Скин-эффект и его применение
Скин-эффект
Скин-эффект (от англ. skin - кожа,
оболочка), поверхностный эффект, ослабевания электромагнитных волн по мере их
проникновения в глубь проводящей среды, в результате этого эффекта, например,
переменный ток высокой частоты или переменный ток по сечению проводника или
переменный магнитный поток по сечению магнитопровода, при протекании по
проводнику распределяется не равномерно по сечению, а преимущественно в причины
эффекта.
Причины эффекта.
Скин-эффект обусловлен тем, что при
распространении электромагнитной волны в проводящей среде возникают вихревые
токи, в результате чего часть электромагнитной энергии преобразуется в теплоту.
Это и приводит к уменьшению напряжённостей электрического и магнитного полей и
плотности тока, т.е. к затуханию волны.
Вихревые токи, токи Фуко, замкнутые
электрические токи в массивном проводнике, которые возникают при изменении
пронизывающего его магнитного потока. Вихревые токи являются индукционными
токами и образуются в проводящем теле либо вследствие изменения во времени
магнитного поля, в котором находится тело, либо вследствие движения тела в
магнитном поле, приводящего к изменению магнитного потока через тело или
какую-либо его часть. Величина Вихревого тока тем больше, чем быстрее меняется
магнитный поток./
Чем выше частота n электромагнитного
поля и больше магнитная проницаемость m проводника, тем сильнее (в соответствии
с Максвелла уравнениями) вихревое электрическое поле, создаваемое переменным
магнитным полем, а чем больше проводимость а проводника, тем больше плотность
тока и рассеиваемая в единице объёма мощность (в соответствии с законами Ома и
Джоуля - Ленца). Т.о., чем больше n, m и s, тем сильнее затухание, т.е. резче
проявляется Скин-эффект.
Максвелла уравнения, фундаментальные
уравнения классической макроскопической электродинамики, описывающие
электромагнитные явления в произвольной среде. Максвелла уравнения
сформулированы Дж.К. Максвеллом в 60-х годах 19 века на основе обобщения
эмпирических законов электрических и магнитных явлений. Опираясь на эти законы
и развивая плодотворную идею М. Фарадея о том, что взаимодействия между
электрически заряженными телами осуществляются посредством электромагнитного
поля, Максвелл создал теорию электромагнитных процессов, математически
выражаемую Максвелла уравнения Современная форма Максвелла уравнения дана
немецким физиком Г. Герцем и английским физиком О. Хевисайдом. Максвелла
уравнения связывают величины, характеризующие электромагнитное поле, с его
источниками, то есть с распределением в пространстве электрических зарядов и
токов. В пустоте электромагнитное поле характеризуется двумя векторными
величинами, зависящими от пространственных координат и времени: напряжённостью
электрического поля Е и магнитной индукцией В. Эти величины определяют силы,
действующие со стороны поля на заряды и токи, распределение которых в
пространстве задаётся плотностью заряда r (зарядом в единице объёма) и
плотностью тока j (зарядом, переносимым в единицу времени через единичную
площадку, перпендикулярную направлению движения зарядов). Для описания
электромагнитных процессов в материальной среде (в веществе), кроме векторов Е
и В, вводятся вспомогательные векторные величины, зависящие от состояния и
свойств среды: электрическая индукция D и напряжённость магнитного поля Н.
Максвелла уравнения позволяют определить основные характеристики поля (Е, В, D
и Н) в каждой точке пространства в любой момент времени, если известны
источники поля j и r как функции координат и времени. Максвелла уравнения могут
быть записаны в интегральной или в дифференциальной форме (ниже они даны в
абсолютной системе единиц Гаусса; см. СГС система единиц). Максвелла уравнения
в интегральной форме определяют по заданным зарядам и токам не сами векторы
поля Е, В, D, Н в отдельных точках пространства, а некоторые интегральные
величины, зависящие от распределения этих характеристик поля: циркуляцию
векторов Е и Н вдоль произвольных замкнутых контуров и потоки векторов D и B
через произвольные замкнутые поверхности. Первое Максвелла уравнения является
обобщением на переменные поля эмпирического Ампера закона о возбуждении
магнитного поля электрическими токами. Максвелл высказал гипотезу, что
магнитное поле порождается не только токами, текущими в проводниках, но и
переменными электрическими полями в диэлектриках или вакууме. Величина,
пропорциональная скорости изменения электрического поля во времени, была
названа Максвеллом током смещения. Ток смещения возбуждает магнитное поле по
тому же закону, что и ток проводимости (позднее это было подтверждено
экспериментально). Полный ток, равный сумме тока проводимости и тока смещения,
всегда является замкнутым.
