Нелинейные колебания и синхронизация колебаний
Министерство образования республики
Беларусь
Учреждение образования
Брестский государственный университет
имени А.С. Пушкина
Физический факультет
Кафедра методики преподавания физики
и ОТД
КУРСОВАЯРАБОТА
НЕЛИНЕЙНЫЕ КОЛЕБАНИЯ И СИНХРОНИЗАЦИЯ
КОЛЕБАНИЙ
Выполнил студент группы ФИ-51
Пашкевич А.Я.
Научный руководитель:
к. ф.-м. н., доцент Ворсин Н.Н.
Брест, 2012
Оглавление
Введение
1. Свободные колебания в
линейных системах
1.1 Линейные колебания в
присутствии детерминированной внешней силы
2. Свободные колебания
консервативных систем с нелинейными восстанавливающими силами
2.1 Свободные нелинейные
колебания систем с затуханием и нелинейной восстанавливающей силой
2.2 Различные типы
особенностей0
2.3 Маятник с трением,
пропорциональным модулю скорости
3. Незатухающие и
релаксационные колебания
3.1 Качественный анализ
уравнения Ван дер Поля
3.2 Связанные нелинейные
колебания, регенеративный приемник с привязкой по фазе и принцип синхронизации
3.3 Основные уравнения
3.4 Колебания при
большойрасстройке
3.5 Комбинированные колебания
постоянной амплитуды
3.6 Электротехнические
задачи, приводящие к уравнению Хилла
Заключение
Список литературы
Введение
Нет ничего удивительного в том, что физик должен уметь находить решение
нелинейных задач, поскольку множество явлений, которые совершаются в мире
вокруг него, управляются нелинейными зависимостями. В процессе развития
математических наук трудности нелинейного анализа мешали формулировке
представлений о нелинейных движениях, которые позволили бы глубже понять такие
явления.
Если оглянуться назад на историю достижений науки, поражает тот факт, что
основные усилия исследователей были сосредоточены лишь на изучении линейных
систем и на линейных понятиях. Если в то же самое время бросить взгляд на
окружающий нас мир, буквально на каждом шагу сталкиваешься с явлениями, которые
нелинейны по своей природе. Линейные представления дают только поверхностное
понимание многого из того, что встречается в природе. Чтобы сделать анализ
более реалистичным, необходимо достичь более высокого уровня и большей легкости
в понимании и использовании нелинейных представлений.
За последние годы получили развитие компьютерные методы анализа, и во
многих случаях полагалось, что полученные решения могут дать лучшее понимание
проявлений нелинейности. Вообще говоря, обнаружилось, что простой перебор
численных решений ведет лишь к чуть большему пониманию нелинейных процессов,
чем, например, наблюдение за самой природой, «перемалывающей» решения такой
конкретной нелинейной задачи, как погода. Похоже, что наше понимание
основывается не на уравнениях или их решениях, а, скорее, на фундаментальных и
хорошо усвоенных представлениях. Обычно мы понимаем окружающее, только когда
можем описать его посредством понятий, которые настолько просты, что они могут
быть хорошо усвоены, и настолько широки, чтобы можно было оперировать ими, не
обращаясь к конкретной ситуации. Перечень таких понятий обширен и включает,
например, такие термины как резонанс, гистерезис, волны, обратная связь,
граничные слои, турбулентность, ударные волны, деформация, погодные фронты,
иммунитет, инфляция, депрессия и т. д. Большинство наиболее полезных процессов
нелинейны по своему характеру, и наша неспособность описать точным математическим
языком такие повседневные явления, как поток воды в водосточном желобе или
закручивание дыма от сигареты, частично кроется в том, что мы не желали ранее
погрузиться в нелинейную математику и понять ее.
Явление резонанса, как известно, часто встречается в живой материи.
Следуя Винеру [3], Сент-Дьердьи предположил важность резонанса для устройства
мышц. Оказывается, что субстанции с сильными резонансными свойствами обычно
обладают исключительной способностью запасать как энергию, так и информацию, а
такое аккумулирование, несомненно, имеет место в мышце.
