Химия нефти и газа

  • Вид работы:
    Учебное пособие
  • Предмет:
    Химия
  • Язык:
    Русский
    ,
    Формат файла:
    MS Word
    505,94 Кб
  • Опубликовано:
    2013-10-31
Вы можете узнать стоимость помощи в написании студенческой работы.
Помощь в написании работы, которую точно примут!

Химия нефти и газа














ХИМИЯ НЕФТИ И ГАЗА

Н.А. Сваровская

СОДЕРЖАНИЕ

Введение

1. ПРОИСХОЖДЕНИЕ НЕФТИ

.1 Гипотезы минерального происхождения

.2 Развитие представлений об органическом происхождении нефти

.3 Современные представления об образовании нефти и газа

.4 Образование основных классов углеводородов нефти

. ХИМИЧЕСКИЙ СОСТАВ НЕФТИ И ГАЗА

.1 Углеводородные соединения

.2 Гетероорганические соединения

.3 Микроэлементы

. НЕФТЯНЫЕ ДИСПЕРСНЫЕ СИСТЕМЫ

.1 Парафиновые углеводороды

.2 Нафтеновые углеводороды

.3 Ароматические углеводороды

.4 Смолисто-асфальтеновые вещества

. физико-химические свойства нефти

.1 Плотность нефти

.2 Вязкость нефти

.3 Реологические свойства нефтей

.4 Газосодержание нефти

.5 Давление насыщения нефти газом

.6 Сжимаемость нефти

.7 Объемный коэффициент нефти

.8 Тепловые свойства нефтей

.9 Электрические свойства нефтей

.10 Молекулярная масса

.11 Температура кристаллизации, помутнения, застывания

.12 Температура вспышки, воспламенения и самовоспламенения

.13 Оптические свойства

.14 Различие свойств нефти в пределах нефтеносной залежи

. СВОЙСТВА НЕФТЯНОГО ГАЗА

. кЛАССИФИКАЦИИ НЕФТЕЙ

РЕКОМЕНДУЕМАЯ ЛИТЕРАТУРА

ВВЕДЕНИЕ

Нефть давно известна человечеству. Её использовали в Вавилоне и Византии как зажигательную смесь. В древнем Египте, Риме и междуречьи Тигра и Евфрата её применяли как вяжущий и гидроизоляционный материал при строительстве дорог, акведуков и других сооружений. С конца XVIII века продукт переработки нефти керосин стал использоваться для освещения жилищ и улиц, а с XIX века, с изобретением двигателей внутреннего сгорания нефтепродукты стали основным видом топлива для различных транспортных средств.

В отличие от других видов горючих ископаемых, нефть относительно легко добывается, транспортируется (по трубопроводам) и довольно просто перерабатывается в широкую гамму продуктов различного назначения. Поэтому неудивительно, что в большинстве стран мира на нефть приходится более половины топливно-энергетического комплекса.

Экономика государств зависит от нефти больше, чем от любого другого продукта. Поэтому нефть с начала ее промышленной добычи и до настоящего времени является предметом острой конкурентной борьбы, причиной многих международных конфликтов и войн. Природный газ, как и нефть, в первую очередь является энергетическим топливом. Большая часть добываемой в мире нефти (80 - 90 %) перерабатывается в различные виды топлива и смазочных материалов. Лишь около 10 % его идет на нужды химической промышленности.

История развития химии нефти связана с работами Д. И. Менделеева, Н. Д. Зелинского, В. В. Марковникова, К. В. Харичкова, В. Н. Ипатьева, А, А. Летнего и др., которые способствовали рождению химии нефти как науки. Становление ее произошло в конце 20-х - начале 30-х годов в стенах Московской горной академии, где профессор (позже академик) С. Н. Намёткин читал курс "Химия нефти". В 1932 г. вышла книга с таким же названием.

Основные, традиционные исследования в области химии нефти включают следующие направления. Первое - аналитическое направление, изучающее состав нефтей с целью практического применения нефтяных фракций и отдельных компонентов, а также решения геохимических задач по поиску новых месторождений нефти и газа. Знание потенциального химического состава нефти имеет определяющее значение для выбора оптимальной технологической схемы ее переработки. С помощью современных методов аналитической и органической химии в нефтях по данным Ал. А. Петрова было идентифицировано около 1000 индивидуальных соединений.

Второе направление исследований заключается в изучении свойств нефтяных систем в зависимости от Р, V, Т-условий и химического взаимодействия отдельных компонентов нефти. В условиях добычи, транспортировки, переработки и применения нефтяные системы могут находиться при повышенных температурах и давлениях, когда возможны химические превращения нефтяных компонентов.

Следует обратить внимание на то, что в химии нефти достаточно долго господствовал и сохранился до сих пор подход к нефтяным системам как к молекулярным растворам. До сих пор многие явления в нефтяных системах и технологические расчеты трактуются на основе физических законов, установленных для молекулярных растворов (законов Рауля-Дальтона, Генри, Ньютона, Дарси и т.д.). Однако представления о молекулярной структуре нефтяных систем не всегда описывает реальное поведение нефтяных систем и соответствует действительности.

С позиций коллоидной химии - нефть это сложная многокомпонентная смесь, проявляющая в зависимости от совокупности внешних условий свойства молекулярного раствора или дисперсной системы. К нефтяным дисперсным системам (НДС) относятся практически все виды природного углеводородного сырья, а также разные типы нефтепродуктов - от моторных топлив до коксов. Такой подход, основанный на рассмотрении дисперсной структуры различных НДС, позволяет оптимизировать без существенных материальных затрат те технологические процессы добычи, транспортировки и переработки нефти, а также свойства нефтепродуктов, которые не удавалось интенсифицировать другими способами.

Накопленный к настоящему времени экспериментальный материал убедительно доказывает, что дальнейшее игнорирование дисперсного строения нефти существенно ограничивает возможности по регулированию нефтеотдачи пласта. Конечно, нельзя не отметить исключительную сложность такого подхода. Она заключается в том, что специалисты в области химии нефти до сих пор не пришли к единому мнению о строении нефти, исследуя ее при нормальных условиях. А чаще всего контакт нефти с породой происходит при иных условиях: в присутствии внутрипластовой воды, в зоне повышенных температур и давлений.

При транспортировке в результате изменения внешних условий (например, температуры, давления, концентрации присадок) могут происходить многократные изменения макромолекулярной организации нефти вплоть до изменения агрегатного состояния, что, естественно, влияет на изменение ее гидродинамического сопротивления при движении по трубе. Желательно снизить гидродинамическое сопротивление нефти, что обычно достигается с помощью полимерных присадок, однако в научном плане взаимодействия присадок с компонентами НДС еще не изучены.

При переработке нефти и применении нефтепродуктов происходят фазовые превращения с изменением как агрегатного состояния, так в ряде случаев и химического состава фаз. Регулирование фазовых переходов в НДС с помощью внешних факторов: силовых полей и добавок разнообразной природы, включая прием оптимального компаундирования нефтепродуктов, оказывается эффективным способом воздействия на параметры нефтетехнологических процессов и свойства нефтепродуктов. днако запасы нефти, к сожалению, ограничены, а разрабатываемые месторождения через некоторое время истощаются. Невозобновляемость и ограниченность ресурсов углеводородного сырья, которыми располагает человечество, усиливает остроту энергетической проблемы. По прогнозам производство сырой нефти достигнет пика во втором - третьем десятилетии будущего века, а дефицит запасов сопутствующих нефти природного газа и газоконденсатов начнет ощущаться уже с 2010 г.

Исчерпание нефтяных запасов ведет к необходимости более экономичного использования нефти путем увеличения коэффициента нефтеотдачи, оптимизации процессов транспортировки и увеличения глубины переработки нефти, рационального применения нефтепродуктов с учетом их экологических свойств, что невозможно без всесторонних физико-химических исследований состава, структуры и свойств нефти.

1. ПРОИСХОЖДЕНИЕ НЕФТИ

Истоки современных представлений о происхождении нефти возникли в XVIII - начале XIX в. М. В. Ломоносов (1757 г.) заложил основы гипотезы органического происхождения нефти, объясняя ее образование воздействием "подземного огня" на "окаменелые уголья", в результате чего, по его мнению, образовывались асфальты, нефти и "каменные масла". Идея о минеральном происхождении нефти впервые была высказана А. Гумбольтом в 1805 г.

Развитие химии, эксперименты по неорганическому синтезу углеводородов (УВ), проведенные М. Бертло (1866 г.), Г. Биассоном (1871 г.), послужили отправной точкой для развития гипотезы минерального происхождения. Д. И. Менделеев, придерживавшийся до 1867 г. представлений об органическом происхождении нефти, в 1877 г. сформулировал известную гипотезу ее минерального происхождения, согласно которой нефть образуется на больших глубинах при высокой температуре вследствие взаимодействия воды с карбидами металлов.

За прошедшее столетие накопилось огромное количество химических, геохимических и геологических данных, проливающих свет на проблему происхождения нефти. В настоящее время преобладающая часть ученых - химиков, геохимиков и геологов - считает наиболее обоснованными представления об органическом генезисе нефти, хотя имеются ученые, которые до сих пор отдают предпочтение минеральной гипотезе ее образования.

1.1 Гипотезы минерального происхождения нефти

Все гипотезы минерального происхождения нефти объединяет идея синтеза УВ, кислород-, серо- и азотсодержащих компонентов нефти из простых исходных веществ - С, Н2, СО, СО2, СН4, Н2О и радикалов при высоких температурах и взаимодействии продуктов синтеза с минеральной частью глубинных пород.

Менделеев Д. И. считал, что основой процесса образования углеводородов является взаимодействие карбидов металлов глубинных пород с водой, которая проникает по трещинам с поверхности на большую глубину.

Схема процесса представлялась следующим образом:

FeC + ЗН20 = Fe2O3 + С2Н6

или в общем виде можно записать:

МСm + mН20 -> МОm + (СН2)m.

Образовавшиеся в газообразном состоянии углеводороды, по мнению Д. И. Менделеева, поднимались затем в верхнюю холодную часть земной коры, где они конденсировались и накапливались в пористых осадочных породах. Карбиды металлов в то время в глубинных породах еще не были известны. В настоящее время предположение Менделеева подтвердилось, в глубинных породах найдены карбиды ряда элементов (FeC, TiC, Сг2Сз, WC, SiC). Но крупных скоплений они не образуют; это мельчайшие (доли миллиметра) редко встречающиеся и рассеянные в породах минеральные выделения. Поэтому процесс образования углеводородов в огромных количествах, которые известны в природе, с этих позиций объяснить очень трудно. Не вызывает сомнений сейчас также, что вода с поверхности по трещинам на большие глубины поступать не может. Но это и не существенно, флюидная фаза глубинных пород в определенных условиях воду содержит, поэтому в принципе ее взаимодействие с карбидами возможно. Вполне вероятно и образование простейших углеводородов, однако вряд ли это возможно в больших количествах.

В 1892 г. Соколовым Н. А. была выдвинута гипотеза космического происхождения нефти. Суть ее сводится к тому же минеральному синтезу углеводородов из простых веществ, но на первоначальной, космической стадии формирования Земли.

Предполагалось, что образовавшиеся углеводороды находились в газовой оболочке, а по мере остывания поглощались породами формировавшейся земной коры. Высвобождаясь затем из остывавших магматических пород, углеводороды поднимались в верхнюю часть земной коры, где образовывали скопления. В основе этой гипотезы были факты о наличии углерода и водорода в хвостах комет и углеводородов в метеоритах. Согласно современным данным в атмосфере Юпитера и Титана, а также в газопылевых облаках обнаружены С2Н2, С2Н4, С2Н6, С3Н8, HCN, C2N2. В метеоритах обнаружены твердые углистые вещества, нормальные алканы, аминокислоты. Однако происхождение их неясно.

Ряд аргументов сторонников минерального происхождения нефти основан на термодинамических расчетах. Чекалюк Э. Б. попытался определить температуру нефтеобразования по соотношениям между некоторыми изомерными углеводородами, допуская, что высокотемпературный синтез приводит к образованию термодинамически равновесных смесей. Рассчитанная таким образом температура нефтеобразования составила 450-900°С, что соответствует температуре глубинной зоны 100-160 км в пределах верхней мантии Земли. Однако для тех же нефтей расчет по другим изомерным парам дает другие значения температуры (от -100 до 20000°С), совершенно нереальные в условиях земной коры и мантии. В настоящее время доказано, что изомерные углеводороды нефтей являются неравновесными системами. С другой стороны, расчеты термодинамических свойств углеводородов в области очень высоких давлений (десятки тысяч паскалей) весьма условны, из-за необходимости прибегать к сверхдальним экстраполяциям.

В глубинных условиях Земли при наличии С и Н2 синтез СН4, его гомологов и некоторых более высокомолекулярных соединений вполне возможен и происходит. Но пока нет достаточных ни теоретических, ни экспериментальных данных, которые могли бы однозначно доказать возможность минерального синтеза такой сложной и закономерной по составу системы углеводородов, азот-, серо- и кислородсодержащих соединений, какой является природная нефть, которая обладает оптической активностью и весьма сходна по многим признакам на молекулярном и изотопном уровнях с живым веществом организмов и биоорганическим веществом осадочных пород.

Геологические доказательства минеральной гипотезы - наличие следов метана и некоторых нефтяных углеводородов в глубинных кристаллических породах, в газах и магмах, извергающихся из вулканов, проявления нефти и газа по некоторым глубинным разломам и т. п. - являются косвенными и всегда допускают двойную трактовку. Внедряющиеся в земную кору глубинные породы расплавляют и ассимилируют осадочные породы с имеющимся в них биогенным органическим веществом; жерла вулканов также проходят через осадочные толщи, причем иногда регионально-нефтегазоносные, поэтому находимые в них СН4 и некоторые другие нефтяные углеводороды могли образоваться не только в результате минерального синтеза, но и при термической деструкции захваченного биогенного органического вещества осадочных пород или при поступлении нефти в осадочные породы уже после остывания магматических пород. Но главное доказательство состоит в большом сходстве химических и геохимических показателей многих углеводородных и неуглеводородных соединений нефти с аналогичными компонентами живого вещества организмов и биогенного органического вещества современных осадков и древних осадочных пород.

1.2 Развитие представлений об органическом происхождении нефти

Гениальная догадка М. В. Ломоносова об образовании нефти в результате воздействия повышенной температуры на биогенное органическое вещество осадочных пород начала получать подтверждение в конце XIX - начале XX веков при проведении экспериментальных химических и геологических исследований.

Энглер (1888 г.) при перегонке сельдевого жира получил коричневого цвета масла, горючие газы и воду. В легкой фракции масел содержались углеводороды от gs до С9, во фракции >300°С - парафины, нафтены, олефины и ароматические углеводороды. Возникла гипотеза образования нефти из жиров животного происхождения. В 1919 г. Н. Д. Зелинский подвергнул перегонке озерный сапропелевый ил, почти нацело состоявший из растительного материала - остатков планктонных водорослей с высоким содержанием липидов. При этом были получены кокс, смолы, газ и пирогенетическая вода. Газ состоял из СН4, СО2, Н2 и H2S. Смола содержала бензин, керосин и тяжелые смолистые вещества. В бензине были обнаружены алканы, нафтены и арены; в керосине преобладали циклические полиметиленовые углеводороды. Полученная смесь углеводородов во многом была сходна с природной нефтью, тяжелые фракции обладали оптической активностью.

Оптическая активность - одно из фундаментальных свойств, общих для живого вещества, продуктов его преобразования и природных нефтей. При минеральном синтезе углеводородов возникают рацемические смеси, не обладающие оптической активностью, поскольку они содержат равное количество лево- и правовращающих молекул, что выгодно с позиций термодинамики (такая смесь характеризуется максимумом энтропии). Для живой природы, напротив, характерна зеркальная асимметрия: все биогенные аминокислоты - левые, сахара - правые зеркальные изомеры. Оптическая асимметрия органических молекул - достаточное основание для утверждения о наличии живого вещества или продуктов его посмертного преобразования. С этих позиций оптически активная нефть может быть только продуктом биосферы, а не минерального синтеза. Оптическая активность нефтей связана главным образом с углеводородами типа тритерпанов и стеранов.

Получение оптически активных нефтеподобных продуктов при перегонке органического вещества планктонных водорослей послужило основой для гипотезы происхождения нефти из растительного материала. Этому способствовали и геологические исследования. При поисках и разведке нефтяных месторождений геологи уже в XIX веке стали отмечать частую приуроченность нефтяных залежей к древним морским отложениям, обогащенным сапропелевым органическим веществом, которые были названы нефтематеринскими.

Начиная с работ А. Д. Архангельского (1927 г.) и П. Д. Траска (1926-1932 гг.) развернулись исследования органического вещества современных осадков и древних осадочных пород. Значительное влияние на направление исследований оказал И. М. Губкин. Он подчеркивал, что широкое региональное распространение месторождений нефти в осадочных толщах заставляет отбросить любые возможные экзотические источники для образования нефти (животные жиры, скопления морской травы и т. п.) и считать, что источником нефти может быть только широко распространенное в осадочных породах рассеянное органическое вещество смешанного растительно-животного происхождения. Позже оказалось, правда, что в нем обычно преобладает сапропелевый материал, состоящий из остатков мельчайших планктонных водорослей. Его средняя концентрация в осадочных глинистых породах несколько менее 1 %, но в ряде битуминозных сланцев, с которыми нередко связана промышленная нефтеносность,- до 5-6, а иногда и до 10-20 %.

Гумусовое органическое вещество, источником которого является наземная растительность, распространено, в основном, в континентальных угленосных отложениях, в которых встречаются залежи углеводородного газа, но, как правило, отсутствуют залежи нефти. Это вполне понятно, так как в гумусовом веществе обычно очень мало липидного материала, и при повышении температуры оно генерирует только сухой метановый газ.

Исследования морских планктонных организмов, иловых бактерий показали, что они содержат значительное количество липидного материала (иногда до 40 %), из которого легко могут образоваться углеводороды, а также небольшое количество самих углеводородов - до 0,06 %. В органическом веществе морских илов обнаружено уже до 3-5 % битуминозных веществ и до 0,5 % углеводородов. Причем, они представлены всеми характерными для нефти классами - алканами, нафтенами и аренами. Правда, в отличие от нефти, в них еще нет легких углеводородов бензиновых фракций.

Изучение сапропелевого органического вещества осадочных пород, испытавших погружение на 2-3 км и температуру до 100-150°С, показало, что оно содержит уже до 10-20 % битуминозных веществ (масел, смол, асфальтенов), до 10-12 % углеводородов, в том числе до 2-3 % низкокипящих (С6-С14). В них присутствуют все основные классы нефтяных углеводородов- алканы, изоалканы, нафтены и арены. Имеются также азот-, серо- и кислородсодержащие соединения, свойственные нефтям.

Детальные исследования выявляли все большие черты сходства между углеводородами рассеянного органического вещества осадочных пород, названных Н. Б. Вассоевичем микро-нефтью, и нефтями из ее месторождений.

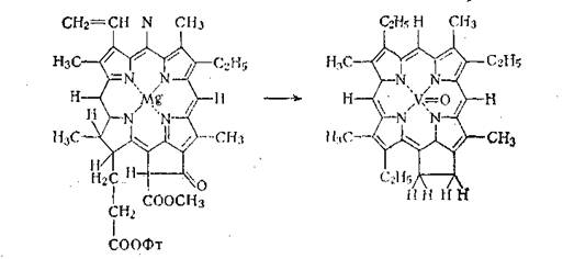
Важное значение имело открытие в нефтях унаследованных от живого вещества биомолекул. Это, прежде всего порфирины, состоящие из четырех пиррольных колец, образующих через атом азота комплексные соединения с металлами (обычно с V и Ni). Их образование из хлорофилла растений не вызывает сомнений. С ростом глубины и повышением температуры в, недрах содержание порфиринов в нефтях падает, поскольку они термически нестойки. Поэтому представить себе возможность поступления порфиринов в нефть из высокотемпературных зон вместе с продуктами минерального синтеза абсолютно невозможно.

хлорофилл ванадилпорфирин В формулах Фт означает фитол.

Важными "биогенными метками" ("биомаркерами") являются свойственные живому веществу многие изопреноидные углеводороды, особенно фитан (С20) и пристав (С19), возникновение которых связывают с фитолом - периферическим структурным элементом молекулы хлорофилла. Встречается пристан и в "готовом" виде в теле некоторых животных.

Интересно, что углеводород С20Н42 теоретически может иметь более 366 тыс. изомеров, но в нефтях в заметных количествах присутствует только один из них - фитан, структура которого характерна для живого вещества.

Очень многие "биомаркеры" в органическом веществе осадков и нефтях представлены полициклическими углеводородами типа стеранов и тритерпанов, в частности гопанов. Многие из них, несомненно, являются производными таких характерных биомолекул, как стероиды и тритерпеноиды, которые имеются во всех живых организмах, от простейших цианобактерий до высших млекопитающих, и имеют важное биохимическое значение. К нам относятся холестерин, фитостерин и др.

Благодаря большому сходству в молекулярной структуре между стероидами и стеранами, тритерпеноидами и тритерпанами (гопанами) живого вещества и нефтей, их присутствие является надежным показателем органического генезиса нефти.

По стереохимическим особенностям нефтяные стераны и тритерпаны все-таки несколько отличаются от исходных биологических соединений, что связано с изменениями при термическом превращении пространственного строения одного или нескольких хиральных центров биомолекул. Пентациклические тритерпены встречаются в основном в наземных растениях; в органическом веществе морских осадочных пород и в нефтях распространены тетрациклические углеводороды - стераны (гопаны), свойственные сине-зеленым планктонным водорослям, которые являлись одним из основных биопродуцентов при накоплении сапропелевого органического вещества в морских осадках в течение всего геологического времени.

К унаследованным биогенным структурам относятся и нормальные алканы (от С17 и выше). Содержание их в нефтях достигает 10-15, а иногда и 30 %. Свидетельством образования н-алканов из биогенных жирных кислот являются случаи преобладания в малопреобразованных нефтях н-алканов с нечетным числом атомов углерода над "четными". Для живого вещества и образованного из него органического вещества осадков всегда характерно преобладание жирных кислот с четным числом атомов углерода. При декарбоксилировании "четных" жирных кислот образуются "нечетные" углеводороды, например, в случае пальмитиновой кислоты:

С1бН32О2 -> С15Нз2 + СО2.

Постепенное сглаживание этих первичных генетических признаков до примерно одинаковой концентрации "четных" и "нечетных" н-алканов и в органическом веществе нефтематеринских пород и в нефтях залежей происходит по мере нарастания глубины и температуры в недрах вследствие вторичных реакций.

Таким образом, по многим признакам на молекулярном уровне и наличию "биомаркеров" прослеживается связь между живым веществом организмов, органическим веществом осадочных нефтематеринских пород и нефтями в залежах. Суммарное количество унаследованных от живого вещества биогенных молекулярных структур иногда достигает в нефтях 30 % от их массы.

