Расчет тепловых схем теплогенерирующих установок
Введение
Принципиальную тепловую схему ТГУ составляют с использованием
исходных данных: типа ТГУ, типа котлов, тепловой нагрузки. В тепловой схеме
отображают протекающие в определенной последовательности тепловые процессы,
связанные с трансформацией теплоносителя и исходной воды.
При составлении схемы определяется все основное оборудование,
необходимое для выработки теплоносителя заданных параметров, устанавливается
взаимосвязь между элементами этого оборудования. С помощью схемы составляются
требуемые материальные и тепловые балансы по отдельным статьям расхода и
прихода вырабатываемого теплоносителя и исходной воды.
Тепловые схемы составляются как для паровых
производственно-отопительных ТГУ, так и для водогрейных отопительных. Для
последних они в некоторых случаях значительно упрощаются.
1.
Составление и расчет тепловых схем теплогенерирующих установок
котельная отопление водоснабжение нагрузка
Принципиальную тепловую схему ТГУ составляют с использованием
исходных данных: типа ТГУ, типа котлов, тепловой нагрузки. В тепловой схеме
отображают протекающие в определенной последовательности тепловые процессы,
связанные с трансформацией теплоносителя и исходной воды.
При составлении схемы определяется все основное оборудование,
необходимое для выработки теплоносителя заданных параметров, устанавливается
взаимосвязь между элементами этого оборудования.
С помощью схемы составляются требуемые материальные и
тепловые балансы по отдельным статьям расхода и прихода вырабатываемого
теплоносителя и исходной воды.
1.1 Принципиальная тепловая схема
производственно-отопительной теплогенерирующей установки
Производственно-отопительные ТГУ проектируются на базе
промышленных и отопительных нагрузок, при этом потребителю производится отпуск
пара и горячей воды на технологические нужды и горячей воды для покрытия
отопительных нагрузок.
Принципиальная тепловая схема паровой
производственно-отопительной ТГУ с закрытой системой теплоснабжения и котлами
типа ДЕ, КЕ, ДКВР, вырабатывающими насыщенный или слегка влажный пар при давлении
1,4 МПа, приведена на рис. 1.
Пар, вырабатываемый котельным агрегатом 1, через редукционную
охладительную установку 3, в которой происходит понижение давления пара (обычно
до 0,7 МПа), направляется на собственные нужды ТГУ, в сетевые подогреватели 14
на выработку теплоты для отопления, вентиляции и горячего водоснабжения.
В редукционно-охладительной установке 3 при дросселировании
получают перегретый пар, который затем увлажняют питательной водой до состояния
сухого насыщенного.
Для предотвращения повышения концентрации солей в воде,
циркулирующей в контуре парового котла 1, предусматривается «продувка», т.е.
вывод части котловой воды с большим содержанием солей из контура котла. За счет
этого мероприятия предотвращается образование накипи в котле. Продувочная вода
выводится в расширитель непрерывной продувки 6, где при пониженном давлении
(около 0,15 МПа) она вскипает и отводится через подогреватель исходной воды 7 и
барботёр 8 в канализацию.
Для восполнения потерь конденсата на производстве, потери
воды с «продувкой» и в тепловых сетях, внутренних потерь пара и др. в схему ТГУ
подается определенное количество исходной воды из водопровода. Эта вода насосом
исходной воды 9 подается в подогреватель исходной воды 7, где вода нагревается
за счет теплоты сбрасываемой в барботёр продувочной воды. После этого исходная
вода подается во второй подогреватель исходной воды 5, обогреваемы паром, в
котором она нагревается до 20-25°С, чтоб предотвратить конденсацию пара из
воздуха и коррозию на внешних поверхностях труб и оборудования химводоочистки
10.