Нелинейные колебания, случайные нелинейные колебания и связанные
(синхронизированные по фазе) нелинейные колебания составляют самую суть явлений
во многих областях науки и техники, например связи и энергетики; ритмические
процессы имеют место в биологических и физиологических системах. Биофизик,
метеоролог, геофизик, физик-атомщик, сейсмолог - все они имеют дело с
нелинейными колебаниями, часто в той или иной форме синхронизированными по
фазе. Например, инженер-энергетик занимается проблемой устойчивости синхронных
машин, инженер-связист - неустойчивостью временной селекции или синхронизации,
физиолог имеет дело с клонусом, невропатолог - с атаксией, метеоролог - с
частотой колебаний атмосферного давления, кардиолог - с колебаниями, вызванными
работой сердца, биолог - с колебаниями, обусловленными ходом биологических
часов.
Основная цель дипломной работы - рассмотреть ряд задач теории нелинейных
колебаний, связанных с такими основополагающими понятиями, как захватывание
(или синхронизация), слежение, демодуляция, фазокогерентные системы связи.
Будет сделана попытка дать обзор нелинейных задач, представляющих практический
интерес, решения которых записаны в доступной форме. Обзор не является
исчерпывающим, но он включает примеры задач, которые служат иллюстрацией
основных представлений, необходимых для понимания нелинейных свойств систем
фазовой синхронизации. Вопрос о существовании и единственности решений
затрагивается лишь поверхностно; основное внимание уделяется методам получения
решений.
Рассмотренный
материал можно сгруппировать по трем основным темам. Первая тема включает
изложение результатов теории линейных колебаний в системах с одной степенью
свободы, имеющих постоянные параметры. Этот материал используется как
справочный и для сопоставления с результатами, полученными из теории нелинейных
колебаний. Вторая тема посвящена легко интегрируемым нелинейным системам, на
которые не действуют внешние силы, зависящие от времени. Здесь посредством
аппарата фазовой плоскости подробно изучаются свободные колебания нелинейных
систем. Приводится краткое изложение теории Пуанкаре об особых точках
дифференциальных уравнений первого порядка. Полезность понятия об особой точке
иллюстрируется решением ряда физических задач. Наконец, третья тема охватывает
колебания вынужденные, самоподдерживающиеся (автоколебания) и релаксационные
нелинейные колебания. В частности, будет обсуждено применение теории Ван дер
Поля к задачам синхронизации и слежения, а завершит главу рассмотрение
уравнения Хилла.
1. Свободные
колебания в линейных системах
Представляется ценным и интересным суммировать основные особенности
линейных колебаний. Существует ряд причин, чтобы выполнить это здесь. Одна из
наших принципиальных задач состоит в сопоставлении линейных и нелинейных
методов исследования колебаний. Кроме того, сложилась практика применять,
насколько это возможно, терминологию, используемую в линейных задачах, и в
нелинейных. Наконец, полезно иметь сводку основных идей и формул линейной теории
для удобства ссылок.
Пожалуй, самый простой пример задачи о линейных колебаниях дает простая
электрическая схема, состоящая из индуктивности
, соединенной последовательно с
емкостью
и резистором
(рис. 1). Механический аналог,
изображенный на рис. 1, состоит из тела массой
,прикрепленного к пружине,
развивающей усилие (называемое возвращающей силой), пропорциональное смещению
тела. Для этой электрической
системы, используя закон Кирхгофа, имеем
.(1.1)
Если положить, что тело в механической системе движется в среде, которая
оказывает сопротивление
, пропорциональное скорости (вязкое трение), то уравнение
движения для колебаний механической системы задается соотношением
.(1.2)
По аналогии имеем, что
;
;
и
, причем ток
является аналогом смещения
.
Рис. 1.Линейная электрическая и механическая системы
Полагая пока, что внешняя сила
и вводя обозначения
,(1.3)
приводим (1.2) к виду
.(1.4)
Поскольку
, колебания, определяемые этим линейным однородным
уравнением, называются свободными линейными колебаниями. Общее решение
линейного уравнения с постоянными
коэффициентами есть линейная комбинация двух экспоненциальных функций:
,(1.5)
где
и
- произвольные константы, которые определяются начальными
условиями, a
и
являются корнями характеристического
уравнения
.(1.6)
Таким образом,
и
заданы соотношениями
.(1.7)
Если мы хотим представить решение (1.5) в вещественной форме, рассмотрим
три случая, когда величина
: а) вещественна, б) нуль, в) мнимая. Легко показать, что
решения примут вид
,(1.8 - а)
,(1.8 - б)
,(1.8 - в)
где
и
- вещественные;
и
- произвольные постоянные, которые
определяются заданием значений смещения
(тока
) и скорости
в некоторый начальный момент
.
