Исследование реологических свойств нефти
Исследование
реологических свойств нефти
Методы транспортирования по трубопроводам
высоковязких нефтей
В обычных условиях нефть является коллоидным
раствором в котором асфальтены служат тонкой дисперсной средой, а жидкие
углеводороды и смолы дисперсионной средой алканы нефтей при обыкновенной
температуре перекачки, могут находится как в газообразном так и в жидком, и
твердом состоянии. Но начиная с гексадекана алканы становятся твердыми
веществами которые содержатся в нефтях частично в растворенном, а частично в
кристаллическом состоянии.
В настоящее время известно и в том или ином
объеме применяются следующие способы перекачки:
) Перекачка с подогревом на головной и
промежуточных станциях (горячая перекачка)
) Перекачка с путевым подогревом трубопровода
) Перекачка в смеси с маловязкими нефтями,
углеводородными растворителями или газом (газовым конденсатом) или СО2
) Перекачка аномальных нефтей по слою воды
(гидроперекачка) - движение нефти по кольцевому слою воды между нефтеным ядром
и стенками трубы
) Перекачка с предварительной термообработкой,
снижающей прочность структуры нефти (перекачка после термодеструктивной
обработки)
) Перекачка с использованием депрессорных
присадок
Горячая перекачка
Несмотря на то, что на сегодняшний день наиболее
освоена технология "горячей перекачки", ее применение требует
колоссальных затрат, процесс теплообмена между нефтью и окружающей средой
приобретает первостепенное значение. В таких условиях особое внимание уделяется
тепловой изоляции "горячих нефтепроводов", что приводит к
значительному снижению затрат и позволяет снизить энергозатраты до допустимых
значений с понижением температуры в нефти.
Гидростатическое сопротивление в трубопроводах,
особенно малого диаметра, возрастает, возникает турбулентный режим,
запарафинивание и в конечном счете создается аварийная ситуация, и остановка
движения жидкости по трубопроводу и остановка подогрева способствуют активации
обложения парафина. Существующие способы увеличения пропускной способности
действующих трубопроводов предусматривают применения дорогостоящих химических
реагентов или требуют повышения энергозатрат для поддержания температуры нефти
в заданном пределе по всей трассе трубопровода.
Важной задачей при транспорте высоковязких и
парафинистых нефтей становится определение объема парафина который может
отложится в нефтепроводе, что находится в прямой зависимости от интенсивности
кристаллизации.
Путевой подогрев
В настоящее время известны следующие
теплоносители для обеспечения путевого подогрева:
водяной пар
горячая вода
электро энергия
На сегодня установлено, что подогрев с помощью
горячей воды и пара в качестве теплоносителей экономически выгоден только на
трубопроводах небольшой протяженности. При значительной длине нефтепровода для
поддержания теплопроводе, достаточного давления и температуры, необходимо
установить специальное оборудование, в результате чего такие системы подогрева
значительно удорожают.
Перспективным методом попутного подогрева
магистрального нефтепровода является электрический (в том числе с
использованием скин-эффекта) который осуществляется подачей электроэнергии
непосредственно на тело трубопровода или оснащением трубопровода специальными
электроизолированными подогревателями.
Данный способ недостаточно освоен на практике.
Перекачка в смеси
Для существенного снижения вязкости нефти
требуется вовлечение в смесь большого количества разбавителя, который (как
правило) является ценным углеводородным сырьем. Экспериментальные исследования
показали значительную эффективность данного метода, однако его применение
затруднительно из-за отсутствия в местах добычи вязких и парафинистых нефтей,
разбавителя в нужном объеме.
Одним из перспективных направлений развития
данного метода является использование в качестве разбавителя газового
конденсата.
Для определения оптимальной технологии перекачки
с разбавителем необходимо принимать во внимание реологические свойства и нефти
и разбавителя, особенность эксплуатации трубопроводов и ряда других секторов.
Однако в некоторых случаях применение
разбавителя приводит к интенсивному отложению парафина на стенке трубы.
С уменьшением вязкости нефти вызванной
разбавителем молекулы смол и парафинов легче проходят через тонкий пристенный
слой на стенку трубы, где кристаллизируются, образуя отложения и уменьшают
живое сечение трубы.
Недостатками перекачки высоко парафинестых
нефтей с разбавителями являются:
необходимость в каждом конкретном случае
специальных исследований для установления оптимальных температур смешения и
нагрева.
дополнительный объем транспортировки.