В установке химической очистки 10 происходит умягчение воды,
т.е. удаление из нее солей жесткости, которые могут привести к образованию
накипи в котле и тепловых сетях. Умягченная вода через подогреватели химически
очищенной воды 15 и 16 и охладитель выпара 11 направляется в деаэратор
атмосферного типа 4, где при ее кипении из воды удаляются растворенные газы (О2
и СО2), вызывающие внутреннюю коррозию труб котла.
В деаэратор 4 также поступает конденсат с производства после
сетевых теплообменников 14. Для нагрева воды в деаэраторе до кипения в него
подается пар после редукционной охладительной установки 3 и расширителя
непрерывной продувки 6. Выделившиеся в деаэраторе газы с небольшим количеством
пара, который называют выпаром, направляют в теплообменник 11, в котором пар
конденсируется и отдает теплоту умягченной воде, а газы выбрасываются в
атмосферу.
Умягченная вода после деаэратора питательным насосом 2
подается в паровой котел 1 и к редукционной охладительной установке 3.
Для восполнения потерь сетевой воды в системе теплоснабжения
имеется подпиточный насос 13. Перемещение воды в системе теплоснабжения
осуществляется сетевым насосом 12. Требуемый температурный режим в ТГУ и
системе теплоснабжения поддерживается с помощью перемычки и регулятора
температуры 17.
При необходимости нагрева воды для технологических нужд в
схему ТГУ включается самостоятельная установка.
1.2 Расчет
теплой схемы производственно-отопительной теплогенерирующей установки
Расчет тепловой схемы ТГУ (рис. 1) ведется по двум уравнениям
- теплового и материального балансов. Ниже приведен расчет
производственно-отопительной ТГУ с котлами ДЕ 16-14 в которых вырабатывается
насыщенный пар при давлении 1,4 МПа.
Массовые расходы пара на сетевые подогреватели воды 14 для
отопления, вентиляции и горячего водоснабжения, а также технологические нужды,
кг/с:
где DОВ, DГВ, DТЕХ -
тепловая нагрузка на отопление и вентиляцию, горячее водоснабжение и
технологические нужды, МВт;»0,7 - энтальпия насыщенного пара после
редукционной охладительной установки при давлении 0,7 МПа, кДж/кг (принимается
по табл. П. 1) h»0,7 =2762,9 кДж/кг;К - энтальпия
конденсата после сетевых подогревателей (в дальнейших расчетах принято, что
энтальпия воды рассчитывается через теплоемкость (сВ = 4,19
кДж/(кг·К), т.е. hК = 4,19·tК), кДж/кгК =314,25
кДж/кг;
К - доля теряемого конденсата у потребителей К=0,05;
ηП - КПД подогревателя
принимаем равным 0,99.
Общий расход пара для внешних потребителей составит, кг/с:
Потери пара внутри ТГУ принимаются равными 2,5% от расхода
пара для внешних потребителей, кг/с:
Расход пара на собственные нужды ТГУ предварительно
принимается в размере 10% от расхода пара для внешних потребителей, кг/с:
Предварительное значение паропроизводительности всей ТГУ,
кг/с:
Необходимое количество котлоагрегатов:
где 
- паропроизводительность принятого к установке парового котла ДЕ
16-14, кг/с.
Расход сетевой воды 
через подогреватели 14 на отопление и вентиляцию, и горячее
водоснабжение:
где 
, 
- энтальпия воды после сетевых подогревателей и перед ними (
= 4,19·t"C, 
= 4,19·t'C), кДж/кг;"C, t'C
- температуры воды в подающем и обратном теплопроводах,°С.
t"C =130°С, t'C =70°С.
Расход воды на подпитку тепловых сетей для закрытой системы
теплоснабжения, кг/с:
Количество возвращаемого в ТГУ конденсата от потребителя,
кг/с:
Потери технологического конденсата у потребителя составят,
кг/с:
Суммарные потери пара и технологического конденсата, без
учета потерь с выпаром и водой из расширителя непрерывной продувки 6, составят,
кг/с
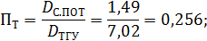
Доля потерь теплоносителя:
Процент непрерывной продувки котла:
где SХОВ - сухой остаток химически очищенной воды,
мг/л;ХВ - сухой остаток котловой воды, принимаемый из таблицы, мг/л.
