Исследование колебаний заданной механической системы

  • Вид работы:
    Контрольная работа
  • Предмет:
    Физика
  • Язык:
    Русский
    ,
    Формат файла:
    MS Word
    539,11 Кб
  • Опубликовано:
    2012-10-01
Вы можете узнать стоимость помощи в написании студенческой работы.
Помощь в написании работы, которую точно примут!

Исследование колебаний заданной механической системы

Содержание

Введение

. Теоретические сведения

. Постановка задачи

. Скорость сосредоточенной массы

. Кинетическая энергия системы в обобщённых координатах

. Потенциальная энергия системы в обобщённых координатах

. Обобщённые силы

. Система ОДУ Лагранжа второго рода

. Составим линейную систему дифференциальных уравнений в приближении малых колебаний

. Аналитическое решение малых координат механической системы

. Численный алгоритм Ньютона первого порядка точности для решения задачи Коши нелинейной системы ОДУ в maple

Заключение

Введение

Изучаемым объектом в данной работе является двойной маятник, который колеблется в одной плоскости. Исследования различных нелинейных систем (в том числе механических) показали, что в детеpминиpованном процессе могут обнаружиться элементы случайного, хаотического поведения. Если двойной маятник вывести из равновесия произвольным образом и предоставить самому себе, то каждое из тел будет совершать довольно сложное движение, в котором трудно уловить какую-либо закономерность. Однако при некоторых начальных условиях движение маятника оказывается очень простым: оба тела совершают чисто гармоническое колебание с одной и той же частотой, причем амплитуды и фазы этих колебаний находятся во вполне определенном соотношении друг с другом. Основной чертой, характерной для всякой связанной системы, является то, что ее собственные колебания в общем случае негармоничны и, в зависимости от способа наблюдения, могут восприниматься либо как биения, происходящие таким образом, что энергия колебаний периодически перекачивается (полностью или частично) из одной части системы в другую и обратно, либо как сумма двух гармонических колебаний с частотами ω+ и ω-, определяющимися структурой системы в целом.

Целью данной работы является исследование заданной механической системы на предмет обнаружения в ней колебаний, которые носят случайный характер.

1.      Теоретические сведения

Понятие степени свободы связано с таким понятием, как размерность. В математике размерность - это количество независимых параметров, необходимых для описания состояния объекта, или, другими словами, для определения его положения в неком абстрактном пространстве.

При математическом описании <#"583893.files/image001.gif"> и радиус-вектором . Предполагаем, что силовое поле , в котором и под действием которого она совершает своё движение, может быть выражено как градиент <#"583893.files/image004.gif"> (этому условию удовлетворяют, например, гравитационное и электрическое поле, и не удовлетворяют магнитные поля):


Такая сила не зависит от производных , поэтому второй закон Ньютона <#"583893.files/image006.gif"> (декартовы компоненты  в данный момент времени).

Обобщая, мы можем работать с обобщёнными координатами <#"583893.files/image007.gif">, и их производными, обобщёнными скоростями . Радиус-вектор  связан с обобщёнными координатами некоторым уравнением преобразования:


где  - число степеней свободы системы.

Например, для плоского движения математического маятника длиной логичным выбором обобщённой координаты будет угол отклонения  от вертикали подвеса, для которого уравнения преобразования имеют вид


Термин обобщённые координаты остался от того периода, когда Декартовы координаты <#"583893.files/image014.gif"> частицы. Работа <#"583893.files/image003.gif">, равна . Используя второй закон Ньютона, запишем:


Перепишем это уравнение в терминах обобщённых координат и скоростей. С правой стороны равенства,


Левая сторона равенства более сложна, но после некоторых перестановок мы получим:


где  - кинетическая энергия частицы. Уравнение для работы запишется в виде:


Это выражение должно быть верно для любых изменений , поэтому


для каждой обобщённой координаты . Можно и дальше упростить это выражение, если заметить, что  - функция только  и , и  - функция обобщённых координат и . Тогда  не зависит от обобщённых скоростей:


Вставляя это в предыдущее уравнение и заменяя , получим уравнения Лагранжа:


Так же, как и уравнения Ньютона, уравнения Лагранжа являются уравнениями второго порядка, что следует из их вывода. Для каждой обобщённой координаты  есть одно уравнение Лагранжа. Когда  (то есть обобщённые координаты - просто декартовы координаты), можно легко проверить, что уравнения Лагранжа сводятся ко второму закону Ньютона.

Вышеприведённый вывод может быть обобщён на систему из  частиц. Тогда будет  обобщённых координат, связанных с координатами положения  уравнениями преобразования. В каждом из  уравнений Лагранжа,  - полная кинетическая энергия системы, и  полная потенциальная энергия.

Практически, часто легче решить проблему, используя -уравнения Эйлера  Лагранжа <#"583893.files/image028.gif"> могут быть выбраны с учётом симметрий <#"583893.files/image032.gif">

 

 

Дано:

ОА =L

AB = R

Рассмотрим колебания двойного маятника, образованного невесомым стержнем длины L и массой m1 и диском радиуса R b массой m2. Массы сосредоточенных в точках A и B.

В качестве обобщённых координат выберем углы φ1 и φ2.