ухудшение сортности нефти.
Перекачка с водным раствором ПАВ
В результате такой перекачки создается эмульсия,
внешней средой которой является водный раствор ПАВ. В процессе смачивания
стенок трубопровода водным раствором ПАВ образуется маловязкий пристенный
градиентный слой с меньшим коэффициентом трения чем в системе нефть-поверхность
трубы. Что позволяет значительно снизить потери энергии на перекачку.
Чтобы обеспечить в конечном пункте легкое и
достаточно полное отделение воды от нефти эмульгатор должен придавать
максимальную устойчивость эмульсии при низких температурах и минимальную при
повышенных температурах.
Является одним из перспективных методов, но
имеет свои недостатки:
увеличения объема перекачки на 30 - 35%
необходимость в деэмульгировании нефти
необходимость в дополнительной разлагаемости ПАВ
(при не выполнении этого условия, строительство специальных очистных
сооружений).
ПАВ должны способствовать образованию прямых и
устойчивых в динамическом состоянии эмульсии, а также не вызывать коррозию металла.
Перекачка с предварительной термообработкой
Процесс термодиструктивной обработки нефти с
целью ее транспортировки по магистральному нефтепроводу для парафинистых нефтей
непригоден. Тек как при термодиструкции произойдет разрушение твердых парафиновых
углеводородов и их полная потеря. Этот процесс применим только для высоковязких
нефтей с ньютоновскими свойствами, тяжелых углеводородов нефтено-ароматического
ряда и асфальтических веществ.
Нагрев нефти до температуры при которой
полностью растворяются содержащиеся в ней твердые парафины (80 - 95О С) и
охлаждение с заданным темпом обеспечивающим построение крупнокисталичной
несвязанной пространственной сеткой структуры, приводит к понижению температуры
застывания парафинистых нефтей и снижению их вязкости в определенном интервале
температур.
Температура застывания нефти не зависит от
скорости ее охлаждения. Термообработка нефтей относительно богатых смолами
приводит и температуру застывания и дает возможность вести перекачку при
нормальной температуре.
Недостатки:
высокие энергетические затраты
эффект термообработки при повторном нагреве
частично или полностью исчезает
Перекачка с использованием депрессорных присадок
По механизму действия присадок понижающих
вязкость и предельное напряжение сдвига нефти на сегодня не существует единого
мнения
Отмечается двоякий характер их действия,
во-первых частицы присадки образуют с парафином смешанные кристаллы, в
результате этого предотвращается образование сплошной структуры сетки,
во-вторых частицы присадки выступают центры вокруг которых в последствии
кристаллизуется парафин, не связываясь между собой в структурную сетку.
Необходимо отметить, что смолисто-асфальтеновые
вещества содержащиеся в нефти являются типичными природными депрессаторами.
Реология - наука, которая изучает механическое
поведение твердо- и жидкообразных тел (реос - течение; логос - учение).
Представим, что к противоположным сторонам
кубика приложена касательная сила F. Она создает численно равное ей напряжение
сдвига t. Под действием напряжения сдвига происходит деформация кубика:
смещение его верхней грани по отношению к нижней на величину g. Это смещение
численно равно tg g - тангенсу угла отклонения боковой грани, т.е.
относительной деформации сдвига g.
Связь между величинами напряжения сдвига t,
деформации g и их изменениями во времени есть выражение механического
поведения, которое составляет предмет реологии.
Существуют две распространенные модели жидкости.
Первая из них предполагает, что в жидкости при движении нет касательных напряжений.
Это модель идеальной жидкости. Вторая модель учитывает появляющиеся при
движении касательные напряжения. Это модель вязкой жидкости.
В простейшем случае прямолинейного слоистого
(ламинарного) течения связь между касательным напряжением t и производной
скорости u по нормали определяется законом вязкого трения Ньютона:
= m * du/dy, (1)
где m - динамический коэффициент вязкости.
Этот коэффициент определяется свойствами
жидкости и зависит от давления и температуры.
Существует много сред, которые хорошо описываются
моделью (1) вязкой (ньютоновской) жидкости. В то же время имеются и другие
жидкие среды, для описания которых модель вязкой жидкости не подходит. Эти
жидкости называются неньютоновскими.
Если нефть не содержит сложной структурной
единицы (ССЕ), то она представляет собой молекулярный раствор различных низко-
и высокомолекулярных соединений и подчиняется закону вязкого трения Ньютона
(1). При движении вязкой ньютоновской жидкости по круглой трубе касательное
напряжение t пропорционально градиенту скорости u:
= m * du/dr, (2)
где r - радиус;/dr - скорость сдвига.
