з газової фази і ретельно контрольованого руху двомірно текстурованої підкладки. Отримані в роботі [36] фотонні кристали мали фотонні заборонені зони в інфрачервоній області.

Рис. 1.9. Структура фотонного кристалу, отриманого методом GLAD [36].

Таким чином, нанолітографія дозволяє отримувати фотонні кристали з досить складними структурами, такими як структура алмазу [35], які добре впорядковані, але, як правило, мають фотонні заборонені зони тільки в мікрохвильовому або в дальньому інфрачервоному діапазонах. Однак нанолітографія забезпечує отримання структур лише невеликої товщини [38] (кількість шарів завжди невелика, через те що створення кожного шару займає досить тривалий час), тоді як темплатні методи таких обмежень не мають.

В роботі [9] повідомляється про оптичні розсіюючи властивості макропористого фосфіду галію GaP, підданного електрохімічному травленню: були отримані пластини з порами розміром 150 нм. Пористість зразків становила 35% і 50%. GaP має високий коефіцієнт заломлення (~ 3,3), що дозволяє приготувати фотонні системи з незначною абсорбцією в червоній області видимого спектру. Заповнений повітрям макропористий фосфід галію володіє найбільшою ефективністю розсіювання в видимій області спектру.

Рис. 1.10. Мікрофотографіі пористого Al2O3, отриманого анодним окисленням алюмінію в різних умовах: а) H2C2O4 / 40 B, б) H3PO4 / 195 B [39].

В роботі [39] плівки Al2O3 з упорядкованою системою пір були отримані анодним окисленням алюмінієвої фольги (99,99%) протягом 3-6 годин при кімнатній температурі і постійній напрузі, що змінювалось від 40 до 200 В. В якості електролітів використовували водні розчини H2C2O4 та H3PO4. На рисинку 1.10 показані отримані в роботі [39] типові електронні мікрофотографії плівок Al2O3, отриманих анодним окисленням алюмінію в H2C2O4 та H3PO4. Добре видно, що пори характеризуються вузьким розподілом за розмірами і зібрані в кластери розміром до 5 мкм в діаметрі. В залежності від умов окислення були отримані зразки з порами, діаметри яких варіювалися в інтервалі від 80 (рис. 1.10а) до 460 нм (рис. 1.10б).

1.3 Методика синтезу та обробки штучних опалів

З методів що описані в 1.2 може бути реалізований метод вирощування штучних опалів описаний у роботі [40]. Монодісперсні сферичні частинки кремнезему (МСЧК) розмірами в інтервалі 235-765 нм отримували за методом В. Стебера і А. Финка [15], вдосконаленому авторами робіт [41, 42], що дозволило значно розширити діапазон розмірів отримуваних монодісперсних сферичних частинок. Перша серія була проведена при температурі 18°С, вся підготовка тетраетоксісілана зводилася до попередньої отчистки перегонкою (166-170)°С. Друга серія проводилася аналогічно перший тільки при температурі 8°С. Третя серія була проведена з використанням тетраетоксісілана обробленого за комбінованою методикою [41, 42], в інтервалі концентрацій (0.04 ÷ 4.75) моль/дм3 для NH3 та (1.5 ÷ 31.8) моль/дм3 для H2O, при постійній концентрації тетраетоксісілана 0.28 моль/дм3 (рис. 1.11). Саме в цій серії вдалося отримати монодісперсні сферичні частинки кремнезему в широкій області співвідношення компонентів системи: (0.2 ÷ 0.8) моль/дм3 для NH3 і (2.75 ÷ 6.4) моль/дм3 для H2O і як наслідок в широкому інтервалі розмірів: 235-765 нм.

Рис. 1.11. Область синтезу монодісперсних сферичних частинок кремнезему при C(ТЕОС)=0.280 моль/дм3 на потрійний діаграмі Гіббс-Розебома.

Абсолютні розміри частинок визначалися на електронному скануючому мікроскопі JSM-6400, однак при концентрації H2O і NH3 нижче 0.190 і 2.50 моль/л. відповідно, утворилися стійкі золі, для вимірювання відносних значень розмірів яких був використаний метод світлорозсіяння.