Декартовые координаты:

Координаты точки А:

 

 

 

 

Координаты точки В:

 

 

 

3.      Скорость сосредоточенной массы

 

 

 

 

-момент инерции шара

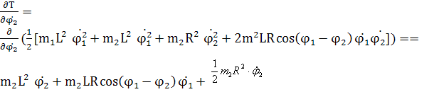
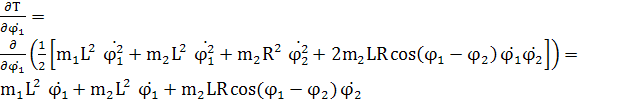
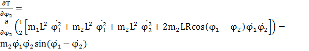
4.      Кинетическая энергия системы в обобщённых координатах


5.      Потенциальная энергия системы в обобщённых координатах

Потенциальная энергия силы тяжести:

 

 

Таким образом,

 

6.      Обобщённые силы

 

 

 

 

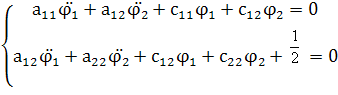
7.      Система ОДУ Лагранжа второго рода

Система уравнений Лагранжа имеет вид:

 

Учитывая, что , получим систему вида:

 

Найдём производные кинетической энергии Т по обобщённым координатам и их производным

 

 

 

 

Вычислим производные по времени:

 

 

Составим систему уравнений Лагранжа 2-го рода

 

Приведём систему уравнений к безразмерному виду:

 

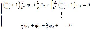
8.      Составим линейную систему дифференциальных уравнений в приближении малых колебаний

,

 

Таким образом, получим дифференциальные уравнения малых колебаний системы в общем виде:

 

 

 

 

 

 

 

9.      Аналитическое решение малых координат механической системы

механический уравнение колебание маятник

Будем искать решение в виде:

 

 

Где A, B, k,  - постоянные величины.

После подстановки решения в систему, получим:

 

 

Отсюда уравнения частот принимает вид:

 

Обозначим  и  - решение уравнения частот:

 

 

 

 

где  и  определяются из уравнения

 

для значений  и .

Колебания (1) и (2) называются главными колебаниями, а их частоты  и  - собственными частотами. При этом < , т.е.  и  называются первым главным колебанием.

 и  называются вторым главным колебанием.

Так как уравнения системы являются линейными, то сумма частных решений (1) и (2) тоже будут решениями этих уравнений.

 

Полученное выражение для  и , содержащее четыре произвольных постоянных , , , , определяемых по начальным условиям, дают общее решение линеаризованной системы уравнений Лагранжа второго рода и определяет закон малых колебаний системы.

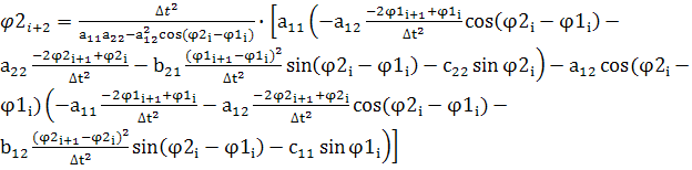
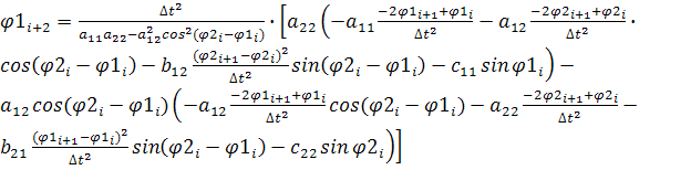
10.    Численный алгоритм Ньютона первого порядка точности для решения задачи Коши нелинейной системы ОДУ в maple

Исходная система имеет вид:

 

где

 

 

 

 

 

 

 

 

 

 

Таким образом, перейдём к конечным разностям:

 

В результате получим схему алгоритма Ньютона первого порядка точности для решения задачи Коши:

 

 

Заключение

В ходе данной работы были проведены исследования двойного нелинейного маятника.

На первом этапе были выбраны обобщённые координаты системы - углы отклонения от положения равновесия - φ1 и φ2. Затем были получены выражения для проекций скоростей грузов - для каждой координатной оси. Используя полученные соотношения, вычислили полную кинетическую энергию системы. Затем произвели расчёт потенциальной энергии системы частная производная с обратным знаком (по соответствующему углу отклонения) от которой равна обобщённой силе. На основе полученных аналитических выражений была составлена система дифференциальных уравнений Лагранжа 2-ого рода, для чего были вычислены соответствующие частные производные (по каждой обобщённой координате и обобщённой скорости) и общие производные по времени. В результате была получена система нелинейных дифференциальных уравнений 2-ого порядка. Получить решение такой системы аналитически невозможно, поэтому был применён численный метод простых итераций. Данный метод был реализован с использованием математического пакета Maple. В результате расчётов были построены графики изменения углов φ1 и φ2 в зависимости от времени и зависимость угла φ2 от φ1 в полярных координатах.

На основании произведённых расчётов и полученных графиков можно сделать следующий вывод: колебания данной системы при больших отклонениях носят случайный характер, т.е. два близких начальных условия приводят в конце концов к совершенно различной динамике этой нелинейной системы с двумя степенями свободы. Однако следует отметить, что при малых отклонениях (малые колебания) система совершает регулярные гармонические колебания.

Похожие работы на - Исследование колебаний заданной механической системы

 

Не нашли материал для своей работы?
Поможем написать уникальную работу
Без плагиата!
Без нейросетей!