Это простейшее реологическое уравнение жидкости.
Оно содержит единственный реологический параметр - динамическую вязкость.
Зависимость касательного напряжения от скорости
сдвига называется кривой течения или реологической кривой.
В координатах t-du/dr поведение нефти указанного
выше типа будет описываться прямой 1, выходящей из начала координат (рис.1).
Рис.1. Кривые течения
- ньютоновская жидкость; 2 - псевдопластичная; 3
- дилатантная; 4 - вязкопластичная жидкости
Тангенс угла наклона прямой 1 к оси ординат
характеризует вязкость жидкости (нефти) и при постоянной температуре есть
величина постоянная:
Физико-химические и механические свойства
нефтяных дисперсных системах (НДС) зависят от степени структурирования
высокомолекулярных соединений (ВМС) и от соотношения дисперсной фазы и
дисперсионной среды.
Если нефть представляет собой свободнодисперсную
систему, то ее течение качественно совпадает с течением гомогенных жидкостей,
т.е. при ламинарном режиме течения сохраняется пропорциональность между
напряжением сдвига и скоростью сдвига. Количественно отличие выражается в том,
что вязкость системы оказывается выше вязкости чистой (гомогенной) жидкости,
т.к. дисперсные частицы оказывают дополнительное сопротивление перемещению
слоев жидкости.
Наличие структуры в жидкости изменяет характер
кривых течения.
Широкий спектр размеров частиц в НДС и их
взаимодействие между собой обусловливает большое разнообразие реологических
свойств нефтей.
Нефти, представляющие собой связнодисперсную
систему, уравнению Ньютона не подчиняются, т.к. при их течении утрачивается
пропорциональность между приложенной нагрузкой (напряжением сдвига) и
вызываемой ею деформацией (скоростью сдвига), кривая 2, рис.1. Жидкость
продолжает сохранять способность к течению при сколь угодно малых напряжениях
сдвига, но по мере увеличения скорости сдвига в жидкости происходит разрушение
еще слабых связей между ассоциатами, упорядочение взаимного положения и
ориентация частиц относительно направления потока. Все это приводит к
относительному уменьшению прилагаемого к жидкости напряжения сдвига t и кривая
течения 2 становится обращенной выпуклостью к оси t. Такие жидкости называются
псевдопластичными.
Течение псевдопластичной жидкости подчиняется
степенному закону:
= k*(du/dr)n, (4)
где k - консистентность системы;- индекс
течения.
Индекс течения характеризует отклонение системы
от состояния ньютоновской жидкости:=1 - ньютоновская жидкость;<1 -
псевдопластичная жидкость;>1 - дилатантная жидкость, кривая 3, рис.1.
Кривые течения степенных жидкостей проходят
через начало координат.
Системы, в которых жидкая фаза пронизана
сплошной структурной сеткой, приобретают способность к течению только после
разрушения той сетки. Примером такой системы является нефть, содержащая сетку
из кристаллов парафина или частиц асфальтенов. Идеальное вязкопластичное
течение описывается прямой 4, тангенс угла наклона которой к оси скорости
сдвига численно равен пластической вязкости m*. Течение таких жидкостей
(нефтей, водонефтяных эмульсий) начинается только после того, как напряжение
сдвига превысит некоторый предел t0. При этом структура полностью разрушается и
жидкость течет затем как ньютоновская.
Уравнение, описывающее течение вязко-пластичных
жидкостей, известно как уравнение Шведова-Бингама:
= t0 + (m*) * du/dr. (5)
При рассмотрении кривых течения реальных
вязкопластичных жидкостей можно наблюдать три характерных точки:С - напряжение
сдвига, при котором начинается течение (статическое напряжение сдвига);-
предельное (динамическое) напряжение сдвига;Р - напряжение сдвига, при котором
структура полностью разрушена и жидкость начинает течь как ньютоновская.
Исследования реологического поведения нефтей показали,
что при температурах близких к температуре застывания нефти хорошо подчиняются
модели Швидова-Бингама.
Пластическую вязкость можно выразить через
реологические параметры t0 и m:
* = m + t0/(du/dr) (6)
Структурообразование многократно повышает эффективную
вязкость нефти, особенно при течении со сравнительно низкими скоростями.