В результаті були отримані залежності розмірів сферичних частинок що утворюються від концентрації NH3 і H2O в системі. Звертає на себе увагу коливальний характер даної залежності, яка виявляється, незалежно від умов отримання.

На базі наявних літературних та отриманих експериментальних даних був запропонований наступний механізм утворення надмолекулярних структур. Згідно з ідеями кластерної самоорганізації речовини на нанорівні [43], ультрадісперсні частинки розмірами, характерними для опалових кульок, швидше за все, повинні бути побудовані з набагато менших, ніж зазначені вище 10 нм, частинок. Розміри цих частинок залежать від перенасичення розчину і в аморфному стані можуть досягати значень приблизно 2.4 нм. Відповідно всі компактні аморфні утворення можуть бути сформовані в результаті їх ієрархічної агрегації. У першому випадку, при розташуванні кластерів навколо центрального, утворюється кластерний агрегат 1-го ієрархічного рівня. Аналогічним чином будується кластер 2-го рівня і т. д. (рис. 1.12).

Рис. 1.12. Механізм утворення сферичних частинок кремнезему, за принципом ієрархічної агрегації.

Оскільки в отриманих опалових матрицях відсутні ознаки кристалічності, природно припустити, що діаметр вихідного кластеру менше 2,4 нм. В результаті інтервал розмірів що спостерігається в експериментах для монодісперсних сферичних частинок кремнезему досягається у випадку МСЧК вже на 6 ієрархічному рівні.

Таким чином, виявлений коливальних характер залежності діаметра сферичних частинок від концентрації аміаку і води в системі, поряд з дискретністю розмірів сферичних частинок що утворюються дозволяє інтерпретувати механізм їх утворення як процес ієрархічної самоорганізації речовини на нанорівні.

Одним з методів обробки або модифікації фотонних кристалів є термічний метод. Розглянемо його на прикладі модифікації кристалу синтетичного опалу.

Закріплення структури опалов і приготування композиційних матеріалів на їх основі, як правило, пов'язані з використанням достатньо високих температур, тому необхідні чіткі уявлення про структурні зміни як мікропорістої, так і нанопорістої систем в процесі відпалу опалів.

Значення щільності вихідних зразків опалу з діаметром куль 315 нм знаходяться в інтервалі від 1,15 до 1,18 грам/см3, а з діаметром куль 1000 нм - 1,07 грам/см3. Ці величини помітно менше аналогічної щільності 1,27 - 1,28 грам/см3, знайденої для вихідних опалів методом рентгенівського поглинання [44]. Аномально низьке значення щільності вихідних опалів з діаметром куль 1000 нм (1,07 грам/см3) підтверджує наявність трирівневої системи пір в опалі, що складаються з великих куль SiO2. Слід зазначити, що розраховані значення щільності у випадку найщільнішої упаковки недеформірованних сфер рівні 1,21 і 0,89 грам/см3 для зразків з дворівневою і трирівневою системою пір відповідно. На щільність синтетичних опалів в початковому стані істотно впливає технологія їх приготування, а також ступінь очищення від кремнійорганічних залишків та адсорбованої води.

На рис. 1.13 представлені залежності щільності опалів від температури відпалу при тривалості 4 та 24 години. На цій залежності можна виділити три характерні області. У першій області при температурах до 500°C щільність відпалених зразків практично не відрізняється від щільності вихідних опалів (1,18 ± 0,01) грам/см3. Неминуче при цьому видалення кремнійорганічних залишків і адсорбованої води повинно приводити до зменшення маси зразка, але паралельно йде процес зменшення об'єму за рахунок більш щільного контакту куль, так що в результаті щільність залишається постійної в межах помилок вимірів. У другій

Рис. 1.13. Залежність гаданої щільності опалів від температури відпалу при його різної тривалості: 1 - 4 та 2 - 24 години.

