Циклические необратимые процессы при расчете напряженно-деформированного состояния систем

  • Вид работы:
    Другое
  • Предмет:
    Физика
  • Язык:
    Русский
    ,
    Формат файла:
    MS Word
    460,44 Кб
  • Опубликовано:
    2012-11-28
Вы можете узнать стоимость помощи в написании студенческой работы.
Помощь в написании работы, которую точно примут!

Циклические необратимые процессы при расчете напряженно-деформированного состояния систем

 

 

 

 

 

 

 

 

 

 

 

 

 

Циклические необратимые процессы при расчете напряженно - деформированного состояния систем



1. Исследование характеристик модели, связанных с инфильтрацией воздуха через материал


Диффузия и другие необратимые процессы.

Избранные разделы исследования (экспериментальные) открытых систем.

Диффузия, линейное и нелинейное трение, энтропия инфильтрации среды относятся к циклическим необратимым процессам. Эти процессы методами классической механики консервативных систем не рассматриваются. Неравновесные процессы, связанные с флуктуацией интенсивных переменных состояния рассматриваются методами теории открытых систем.

 

.1 Виды задач


Рассматривается система, состоящая из двух сред и тонкостенного тела (оболочки) на границе раздела сред. Оболочка, изготовлена из слоистого композитный материала (CКМ).

СКМ состоит из пластичной матрицы, армированной наполнителями (нитями или тканями), обладающими прочностью, жесткостью и другими характеристиками.

Варьируя состав матрицы и наполнителя, их соотношениями, ориентацией и структурой наполнителя можно получить материалы с требуемым набором свойств.

Материал для оболочек (по настоящим исследованиям), относится к СКМ с упорядоченным армированием техническими тканями.

Это означает, что заранее задана конфигурация, т.е. геометрическая структура распределения арматуры в матрице и начальные значения (без внешнего воздействия) плотностей и структуры.

Оболочка определенным образом закреплена, например, к недеформируемому основанию (экрану).

Это означает, что определен вид начальных краевых условий связи тела с основанием.

Оболочка выполняется из отдельных сегментов, имеющих меридиональный раскрой и полюсной мембраны.

Это означает, что заданы краевые задачи о напряженно-деформированном состоянии тела.

По заданным начальным, краевым условиям и характеристиками материала могут быть получены системы алгебраических уравнений (САУ) для итерационного решения краевых задач.

Если предположить, что краевые задачи являются геометрически нелинейными, то возможны два случая: - первый случай, - на момент вычисления компонент САУ текущая геометрия тела не определена и имеются только проектные характеристики тела (опорная геометрия).

Случай предполагает использование решений для опорной геометрии, которая остается постоянной на всех этапах нагружения. Для исследования НДС в первом случае используется подход в виде полной формулировки Лагранжа (Total Lagrange; TL).

Формулировка TL применяется в тех случаях, когда при получении решения не имеет значение история нагружения (гипотезы и методы СМ и теории возмущения, методы MTS).

второй случай, - предполагает использование текущей геометрии, для каждого последующего этапа нагружения.

Напряжения  (Эйлера-Коши) вычисленные в разных конфигурациях нельзя просто складывать, так как необходимо учитывать вращение площадок, на которых вычисляются напряжения.

Случай предполагает использование в качестве опорной геометрии геометрию, созданную предыдущим этапом нагружения.

Во втором случае используется подход в виде модифицированной формулировки Лагранжа, (Update Lagrange, UL).

Формулировка UL применяются в тех случаях, когда:

тело изготовлено из материала с нелинейными характеристиками;

структура тела предполагает наличие неопределенных кинематических связей, изменения симметрии и структуры частиц, наличие точечных дефектов и дислокаций

имеется необходимость рассматривать НДС при потере устойчивости геометрии (прощелкивание конструкции);

при сложном упругопластическом нагружении в частях тела реализуются различные траектории деформирования, включая сочетания процессов упругопластического деформирования и упругой разгрузки;

при фактических значительных деформациях, когда теоретически недопустимо складывать деформации, а допустимо складывать скорости деформаций (реализовывать формулировку Эйлера с неподвижной сеткой).

При моделировании нелинейных краевых задач о НДС тел являются возможными следующие ситуации (таблица 1.1.1) [1].

Таблица 1.1.1.

Тип анализа

Ситуация

Тип формулировок

Меры деформаций и напряжений

Нелинейные свойства материалов (физическая нелинейность)

Бесконечно малые перемещения и вращения. Соотношения напряжения-деформации нелинейные.

Нелинейные свойства материалов (materially nonlinear only; MNO)

Напряжения Эйлера-Коши, малые деформации Грина-Лагранжа (Cauchy stress, small Green-Lagrange strain)

Большие параллельные перемещения, большие вращения, но малые деформации

Параллельные перемещения и вращения большие, но удлинения волокна и угловые деформации малые. Соотношения напряжения - деформации могут быть линейными и нелинейными

Полная формулировка Лагранжа, TL

Напряжения Кирхгофа 2-го рода; малые деформации Грина-Лагранжа (Second Kirchhoff stress, small Green-Lagrange strain)



Модифицированная формулировка Лагранжа, UL

Напряжения Эйлера-Коши, малые деформации Альманси (Cauchy stress, small Almancy strain)

Большие параллельные перемещения и большие деформации.