Первое М. у. имеет вид:
/
В случае плоской синусоидальной
волны, распространяющейся вдоль оси х в хорошо проводящей, однородной, линейной
среде (токами смещения по сравнению с токами проводимости можно пренебречь),
амплитуды напряжённостей электрического и магнитного полей затухают по
экспоненциальному закон:
- коэффициент затухания, m0 -
магнитная постоянная На глубине х = d = 1/a амплитуда волны уменьшается в е
раз. Это расстояние называется глубиной проникновения или толщиной скин-слоя.
Например, при частоте 50 гц в меди (s = 580 ксим/см; m = 1) s = 9,4 мм, в стали
(a = 100 ксим/см, (m = 1000) d = 0,74 мм. При увеличении частоты до 0,5 Мгц d
уменьшится в 100 раз. В идеальный проводник (с бесконечно большой
проводимостью) электромагнитная волна вовсе не проникает, она полностью от него
отражается. Чем меньше расстояние, которое проходит волна, по сравнению с d,
тем слабее проявляется С.-э.
Магнитная постоянная, коэффициент
пропорциональности m0, появляющийся в ряде формул магнетизма при записи их в
рационализованной форме (в Международной системе единиц). Так, индукция В
магнитного поля и его напряжённость Н связаны в вакууме соотношением
В = m0Н,
где m0 = 4p×10-7 гн/м» 1,26×10-6 гн/м.)).
Для проводников при сильно
выраженном Скин-эффекте, когда радиус кривизны сечения провода значительно
больше d и поле в проводнике представляет собой плоскую волну, вводят понятие
поверхностного сопротивления проводника Zs (поверхностного импеданса). Его
определяют как отношение комплексной амплитуды падения напряжения на единицу
длины проводника к комплексной амплитуде тока, протекающего через поперечное
сечение скин-слоя единичной длины.
Комплексная амплитуда, представление
амплитуды А и фазы y гармонического колебания х = Acos (wt + y) с помощью
комплексного числа
=Aexp
(ij)=Acosj + iAsinj. При этом гармоническое колебание описывается выражением
х = Re [(
expiwt)],
где Re - вещественная часть
комплексного числа, стоящего в квадратных скобках. К. а. обычно применяются при
расчете линейных электрических цепей (с линейной зависимостью тока от
напряжений), содержащих активные и реактивные элементы. Если на такую цепь
действует гармоническая эдс частоты w, то использование К. а. тока и напряжения
позволяет перейти от дифференциальных уравнений к алгебраическим. Связь между
К. а. тока I и напряжения U для активного сопротивления R определяется законом
Ома: / =
· R. Для индуктивности L эта связь имеет вид I =
- а для ёмкости С: I=iwCU. Таким образом, величины iwL и L/iwC
играют роли индуктивного и ёмкостного сопротивлений./
Комплексное сопротивление на единицу
длины проводника:
где R0 - активное сопротивление
проводника, определяющее мощность потерь в нём, X0 - индуктивное сопротивление,
учитывающее индуктивность проводника, обусловленную магнитным потоком внутри
проводника, lc - периметр поперечного сечения скин-слоя, w = 2pn; при этом R0 =
X0. При сильно выраженном С.-э. поверхностное сопротивление совпадает с
волновым сопротивлением проводника и, следовательно, равно отношению
напряжённости электрического поля к напряжённости магнитного поля на
поверхности проводника.