температурній області, від 600 до 950-1000°С, спостерігається зростання щільності до значень 1,4 - 1,5 грам/см3, більш крутий для більшого часу відпалу 24 години. У цій температурній області відпалу опалів відбувається поступове зникнення нанопор (починаючи з найменших за розміром), існування яких всередині структуроутворюючих куль було показано в роботі [44]. Нарешті в третій, дуже вузькій області (від 950 до 1050°C при 24-годинному відпалі, і від 1000 до 1100°C при 4-годинному відпалі), відбувається різке збільшення щільності опалів аж до величини 2,22 грам/см3, відповідної щільності аморфного діоксиду кремнію (кварцове скло). На цій стадії відпалу має місце зникнення мікропор (пустоти між сферами) і повне спікання куль, так що в результаті опал втрачає ознаки впорядкування на всіх рівнях і перетворюється в кварцове скло.

ПОСТАНОВКА ЗАДАЧІ

Метою дипломної роботи є проведення досліджень в напрямку оптимізації параметрів росту фотонних кристалів та стекол. Для досягнення поставленої задачі потрібно:

1.       Виконати огляд методів отримування фотонних структур.

2.       Відпрацювати методику підготовки хімічного обладнання до проведення синтезу штучних опалів за темплатним методом.

.        Провести синтез фотонних кристалів які б мали різні параметри структури.

.        Підготувати отриманні фотонні структури до вимірювань.

РОЗДІЛ 2. ЕКСПЕРИМЕНТАЛЬНА ЧАСТИНА

Для отримання фотонних кристалів був обраний темплатний метод що створює передумови для самоорганізації синтезованих наносистем. Перевагою цього методу є те, що він дозволяє отримувати добре впорядковані зразки і не потребує використання дорогого високоточного обладнання, а також менш критичний до умов в яких вирощуються кристали.

2.1 Розрахунок хімічної реакції для синтезу фотонних кристалів

Сферичні кварцові частинки були отримані шляхом реакції гідролізу ефіру ортокремнієвой кислоти Si(OC2H5)4 (тетраетоксісілан - ТЕОС) в етиловому спирті C2H5OH. В якості каталізатора використовувався аміак у вигляді 10% водного розчину NH4OH (гідроокис амонію). Розрахункова кількість речовин для приготування розчину була визначина з мольного співвідношення:: H2O: C2H5OH: Si(OC2H5)4 = 1: 20: 11: 0,14 (Таблиця 2.1)

Таблиця 2.1. Склад розчинів для проведення експериментів

H2O, мл

C2H5OH, мл

Si(OC2H5)4, мл

NH4OH, мл

NH3, мл

1

15

100

4,77

40

4

2

15

100

4,77

43

4,3

3

15

100

4,77

46

4,6

4

15

100

4,77

44

4,4

5

15

100

4,77

45

4,5


Для визначення оптимальних параметрів росту кристалів і їх властивостей варіювалася кількість гідроокису амонію.


Процес вирощування кристалів був розпочатий з підготовки ємностей. Для отримання максимально гладкої і рівної поверхні кристала в якості поверхні на якій він буде вирощуватися використано поліроване скло. Це скло виготовлене з фотопластинки з якої змитий фоточутливий шар. Стінки ємностей виконані із скляних трубок. Самі трубки були отримані з пробірок різного діаметра. Дно пробірок було відрізано, отримана поверхня ретельно відшліфована в кілька етапів для отримання найкращого контакту з поверхнею скляних пластинок.

Наступний етап підготовки - очищення поверхонь скляних пластинок і трубок. Промивка зроблена у водному розчині каустичної соди, потім трубки і пластинки витерті насухо з допомогою чистої бавовняної тканини. Після цього поверхні пластинок протерті ватою змоченою в етиловому спирті. Місце на пластинці на якому буде розташовуватися фотонний кристал, додатково було оброблено азотною кислотою (HNO3). Така обробка забезпечує відсутність жирів, сторонніх солей, і сприяє забезпеченню чистоти експерименту.

Для кріплення трубок до скляних пластинок використовувався восковий пластилін. Застосування пластиліну обумовлено його хімічною пасивністю. Оскільки для вирощування кристалів використовується досить хімічно активні речовини, застосування будь-яких полімерних клеїв небажано, тому що компоненти цих клеїв можуть потрапляти в розчин. Для перевірки герметичності з'єднання трубок з пластинками отримані ємності були заповнені дистильованою водою, залишені на добу. Після перевірки на герметичність, ємностям присвоєні номери.

Склянка, призначена для приготування розчину, і мірні пробірки перед використанням промиті дистильованою водою.