Параллельные перемещения и вращения большие, удлинения волокна и угловые деформации большие. Соотношения напряжения - деформации могут быть линейными и нелинейными

Полная формулировка Лагранжа, TL

Напряжения Кирхгофа 2-го рода; большие деформации Грина-Лагранжа (Second Kirchhoff stress, large Green-Lagrange strain)



Модифицированная формулировка Лагранжа, UL

Напряжения Эйлера-Коши, логарифмические деформации Генки (Cauchy stress, logarithmic strain Hencky)


Рассматриваемый случай поведения систем имеет два предельных состояния, которые дают возможность экспериментально измерить величину деформаций.

Первое предельное состояние относится к процессу раздувания оболочки внутренним избыточным давлением и нулевому значению скорости потока.

Второе предельное состояние связано с исследованиями формы тела и деформаций материала при минимальном начальном избыточном давлении и конечными значениями скоростей потока.

В первом предельном состоянии экспериментальные значения деформации частиц тела определялись:

испытанием линейных и плоских образцов материала на нагрузку, соответствующую усилиям в оболочке от внутреннего избыточного давления;

измерением в формате 3D движения частиц при смене внутренних давлений.

Для обеспечения сравнимости результатов на Рис. 1.1.1 приводятся диаграммы соответствия уровням и средние значения относительных деформаций.

Рис. 1.1.1. Диаграммы соответствия внутренних избыточных давлений  и усилий в линейных образцах материала , приведенные к уровню давления (ось абсцисс).

Рис. 1.1.2. Средние значения относительных удлинений материала: по основе  для испытаний на оболочке  и на линейных образцах .

Результаты испытаний показывают, что на уровне давления 10 для линейных образцов происходит превышение величины деформации величины 1%, и деформации не могут считаться малыми. При исследовании относительных деформаций  на всех уровнях давления деформации считаются малыми и не превосходят величины 0,65%.

Для случая исследования относительных деформаций в потоке воздуха на Рис. 1.1.2 приводятся средние значения относительных деформаций  в функции управляющего параметра .

Состояние тела в потоке, уровни управляющего параметра и величина управляющего параметра приводятся в таблице 1.1.2.

Испытаниями оболочек в потоке АДТ 101 доказано, что область активного давления для тела является постоянной при всех скоростях потока и зависит только от геометрии тела.

Таблица 1.1.2.


Потеря устойчивости и складки

Упругое тело

Твердое тело

m

1

2

3

4

5

6

7

8

9

10

11

12

13

14

15

16

0,1

0,5

1,0

1,5

2

2,5

3

3,5

4

5

10

15

20

25

30

40


Рис. 1.1.3. Линейная диаграмма связи уровня управляющего параметра (manager parameter, ) с номером уровня управляющего параметра (level of the manager of the parameter, m).

Рис. 1.1.4. Изменение средних значений относительных деформаций в функции уровня управляющего параметра.

В средних значениях не учтены изменения  в зоне складок и странных аттракторов, вследствие бифуркации распределений перемещений в этих частях пространства.

Поэтому, в соответствии с таблицей 1.1.1, можно считать, что для исследования НДС тела (за исключением краевых зон области активного давления) можно использовать модифицированную формулировку Лагранжа UL для больших перемещений, но малых деформаций.

Для одноосной области и других зон странного аттрактора необходимо использовать модифицированную формулировку Лагранжа UL для больших перемещений и больших значений деформаций.

Использование для исследования НДС в области активного давления формулировок Лагранжа любых видов не приводит к результатам вследствие бифуркаций перемещений частиц активной зона и фрактального изменения условий образования складок. При этом следует отметить, что образование складок после полной потери устойчивости по линии нулевой изобара (зона активного действия потока) приводит к резкому уменьшению (практически до пяти крат) перемещений точек на поверхности оболочки. Экспериментальными исследованиями [2] изменения формы оболочки, а именно, отношения  в поточной системе координат, установлено:

зависимости отношения не только от изменения скорости, но и от уровня избыточного давления в оболочке.

Форма оболочки является функцией управляющего параметра . В наборе управляющих параметров  можно выделить два состояния, отвечающие значениям . Управляющие параметры определяются таким образом, чтобы более упорядоченному состоянию отвечают положительные значения . Для упорядоченного состояния системы из условия можно записать соотношения:

(1.1.1)

где: - начальное отношение избыточного давления к скоростному потоку (показатель относится к опорной геометрии тела);

 - конечное значение установившегося избыточного давления к скоростному напору потока. Состояние системы при значении  относится к состоянию физического хаоса (существенно отличается от равновесного состояния).

зависимости формы оболочки от конечного значения избыточного давления , связанного с изменениями объема тела и динамического распределения  частиц системы в 6-мерном фазовом пространстве  координат и импульсов частиц:

(1.1.2)

Значение  определяет истинное число частиц около точки  в элементе объема  в момент времени . Интеграл по всему объемы в пространстве  определяет полное число частиц;

по изменению координат пар частиц и изменениям формы тела в потоке можно определить величины относительных удлинений  пар точек на поверхности тела и определить вид деформаций частиц на поверхности.

На основании анализа изменения функций  и изменений управляющего параметра определяются формы оболочки в потоке и величины относительных удлинений меридионального и широтного сечений между парами частиц на поверхности оболочки. Эти зависимости необходимы для оценки формулировок Лагранжа. Одним из основных сечений, позволяющих определить вид формулировки, является сечение оболочки плоскостью главного меридиана.

Рис. 1.1.5. Фактические относительные деформации по главному меридиану.

Экспериментальные значения  в одноосной области и областях странных аттракторов (краевые зоны (уровни 1 и 2) в пространстве активного давления потока из рассмотрения исключены).

Анализ средних значений относительных деформаций вне активной области и фактических значений деформаций в диапазоне  показывает, что относительные деформации имеют малые значения  Рис. 1.1.6.