/! Волновое сопротивление передающих
электрических линий, отношение напряжения к току в любой точке линии, по
которой распространяются электромагнитные волны. В. с. представляет собой
сопротивление, которое оказывает линия бегущей волне напряжения. В бесконечно
длинной линии или линии конечной длины, но нагруженной на сопротивление, равное
В. с., не происходит отражения электромагнитных волн и образования стоячих
волн. В этом случае линия передаёт в нагрузку практически всю энергию от
генератора (без потерь). В. с. равно:
/
В тех случаях, когда длина
свободного пробега l носителей тока становится больше толщины d скин-слоя (например,
в очень чистых металлах при низких температурах), при сравнительно высоких
частотах Скин-эфект приобретает ряд особенностей, благодаря которым он получил
название аномального. Поскольку поле на длине свободного пробега электрона
неоднородно, ток в данной точке зависит от значения электрического поля не
только в этой точке, но и в её окрестности, имеющей размеры порядка l Поэтому
при решении уравнений Максвелла вместо закона Ома приходится использовать для
вычисления тока кинетическое уравнение Больцмана. Электроны при аномальном
Скин-эффекте становятся неравноценными с точки зрения их вклада в электрический
ток; при l >> d основной вклад вносят те из них, которые движутся в
скин-слое параллельно поверхности металла или под очень небольшими углами к ней
и проводят, т. об., больше времени в области сильного поля (эффективные
электроны). Затухание электромагнитной волны в поверхностном слое по-прежнему
имеет место, но количественные характеристики у аномального Скин-эффекта
несколько иные. Поле в скин-слое затухает не экспоненциально (R0/X0=
).
В инфракрасной области частот
электрон за период изменения поля может не успеть пройти расстояние l. При этом
поле на пути электрона за период можно считать однородным. Это приводит опять к
закону Ома, и Скин-эффект снова становится нормальным. Т. об., на низких и
очень высоких частотах Скин-эффект всегда нормальный. В радиодиапазоне в
зависимости от соотношений между / и d могут иметь место нормальный и
аномальный Скин-эффект. Всё сказанное справедливо, пока частота со меньше
плазменной: w < w0 «(4pne2/m) 1/2 (n - концентрация свободных электронов, е
- заряд, m - масса электрона).
Борьба с эффектом.
Скин-эффект часто нежелателен. В
проводах переменный ток при сильном Скин-эффект протекает главным образом по
поверхностному слою; при этом сечение провода не используется полностью,
сопротивление провода и потери мощности в нём при данном токе возрастают. В
ферромагнитных пластинах или лентах магнитопроводов трансформаторов, электрических
машин и других устройств переменный магнитный поток при сильном Скин-эффекте
проходит главным образом по их поверхностному слою; вследствие этого ухудшается
использование сечения магнитопровода, возрастают намагничивающий ток и потери в
стали. «Вредное» влияние Скин-эффекта ослабляет уменьшением толщины пластин или
ленты, а при достаточно высоких частотах - применением магнитопроводов из
магнитодиэлектриков.
Магнитодиэлектрики, магнитные
материалы, представляющие собой связанную в единый конгломерат смесь
ферромагнитного порошка и связки - диэлектрика (например, бакелита,
полистирола, резины); в макрообъёмах обладают высоким электрическим
сопротивлением, зависящим от количества и типа связки. М. могут быть как
магнитно-твёрдыми материалами, так и магнитно-мягкими материалами.
Магнитно-мягкие М. вырабатывают в основном из тонких порошков карбонильного
железа, молибденового пермаллоя и альсифера с различной связкой.
Магнитно-мягкие М. применяют для изготовления сердечников катушек
индуктивности, фильтров, дросселей, радиотехнических броневых сердечников,
работающих при частотах 104-108 гц./
Также, с увеличением частоты
переменного тока скин-эффект проявляется всё более явно, что заставляет
учитывать его при конструировании и расчётах электрических схем, работающих с
переменным и импульсным током. Например, вместо обычных медных проводов могут
применяться медные провода, покрытые тонким слоем серебра. Серебро обладает
наибольшей проводимостью среди всех металлов, и тонкий его слой, в котором
благодаря скин-эффекту и протекает бо́льшая часть тока, оказывает сильное влияние на активное
сопротивление проводника. Скин-эффект значительно влияет на характеристики
колебательных контуров, такие как добротность. В связи с тем, что ток высокой
частоты течёт по тонкому поверхностному слою проводника, активное сопротивление
проводника значительно возрастает, что приводит к быстрому затуханию колебаний
высокой частоты. Для борьбы со скин-эффектом применяют проводники различного
сечения: плоские (в виде лент), трубчатые (полые внутри), наносят на
поверхность проводника слой металла с более низким удельным сопротивлением.
Например, в ВЧ аппаратуре используют посеребрённые медные контуры, в
высоковольтных линиях электропередач применяют провод в медной либо алюминиевой
оболочке со стальным сердечником, в высокомощных генераторах переменного тока
обмотка изготавливается из трубок, через которые пропускается жидкий водород
для охлаждения. Также с целью подавления скин-эффекта используют систему из
нескольких переплетённых и изолированных проводов - литцендрат. Все указанные
методы борьбы со скин-эффектом малоэффективны для сверхвысокочастотного
оборудования. В этом случае применяют колебательные контура особой формы:
объёмные резонаторы и специфические линии передач Применение эффекта
Применение эффекта.