Для приготування розчину в склянку ємністю 400 мл наливаємо 100 мл етилового спирту C2H5OH. Склянку встановлюємо на столі змішувача, включаємо змішувач і встановлюємо оберти, таким чином, щоб у рідини не утворювалися бульбашки повітря і не було глибокої воронки. Потім вливається в етиловий спирт певна кількість розчину гідроокису амонію NH4OH згідно таблиці 2.1, 5 мл дистильованої води H2O і 4,77 мл тетраетоксісілану Si(OC2H5)4.

Через п’ять хвилини починається помутніння розчину, отже починається процес утворення сферичних кварцових частинок.

Зовнішній вигляд який розчин приймає через 15 хвилин після приготування надалі не змінюється. Через 30 хвилин додаємо у розчин останні 10 мл дистильованої води. Після чого розчин перемішують ще 10 хвилин.

Приготований розчин розливаємо у різні ємності. Внутрішні діаметри ємностей мали значення від 18 мм до 37 мм, висота - від 96 мм до 209 мм. Діаметри ємностей і їх висоти впливають на швидкість випаровування компонентів розчину. Зі збільшенням діаметра збільшується швидкість випаровування, тому що збільшується площа поверхні розчину. Збільшення висоти призводить до збільшення часу необхідного для випаровування розчину і відповідно формування фотонного кристалу.

2.3 Оптимізація параметрів росту фотонних кристалів та підготовка зразків

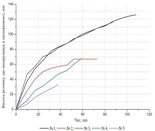
Контроль процесу росту кристала проводився шляхом періодичного вимірювання висоти розчину в ємностях.

Зовнішній вигляд ємностей через сімдесят днів після початку експерименту показано на рисунку 2.5. На рисунку 2.5 чітко видно, що осад у верхній частині ємностей має різний відтінок. Різний відтінок вказує на те, що розміри кварцових сфер відрізняються в різних експериментах.

Результати вимірювань занесені в таблиці 2.2 і 2.3. Графіки що ілюструють процес зменшення висоти розчину через випаровування в експериментах наведені на рисунку 2.6.

Таблиця 2.2. Залежність висоти розчину що випарувався від часу

Час, дні

Висота розчину що випарувався в експерименті, мм


№1

№2

№3

№4

№5

10

38

25

47

12

7

17

54

40

57

25

16

24

65

50

70

31

22

32

78

55

75

40

28

38

83

57

82

47

33

46

88

59

88

52


52

94

67

93

60


59

98


100

68


66

103


104



73

108


108

111


112



87

117


116



94

121





101

124





108

126






На рисунку 2.7 зображені графіки залежності висоти розчину від часу що минув від початку експерименту.

Рис. 2.6. Залежність висоти розчину що випарувався від часу.

Таблиця 2.3. Залежність висоти розчину від часу

Час, дні

Висота розчину в експерименті, мм


№1

№2

№3

№4

№5

0

188

71

158

140

131

10

150

46

111

128

124

17

134

31

101

115

115

24

123

21

88

109

103

32

110

16

83

100

98

38

105

14

76

93


46

100

12

70

88


52

94

4

65

80


59

90

0

72


66

85


54



73

80


50



80

77


46



87

71


42



94

67





101

64





108

62





Рис. 2.7. Залежність висоти розчину від часу.

Розрахована середня швидкість випаровування розчинів наведена в таблиці 2.4.

Таблиця 2.4. Середня швидкість випаровування розчинів

Номер експерименту

1

2

3

4

5

Середня швидкість випаровування, мм/добу

1,17

1,29

1,33

1,15

0,86


Виходячи з даних таблиці 2.4 можна розрахувати очікуваний час випаровування всього розчину для кожного експерименту, результати наведені в таблиці 2.5.

Таблица 2.5. Очікуваний час до завершення випаровування розчину

Номер експерименту

1

2

3

4

5

очікуваний час до завершення експерименту, дні

53

-

32

63

114


В експерименті номер два використовувалася ємність з внутрішнім діаметром 33 мм і висотою 96 мм. Експеримент було завершено за сімдесят один день. За рахунок високої швидкості випаровування і відносно невеликої кількості розчину, товщина отриманого кристалу виявилася менше міліметра. Це привело до виникнення великої внутрішньої напруги в процесі випаровування і в результаті кристал почав розтріскуватися, і до моменту закінчення випаровування зруйнувався на частинки розміром до 5 мм у поперечнику.