Большие величины деформаций в активной зоне и областях странного аттрактора вызваны кинетическими движениями частиц, а не изменениями напряженного состояния. Эти деформации описываются кинетическими уравнениями М.А. Леонтовича [3,4].

Рис. 1.1.6. Средние значения деформаций частиц поверхности для диапазона , уровни  и фактические значения деформаций частиц для диапазонов , уровни параметров .

В состав , помимо деформаций от действия потока входят относительные деформации, возникающие вследствие эксфильтрации (диффузии) воздуха через материал оболочки.

Условия образования потока диффузии при раздувании и в потоке воздуха связаны со структурой материала оболочки и состоянием поверхности.

 

.2 Структура материалов тела


Для рассматриваемого случая используется материал, состоящий из полимерной матрицы и армирующего слоя в виде ткани с заданным переплетением нитей основы и утка.

Нагрузка от матрицы на ткань (арматуру) передаются сдвиговыми силами, действующими на поверхность материала. Если ткань рассматривать как структуру армирующих волокон, то, в соответствии с распределением нагрузки в одном измерении размер армирующего волокна должен быть больше, чем в других измерениях. Поэтому для армирования используются нити (волокна) относительно большой длины. Экспериментально установлено, что критическое отношение длины нити  к ее диаметру  должно удовлетворять неравенству . Использование длинных нитей в тканях приводит к необходимости учета явления синергизма (учета саморегуляции в системах с внутренними обратными связями). В СКМ это выражается во влиянии ткани (нити, волокна) на матрицу и матрицы на ткань. При испытании технической ткани без матрицы на растяжение разрыв отдельной нити или отдельного волокна в нити приводит к уменьшению их числа, и удельная нагрузка должна увеличиваться. Если армирующая структура находится в полимерной упругой или пластической матрице, то при разрыве нити ее части вытаскиваются из матрицы. Упругая деформация матрицы или ее пластическое течение сдавливают разрушенную арматуру, и она некоторое время продолжает действовать как элемент короткого армирования. Таким образом, матрица сохраняет прочность армирующей структуры.

При действии нормальных и сдвиговых поверхностных сил изменяется структура материала и, соответственно коэффициент наполнения СКМ.

Рассматриваемая модель оболочки имеет отношение площади швов к площади боковой поверхности:  или 1,2%, поэтому поверхность оболочки можно рассматривать как однородную (состоит из частиц с одинаковыми свойствами). Поэтому неравномерность диффузии по поверхности оболочки в первом приближении можно не учитывать.

Коэффициент наполнения СКМ определяется соотношением:

 (1.2.1)

где: - площадь горизонтальных проекций нитей технической ткани частиц в составе СКМ;

- площадь частицы СКМ;

- коэффициент общего наполнения технической ткани;

- коэффициент наполнения СКМ.

Принятые сокращения: - projection textile;  - material:  - textile (ткань); - основа;  - уток

Коэффициент заполнения СКМ связан зависимостью:

 (1.2.2)

где: - коэффициент заполнения ткани;

 - коэффициент заполнения структурных элементов в составе ткани.

Коэффициент общего наполнения ткани определяется соотношением:

  (1.2.3)

где: - плотность нитей по основе, ;- плотность нитей по утку, ;

 и  - линейная плотность комплексной нити по основе (утку), текс;

 и  - раппорт переплетения по основе (утку);

 и  - число основных перекрытий в раппорте по основе (утку)

 - объемная плотность волокна, ;

 - плотность волокна,

По значениям коэффициента наполнения определяется вид материала.

Значения коэффициента наполнения:

рыхлый материал ;

нормальный материал ;

материал, переуплотненный за счет деформации сжатия основы и утка .

Коэффициент наполнения характеризует величину пористости материала и вероятность образования в матрице трещин и отверстий, которые связаны с воздухопроницаемостью ограждающих поверхностей.

Между поверхностями нитей технической ткани и матрицей существует связь, определяемая плотностью технической ткани, шероховатостью поверхности ткани и адгезионными свойствами матрицы.

При деформировании частицы материала в первую очередь происходит изменение толщины матрицы над/под армирующими нитями, что приводит к образованию пор по линии контакта матрицы и ткани и появлению деформационных трещин.

Форма оболочки обеспечивается внутренним избыточным давлением воздуха (газа), создаваемого внешним источником.

Материал оболочки обладает пористостью, которая вызывает течение воздуха.

Течение воздуха (газа) происходит под действием перепада давлений, который обладает достаточным потенциалом энергии для преодоления потерь на трение и других сопротивлений.

Объемный расход воздуха через совокупность отверстий определяется соотношением:


где:  - объемный расход фильтрационного воздуха в единицу времени, ;

 - коэффициент расхода, ;

 - перепад давлений (избыточное давление), daPa;

 - показатель степени .

Для СКМ принято считать, что показатель степени соответствует коэффициенту наполнения материала. Нарушения поверхности материала в виде трещин и отверстий вызываются: нарушениями технологий, механическими повреждениями материала и усталостными факторами. Поэтому в первом приближении эти факторы могут не учитываться.

Основным расчетным показателем воздухопроницаемости является диффузия частиц газа через материал.

1.3 О механизме диффузии

диффузия инфильтрация тело материал

Различают два вида диффузии частиц газа через поверхность ограждения, определяемые градиентом давления:

инфильтрация (поступление) частиц в случае, когда величина наружного давления на поверхность тела больше, чем величина давления во внутреннем объеме тела;

эксфильтрация (выброс) частиц в случае, когда величина внутреннего давления в объеме тела больше величины давления среды, в которой тело находится.