Детальное изучение состава и распределения "биомаркеров" в органическом веществе осадочных пород и в нефтях позволяет не только утверждать органическое происхождение нефти, но даже определять для конкретных залежей, из каких именно отложений в них поступали нефтяные углеводороды при формировании месторождений. Этот вопрос успешно решается также и по сходству изотопного состава углерода в аналогичных фракциях битуминозных компонентов органического вещества осадочных пород и нефтей.

Оказалось, что в осадочных толщах Земли в составе органического вещества содержится огромное количество рассеянных нефтяных углеводородов (микронефти) - порядка 1014 т, которое, по крайней мере, в 100 раз превышает все открытые и предполагаемые мировые запасы нефти в ее месторождениях. Следовательно, для образования всех нефтяных месторождений было достаточно, чтобы в процессе миграции рассеянных нефтяных углеводородов совместно с газами и водами в благоприятных геологических условиях (в пористых пластах на антиклинальных ловушках) скопилось не более 1 % от их общего количества.

Известно, что нефть распределена в осадочных толщах неравномерно, и это также понятно с позиций органической концепции ее образования. Исходное для нефти органическое вещество накапливалось в осадках в течение геологического времени неравномерно. Максимум его накопления в девонских, юрско-меловых и третичных отложениях соответствуют максимальные массы образовавшихся рассеянных нефтяных углеводородов в нефтематеринских отложениях этого возраста и максимумы запасов нефти в открытых месторождениях.

Таким образом, все химические, геохимические и геологические данные с несомненностью свидетельствуют об органическом происхождении нефти.

1.3 Современные представления об образовании нефти и газа

Известно, что при нагревании сапропелевых сланцев до 150-170°С начинается слабое термическое разложение органического вещества, приводящее к повышению выхода экстрактивных веществ; при 200°С их образуется заметно больше, а при 370-400°С после нагревания в течение 1 часа уже до 60-80 % органического вещества сланца переходит в растворимое состояние. Образуется много асфальтово-смолистых веществ, содержащих все основные классы нефтяных углеводородов, а также газы (СО2, СН4, H2S) и пирогенетическая вода.

В принципе тот же самый процесс термического (или термокаталитического) разложения происходит и в природных условиях при погружении содержащих сапропелевое органическое вещество отложений под накапливающимися над ними более молодыми осадками. Только в природных условиях он протекает крайне медленно, со скоростью погружения осадков обычно от 50-100 до 300 м/млн. лет.

Опускание на глубину 2-3 км, характеризующуюся распространением большей части залежей образовавшейся нефти и температурой до 150-160°С, осуществляется за время от 10 до 60 млн. лет. Такой очень медленный природный "технологический" процесс термического превращения сапропелевого органического вещества с подъемом температуры на 1°С за 60-400 тыс. лет трудно себе представить, однако проведенные исследования подтверждают, что в природных условиях он действительно реализуется очень широко во многих впадинах, заполненных мощными толщами накопленных осадков.

Детальные геолого-геохимические исследования позволяют проследить последовательные стадии этого процесса (рис. 1.1). На начальном этапе погружения (до 1,5-2 км при росте температуры до 50-70°С) в керогене возрастает содержание углерода и водорода в основном вследствие потери кислорода за счет отщепления периферических кислородсодержащих функциональных групп молекулярной структуры органического вещества.

Рис. 1.1. Превращение органического вещества осадочных пород (а - в) и генераций нефти и газа (г) при росте глубины погружения (Н) и температуры (Т): С - содержание в органическом веществе углерода; Н -водорода, Б - битумоида; ∑Н-генерация нефти; ∑CH4 - генерация метана; Vн- скорость генерации нефти; VM- скорость генерации метана

Концентрация битуминозных веществ и высокомолекулярных нефтяных углеводородов почти не возрастает. Низкокипящих углеводородов в органическом веществе еще нет. В составе газовой фазы органического вещества отмечается преобладание образующегося на этом этапе диоксида углерода при незначительном содержании метана и его гомологов.

Молекулярная структура органического вещества на этом этапе существенной деструкции еще не испытывает, активного нефтеобразования не происходит при любой длительности процесса, вплоть до 400-600 млн. лет. При температуре до 50- 70°С (вероятно, даже до 90°С) порог активации реакций деструкции молекулярной структуры органического вещества еще не достигается и любое самое продолжительное геологическое время не может компенсировать недостаток температуры. В более глубокой зоне (до 2,5-3 км при температуре до 90-100-150°С) направленность процесса термического превращения сапропелевого органического вещества принципиально изменяется. При незначительном изменении содержания углерода в керогене заметно снижается содержание водорода; быстро и значительно возрастает и достигает максимума концентрация хлороформенного битумоида в целом, в том числе высокомолекулярных нефтяных углеводородов (C15-C45); образуются и достигают максимальной концентрации низкокипящие углеводороды бензиновых фракций (С6- С14). В составе газовой фазы органического вещества достигает максимума концентрация гомологов метана (С2 - С5); содержание СН4 пока незначительно.

Этот этап в геологическом смысле быстрого образования преобладающей части битумоида в целом и нефтяных углеводородов назван Н. Б. Вассоевичем главной фазой нефтеобразования (ГФН). В зоне температур до 150-160°С главная фаза нефтеобразования успела полностью реализоваться даже в "молодых" осадках с возрастом 10-20 млн. лет и тем более - в значительно более древних отложениях. Как видно, достаточно активный процесс деструкции молекулярной структуры керогена с образованием битумоида и нефтяных углеводородов в природных условиях в масштабе геологического времени реализуется в 2-2,5 раза при более низкой температуре, чем в лабораторных условиях, за период времени, по-видимому, не более нескольких миллионов лет.

Судя по данным инфракрасной спектрометрии, молекулярная структура керогена после деструкции характеризуется потерей значительного количества липидных компонентов, сначала с функциями карбоновых кислот, кетонов и альдегидов, а затем - длинноцепочечных структур с СН2-группами. Происходит усиление ароматизации и поликонденсации остаточной части керогена, который по элементному составу и молекулярной структуре теряет "сапропелевый" облик и уже почти не отличается от бедного водородом гумусового органического вещества.

Образовавшиеся при проявлении ГФН в большом количестве растворимые битуминозные компоненты (более 30 % от исходной массы керогена) характеризуются содержанием углерода (С) 80- 82 %, водорода (Н) 9,5-11 %, т. е. близки по составу к битуму, образующемуся при термическом разложении сапропелевых сланцев (С 81-82,5 %, Н 9,1-9,5 %). Более половины образовавшегося битума (до 60-80 %) представлено смолами и асфальтенами, до 20-40 %-углеводородами, в которых на долю н-алканов приходится до 10-30 %, а на долю изоалканов и цикланов - до 20-60 % и аренов - до 20-50 %. В составе низкокипящих углеводородов значительная доля принадлежит цикланам (преобладают циклопентаны); доля н-алканов и аренов невелика. С глубиной и ростом температуры заметно увеличивается доля н-алканов, аренов и циклогексанов, а циклопентанов - снижается. От молодых к более древним отложениям в этой зоне прослеживается повышение доли алканов и уменьшение - цикланов и аренов. Среди алканов иногда значительная доля (до 50 %) приходится на изоалканы.

Образовавшаяся на ГФН смесь асфальтово-смолистых веществ и нефтяных углеводородов по элементному и групповому составу сходна с асфальтами, которые рассматривались А. Ф. Добрянским в качестве промежуточного этапа превращения сапропелевого вещества в нефть. Фиксируемая по природным данным картина нефтеобразования как будто бы вполне отвечает этим взглядам. Однако дальнейшее протекание процесса нефтеобразования развивается иначе, чем предполагал А. Ф. Добрянский.

Образование из твердого керогена большого количества асфальтово-смолистых веществ и нефтяных углеводородов, включая низкокипящие, а также газов (С1, С2 - С5, СО2, H2S, N2) сопровождается многократным увеличением объема. В уплотняющихся под нагрузкой вышележащих отложений глинистых породах вследствие этого возникают аномально высокие давления, на 20-30 МПа превышающие нормальное гидростатическое давление в смежных пористых водонасыщенных песчаниках. При достижении критического давления периодически происходят флюидоразрывы глинистых пород с образованием микротрещин и выбросом сжатых нефтяных и газовых углеводородов в водонасыщенные песчаники, где при их аккумуляции образуются скопления нефти.

Быстрое возрастание в керогене концентрации битуминозных веществ и углеводородов фиксируется в глубинной зоне до 2,5-3 км вследствие того, что скорость их генерации, экспоненциально возрастающая с ростом глубины и температуры, превышает скорость эмиграции углеводородов из глинистых пород. По мере уменьшения концентрации исходного липидного материала скорость генерации углеводородов значительно снижается, а скорость их эмиграции - возрастает, превышая уже скорость образования углеводородов, что приводит сначала к прекращению роста, а затем к быстрому падению концентрации битумоида и нефтяных углеводородов в органическом веществе глубже 2,5-3 км (см. рис. 1.1).

Другая причина быстрого уменьшения количества битумоида - изменение физических свойств и фазового состояния смол и асфальтенов после эмиграционной потери основной части углеводородов при дальнейшем повышении температуры. Значительная часть асфальтово-смолистых компонентов, испытывая термодеструкцию с образованием низкокипящих нефтяных углеводородов и газов, снова переходит в нерастворимое состояние, входя в состав нерастворимого керогена. Остающийся в небольшом количестве битумоид представлен в основном углеводородами, в которых с ростом глубины и температуры возрастает количество алканов и аренов и уменьшается - цикланов.

При эмиграции углеводородов из глинистых нефтематеринских пород в прилегающие к ним пласты пористых водонасыщенных песчаников возникает хроматографическое разделение образовавшейся смеси асфальтово-смолистых веществ, нефтяных и газовых углеводородов. Глинистый пласт с образовавшимися битуминозными веществами представляет собой естественную хроматографическую колонку. Чем больше через нее по направлению к песчанику проходит элюэнта, роль которого выполняют наиболее подвижные газовые и низкокипящие нефтяные углеводороды, тем более полным разделением компонентов характеризуется первичная смесь асфальтово-смолистых веществ и углеводородов. В песчаный коллектор выносится смесь нефтяных углеводородов, содержание смол и асфальтенов в которой не превышает, как в обычной нефти, 5-10 %. Это, по существу, уже и есть настоящая нефть.

Установленное Неручевым С. Г. значительное падение концентраций битумоида и углеводородов в керогене к концу ГФН, сопровождающееся хроматографическим разделением битумоида, служит объективным диагностическим признаком нефтематеринских отложений, из которых в геологическом прошлом эмигрировала нефть в пласты-коллекторы. Количественный анализ этих изменений дает возможность определять массу образовавшейся и эмигрировавшей нефти и вероятные ее запасы в залежах.

Балансовые расчеты термического превращения сапропелевого органического вещества и процессов эмиграции нефтяных углеводородов по полученным экспериментальным данным позволили создать теоретическую количественную модель образования нефти (см. рис. 1.1). Главная фаза нефтеобразования характеризуется максимальной скоростью генерации нефтяных углеводородов, обычно в глубинном диапазоне 2-3 км при температуре от 80-90 до 150-160°С. При низком геотермическом градиенте, медленном нарастании температуры с глубиной ГФН реализуется в более глубокой зоне, примерно до 6-8 км. Общее количество образующихся битуминозных веществ и нефтяных углеводородов превышает 30 %, а количество эмигрировавшей в пористые пласты-коллекторы нефти достигает 20 % от исходной массы сапропелевого органического вещества.

Всплывание нефти, вынесенной из глинистых нефтематеринских пород в водонасыщенные пористые пласты, приводит постепенно к образованию ее скоплений (залежей) в наиболее приподнятых участках пластов (на антиклинальных структурах). Процесс нефтеобразования и формирования ее залежей на этом заканчивается. При дальнейшем погружении нефтематеринских отложений с ростом температуры в остаточном керогене наблюдается значительное возрастание содержания углерода (до 95-97 %) и падение - водорода (до 0,5-1 %). Происходит заметная потеря массы метаморфизующегося керогена. Согласно эмпирическим данным, в глубинной зоне 3-6 км (при температуре до 200- 260°С) отношение метана к нефтяным углеводородам в составе органического вещества возрастает в несколько десятков раз. Фиксируется быстрое возрастание до максимума, а затем падение содержания СН4 в органическом веществе. Согласно теоретическим балансовым расчетам на этом этапе образуется основная часть метана - до 12 % от исходной массы органического вещества, благодаря чему он получил наименование главной фазы газообразования (ГФГ). Генерация значительного количества метана в этой глубокой зоне осадочных пород определяет уменьшение количества, а затем и полное исчезновение с ростом глубины нефтяных залежей, которые замещаются сначала газоконденсатными, а затем - залежами сухого метанового газа. Остаточное сапропелевое органическое вещество в этой зоне претерпевает интенсивную метаморфизацию с образованием в конечном итоге кристаллической углеродной решетки графита.

Зона проявления ГФН характеризуется нефтями плотностью 820-840 кг/м3, выходом фракций до 200°С около 25- 30 %, содержанием алканов 25-40 %, цикланов 30-50 % и аренов 10-30 %. От молодых к более древним отложениям в нефтях наблюдается повышение выхода легких фракций, увеличение доли алканов и аренов при снижении содержания цикланов.

Погружаясь вместе с вмещающими породами ниже зоны ГФН в область более высоких температур, нефть становится легче, обогащается низкокипящими углеводородами; в углеводородах возрастает доля алканов и в меньшей мере - аренов при заметном падении концентрации цикланов.

Попав близко к поверхности, нефть теряет легкие фракции, утяжеляется, окисляется. Развивающиеся в залежах микробиологические процессы окисления вызывают биддеградацию нефти. Признаками таких гипергенно измененных нефтей являются заметно повышенная плотность, низкое содержание бензиновых фракций, высокое содержание асфальтово-смолистых веществ, почти полная потеря н-алканов и преобладание цикланов.

1.4 Образование основных классов углеводородов нети

В нефти присутствуют углеводороды, образующиеся на различных этапах геохимической истории органического вещества. Первым источником углеводородов является их биосинтез в живом веществе организмов. Вторым источником нефтяных углеводородов является процесс микробиальной переработки исходного органического вещества, протекающий на стадии диагенеза осадков. Направленность процесса определяется различной устойчивостью биомолекул к микробиальному ферментативному разрушению в осадке и геохимическими условиями среды (Eh, рН). Биомолекулы отмершего вещества организмов превращаются в осадке в более устойчивые в данных условиях соединения, частично - с образованием углеводородов. В углеводороды могут превращаться спирты и альдегиды; возможно превращение циклических терпеноидов в цикланы и арены. Третьим и, как теперь стало ясно, основным источником углеводородов является образование преимущественно из липидных компонентов органического вещества при его термической (или термокаталитической) деструкции при 90-160°С во время проявления главной фазы нефтеобразования.

На состав углеводородов нефти влияет ряд факторов:

-       особенности исходного органического вещества осадков;

-       геохимические условия (Eh, pH) при преобразовании органического вещества в осадках;

-       степень катагенетического (термического) превращения исходного для нефти органического вещества в зоне повышенных температур;

-       вторичные изменения нефти в процессе образования залежей и при их существовании в течение длительного геологического времени (физическая дифференциация углеводородов в процессе миграции, длительное воздействие повышенной температуры, окислительные процессы в залежах и т. п.).

Состав углеводородов конкретной нефти формируется под воздействием многих причин, и не всегда легко выделить из них основную.

Алканы. Для высокомолекулярных н-алканов нефти возможны три основных источника образования: н-алканы, синтезируемые в живых организмах; высокомолекулярные алифатические одноатомные спирты, входящие в состав восков живого вещества, и высшие одноосновные предельные жирные кислоты.

Неомыляемая фракция растительных или животных жиров составляет обычно десятые доли процента и состоит из углеводородов и спиртов. По структуре и происхождению эти углеводороды, видимо, связаны с соответствующими жирными кислотами, которым они сопутствуют в виде примеси. Часть из них принадлежит к к-алканам, другая - к изопреноидным.

В живом веществе широко распространены н-алканы СН3(СН2)nСНз с нечетным числом атомов углерода. Часть высокомолекулярных н-лканов биосинтетического происхождения непосредственно наследуется нефтью от исходного органического вещества осадков. В зависимости от исходного органического вещества они имеют некоторую специфику. В хемосинтезирующих бактериях обнаружены н-алканы C12- C31 примерно одинаковым числом четных и нечетных атомов углерода; в фотосинтезирующих бактериях - н-алканы С14- С29. В сине-зеленых водорослях присутствуют н-алканы C15 - С20, причем более 80 % в них приходится на углеводороды С17 и более высокомолекулярные; коэффициент нечетности - в пределах 1-5. Для высших растений характерны н-алканы более высокомолекулярные- С23 - C35 с преобладанием C25, С27 и С29 при массовом отношении нечетных углеводородов к четным более 10. Эти особенности углеводородов проявляются нередко и в нефтях, связанных с образованием из морского планктоногенного органического вещества или из керогена, в котором большую роль играли остатки высшей наземной растительности. Некоторое количество н-алканов образуется при ферментативном биохимическом превращении жирных кислот, спиртов и альдегидов на стадии диагенеза осадков. Однако значительно большее их количество образуется при повышенной температуре (100-150°С) во время проявления главной фазы нефтеоб-разования, в основном, вследствие декарбоксилирования высших одноосновных предельных жирных кислот по схеме:

R-СООН -> CO2 + .RH.

Образующийся углеводород содержит на один атом углерода меньше, чем исходная кислота. А поскольку в живом веществе распространены в основном "четные" жирные кислоты (например, олеиновая С18Н34О2, стеариновая C18H36О2), то в образующихся н-алканах преобладают "нечетные" углеводороды, в данном случае - С17Н36.

Другой важный механизм образования н-алканов связан с превращением высших жирных кислот в алифатические кетоны с удвоением углеродной цепи и последующим их восстановлением в углеводороды. А. И. Богомолов осуществил, например, реакцию превращения стеарона и пальмитона в н-пентатриаконтан (С35Н72) и гентриаконтан (C31H64) по схеме:

С17Н35-СО- С17Н35 + 4[Н] --> С17Н35-СН2- С17Н35, -Н2О

в присутствии глины как катализатора, без внешнего источника водорода, только в результате реакций перераспределения водорода, находящегося в системе реагирующих веществ. Выход н-алканов при 200°С составлял около 30 %, а н-гентриаконтана 27 %.

Источниками образования н-алканов могут быть также спирты, ненасыщенные жирные кислоты и, возможно, аминокислоты.

Одним из источников разветвленных алканов являются биосинтетические углеводороды, среди которых в живом веществе широко распространены 2-метилалканы СН3СН(СН2)nСН3 и 3-метилалканы СН3СН2СН(СН2)nСНз

СНз   СН3

с преобладанием нечетного числа атомов углерода. Значительное количество разветвленных алканов образуется во время проявления главной фазы нефтеобразования при интенсивной термической деструкции липидов. В этих реакциях образуются как насыщенные, так и ненасыщенные углеводороды. Образующиеся алканы, по мнению А. И. Богомолова, претерпевают при каталитическом воздействии ряд превращений, дающих начало разветвленным алканам. Они могут образовываться также вследствие отрыва алкильных радикалов от углеводородов стероидного строения.

Специфической группой разветвленных алканов являются свойственные нефтям углеводороды С10- С40 с регулярным чередованием метальных групп - так называемые изопреноидные алканы (изопренаны). Их источником в некоторой степени являются непосредственно биосинтетические изопреноидные углеводороды, содержащиеся в эфирных маслах живого вещества, но главным образом - имеющие изопреноидную структуру их кислородные производные: спирты, альдегиды, кетоны, сложные эфиры, карбоновые кислоты, входящие в молекулярную структуру органического вещества пород.

Изопреноидная структура лежит в основе всех терпеновых соединений, в том числе алифатических. Собственно терпенами являются соединения состава С10Н16, содержащие два изопреноидных звена; сочетание трех звеньев характерно для сескви-терпенов; дитерпены построены из четырех изопреноидных звеньев. Встречающиеся в живом веществе алифатические монотерпены представлены в основном мирценом и оцименом,


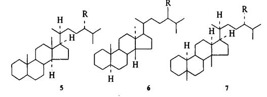
но чаще в природе встречаются кислородсодержащие производные монотерпенов, например, спирт гераниол, из которого при дегидратации может образоваться соответствующий изопреноидный углеводород. Дитерпены включают много соединений, характерных для живых организмов. К алифатическим дитерпенам относятся такие характерные для нефти изоалканы, как фитан (С20Н42) и пристав (C19H40), которые образуются из входящего в состав хлорофилла всех зеленых растений непредельного спирта фитола (С2оН39ОН).

Изоалкан пристан встречается и непосредственно в телах многих морских животных.


Предполагается, что первая стадия образования изоалканов - дегидратация фитола с образованием фитадиена. Затем при диспропорционировании водорода и насыщении диена происходит образование фитана. Одновременно протекают и другие реакции, связанные с деструкцией углеродной цепи и образованием изопреноидных углеводородов с меньшим числом атомов углерода.

Циклоалканы. Циклоалканы (нафтены) - очень характерный для природных нефтей класс углеводородов, который был впервые открыт в нефти В. В. Марковниковым. Их содержание в нефти составляет от 25 до 75 %.

Источником циклоалканов в нефти в незначительной степени могут быть непосредственно некоторые биосинтетические углеводороды живого вещества, такие, как моноциклические лимонен, а-пинен, камфен, полициклические углеводороды типа β-каротина:


Однако более важным источником циклоалканов в нефти являются широко распространенные в живом веществе организмов кислородсодержащие производные различных циклических терпенов (монотерпенов (CloH16), сесквитерпенов (C15H24), дитерпенов (С20Н32), тритерпенов (СзоН48) и тетратерпенов (С40Н64)) с функциями спиртов, кетонов и кислот.

Образование циклоалканов из них происходило в результате потери функциональных кислородных групп и реакций диспропорционирования водорода при почти полном сохранении основы молекулярной структуры исходных терпеноидов живого вещества. Образующиеся в результате этих процессов различные циклоалканы, например, стераны и гопаны, уже упоминались при рассмотрении «химических ископаемых» или "биомаркеров", свидетельствующих об органическом происхождении нефти.

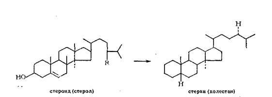
Из циклического спирта холестерина образуется, например, углеводород хо лестан:


По такой же схеме образовывались и другие цикланы - стерины и тритерпены (С27 - С35) из стероидов, присутствующих в живом веществе в свободном виде или в виде эфиров жирных кислот.

Другой, более значительный по масштабам источник образования циклоалканов связан с дегидратационной циклизацией непредельных жирных кислот с образованием насыщенных циклических углеводородов.

Из образующихся циклоалкенов при дальнейших превращениях получаются нафтеновые и нафтеново-ароматические углеводороды.