Неньютоновские вязкие жидкости делятся на две
группы:
а) жидкости, обладающие начальным напряжением
сдвига t0; при t£t0 система
ведет себя кактвердое тело;
б) жидкости не обладающие начальным напряжением
сдвига t0.
Для неньютоновских вязких жидкостей вводится
понятие кажущейся вязкости.
Вязкость неньютоновской жидкости, в отличие от
вязкости ньютоновской, не является постоянной величиной, а зависит от величины
напряжения сдвига:
m* ¹ const, m* = f (t, du/dr, T)
(7)
Это сильно влияет на затраты энергии при
перекачке по трубопроводам нефтей, содержащих дисперсные частицы.
Например, из-за того, что кажущаяся вязкость
зависит от скорости сдвига (рис.2), потребуются дополнительные затраты энергии
на разрушение структуры в начальный период при пуске насосных станций.
Рис.2. Зависимость кажущейся вязкости
неньютоновской жидкости от скорости сдвига и температуры
Значение предельного напряжения сдвига в НДС
зависит от температуры нефтяной системы.
Изменения, происходящие в зависимости от
температуры в НДС с лиофобной дисперсионной средой (плохой растворитель) могут
быть представлены: гель«золь. В случае лиофильной дисперсионной среды (хороший
растворитель): гель«золь«раствор ВМС.
В области температур, при которых система
находится в состоянии геля, структурно-механическая прочность и устойчивость
системы зависит от состава дисперсионной среды, ее растворяющей способности,
концентрации твердой фазы, соотношения в твердой фазе парафинов и асфальтенов.
При повышении температуры свойства геля изменяются, уменьшается его
механическая прочность и система приобретает текучие свойства; при температуре,
соответствующей температуре застывания, нефть из связнодисперсного состояния
переходит в свободнодисперсное состояние (состояние аномальной жидкости). При
определенной температуре система переходит из состояния неньютоновской
(аномальной) жидкости в состояние молекулярных растворов ВМС (ньютоновская
жидкость), характеризующейся наименьшей вязкостью системы при данной
температуре, зависящей только от природы компонентов и температуры системы, и
подчиняющейся закону Ньютона.
Итак, при подогреве нефти ее неньютоновские
свойства сглаживаются, зависимость эффективной вязкости от скорости сдвига
уменьшается.
При некоторой температуре, соответствующей точке
слияния кривых (рис.3), жидкость становится ньютоновской: вязкость подогретой
жидкости не зависит от скорости сдвига.
Рис.3. Зависимость кажущейся вязкости
неньютоновской жидкости от скорости сдвига и температуры
Отсюда следует сущность метода перекачки
высоковязких нефтей с подогревом.
Целесообразность подогрева высоковязких нефтей
определяется конкретными условиями перекачки.При периодической транспортировке
высоковязких нефтей по трубопроводу целесообразность подогрева в высокой
степени зависит от стоимости и эффективности теплоизоляции.
В отличие от перекачки при обычных температурах
перекачка подогретых нефтей происходит при неизотермических условиях. В этом
случае процессы теплообмена между нефтью и окружающей средой приобретают
первостепенное значение. Интенсивность теплообмена повлияет на величину потерь
тепла в окружающую среду и, следовательно, на температуру нефти в конце трубопровода.
Выбор температуры подогрева для заданных условий перекачки определяется на
основании технико-экономических расчетов с учетом минимума затрат на подогрев и
перекачку.
Зависимость вязкости структурированной системы
от напряжения сдвига представлена на рис.4.
Рис.4. Кривая эффективной вязкости пластовой
нефти
На участках 1 и 3 вязкость системы является
величиной постоянной при данной температуре. На этих участках НДС соответствует
по своей консистенции состояниям геля, и молекулярному раствору ВМС нефти. На
участке 2 нефть находится в состоянии аномальновязкой жидкости, вязкость
является величиной переменной и характеризует равновесие процессов разрушения и
восстановления структуры в зависимости от приложенного t.
Разрушение коагуляционных структур, образованных
высокомолекулярными парафинами и асфальтенами, имеет свои особенности. После
приложения определенной нагрузки к нефти, обладающей такой структурой,
немедленного разрушения структуры не наблюдается. Степень разрушения зависит не
только от скорости сдвига, но и от времени воздействия нагрузки. Характерно,
что после снятия нагрузки прочность структуры через определенное время
восстанавливается полностью, т.е. вязкость от величины m3 увеличивается до
значения m1 (рис.4).