Уравнение (1.8 - а) возникает на практике чаще всего. Как легко видеть из
(1.3), этот случай имеет место, если коэффициент демпфирования мал по сравнению
с
. Уравнение (1.8 - а) в этом случае
описывает такое колебательное движение, что каждые два последовательных
максимума
и
смещения
удовлетворяют соотношению
.(1.9)
Следовательно, если
, то колебания затухают экспоненциально с течением времени
.Однако если
(что соответствует отрицательному
демпфированию или отрицательному коэффициенту трения), колебания
экспоненциально нарастают. Случаи, когда
, наиболее распространены на
практике.
Если
, система не имеет демпфирования и движение часто называют
незатухающими колебаниями. Для этого случая
и
, (1.10)
что указывает на простое гармоническое движение с круговой частотой
.
Поскольку
вещественно, колебания, определяемые (1.10), называются
собственными колебаниями. Величина
называется собственной или
резонансной частотой.
Наконец, решение (1.8 - б) для
соответствует переходу от
колебательного к апериодическому движению; такое движение соответствует
критическому демпфированию.
.1 Линейные
колебания в присутствии детерминированной внешней силы
Рассмотрим теперь движение, которое имеет место в присутствии внешней
силы
, зависящей только от времени. В этом
параграфе рассматривается случай, когда
- детерминированная функция;в
последующих главах основное внимание будет уделено случаю недетерминированной
, т. е. изучению случайных нелинейных
колебаний. Для наших целей наиболее важным является случай периодической
. Например,
может быть синусоидальной:
,(1.11)
.(1.12)
Другими словами, результирующее движение есть суперпозиция свободного
колебания и движения, называемого вынужденным колебанием, обусловленным внешней
силой
. Заметим, что частота вынужденного
колебания такая же, что и у внешней силы. Амплитуда
вынужденного колебания [см. (1.12)]
определяется соотношением
,(1.13)
а его фазовый сдвиг
относительно
равен
.(1.14)
Из (1.12) ясно, что при
свободное колебание с ростом
затухает и по прошествии
достаточного времени остается только вынужденное колебание.
В случае, когда
, квадратный корень в знаменателе (1.13) равен нулю только
при совпадении частот
, т. е. в случае резонанса. При
относительный фазовый сдвиг
, как это следует из (1.14), равен
нулю при
и
при
; другими словами, вынужденное
колебание синфазно с внешней силой, если собственная резонансная частота
больше, чем частота внешней силы, и
сдвинуто по фазе на 180°, когда
. Для
и
(нерезонансный случай) из (1.12) получается решение
.(1.15)
Для
(случай резонанса) решение (1.2) становится таким:
.(1.16)
Отметим, что движение, вызванное внешней силой, больше не является
периодическим, но осциллирует с амплитудой
, которая линейно растет со временем.
И в электрических, и в механических системах, например во вращающихся
механизмах или таких изделиях, как управляемые снаряды, часто жизненно
необходимо спроектировать части машины так, чтобы избежать резонанса с
возможными периодическими воздействиями на систему.
Когда имеется демпфирование
, из (1.13) ясно, что амплитуда
отклика
всегда конечна. Тем не менеефизик
обычно должен исследовать амплитуду вынужденного колебания, так как «струна
может лопнуть», если
слишком велико. Из (1.3) и (1.13) легко получить
нормированный отклик
.
Рис.
1.1 Резонансные кривые вынужденных колебаний линейной системы.
Экстремальные значения
достигаются при
и
. Если
, максимум имеет место при
; если
и
, максимум достигается при
, а минимум при
. При малых значениях коэффициента
демпфирования максимальная амплитуда достигается почти на собственной частоте.
На рис. 1.1 показана частотная характеристика
как функция
при различных значениях
. Очевидно, что эти кривые определяют
амплитуду колебаний, или отклик системы на внешнюю силу любой заданной частоты.
В заключение этого раздела сформулируем принцип суперпозиции, который
гласит: если под действием внешней силы
линейная системаимеет отклик
, а под воздействием
-
,то под воздействием
ее суммарный отклик равен
. Этот фундаментальный факт является
прямым следствием линейности дифференциального уравнения (1.1). Совершенно
ясно, что этот принцип несправедлив для систем, описываемых нелинейными
дифференциальными уравнениями. Теория линейных дифференциальных уравнений
основательно изучена и развита, особенно для линейных систем с постоянными
коэффициентами. С другой стороны, почти ничего не известно относительно общих
принципов нахождения решений нелинейных дифференциальных уравнений (как
однородных, так и неоднородных); следовательно, физик, сталкивающийся с
нелинейной задачей, должен «сражаться» с ней один на один. Далеерассмотрим
методы и технику решения некоторых типов задач теории нелинейных колебаний и
приложим эти результаты к целому ряду нелинейных задач. Также продолжим
рассмотрение случая детерминированных сил (сигналов), а случай
недетерминированных воздействий (сигналов) пока отложим.