Возможность такого механизма образования циклоалканов изучена А. И. Богомоловым экспериментально при нагревании олеиновой кислоты до 200°С с алюмосиликатным катализатором. При этом были получены углеводороды от С5 до С40 различных классов - алифатические, алициклические и ароматические. Среди образовавшихся циклоалканов преобладали изомеры с пяти- и шестичленными кольцами и мостикового типа, как в обычных природных нефтях. Были обнаружены также би- и трициклические циклоалканы.

Арены. Для живого вещества организмов ароматические структуры нехарактерны, в то время как в нефтях содержание ароматических углеводородов составляет 10-20, а иногда и до 35 %.

В живом веществе ароматические структуры содержатся в лигнине (производные гидроксифенилпропана), некоторых аминокислотах, а также гидрохинонах (витамины Е, К) в виде отдельных ароматических колец. Их доля в исходном для нефти веществе организмов очень мала, поэтому образование аренов в сапропелевом органическом веществе осадков, пород и в нефтях следует связывать главным образом с вторичными процессами преобразования органического вещества, происходящими в осадках на стадиях диагенеза и особенно катагенеза в зоне повышенных температур.

Частично арены образуются сразу же после отмирания организмов в свежих илах вследствие преобразования полиеновых соединений типа каротиноидов, из стероидных соединений, бензохинонов, а также гидрохинонов и нафтохинонов, в структуре которых имеются ароматические ядра:


В экспериментах А. И. Богомолова по термокатализу непредельных жирных кислот и термическому разложению органического вещества сапропелевых сланцев при 200°С отмечалось образование смеси углеводородов, в которой арены составляли от 15 до 40 %, причем они были представлены всеми типами ареновых структур, характерных для природных нефтей.

При превращении непредельных жирных кислот в присутствии глины как катализатора образуются сначала предельные пятичленные и шестичленные кетоны и неконденсированные нафтены. Дальнейшее превращение предельных циклических кетонов идет по реакции дегидрационной конденсации, для циклогексанона, например, следующим образом:


При этом образуется додекагидротрифенилен - гибридный углеводород нафтеново-ароматической структуры.

Рассмотренные материалы свидетельствуют о том, что образование всех основных классов углеводородов природных нефтей частично обусловлено процессом биосинтеза углеводородов в живом веществе, но главным образом - термическим или термокаталитическим превращением липидного материала биогенного сапропелевого органического вещества осадочных пород в зоне катагенеза при проявлении главной фазы нефтеобразования.

2. ХИМИЧЕСКИЙ СОСТАВ НЕФТИ И ГАЗА

Знание химического состава природных нефтяных систем служит отправной точкой для прогнозирования их фазового состояния и свойств фаз при различных термобарических условиях, соответствующих процессам добычи, транспортировки и переработки нефтяных смесей. Тип смеси - нефть, газоконденсат или газ - также зависит от ее химического состава и сочетания термобарических условий в залежи. Химический состав определяет возможное состояние компонентов нефтяных систем при данных условиях - молекулярное или дисперсное.

Петров Ал. А., написавший серию хорошо известных специалистам монографий, посвященных химическому составу нефтей, утверждает, что в нефтях идентифицировано до 1000 индивидуальных углеводородов состава С1-С40.

Нефтяные системы отличаются многообразием компонентов, способных находиться в молекулярном или дисперсном состоянии в зависимости от внешних условий. Среди них встречаются наиболее и наименее склонные к различного рода межмолекулярным взаимодействиям (ММВ), что в итоге обусловливает ассоциативные явления и исходную дисперсность нефтяных систем при нормальных условиях.

Химический состав для нефти различают как элементный и вещественный.

Основными элементами состава нефти являются углерод (83,5-87 %) и водород (11,5-14 %). Кроме того, в нефти присутствуют:

сера в количестве от 0,1 до 1-2 % (иногда ее содержание может доходить до 5-7 %, во многих нефтях серы практически нет);

азот в количестве от 0,001 до 1 (иногда до 1,7 %);

кислород (встречается не в чистом виде, а в различных соединениях) в количестве от 0,01 до 1 % и более, но не превышает 3,6 %.

Из других элементов в нефти присутствуют - железо, магний, алюминий, медь, олово, натрий, кобальт, хром, германий, ванадий, никель, ртуть, золото и другие. Однако, содержание их менее 1 %.

В вещественном плане нефть в основном состоит из углеводородов и гетероорганических соединений. Среди последних основное внимание следует обратить на смолоасфальтеновые вещества (CAB), которые можно рассматривать как концентрат наиболее склонных к межмолекулярным взаимодействиям соединений.

2.1 Углеводородные соединения

Углеводороды (УВ) представляют собой органические соединения углерода и водорода. В нефти в основном содержатся следующие классы углеводородов.

Алканы или парафиновые углеводороды - насыщенные (предельные) УВ с общей формулой CnH2n+2. Содержание их в нефти составляет 2 - 30-70 %. Различают алканы нормального строения (н-алканы - пентан и его гомологи), изостроения (изоалканы - изопентан и др.) и изопреноидного строения (изопрены - пристан, фитан и др.)

В нефти присутствуют газообразные алканы от С1 до С4 (в виде растворённого газа), жидкие алканы С5 - С16, составляют основную массу жидких фракций нефти и твёрдые алканы состава С17 - С53 и более, которые входят в тяжёлые нефтяные фракции и известны как твёдые парафины. Твёрдые алканы присутствуют во всех нефтях, но обычно в небольших количествах - от десятых долей до 5 % (масс.), в редких случаях - до 7-12 % (масс.). В Томской области нефть Чкаловского месторождения содержит до 18 % твердых парафинов.

В зависимости от внутрипластовых условий и компонентного состава пластовой залежи определяется тип месторождения - газовое, газоконденсатное или нефтяное. Основные компоненты чисто газовых месторождений - низкомолекулярные алканы - метан, этан, пропан и бутан (н- и изостроения) в индивидуальном виде при нормальных условиях (0,1 МПа и 20°С) являются газами. В нефтяных природных газах доминируют алканы.

Кроме алканов в состав природных газов могут входить оксид (СО) и диоксид углерода (СО2), сероводород (Н2S), азот (N2), а также инертные газы - Не, Аг, Ne, Xe. В чисто газовых залежах почти полностью отсутствует конденсат (Табл. 2.1).

Если при изотермическом снижении давления в пласте тяжелые компоненты природного газа выделяются в виде жидкой фазы (конденсата), то такие смеси называют газоконденсатными. При этом часть конденсата может безвозвратно теряться в породе. Содержание конденсата (С5 и высшие) в газе зависит от его состава и пластовых условий (температуры и давления, достигающее 25-40 МПа).

Количественным критерием отнесения залежи к газоконденсатным месторождениям служит газоконденсатный фактор, равный количеству газа (м3) при нормальных условиях, в котором растворен 1 м3 конденсата при пластовых условиях. Залежи, газоконденсатный фактор которых не превышает 104, обычно относят к газоконденсатным.

Таблица 2.1.

Химический состав газов различных месторождений

Объемное содержание компонентов, % (об.)

Месторождение  СН4 С2Н6 С3Н8 С4Н10 С5Н12 СО2 другие компоненты

Чисто газовые месторождения

Уренгойское                 95,1 1,1 0,3 0,07 0,03   0,4   3,0

Медвежье    98,3 0,3 0,1         0,15   -        0,1         1,0

Саратовское         94,7 1,8 0,2         0,1       -   0,2   3,0

Газоконденсатные месторождения

Оренбургское      84,8 4,5 1,4 0,3    1,5     1,15        9,0

Вуктыльское        79,8 8,7 3,9 1,8    6,4     0,1         4,3

Ленинградское     86,9 6,0 1,6 1,0    0,5 1,2      2,8

Попутные газы газонефтяных месторождений

Ромашкинское     39,0 20,0 18,5      6,2      4,7 0,1   11,5

Небит-Дагское     85,7 4,0 3,5 2,0    1,4    2,1 1,3

Мухановское       30,1 20,2 23,6 10,6          4,8 1,5   9,2

Нефть в пласте также содержит газ. Количество растворенного газа в нефти характеризуется величиной "газосодержание" (Го). Газосодержание для пластовых нефтей колеблется от долей единицы до нескольких сотен м3/т. Попутные нефтяные газы при подъеме нефти на поверхность выделяются из нее, пока давление насыщения (Рнас) превышает атмосферное давление. В промысловой практике товарной нефтью считают ту часть пластовой нефти, которая остается в жидком состоянии после сепарации добываемой смеси (и отделения воды) и приведения ее к стандартным (или н.у.) условиям. Содержание в ней газов составляет менее 1 %.

Из нефти и природных газов выделены все алканы нормального строения, начиная от метана до гексатриаконтана С3бН74, однако имеются сведения, что н-алканы в нефтях образуют непрерывный гомологический ряд, простирающийся вплоть до С65-С68 а по другим данным - и до С78.

Как правило, максимум объемного содержания н-алканов в нефтях приходится на н-гексан (1,8 %) и н-гептан (2,3 %), а затем содержание постепенно снижается, достигая 0,09 % для тритриаконтана С33Н68.

По другим данным практически для всех глубоко превращенных нефтей характерен унимодальный вид кривых распределения н-алканов с максимумом С10-С14 и с равномерным снижением концентраций высокомолекулярных н-алканов (по Петрову Ал.А.). Наблюдается тенденция к снижению содержания н-алканов с ростом температуры выкипания фракций.

В нефти присутствовать всевозможные изомеры алканов: моно-, ди-, три - , тетразамещенные. Из них превалируют в основном монозамещенные, с одним разветвлением. Метилзамещенные алканы по степени убывания располагаются в ряд: 2-метилзамещенные алканы > 3-метилзамещенные алканы > 4-метил-замещенные алканы.

К 60-м годам относится открытие в нефтях разветвленных алканов изопреноидного типа с метальными группами в положениях 2, 6, 10, 14, 18 и т. д. Обнаружено более двадцати таких УВ в основном состава С9-С20. Наиболее распространенными изопреноидными алканами в любых нефтях являются фитан С20Н42 и пристан С19Н40, содержание которых может доходтить до 1,0 -1,5 % и зависит от генезиса и фациальной обстановки формирования нефтей.

Таким образом, алканы в различных пропорциях входят в состав всех природных смесей и нефтепродуктов, а их физическое состояние в смеси - в виде молекулярного раствора или дисперсной системы - определяется составом, индивидуальными физическими свойствами компонентов и термобарическими условиями.

В составе нефтей твёрдые УВ - это многокомпонентные смеси, где наряду с алканами содержатся ароматические и нафтеновые углеводороды. Так, твердые углеводороды, выделенные из дистиллятной фракции (300-400°С) туймазинской нефти, состоят из 50 % н-алканов, 47,1 % нафтеновых УВ с боковыми цепями нормального строения и 2,9 % ароматических УВ с боковыми цепями нормального строения. По мере повышения температур выкипания фракций одной и той же нефти содержание твердых алканов уменьшается.

Атомы углерода в молекуле алкана связаны посредством ковалентной σ-связи с постоянной (для свободных изолированных молекул в газовой фазе) длиной связи С-С, равной 0,154 нм, и валентным углом между С-С-связями, равным 112°. Молекулярные параметры н-алканов в газовой фазе несколько изменяются по мере роста числа атомов углерода в молекуле (табл. 2.2).

Таблица 2.2.

Геометрические размеры свободных молекул н-алканов

н-Алкан

Длина связи С-С, нм

Длина связи С-Н, нм

Угол ССС, град

угол ССН, град


СН4   -                   0,1107

С2Н6 0,1534          0,1122 - 111,0

С3Н8 0,1532          0,1107        112,0

С4Ню 0,1531          0,1107       112,0 110,3

С5Н12                     0,1531        0,1118   112,9 110,4

С6НН 0,1533          0,1118        111,9 109,5

С7Н16                     0,1534        0,1121 112,6 109,8

С16Н34                   0,1542        0,1130   114,6 110,4

По мнению М. Шахпаронова, обнаруживаемые различия обусловлены разрушением энергетически "невыгодных" и образованием "выгодных" внутримолекулярных водородных связей типа С-Н-С.

В то же время известно, что силы кристаллического поля могут существенно изменять конформацию и молекулярные параметры в результате образования межмолекулярных водородных связей. В конденсированных средах значения таких молекулярных параметров, как барьеры внутреннего вращения, разность энтальпий конформеров, межъядерные расстояния и валентные углы, должны отличаться от наблюдаемых для свободных молекул. В настоящее время различие геометрического строения молекул н-алканов в свободном и конденсированном состояниях еще мало изучено.

В рамках структурно-механического подхода н-алканы классифицируют по способности их молекул к независимой поворотной изомерии концевых метильных групп. Согласно этой классификации, начиная с алканов С8-С9, различают ко-роткоцепные (С8-С17), среднецепные (С18-С40) и длинноцепные (С40-С100) молекулы н-алканов, которые рассматривают как сложные системы с относительно некоррелированными движениями срединных и концевых групп. Знание критической длины цепи молекулы, в целом теряющей кинетическую подвижность по достижении определенной температуры в условиях предкристаллизации при переохлаждении, позволяет рассматривать молекулу как состоящую из независимых фрагментов.

Дисперсионное взаимодействие между молекулами н-алканов при структурно-механическом подходе определяется числом центров дисперсионного взаимодействия, достигающим в точках кристаллизации предельного значения. В рамках таких представлений получает объяснение давно известный факт альтернирования температур кристаллизации четных и нечетных н-алканов по мере роста числа углеродных (п) атомов (рис. 2.1).

Рис. 2.1. Зависимость разности температур ∆Т кипения (1) и кристаллизации (2) для соседних членов ряда н-алканов от числа п углеродных атомов

Для нечетных изомеров н-алканов при п < 20 в результате расклинивающего влияния концевых СН3-групп наблюдается уменьшение числа центров дисперсионного взаимодействия в точках кристаллизации, что приводит к понижению температур кристаллизации. Для газообразных УВ, т.е., п < 4 ∆Т не определялись.

В кристаллическом состоянии молекулы н-алканов располагаются параллельно. С повышением температуры и уменьшением энергии межмолекулярного взаимодействия расстояния между молекулярными цепями н-алканов увеличиваются, при этом сохраняется предпочтительная параллельная ориентация. В точке плавления расстояния между молекулярными цепями изменяются скачкообразно, при дальнейшем повышении температуры происходит активное раздвижение молекулярных цепей до тех пор, пока молекулы не обретут полную свободу вращения. Структурные исследования жидких н-алканов показывают, что при фиксированной температуре равновесное расстояние (0,56 нм) между ближайшими молекулами н-алканов по мере роста п обнаруживает тенденцию к укорочению, что связано с усилением межмолекулярных взаимодействий.

Алканы в нефтяных системах могут находиться в молекулярном или ассоциированном состояниях. Исследование методом малоуглового рассеяния рентгеновских лучей молекулярной структуры н-алканов в жидком состоянии показало, что их ассоциация происходит по поверхности молекул с помощью сил дисперсионного взаимодействия, а ассоциаты, например н-гептана, при нормальных условиях имеют форму дисков или пластин с размерами 130-200 Ả.

Число молекул в ассоциате тем больше, чем ниже температура. Так, в гексадекане при 20°С (т. е. на 2°С выше температуры кристаллизации) число молекул в ассоциате равно 3, а в н-октане при -50°С (т. е. на 6°С выше температуры кристаллизации) - 31. Это объясняется ослаблением теплового движения молекул и усилением энергии молекулярного взаимодействия алканов с ростом длины цепи.

Циклоалканы или нафтеновые углеводороды - насыщенные алициклические УВ. К ним относятся моноциклические с общей формулой CnH2n, бициклические - CnH2n-2, трициклические - CnH2n-4, тетрациклические - CnH2n-6.

По суммарному содержанию циклоалканы во многих нефтях преобладают над другими классами УВ: их содержание колеблется от 25 до 75 % (масс.). Они присутствуют во всех нефтяных фракциях. Обычно их содержание растет по мере утяжеления фракций. Общее содержание нафтеновых углеводородов в нефти растёт по мере увеличения ее молекулярной массы. Исключение составляют лишь масляные фракции, в которых содержание циклоалканов падает за счет увеличения количества ароматических углеводородов.

Из моноциклических УВ в нефти присутствуют в основном пяти- и шестичленные ряды нафтеновых УВ. Распределение моноциклических нафтенов по нефтяным фракциям, их свойства изучены гораздо более полно по сравнению с полициклическими нафтенами, присутствующими в средне- и высококипящих фракциях. В низкокипящих бензиновых фракциях нефтей содержатся преимущественно алкилпроизводные циклопентана и циклогексана [от 10 до 86 % (маесс)], а в высококипящих фракциях - полициклоалканы и моноциклоалканы с алкильными заместителями изопреноидного строения (т.н. гибридные УВ).

Из полициклических нафтенов в нефтях идентифицировано только 25 индивидуальных бициклических, пять трициклических и четыре тетра- и пентациклических нафтена. Если в молекуле несколько нафтеновых колец, то последние, как правило, сконденсированы в единый полициклический блок.

Бицикланы С7-С9 чаще всего присутствуют в нефтях ярко выраженного нафтенового типа, в которых их содержание достаточно высоко. Среди этих углеводородов обнаружены (в порядке убывания содержания): бицикле[3,3,0]октан (пенталан), бицикло[3,2,1]октан, бицикло[2,2,2]октан, бицикло[4,3,0]нонан (гидриндан), бицикло[2,2,1]гептан (норборнан) и их ближайшие гомологи. Из трицикланов в нефтях доминируют алкилпергидрофенантрены, среди которых идентифицированы соединения типа (1-4): R = С1, С2; R =С1-С3; R = С2-С4.

нефть кристаллизация залежь углеводород


Тетрацикланы нефти представлены главным образом производными циклопентанопергидрофенантрена - стеранами С27-С30 (5-7):


К пентацикланам нефтей относятся углеводороды ряда гопана (8), лупана (9), фриделана (10) и др.


Достоверных сведений об идентификации полициклоалканов с большим количеством циклов нет, хотя на основе структурно-группового и масс-спектрального анализа можно высказать предположения о присутствии нафтенов с числом циклов, большим пяти. По некоторым данным, высококипящие нафтены содержат в молекулах до 7-8 циклов.

Различия в химическом поведении циклоалканов часто обусловлены наличием избыточной энергии напряжения. В зависимости от размеров цикла циклоалканы подразделяют на малые (С3, С4 - хотя циклопропан и циклобутан в нефтях не обнаружены), нормальные (С5-С7), средние (C8-С11) и макроциклы (от C12 и более). В основе этой классификации лежит зависимость между размером цикла и возникающими в нем напряжениями, влияющими на стабильность. Для циклоалканов и, прежде всего, для их различных производных, характерны перегруппировки с изменением размеров цикла. Так, при нагревании циклогептана с хлоридом алюминия образуется метилциклогексан, а циклогексан при 30-80°С превращается в метилциклопентан. Пяти- и шестичленные углеродные циклы образуются гораздо легче, чем меньшие и большие циклы. Поэтому в нефтях встречается гораздо больше производных циклогексана и циклопентана, чем производных других циклоалканов.

На основе исследования вязкостно-температурных свойств алкилзамещенных моноциклогексанов в широком интервале температур выяснено, что заместитель по мере его удлинения уменьшает среднюю степень ассоциации молекул. Циклоалканы, в отличие от н-алканов с таким же числом углеродных атомов, находятся в ассоциированном состоянии при более высокой температуре.

Арены или ароматические углеводороды - соединения, в молекулах которых присутствуют циклические углеводороды с π-сопряжёнными системами. Содержание их в нефти изменяется от 10-15 до 50 %(масс.). К ним относятся представители моноциклических: бензол и его гомологи (толуол, о-, м-, п-ксилол и др.), бициклические: нафталин и его гомологи, трициклические: фенантрен, антрацен и их гомологи, тетрациклические: пирен и его гомологи и другие.

На основе обобщения данных по 400 нефтям показано, что наибольшие концентрации аренов (37 %) характерны для нефтей нафтенового основания (типа), а наименьшие (20 %) - для нефтей парафинового типа. Среди нефтяных аренов преобладают соединения, содержащие не более трех бензольных циклов в молекуле. Концентрации аренов в дистиллятах, кипящих до 500°С, как правило, снижаются на один-два порядка в следующем ряду соединений: бензолы >> нафталины >> фенантрены >> хризены >> пирены >> антрацены.

Ниже представлено среднее содержание аренов, характерное для нефтей России различных типов, от общего содержания аренов, в %:

бензольные               67 пиреновые 2

нафталиновые           18 антраценовые 1

фенантреновые         8 прочие арены 1

хризеновые и бензфлуореновые     3

Общей закономерностью является рост содержания аренов с повышением температуры кипения. При этом арены высших фракций нефти характеризуются не большим числом ароматических колец, а наличием алкильных цепей и насыщенных циклов в молекулах. В бензиновых фракциях обнаружены все теоретически возможные гомологи аренов C6-C9. Углеводороды с малым числом бензольных колец доминируют среди аренов даже в самых тяжелых нефтяных фракциях. Так, по экспериментальным данным моно-, би-, три-, тетра- и пентаарены составляют соответственно 45-58, 24-29, 15-31, 1,5 и до 0,1 % от массы ароматических углеводородов в дистиллятах 370-535°С различных нефтей.

Моноарены нефтей представлены алкилбензолами. Важнейшими представителями высококипящих нефтяных алкилбензолов являются УВ, содержащие в бензольном ядре до трех метильных и один длинный заместитель линейного, α-метилалкильного или изопреноидного строения. Крупные алкильные заместители в молекулах алкилбензолов могут содержать более 30 углеродных атомов.

Главное место среди нефтяных аренов бициклического строения (диарены) принадлежит прозводным нафталина, которые могут составлять до 95 % от суммы диаренов и содержать до 8 насыщенных колец в молекуле, а второстепенное - производным дифенила и дифенилалканов. В нефтях идентифицированы все индивидуальные алкилнафталины С11, С12 и многие изомеры С13-C15. Содержание дифенилов в нефтях на порядок ниже содержания нафталинов.

Из нафтенодиаренов в нефтях обнаружены аценафтен, флуорен и ряд его гомологов, содержащих метальные заместители в положениях 1-4.

Триарены представлены в нефтях производными фенантрена и антрацена (с резким преобладанием первых), которые могут содержать в молекулах до 4-5 насыщенных циклов.

Нефтяные тетраарены включают углеводороды рядов хризена, пирена, 2,3- и 3,4-бензофенантрена и трифенилена.

Содержание в нефтях полиаренов с пятью и большим числом конденсированных бензольных циклов очень невелико. Из таких углеводородов в тяжелых нефтяных фракциях обнаружены: 1,2- и 3,4-бензопирены, перилен, 1,2,5,6-дибензоантрацен, 1,1,2-бензоперилен и коронен.