Так как поведение мягких оболочек в потоке (под нагрузкой) связано с изменением формы и уменьшением внутреннего объема, то для этого вида тел, в отсутствии информационного управления, характерным видом диффузии является эксфильтрация.

Если в потоке форма упругого тела (и объем) не изменяются, то диффузия частиц имеет вид инфильтрации.

В потоке воздуха (или в его отсутствии) вследствие нахождения в воздухе концентраций твердых частиц с течением времени может происходить имплантация твердых частиц в поры материала, что способствует изменению диффузии.

 

.4 Экспериментальное исследование диффузии


С целью ликвидации утечек воздуха по контуру крепления оболочки к основанию и утечек воздуха через конструктивные элементы оболочки для испытаний изготавливались замкнутого типа.

Замыкание поверхности выполнялось днищами из СКМ и повышенной герметизацией основания.

В качестве материалов оболочек использовались материалы:

ТК 51060 структуры PA+2SR (полиамид с матрицейиз синтетического каучука);

B7000 («Sioen» Belgium) структуры PES+PVC+2AFC (полиэстер с матрицей ПВХ и двусторонним покрытием лаком).

Начальные характеристики материала B7000 до процесса изготовления оболочки соответствуют:

Таблица 1.4.1

Вид показателя

Единица измерения

величина

нить

1100

Количество нитей в 1см материала: основа (уток)

8(8)

полная масса материала

550

масса технической ткани

-

160

масса полимерной матрицы

-

390

толщина материала полная

0,55

толщина технической ткани (в узлах)

-

0,2(0,35)

минимальная толщина полимерной матрицы в узлах

-

0,1

толщина сварного соединения материала

-

0,49


Рассматривается, (в качестве примера) сферическая модель оболочки с отношением

Исходные данные:

Таблица 1.4.2

Наименование показателя

Единица измерения

Обозначение

Величина

Массовая плотность воздуха

Весовая плотность

Универсальная газовая постоянная

Показатель адиабаты


Температура воздуха наружная

Масса материала

Отношение площади боковой поверхности к площади основания


Отношение площади швов к площади боковой поверхности


Нижний уровень избыточного давления, при котором сохраняется форма

последовательность


Внутренние избыточные давления в оболочке начальные


Примечание: размерность линейных размеров (для оболочки и материала), м.

В качестве значений оси абсцисс рассматривается восходящая последовательность чисел: .

Это позволяет выразить все переменные величины через функции аргументов последовательности и дает возможность связывать соответствующими зависимостями функции, полученные экспериментально.

Связь значений последовательности со значениями переменных величин (например, c избыточными давлениями) можно представить таблицей 1.4.3.

Таблица 1.4.3.

n

1

2

3

4

5

6

7

8

9

10

11

Значение переменной

p(n),daPa

0

50

100

150

200

250

300

350

400

450

500


Для диаграмм Рис.1.4.1÷11 принята восходящая последовательность :  и соответствующие значения функций.

Диаграмма связи начального значения внутреннего избыточного давления в оболочке и чисел последовательности  Рис.1.4.1.

Рис. 1.4.1. Изменение внутреннего начального избыточного давления в оболочке по значениям .

Ось абсцисс, - номер значения  (здесь и ниже). Номер  соответствует порядковому номеру функции.

Для эксперимента принята линейная зависимость начального внутреннего избыточного давления в оболочке в функции

: .(1.4.1)

Одной из основных свойств СКМ, которое оказывает влияние на процесс формообразования оболочки, величину максимальной аэродинамической нагрузки и напряженно-деформированное состояние, является воздухопроницаемость материалов, или инфильтрация (просачивание или рассеяние давления).

Системой отсчета выбираем внутренний объем оболочки. Изменение давления соответствует инфильтрации (потери давления из замкнутого объема в среду).

Инфильтрация происходит в сторону меньшего давления (для эксперимента, - из внутреннего объема оболочки наружу). Инфильтрация вызвана изменением структуры материала и изменениями толщины полимерной матрицы и материала Рис.1.4.2.

Рис.1.4.2. Изменение толщины композиционного материала под действием внутреннего избыточного давления.

Изменение толщины материала в функции :

Изменение радиуса оболочки в функции , Рис. 1.4.3.

Рис. 1.4.3. Изменение радиуса оболочки в функции .

Изменение радиуса оболочки описывается соотношением:

Каждому значению уровня соответствует время, в течение которого давление изменяется до минимального значения, которое соответствует началу изменения формы оболочки Рис. 1.4.4.

Рис. 1.4.4. Изменение времени (минутах) в функции

(1.4.2)

Рис.1.4.5. Изменение распределений внутреннего давления вследствие диффузии воздуха.

Изменение внутреннего давления вследствие диффузии в функции

: (1.4.3)

Рис.1.4.6. Распределение коэффициента  в функции уровня.

Для фиксированного начального уровня избыточного давления изменение давления в функции уровня определяется соотношением: .(1.4.4)

Производная от изменения внутреннего давления по времени определяется диаграммами Рис. 1.4.7.

Рис.1.4.7. Распределение скорости изменения давления по времени  в функции .

Рис.1.4.8. Распределение скоростей воздуха на наружной поверхности оболочки вследствие диффузии от внутреннего избыточного давления.

Воздушные потоки, возникающие около оболочки (упругого тела), вызваны диффузией и изменяют скорости потоков от ветровой нагрузки.

Величина расстояния, на котором происходит равенство нулю скоростей воздуха, появившегося вследствие диффузии в функции , приводится на Рис.1.4.9.

