Сложные виды нагружения
1. Сложное сопротивление
1.1 Расчет статически определимой рамы
Постановка задачи:
В данной работе для статически определимой плоской рамы,
изображённой на рисунке 1, нужно:
. Построить эпюры продольной силы N, поперечной силы Q, изгибающего момента M.
. Определить перемещение системы в точках A, B и C методом Мора-Верещагина;
3. Подобрать сечение для данной системы с учётом условий
прочности.
Дано:
Рисунок 1 - Плоская рама




Плоской рамой называется стержневая система, элементы которой
жестко или шарнирно соединены между собой, нагруженная в своей плоскости.
Вертикально (или под наклоном) расположенные стержни рамы
называются стойками, а горизонтальные - ригелями. Жесткость узлов устраняет
возможность взаимного поворота скрепленных стержней, то есть в узловой точке
углы между их осями остаются неизменными.
1. Определяем опорные реакции.
Для вычисления опорных реакций воспользуемся уравнениями
статики:


Проверка:

.
Рама имеет 5 участков нагружение. Применяя метод сечений на каждом
участке, находим дополнительные силы N,
поперечные силы Q, моменты изгибающие M.
Участок I:
Рисунок 2 - Участок I
Длина участка нагружения изменяется в пределах
.
Определяем силы:
при 
при 
Участок II:
Рисунок 3 - Участок II
Длина участка нагружения изменяется в пределах
.
Определяем силы:



при 
при 
Участок III:
Рисунок 4 - Участок III
Длина участка нагружения изменяется в пределах
.
Определяем силы:


при 
при 
при 
при 
Участок IV:




Участок V:
Рисунок 6 - Участок V
Длина участка нагружения изменяется в пределах
.
Определяем силы:



при 
при 
Эпюры Q, M и N представлены на рисунке 7:
. Далее определим перемещение системы в точках A, B и C методом Мора - Верещагина. Данный метод является
универсальным методом определения перемещений (как линейных, так и угловых),
возникающих в любой стержневой системе от произвольной нагрузки. Метод
осуществляется путём перемножения грузовой эпюры, когда к балке приложена любая
произвольная нагрузка, на эпюру в единичном состоянии, когда в определяемой
точке приложена сосредоточенная сила 
.
Рисунок 7 - Эпюры N, Q, M
Рассчитаем прогиб в точке C, приложив при этом горизонтальную единичную сосредоточенную силу 
(рисунок 8):
Рисунок 8 - Приложение в точку C системы единичной силы 
Построим эпюру изгибающих моментов от единичной силы, приложенной
в точку C, как указано на рисунке 9:
Рисунок 9 - Эпюра изгибающих моментов 
Эпюра изгибающих моментов в грузовом состоянии изображена на
рисунке 7 - в. Перемножим эпюру в первом единичном состоянии на грузовую эпюру,
воспользовавшись выведенной формулой для перемножения эпюр двух прямоугольных
треугольников и формулой для перемножения эпюр двух трапеций определим
перемещение в точке С.
Отсюда получим, что перемещение в точке C равно:
Рассчитаем перемещение в точке B, приложив при этом вертикальную единичную сосредоточенную силу 
(рисунок 10):
Рисунок 10 - Приложение в точку B системы единичной силы 
Построим эпюру изгибающих моментов от единичной силы, приложенной
в точку B, как указано на рисунке 10:
Рисунок 11 - Эпюра изгибающих моментов 
Перемножим эпюру во втором единичном состоянии на грузовую эпюру,
воспользовавшись формулой для перемножения эпюр двух прямоугольных
треугольников, формулой для перемножения эпюр двух трапеций и формулой для
перемножения эпюры параболы на эпюру прямоугольного треугольника, получим:
Отсюда получим, что перемещение в точке B равно:
Рассчитаем угловое перемещение в точке A, приложив при этом единичный момент сил 
(рисунок 12):
Рисунок 12 - Приложение в точку A единичного момента сил 
Построим эпюру изгибающих моментов от единичного момента сил,
приложенного в точку A, как указано
на рисунке 12:
Рисунок 13 - Эпюра изгибающих моментов 
Перемножим эпюру в третьем единичном состоянии на грузовую.
Отсюда получим, что перемещение в точке B равно:
3. Подберём сечение для данной системы с учётом условий прочности,
если 
:
Максимальный изгибающий момент, действующий на систему равен:

Из условия прочности выразим момент сопротивления с учётом
максимального изгибающего момента:
С учётом полученных данных подберём стальной двутавр. Согласно
ГОСТ8239-89 выбираем двутавр № 36: 
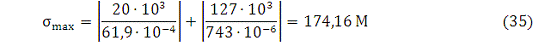
Рассчитаем максимальные напряжения с учётом осевого растяжения:
Перенапряжение:
Для двутавра № 36: 
С учетом того, что 
получим:
Условие прочности соблюдается.
1.2 Косой изгиб
Косым изгибом называется такой вид изгиба, при котором плоскость
действия изгибающего момента в данном поперечном сечении не проходит ни через
одну из главных осей инерции этого сечения. Косой изгиб есть сочетание двух
прямых поперечных изгибов.
Постановка задачи:
В данной работе требуется:
. Подобрать поперечное сечение стержня, если 
;
. Построить эпюру нормальных напряжений в опасном сечении.
Дано:


Рисунок 14 - Заданная система и поперечное сечение
Решение:
) Опасное сечение находится в точке M, что видно из эпюр 
, построенных со сторон сжатого волокна. Для опасного сечения
балки 
Значение изгибающих моментов взяты по абсолютному значению.
Наибольшие растягивающие напряжения возникают в 1 сечения, а численно равные
сжимающие - в точке 3.
Следовательно, условие прочности имеет вид:
где 
- момент сопротивления относительно главной оси инерции y;
Рисунок 15 - Эпюры 

- момент сопротивления относительно главной оси инерции z.
где 
- главный центральный момент инерции всего сечения;

- момент инерции сечения одного швеллера.
где 
- главный центральный момент инерции всего сечения;

- главный центральный момент инерции одного швеллера.
Главный центральный момент инерции определяем по формуле:

Подставив формулу (41) в (40), получим:
В условие прочности входят два неизвестных момента сопротивления 
и 
. В нашем случае отношение этих характеристик равно 1,4.
Принимая указанное соотношение, получим:
Решив данное уравнение, определим 
:

Тогда 
Найденному моменту сопротивления соответствует швеллер № 20, для
которого 




Подсчитываем 
и 
для нашего сечения:

Тогда:
Условие прочности соблюдается, но есть недонапряжение:
Итак, останавливаем свой выбор на двух швеллерах № 20.
) Построим эпюру нормальных напряжений в опасном сечении. Найдем
положение нулевой линии. Плоскость действия полного момента проходит через
центр тяжести, 1 и 3 квадрат, так как в них 
вызывают напряжение одного знака. Предварительно найдем
абсолютное значение угла 
.

Следовательно, угол между осью z и плоскостью действия полного момента будет равен 
. Тогда:

Следовательно, нулевая линия наклонена к оси y под углом 
. Угол откладывается от оси y против хода часовой стрелки.
Для построения эпюры распределения нормальных напряжений по сторонам
сечения нужно вычислить величину напряжений в точках 1, 2, 3, 4.




Эпюры распределения нормальных напряжений по сторонам сечения
представлены на рисунке 16.
Рисунок 16 - Эпюры нормальных напряжений в опасном сечении
1.3 Внецентренное растяжение (сжатие)
Внецентренным сжатием или растяжением называется такой вид
сопротивления материалов, когда в поперечном сечении бруса одновременно
действует продольная (сжимающая или растягивающая) сила и изгибающий момент.
Постановка задачи:
Для данного поперечного сечения, сжатого силой F, требуется:
1. Найти положение нулевой линии.
. Найти допускаемое значение силы из условия
прочности.
3. Для данной силы F
построить эпюру 
.
Дано:
Рисунок 17 - Поперечное сечение
t = 4 см;

Сила приложена в точке В.
. Определим положение центра тяжести и моменты инерции
относительно центральных осей, которые в силу того что сечение имеет ось
симметрии, являются также и главными.
В качестве вспомогательных осей принимаем оси 
и 
.

Обозначим центральные оси Y и Z.
Определяем моменты инерции:
2. Находим положение нулевой линии.
Квадраты главных радиусов инерции равны:
Координаты силы F в выбранной
системе координат будут:


Определяем отрезки, отсекаемые нулевой линией на осях Y и Z:
. Найдем допускаемое значение силы из условия прочности.
Максимальные сжимающие напряжения будут в точке B (1,77t; -3t), а максимальные растягивающие напряжения в точке D (-2,23t; 3t).
Определим величину напряжений в точках B и D, выразив их через силу F по формуле:
где F - внецентренно приложенная продольная
сила;

- координаты силы;
y, z - координаты точки;
А - площадь поперечного сечения;