Для покращення властивостей отриманого кристалу була виконана його термообробка. Щоб мінімізувати небезпеку руйнування зразків в процесі термообробки, відпал було проведено в два етапи.

Перший етап відпалу відбувався при температурі 110-120°С протягом 10

годин для видалення фізично адсорбованої води (вода в пористій структурі опалового матеріалу, утримується за рахунок дії капілярних сил). Другий етап при температурі 800-900°С протягом 10 годин для видалення хімічно зв'язаної води і залишкової органіки, що знаходяться всередині сферичних частинок. Після проведеної термообробки в зразках залишається не більше 1-2% води і залишкової органіки. Крім того термообробка привела до підвищення міцності опалового матеріалу за рахунок утворення зв'язків між сферичним частками в процесі спікання, а також до поліпшення його оптичних властивостей завдяки видаленню води та збільшенню відносних показників заломлення компонентів матеріалу. З цієї причини відпалені зразки придбали спеціальне забарвлення (рис 2.8).

2.4 Дослідження оптичного спектру фотонного кристалу

Спектри пропускання для вирощених зразків були дослідженні за допомогою установки схема якої зображена на рисунку 2.9.

Рис.2.9. Блок-схема установки для вимірювання спектрів пропускання.

До складу установки входять: освітлювач (1) - галогенна лампа розжарення потужністю 75 Вт, світло якої за допомогою оптичного волокна (2) та фокусуючої лінзи (7) спрямовується та фокусується на досліджуваному зразку (3), подвійний монохроматор спектрометра ДФС-12 (4), імпульсний підсилювач струму (5), частотомір (6). Світло з галогенної лампи по оптичному волокну потрапляє на досліджуваний зразок, проходить крізь нього та фокусується лінзою, далі за допомогою аналогово-цифрового перетворювача реєструється на комп’ютері.

Інформацію про параметри фотонних кристалів показують оптичні спектри, а саме, спектри пропускання та відбиття світла в видимому діапазоні. При виконанні роботи були отримані спектри пропускання отриманих зразків кристалів.

Спектр випромінювання галогенної лампи наведено на рис. 2.10.

Рис. 2.10. Спектр випромінювання галогенної лампи розжарення (без врахування впливу фотоелектричного перетворювача та монохроматора).

Для розрахунку абсолютного значення коефіцієнта пропускання зразків синтетичного опалу використовувались дані, що були отримані при пропусканні світла через повітря (за відсутності зразка), коефіцієнт пропускання якого близький до 100%. Отриманий спектр точно відповідав спектру світла, що падало на зразок, тому це давало можливість отримати значення коефіцієнту пропускання синтетичного опалу як T = Iпрох/Iпад, де Iпрох - інтенсивність світла, що падає на зразок; Iпад - інтенсивність світла після проходження зразка.

Для того щоб уникнути похибок пов’язаних зі змінами параметрів експерименту вимірювання інтенсивності світла з досліджуваними зразками на шляху розповсюдження світла та без них, проводились в однакових умовах. Всі параметри ретельно контролювались та зберігались незмінними.

Інтенсивністі спектрів пропускання, що були отримані для зразків штучного опалу було поділено на інтенсивність спектру джерела світла, таким чином було отримано абсолютне значення коефіцієнтів пропускання зразків опалу. Розрахований спектр зображений на рисунку 2.11. Добре видно наявність на

Рис.2.11. Спектр пропускання вирощеного синтетичного опалу.

спектрі двох мінімумів, що відповідають довжинам хвиль ~ 425нм та 510 нм. Цей факт свідчить про те що отриманий кристал має упорядковану фотонну структуру.