2. Свободные
колебания консервативных систем с нелинейными восстанавливающими силами
Основная цель этого раздела - дать краткий анализ механических или
электрических систем, описываемых дифференциальным уравнением
(2.1)
при
и
. По аналогии с механической линейной системой, о которой
только что шла речь, удобно здесь и в последующих главах трактовать член
как силу инерции,
- как демпфирующую силу или силу
трения,
- как возвращающую силу, а
- как внешнюю силу, возбуждение или
приложенный сигнал. Заменив
,
и
мы получим уравнение (2.1), которое действительно в теории
систем ФАП, отслеживающих монохроматический сигнал с постоянным фазовым сдвигом
при использовании интегрирующего фильтра, т.е. при
.
Другой пример физической задачи, которая приводит к тому же уравнению, -
качаниероторов синхронных электрических машин, связанное с изменением нагрузки
во времени.
Не будем рассматривать решения уравнения (2.1) во всей их общности,
поскольку имеющиеся на сегодня знания относительно явления нелинейных колебаний
в основном ограничены несколькими специальными случаями. Рассмотрим, однако,
построение теории, которая существенна для понимания сути процессов
синхронизации, слежения и когерентной демодуляции.
Рассмотрим сначала простейший вариант уравнения (2.1):
.(2.2)
Это случай свободных
колебаний консервативной
системы с нелинейной
восстанавливающей силой
. Наиболее изученный пример колебательного движения,
описываемого уравнением (2.2), - это движение математического маятника;
, где
- длина маятника;
- ускорение силы тяжести и
- присоединенная масса. Переменная
аналогична фазовой ошибке
в системе ФАП. Если предположить,
что
мало, так что уравнение (2.2) можно
линеаризовать (т. е.
), тогда, чтобы применить линейную теорию, (2.2) можно
заменить на
,
. (2.3)
Из предыдущего обсуждения случая
, вытекает, что это уравнение
соответствует периодическому движению с периодом
; таким образом, период не зависит от
начальной скорости и начального отклонения. При больших отклонениях уравнение
(2.3) несправедливо и необходимо обращаться к другим методам анализа.
Первый интеграл уравнения
нелинейной консервативной системы можно легко получить, так
как подстановка
(2.4)
сводит (2.2) к дифференциальному уравнению первого порядка, из которого
исключено время:
,(2.5)
а переменные разделяются, т.е.
.(2.6)
Если при
имеем
,
то интегрирование обеих частей дает
,(2.7)
что выражает закон сохранения энергии. Левая часть этого равенства
представляет изменение кинетической энергии; правая часть - работу, выполненную
восстанавливающей силой, или изменение потенциальной энергии. Согласно (2.7)
имеем
.(2.8)
Разделяя переменные и интегрируя вторично, можно найти время как функцию
отклонения:
.(2.9)
Необходимо понимать, что следует переходить с одной ветви квадратного
корня на другую, когда
проходит через нуль. Кривые, задаваемые (2.7), проходят на
плоскости
,
через точку с координатами
,
и представляют собой кривые
постоянной энергии; часто их называют кривыми энергии на фазовой плоскости. Как
увидим впоследствии, отсюда довольно легко получить важную информацию об
основных качественных сторонах движения. Поскольку
и
функции
, кривые на плоскости
,
можно рассматривать как заданные в
параметрической форме с
в качестве параметра. Тогда из того, что
, следует, что
возрастает с
, когда
положительна, и убывает с
, когда
отрицательна.
Замкнутые кривые энергии соответствуют периодическим колебаниям
, где период
- время, необходимое для того, чтобы
достичь прежних значений отклонения
и скорости
.Период
можно вычислить при помощи линейного
интеграла
,(2.10)
взятого вдоль замкнутых кривых энергии в положительном направлении
.
Например, рассмотрим случай линейной функции
, т. е.