-главные радиусы инерции.
Для точки B:
Для точки D:
Условие прочности на сжатие:
Условие прочности на растяжение:
Окончательно принимаем F =
333,33 кН.
. Для построения эпюры нормальных напряжений найдем численные
значения напряжений в точках B и D, наиболее удаленных от нулевой линии:
Эпюра нормальных напряжений представлена на рисунке
Рисунок 18 - Эпюра нормальных напряжений
2. Статически неопределимые стержневые системы
2.1 Расчет статически неопределенной плоской рамы
Для заданной статически неопределимой плоской рамы требуется:
. Установить степень статической неопределимости и выбрать
основную систему.
. Построить эпюры моментов изгибающих от заданной нагрузки и от
единичных сил.
. Вычислить коэффициенты и свободные члены канонических уравнений,
проверить их; решить систему и найти все неизвестные.
. Построить расчетные эпюры моментов изгибающих, поперечных и
продольных сил.
5. Сделать статическую и кинематическую проверки.
Дано:


Рисунок 22 - Заданная схема
Решение:
1) Степень статической неопределимости равна двум,
следовательно необходимо два дополнительных уравнения.
) Выбираем основную (статически определимую) систему.
Рисунок 23 - Варианты систем
Остановимся на первом примере: отбросим шарнирно -
неподвижную опору и заменим двумя неизвестными силами.
) Система канонических уравнений метода сил примет вид:


Грузовая и единичные эпюры моментов изгибающих системы
представлены на рисунке 24.
Рисунок 24 - Грузовая и единичные эпюры
5) Путем перемножения эпюр по правилу Верещагина, находим
коэффициенты и свободные члены канонических уравнений.
) Подставляя найденные перемещения в систему канонических
уравнений и решая ее, находим «лишние» неизвестные.



) Строим окончательную (суммарную) эпюру изгибающих моментов

Умножим ординаты 
, 
на соответствующие значения 
, 
.
8) Строим эпюру поперечных сил.


2.2 Расчет плоско-пространственного бруса
эпюра стержень растяжение брус
Постановка задачи:
) Построить эпюру моментов изгибающих в вертикальной
плоскости.
) Построить эпюру моментов крутящих.
) Построить эпюру поперечной силы.
Дано:




В общем случае действия сил в поперечных сечениях рамы возникают
шесть внутренних силовых факторов: продольная сила N, крутящий момент, два изгибающих момента, две поперечные силы. Но
в данном случае нагрузка перпендикулярна плоскости рамы, система является
плоско-пространственной и все внутренние силовые факторы в плоскости рамы
(продольная сила, горизонтальная поперечная сила и изгибающий момент)
обращаются в нуль. Следовательно, в поперечных сечениях рамы могут возникать
только крутящие моменты, изгибающие моменты в вертикальной плоскости и
вертикальные поперечные силы.
При выборе основной (статически определимой) системы надо
использовать симметрию рамы и нагрузки и разрезать раму в середине элемента с
длиной а (рисунок).
Очевидно, что в этом сечении кососимметричные факторы (крутящий
момент и поперечная сила) обращаются в нуль и отличным от нуля является только
изгибающий момент вертикальной плоскости X.
Далее строим эпюры моментов от заданной нагрузки. На рисунке
одновременно изображены нагрузка, эпюра изгибающих моментов (заштрихована в
вертикальном направлении линиями) и эпюра крутящих моментов (заштрихована волнистой
линией).
Составляем каноническое уравнение 
и находим перемещения по способу Верещагина, путем «перемножения»
соответствующих эпюр:
Подставив полученные значения в каноническое уравнение, найдем 
:

Далее находим значения ординат эпюры изгибающих моментов:
В точках приложения сил:

В узлах:
В защемлении:
Кручение испытывают только участки длиной b:

.
То есть перемещение 
действительно равно нулю.
Заключение
В данной курсовой работе при решении разных видов задач были
использованы следующие теоретические знания по темам:
напряжение;
растяжение и сжатие;
напряжённое и деформированное состояние;
кручение;
геометрические характеристики плоских сечений;
прямой изгиб.
В результате расчетов были получены необходимые результаты и
построены эпюры.
Библиографический список
1.
Александров А.В. Сопротивление материалов. Издание третье, исправленное. - М.:
Высшая школа, 2003. - 560 с.
2.
Горшков А.Г., Трошин В.Н. Сопротивление материалов. Издание второе,
исправленное. - М.: ФИЗМАТЛИТ, 2009. - 736 с.
.
Костенко Н.А., Балясникова С.В. Сопротивление материалов. - М.: Высшая школа,
2004. - 429 с.
4.
Подскребко М.Д. Сопротивление материалов. - М.: Высшая школа, 2007. - 797 с.
5.
Саргсян А.Е. Сопротивление материалов. Издание второе, исправленное и
дополненное. - М.: Высшая школа, 2000. - 286 с.