Згідно закону Брегга-Вульфа:

dsinθ = kλ, (1)

Закон Снелліуса має вигляд:

sinθ/sinγ = n (2)

де θ - кут падіння (кут між падаючим променем перпендикуляром до межі розділу двох середовищ, відновленим в точці падіння), γ- кут заломлення (визначається аналогічно куту падіння), n - показник заломлення середовища. З рівнянь (1) і (2) отримуємо рівняння, яке описує дифракцію світла за допомогою коефіцієнта заломлення, що періодично змінюється:

λ=2d/k√(n2(λ) - sin2θ)    (3)

За коефіцієнт заломлення оптично неоднорідного середовища приймали ефективний показник заломлення:

=nsio2(λ)*хsio2 + nпов. *(1- хsio2 )           (4)

де nsio2(λ) - показник заломлення SiO2 (залежний від довжини хвилі ), nпов = 1 - показник заломлення повітря і хsio2 = 0,74 - об’ємна частка діоксиду кремнію (оскільки частина загального об’єму, що зайнята твердими кулями в щільній упаковці складає 74%).

λmin=2d*n

= 2d*1,35 => d = 188,8 нм

d = (⅔)½*D => D = 233 нм,

де D - розмір куль впорядкованих мікросфер.

ВИСНОВКИ

У роботі описана структура фотонних кристалів. Показана актуальність проведення досліджень в галузі вирощування, модифікації фотонних кристалів та стекол, для розширення області використання їх в фотоніці, оптичних системах обробки інформації. Виконаний огляд літератури з методів синтезу фотонних кристалів, описані основні і найбільш часто використовувані способи їх синтезу.

У ході роботи була відпрацьована методика підготовки необхідого для синтезу додаткового хімічного обладнання. Розрахована кількість речовин необхідних для синтезу фотонних структур з урахуванням їх концентрації у наявних розчинах. Виконана підготовка обладнання, проведено п’ять синтезів фотонних кристалів з різними концентраціями аміаку з метою визначення оптимальних параметрів вирощування фотонних кристалів, та отримання зразків з різними значеннями розмірів глобул і міжшаровими відстаннями. Отриманий зразок штучного опалу. Виконаний відпал цього штучного опалу для підвищення його міцності і для набуття спеціального забарвлення. Зразок був дослідженій за допомогою спектрометра, спект пропускання свідчить про те що він дійсно представляє собою фотонний кристал.

СПИСОК ВИКОРИСТАНИХ ДЖЕРЕЛ

1.       Е. Л. Ивченко, А. Н. Поддубный, "Резонансные трёхмерные фотонные кристаллы, "Физика твёрдого тела, 2006, том 48, вып. 3, стр. 540-547.

2.       E.Yablonovich. Inhibited Spontaneous Emission in Solid-State Physics and Electronics // Phys. Rev. Lett., 58 (1987) 2059.

.        J.D. Joannopoulos, R.D. Meade, and J.N. Winn, Photonic Crystals: Molding the Flow of Light, Princeton Univ. Press, 1995.

4.       V.L. Colvin. MRS Bulletin 26, 8, 637 (2001). <http://ru.wikipedia.org/wiki/%D0%A4%D0%BE%D1%82%D0%BE%D0%BD%D0%BD%D1%8B%D0%B9_%D0%BA%D1%80%D0%B8%D1%81%D1%82%D0%B0%D0%BB%D0%BB>

5.       В.Н. Богомолов, Л.С. Парфеньева, А.В. Прокофьев, И.А. Смирнов, С.М. Самойлович, А. Ежовский, Я. Муха, Х. Мисерек. ФТТ 37, 11, 3411 (1995).

.        И.А. Карпов, Э.Н. Самаров, В.М. Масалов, С.И. Божко, ГА. Емельченко. ФТТ 47, 2, 334 (2005).

.        E. Yablonovich. Phys. Rev. Lett. 58 (1987) 2059.

8.       А.С. Бирюков, Е.М. Дианов. Сбор. трудов Уч.-науч. центра волок.-опт. матер. и устр. 5 (2002) 6.

.        F.J.P. Schuurmans, D. Vanmaekelbergh, J. van de Lagemaat, A. Lagendijk. Science 284 (1999) 141.

.        I.I. Tarhan, M.P. Zinkin, G.H. Watson. Opt. Lett. 20 (1995) 1571.

.        K.M. Ho, C.T. Chan, C.M. Soulkoulis. Phys. Rev. Lett. 65 (1990) 231.