Непрерывная продувка котла не превышает 10%, изменять схему
водоподготовки не требуется.
Солесодержание химически обработанной воды при расчетах
принимается приблизительно равным сухому остатку исходной воды:
Расход питательной воды на редукционную охладительную
установку 3, кг/с:
где h»1,4 - энтальпия насыщенного пара при
давлении в котле, равном 1,4 МПа, кДж/кг;ПВ - энтальпия питательной
воды (принимается при расчетах по tПВ из предыдущей работы, равной
100°С; hПВ = 4,19·tПВ), кДж/кг.
Расход воды, подаваемой питательным насосом 2, кг/с:
Расход продувочной воды через расширитель непрерывной
продувки 6, кг/с:
РНП устанавливается, поскольку его использование экономически
целесообразно, т.к. GПР > 0,14 кг/с.
Количество пара, выделяемое в расширителе непрерывной
продувки 6 в единицу времени, кг/с:
где h'КВ и h'РНП - энтальпия кипящей
котловой воды (при давлении в барабане котла 1,4 МПа) и кипящей воды в
расширителе непрерывной продувки (при давлении 0,15 МПа), кДж/кг;"РНП
- энтальпия насыщенного пара в расширителе непрерывной продувки 6, кДж/кг.
Расход продувочной воды, сливаемой в канализацию, кг/с:

Расход воды из деаэратора 4, кг/с:
Расход выпара из деаэратора 4, кг/с:
где d - удельный расход выпара, принимаемый равным 0,002 (кг
пара)/(кг воды из деаэратора).
Уточненные суммарные потери пара и конденсата в ТГУ, которые
равны расходу химически очищенной воды, кг/с:
Расход исходной воды с учетом собственных нужд на
химводоочистку (на собственные нужды расходуется 10% исходной воды), кг/с:
Расход пара на подогрев исходной воды в водоподогревателе 5,
кг/с:
где tПИВ2 - температура исходной воды после
подогревателей (перед химводоочисткой), принимаемая в расчетах равной 25°С.
Температура воды после подогревателя очищенной воды 16 (tПОВ2)
принимается в расчетах обычно 80°С. С учетом этого температура очищенной воды
перед этим подогревателем tПОВ1,°С:
где h'Д - энтальпия воды на выходе из деаэратора
(при температуре 104°С), кДж/кг.
Устанавливать подогреватель 15 (ПОВ1) нет необходимости,
поскольку выполняться неравенство tПОВ1 < tПИВ2. Тогда
из того же уравнения должна быть найдена температура tПОВ2 при
условии, что tПОВ1 = tПИВ2.
В охладителе выпара 11 происходит дальнейший нагрев очищенной
воды до температуры tОВ,°С:
где h"Д - энтальпия насыщенного пара на
выходе из деаэратора (при давлении рД=0,12 МПа), кДж/кг.
Расход пара при давлении 0,7 МПа на подогрев воды в
деаэраторе и доведения ее до кипения, кг/с:
Расчетный расход пара на собственные нужды ТГУ составит,
кг/с:
Расчетная паропроизводительность ТГУ, кг/с:
Необходимо сравнить расчетную паропроизводительность ТГУ с
рассчитанной ранее по формуле (2.5) и определить ошибку расчета, %:
Ошибка не превышает ± 2%, расчет тепловой схемы ТГУ закончен.
2.
Расчет установки подготовки исходной воды
После расчета тепловой схемы ТГУ должен быть выполнен расчет
установки подготовки исходной воды в соответствии с рекомендациями в п. 2.1 и
2.2 для открытых систем теплоснабжения.
Установка для подготовки исходной воды (ХВО) предназначена
для обеспечения безнакипного режима работы паровых и водогрейных котлов,
вспомогательного оборудования ТГУ и тепловых сетей.