С др. стороны, Скин-эффект находит
применение в практике. На Скин-эффекте основано действие электромагнитных
экранов. Так для защиты внешнего пространства от помех, создаваемых полем
силового трансформатора, работающего на частоте 50 Гц, применяют экран из
сравнительно толстой ферромагнитной стали; для экранирования катушки
индуктивности, работающей на высоких частотах, экраны делают из тонкого слоя
Al. На Скин-эффект основана высокочастотная поверхностная закалка стальных
изделий (см. Индукционная нагревательная установка).
Индукционная нагревательная
установка, электротермическая установка для нагрева металлических заготовок или
деталей с применением индукционного нагрева./
Также на скин-эффекте основано
действие взрывомагнитных генераторов (ВМГ), взрывомагнитных генераторов частоты
(ВМГЧ) и в частности ударно-волновых излучателей (УВИ).
Глубина слоя проводника, в котором
напряженность электрического поля уменьшается в e раз, называется глубиной
скин-слоя. Зависимость глубины скин-слоя от частоты для медного проводника
приведена в таблице. - волноводы. поверхностном слое.
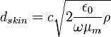
Формула для расчёта глубины
скин-слоя в металле (приближённая).
Здесь ε0
= 8,85419*10-12 Ф/м - абсолютная диэлектрическая
проницаемость вакуума, ρ - удельное сопротивление, c - скорость света, μm - относительная
магнитная проницаемость (близка к единице для пара- и диамагнетиков - меди,
серебра, и т.п.), ω = 2π * f. Все величины выражены в системе СИ.
Более простая формула для расчета
ρ -
удельное сопротивление, μm - относительная магнитная проницаемость, f - частота.
Всем известно - от плазменного шара
током не бьет. Хотя напряжение в десятки тысяч вольт проходит через человека…
Почему???
Если подать на плазменный шар очень
высокое напряжение - более 100KV - разряды начнут выходить из стеклянной колбы.
Опять же, эти искры можно «потрогать», только Вы ничего не почувствуете.
Снимем шар с подставки.
И, наконец, отключим саму подставку
от катушки Тесла.
Во всех 4 случаях через человека
проходит ток в 100-200KV, но почему же он не оказывает никакого действия? Сила
тока маленькая? Нет, включив в цепь >катушка Тесла -> провод -> искра
-> человек< лампу накаливания (если в ней будет хотя бы один виток
волоска - опыт не получится), можно заставить волосок нагреться.
Ответ прост: высокочастотный ток
проходит только по поверхности проводника (коже), вызывая лишь нагревание. Но
не стоит думать, что разряд от катушки Тесла полностью безопасен по 2 причинам
) некоторые искры могут иметь низкую
частоту
) в месте входа искры в тело будет
ожог.
Для избежания ожогов необходимо
держать в руке небольшой металлический НЕ изолированный предмет (например,
отвертку, кусочек фольги или провода).
Во время экспериментов была
использована 450W катушку Тесла, включенная на средней мощности, чтобы не
допустить повреждение WEB камеры, которая вела съемку.
СКИН система представляет собой
надёжный и безопасный комплекс, предназначенный для обогрева трубопроводов,
имеющих различную длину, при подводной, подземной и надземной прокладке, а
также, в зонах, обладающих повышенной взрывоопасностью.
СКИН система является единственно
возможным методом обогрева для трубопроводов без сопроводительной сети, длина
которых может составлять до 30 тысяч метров;
· система
сконструирована с высокими показателями надёжности и прочности;
· СКИН эффект даёт
возможность обогревать магистрали любой протяжённости;
· можно применять в
зонах повышенной взрывоопасности;
· элементы для
нагрева имеют показатель тепловыделения до 120 Ватт на метр;
· СКИН система
работает при температуре до 200 градусов;
· имеется разрешение
на применение в зонах повышенной взрывоопасности от Федеральной службы по
экологическому, технологическому и атомному надзору и сертификат соответствия
ГОСТ Р;
· на внешних частях
элементов, которые выделяют тепло, нет потенциала, они не нуждаются в
электроизоляции, так как заземлены.