Арены нефти, выкипающие выше 500°С и представленные углеводородами C20-C75, распределяются по фракциям в соответствии с данными (табл. 2.3) до 39 атомов углерода в боковых алкильных цепях. Бициклические углеводороды с двумя бензольными и до трех нафтеновых колец выходят в этой же фракции при наличии 22-40 атомов углерода в боковых алкильных цепях. Элюирование трицикли-ческих углеводородов с тремя бензольными и двумя нафтеновыми кольцами во фракции легких аренов возможно при наличии 31-48 атомов углерода в боковых алкильных цепях. В состав средних и тяжелых ароматических фракций входят арены с более короткими боковыми цепями. Моноциклические и бициклические арены, имеющие в боковых цепях 10-20 атомов углерода, и трициклические с 16-30 атомами углерода в боковых цепях выходят в составе средней фракции аренов. Арены с еще более короткими боковыми цепями элюируются в составе тяжелой фракции аренов.

Повышенная склонность аренов, особенно полициклических, к молекулярным взаимодействиям обусловлена низкой энергией возбуждения в процессе гомолитической диссоциации. Для соединений типа антрацена, пирена, хризена и т. п. характерна низкая степень обменной корреляции π-орбиталей и повышенная потенциальная энергия ММВ из-за возникновения обменной корреляции электронов между молекулами. С некоторыми полярными соединениями арены образуют достаточно устойчивые молекулярные комплексы.

Взаимодействие π-электронов в бензольном ядре приводит к сопряжению углерод-углеродных связей. Следствием эффекта сопряжения являются следующие свойства аренов:

плоское строение цикла с длиной С-С-связи (0,139 нм), занимающей промежуточное значение между простой и двойной С-С-связью;

эквивалентность всех С-С-связей в незамещенных бензолах;

склонность к реакциям электрофильного замещения протона на различные группы по сравнению с участием в реакциях присоединения по кратным связям.

Гибридные углеводороды (церезины) - углеводороды смешанного строения: парафино-нафтенового, парафино-ароматического, нафтено-ароматическо-го. В основном, это твёрдые алканы с примесью длинноцепочечных УВ, содержащих циклановое или ароматическое ядро. Они являются основной составной частью парафиновых отложений в процессах добычи и подготовки нефтей.

Таблица 2.3.

Распределение аренов, выкипающих выше 500°С, по фракциям гудрона


2.2 Гетероорганические соединения

Гетероорганические соединения (серо-, кислород- и азотсодержащие) различного строения и молекулярной массы присутствуют в разнообразных пропорциях в дистиллятных и остаточных фракциях нефти. Особенно сложно изучение природы и состава высокомолекулярных гетероорганических соединений, основной частью которых являются смолоасфальтеновые вещества. Благодаря неподеленным парам электронов гетероатомы серы, кислорода и азота способны выступать в качестве координирующего центра при образовании ассоциатов в нефтяных системах.

Серосодержащие соединения относятся к наиболее представительной группе гетероатомных компонентов газоконденсатных и нефтяных систем. Общее содержание серы в нефтегазовых системах колеблется в широких пределах: от сотых долей процента до 6-8 % (масс.) и более. Высокое содержание общей серы характерно для газоконденсатов Астраханского [1,2 % (масс.)], Карачаганакского (0,9 %) и др. месторождений. Содержание серосодержащих соединений в некоторых нефтях достигает 40 % (масс.) и выше, в некоторых случаях нефть почти целиком состоит из них. В отличие от других гетероатомов, преимущественно концентрирующихся в CAB, значительная доля серы содержится в дистиллятных фракциях. Как правило, содержание серы в прямогонных фракциях возрастает по мере повышения температуры их кипения и общей сернистости исходной нефти.

В нефтегазовых системах присутствуют незначительные количества неорганических серосодержащих соединений (элементная сера и сероводород), они также могут образоваться как вторичные продукты разложения других серосодержащих соединений при высоких температурах в процессах перегонки, деструктивной переработки. Среди серосодержащих соединений, найденных в нефти, идентифицированы следующие (по данным Института химии нефти Тф СО РАН).

. Алифатические, алициклические и ароматические тиолы (меркаптаны) R-SH:

С6Н5Сn H2n+1SH Сn H2n+1 С6Н5SH C10H7SH

ареноалканотиолы                          тионафтолы

2. Тиоэфиры (сульфиды) следующих основных типов:

-S-R'                                            C6H5-S-C6H5

тиаалканы, тиаалкены, тиаалкины  диарилсульфиды

тиациклоалканы  алкиларилсульфиды арилтиаалканы

(R, R' - предельные и непредельные алифатические углеводородные заместители).

. Диалкиддисульфиды R-S-S-R', где R, R' - алкильные, циклоалкильные или арильные заместители.

. Тиофены и их производные, важнейшими из которых являются следующие аренотиофены:

алкилбензотиофены алкилбензонафтотиофены алкилдибензотиофены

Распределение различных групп серосодержащих соединений в нефтях и в нефтяных фракциях подчиняется следующим закономерностям.

Тиолы содержатся практически во всех сырых нефтях обычно в малых концентрациях и составляют 2-10 % (маcc.) от общего содержания серосодержащих соединений. В газоконденсатах присутствуют в основном алифатические меркаптаны C1-Сз. Некоторые нефти и газоконденсаты и их фракции представляют собой естественные концентраты меркаптанов, примерами которых могут служить бензиновые фракции супергигантского месторождения Прикаспия; фракция 40-200°С газоконденсата Оренбургского месторождения, содержащая 1,24 % (маcc.) общей серы, в том числе 0,97 % меркаптановой; легкая керосиновая фракция 120-280°С нефти месторождения Тенгиз, содержащая 45-70 % меркаптановой серы от общего содержания серосодержащих соединений. При этом запасы природных тиолов в углеводородном сырье Прикаспийского региона соответствуют уровню их общемирового получения синтетическим путем. Природные тиолы - перспективное сырье для синтеза пестицидов (на основе симметричных триазинов) и одоризации сжиженных газов. Перспективная потребность России в тиолах для одоризации в настоящее время составляет 6 тыс. тонн /год.

Тиоэфиры составляют до 27 % от суммы серосодержащих соединений в сырых нефтях и до 50 % - в средних фракциях, в тяжелых вакуумных газойлях содержание сульфидов меньше. Методы выделения нефтяных сульфидов основаны на их способности образовывать комплексные соединения донорно-акцепторного типа за счет передачи неподеленной пары электронов атома серы на свободную орбиталь акцептора. В качестве акцептора электронов могут выступать галогениды металлов, галогеналкилы, галогены. Реакции комплексообразования с нефтяными сульфидами протекают, к сожалению, не селективно; в образовании комплексов могут принимать участие и другие гетероатомные компоненты нефти.

Диалкилдисульфиды в сырых нефтях не обнаружены, они обычно образуются при окислении меркаптанов в мягких условиях и поэтому присутствуют в бензинах (до 15 %). Основная доля серосодержащих соединений нефтей приходится на так называемую "остаточную" серу, не определяемую стандартными методами. В ее составе преобладают тиофены и их производные, поэтому раньше "остаточную" серу называли "тиофеновой", однако с помощью масс-спектрометрии отрицательных ионов в ней обнаружены ранее не определявшиеся сульфоксиды, сульфоны и дисульфан. В бензиновых фракциях содержание производных тиофена мало, в средних и особенно высококипящих фракциях оно достигает 50-80 % от суммы серосодержащих соединений. Относительное содержание тиофеновых производных, как правило, совпадает со степенью ароматичности нефтяной системы. Трудности, возникающие при выделении серосодержащих соединений (особенно из высококипящих фракций), вызваны близостью химических свойств аренов и тиофенов. Схожесть их химического поведения обусловлена ароматичностью тиофенов, возникающей как результат включения гетероатома серы в π-электронную систему до ароматического секстета. Следствием этого является повышенная склонность нефтяных тиофенов к интенсивному межмолекулярному взаимодействию.

Кислородсодержащие соединения содержаться в нефтяных системах от 0,1-1,0 до 3,6 % (масс.). С повышением температуры кипения дистиллятных фракций содержание их возрастает, причем основная часть кислорода сосредоточена в смолоасфальтеновых веществах. В составе нефтей и дистиллятов содержится до 20 % и более кислородсодержащих соединений.

Среди них традиционно выделяют вещества кислого и нейтрального характера. К кислым компонентам относятся карбоновые кислоты и фенолы. Нейтральные кислородсодержащие соединения представлены кетонами, ангидридами и амидами кислот, сложными эфирами, фурановыми производными, спиртами и лактонами.

Присутствие в нефтях кислот было обнаружено очень давно из-за высокой химической активности по сравнению с УВ. История обнаружения их в нефти такова. При получении керосина высокого качества для осветительных целей его обрабатывали щелочью (кислотно-щелочная очистка) и при этом наблюдали образование веществ, обладающих высокой эмульгирующей способностью. Впоследствии выяснилось, что эмульгаторами являются натриевые соли кислот, содержащихся в дистиллятных фракциях. Экстракция водными и спиртовыми растворами щелочей является и сегодня классическим приемом извлечения кислых компонентов из нефтей. В настоящее время методы выделения кислот и фенолов также основаны на взаимодействии их функциональных групп (карбоксильной и гидроксильной) с каким-либо реагентом.

Карбоновые кислоты являются наиболее изученным классом кислородсодержащих соединений нефти. Содержание нефтяных кислот по фракциям меняется по экстремальной зависимости, максимум которой приходится, как правило, на легкие и средние масляные фракции. Методом хромато-масс-спектрометрии идентифицированы различные типы нефтяных кислот. Большинство из них относится к одноосновным (RCOOH), где в качестве R может быть практически любой фрагмент углеводородных и гетероорганических соединений нефти. Давно замечено, что групповые составы кислот и нефтей соответствуют друг другу: в метановых нефтях преобладают алифатические кислоты, в нафтеновых - нафтеновые и нафтеноароматические кислоты. Обнаружены алифатические кислоты от C1 до С25 линейного строения и некоторые разветвленного строения. При этом у нефтяных кислот соотношение н-алкановых и разветвленных кислот совпадает с соотношением соответствующих углеводородов в нефтях.

Алифатические кислоты представлены, в первую очередь, н-алкановыми кислотами. Из разветвленных кислот более распространены содержащие метильный заместитель в основной цепи. Все низшие изомеры этого типа найдены в нефтях, вплоть до С7. Еще одна важная группа алифатических кислот - кислоты изопреноидного строения, среди которых доминируют пристановая (С19) и фитановая (С20).

Алициклические (нафтеновые) кислоты нефти - это моноциклокарбоновые кислоты - производные циклопентана и циклогексана; полициклические могут содержать до 5 колец (данные для калифорнийской нефти). Группы СООН в молекулах моноциклических кислот непосредственно соединены с циклом или находятся на конце алифатических заместителей. В цикле может быть до трех (чаще всего метальных заместителей), наиболее распространенными положениями которых являются 1, 2; 1, 3; 1, 2, 4; 1, 1, 3 и 1, 1, 2, 3.

Содержание бициклических нафтеновых кислот в ряде случаев приближается, а иногда и превышает содержание моноциклических кислот, хотя индивидуальные их представители пока не идентифицированы.

Молекулы три-, тетра- и пентациклических кислот, выделенных из нефтей, построены в основном из сконденсированных между собой циклогексановых колец.

Установлено присутствие в нефтях гексациклических нафтеновых кислот с циклогексановыми кольцами. Ароматические кислоты в нефтях представлены бензойной кислотой и ее производными. В нефтях обнаружено и множество гомологических рядов полициклических нафтеноароматических кислот, а идентифицированы моноароматические стероидные кислоты в самотлорской нефти

Из кислородсодержащих соединений нефтяные кислоты характеризуются наибольшей поверхностной активностью. Установлено, что поверхностная активность как малосмолистых, так и высокосмолистых нефтей значительно снижается после удаления из них кислых компонентов (кислот и фенолов). Сильные кислоты принимают участие в образовании ассоциатов нефтей, что показано при изучении их реологических свойств.

Гораздо хуже кислот изучены фенолы. Их содержание в нефтях западно-сибирских месторождений колеблется от 40 до 900 мг/л. В западно-сибирских нефтях концентрации фенолов возрастают в ряду С6<С7 << С8<С9. В нефтях обнаружены фенол, все крезолы, ксиленолы и отдельные изомеры С9. Установлено, что соотношение между фенолами и алкилфенолами колеблется в пределах от 1: (0,3-0,4) до 1: (350-560) и зависит от глубины залегания и возраста нефти. В некоторых нефтях идентифицирован β-нафтол. Высказано предположение о наличии соединений типа о-фенилфенолов, находящихся в нефтях в связанном состоянии из-за склонности к образованию внутримолекулярных водородных связей. При исследовании антиокислительной способности компонентов гетероор-ганических соединений нефти установлено, что концентраты фенольных соединений являются наиболее активными природными ингибиторами.

В нейтральных кислородсодержащих соединениях калифорнийских нефтей обнаружены все простейшие алкилкетоны Сз-С6, ацетофенон и его нафтено- и арено-производные, флуоренон и его ближайшие гомологи. Выход из самотлорской нефти концентрата кетонов, состоящий в основном из диалкилкетонов, составляет 0,36 %, при этом степень извлечения кетонов составляет только 20 %, что свидетельствует о наличии кетонов больших молекулярных масс, не извлекаемых по данной методике. При исследовании кетонов нефтях Западной Сибири установлено, что в них присутствуют кетоны С19-Сз2, причем в метановых нефтях преобладают алифатические кетоны, а в нафтеновых нефтях - с циклановыми и ароматическими заместителями.

Можно предполагать наличие в нефтях спиртов в свободном состоянии, в связанном они входят в состав сложных эфиров. Из гетероорганических соединений нефти наиболее изучена склонность кислородсодержащих соединений к интенсивным межмолекулярным взаимодействиям.

Азотсодержащие соединения содержатся в нефтях (по данным для 500 нефтей) в пределах от 0,02-0,40 % (масс.), хотя в некоторых может достигать 0,8-1,5 и даже 10-12 % .

Исследование азотсодержащих соединений возможно двумя путями - непосредственно в сырой нефти и после их выделения и разделения. Первый путь позволяет изучить азотсодержащие соединения в состоянии, близком к природному, однако при этом не исключено возникновение заметных ошибок из-за малой концентрации этих соединений. Второй путь позволяет подобные ошибки уменьшить, но в процессе химического воздействия на нефть при разделении и выделении возможно изменение их структуры. Установлено, что азотсодержащие соединения в нефти представлены преимущественно циклическими соединениями. Алифатические азотсодержащие соединения встречаются лишь в продуктах деструктивной переработки нефти, в которых они образуются в результате разрушения азотистых гетероциклов.

Все азотсодержащие соединения нефти являются, как правило, функциональными производными аренов, в связи с чем имеют сходное с ними молекулярно-массовое распределение. Однако в отличие от аренов азотсодержащие соединения концентрируются в высококипящих фракциях нефти и являются составной частью CAB. До 95 % имеющихся в нефти атомов азота сосредоточены в смолах и асфальтенах. Высказано мнение, что при выделении смол и асфальтенов с ними соосаждаются в виде донорно-акцепторных комплексов даже сравнительно низкомолекулярные азотсодержащие соединения.

В соответствии с общепринятой классификацией по кислотно-основному признаку азотсодержащие соединения делятся на азотистые основания и нейтральные соединения.

Азотсодержащие основания являются, по-видимому, единственными носителями основных свойств среди компонентов нефтяных систем. Доля азотсодержащих оснований в нефти, титруемых хлорной кислотой в уксуснокислой среде, колеблется от 10 до 50 %. В настоящее время в нефтях и нефтепродуктах идентифицировано более 100 алкил- и ареноконденсированных аналогов пиридина, хинолина и других оснований .

Сильноосновные азотсодержащие соединения представлены пиридинами и их производными:


К слабоосновным азотсодержащим соединениям относятся анилины, амиды, имиды и N-циклоалкилпроизводные, имеющие в пиррольном кольце в качестве заместителя алкильные, циклоалкильные и фенильные группы:


В составе сырых нефтей и прямогонных дистиллятов чаще всего обнаруживаются производные пиридина. С увеличением температуры кипения фракций обычно возрастает содержание азотсодержащих соединений, при этом изменяется их структура: если в легких и средних фракциях преобладают пиридины, то в более тяжелых - их полиароматические производные, а в продуктах термической переработки при повышенных температурах в большей степени присутствуют анилины. В светлых фракциях доминируют азотистые основания, а в тяжелых фракциях, как правило, - нейтральные азотсодержащие соединения.

К нейтральным азотсодержащим соединениям, не содержащим в молекулах иных гетероатомов, кроме атома азота, и выделенным из нефти, относятся индолы, карбазолы и их нафтеновые и серосодержащие производные:


При выделении нейтральные азотсодержащие соединения образуют ассоциаты с кислородсодержащими соединениями и извлекаются попутно с азотсодержащими основаниями .

Наряду с названными монофункциональными в нефтях идентифицированы следующие азотсодержащие соединения:

. Полиароматические с двумя атомами азота в молекуле:


. Соединения с двумя гетероатомами (азота и серы) в одном цикле - тиазолы и бензтиазолы и их алкил- и нафтеновые гомологи:


. Соединения с двумя гетероатомами азота и серы в разных циклах: тиофенсодержащие алкил-, циклоалкилиндолы и карбазолы.

. Соединения с карбонильной группой в азотсодержащем гетероцикле, такие как пиперидоны и хинолоны:


. Порфирины. Строение порфиринов, представляющих собой комплексные соединения с ванадилом VO, никелем и железом, будет рассмотрено ниже.

Значение азотсодержащих соединений нефти как природных ПАВ очень велико, они во многом наряду с CAB определяют поверхностную активность на жидких границах раздела фаз и смачивающую способность нефти на границах раздела порода - нефть, металл - нефть. Азотсодержащие соединения и их производные - пиридины, гидроксипиридины, хинолины, гидроксихинолины, имидазолины, оксазолины и т. д. - являются природными нефтерастворимыми ПАВ, обладающими ингибирующими свойствами при коррозии металлов в процессе добычи, транспортировки и переработки нефти. Более слабыми поверхностно-активными свойствами характеризуются такие азотсодержащие соединения нефти, как гомологи пиррола, индола, карбазола, тиазолы и амиды.

Смолоасфальтеновые вещества (CAB). Одной из наиболее представительных групп гетероорганических высокомолекулярных соединений нефти являются CAB. Характерные особенности CAB - значительные молекулярные массы, наличие в их составе различных гетероэлементов, полярность, парамагнетизм, высокая склонность к ММВ и ассоциации, полидисперсность и проявление выраженных коллоидно-дисперсных свойств - способствовали тому, что для их исследования оказались неподходящими методы, обычно применяемые при анализе низкокипящих компонентов. Учитывая специфику изучаемого объекта, Сергиенко С.Р. более 30 лет тому назад выделил химию высокомолекулярных соединений нефти в самостоятельный раздел химии нефти и внес крупный вклад в ее становление своими основополагающими работами.

До 60-70-х годов исследователи определяли физико-химические характеристики CAB (некоторые из них приведены в табл. 2.4) и пытались представить структурную формулу средней молекулы асфальтенов и смол на основании данных инструментального структурного анализа.


Подобные попытки предпринимают и в настоящее время. Изменяющиеся в значительных пределах величины элементного состава, средних молекулярных масс, плотности, растворимости и т. п. для образцов CAB различных отечественных и зарубежных нефтей отражают разнообразие природных нефтей. В смолах и асфальтенах сосредоточены большая часть присутствующих в нефти гетероэлементов и практически все металлы.

Азот в CAB преимущественно входит в гетероароматические фрагменты пиридинового (основного), пиррольного (нейтрального) и порфиринового (металлокомплексного) типа. Сера входит в состав гетероциклов (тиофеновых, тиациклановых, тиазольных), тиольных групп и сшивающих молекулы сульфидных мостиков. Кислород в смолах и асфальтенах представлен в форме гидроксильных (фенольных, спиртовых), карбоксильных, эфирных (простых, сложных лактонных), карбонильных (кетонных, хинонных) групп и фурановых циклов. Между молекулярной массой асфальтенов и содержанием гетероэлементов есть определенное соответствие (рис. 2.2).

Охарактеризуем современный уровень представлений о CAB. Йен отмечает универсальный характер асфальтенов как составной части природных углеродных источников, не только каустобиолитов (нефтей и твердых топлив), но также осадочных пород и метеоритов.

Согласно классификации природных ископаемых с углеводородной основой, предложенной Абрахамом, к нефтям относят те, что содержат до 35-40 % (масс.) CAB, а природные асфальты и битумы содержат до 60-75 % (масс.) CAB, по другим данным - до 42-81 %. В отличие от более легких компонентов нефти, признаком отнесения которых к своим группам было сходство их химического строения, критерием объединения соединений в класс под названием CAB служит их близость по растворимости в конкретном растворителе. При действии на нефть и нефтяные остатки больших количеств петролейного эфира, низкокипящих алканов происходит осаждение веществ, называемых асфальтенами, которые растворимы в низших аренах, и сольватирование других компонентов - мальтенов, состоящих из углеводородной части и смол.

Рис. 2.2. Зависимость молекулярной массы асфальтенов (М) от среднего суммарного содержания гетероэлементов (O+N+S) в нефти месторождений Сафанья (1), Серро Негро (2), Боскан (4), Батираман (5) и арабской легкой нефти (3)

В основе современных схем разделения тяжелой части нефти лежат классические приемы, впервые предложенные Маркуссоном. Нерастворимые в сероуглероде и других растворителях вещества относят к карбоидам. Вещества, растворимые только в сероуглероде и осаждающиеся четыреххлористым углеродом, называют карбенами. Карбоиды и карбены, как правило, обнаруживаются в составе тяжелых продуктов деструктивной переработки нефти в количестве нескольких процентов и будут рассмотрены отдельно ниже. В составе сырых нефтей и в остатках первичной переработки нефти их практически нет.

От растворителя зависят и свойства выделенных асфальтенов. Следствием различий природы и свойств растворителей является то, что молекулярная масса асфальтенов из арабских нефтей при растворении в бензоле в среднем выше в 2 раза, чем в тетрагидрофуране. ( табл. 2. 5).

Таблица 2.5

Растворитель Параметр раство- Диэлектрическая Дипольный момент, Д  римости   проницаемость

Тетрагидрофуран 9,1 7,58 1,75

Бензол 9,2 2,27 0

В процессе развития представлений о строении и природе нефтяных CAB можно выделить два основных этапа, связанных общей идеей о коллоидно-дисперсном строении, но различающихся методическим подходом к оценке строения единичного элемента коллоидной структуры. На первом этапе - этапе химических представлений о строении молекул CAB - применяли стандартный химический подход для идентификации строения неизвестного соединения. После установления молекулярной массы, элементного состава и брутто-формулы молекул смол и асфальтенов CnH2n-zNpSgOr. Затем вычисляли значение z. Для смол оно составляло 40-50, для асфальтенов - 130-140. Типичный пример результатов таких исследований для образцов CAB различных отечественных и зарубежных нефтей представлен в табл. 2.4. (см. табл. 1.4). Как видно, асфальтены отличаются от смол из того же источника повышенным содержанием углерода и металлов и пониженной долей водорода, более значительными размерами полиароматических ядер, а также меньшей средней длиной крупных алифатических заместителей и меньшим числом ациклических фрагментов, непосредственно сконденсированных с ароматическими ядрами.