В соответствии с действующими правилами Госгортехнадзора
докотловая обработка воды должна предусматриваться:
- для всех котлов паропроизводительностью
более 0,7 т/ч;
- для котлов, имеющих экранные поверхности
нагрева;
- для неэкранированных котлов, сжигающих
высококалорийное топливо: мазут, газ;
- для всех водогрейных котлов.
2.1 Выбор
схемы водоподготовительной установки
Для подготовки питательной воды в паровых котлах
рекомендуются следующие схемы обработки:
- натрий-катионирование одноступенчатое -
для уменьшения общей жесткости воды до 0,1 мг-экв/л; двухступенчатое - ниже 0,1
мг-экв/л. Указанный метод применяют при карбонатной жесткости менее 3,5
мг-экв/л, если эта схема допустима по величине продувки, концентрации
углекислоты в паре, относительной щелочности; для экранированных котлов,
требующих глубокого умягчения;
- после натрий-катионирования могут
применяться корректирующие методы обработки воды:
а) нитратирование дозировкой нитратов в обрабатываемую воду,
снижающих щелочность исходной воды для предупреждения межкристаллической
коррозии металла котлов;
б) амминирование - для уменьшения содержания в паре
углекислоты;
водород-натрий-катионирование, когда необходимо снизить
жесткость, щелочность, солесодержание и углекислоту в паре;
натрий-хлор-ионирование, когда требуется снизить жесткость,
щелочность и концентрацию углекислоты в паре, а величина продувки котлов не
превышает нормы;
аммоний-натрий-катионирование, когда требуется снизить
жесткость, щелочность, солесодержание котловой воды и концентрацию углекислоты
в паре (при этом допускается наличие в паре аммиака);
другие.
При проектировании водоподготовительной установки для паровых
котлов выбор схемы производится по трем основным критериям:
величине продувки (РПР);
относительной щелочности воды (ЩХОВОТ);
содержанию углекислоты в паре (СО2).
Схему водоподготовки выбирают в зависимости от качества
исходной воды, применяя методы, исключающие использование агрессивных
реагентов. Рекомендуется использовать преимущественно прямоточные схемы без
промежуточного перекачивания воды.
Величина продувки котлов определяется по формуле (2.13) для
режима максимальных потерь пара и конденсата, выраженных в процентах от
паропроизводительности котельной.
Относительная
щелочность котловой воды ЩОТХОВ,КВ, равная относительной
щелочности обработанной воды ЩОТХОВ,ОВ, определяется по
формуле
где 40 - эквивалент NаОН, мг/кг;
ЩОВ - щелочность обработанной воды, обычно
принимаемая при расчетах равной щелочности котловой воды ЩКВ = 16
мг-экв/л.
Щелочность обрабатываемой воды 0,7 мг-экв/л. В соответствии с
правилами Госгортехнадзора относительная щелочность котловой воды для паровых
котлов не должна превышать 20%.
Концентрацию
углекислоты в паре определяют при использовании деаэраторов атмосферного типа
без барботажа по формуле, мг/кг,
где 
- доля химически очищенной воды в питательной

- доля разложения Nа2СО3 в котле,
принимаемая равной 0,8 при давлении в котле от 1 до 2 МПа
Содержание СО2 более 20 мг/кг, соответственно следует
принять меры против углекислотной коррозии.
2.2 Расчет
оборудования двухступенчатой установки Nа-катионирования
Для сокращения устанавливаемого оборудования и его унификации
в обеих ступенях ХВО принимаются однотипные конструкции фильтров. При этом
предусматриваются резервные фильтры, чтобы в период регенерации фильтров первой
и второй ступеней резервные фильтры позволили проводить умягчение воды в полном
объеме без нарушения технологического режима очистки воды. Нормальная скорость
фильтрации воды через фильтр принимается в пределах 12 < WФ <
15 м/ч, а максимальная скорость WФ,МАX до 25 м/ч. Расчет оборудования
установки ХВО начинают с расчета 2-й ступени, т.к. оборудование должно
обеспечить добавочное количество воды, расходуемой на собственные нужды
водоподготовки.