Назначение
СКИН система
(Индукционно-резистивная система) позволяет поддерживать заданные температуры
трубопроводов, предохраняет их от замерзания, даёт возможность производить
разогрев магистралей любой протяжённости.
СКИН система является уникальной,
так как она одна может осуществлять обогрев трубопроводного плеча при длине
магистрали до 30 тысяч метров с подачей питания без сети сопровождения. СКИН
эффект позволяет получить экономические выгодный обогрев магистралей любой
длины при наличии сети сопровождения.
Принцип действия
электромагнитный скин эффект тесла

Токи трубы и проводника направлены
друг к другу, что вызывает эффект близости и поверхностный эффект. Ток в трубе
проходит по внутреннему слою, а напряжения на её поверхности нет. Проводник производится
из алюминия или меди (немагнитные материалы), поэтому существенного
поверхностного эффекта нет, а переменный ток протекает по проводниковому
сечению. Главный элемент, который выделяет тепло в СКИН системе - труба,
которая берёт на себя около 80 процентов системной мощности.
Преимущества
Большая длина обогреваемого участка
трубопровода.
Небольшое системное сопротивление на
метр длины в сочетании с большим напряжением электропитания даёт возможность
питать до 30 тысяч метров плечей обогрева.
Запитка происходит с одного конца.
По своей сути конструкционное решение системы позволяет осуществлять питание
участка для обогрева с одного конца.
Электробезопасность. Внешняя часть
элемента для нагрева обладает нулевым показателем потенциала относительно земли
и заземлена.
Хороший тепловой контакт. Элемент
для нагрева (металлический) крепят (специальными крепёжными деталями) или
приваривают к трубопроводу. Чтобы улучшить контакт (тепловой) применяют паста с
хорошей теплопроводностью.
Простота монтажа. На тепловыделяющих
элементах отсутствует внешняя теплоизоляция, что обуславливает невозможность её
повреждения при проведении монтажных работ.
Повышенная надёжность. Труба из
стали (низкоуглеродистой) гарантирует защиту проводника от различных
повреждений и механическую прочность, что немаловажно для магистралей, которые
проложены под водой и землёй.
Тепловыделение
Рабочий температурный интервал
составляет от -50 градусов до +200 градусов. Электрическое питание варьируется
от 50 Герц до 5 киловатт.
Конструкционные элементы включают в
себя:
• Элемент, выделяющий тепло -
стальная труба с диаметром 20-60 мм и толщиной стенки не менее 3 мм.
• Проводник. В качестве токонесущего
проводника используется спецпроводник, противостоящий механическим нагрузкам
при проведении монтажных работ, тепловым нагрузкам до 200 градусов и высокому
напряжению до 5 кВт.
• Защита против коррозии - если
необходимо заказчику, можно применить эпоксидное покрытие.
Управление
Для увеличения эффективности, система
ИРСН оборудуется специальным устройством управления, которое понижает мощность
обогрева тогда, когда температура наружного воздуха увеличивается. Такое
устройство управления гарантирует тщательный контроль над системным состоянием
и даёт возможность обнаружить аварийные обстоятельства, что немаловажно.
Пример обогрева теплоизолированного
трубопровода тремя нагревательными элементами СКИН-системы с суммарной
мощностью 130 Вт/м.
Диаметр трубы 530 мм, t окр. Возд. =
- 20°
Схема электропитания участка
трубопровода, обогреваемого СКИН-системой
Трубопроводный участок с обогревом
СКИН-системой (схема электрического питания). Система электрического питания
включает в себя трансформаторную подстанцию комплектного типа (КТП), с ячейками
(распределительными) низкой и высокой стороны, особый трансформатор
(симметрирующий), систему управления и контроля. Комплектную трансформаторную
подстанцию устанавливают в обогреваемом герметизированном контейнере.
Список литературы
1) Нетушил А.В., Поливанов К.М., Основы электротехники, т. 3,
М., 1956;
2) Поливанов К.М., Теоретические основы электротехники, ч. 3
- Теория электромагнитного поля, М., 1975;
) Нейман Л.Р., Поверхностный эффект в ферромагнитных телах,
Л. - М., 1949.
) Калашников С.Г., Электричество, М., 1956 (Общий курс
физики, т. 2).
) Толмасский И.С., Металлы и сплавы для магнитных
сердечников, М., 1971.