.        Y. Xia, B. Gates, Y. Yin, Y. Lu. Adv. Mater. 12 (2000) 693.

.        A.Stein. Microp. & Mesop. Mater. 44-45 (2001) 227.

14.     Н.Д. Денискина, Д.В. Калинин, Л.К. Казанцева. Благородные опалы (природные и синтетические). Новосибирск: Наука, 1987.

15.     W. Stöber, A. Fink and E. Bohn. J. Coll. Interf. Sci. 26 (1968) 62.

16.     D.W. McComb, B.M. Tremble, C.J. Smith et al. J. Mater. Chem. 11 (2001) 142.

.         T. Shimohira, N. Tomuro. J. Jpn. Soc. Pow. & Pow. Mat. 23 (1976) 137.

18.     A.J. Gaskin and P.J. Darragh. U.S. Patent 3 497 367 (1970).

.        A.A. Zakhidov, R.H. Baughman, Z. Iqbal et al. Science 282 (1998) 897.

.        B.T. Holland, C.F. Blanford, T. Do and A.Stein. Chem. Mater. 11 (1999) 795.

21.     M. Holgado, F. Garcia-Santamaria, A. Blanco et al. Langmuir 15 (1999) 4701.

22.     M. Trau, D.A. Saville, I.A. Askay. Science 272 (1996) 706.

23.     N.D. Denkov, O.D. Velev, P.A. Kralchevsky et al. Nature 361 (1993) 26.

.         Y.A. Vlasov, X.-Z. Bo, J.C. Sturm & D.J. Norris. Nature 414 (2001) 289.

25.     J.D. Joannopoulos. Nature 414 (2001) 257.

26.     P. Yang, T. Deng, D. Zhao et al. Science 282 (2000) 2244.

.        B. Gates, D. Qin, Y. Xia. Adv. Mater. 11 (1999) 466.

.        O.D. Velev, A.M. Lenhoff, E.W. Kaler. Science 287 (2000) 2240.

29.     F. Burmeister, C. Schäfle, B. Keilhofer et al. Adv. Mater. 10 (1998), 495.

.        H. W. Deckman, J.H. Dunsmuir. European Patent EP-0-083510B1 (1987).

.        H. Miguez, F. Meseguer, C. Lopez et al. Langmuir 13 (1997) 6009.

.        Y.A. Vlasov, V.N. Astratov, O.Z. Karimov et al. Phys. Rev. B 55 (1997) 357.

33.     S. Noda. Physica B 279 (2000) 142.

.        S. Noda, N. Yamamoto, A. Sasaki. Jpn. J. Appl. Phys. 35 (1996) 909.

.        S. Kirihara, Y. Miyamoto, K. Takenaga et al. Sol. State Commun.

121 (2002) 435.

36.     O. Toader and S. John. Science 292 (2001) 1133.

37.     K. Robbie, M.J. Brett. J. Vac. Sci. Technol. B 15 (1997) 1460.

.        J.G. Fleming and S.Y. Lin. Opt. Lett. 24 (1999) 49.

.        I. Mikulskas, S. Joudkasis, A. Jagminas et al. Opt. Mater. 17 (2000) 343.

40.     Камашев Д.В. Экспериментальное исследование процессов надмолекулярной кристаллизации на примере аморфного кремнезема. Вестник Отделения наук о Земле РАН, 1997 (год основания), 2004.

.        Камашев Д.В., Асхабов А.М. Синтез ультрадисперсных опаловых матриц с заданными размерами частиц // Вестник Института геологии Коми НЦ УрО РАН. Сыктывкар, 2000. №.12. СС. 7-9.

.        Камашев Д.В. Синтез и структура сферических частиц кремнезема. // Тезисы докладов X национальной конференции по росту кристаллов, Москва, 2002. С. 586.

.        Асхабов А.М., Рязанов М.А. Кластеры «скрытой» фазы - кватароны и зародышеобразова-ние // Докл. АН, 1998. Т. 362. №.5. СС. 630-633.

.        В.В. Ратников. ФТТ 39, 5, 956 (1997).

Похожие работы на - Оптимізація параметрів росту фотонних стекол та кристалів

 

Не нашли материал для своей работы?
Поможем написать уникальную работу
Без плагиата!
Без нейросетей!