2.2.1 Расчет
2-й ступени Nа-катионового фильтра
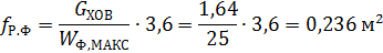
Расчетная
площадь фильтрации определяется по формуле, м²:
где GХОВ - расход химически очищенной воды
(берется из предыдущих расчетов), кг/с.
Здесь и далее в расчетах принято, что плотность химически
очищенной воды принята 1000 кг/м³.
Зная
расчетную площадь фильтрации, определяется расчетный минимальный диаметр
фильтра, м:
Исходя из условия dР,Ф ≤ dФ,
выбирается к установке фильтр ФИПаI - 0,7-0,6 - Nа с диаметром dФ=0,7
м, имеющий ближайшее значение к расчетному.
Действительная
скорость фильтрации воды в фильтре составит, м/ч:
где fФ - площадь фильтрации у выбранного
стандартного фильтра, м²
Количество
солей жесткости, подлежащих удалению в течение суток во второй ступени фильтра
при условии, что жесткость воды на входе во вторую ступень (выход из первой
ступени) принята равной 0,1 мг-экв/кг, определяется по формуле, г-экв/сут:
Число
регенераций фильтра в сутки:
где VФ - объем фильтрующей загрузки, м³;
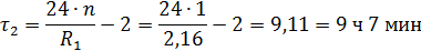
Межрегенерационный
период работы составит, ч:
где n - число работающих фильтров;
- время регенерации фильтра (15 минут - взрыхляющая промывка,
1 час 30 минут - регенерация, 15 минут - отмывка), ч.
Расход
100% соли (NаСl) на одну регенерацию фильтра 2-й ступени, кг/рег:
где gС - удельный расход соли на регенерацию
фильтров (gС = 350 г./(г-экв)).
Объем
26% насыщенного раствора соли на одну регенерацию составит, м³:
где ρРС = 1200 кг/м³ - плотность насыщенного раствора соли при 20 ОС.
Расход
технической соли, требующейся для регенерации фильтра второй ступени, за сутки
и месяц, кг:
где 0,965 - содержание NaCl в технической соли в долях.
Объем
воды на регенерацию Nа-катионитового фильтра складывается из расхода воды на
взрыхляющую промывку VВЗР, на приготовление регенерационного раствора VРЕГ, на
отмывку катионита от продуктов регенерации VОТМ, м³:
где 30 - интенсивность взрыхления фильтрующей загрузки, (м³/с)/м²;
- продолжительность взрыхления, мин;
- содержание NaCl в регенерационном растворе, %;
- плотность 7%-го раствора соли при температуре 20 ОС,
кг/м³;
- расход воды на отмывку 1 м³ фильтрующей загрузки, м³.
Расход
воды на регенерацию второй ступени фильтра составит, м³,
2.2.2 Расчет
1-й ступени Nа-катионового фильтра
Количество
солей жесткости, подлежащих удалению в течение суток во второй ступени фильтра
при условии, что жесткость воды на входе во вторую ступень (выход из первой
ступени) принята равной 0,1 мг-экв/кг, определяется по формуле, г-экв/сут:
где ЖО - общая жесткость воды, поступающей на
водоподготовительную установку, мг-экв/кг
Число
регенераций фильтра в сутки:
где VФ - объем фильтрующей загрузки, м³;
Е - рабочая обменная способность фильтрующей загрузки
(сульфоугля), принимаемая Е = 230, г-экв/м³;
Межрегенерационный
период работы составит, ч:
где n - число работающих фильтров;
- время регенерации фильтра (15 минут - взрыхляющая промывка,
1 час 30 минут - регенерация, 15 минут - отмывка), ч.