Такая способность к самопроизвольному
восстановлению структуры после ее разрушения называется тиксотропией.
Парафинистые нефти и агрегативно-устойчивые
концентрированные водо-нефтяные эмульсии облают свойством самопроизвольного
увеличения прочности структуры t0 во времени и восстановления структуры после
ее механического разрушения.
Время восстановления структуры после ее
механического разрушения для различных нефтей и эмульсий может колебаться от
нескольких минут до десятков часов.
Тиксотропные свойства нефти зависят от
содержания, химического состава, дисперсного состояния высокомолекулярных
парафинов нефти, содержания и адсорбционного действия на процессы
кристаллизации парафина смолисто-асфальтеновых веществ, температурного
воздействия на нефть и др.
Для снижения тиксотропных свойств нефти
применяют термообработку нефти и специальные депрессорные присадки.
Ранее было показано, что структурно-механическая
прочность НДС, t0, тем меньше, чем меньше радиус ядра ССЕ и больше толщина
сольватного слоя.
Поэтому назначение депрессорных присадок -
повысить степень дисперсности нефтяной системы и тем самым снизить
структурно-механическую прочность t0 и понизить температуру застывания нефти.
Установлено, что чем больше молекулярная масса
парафинов нефти и чем выше их концентрация, тем меньше влияют добавляемые
асфальтены или другие депрессоры на температуру перехода НДС из жидкого
состояния в твердое.
Механизм действия депрессоров можно объяснить
исходя из следующих представлений:
ü Высокомолекулярные
парафины в НДС образуют надмолекулярные структуры - ассоциаты макромолекул,
способные самостоятельно существовать при температурах выше температуры
кристаллизации парафиновых углеводородов;
ü Действие
депрессорных присадок сводится к влиянию на процесс ассоциации твердых
парафиновых углеводородов при температурах выше температуры кристаллизации
парафина и связано с образованием комплексов между присадкой и парафином.
Молекулы присадок, благодаря наличию в них
парафиновых цепей, взаимодействуют с молекулами парафиновых углеводородов на
стадии формирования надмолекулярной структуры и входят в состав ассоциата. При
этом увеличивается толщина сольватной оболочки ССЕ, изменяется размер
надмолекулярных структур, происходит ослабление сил взаимодействия между ассоциатами
и между дисперсной фазой и дисперсионной средой. В результате образуются более
рыхлые, более подвижные ассоциаты и снижается прочность структуры.
Это приводит к смещению температуры застывания
систем в область более низких температур и к смещению структурных переходов
парафина из агрегированного состояния в пространственное в область более
высоких его концентраций.
Целенаправленных исследований в области
формирования коагуляционных структур и аномальных нефтяных жидкостей проведено
недостаточно и еще предстоит установить более общие закономерности для
управления этим сложным процессом, имеющим важное технологическое значение.
Методика исследования
Измерение вязкости представленных для испытаний
образцов нефти при заданных условиях можно осуществить на установке, в которой
при определенном давлении и температуре осуществляется перетекание нефти из
одной емкости в другую через калиброванную трубку. Зная объемный расход нефти и
перепад давлений на калиброванной трубке, можно рассчитать вязкость по формуле:
реологический нефть подогрев
вязкость
где η
- динамическая вязкость, Па × с;
r - радиус калиброванной трубки, м; V’ - объемный расход нефти через
калиброванную трубку, м3/с; ∆P - перепад давления на калиброванной трубке,
Па; l - длина калиброванной трубки, м.
Для выполнения поставленной задачи разработана
установка, принципиальная схема которой приведена на рис. 5, а на рис. 6
представлена ее фотография. Основными узлами установки являются:
термостатируемая камера 1, в которой на металлической раме закреплен
гидроцилиндр двойного действия 2, соединенный шлангами высокого давления с
двумя буферными емкостями 3, сообщающимися между собой калиброванной трубкой 4.
Гидроцилиндр и буферные емкости заполняются исследуемой нефтью. Давление в
системе создается с помощью винтового домкрата 5 вспомогательным гидроцилиндром
6, соединенным с одной из буферных емкостей, снабженной манометром для
визуального контроля. Кроме этого, в одну из буферных емкостей можно подавать
газ при повышенном давлении, изменяя газонасыщенность и давление. Такой
механизм позволяет задавать в системе давление от 0 до 10 МПа и фиксировать его
на любой величине в указанном диапазоне, не применяя сложных устройств.