Второй этап можно характеризовать как этап развития физических представлений о строении асфальтенов и анализа причин, обусловливающих склонность асфальтенов к ассоциации. Действительно, объяснение зависимости молекулярной массы от условий определения (см. табл. 2.5), а также ее прямолинейной зависимости от размеров частиц асфальтенов (рис. 1.5) стало возможно в рамках качественно новых представлений о строении асфальтенов.

В 1961г. Т. Йен предложил так называемую пачечную модель строения асфальтенов типа "plate to plate". В основу модели была положена не необходимость ее соответствия вычисленным структурным параметрам о составе асфальтенов, а принципиаль ная возможность плоскопараллельной ориентации полиароматических фрагментов разных молекул. Их объединение в результате межмолекулярных (π - π, донорно-акцепторных и др.) взаимодействий происходит с образованием слоистых стэкинг-структур (термин "стэкинг" принят в молекулярной биологии для обозначения стопкообразного расположения молекул одна над другой).

Рис. 2.5. Корреляция между размером частиц асфальтенов (D) и их молекулярной массой (М)

В рамках модели Йена отмеченная выше зависимость молекулярной массы асфальтенов от условий выделения и природы растворителя легко объясняется ассоциацией, предполагающей несколько уровней структурной организации асфальтенов: молекулярно-диспергированное состояние (I), в котором асфальтены находятся в виде отдельных слоев; коллоидное состояние (II), являющееся результатом образования стэкинг-структур с характерными размерами; дисперсное кинетически устойчивое состояние (III), возникающее при агрегировании стэкинг-структур, и дисперсное кинетически неустойчивое состояние (IV), сопровождающееся выделением осадка.

 

Рис. 2.6. Модель строения асфальтенов по Йену

Модели пачечной структуры строения асфальтенов придерживаются многие современные исследователи.

Унгер Ф.Г. высказал оригинальную точку зрения на процесс возникновения и существования CAB в нефти. Нефти и нефтяные системы, содержащие CAB, по его мнению, - термодинамически лабильные парамагнитные ассоциированные растворы. Ядра ассоциатов таких растворов образованы асфальтенами, в которых локализованы стабильные свободные радикалы, а окружающие ядра сольватные слои состоят из диамагнитных молекул смол. Часть диамагнитных молекул смол способна переходить в возбужденное триплетное состояние и подвергаться гемолизу. Поэтому смолы являются потенциальным источником асфальтенов, что объясняет отмеченную еще Гурвичем Л.Г. легкость превращения смол в асфальтены.

Итак, новизна изложенных представлений связана с утверждением особой роли обменных взаимодействий для объяснения природы CAB. В отличие от пачечной модели развивается идея о центрально-симметричном устройстве частицы CAB. Впервые она была постулирована Д. Пфайфером и Р. Саалем, предложившими статическую модель строения структурной единицы асфальтенов. Согласно ей ядро структурной единицы образовано высокомолекулярными полициклическими углеводородами и окружено компонентами с постепенно снижающейся степенью ароматичности. Нейман Г. подчеркивал, что энергетически выгодно обращение полярных групп внутрь структурной единицы, а углеводородных радикалов - наружу, что находится в согласии с правилом уравнивания полярности по Ребиндеру.

Порфирины являются типичными примерами нативных нефтяных комплексных соединений. Порфирины с ванадием в качестве координационного центра (в форме ванадила) или никелем (см. 11). Ванадилпорфирины нефти - в основном гомологи двух рядов: алкилзамещенных порфиринов с различным суммарным числом атомов углерода в боковых заместителях порфинового цикла и порфиринов с дополнительным циклопентеновым кольцом. Металлпорфириновые комплексы присутствуют в природных битумах до 1 мг/100 г, а в высоковязких нефтях - до 20 мг/100 г нефти. При исследовании характера распределения металлпорфириновых комплексов между составными частями НДС в работе методами экстракции и гель-хроматографии установлено, что 40 % ванадилпорфиринов сосредоточено в дисперсных частицах (примерно поровну в составе ядра и сольватного слоя), а оставшаяся их часть и никель-порфирины содержатся в дисперсионной среде.


Ванадилпорфирины в составе асфальтенов вносят значительный вклад в поверхностную активность нефтей, при этом собственная поверхностная активность асфальтенов невелика. Так, исследование нефтей Башкирии показало, что поверхностное натяжение нефтей на границе с водой сильно коррелирует с содержанием в них ванадилпорфиринов, в то время как коэффициент корреляции с содержанием в них асфальтенов относительно невысок (рис. 2.7).

В меньшей степени изучено влияние металлпорфиринов на дисперсное строение нефти и условия протекания фазовых переходов в нефтяных системах. Есть данные об их отрицательном влиянии наряду с другими гетероатомными компонентами на каталитические процессы нефтепереработки. Помимо этого, они должны сильно влиять на кинетику и механизм фазовых переходов в НДС.

Рис. 2.7. Изотермы межфазного натяжения а на границе с водой:

а - бензольные растворы асфальтенов: 1- асфальтены с порфиринами; 2-5 - асфальтены по мере удаления порфиринов после одной, пяти, семи, тринадцати экстракций соответственно; б - нефтей Башкирии

2.3 Микроэлементы

Первоначально исследованием микроэлементного состава нефтей занимались геохимики с целью поиска доказательств различных теорий происхождения нефти и изучения закономерностей миграции нефтяных месторождений. Ими накоплен обширный массив экспериментальных данных о количественном и качественном распределении элементов в нефтях, к сожалению, с трудом потдающихся систематизации. Позже интерес к подобным исследованиям проявили химики-технологи, поскольку было установлено неблагоприятное влияние металлов на процессы нефтепереработки и эксплуатационные свойства нефтепродуктов, а извлечение некоторых элементов, в частности ванадия, из нефти стало промышленно важным. Так, содержание ванадия и никеля в ряде образцов битумов восточной части Прикаспийской впадины и природных высоковязких нефтей достигает 50 г/т, при этом преобладает ванадий. Современный качественно новый уровень научных исследований в области изучения микроэлементного состава и связи с компонентами нефти обусловлен выявлением особой роли металлпорфиринов в строении CAB, в которых металл выступает в качестве их координационного центра.

В настоящее время установлено, что в нефтях разного происхождения присутствует более 60 элементов, из которых около 30 относятся к металлам. В нефти присутствуют - железо, магний, алюминий, медь, олово, натрий, кобальт, хром, германий, ванадий, никель, ртуть, золото и другие. Однако, содержание их менее 1 %. Среди отдельных металлов, содержание которых в нефтях превышает 10-5 %, доминируют: V - 10-5-10-2 %; Ni - 10-4-10-3 %; Fe - 10-4-10-3 %; Zn - 10-5 -10-3 %; Hg - около 10-5 %; В - 10-3-0,3 %; Na, K, Ca, Mg - 10-3-10-4 %. Суммарное содержание в нефтях металлов в среднем колеблется от 0,01 до 0,0 4 % (масс.), а в выделенных из них CAB иногда может достигать десятых долей процента.

При изучении распределения тяжелых металлов (ванадия и никеля) по хроматографическим фракциям гудрона западно-сибирской нефти было найдено, что основная масса металлсодержащих соединений сосредоточена в смолах и асфальтенах, а углеводородные фракции содержат до 1-3 ррm металлов (табл. 2.6). Содержание микроэлементов в асфальтенах выше, чем в смолах. Поскольку содержание смол в нефтях и остаточных фракциях значительно больше, чем асфальтенов, то основная масса металлов все же сосредоточена в смолах.

При термолитическом воздействии на нефтяные системы, например, в процессе перегонки, происходят изменения структурных и физических характеристик смол, а также их микроэлементного состава. Основная часть атомов металлов (кроме ванадия) связана в составе смол с серо- и кислородсодержащими функциональными группами (карбоксильными, сульфоксидными и др.), размещающимися в термически мало устойчивых, главным образом неароматических фрагментах молекул.

Таблица 2.6.

Распределение металла по хроматографическим фракциям гудрона

Фракция

Содержание , ррт


ванадия

 никеля


Гудрон

120

 46

Фракции:

парафинонафтеновые

 0,10

0,10

легкие ароматические

 0,13

0,07

средние ароматические

 0,12

0,04

тяжелые ароматические

 2,6

1,4

смолы I

 80

88,4

смолы II

370

57

асфальтены

 963

480


Термолитическое разрушение таких фрагментов ведет к удалению соответствующей части атомов металлов из состава смол и повышению доли комплексов металлов с менее полярными и более ароматичными лигандами.

Металлсодержащие соединения нефти и нефтяных систем по своей химической природе - это соли металлов с веществами кислотного характера, элементоорганические соединения, полилигандные комплексы или π-комплексы с ароматическими или гетероорганическими соединениями.

В виде солей с органическими кислотами, фенолами, тиолами в нефти, по-видимому, находится преобладающая часть щелочных и щелочноземельных металлов, что приводит к их легкому гидролизу и удалению из нефти в процессе водной промывки.

Присутствие в нефти металлоорганических соединений со связью углерод - металл не доказано, хотя вероятность их обнаружения достаточно высока.

Наиболее распространенный тип металлсодержащих соединений нефти относится к полилигандным комплексам, где в качестве лиганда могут быть любые молекулы из широкой гаммы гетероорганических соединений. Такие комплексы образуются при координации атома металлов Fe, Co, V, Ni, Cr, Zn и др. с атомами N, S, О гетероорганических соединений. Прочность комплексов определяется природой гетероатома и металла. В связи со специфичностью донорно-акцепторных взаимодействий соли двухвалентной ртути предпочтительнее образуют комплекс с насыщенными сульфидами, а одновалентной - с арилсульфидами; титан селективно взаимодействует с основными азотистыми соединениями и гораздо слабее - с многими другими гетеросоединениями.

В "сырых" нефтях содержатся так же в малых количествах минеральные вещества, вода и механические примеси.

3. НЕФТЯНЫЕ ДИСПЕРСНЫЕ СИСТЕМЫ


Цель физико-химической механики - установление закономерностей образования пространственных структур в дисперсных системах, а также процессов деформации и разрушения таких структур в зависимости от совокупности физико-химических и механических факторов.

Структурные единицы нефтяной дисперсной системы (НДС) (исходные надмолекулярные структуры, промежуточные и конечные их виды) имеют сложное строение, обусловленное природой и геометрической формой макромолекул ВМС, поверхностными силами между ними, взаимодействием дисперсной фазы с дисперсионной средой и другими факторами.

Дисперсионная среда состоит из смеси полярных и неполярных соединений и взаимодействует с надмолекулярными структурами, в результате этого вокруг надмолекулярной структуры (ассоциата или комплекса) формируются сольватные оболочки. Такая дисперсная частица сложного строения (надмолекулярная структура + сольватный слой) способна к самостоятельному существованию и получила название сложной структурной единицы (ССЕ).

ССЕ представляется как ядро, окруженное сольватной оболочной. ССЕ может перемещаться в дисперсионной среде, т.к., благодаря сольватным оболочкам, частицы асфальтенов или высокомолекулярных парафинов (ВМП), образующие ядро ассоциата, не слипаются между собой.

Ядро ССЕ - это более упорядоченная внутренняя область, образована макромолекулами ВМП или асфальтенов или других компонентов нефти.

Сольватная оболочка образована за счет адсорбции менее склонных к ММВ соединений на частицах, образовавших ядро. Например, для асфальтенового ассоциата это будут смолы и ароматические углеводороды. В промежуточном слое будут находиться алканы и циклоалканы.

Характерной особенностью ССЕ является разница поверхностных энергий между надмолекулярной структурой и сольватным слоем и между сольватным слоем и дисперсионной средой. ССЕ могут взаимодействовать с дисперсионной средой. В этом случае возможно 2 варианта: 1) Поверхностное натяжение дисперсной среды меньше, чем у сольватных слоев ССЕ. В этом случае формируется активная ССЕ с нескомпенсированной поверхностной энергией. Компенсация этой поверхностной энергии достигается при слиянии 2-х или нескольких активированных ССЕ, что сопровождается ростом размеров надмолекулярной структуры. Чем больше разница между поверхностными энергиями надмолекулярной структуры и дисперсионной среды, тем быстрее увеличиваются размеры надмолекулярной структуры и тем больше снижается толщина сольватного слоя в ССЕ; 2) Поверхностное натяжение дисперсионной среды значительно больше, чем у сольватного слоя ССЕ. Это приводит к вытеснению из сольватного слоя ССЕ углеводородов, обладающих малыми значениями поверхностного натяжения. При высоких значениях Dd может не только уменьшаться толщина сольватного слоя и изменяться его углеводородный состав, но и разрушаться надмолекулярная структура, вплоть до полного ее исчезновения.

ССЕ могут образовывать свободнодисперсные системы (золи) и связаннодисперсные системы (гели). В свободнодисперсной системе частицы дисперсной фазы не связаны друг с другом и могут перемещаться под действием внешних сил (силы тяжести или броуновского движения). Дисперсная фаза связаннодисперсных систем образует сплошной каркас (пространственную структуру), внутри которой содержится дисперсионная среда.

Нефтяные дисперсные системы (свободно- и связаннодисперсные) характеризуются структурно-механической прочностью. Под структурно-механической прочностью НДС понимается ее способность сопротивляться действию внешних сил. Чем больше силы взаимодействия макромолекул ВМС в ассоциате и между ассоциатами в системе, тем выше структурно-механическая прочность НДС.

Структурно-механическая прочность нефтяных дисперсных систем определяется главным образом толщиной сольватной оболочки вокруг надмолекулярной структуры. Такие оболочки имеют определенную упругость и вызывают расклинивающее давление, которое так действует на частицы НДС, что стремится их раздвинуть, оттолкнуть друг от друга. Чем меньше толщина сольватной оболочки, тем выше структурно-механическая прочность НДС. (Можно сравнить с металлической линейкой: чем тоньше, тем выше упругость. Выше, чем у бруска из того же металла).

С другой стороны, структурно-механическая прочность НДС тем выше, чем больше в системе ССЕ разных типов (асфальтенов, смол, парафинов, полициклических углеводородов).

Структурно-механическую прочность НДС оценивают степенью отклонения структурной вязкости mmax от динамической вязкости mmin.

По величине структурно-механической прочности структурной единицы НДС располагается в ряд: гель®золь®ССЕ.

Температура влияет на структурно-механическую прочность системы (СМП). При повышении температуры СМП снижается и исчезает, когда система переходит в состояние молекулярного раствора.

Температура влияет и на устойчивость дисперсной системы против расслоения. Под кинетической устойчивостью НДС понимается способность дисперсной фазы сохранять в течение определенного времени равномерное распределение ССЕ в дисперсионной среде.

Неустойчивость систем оказывает влияние на проведение целевых процессов: добыча, транспорт, хранение и вызывает необходимость принятия соответствующих технических мер по защите от расслоения.

Неустойчивость проявляется укрупнением частиц дисперсной фазы за счет их слипания под влиянием межмолекулярного взаимодействия друг с другом. При этом теряется кинетическая устойчивость и происходит разделение фаз, т.е. происходит коагуляция. Поверхность раздела фаз при этом уменьшается. Этот процесс состоит из 2-х стадий: 1) Скрытая. На первой стадии до начала расслоения ассоциаты укрупняются; 2) Явная. На второй стадии укрупненные частицы выпадают в осадок.

 

3.1 Парафиновые углеводороды


Содержание парафиновых углеводородов в нефти зависит от происхождения. В нефти содержание парафинов колеблется от долей процентов до 20 % (нефти Жетыбайского месторождения), нефти Поволжья содержат 2-5 % парафина.

Из нефти выделены все алканы нормального строения, вплоть до С33Н68. С5 - C16 - жидкости, С17 и более - твердые вещества.

При осуществлении технологического процесса следует учитывать склонность их при определенных условиях к образованию ассоциатов.

Межмолекулярные взаимодействия высокомолекулярных (ВМ) алканов обусловлены водородными связями типа С-Н …С с энергией 2-4 кДж/моль и дисперсионными силами.

С понижением температуры число молекул углеводородов в парафиновом ассоциате возрастает, т.к. парафиновая цепь из зигзагообразной формы переходит в распрямленную, линейную и в этом состоянии молекулы ВМ парафинов являются склонными к межмолекулярному взаимодействию (ММВ) и образуют надмолекулярные структуры.

Температура начала образования ассоциата повышается с увеличением молекулярной массы углеводородов:

Н-пентан - -60°С;

Н-гексадекан - +80°С.

Число молекул углеводорода в ассоциате тем больше, чем ниже температура:

Н-гексадекан при 20°С - 3 молекулы.

Н-октан при -50°С - 31 молекула.

Это объясняется ослаблением теплового движения молекул углеводородов с понижением температуры и усилением энергии ММВ алканов с ростом длины цепи. Интенсивность ММВ алканов существенно ниже по сравнению с углеводородами других классов, присутствующими в нефтяных системах.

Парафиновые надмолекулярные структуры могут существовать в нефтяной системе только в области низких температур и полностью дезагрегируются при повышении температуры.

Склонность к ассоциации ВМ парафиновых углеводородов определяется:

ü длиной цепей;

ü  наличием в них разветвлений;

ü  концентрацией парафина и других ВМ углеводородов и их соотношением;

ü  растворимостью парафиновых углеводородов;

ü  температурой системы и др. факторами.

3.2 Нафтеновые углеводороды (циклоалканы)


Нафтеновые углеводороды в нефтях присутствуют в основном в виде углеводородов гибридного строения. Структурными звеньями гибридных углеводородов, кроме 5- и 6-членных колец, являются парафиновые цепи и ароматические циклы.

Нафтены могут преобладать над другими классами углеводородов в нефти. Содержание их колеблется от 25 до 75 % масс. Наибольшей устойчивостью обладают 5- и 6-членные циклы: циклопентан, циклогексан, метилциклогексан, этилциклогексан. Они и преобладают в нефтяной системе. Циклоалканы могут быть бициклическими: С8-С12, это жидкости, и полициклическими: С13 и более, это твердые вещества.

В отличие от парафиновых углеводородов с тем же числом атомов углерода циклоалканы находятся в ассоциированном состоянии при более высокой температуре. Число молекул в ассоциате от 2 до 4-5 в зависимости от температуры и строения.

 

3.3 Ароматические углеводороды


В большинстве случаев арены по содержанию в нефти уступают алканам и циклоалканам. Арены представлены в нефтях различными гомологическими рядами: моноциклические углеводороды ряда бензола; бициклические - ряда нафталина; три- и тетра - циклические углеводороды.

Наиболее длинные боковые парафиновые цепи имеют моноциклические ароматические углеводороды: число углеродных атомов цепи С3-С12 и это может приводить к уменьшению степени ассоциации; затем - бициклические (С2-С7); наименьшее число атомов углерода в боковых парафиновых цепях (С1-С4) при кольцах полициклических ароматических углеводородов.

Арены, особенно полициклические, имеют повышенную склонность к ММВ. Полициклические ароматические углеводороды образуют двумерную (плоскостную) структуру и склонны к ММВ и в области высоких температур с образованием ССЕ.

 

3.4 Смолисто-асфальтеновые вещества


Смолисто-асфальтеновые вещества (САВ) - высокомолекулярные гетероциклические соединения. Их содержание в нефти может доходить до 25-50 % вес. Смолы - вещества, растворимые в низкокипящих алканах, в нафтеновых и ароматических углеводородах.

Асфальтены - вещества, растворимые в сероуглероде CS2 и в тетрахлоруглероде СС14, в ароматических углеводородах, но не растворимые в низкокипящих алканах.

Например, арланская нефть содержит асфальтенов 6 %, их протность r420=1.140, молекулярная масса 1700. Элементный состав, %: С=82.8; Н=8.22; N=2.27; S=5.42; О=1.29.

Таким образом, это две группы коллоидно-дисперсных веществ нефтей, различающихся по составу, строению, размерам частиц и свойствам.

Методом ЭПР установлено, что в молекулах САВ имеются неспаренные электроны. В конденсированных ароматических структурах неспаренный электрон может быть делокализован по всем связям молекулы САВ, что снижает их химическую активность.

Установлена экспоненциальная зависимость между содержанием свободных радикалов в САВ и степенью их ароматичности. По мере увеличения степени ароматичности в ряду масла ® смолы ® асфальтены ® карбоиды число свободных радикалов возрастает на 1 порядок и составляет от 1*1017 до 1.5*1020 на 1г вещества.

Асфальтены в нефтях могут находиться в молекулярном состоянии и в виде надмолекулярных структур, в состав которых входит до 5 и более молекул. На степень их ассоциации сильно влияет состав среды. При низких концентрациях асфальтенов (2 % - в бензоле и 16 % - в нафталине) они находятся в молекулярном состоянии и можно точно поределить их молекулярную массу. Полученное значение молекулярной массы порядка 2000.

При повышении концентрации асфальтенов формируются надмолекулярные структуры. В результате этого молекулярная масса асфальтенов возрастает до 4000 или 6000 в зависимости от числа молекул в ассоциате.

Молекулярная масса смол 460-1600 а.е.

Методами РСА, электронной микроскопии и др. найдены размеры надмолекулярных структурных образований асфальтенов, представляющих пачку из 5-6 молекул асфальтенов:

Диаметр ассоциата 8-15 А°,

Толщина 16-20 А°, (А°=10-10м).

Базисные плоскости асфальтенов, образованные конденсированными ароматическими ядрами, расположены беспорядочно на расстоянии 3.5 - 3.7А° друг от друга. Базисные плоскости связаны между собой силами Ван-дер-Ваальса.

Таким образом, в зависимости от степени ассоциации молекул асфальтенов в надмолекулярных структурах колеблется как молекулярная масса ассоциатов, так и их размеры.

Соотношение молекул асфальтенов и их надмолекулярных структур зависит от состава дисперсионной среды. Нефть представляет собой по отношению к асфальтенам смесь растворителей, лиофобных (метановые углеводороды и, возможно, нафтены) и лиофильных (ароматические УВ и, особенно, смолы).

Если дисперсионная среда (нефть) содержит растворители (углеводороды) хорошо растворяющие асфальтены, то они, как правило, не образуют ассоциатов. Если же дисперсионная среда лиофобна по отношению к асфальтенам, то в таких нефтях асфальтены образуют ассоциаты, которые коагулируют и выпадают в твердую фазу, если степень ассоциации асфальтенов высока. Часто это происходит еще в условиях залегания нефти в пласте (табл. 3.1.). Или они могут находиться в системе во взвешенном состоянии, если вязкость системы высока, а степень ассоциации асфальтенов низкая.