Расход
100% соли (NаСl) на одну регенерацию фильтра 1-й ступени, кг/рег:
где gС - удельный расход соли на регенерацию
фильтров (gС = 350 г./(г-экв)).
Объем
26% насыщенного раствора соли на одну регенерацию составит, м³:
где ρРС = 1200 кг/м³ - плотность насыщенного раствора соли при 20 ОС.
Расход
технической соли, требующейся для регенерации фильтра первой ступени, за сутки
и месяц, кг:
где 0,965 - содержание NaCl в технической соли в долях.
Объем
воды на регенерацию Nа-катионитового фильтра складывается из расхода воды на
взрыхляющую промывку VВЗР, на приготовление регенерационного раствора VРЕГ, на
отмывку катионита от продуктов регенерации VОТМ, м³:
где 30 - интенсивность взрыхления фильтрующей загрузки, (м³/с)/м²;
- продолжительность взрыхления, мин;
- содержание NaCl в регенерационном растворе, %;
- плотность 7%-го раствора соли при температуре 20 ОС,
кг/м³;
- расход воды на отмывку 1 м³ фильтрующей загрузки, м³.
Расход
воды на регенерацию первой ступени фильтра составит, м³,
.
3.
Подбор оборудования ТГУ
После расчета принципиальной тепловой схемы ТГУ и установки
ХВО необходимо подобрать следующее оборудование: деаэратор; питательный,
подпиточный и сетевой насосы; насосы исходной воды.
3.1 Подбор
деаэратора
Деаэрационные установки термической деаэрации воды для
паровых котлов комплектуются из устройств, совмещенных с питательными емкостями
(баками-аккумуляторами), по расходу деаэрированной воды GД. Такие
деаэраторы называются деаэраторами атмосферного типа. Емкость бака должна
составлять для ТГУ паропроизводительностью 4,44 кг/с (16 т/ч) 40-минутный запас
воды по максимальному расходу. При данной паропроизводительности ТГУ
устанавливают один бак-деаэратор питательной воды. Деаэратор комплектуется
охладителем выпара.
Принимаем к установке один деаэратор атмосферного типа ДА-100
с номинальной паропроизводительностью 100 т/ч и ёмкостью аккумуляторного бака
25 м³
3.2 Подбор
насосов
Для нормального функционирования ТГУ, ее основного
оборудования и системы теплоснабжения в соответствии с графиком отпуска энергии
потребителям устанавливаются насосы различного назначения: сетевые, подпиточные,
циркуляционные, питательные и др. Марку насоса и его типоразмер выбирают исходя
из назначения, производительности насоса и развиваемого им напора. Число
устанавливаемых насосов и их производительность определяются в соответствии со
СНиП.
3.2.1
Насосы исходной воды
Насосы
исходной воды должны обеспечить максимальный расход химически очищенный воды
для питания паровых котлов, подпитку тепловой сети и дополнительный
максимальный расход на отмывку фильтров. Производительность насоса, кг/с:
Необходимый
напор, который должен обеспечить насос исходной воды, МПа:
Где ΣΔрi - сумма
потерь напора в подогревателях исходной воды, фильтрах 1-й и 2-й ступеней ХВО,
подогревателях химически очищенной воды, трубопроводах и др., МПа;
ΔрД - напор,
необходимый на подъем воды и ввод ее в деаэратор, МПа.
ΣΔрi =0,3 МПа; ΔрД =0,18 МПа.
К установке принимаются по найденным производительности и
напору два насоса исходной воды с производительностью от 2,2 до 6,1 кг/с и
создаваемым напором 2,5 МПа типа 2,5ЦВ - 1,1, один из которых является
резервным.
3.2.2 Насос
промывочной воды
1.1. При
подборе насоса промывочной воды рассчитывают его производительность, кг/с:
где время взрыхления принято равным 15 минутам.