Рис. 1.4.9. Расстояние от наружной поверхности оболочки в функции уровня, на котором затухают скорости воздуха, возникшие вследствие диффузии.

Примечание: В скобках у символа  указано текущее значение начального давления до появления процесса диффузии.

В соответствии с законом Шарля диффузия вызывает изменение температуры наружной поверхности оболочки, Рис. 1.4.10.

Закон Шарля:

(1.4.5)

Рис.1.4.10. Изменение температуры наружной поверхности  оболочки вследствие диффузии в функции уровня и начального значения избыточного давления в оболочке.

Распределение коэффициента диффузии  в функции  описывается соотношением:

Рис.1.4.11. Изменение коэффициента диффузии  в функции .

Если восходящей последовательности чисел  отвечают нисходящие значения функций (например, ), то можно получить диаграммы, для следующих функций (Таблица 1.4.4).

Таблица 1.4.4.

Последовательность чисел

1

2

3

4

5

6

7

8

10

11

12

Значение переменной

p(n),daPa

500

450

400

350

300

250

200

150

100

50

10

3


Рис.1.4.12. Диаграмма связи .

Диаграмма показывает связь заданного уровня внутреннего избыточного давления с последовательностью

 (1.4.6)

Вследствие диффузии воздуха через поверхность материала оболочки начальный уровень заданного давления уменьшается со временем до величины, при которой форма оболочки перестает сохраняться.

Сохранение оболочкой сферической формы  в функции последовательности  приводится на Рис. 1.4.13

Рис. 1.4.13. Диаграмма .

 (1.4.7)

Расстояние свободного пробега частиц воздуха в среде от поверхности оболочки в результате диффузии.

Рис.1.4.14. Диаграмма связи свободного пробега частиц .

 (1.4.8)

Скорость свободного пробега частиц воздуха в среде от поверхности оболочки в результате диффузии.

Рис.1.4.15. Диаграмма средних скоростей пробега частиц воздуха .

(1.4.9)

Будем считать, что фиксированные значения внутренних избыточных давлений связаны с последовательностью  соответствующей зависимостью. Тогда значения коэффициента диффузии, определяемые соотношением  можно представить диаграммой Рис. 1.4.16

Рис. 1.4.16. Диаграмма коэффициента диффузии  воздуха через материал оболочки для значений внутренних избыточных давлений, соответствующих последовательности .

(1.4.10)

Коэффициент внутреннего трения определяется соотношением:  по экспериментальным исследованиям для значений внутренних избыточных давлений, соответствующих последовательности .

Изменение коэффициентов внутреннего трения приводится диаграммой Рис.1.4.17.

Рис. 1.4.17. Диаграмма коэффициента внутреннего трения  для значений внутренних избыточных давлений, соответствующих последовательности .

.(1.4.11)

Диаграмма для коэффициентов внутреннего трения  имеет нелинейный характер. Эффективную функцию Гамильтона, в этом случае, можно представить в виде:


где: - параметр положительной обратной связи (накачки);

- коэффициенты линейного и нелинейного трения;

- значение энергии.

Пусть  - набор управляющих параметров. В наборе выделим два состояния:  и

Коэффициент внутреннего трения можно представить суммой линейной и нелинейной части.

Рис.1.4.18. Коэффициент внутреннего трения , коэффициенты: линейного трения  и нелинейного трения .

Если предположить, что срединная поверхность оболочки является однородной и изотропной, то диффундирующие частицы воздуха на внешней поверхности оболочки создают поле со значениями аэродинамических коэффициентов, соответствующих номеру последовательности .

Рис.1.4.19. Изменения аэродинамических коэффициентов давления  для значений внутренних избыточных давлений, соответствующих последовательности .

Распределение скоростей частиц воздуха в диффузионном слое представляется диаграммами, Рис.1.4.20.

Рис.1.4.20. Распределение скоростей частиц по диффузионному слою для фиксированных уровней избыточных давлений.

Из местных значений скоростей диффузионного слоя по соотношению  определяется влияние диффузии на распределение коэффициентов давления для каждого значения управляющего параметра.

Связь расстояний от поверхности оболочки до границ диффузионного слоя приводится на Рис. 1.4.21.

Рис. 1.4.21. Связь расстояний в диффузионном слое с уровнем рассмотрения.

Распределения скоростей частиц в диффузионном слое в функции параметров  описывается логистическими уравнениями вида:

Таблица 1.4.5.

параметры

Функции распределения


В общем виде распределение скоростей по диффузионному слою записывается в виде:

 1.4.12)

Рис. 1.4.22. Диаграмма значений  для значений уровней.

 (1.4.13)

В случае обтекания тела потоком диффузия создает на поверхности тела слой, ослабляющий (в активной зоне) действие потока. Знак минус показывает, то диффундирующая частица воздуха имеет противоположное направление с потоком воздуха, обтекающего оболочку.

Из экспериментальных исследований следует:

характеристики диффузии  частиц являются функциями избыточного давления  в оболочке и, следовательно, функциями управляющего параметра ;

диффузионные потоки создают на поверхности оболочки температурные воздействия, приводящие к неравновесным термодинамическим состояниям (потокам);

в результате диффузии на поверхности оболочки, независимо от ее формы в потоке создается поле скоростей и аэродинамических коэффициентов давлений, изменяющих действие скорости потока;

диффузию и внутреннее трение можно отнести к упругим, необратимым процессам;

изменения скорости потока в непосредственной близости от тела, аналогично изменению энтропии, можно представить как сумму слагаемых:


где:  - изменение скорости, обусловленное обменом веществом и энергией с внешней средой;

 - изменение скорости, обусловленное «некомпенсированным преобразованием» структуры.