Перетекание нефти через калиброванную трубку осуществляется
под воздействием перемещения в гидроцилиндре 2 поршня, который перемещается с
помощью приводного цилиндра 7, управляемого насосной станцией.
Поддержание необходимой температуры испытаний
осуществляется с помощью нагревателя 8, расположенного вокруг калиброванной
трубки, а контроль и регулирование - с помощью дифференциальной термопары 9.
Перепад давлений в буферных емкостях 3 измеряется в течение опыта с помощью
преобразователей давления 10 типа КРТ-5 с унифицированным выходным сигналом постоянного
тока или напряжения.
Для измерения скорости перемещения поршня
гидроцилиндра 2, определяющего перетекание испытуемой нефти с определенной
скоростью через калиброванную трубку 4, используется датчик перемещения 11 с
электрическим выходом. Регистрация величин перепада давлений в буферных
емкостях, скорости перетекания нефти, задания температуры испытаний и ее
регулирование осуществляется компьютерной системой, включающей компьютерный
порт 12, источник питания постоянного тока 13 и персональный компьютер 14.
Процесс управления режимом работы установки и
регистрация температуры, давления и перемещения осуществляется в автоматическом
режиме с использованием компьютерного порта В-381 и специальной прикладной
программы. Это позволяет обезопасить обслуживающий персонал во время проведения
эксперимента и повысить точность и достоверность получаемых данных. В основу
обработки данных для определения вязкости положена формула (1). Для определения
предельного напряжения сдвига τпр
используется формула (2):

Исследование реологических свойств высоковязкой
нефти в динамических условиях.
На первом этапе измерение вязкости
представленных образцов нефти проводилось на реометре (RHEOLAB MC1) и
вискозиметре («Полимер-РПЭ-1М»), который предназначен для экспресс анализов
вязкости в лабораторных и заводских условиях. Реометр обеспечивал определение
реологических параметров при вязкостях выше 0,1 Па ×
с,
а для вязкости при повышенных температурах использовался вискозиметр, который
обеспечивал измерение вязкости в диапазоне от 1,8 ×
10-3 до 3,75 × 104 Па
× с
с воспринимающими элементами типа «цилиндр - цилиндр». Вискозиметр является
лабораторным прибором, предназначенным для работы в переносном и в стационарном
положениях.
Диапазон температур анализируемой среды с
помощью системы термостатирования мог изменяться от 20 до 90о С при работе с
воспринимающими элементами типа «цилиндр - цилиндр».
Принцип действия вискозиметра основан на
измерении момента сопротивления сдвигу испытываемого материала, помещенного в
зазор между воспринимающими элементами, при вращении одного из них с постоянной
угловой скоростью, путем преобразования угла закручивания упругого элемента,
пропорционального вязкости.
Измерения вязкости представленных образцов нефти
проводилось в соответствии с инструкцией по эксплуатации и техническим
описанием приборов.
Исследуемая нефть в количестве, указанном в
соответствующей таблице инструкции, помещалась в зазор между воспринимающими
элементами типа «цилиндр - цилиндр». Укрепленная на вискозиметре
термостатирующая камера соединялась шлангами с жидкостным термостатом, с
помощью которого в камере прибора устанавливалась и поддерживалась необходимая
температура, заданная заказчиком.
Пример:
После проведения пробных экспериментов в
качестве воспринимающих элементов выбирают цилиндры с соответствующей
маркировкой. Режимы измерения вязкости и положение переключателя скоростей
подбиралются таким образом, чтобы показания прибора находились в пределах от 10
до 90% наибольшего значения вязкости при выбранном режиме.
Вязкость образцов нефти измеряется в диапазоне
скоростей сдвига от 1,384 до 354,1 с-1 при температурах 20, 30, 40, 50, 60 и
70о С. Исследования проведены с двумя образцами высоковязкой нефти и с одним
образцом высоковязкой нефти, модифицированной углеводородным растворителем в
соотношении 1:20; 1:10 и 1:5.
Полученные результаты в основном с помощью
вискозиметра «Полимер-РПЭ-1М», представлены в табл. 1. Из приведенных данных
видно, что вязкость нефти в диапазоне скорости сдвига 0÷50
с-1
существенно зависит от скорости сдвига. При скорости сдвига более 50 с-1 кривые
зависимости вязкости от скорости сдвига выходят на плато, т. е. вязкость
выходит на постоянное значение.