Таблица 3.1

Состав нефти, добытой из залежи пласта А4 Ильменевского месторождения и оставшейся в пласте после завершения разработки

Нефть

Содержание, %


Асфальтены

Смолы

Парафины

Сера

Добытая

1.70

10.30

5.70

1.40

Остаточная

26.36

14.23

6.24

1.66


По этой причине легкие нефти, бедные ароматическими углеводородами, содержат в растворенном состоянии лишь ничтожное количество асфальтенов, небольшое количество их находится иногда еще во взвешенном грубодисперсном состоянии. Напротив, тяжелые, богатые смолами нефти могут содержать значительное количество асфальтенов в виде устойчивого коллоидного раствора.

Таким образом, число молекул в ассоциате, равновесное состояние ассоциатов в дисперсионной среде обусловлено соотношением в ней различных групп углеводородов.

С повышением температуры асфальтеновые ассоциаты склонны к физическому и даже к химическому агрегированию.

Одни и те же соединения, из которых состоит нефть как дисперсионная среда, по разному влияют на поведение ассоциатов различной природы в нефтяной системе. Парафины, в отличие от асфальтенов, хорошо растворяются в парафиновых углеводородах, которые являются неполярными растворителями. Твердые парафины (С17-С36) лучше растворяются в высокомолекулярной части неполярных растворителей, чем в легких углеводородах, особенно при низких температурах.

Таким образом, степень полярности дисперсионной среды (растворителя) по разному влияет на размер различных по природе ассоциатов в нефтяной дисперсной системе, обусловливая различную концентрацию надмолекулярных структур в нефтях.

Область условий, при которых нефтяная система является молекулярной, зависит от ее химического состава. С ростом содержания смолисто-асфальтеновых соединений область молекулярного состояния постепенно вырождается и нефтяная система становится дисперсной при любых значениях давления и температуры. Так, сырым нефтям присуща исходная дисперсность, обусловленная наличием в них смолисто-асфальтеновых веществ.

Принципиально может быть три способа получения или возникновения нефтяных систем, содержащих ССЕ:

1. Удаление из системы углеводородов, являющихся растворителями надмолекулярных структур. Например, испарение легких фракций нефти при хранении. Тогда в остатке накапливаются высокомолекулярные компоненты (асфальтены, смолы, ароматические, парафиновые углеводороды), склонные к образованию сложных структур;

2. Введение в нефтяную систему специальных добавок, например, ПАВ и полициклических ароматических углеводородов. Аналогичная ситуация наблюдается при смешении нефти, содержащей значительные количества асфальтенов с нефтью парафинового основания. Парафины являются лиофобным растворителем по отношению к асфальтенам и это приведет к коагуляции последних и выпадению их из раствора.

В пластовых условиях в нефти в растворенном виде содержится значительное количество газообразных углеводородов от метана до пентана. Растворенные газы оказывают десольватирующее действие на ассоциаты асфальтенов, т.е. разрушают сольватную оболочку. Поэтому асфальтеновые ассоциаты теряют устойчивость и коагулируют, т.е. дисперсные частицы асфальтенов слипаются между собой, укрупняются. Это приводит к потере ценных составляющих нефти и снижению нефтеотдачи пласта (табл. 3.1).


Разгазирование нефти приводит к относительному возрастанию в нефти содержания ароматических углеводородов и, следовательно, к растворению в них дисперсных частиц, образованных асфальтенами. При этом вязкость нефти увеличивается.

1. Понижение или повышение температуры: при этом появляются надмолекулярные структуры, в результате чего система переходит из стабильного состояния в нестабильное. Наиболее чувствительны к температуре парафиновые ССЕ.

Приведенные примеры наглядно показывают, что степень дисперсности нефтяной системы, размеры ССЕ зависят от внешних условий, от степени воздействия внешних факторов. Под их влиянием происходит антибатное изменение размеров ядра и толщины сольватного слоя ССЕ (рис. 3.1). В зависимости от процессов целесообразно одни осуществлять при минимальных значениях размеров ядра ССЕ, а другие - при максимальных.

Можно проследить зависимость изменения параметров ССЕ, например, от растворяющей способности (т.е. состава) дисперсионной среды: нерастворитель ® плохой растворитель ® хороший растворитель, т.е. через растворяющую способность (РС) среды воздействовать (регулировать) на структурно-механическую прочность и устойчивость НДС, поскольку именно эти свойства существенно влияют на многие процессы переработки нефти, а также добычи и транспорта.

Изменение РС среды (переход от нерастворителя к хорошему растворителю) сопровождается следующими явлениями в нефтяной системе (рис.2).

Кривые изменения радиуса ядра (R) ССЕ (1) и толщины сольватного слоя (d) (2) носят антибатный характер. Между радиусом ядра ССЕ (1) и структурно-механической прочностью (4) и между толщиной сольватного слоя (2) и устойчивостью ССЕ (3) наблюдается четкая связь. Все кривые связаны друг с другом.

Повышение РС среды (нерастворитель - плохой растворитель) приводит к уменьшению радиуса ядра ССЕ и одновременному увеличению толщины сольватного слоя до максимального значения. В точке максимума, когда скорость формирования сольватных оболочек равна скорости их разрушения, НДС имеет максимальную устойчивость против расслоения системы на фазы. Это объясняется тем, что в этой точке ассоциаты имеют максимальную толщину сольватной оболочки, следовательно, минимальную плотность, что уменьшает движущую силу процесса расслоения: разность плотностей частицы и среды (закон Стокса). Наличие толстой прослойки между частицами ассоциатов приводит к снижению взаимодействия между ними и, следовательно, структурно-механической прочности системы, первый минимум на кривой 4.

При дальнейшем повышении РС среды (от плохого растворителя к хорошему) она начинает оказывать интенсивное действие на сольватный слой. Результатом этого является оттягивание части растворяющей силы сольватного слоя для компенсации увеличивающейся РС среды и возрастание радиуса ядра ССЕ.

При утонении сольватного слоя на поверхности ассоциатов повышается нескомпенсированность поверхностной энергии, система становится неустойчивой. После полного удаления сольватного слоя дисперсионная среда начинает взаимодействовать непосредственно с ядром надмолекулярной структуры, обусловливая ее полное разрушение при некотором значении РС, когда ССЕ полностью переходит в состояние молекулярного раствора с бесконечной устойчивостью против расслоения (система термодинамически устойчива).

Примером проявления свойств нефти как дисперсной системы служит следующая ситуация. Дебит скважины могут ограничивать факторы, связанные с физико-химическими свойствами потока, движущегося в условиях изменяющегося давления и температуры. К ним относятся: песчаные пробки, образующиеся в результате скрепления частиц вяжущими компонентами нефти, АСПО, кристаллогидраты природных газов и др.

Все эти явления связаны с фазообразованием, изменением размеров дисперсной фазы, расслоением дисперсной системы. Чтобы их предотвратить, следует повысить устойчивость нефти против расслоения путем регулирования межмолекулярных взаимодействий внешними воздействиями, например, введением различных добавок.

Так, для предотвращения нежелательного выпадения парафинов и асфальтенов на поверхность скважины можно применить подачу на забой активатора - концентрата ароматических углеводородов. В результате изменения баланса сил ядро ССЕ диспергируется, тем самым повышается устойчивость дисперсной системы против расслоения и происходит вынос асфальтенов и парафинов вместе с потоком флюидов на поверхность.

Другой пример. Добыча нефти на Чкаловском месторождении осуществляется из двух горизонтов: юрского и М-горизонта (палеозойского). Юрская нефть типична для Томской области, а нефть палеозойского - уникальна по своим реологическим свойствам, обусловленным высоким содержанием парафина: 20-38 % в зависимости от скважины. Смол и асфальтенов, соответственно, 0,56 % и 0,43 % (1992 г.), т.е. очень мало, а в 1994 г. их не обнаружили совсем. Температура застывания нефти М-горизонта +12 - +18оС, динамическая вязкость - 7,98 мПа*с. Температура застывания юрской нефти: -25оС, динамическая вязкость - 1,65 мПа*с.

Вязкость палеозойской нефти очень высокая, а при +12 - +18оС свойство текучести утрачивается полностью из-за образования структуры парафиновых ассоциатов. Как перекачивать такую нефть? Выход был найден в смешении палеозойской и юрской нефтей с соотношении 1:9, т.е. изменили соотношение структурирующихся и неструктурирующихся компонентов. Вязкость системы составила 1,885 м2/с. Но при температуре ниже 20оС неньютоновские свойства остаются.

Между дисперсностью и макроскопическими свойствами нефтяной дисперсной системы существует связь, выражаемая полиэкстремальными зависимостями (рис. 3.2). Такие зависимости позволяют подбирать оптимальные сочетания внешних воздействий для целенаправленного изменения коллоидно-химических и реологических свойств нефтей.

Рис. 3.2. Зависимость кинематической вязкости (а) и температуры застывания (б) смеси песцовой и западно-сибирской нефти от содержания песцовой нефти в смеси

Оптимизация процессов транспорта нефтяных систем связана с проблемой уменьшения гидравлического сопротивления. Принципиально новые решения возможны путем целенаправленного воздействия на нефтяные системы перед и в процессе транспорта.

На рис. 3.2 представлена полиэкстремальная зависимость вязкости и температуры застывания нефтяной смеси от соотношения исходных нефтей. При транспорте в условиях переменных термобарических параметров нефть претерпевает многократные изменения структуры, результатом является изменение степени дисперсности и свойств поверхностных слоев, разделяющих объемную фазу и поверхность трубопроводов.

Известно, что при переходе к развитому турбулентному течению происходит резкое изменение скорости потока при переходе от пристеночной области к объемной. Физико-химический механизм действия добавок связан ламинаризацией турбулентного потока, изменением его структуры, уменьшением интенсивности поперечных турбулентных пульсаций и поперечного переноса импульса при одновременном увеличении толщины пристенного слоя.

Более "массивные" дисперсные частицы отстают от потока, мигрируют в поперечном направлении и скапливаются вблизи поверхности раздела. В нефтяной системе такими "массивными" частицами являются высокомолекулярные смолисто-асфальтеновые соединения. Этот эффект ведет к концентрационному перераспределению компонентов по радиусу трубы и, соответственно, к дополнительному уменьшению устойчивости системы.

Регулирование гидродинамических параметров путем управления физико-химическими характеристиками транспортируемой нефтяной системы позволило бы значительно увеличить пропускную способность нефтепроводов.

При изучении процессов извлечения нефти из пласта исходят из того, что нефть рассматривают как некое физическое тело с усредненными параметрами, взаимодействующее с породой. И именно хороктеристики породы определяют коэффициент нефтеотдачи пласта. На первый взгляд это вполне очевидно: порода имеет постоянные характеристики: проницаемость, пористость, неоднородность капилляров, удельная поверхность, смачиваемость и т.д., в то время как характеристики нефти переменчивы и в большой степени зависят от внешних условий. Вместе с тем, на природу и эффективность контакта нефти с породой, безусловно, влияют особенности свойств нефти, обусловленные ее дисперсным состоянием в породе, и игнорирование этого влияния может привести к серьезному методическому просчету и, как следствие, к снижению результативности методов повышения нефтеотдачи.

В силу развитой поверхности пор важным коллоидно-химическим фактором, влияющим на эффективность добычи нефти, является строение и толщина слоев нефти на границе с коллекторными породами. Граничный слой толщиной порядка нескольких микрометров представляет собой дисперсную систему, по строению и свойствам отличную от объемной фазы нефти, которая характеризуется собственной дисперсностью. Неоднородность дисперсного строения породы и дисперсность нативной нефти осложняют решение, казалось бы, очевидной задачи - регулирование толщин граничных слоев в соответствии с размерами капилляров породы. Исходя из того, что большая доля нефти не может быть извлечена на дневную поверхность и находится в гранично-связанном состоянии, проблему повышения коэффициента нефтеотдачи можно решить, связав ее именно с регулированием толщины граничных слоев нефти.


Толщины граничных слоев меняются экстремально в зависимости от природы, концентрации и степени дисперсности вытесняющих реагентов. Так, под влиянием ПАВ происходит почти двухкратное изменение толщин граничных слов нефти (рис. 3.3). Растворы ПАВ, полимеров, легкие углеводороды и другие реагенты, применяемые для увеличения коэффициента нефтеотдачи, фактически оказывают воздействие на толщину граничных слоев, что ведет к регулированию вязкости, угла смачивания и поверхностного натяжения на макроскопическом уровне.

Таким образом, достижение высоких показателей процессов добычи, транспорта и переработки нефти возможно путем установления оптимальных соотношений между параметрами внешнего воздействия на нефтяную дисперсную систему в области экстремумов нелинейных эффектов.

Итак, в общем случае в результате слабых взаимодействий ВМС и НМС происходит физическое агрегирование молекул ВМС с образованием надмолекулярных структур и ССЕ. В нефтяной системе при данных условиях углеводородные и не углеводородные соединения образуют: сильноструктурированную (надмолекулярную), слабоструктурированную (сольватные оболочки) и неструктурированную (дисперсионная среда) части. Между ними устанавливается обратимое динамическое равновесие. Для изменения равновесия необходимо изменить энергию нефтяной системы.

На стадии слабых взаимодействий надмолекулярные структуры формируются за счет сил Ван-дер-Ваальса. В зависимости от природы ВМС нефти и величины сил взаимодействия молекул для каждого вида ВМС образуется свой тип надмолекулярных структур, обладающих определенными физико-химическими свойствами (асфальтеновый, парафиновый и др. ассоциаты).

В зависимости от температуры возможно существование трех состояний нефтяных дисперсных систем: молекулярные растворы, обратимо структурированные жидкости и необратимо структурированные жидкости.

Процессами физического агрегирования можно управлять изменением сделующих факторов:

·   Отношение структурирующихся компонентов к неструктурирующимся;

·   Температура;

·   Давление;

·   Растворяющая сила среды;

·   Степень диспергирования ассоциатов, применяя механические способы, электрические и магнитные поля и др.

4. ФИЗИКО-ХИМИЧЕСКИЕ СВОЙСТВА НЕФТИ

Физико-химические свойства нефтей в пластовых условиях значительно отличаются от свойств дегазированных нефтей. Отличия обусловлены влиянием высоких пластовых давлений, температур и содержанием растворенного газа, количество которого может достигать до 400 нм3 на 1 м3 нефти.

При проектировании систем разработки нефтяных месторождений, подсчете запасов нефти и попутного газа, подборе технологий и техники извлечения нефти из пласта, а также выборе и обосновании оборудования для сбора нефти на промыслах определен перечень основных свойств нефтей пластовых и дегазированных, которые обычно изучаются по глубинным пробам, отбираемым с забоя скважины. Разберем их подробнее.

4.1 Плотность нефти

Плотность характеризует количества покоящейся массы, выраженной в единице объёма, [г/см3; кг/м3]:

ρ = m / v.                      (4.1)

Для определения плотности используют специальные приборы плотномеры (нефтеденсиметр, ареометр), принцип действия которых основан на законе Архимеда.

Под относительной плотностью (ρо) понимают отношение величин абсолютной плотности нефти (ρн) к плотности воды (ρВ), определенной при 4оС:

ρо = ρн / ρВ.                          (4.2)

Величины плотность нефти (ρн) и удельный вес нефти (dн) не всегда совпадают. Под удельным весом понимается отношение веса нефти к весу воды того же объёма.

Обычно плотность сепарированных нефтей колеблется в пределах 820-950 кг/м3. По величине плотности нефти условно разделяют на три группы: легкие (820-860), средние (860-900) и тяжелые с плотность 900-950 кг/м3. Цифры в скобках характеризуют интервалы распределения функции плотности для нефтей месторождений Западной Сибири.

Чем меньше плотность нефти, тем выше выход светлых фракций. С возрастанием температуры плотность нефтей дегазированных (сепарированных) уменьшается. Зависимость плотности нефти (ρ, кг/м3) от температуры (Т, оС) оценивается выражением:

ρ(Т) = ρ20 · [1 + ζ (20 - Т)],            (4.3)

где ρ20 - плотность нефти при 20оС;

ζ - коэффициент объёмного расширения (табл. 4.1).

Таблица 4.1

Значения коэффициента объёмного расширения

ρ, кг/м3

ζ, 1/оС

ρ, кг/м3

ζ, 1/оС

800-819

0,000937

900-919

0,000693

820-839

0,000882

920-939

0,000650

840-859

0,000831

940-959

0,000607

860-879

0,000782

960-979

0,000568

880-899

0,000738

980-999

0,000527


Рассмотрим пример. Плотность нефти при температуре 20оС (ρ20) равна 870 кг/м3. Какова плотность этой же нефти при температуре 10оС?

Решение. Воспользуемся выражением (4.3) получим:

Ρ10 = 870 · [1 + 0,000782 (20 - 10)] = 876,8 кг/м3.

Несмотря на то, что все нефти являются слабо сжимаемыми жидкостями, при увеличении давления плотности нефтей возрастают, а при уменьшении - уменьшаются, хотя эти изменения малы по сравнению с их номинальными значениями.

Изменение плотности нефти при изменении давления можно оценить, используя зависимости:

ρ (Р) = ρ20 · [1 + β · (Р - 1)]            (4.4)

или

ρ (Р) = ρ20 · [1 + (Р - 1) / К],                    (4.5)

где ρ20 - плотность нефти при стандартных условиях;

β - коэффициент сжимаемости нефти, 1/Па;

К - модуль упругости нефти, Па.

Среднее значение коэффициента сжимаемости нефти (β) составляет 0, 00078 МПа-1, среднее значение модуля упругости нефти (К =1/β) составляет ≈ 1,3 · 109 Па.

Рассмотрим пример. Плотность нефти при давлении 0,1 МПа равна 870 кг/м3. Какова будет плотность этой же нефти при давлении 6,0 МПа, если температура не изменяется?

Решение. Воспользуемся формулой (4.5) и получим:

Ρ6,0 = 870 · [1 + (6,0 - 0,1) · 106 / 1,3 · 109] ≈ 874 кг/м3.

Плотность пластовой нефти зависит от состава нефти, пластовых давлений (рис. 4.1) и температур, количества растворённого газа.

С увеличением пластового давления плотность нефтей уменьшается до давления равного давлению насыщения, за счет увеличения количества растворенного в ней газа. Эта закономерность значительна при насыщении нефти углеводородными газами.

С увеличением количества растворенного углеводородного газа величина плотности уменьшается. Однако, не все газы, растворяясь в нефти, одинаково влияют на величину её плотности. Плотность нефтей при насыщении азотом или углекислым газом несколько возрастает с увеличением давления.

Рис. 4.1. Изменение плотности пластовой нефти в зависимости от давления

С повышением температуры в области давлений меньше давления насыщения плотность пластовых нефтей будет возрастать.

В залежи величина плотности возрастает от купола к крыльям и к подошве, что объясняется функцией распределения растворенного газа.

4.2 Вязкость нефти

Вязкость - важнейшее технологическое свойство нефтяной системы. Величина вязкости учитывается при оценке скорости фильтрации в пласте, при выборе типа вытесняющего агента, при расчете мощности насоса добычи нефти и др.

Нефть - неидеальная система.

С точки зрения химии углеводороды и гетероатомные соединения взаимодействуют друг с другом, за счет физического, Ван-дер-Ваальсов-ского взаимодействия - кулоновское, диполь-дипольное, ориентационное, индукционное, дисперсионное.

С точки зрения математики все наблюдаемые макропараметры нефтяных систем нельзя рассчитывать по принципу аддитивности. Параметр вязкость наиболее тесно отражает эти взаимодействия и коррелирует со степенью их проявления.

Вязкость (абсолютная, динамическая) характеризует силу трения (внутреннего сопротивления), возникающую между двумя смежными слоями внутри жидкости или газа на единицу поверхности при их взаимном перемещении (рис. 4.2).

Динамическая вязкость определяется по уравнению Ньютона:

,                   (4.6)

где А - площадь перемещающихся слоёв жидкости или газа (рис. 4.2);

F - сила, требующаяся для поддержания разницы скоростей движения между слоями на величину dv;

dy - расстояние между движущимися слоями жидкости (газа);

dv - разность скоростей движущихся слоёв жидкости (газа).

μ - коэффициент пропорциональности, абсолютная, динамическая вязкость.

Рис. 4.2. Движение двух слоёв жидкости относительно друг друга

Размерность динамической вязкости определяется из уравнения Ньютона:

-        система СИ - [Па×с, мПа×с];

-       система СГС - [пуаз (пз), сантипуз (спз)] = [г/ (см×с)].

С вязкостью связан параметр - текучесть (j) - величина обратная вязкости:

.            (4.7)

Кроме динамической вязкости для расчётов используют также параметр кинематическую вязкость - свойство жидкости оказывать сопротивление перемещению одной части жидкости относительно другой с учётом силы тяжести.

.                (4.8)

Единицы измерения кинематической вязкости:

система СИ - [м2/с, мм2/с];

система СГС - [стокс (ст), сантистокс (сст)]; 1сст =1·10-4 м2/с.

Вязкость сепарированной нефти с возрастанием температуры уменьшается, а с возрастанием давления увеличивается.

С увеличением молекулярного веса фракции, температурного интервала выкипания фракции, плотности величина вязкости возрастает .

Вязкость нефти уменьшается с повышением количества углеводородного газа растворенного в ней, и тем больше, чем выше молекулярная масса газа (рис. 4.3).

При увеличением молекулярной массы углеводородного компонента от СН4 к С4Н10, растворенного в нефти вязкость нефтей будет уменьшаться, за счет увеличения доли неполярных соединений (газ идеальная система).

Однако не все компоненты газа подчиняются такой закономерности. С увеличением количества азота растворенного в нефти вязкость нефтей в пластовых условиях будет возрастать.

С увеличением молекулярной массы жидкого углеводородного компонента от С5Н12 и выше, растворенного в нефти вязкость нефтей будет возрастать, за счет увеличения доли полярных компонентов (нефть неидеальная система).

Рис. 4.3. Изменение вязкости нефти Балаханского месторождения при насыщении ее газом

Вязкость смесей аренов больше вязкости смесей алканов. Поэтому, нефти с высоким содержанием ароматических углеводородов более вязкие чем нефти парафинового основания

Чем больше в нефти содержится смол и асфальтенов (больше полярных компонентов), тем выше вязкость.

Вязкость "сырых" нефтей больше вязкости сепарированных.

Как правила, величина вязкости нефти коррелирует с величиной плотностью или удельным весом нефти.

Вязкость пластовой нефти всегда значительно отличается от вязкости сепарированной нефти, вследствие большого количества растворённого газа, содержащегося в ней, пластовых температур.

Повышение температуры вызывает уменьшение вязкости нефти (рис. 4.4. а). Повышение давления, ниже давления насыщения приводит к увеличению газового фактора и, как следствие, к уменьшению вязкости. Повышение давления выше давления насыщения для пластовой нефти приводит к увеличению величины вязкости (рис. 4.4. б).

Минимальная величина вязкости имеет место, когда давление в пласте становится равным пластовому давлению насыщения (рис. 4.4. б).