Скорость потоков возникает за счет необратимых процессов внутри системы. Раздувание оболочки внутренним давлением в случае однородной поверхности относится к стационарным (медленно изменяющимся) необратимым процессам. Если рассматривать фактическую структуру оболочки (ортотропия материала, дислокации, сварные соединения, фактические длины элементов поверхности, граничные и краевые условия), то процессы относится к необратимым и нестационарным (возможны скачкообразные эффекты).

В обоих случаях процесс раздувания относится к неравновесному состоянию, вследствие односторонне направленных изменений параметров и необратимым по времени процессам.

Динамические характеристики системы, - реакции системы на возмущения (зависимость изменения выходных переменных от величины входных переменных и времени).

Динамические характеристики оболочки при раздувании внутренним давлением приводятся в таблице 1.4.6.

Таблица 1.4.6.

Избыточное давление, daPa

Изменение радиуса, m

Период колебаний, 1/с

Частота колебаний, Гц

Угловая частота колебаний

Логарифмический декремент

5

0

0

11,85

75,4

1,204

50

0,004

0,129

7,76

48,9

0,503

100

0,007

0,165

8,05

38,0

0,234

150

0,0086

0,186

5,35

33,8

0,113

200

0,0096

0,197

5,08

31,9

0,067

250

0,0101

0,203

4,92

30,9

0,086

300

0,0112

0,212

4,71

29,6

0.072

350

0,012

0,220

4,54

28,5

0,067

400

0,0129

0,228

4,39

27,6

0,032

450

0,0133

0,231

4,32

27,16

0,0307

500

0,0137

0,235

4,28

26,75

0,0384


Диапазон частот колебаний соответствует инфразвуковым колебаниям и диапазону электромагнитной активности мозга Человека. Длительность электромагнитных импульсов от 46 до 1,02с, мощность от 42 до67 ДБ.

Соотношения для определения динамических характеристик:


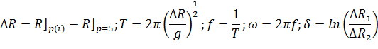
Изменение радиуса оболочки вследствие диффузии представляется диаграммой.

Рис.1.4.23. Диаграмма изменения радиуса  по уровням давлений.

В соответствии с соотношениями определяются характеристики колебаний:

угловая частота: (1/с), Рис.1.4.24;

период: , Рис. 1.4.24;

частота: (Гц), Рис. 4.1.4.26;

техническая частота:  (мин), Рис. 1.4.27;

логарифмический декремент: , Рис. 1.4.28 и логарифмический декремент колебаний: , Рис.1.4.29.

Рис. 1.4.24. Изменение фазы  и периода  колебаний в функции уровня давлений.

Рис. 1.4.25. Распределение технической частоты  и частоты колебаний  по уровням давлений.

Рис. 1.4.26. Распределение логарифмического декремента  и логарифмического декремента колебаний  по уровням давлений.

В поточной системе координат изменение координаты центра масс описывается соотношением:


где:  - координата центра масс, (функция );

 - радиус оболочки, (функция );

 - угол раскрытия сферы от полюса, (функция ).

Рис. 1.4.27. Изменение координаты центра масс  в функции уровня давлений .

Рис. 1.4.28. Амплитуда центра масс, вызванная изменением уровня давлений.

Амплитуда центра масс измеряется разностью текущего значения центра масс и начального значения, определяемого уровнем давления, соответствующего минимальному значению давления, при котором сохраняется сферическая форма:

Амплитуда соответствует соотношению:

 (1.4.14)

где: - соответствует координате центра масс для уровня давления .

В рассматриваемой системе с неупругими сопротивлениями стационарные колебания вызываются диффузионными процессами, поэтому система может быть отнесена к автоколебательным системам.

К свойствам автоколебательной системы относят динамические характеристики, (собственные частоты, формы колебаний и коэффициенты затухания).

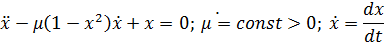
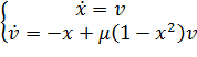
Основными моделями для анализа периодических автоколебаний являются:

уравнения Ван дер Поля: ;(1.4.15)

уравнения Рэлея:  (1.4.16)

Эти уравнения также можно представить в виде:


Уравнение эквивалентно системе:

(1.4.17)

При наличии внешнего гармонического воздействия система описывается уравнением:

(1.4.18)

где: - обобщённая координата осциллятора

();

 - управляющий параметр;

 - частота внешнего воздействия;

 - амплитуда внешнего воздействия.

При и автономной системе имеет место бифуркация Андронова-Хопфа.

При  имеется единственная неподвижная точка.

При  ,- система неустойчива и окружена устойчивым предельным циклом, являющимся геометрическим образом автоколебаний в фазовом пространстве.

Модель Ван дер Поля в присутствии периодического внешнего воздействия описывается соотношением:


где: параметр  отвечает за неизосинхронность колебаний (зависимость периода колебаний от амплитуды).

Решение уравнения записывается в виде:

 (1.4.19)

при условии, что:


где:  - амплитуда колебаний.

В колебательных системах энергия с течением времени уменьшается из-за диссипации.

Существуют системы, в которых возможно пополнение энергии колебаний за счет неустойчивости.

Это имеет место в системах, которые обмениваются с окружающей средой энергией или веществом (открытых системах).

Автоколебания, - незатухающие колебания в нелинейной диссипативной системе.

Вид и свойства колебаний определяются самой системой и не зависят от начальных условий (в конечных пределах).

Оболочка с системой создания внутреннего избыточного давления в потоке АДТ Т101 может рассматриваться в качестве генератора Ван дер Поля.