После соответствующей обработки были получены
зависимости вязкости нефти от температуры и зависимости вязкости нефти от
концентрации углеводородного растворителя в образце № 2 . Получены расчетные
кривые течения образцов нефти, которые позволяют судить о том, что
представленные на исследование образцы можно отнести к неньютоновским
жидкостям, а предельное напряжение сдвига для них составляет около 1 Па.
Анализ полученных данных показывает, что
вязкость исследованных образцов нефти уменьшается с повышением температуры от
20о С до 70о С в 4-5 раз. При этом с повышением температуры до 50о С и выше
интенсивность изменения вязкости падает.
Модификация нефти углеводородным растворителем
оказывает существенное воздействие на вязкость при температурах ниже 50о С,
уменьшая вязкость при этом до 5 раз.
Образцы нефти № 3 и № 4, которые имели более
высокую вязкость по сравнению с предыдущими образцами, исследовались с помощью
реометра RHEOLAB MC1 в диапазоне скоростей сдвига 1-100 с-1. Полученные данные
представлены в табл. 2. Анализ полученных данных показывает, что по зависимости
вязкости от градиента скорости сдвига эти образцы, также как и образцы № 1 и №
2, можно отнести к неньютоновским жидкостям. В данном случае образец № 4 в
отличие от остальных имеет более выраженные свойства зависимости вязкости от
градиента скорости сдвига. На образцах № 3 и № 4 прослеживаются те же
закономерности изменения вязкости при изменении температуры и концентрации
растворителя, что и в предыдущих образцах.
На втором этапе проведены исследования
зависимости вязкости нефти от гидростатического давления и температуры на
установке для исследования реологических свойств нефти при повышенном давлении.
Исследования проводились с образцами нефти № 2 и № 3 при вариации давления от
1,5 до 10 МПа. Температура при этом изменялась от 20 до 50о С. Вязкость
определена в основном в диапазоне скоростей сдвига 5-20 с-1, близком к
соответствующему диапазону откачки нефти при добыче.
Полученные данные представлены в табл. 3 и на
рис. 3-6. Анализ полученных данных показывает, что вязкость исследованных
образцов нефти зависит от давления, увеличиваясь в исследуемом интервале
давлений в 1,25-2,2 раза с увеличением давления, по сравнению с результатами,
полученными при атмосферном давлении. При этом более выраженная зависимость
вязкости от давления характерна для образцов модифицированных растворителем,
что необходимо учитывать при оценке эффективности изменения вязкости с помощью
растворителей для высоковязкой нефти, извлекаемой из большой глубины.
Следует отметить, что результаты по вязкости
нефти, полученные с помощью реометра RHEOLAB MC1 и установки для исследования
реологических свойств нефти при повышенном давлении имеют вполне близкие
значения в сопоставимом диапазоне скоростей сдвига. Поэтому для определения
вязкости при давлениях до 1 МПа более удобно использовать ротационные
вискозиметры, а при давлениях порядка 10 Мпа необходимо использовать методы,
обеспечивающие определение вязкости при повышенном давлении.
Таблица 1. Зависимость вязкости образцов нефти
от температуры и скорости сдвига(вискозиметр «Полимер-РПЭ-1М»)
Таблица 2. Зависимость вязкости образцов нефти
от температуры и скорости сдвига (реометр RHEOLAB MC1)
Таблица 3. Зависимость вязкости образцов нефти
от температуры и давления (установка для исследования реологических свойств
нефти при повышенном давлении)
Расчет гидродинамических процессов,
соответствующих подъему высоковязкой модифицированной нефти из пластовых
условий на поверхность. Для расчета дебита скважины необходимо использовать
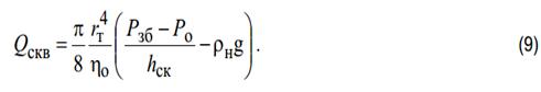
уравнение Пуазейля с учетом гравитации:
где rт - радиус трубы; Р - гидростатическое
давление; ρн - плотность
нефти, g - ускорение свободного падения; η(Т,
Р) - динамическая вязкость нефти, как функция температуры Т и гидростатического
давления P; Х - вертикальная координата, отсчитываемая от устья скважины в
глубину.
Вследствие зависимости вязкости от давления и
температуры распределение давления по глубине будет нелинейным, и для расчета
градиента давления необходимо найти Р как функцию глубины. Для этого выразим
градиент Р через параметры, входящие в уравнение (4):
Распределение давления по глубине можно
получить, интегрируя уравнение (2) при граничных условиях, определяемых
значением гидростатического давления в устье и в забое скважины, которые
формулируются следующим образом:
где Ро - давление на поверхности; Рзб - давление
в забое скважины; hск - глубина скважины.