По данным Г.Ф. Требина вязкость нефти в пластовых условиях различных месторождений изменяется от сотен мПа×с до десятых долей мПа×с (около 25 % залежей), от 1 до 7 мПа×с (около 50 % залежей) и от 5 до 30 мПа×с (около 25 %).

Рис. 4.4. Изменение вязкости пластовой нефти от температуры (а) и давления (б)

Однако известны месторождения нефти, вязкость которых в пластовых условиях достигает значительной величины: Русское месторождение Тюменской области (μ ≈ 700-800 мПа×с), залежи Ухтинского месторождения Коми (μ ≈ 2300 мПа×с), пески оз. Атабаска в Канаде.

В пластовых условиях вязкость нефти может быть в десятки раз меньше вязкости сепарированной нефти.

4.3 Реологические свойства нефтий

Вязкость влияет на реологические свойства нефтей.

Реология - наука, изучающая механическое поведение твердо-жидкообразных тел, структурно-механические свойства нефтей.

В уравнении 3.7 координату скорости (dv) можно представить как dx /dt, где x - длина пути в направлении скорости движения v, а t - время. Величина dx/dy характеризует сдвиг (γ) слоев, деформацию. Соотношение F/A - есть величина касательного напряжения (τ), развиваемое в движущихся слоях жидкости. Тогда, для ньютоновских жидкостей уравнение Ньютона можно записать:

dγ/dt = τ/μ.           (4.9)

Уравнение 4.9, описывающее связь между касательным напряжением (τ) и скоростью сдвига (dγ/dt), называется реологическим.

У ньютоновских жидкостей скорость сдвига пропорциональна касательному напряжению (давлению) и обратно пропорциональна вязкости жидкости (рис. 4.5). По аналогии с законом Гука: упругое поведение характеризуется пропорциональностью между напряжением и деформацией сдвига.

Вязкость ньютоновской жидкости (μ) зависит только от температуры, давления.


Вязкость неньютоновской жидкости (μ) зависит от температуры, давления, скорости деформации сдвига и времени нахождения в спокойном состоянии.

Реологические характеристики нефтей в значительной степени определяются содержанием в них смол, асфальтенов и твердого парафина.

Вязкопластичное течение жидкости описывается уравнением Бингама:

τ = τо + μ* (d γ/dt),                         (4.10)

где τо - динамическое напряжение сдвига;

μ* - кажущаяся вязкость пластичных жидкостей, равная угловому коэффициенту линейной части зависимости dγ/dt = ƒ(τ).

Движение вязкопластичных нефтей аппроксимируется степенным законом зависимости касательного напряжения (τ) от модуля скорости деформации (dγ/dt):

τ = К(dγ/dt)n,                (4.11)

где К - мера консистенции жидкости;

n - показатель функции.

С увеличением вязкости величина консистенции жидкости возрастает. Линии консистентности для различных типов реологически стационарных неньютоновских жидкостей приведены на рис. 4.6.

При n = 1, уравнение 4.11 описывает течение ньютоновских жидкостей (рис. 4.6., кривая 3), проявляющие упругие свойства. К ньютоновским жидкостям относятся, растворы индивидуальных углеводородов, смеси углеводородов до С17, газоконденсатные системы, легкие нефти, молекулярные растворы.

При n < 1 поведение нефти соответствуют псевдопластикам (кривая 2) - упруго-пластичной жидкости. Примером могут служить нефти, компоненты которых склонны к образованию надмолекулярных структур, высокопарафинистые дегазированные нефти, высокополимерные буровые растворы и др.

При n > 1 поведение нефти соответствует дилатантной жидкости (кривая 4) - вязко-пластические жидкости. Примером могут служить буровые растворы, водные растворы полимеров для повышения нефтеотдачи, представляющие собой высокомолекулярные соединения со сложным строением молекул и др.

Реологическая кривая относится к бингамовским пластикам - пластическая жидкость.

В состоянии равновесия нефтяная система ведет себя как пластическая жидкость и обладает некоторой пространственной структурой, способной сопротивляться сдвигающему напряжению (τ), пока величина его не превысит значение статического напряжения сдвига (τо). После достижения некоторой скорости сдвига, нефть способна течь как ньютоновская жидкость. Примером пластической жидкости могут служить нефти с высоким содержанием парафина при температурах ниже температуры кристаллизации, аномально-вязкие нефти, с высоким содержанием асфальтенов, структурированные коллоидные системы, используемые для повышения нефтеотдачи пласта.

4.4 Газосодержание нефтей

От количества растворенного в нефти газа зависят многие ее свойства: плотность, вязкость и др. Свойства нефти в пластовых условиях будут существенно изменяться за счет растворения в ней нефтяного газа (Го):

Свойства нефти = f (Го),       Го = f (Тпл, Рпл, Рнас). (4.12)

Количество, которого зависит от пластовых температур (Тпл), давлений (Рпл) и от давления насыщения газонефтяных залежей.

Этот показатель в технологическом смысле называют газовым фактором:

Го = Vг/Vн,                           (4.13)

где Vг - объём выделившегося газа из объёма нефти (Vн) при н.у.

Соотношение (4.13) описывает величину полного газосодержания (Го). Величина газового фактора (Го) характеризует количество газа (в м3), содержащееся в 1 тонне нефти (в м3). Различают газовый фактор объёмный [м3/м3] и весовой [м3/т]. Величина его определяет запасы попутного газа нефтяной залежи. Газовый фактор определяют по результатам разгазирования глубинных проб нефти.

В газонефтяных залежах может на 1 м3 нефти содержаться до 1000 м3 газа. Для газоконденсатных залежей на 1 м3 конденсата может приходиться до 900-1100 м3 газа (газоконденсатный фактор).

По данным Требина Г.Ф. около 50 % залежей из 1200 имеют газовый фактор от 25 до 82 м3/м3. То есть в 1 м3 нефти в пластовых условиях растворено от 25 до 82 м3 газа.

Для нефтяных месторождений Западной Сибири величина газового фактора изменяется в диапазоне от 35 до 100 м3/м3, для нефтегазовых залежей величина газового фактора может доходить до 250 м3/м3.

4.5 Давление насыщения нефти газом

Давление, при котором весь газ растворяется в жидкости (т.е. переходит в жидкое состояние), называется давлением насыщения нефти газом.

Если пластовое давление меньше давления насыщения, то часть газа находится в свободном состоянии, залежь имеет "газовую" шапку. Если пластовое давление больше давления насыщения, то говорят, что нефть "недонасыщена" газом и весь газ растворён в нефти. Давление насыщения может соответствовать пластовому давлению, при этом нефть будет полностью насыщена газом.

Давлением насыщения пластовой нефти называют максимальное давление, при котором газ начинает выделяться из нефти при изотермическом ее расширении в условиях термодинамического равновесия. Давление насыщения зависит от соотношения объёмов нефти и растворенного газа, их состава и пластовой температуры. С увеличением молекулярной массы нефти (плотности) этот параметр увеличивается, при всех прочих равных условиях. С увеличением в составе газа количества компонентов, относительно плохо растворимых в нефти, давление насыщения увеличивается. Особенно высоким давлением насыщения характеризуются нефти, в которых растворено значительное количество азота.

В пластовых условиях давление насыщения может соответствовать пластовому давлению (нефть полностью насыщена газом) или быть меньше его (нефть недонасыщена газом). Большинство месторождений Томской области и в целом Западной Сибири являются недонасыщенными залежами.

Пробы нефти, отобранные на одной и той же залежи, показывают часто разное давление насыщения. Это объясняется изменением свойств и состава нефти и газа в пределах залежи.

4.6 Сжимаемость нефти

Нефть, как и все жидкости, обладает упругостью, т.е. способностью изменять свой объём под действием внешнего давления. Уменьшение объёма характеризуется коэффициентом сжимаемости (b) или объёмной упругости:

.                    (4.14)

Коэффициент сжимаемости зависит от температуры (рис. 4.8), давления (рис. 4.9), состава нефти и газового фактора.







Нефти, не содержащие растворённого газа, обладают сравнительно низким коэффициентом сжимаемости (b ≈ 0,4-0,7 ГПа-1), а лёгкие нефти со значительным содержанием растворённого газа - повышенным коэффициентом сжимаемости (до 14 ГПа-1). Следовательно, с увеличением плотности нефти коэффициент сжимаемости уменьшается, а с увеличением количества растворенного углеводородного газа коэффициент сжимаемости нефти возрастает. Высокие коэффициенты сжимаемости свойственны нефтям, которые находятся в пластовых условиях, близких к критическим. Возрастание пластовой температуры вызывает увеличение коэффициентом сжимаемости.

4.7 Объёмный коэффициент нефти

С количеством растворённого газа в нефти также связан объёмный коэффициент b, характеризующий соотношение объёмов нефти в пластовых условиях и после отделения газа на поверхности при дегазации:

,          (4.15)

где Vпл - объём нефти в пластовых условиях;

Vдег - объём нефти при стандартных условиях после дегазации.

Увеличение пластового давления до давления насыщения приводит к увеличению количества растворенного в нефти газа и как следствие к увеличению величины объёмного коэффициента (рис. 4.10).

Рис. 4.10 Изменение объемного коэффициента нефти при изменении пластового давления

Дальнейшее увеличение пластового давления, выше давления насыщения будет влиять на уменьшение объёма нефти в пластовых условиях за счет ее сжимаемости, что приводит к уменьшению коэффициента сжимаемости. Точка б (рис. 4.10) отвечает состоянию, когда весь газ, находящийся в залежи сконденсировался и перешел в жидкое состояние и началу выделения газа из нефти и отвечает максимальному значению объёмного коэффициента нефти.

Объёмный коэффициент определяется по глубинным пробам. Для большинства месторождений величина b изменяется в диапазоне 1,07-1,3. Для месторождений Западной Сибири величина b колеблется от 1,1 до 1,2.

Используя объёмный коэффициент, можно определить усадку нефти (U), т.е. уменьшение объёма пластовой нефти при извлечении её на поверхность (в %):

,                 (4.16)

Усадка некоторых нефтей достигает 45-50 %.

Рассмотрим пример. Найти коэффициент изменения объёма насыщенной нефти газом в пластовых условиях, если плотность нефти (ρн) при 15°С равна 850 кг/м 3, а относительная плотность газа по воздуху (ρог) составляет 0,9 кг/л, газовый фактор (Го) равен 120 м3/т, давление пластовое (Рпл) 150 атм, пластовая температура (Тпл) 50 °С.

Решение. Пользуясь зависимостями рисунка 4.11, находим кажущуюся плотность газа (г.к.) для величин относительной плотности газа (ρог) равной 0,9 и плотности нефти (н) равной 850 кг/м3. Кажущая плотность растворенного газа (г.к) = 440 кг/м3 (0,44 кг/л).

Вес газа (Gг), растворенного в 1 м3 нефти оценивается по уравнению:


где Го - газовый фактор, м3/т = 120 м3/т;

н - плотность нефти, кг/м3 = 0,85 т/м3,

ог - плотность газа относительная = 0,9,в - вес 1 м3 воздуха при Р = 1 атм и Т = 15°С = 1,22 кг.

Вес газа составляет: Gг = 120 • 0,85 • 0,9 • 1,22 = 112 кг ([м3/т] • т/м3]•[кг]).

Рис. 4.11. Изменение кажущейся плотности газа в жидкой фазе для нефтей с различными плотностями

Объём газа в жидкой фазе оценивается:

= Gг/г.к = 112 кг / 440 кг/м3 = 0,254 м3

Общий объём насыщенной нефти газом при атмосферном давлении соответственно равен:нг = 1 + 0,254 = 1,254 м3

Вес насыщенной нефти газом определяется:нг = 850 кг + 112 кг = 962 кг

Плотность насыщенной нефти газом рассчитывается по уравнению:

нг = Gнг/Vнг = 962/1,254 = 767 (кг/м3).

Для оценки величины плотности нефти в пластовых условиях необходимо учесть еще две поправки: на изменение плотности за счет сжатия под давлением и на изменение плотности за счет расширения под влиянием температуры.

Поправку на сжимаемость нефти находим используя зависимости рисунка 3.12, для 150 атм р составляет 22 кг/м3.

Рис. 4.12. Изменение плотности нефти в зависимости от пластового давления

Поправку на расширение нефти за счет увеличения температуры (t) находим, используя зависимости рисунка 4.13 (цифры на зависимостях обозначают плотность нефти в кг/ м3 при 15,5оС):

= 860-850 = 10 кг/м3.

Таким образом, плотность нефти с учетом пластовых Р и T и насыщения ее газом составит:

'нг = нг + нг + t = 767 + 10 - 22 = 755 (кг/м3).

Коэффициент изменения объёма нефти, насыщенной газом для пластовых условий будет равен:

b = Vпл/Vдег,     b = дег/п = 850/755 = 1,126.

Рис. 4. 13. Изменение плотности нефтей в зависимости от температуры

То есть, каждый м3 нефти (н.у.) занимает в пластовых условиях объём 1,126 м3. Усадка нефти составляет:

U = (1,126 - 1)/1,126 = 0,11 или 11 %.

4.8 Тепловые свойства нефтей

Повышение температуры снижает вязкость нефти, увеличивает её текучесть. Количество энергии, которое необходимо затратить для нагревания аномольновязких или высокопарафинистых нефтей, зависит от их теплоёмкости.

Под теплоёмкостью понимается количество теплоты, которое необходимо передать единице массы этого вещества, чтобы повысить его температуру на 1° Цельсия или Кельвина. Для большинства нефтей величина теплоёмкости (с) лежит в пределах: 1500-2500 Дж/(кг·К) ≈ 350-600 кал/(кг·К). Теплоемкость пресной воды = 4190 Дж/(кг·К)

Для повышения температуры нефти объёма (V), c плотность. (ρ) от температуры (Т1) до значения (Т2) необходимо затратить количество (Q) энергии, равное:

Q =ρ · c · (Т2 - Т1) · V.          (4.17)

Однако величина теплоёмкости зависит от температуры, поэтому каждое её значение необходимо относит к определенной температуре или к интервалу температур.

Теплопроводность нефтей определяет перенос энергии от более нагретых участков неподвижной нефти к более холодным. Коэффициент теплопроводности (l) описывается законом теплопроводности Фурье и характеризует количество теплоты (dQ), переносимой в веществе через единицу площади (S) в единицу времени (t) при градиенте температуры (dT/dx), равном единице:

.           (4.18)

Коэффициент теплопроводности (l) для нефтей находится в интервале 0,1-0,2 Вт/(м·К).

Теплота сгорания характеризует количество тепла, выделившегося при сгорании 1 кг жидкости. Различают высшую (Qв) и низшую (Qн) теплоту сгорания. Высшая теплота сгорания - это количество тепла, выделившегося при сгорании 1 кг жидкости при наличии в ней влаги. Низшая теплота сгорания - это количество тепла, выделившегося при сгорании 1 кг жидкости за вычетом тепла направленного на испарения воды и влаги. С увеличением молекулярной массы газообразного углеводорода, влажности, молекулярной массы фракций теплота сгорания растет.

4.9 Электрические свойства нефтей

Нефть - диэлектрик. Диэлектрическая проницаемость (ε) показывает, во сколько раз взаимодействие между электрическими зарядами в данном веществе меньше, чем в вакууме, при прочих равных условиях. Теоретически считается, что если у вещества ε < 2,5, то вещество считается диэлектрик. Величины диэлектрической проницаемости изменяются в следующих диапазонах: для воздуха → 1 - 1,0006; для нефти → 1,86 - 2,38; для нефтяного газа → 1,001 - 1,015; для смол и асфальтенов → 2,7 - 2,8; для воды → 80 - 80,1.

С увеличением минерализации диэлектрическая проницаемость будет падать. Например, для растворов NaCl в воде при концентрации NaCl равной 5,6 % диэлектрическая проницаемость воды равна - 69,1, а при концентрации NaCl равной 10,7 % диэлектрическая проницаемость уменьшится до 59.

Электрические свойства зависят от содержания асфальто-смолистых веществ в нефти и с увеличением их содержания можно говорить и об электрической проводимости нефти. Величина удельной электропроводности (γ, ом·м-1) нефтей изменяется в диапазоне → 0,5 · 10-7-0,5 · 10-6; газоконденсатов и светлых нефтепродуктов → 10-10 - 10-16 [ом· м]-1.

4.10 Молекулярная масса

Молеккулярная масса - важнейшая характеристика нефти. Этот показательдает среднее значение веществ, входящих в состав той или иной фракций нефти и позволяет сделать заключение о составе нефтепродуктов. Он широко применяется для расчетов аппаратов подготовки и переработки нефтей. Молекулярная масса связана с температурой кипения продуктов и используется для определения молекулярной рефракции, парахора (эмпирическая зависимость, позволяющая охарактеризовать химический состав нефтяных фракций) и др.

Молекулярная масса узких - пятидесятиградусных - фракций различных нефтей с одинаковыми пределами перегонки имеет достаточно близкие значения. Определение молекулярной массы нефтепродуктов, как и индивидуальных веществ, проводят различными методами, что объясняется разнообразием свойств этих продуктов. Очень часто способ, пригодный для определения молекулярной массы одних продуктов, совершенно непригоден для других. В аналитической практике применяют криоскопический, эбуллиоскопический и реже осмометрический методы. Кроме того, существуют приближенные расчетные методы.

Наиболее распространенной эмпирической формулой для определения молекулярной массы нефтепродуктов является зависимость Воинова:

Мср = а + btср + ct2ср, (4.19)

где а, b, с - постоянные, различные для каждого класса углеводородов;

tср - средняя температура кипения нефтепродуктов, определяемая посоответствующим таблицам или номограммам.

Для алканов формула Воинова имеет вид:

Мср = 60 + 0,3 · tср, + 0,001·t2ср. (4.20)

для циклоалканов:

Мср = (7·К - 21,5) + (0,76 - 0,04·K) ·tср + (0,0003·K - 0,00245)· t2ср, (4.21)

где К - характеристический фактор, который колеблется в пределах 10,0- 12,5 (по данным Гурвича И.Л.).

Молекулярная масса связана с температурей кипения и показателем преломления:

lg М = 1,939436 + 0,0019764·tкип + lg (2,1500 - n22D), (4.22)

где tкип - средняя температура кипения фракции.

Расчет по этому уравнению дает довольно точные результаты. Для фракций с молекулярной массой 70-300 (керосин - легкие смазочные масла) можно использовать корреляцию: М -tкип. -ρ204. Для более узких тяжелых, фракций (240- 590) можно пользоваться зависимостью: М - n22D - tпл. Для нахождения молекулярной массы этими методами имеются номограммы.

4.11 Температура кристаллизации, помутнения, застывания

Образование пространственной структуры или просто выпадение в осадок отдельных компонентов при охлаждении нефтей и нефтепродуктов (например, кристаллизация парафинов в дизельных топливах и смазочных маслах) крайне нежелательно. Это явление создает серьезные трудности при эксплуатации горюче-смазочных материалов в условиях низких температур, вызывая образование пробок в трубопроводах, забивание фильтров, что приводит к отказам в работе двигателей.

Характер кристаллизации парафинов (церезинов) при охлаждении топлив и масел зависит от скорости зарождения кристаллизационных центров и скорости роста кристаллов. Чем ниже температура, тем выше скорость зарождения центров кристаллизации, но меньше скорость роста кристаллов. Поэтому обычно при относительно высоких температурах образуется небольшое число крупных кристаллов, а при низких температурах - много мелких. Кроме того, на кристаллизацию оказывают влияние свойства кристаллизующихся компонентов (температура и теплота плавления) и среды (вязкость); их растворимость в данной нефтяной фракции; наличие в составе нефтепродукта поверхностно-активных веществ и различных примесей; скорость охлаждения нефтепродукта, степень перемешивания и разность между температурой нефтепродукта и температурой насыщения.

Температура кристаллизации углеводородов, как правило, повышается по мере увеличения их молекулярной массы и температуры кипения. Наиболее высокая температура кристаллизации наблюдается у углеводородов с симметричным строением молекул. Сильно разветвленные алканы, а также содержащие несколько алкильных заместителей (моноциклические циклоалканы, арены и гомологи нафталина) не кристаллизуются, а переходят в аморфное состояние.

Обычно кристаллизация парафинов и церезинов наступает при более высоких температурах, чем те, при которых нефтепродукт теряет подвижность. Это объясняется тем, что структура, образуемая кристаллами парафина (церезина) при этих температурах, еще непрочна. Однако уже в этих условиях кристаллы парафина могут забивать топливные фильтры и создавать пробки в трубопроводах. Поэтому для эксплуатационных целей важно знать не только температуру застывания, но и температуру начала кристаллизации парафина.

Кристаллизация парафина сопровождается помутнением нефтепродукта. Появление "облаков" мелких кристаллов в массе нефтепродукта считается моментом помутнения. Температура, зафиксированная при этом, называется температурой помутнения. Это эксплуатационная характеристика. Ее определяют визуально, сопоставляя охлаждаемый нефтепродукт с прозрачным эталоном по ГОСТ 5066-56.

Температурой застывания считается температура, при которой охлаждаемая в пробирке фракция не изменяет уровня при наклоне пробирки на 45°С (ГОСТ 20287--74).

4.12 Температура вспышки, воспламенения и самовоспламенения

Температурой вспышки называется минимальная температура, при которой пары нефтепродукта образуют с воздухом смесь, способную к кратковременному образованию пламени при внесении в нее внешнего источника воспламенена (пламени, электрической искры и т. п.).

Вспышка представляет собой слабый взрыв, который возможен в строго определенных концентрационных пределах в смеси УВ с воздухом.

Различают верхний и нижний концентрационный предел распространение пламени. Верхний предел характеризуется максимальной концентрацией паров органического вещества в смеси с воздухом, выше которой воспламенение и горение при внесении внешнего источника воспламенения невозможно из-за недостатка кислорода. Нижний предел находится при минимальной концентрации органического вещества в воздухе, ниже которой количество теплоты, выделившееся в месте локального воспламенения, недостаточно для протекания реакции во всем объеме.

Температурой воспламенения называется минимальная температура, при которой пары испытуемого продукт при внесении внешнего источника воспламенения образую устойчивое незатухающее пламя. Температура воспламенения всегда выше температуры вспышки, часто довольно значительно - на несколько десятков градусов.

Температурой самовоспламенения называете минимальная температура, при которой пары нефтепродуктов смеси с воздухом воспламеняются без внешнего источника воспламенения. На этом свойстве нефтепродуктов основана pa6oта дизельных двигателей внутреннего сгорания. Температура самовоспламенения выше температуры вспышки на несколько сот градусов. Температура вспышки керосинов, дизельных топлив, смазочных масел, мазутов и других тяжелых нефтепродуктов характеризует нижний предел взрываемости. Температура вспышки бензинов, давление паров которых при комнатных температуpax значительно, обычно характеризует верхний предел взрываемости. В первом случае определение ведется при нагревании во втором - при охлаждении.