Напор,
который должен создавать насос для взрыхляющей промывки фильтров, МПа:
где ΣΔрi - суммарная
потеря напора в фильтрах, трубопроводах, водомерах и пр., ориентировочно
принята равной 0,11 МПа.
К установке принимается по найденным производительности и
напору один насос промывочной воды типа 4МСГ-10-61 производительностью 16,7
кг/с и создаваемым напором 1,98 МПа.
3.2.3 Сетевой
насос
Подбор сетевых насосов, которые устанавливаются для
обеспечения циркуляции теплоносителя в тепловых сетях, может быть проведен по
найденному ранее расходу сетевой воды GС = 31,8 МПа. Поскольку
отсутствуют данные о суммарных потерях давления в источниках теплоты, в
подающем и обратном трубопроводах тепловой сети и в системе потребителя для
отопительного и летнего периодов. давление сетевого насоса принимается по
паспорту насоса
К установке принимается по найденной производительности два
сетевых насоса типа СЭ-500-50 производительностью 139 кг/с и создаваемым
напором 0,7 МПа, один из которых является резервным
3.2.4
Подпиточный насос
Подпиточные насосы устанавливаются для восполнения
утечки воды в тепловой сети и создания статического давления, включая
водогрейный котел, которое исключит возможность вскипания воды.
Производительность насоса для паровых котлов принимается по
данным расчета тепловой схемы ТГУ GУ,ПОТ =1,64 МПа. Напор,
создаваемый насосом, ориентировочно принят равным рабочему давлению 1,4 МПа при
условии, что вода при этом давлении имеет температуру меньше температуры
насыщения на 20 ОС.
В ТГУ устанавливается два подпиточных насоса с электрическим
приводом, один из которых является резервным.
Производительность питательного насоса с электроприводом
должна быть не менее 120% максимальной паропроизводительности работающего
котельного агрегата.
Давление,
которое должен создать насос, МПа:
где рБ - избыточное давление в барабане парового
котла, МПа;
рД - избыточное давление в деаэраторе, МПа;
рС - суммарное сопротивление всасывающего и
нагнетательного тракта питательной воды принимается равным 0,09 МПа;
ΔрГ - давление,
соответствующее разности уровней воды в барабане котла и в деаэраторе
принимается равным 0,05 МПа.
3.2.5
Проверка на достаточность мощности
После подбора насосов необходимо проверить на достаточность
мощности установленного на насосе электродвигателя, для чего определяют
мощность на привод насоса и сравнивают ее с мощностью установленного
электродвигателя.
Мощность
на привод всех вышеназванных насосов рассчитывается, исходя из его
производительности и давления нагнетания, по формуле, кВт,
где G - производительность насоса, кг/с;
р - развиваемое насосом давление, МПа;

, 
- КПД насоса и электродвигателя (принимаются равными
соответственно 0,8 и 0,9)
Мощность насоса исходной воды - 20 кВт
Проверяем
Мощность насоса промывочной воды - 55 кВт
Проверяем
Мощность сетевых насосов - 160 кВт
Проверяем
Мощность подпиточных насосов - 14 кВт
Проверяем
Выводы
В ходе расчетов в принципиальную тепловую схему
производственно-отопительной ТГУ были внесены следующие изменения:
- Охладитель продувочной воды отсутствует;
- Устанавливается один подогреватель
химически очищенной воды (вместо двух), ХОВ в котором подогревается водой из
деаэратора;
Подобрано следующее оборудование ТГУ:
- два котлоагрегата типа ДЕ 16-14,
- два фильтра (первая и вторая ступень ХВО)
ФИПаI - 0,7-0,6 - Nа,
- один деаэратор атмосферного типа ДА-100,
- два насоса исходной воды типа 2,5ЦВ - 1,1,
один из которых является резервным,
- насос промывочной воды типа 4МСГ-10-61,
- два сетевых насоса типа СЭ-500-50, один из
которых является резервным,
- два подпиточных насоса типа 2,5ЦВ - 0,8,
один из которых является резервным.