Предположим, что движение частиц, однородно распределенных по пространству.

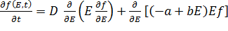
Функция распределения частиц зависит от скорости и описывается соотношением (уравнение Фоккера-Планка):

 (1.4.20)

где: - коэффициент трения;

- температура;

 - постоянная Больцмана.

Если система находится в термостате (устройство для поддержания постоянной температуры среды) и температура  задана, то свободная энергия неравновесного состояния определяется соотношениями:

(1.4.21)

где:  - свободная энергия;

 - внутренняя энергия неравновесного состояния;

 - энтропия неравновесного состояния.

Пусть - свободная энергия равновесного состояния.

Разность свободных энергий (энтропия Кульбака) является положительной и определяется соотношением:

 (1.4.22)

В процессе эволюции распределения  к равновесному состоянию разность свободных энергий определяется соотношением:

 (1.4.23)

Замкнутое уравнение для одночастичного распределения (уравнение Больцмана) определяет изменение функции  вследствие перемещения частиц и действия средней силы :

 (1.4.24)

(

где:  - средняя сила;

- внешняя сила;

- средняя сила, опредекляемая ордночастичным распределением (сила Власова).

Интеграл взаимодействия частиц  обладает свойствами:

свойство, обеспечивающее выполнение законов сохранения плотности числа частиц, плотности импульса и плотности кинетической энергии для идеального газа:

 (1.4.25)

свойство монотонности возрастания энтропии в изолированном газе при релаксации к состоянию равновесия:

(1.4.26)

В случае эволюции к равновесному состоянию свойство (1.4.25) отвечает за сохранение нормировки , сохранение среднего импульса  и сохранение средней кинетической энергии

. (1.4.27)

Перенормированное решение уравнения (1.4.20)записывается в виде:

 (1.4.28)

где:  - изменение скорости вследствие трения;

 - изменение температуры, вызванное трением и температура в состоянии равновесия в начальный момент времени.

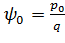
Распределение колебаний в генераторе Ван дер Поля записывается соотношением:

 (1.4.29)

где:  - заданная интенсивность шума: ;

параметр  играет роль температуры

; - параметр положительной обратной связи;  - коэффициент линейного трения;

 - коэффициент нелинейного трения.

Стационарное решение уравнения (1.4.29)записывается в виде:

 (1.4.30)

где:  - функция распределения в состоянии равновесия;

- свободная энергия в состоянии равновесия;

 - полная энергия;

 - эффективная функция Гамильтона.

Неравновесная свободная энергия:

 (1.4.31)

Разность свободных энергий определяется соотношением (энтропия Кульбака или функционал Ляпунова):

 (1.4.32)

 (1.4.33)

Интенсивность изменения разности свободных энергий при эволюции к состоянию равновесия:

(1.4.34)

 

 

.5 К расчету функции состояния (энергии) системы с учетом диффузии


Значение энергии при взаимодействии с внешним полем записывается в виде:

;(1.5.1)

где: - полная энергия (total energy);

-энергия консервативных сил (energy of the conservative forces);

 - энергия неконсервативных сил (energy not of the conservative forces);

 - кинетическая энергия;

 - потенциальная энергия;

- внутренняя энергия системы.

В соответствии с эквивалентностью значений энергии и работы для определения живой силы можно зависать выражение:

(1.5.2)

 - работа консервативных сил (сила тяжести, сила упругости и т.д.);

Работа консервативных сил учитывается соотношениями классической механики, включая MTS.

 - работа неконсервативных сил (сила трения, сила сопротивления среды (вязкость)).

Работа сил трения частично может быть учтена уравнениями механики сплошной среды (СМ).

 - работа внешних сил.

Соотношения для консервативных (потенциальных) сил:

ротор консервативных сил равен нулю: ;

работа консервативных сил по произвольному замкнутому контуру равна нулю:

;

консервативные силы, - градиент скалярной функции

:


Уравнение состояния неконсервативной системы:

(1.5.3)

где:  - число консервативных форм движения;

 - число неконсервативных форм движения;

 - число форм силового поля.

В рассматриваемой системе с неупругими сопротивлениями, колебательные процессы реализуются совместным действием необратимых процессов в отсутствии потока (внутреннее трение, температура и диффузия) и совместным действием потока и необратимых процессов, в том числе, связанных с обменом веществом.

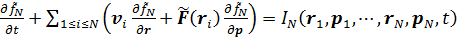
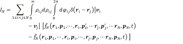
В общем виде в открытых системах для описания неравновесных процессов используется кинетическое уравнение движения частиц Леонтовича :

 (1.5.4)

где: - сглаженное распределение координат и импульсов.

Распределение  частиц в 6-мерном фазовом пространстве .

В - мерном фазовом пространстве  динамическое распределение имеет вид:

.

С учетом усреднения по ансамблю Гиббса можно записать:


 - член, учитывающий зависимость скорости от функции распределения координат;

 - член, учитывающий зависимость внешних сил от функции распределения импульсов;

 - интеграл взаимодействия [5] (в статистической физике, столкновения), определяет изменения координат и импульсов частицы (внутренние силы), вызванные изменением функции распределений и корреляции функций распределения частиц и сил.


Уравнение учитывает взаимодействия всех пар частиц . Импульсы  связаны с импульсами  законами сохранения импульса и кинетической энергии пары частиц.

Функция распределения  определяется соотношением: .

Выражение  определяет скорость изменения функции плотности распределения частиц  вследствие взаимодействий и имеет вид: .