Как всякая условная характеристика, температура вспышки зависит от конструкции прибора и условий определения. Кроме того, на ее значение влияют внешние условия - атмосферное давление и влажность воздуха. Температура вспышки возрастает с увеличением атмосферного давления.

Температура вспышки связана с температурой кипения исследуемого вещества. Для индивидуальных углеводородов эта зависимость по Орманди и Кревину выражается равенством:

Твсп = К· Ткип, (4.23)

где Твсп - температура вспышки, К; К - коэффициент, равный 0,736; Ткип - температура кипения, К.

Температура вспышки - величина неаддитивная. Опытное ее
значение всегда ниже рассчитанного по правилам аддитивности
среднеарифметического значения температур вспышек компонентов, входящих в состав смеси. Это объясняется тем, что температура вспышки зависит главным образом от давления пара низкокипящего компонента, а высококипящий компонент служит передатчиком тепла. В качестве примера можно указать, что попадание даже 1 % бензина в смазочное масло снижает температуру вспышки от 200 до 170°С, а 6 % бензина снижают её почти вдвое.

Существуют два метода определения температуры вспышки- в приборах закрытого и открытого типа. Значения температуры вспышки одного и того же нефтепродукта, определенные в приборах различного типа, заметно различаются. Для высоковязких продуктов это различие достигает 50, для менее вязких 3-8°С. В зависимости от состава топлива значительно изменяются условия его самовоспламенения. С этими условиями, в свою очередь, связаны моторные свойства топлив, в частности, детонационная стойкость.

4.13 Оптические свойства

На практике для быстрого определения состава нефтепродуктов, а также для контроля за качеством продуктов при их производстве часто используют такие оптические свойства, как коэффициент (показатель) преломления, молекулярная рефракция и дисперсия. Эти показатели внесены во многие ГОСТы на нефтепродукты и приводятся в справочной литературе.

Показатель преломления - очень важная константа не только для индивидуальных веществ, но и для нефтепродуктов, являющихся сложной смесью различных соединений. Известно, что показатель преломления углеводородов тем меньше, чем больше в них относительное содержание водорода. Показатель преломления циклических соединений больше, чем алифатических. Циклоалканы занимают промежуточное положение между аренами и алканами (гексан 1,3749, циклогексан 1,4262, бензол 1,5011). В гомологических рядах показатель преломления возрастает с удлинением цепи. Наиболее заметные изменения наблюдаются у первых членов гомологического ряда, затем изменения постепенно сглаживаются. Однако имеются исключения из этого правила. Для циклоалканов (циклопентана, циклогексана и циклогептана) и аренов (бензола и его гомологов) наблюдается сначала уменьшение, а затем увеличение показателя преломления с возрастанием длины или числа алкильных заместителей. Например, показатель преломления бензола 1,5011, толуола 1,4969, этилбензола 1,4958, ксилолов 1,4958- 1,5054.

В гомологических рядах углеводородов наблюдается линейная зависимость между плотностью и показателем преломления. Для фракций циклоалканов существует симбатность изменения температуры кипения (молекулярной массы) и показателя преломления; чем выше температура кипения, тем выше показатель преломления. Кроме показателя преломления весьма важными характеристиками являются некоторые его производные, например, удельная рефракция:

1 = (nD - 1)/р == const (формула Гладстона - Даля), (4.24)

R2 = [(n2D - 1) / (n2D + 2)]·1/ р == const (формула Лорентц - Лоренца), (4.25)

где р - плотность продукта, измеренная при той же температуре, что и показатель преломления.

Произведение удельной рефракции на молекулярную массу называется молекулярной рефракцией. Молекулярная рефракция обладает аддитивностью для индивидуальных веществ. Кроме того, молекулярная рефракция равна сумме атомных рефракций. На основании большого числа экспериментальных данных было установлено, что удлинение молекулы на одну метиленовую группу (СН2) вызывает увеличение молекулярной рефракции на 4,6.

Показатель преломления исследуемого вещества зависит от длины волны падающего света. Наибольшее значение показатель преломления имеет для света с меньшей длиной волны и наоборот. Зависимость показателя преломления света от длины его волны для данного вещества характеризуется дисперсией (рассеянием) света.

Таблица 4.2

Длины волн некоторых линий атомных спектров

Источник света

Обозначение линии

Цвет линии

Длина волны, нм

Водородная трубка

С

Красный

656,3

Натриевая лампа

D

Желтый

589,3

Железная лампа

E

Зелёный

527,0

Водородная трубка

F

Голубой

486,1


G

Фиолетовый

434,1


Дисперсия, характерная для данного вещества, определяется разностью показателей преломления для двух лучей определенных длин волн: nλ1- n λ2. Обычно для этого берут лучи, отвечающие по длине волны наиболее ярким линиям атомных спектров некоторых элементов (табл. 4.2). В лабораторной практике чаще всего используют источник света с желтой натриевой линией D, а также водородные линии F и G. Разность nF - nG называется средней дисперсией, а отношение

[(np-nG)/(nD-l)]· 103 (4.26)

относительной дисперсией. Наконец, отношение

(np-nG)/ρ·104 (4.27)

называется удельной дисперсией. Удельные дисперсии аренов намного выше, чем насыщенных алканов и циклоалканов. Удельные дисперсии могут быть вычислены по правилу аддитивности. Это позволяет определять содержание аренов в бензине.

Ниже приведены значения удельной дисперсии УВ различных гомологических рядов:

Насыщенные углеводороды  99

Арены:

бензол        190,5

толуол        184,9

этилбензол, ксилолы    179,2

моноциклические         до 200

полициклические высококипящие до 465

Для измерения показателя преломления в используют главным образом два типа рефрактометров.

Рефрактометр Аббе (РЛУ и ИРФ-22). Предназначен для быстрого определения показателя преломления в пределах on 1,3 до 1,7 для линии D с точностью ±2-10-4. Для этих рефрактометров используют обычное дневное или электрическое освещение. Они снабжены компенсатором.

Рефрактометр Пульфриха (ИРФ-23). Предназначен для более точного определения показателя преломления в интервале 1,33·10-4 -1,78·10-4 и дисперсии с точностью до ±1,5· 10-5. В этом приборе используют монохроматические источники освещения со специальным осветительным устройством ОУ-1,

4.14 Различие свойств нефти в пределах нефтеносной залежи

Физические свойства и состав нефти в пределах одного и того же пласта не всегда остаются постоянными. Изменение свойств нефти зависит, в основном, от глубины залегания пласта.

В залежах, не имеющих выхода на поверхность и окруженных краевыми водами, плотность нефти и количество смол увеличиваются с глубиной залегания. Плотность нефти увеличивается от свода к крыльям залежи. В сводовой части залежи всегда больше газа. Ближе к зонам водонефтяного контакта происходят окислительные процессы, что увеличивает плотность нефти в приконтурных зонах.

Вязкость нефти увеличивается от купола свода к крыльям. Давление насыщения нефти газом и количество растворенного газа в единице объёма нефти уменьшается по направлению к водонефтяному контакту, а, следовательно, и объёмный коэффициент нефти уменьшается к крыльям складки.

Состав газа в куполе складки имеет больше азота, метана, этана, пропана приблизительно на 2 %, чем в крыльях. Бутановых углеводородов больше находится в крыльях.

Каждая залежь имеет свой комплекс причин изменения свойств нефти по пласту. Одним из методов исследования изменения свойств нефти по залежи является фотоколориметрия. В основе метода лежит способность раствора поглощать световой поток. Степень поглощения светового потока (колориметрические свойства нефти) зависят от содержания асфальто-смолистых веществ. Вместе с изменением содержания последних, в нефти изменяются ее вязкость, плотность и другие свойства. Поэтому по изменению колориметрических свойств нефти можно судить и об изменении других ее параметров. Зная начальное распределение свойств нефти по залежи и динамику изменения состава и свойств нефти, добываемых из скважин, можно, например, судить о направлениях движения нефти в пласте, устанавливать взаимосвязи нефтяных и нагнетательных скважин, оценивать продуктивность отдельных пропластков.

5. СВОЙСТВА НЕФТЯНОГО ГАЗА

Нефтяной газ - это идеальная система.

С точки зрения химии - идеальным называется газ силами взаимодействия между молекулами которого можно пренебречь.

С точки зрения термодинамики идеальным называется газ, для которого справедливы равенства:

(∂Е / ∂V)T = 0,     z = P·V/Q·R·T = 1,     (5.1)

где Е - внутренняя энергия парообразования, Дж/моль;

z - коэффициент, характеризующий степень отклонения реального газа от закона идеального газа.

С точки зрения математики - это аддитивная система. Следовательно, для оценки свойств нефтяного газа (при нормальных или стандартных условиях) применимы аддитивные методы расчётов физико-химических и технологических параметров (Псмеси):

,            (5.2)

Как аддитивную величину рассчитывают и плотность смеси газов:

,          (5.3)

где ρi - плотность i-го компонента;

Ni - мольная доля i-го компонента.

Относительная плотность газов рассчитывается по отношению к плотности воздуха, определенного при тех же условиях:

.                 (5.4)

При нормальных условий (н.у.) плотность воздуха (ρвозд) » 1,293; при стандартных условий (с.у.) - ρвозд » 1,205.

Если плотность газа (ρо) задана при атмосферном давлении = 0,1013 МПа, то пересчёт её на другое давление (Р) при той же температуре для идеального газа производится по формуле:

.            (5.5)

Молекулярная масса смеси рассчитывается по принципу аддитивности для смесей, состав которых выражен в мольных или объёмных долях по формуле 5.6 (левое выражение). Для смесей, состав которых выражен в массовых процентах по формуле 5.6 (правое выражение):

.                (5.6)

Вязкость газа характеризует способность газа оказывать сопротивление перемещению одной части газа относительно другой.

Различают динамическую вязкость (m) и кинематическую вязкость (n) газов. Кинематическая вязкость учитывает влияние силы тяжести. Вязкость углеводородного газа при нормальных условиях невелика и не превышает 0,01 сантипуаза (спз) ≈ 10 мкПа·с.

пуаз = 0,1 н·сек/м2 = 0,1 Па·с; 1 спз = 1 мПа·сек. = 1·103 мкПа·с.

Неуглеводородные компоненты природного газа: гелий, азот, углекислый газ, сероводород, воздух - более вязкие составляющие. Величина вязкости для них изменяется от 0,01 до 0,025 спз. При низких давлениях и температурах динамическая вязкость газа зависит от средней длины пробега молекул газа (), от средней скорости движения молекул () компонентов газа и от плотности газа:

,            (5.7)

где r - плотность газа;

 - средняя длина пробега молекулы;

 - средняя скорость молекул.

С возрастанием температуры средняя длина свободного пробега молекулы и средняя скорость движения молекулы увеличиваются, а, следовательно, и вязкость газа возрастает, несмотря на уменьшение плотности (рис. 5.1).

Повышение давления от 0,1 до 1 МПа (рис. 5.3) не влияет на величину вязкости газа, поскольку уменьшение средней длины пробега молекулы и средней скорости движения молекулы компенсируется увеличением плотности. Однако эти закономерности при давлениях выше 3,0 МПа (более 30 атм) изменяются.

Рис. 5.1. Зависимость коэффициента динамической вязкости нефтяного газа плотности 0,6 от температуры при различных давлениях

Рис. 5.2. Зависимость вязкости газов от давления при различных температурах

Газ приближается к области критических давлений и температур и переходит в жидкое состояние. Вязкость жидких систем описывается законом Ньютона и для нее характерны свои закономерности.

6. КЛАССИФИКАЦИИ НЕФТЕЙ

Важным показателем качества нефти является фракционный состав. Фракционный состав определяется при лабораторной перегонке, в процессе которой при постепенно повышающейся температуре из нефти отгоняют части - фракции, отличающиеся друг от друга пределами выкипания.

Фракционный состав нефти показывает содержание в ней различных фракций, выкипающих в определенных температурных интервалах, и отражает содержание соединений в них.

Фракцией называется доля нефти, выкипающая в определенном интервале температур. Нефти выкипают в очень широком интервале температур, в основном, от 28 до 520-540°С. Фракционный состав нефти определяется стандартным методом (ГОСТ 2177-82) по результатам лабораторных испытаний при разделении соединений по температурам кипения методом фракционирования (разгонки) нефти, отгона или смеси соединений на установках АВТ (атмосферно-вакуумная трубчатка).

Началом кипения фракции считают температуру падения первой капли сконденсированных паров.

Концом кипения фракции считают температуру, при которой испарение фракции прекращается.

Различают следующие основные фракции нефти:

-   28-180°С - широкая бензиновая фракция;

-       140-200°С - уайт-спирит;

-       180-320°С - широкая керосиновая фракция;

-       150-240°С - осветительный керосин;

-       180-280°С - реактивное топливо;

-   140-340°С - дизельная топливо (летнее);

-       180-360°С - дизельная топливо (зимнее);

-       350-500°С - широкая масляная фракция;

-       380-540°С - вакуумный газойль.

Под групповым составом нефти (фракции) понимают количественное соотношение в ней отдельных групп УВ, гетероатомных соединений.

На ранних этапах развития нефтяной промышленности определяющим показателем качества продуктов была плотность. В зависимости от плотности нефти подразделяли на легкие (ρ1515 < 0,828), утяжеленные (ρ1515 = 0,828 - 0,884) и тяжелые (ρ1515 > 0,884). В легких нефтях содержится больше бензиновых фракций, относительно мало смол и серы. Из нефтей этого типа вырабатывают смазочные масла высокого качества. Тяжелые нефти характеризуются высоким содержанием смол; чтобы получить из них масла, необходимо применять специальные методы очистки - обработку избирательными растворителями, адсорбентами и т. п. Однако тяжелые нефти - наилучшее сырье для производства битумов. Классификация нефтей по плотности приблизительна, а на практике известны случаи, когда описанные выше закономерности не подтверждались.

Горным бюро США была предложена так называемая химическая классификация нефтей, в основу которой положена связь между плотностью и углеводородным составом нефтей. Недостатки этой классификации - в известной условности границ плотностей характерных фракций и в том, что обозначения отдельных классов не отражают действительного состава нефти.

Классификация, отражающая химический состав нефти, предложена Грозненским нефтяным научно-исследовательским институтом (ГрозНИИ). В основу этой классификации положено преимущественное содержание в нефти какого-либо одного или нескольких классов углеводородов.

Различают нефти: парафиновые, парафино-нафтеновые, нафтеновые, парафино-нафтено-ароматические, нафтено-ароматические, ароматические.

В парафиновых нефтях все фракции содержат значительное количество алканов: бензиновые - не менее 50 %, масляные- 20 % и более. Наиболее типичными парафиновыми нефтями являются нефти полуострова Мангышлак (Узеньская, Жетыбайская).

В парафино-нафтеновых нефтях содержатся наряду с алканами в заметных количествах циклоалканы, содержание аренов невелико. Как и в чисто парафиновых нефтях, в нефтях этой группы мало смол и асфальтенов. К группе парафино-нафтеновых относятся нефти наиболее крупных месторождений Волго-Уральского бассейна и Западной Сибири.

Для нафтеновых нефтей характерно высокое (до 60 % и более) содержание циклоалканов во всех фракциях; алканов в этих нефтях мало, смолы и асфальтены имеются также в ограниченном количестве. К нафтеновым относятся нефти, добываемые в Баку (Балаханская и Сураханская), на Эмбе (Доссорская и Макатская), в Майкопе..

В парафино-нафтено-ароматических нефтях УВ всех трех классов содержатся примерно в равных количествах,.твердых парафинов мало (не более 1,5 %), а количество смол и асфальтенов достигает 10 %.

Нафтено-ароматические нефти характеризуются преимущественным содержанием циклоалканов и аренов, в особенности в тяжелых фракциях. Алканы имеются только в легких фракциях, причем в небольшом количестве. Содержание твердого парафина в нефти не превышает 0,3 %, а смол и асфальтенов - 15-20 %.

Ароматические нефти характеризуются высокой плотностью; во всех фракциях этих нефтей содержится много аренов. К ароматическим нефтям относятся нефть Прорвинского месторождения в Казахстане, Бугурусланская в Поволжье.

Наметкин С. С. и Добрянский А. Ф. предложили свою классификацию нефтей. Группирование нефтей проводилось по 14 признакам, выделяли 7 классов нефтей, различающихся концентрацией алканов.

Близкие схемы классификации предложены Н. Б. Вассоевичем. Из выделяемых классов УВ в природе встречается небольшое число. Канторович А. Э. предлагает выделять четыре основных типа нефтей: А - алкановый парафинистый; В - алкановый малопарафинистый: С - циклано-алкановый и D - циклановый.

В начале 60-х годов разработаны новые аналитические методы, изменившие представление о составе и строении нефтяных углеводородов, и позволившие уточнить принципы и методы классификации нефтей. В нефтях было обнаружено большое число (свыше 500) реликтовых углеводородов (хемофоссилий).

Было предложено все углеводороды нефти условно разделить на две основные группы: преобразованные углеводороды; реликтовые углеводороды. К реликтовым углеводородам относятся нормальные и изопреноидные алканы, циклические изопреноиды - стераны, тритерпаны и пр.

В свою очередь, реликтовые углеводороды нефтей можно разбить на -углеводороды изопреноидного и неизопреноидного типа.

Группа изопреноидных реликтовых углеводородов в нефтях состоит из значительно большего числа различных соединений, чем группа неизопреноидных углеводородов. Реликтовые углеводороды неизопреноидного типа представлены в основном алифатическими соединениями, а изопреноидного типа - алифатическими и алициклическим углеводородами с числом циклов в молекуле от одного до пяти. Важнейшим свойством реликтовых УВ нефти является их гомологичность. Выделяют гомологические ряды 2-метилалканов, 3-метилалканов, 4-метил-алканов, 1-метил-2-алкилцикло-гексанов, 1-метил-З-алкилцикло-гексанов и т. п.

Петров Ал. А. исследовал методами газожидкостной хроматографии и масс-спектрометрии около 400 нефтей практически всех крупных нефтегазоносных бассейнов бывшего Советского Союза. Все исследованные нефти (табл. 6.1) были отнесены к категориям А и Б.

К категории А относят нефть в том случае, если на хроматограммах фракции 200-430°С проявляются в аналитических количествах пики н-алканов. На хроматограммах этой фракции нефтей категории Б пики н-алканов отсутствуют. В свою очередь, в зависимости от относительного содержания нормальных и изопреноидных углеводородов в нефтях категории А и от наличия или отсутствия изопреноидных углеводородов в нефтях категории Б, нефти каждой категории разделяют на два подтипа: А1, А2, Б1, Б2.

Таблица 6.1.

Групповой состав нефтей различных химических типов

(фракция 200-430 °С)

Тип

Алканы

Цикло- алканы

Арены


Сумма

Н-строения

Разветвлённые



А1

15-60 (25-50)

5-25 (8-12)

0,05-6,0 (0,5-3)

15-45 (20-40)

10-70 (20-40)

А2

10-30 (15-25)

0,5-5 (1-3)

1,0-6,0 (1,5-3)

20-60 (35-55)

15-70 (20-40)

Б1

4-10 (6-10)

-

-

20-70 (50-65)

25-80 (25-50)

Б2

5-30 (10-25)

0,5

0,5-6,0 (0,2-3)

20-70 (35-55)

20-80 (20-45)

Цифры в скобках означают преимущественно встречающееся содержание УВ

Нефти типа А1 соответствуют нефтям парафинового и нафтено-парафинового основания. Содержание суммы алканов во фракции 200-430°С 15-60 %. Для этого типа характерно высокое содержание н-алканов (5-25 % на исследуемую фракцию). Общее содержание циклоалканов в нефтях типа А1 несколько меньше, чем алканов. Циклоалканы в основном представлены моно- и бициклическими соединениями, причем содержание моноциклоалканов часто равно или больше содержания бицикланов. Нефти этого типа наиболее распространены в природе и встречаются во всех нефтегазоносных бассейнах бывшего Советского Союза в отложениях любого геологического возраста, чаще всего на глубине более 1500 м (Ромашкино, Самотлор).

Нефти типа А2 по групповому составу соответствуют нафтено-парафиновым и парафино-нафтеновым. Содержание алканов по сравнению с нефтями типа А1 несколько ниже и достигает значений 25-40 %. Содержание алканов колеблется в пределах 0,5-5 %, а изопреноидов- 1-6 %.

Отличительная черта большинства нефтей типа А2 - преобладание разветвленных алканов над нормальными. Общее содержание циклоалканов достигает 60 %.

Среди циклоалканов преобладают моно- и бициклические углеводороды, хотя содержание трицикланов несколько выше, чем в нефтях А1. К типу А2 относятся нефти Южного Каспия (Сураханы, Нефтяные Камни, Дуванный-море), Западной Сибири (Соленинское), Прикаспия (Кошкар, Каламкас, Кара-Тюбе).

Нефти типа Б2 соответствуют нефтям парафино-нафтенового и особенно нафтенового оснований. Среди насыщенных углеводородов преобладают циклоалканы (60-75 %), а среди них - моно-, би- и трициклические углеводороды. Алкановые углеводороды (5-30 %) представлены в основном разветвленными структурами. Отличительная черта нефтей типа Б2 - отсутствие на хроматограммах пиков монометилзамещенных алканов.

Нефти типа Б2 встречаются чаще, чем типа А2, и распространены в основном в кайнозойских отложениях на глубинах 1000-1500 м. Тип Б2 представлен нефтями Северного Кавказа (Старо-Грозненское, Троицко-Анастасиевское), Грузии (Норио, Мирзаани) и др.

Нефти типа Б1 по групповому составу относятся к нефтям нафтенового или нафтено-ароматического основания. Они содержат мало легких фракций. Характерная черта нефтей этого типа - полное отсутствие нормальных и изопреноидных алканов и малое содержание других разветвленных алканов (4- 10 %). Среди циклоалканов наблюдается преобладание бицик-лических углеводородов над моноциклическими. Нефти типа Б1 чаще распространены в кайнозойских отложениях многих нефтегазоносных бассейнов на глубинах 500-1000 м - нефти Южного Каспия и Севера Западной Сибири - Грязевая Сопка, Сураханы, Балаханы, Русское и др.

РЕКОМЕНДУЕМАЯ ЛИТЕРАТУРА

1.       Сафиева Р.З. Физикохимия нефти. - М.: Химия, 1998. - 448 с.

2.       Богомолов А. И. и др. Химия нефти и газа / Под ред В.А. Проскурякова. - Л.: Химия, 1989. - 424 с.

.        Требин Г.Ф., Чарыгин Н. В., Обухова Т. М. Нефти месторождений Советского Союза. - М.: Недра, 1980. - 583 с.

.        Варфаламеев Д.Ф., Хамаев В.Х. Химия нефти и газа: Учебное пособие. - Уфа: УГТНУ, 1977. - 61 с.

.        Петров А.А. Углеводороды нефти. - М.: Наука, 1984. - 264 с.

Похожие работы на - Химия нефти и газа

 

Не нашли материал для своей работы?
Поможем написать уникальную работу
Без плагиата!
Без нейросетей!