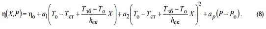
Функцию динамической вязкости с учетом
полученных экспериментально зависимостей вязкости от температуры и давления
можно представить в виде
где Тст - стандартная температура (+20о С); а1,
а2, ар - эмпирические коэффициенты.
С учетом линейного распределения температуры по
глубине, зависимости температуры от координаты можно выразить уравнением
где То - температура на поверхности грунта; Тзб
- температура на забое скважины.
В итоге вязкость можно представить как функцию
координаты и давления
Зависимость вязкости от координаты и давления не
позволяет получить аналитическое решение уравнения (2), и поэтому расчет
распределения гидростатического давления по глубине и дебит скважины необходимо
проводить численным методом. С этой целью разработаны расчетная схема,
алгоритм, которые реализованы в прикладной программе в среде программирования
Delphi.
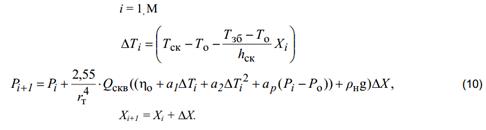
Расчет проводится в такой последовательности.
Вначале задается первое приближение Qскв по формуле
Затем выполняется цикл вычислений значений Р в
узловых точках координатной сетки Х:
После выполнения цикла проводится сравнение РМ с
давлением Рзб. Если |РМ - Рзб| > 0,001 Рзб, то проводится коррекция Qскв по
формуле
После этого программа возвращается на начало
цикла, и процедура вычислений повторяется до тех пор, пока разность давлений РМ
и Рзб не станет меньше 0,001 Рзб. При достижении необходимой величины разности
расчетного и действительного давления на забое скважины выводится величина
дебита скважины и график распределения давления и вязкости по глубине.
Для ввода исходных параметров: давления в устье
и забое скважины, глубины скважины, радиуса трубы, параметров вязкости,
температуры в устье забоя скважины, шага координатной сетки и вывода дебита
скважины, а также распределения давления и вязкости по глубине, разработан
пользовательский интерфейс. На рис. 11 представлено окно пользовательского
интерфейса.
Разработанная методика численного расчета
позволяет оптимизировать режимы подъема высоковязкой нефти из пластовых условий
на поверхность.Для реализации задач по исследованию реологических параметров
нефти при различном насыщении ее газом и гидростатических давлениях до 10 МПа,
а также при варьировании в широких пределах скорости сдвига разработана
принципиально новая установка. Она позволяет определять реологические параметры
нефти в условиях, соответствующих пластовым давлениям и режимам откачки.
На установке проведены исследования
реологических свойств нефти при повышенном давлении. Установлено, что вязкость
образцов нефти зависит от давления, увеличиваясь в исследуемым интервале
давлений в 1,25-2,2 раза с увеличением давления, по сравнению с результатами,
полученными при атмосферном давлении. При этом более выраженная зависимость
вязкости от давления характерна для образцов, модифицированных растворителем.
Разработана методика численного расчета,
позволяющая оптимизировать режимы подъема высоковязкой нефти из пластовых
условий на поверхность.
Список используемой литературы
.
Агаев С.Г., Мозырев А.Г., Халин А.Н. Влияние асфальтосмолистых веществ а
процесспарафинизации при добыче нефти//Известия вузов. Нефть и
газ.-1997.-№6.-С.16-17.
.
Банатов В.В. Вопросы улучшения реологических свойств высоковязких нефтей
долинского месторождения//! 11 научно-техническая конференция молодых ученых и
специалистов:Тез.докл.-Киев.-1976.-С.53-54.
.
Богданов А.И. и др. Химия нефти и газа.-Jl. Химия, 1989.-424с.
.
Пергушев JI. П. Исследование вязкости сырых нефтей//Нефтяное
хозяйство.-1999.-№3,-
.
Сюняев З.И., Сюняев Р.З., Сафиева Р.З. Нефтяные дисперсные системы.-М.:Химия,
1990.-226 с.
.
Тхык Ф. Д., Шон Т. К. Исследование реологии газонасыщенных нефтей. „Проблемы
гидродинамики, надежности и прочности в современном трубопроводном
транспорте." Уфа: Баш. Кн. Изд-во, 1997.