В случае рассмотрения задачи движения в виде раздувания безмоментной оболочки методами MTS:

считаются, что координаты частиц в функции  относятся к стационарным, и поэтому могут рассматриваться в качестве параметра;

в векторах  не учитываются потоки неконсервативных сил (силы трения и силы сопротивления среды);

диссипация взаимодействия частиц пренебрежимо мала и .

Уравнение движения распадается на систему уравнений, описываемых законами Ньютона.

В отсутствии движения  неконсервативные силы считаются малыми и не учитываются.

В случае рассмотрения задачи движения упругого тела (мягкой оболочки) методами CM:

считаются, что координаты частиц в функции  стационарные, и поэтому могут рассматриваться в качестве параметра;

в векторах  учитываются потоки неконсервативных сил (силы трения и силы сопротивления среды);

средняя сила, определяемая одночастичным распределением (сила Власова) пренебрежимо мала;

диссипация взаимодействия частиц пренебрежимо мала и .

Если во внутреннем объеме оболочки поддерживается постоянное значение внутреннего избыточного давления, то координаты частиц в распределении , в основном, определяются движением частиц под действием внешних сил, а значения импульсов должны учитывать диффузионные потоки, вызванные внутренним избыточным давлением. При статистическом описании отсутствует информация о значениях , вызванная флуктуацией внутренних давлений, поэтому функция распределения  является случайной функцией. В членах уравнения Климонтовича, связанных с распределениями скорости  и зависимости от внешних сил , необходимо учитывать изменения скорости и сил, связанных с диффузией частиц под действием регулируемого внутреннего избыточного давления.

Если во внутреннем объеме создается единовременное избыточное давление, то необходимо рассматривать совместно два связанных неравновесных процесса изменения внутреннего избыточного давления и движения точек поверхности под действием потока и внутреннего давления.

При выполнении аэродинамических испытаний под оболочкой устанавливалось начальное значение избыточного давления, которое изменялось с изменением формы оболочки. При анализе результатов испытаний в распределениях  коэффициентов давления и перемещениях не выделялись диффузионные процессы.

Мягкая оболочка (упругое тело), закрепленная к основанию под действием неравновесной диффузии является устройством, вырабатывающим сигнал (в произвольной энергетической форме) с определенными математическими свойствами (генератор гармонических и ангармонических колебаний, генератор импульсов и генератор случайной величины).

Из рассмотренного следует, что значения диффузии и внутреннего трения должны учитываться в уравнениях, определяющих воздействие среды на объект и при определении НДС объекта.

Поверхность объекта находится на границе раздела наружной среды и внутренней среды, заключенной в объеме объекта. Наружная среда (состояние зависит от места дислокации системы) характеризуется запыленностью (количеством углеродных и кремневых частиц), наличием химически активных веществ и наличием ионного (инфракрасного) облучения наружной поверхности объекта. Внутренняя среда (зависит от количества людей и технологического оборудования в объеме) характеризуется также запыленностью, наличием химически активных веществ, выделяемых людьми, и наличием ионного облучения. Имплантация твердых частиц на наружную и/или внутреннюю поверхность материала объекта вызывает изменение механических характеристик материала (за счет эрозионного воздействия среды), химические превращения и соответствующие изменения электромагнитных колебаний. Изменения связаны с функциями состояния систем (упорядоченной и неупорядоченной энергиями) и, через эти изменения с надежностью, эффективностью системы и временем функционирования системы.

По характеру воздействий изменения относятся к массообмену (обмен веществом) и проблемам превращений форм энергии.(MTS), как разделы классической физики и классической термодинамике, не позволяют определить степень влияния воздействий сред на систему (материал оболочки и систему оборудования инженерного обеспечения) и на людей, находящихся во внутреннем объеме.

Эти проблемы решаются только методами теории открытых систем (физической и химической кинетикой). Учет обмена веществом, диффузии и внутреннего трения необходим не только при рассмотрении мягких оболочек, но и для любых объектов, являющихся составной частью сложных систем.

Особенное внимание следует обратить на характеристики собственных колебаний точек поверхности объекта системы, относящихся к инфразвуку малой и средней интенсивности.

Принятые сокращения

- механика сплошной среды;- безмоментная теория оболочек;

СКМ - слоистый композитный материал;

САУ - система алгебраических уравнений;

НДС - напряженно-деформированное состояние;

АДТ101 - аэродинамическая труба Т101 ЦАГИ им. Профессора Н.Е. Жуковского.

 

 

Литература


1.К.Н. Рудаков. Геометрическое моделирование конструкций. Приложение 6. Краевые задачи о НДС твердых тел. Статика. Большие деформации (теория). НД., Киев. 2009

[Приложение 6. Краевые задачи о НДС твердых тел. Статика. Большие деформации (теория) SPLMS.Fv10.2.0, Рудаков К.Н. Геометрическое моделирование конструкций. Киев. 2009].

.В.П. Поляков. Взаимодействие модели мягкой воздухоопорной оболочки с потоком воздуха. Сборник «Теория мягких оболочек. Ростовский Университет. 1976.

.М.А. Леонтович. Основные уравнения кинетической теории газов с точки зрения случайных процессов. ЖЭТФ, 1935. Т.%.С.211.

. V.P.Polyakov. On calculation of the stress-strain state of the pneumatic spherical shell in air flow. Scientific Israel - Technological Advanced v.13.no.4(letters).2011.

. Ю.Л.Климонтович. Статистическая теория открытых систем, том I-IV, М.,Янус-К.2001

Похожие работы на - Циклические необратимые процессы при расчете напряженно-деформированного состояния систем

 

Не нашли материал для своей работы?
Поможем написать уникальную работу
Без плагиата!
Без нейросетей!