. Дифференциальное уравнение кривых
энергии (m = 1)
.(2.11)
откуда
,(2.12)
где
и
- начальные значения при
. Все кривые энергии для
-эллипсы, и, следовательно, каждое
движение периодично (рис. 2.1). Из предыдущего раздела известно, что это
соответствует простому гармоническому движению с
и
,(2.13)
где
и
. Это предполагает начальные условия
(при
). Период колебаний согласно (2.10)
. (2.14)
Отметим, что в этом линейном случае период колебаний не зависит от
амплитуды
, так что обход любой замкнутой кривой
энергии, представляющей решение на фазовой плоскости, совершается за одно и то
же время. Если
, кривые энергии превращаются в гиперболы и никаких
периодических колебаний не существует.
Рис.
2.1 Фазовые портреты простого гармонического движения
В качестве второго примера рассмотрим маятник, поскольку его поведение
аналогично поведению системы фазовой автоподстройки с идеальным интегратором:
, работающей в отсутствие шума [см.
(2.12)].
Рис.
2.2. Фазовые портреты математического маятника
Дифференциальное уравнение фазовых траекторий (2.2) принимает вид
,(2.15)
а кривые энергии определяются равенствами
,(2.16)
где константа
представляет полную энергию системы.
Кривые энергии иллюстрируются рис. 2.2. Мы видим, что необходимо
потребовать
, так как иначе
будет всегда отрицательным. Когда
, из (2.16) следует, что эти кривые -
замкнутые и центрированные относительно точек
,
(
- любое целое число). В указанных
случаях амплитуду
находят из соотношения
,
а период колебаний определяется равенством
.(2.17)
Если ввести новую переменную интегрирования
и использовать связь между
и
, из (2.17) можно найти
.(2.18)
Когда полная энергия
, замечаем из (2.16), что скорость
никогда не становится нулевой;
кривые
при этом разомкнуты (рис. 2.2). В
верхней полуплоскости движение изображающей точки
,
происходит слева направо, а в нижней
полуплоскости оно совершается справа налево. Граница перехода (проведена более
жирной линией), т. е. переход от разомкнутых к замкнутым кривым, возникающая
при
, определяется из (2.16) соотношением
. Иногда эту траекторию называют
сепаратриссой.
Физическая интерпретация этих фактов вполне ясна. Маятник либо колеблется
(фазовая ошибка меняется по гармоническому закону) вокруг его наинизшего
положения (
) и кривые энергии замкнуты, либо ему придана настолько
высокая начальная скорость, что он вращается все время в одном и том же
направлении (по часовой стрелке в верхней полуплоскости и против часовой - в
нижней) относительно точки подвеса. В последнем случае угловое отклонение
неограниченно увеличивается или
уменьшается с ростом времени, а угловая скорость
периодически изменяется относительно
некоторой средней величины. Легко показать, что время, необходимое для того,
чтобы с нулевой скоростью достичь наивысшей точки
(
- нечетное), равно бесконечности.
Движение относительно точек
при
соответствует в схеме ФАП случаю,
когда фазовая ошибка периодична. Вращение маятника вокруг точки подвеса при
соответствует поведению системы ФАП
вне области синхронизма, т. е. режиму проскальзывания циклов, режиму биений.
Действительно, движение изображающей точки слева направо (
) на фазовой плоскости
соответствует случаю, когда фаза
подстраиваемого генератора кольца ФАП отстает на многие периоды от фазы
синхронизирующего сигнала. Соответственно движение справа налево учитывает
опережение фазы управляемого генератора относительно входных колебаний.
Аналогичное явление перескока фазы встречается при нарушениях функции сердца и
при перегрузке синхронных машин.
Заметим, что положения равновесия колебательной системы соответствуют
тому, что мы позже определим как особые точки фазовой плоскости
,
. Оказывается, расположение этих
особых точек прекрасно характеризует общую картину кривых энергии.
В следующем разделе мы детально изучим природу различных особых точек
(особенностей)для того, чтобы применить приобретенные познания к решению
некоторых вопросов, обсуждаемых в курсовой работе.
2.1 Свободные
нелинейные колебания систем с затуханием и нелинейной восстанавливающей силой
В этом разделе будем заниматься дифференциальным уравнением
,(2.19)
когда
и
. В присутствии
переменные
и
не разделяются и выполнить явное
интегрирование, как в предыдущем разделе, не удается. Дифференциальное
уравнение (2.19) возникает в теории маятника, когда присутствуют силы трения. В
данный момент мы используем (2.19), чтобы ввести понятие особенностей (особых
точек на фазовой плоскости).
Так как при
время не входит явно в (2.19), можно свести это уравнение к
уравнению первого порядка, вводя скорость
:
,(2.20)
что выражает наклон
, касательной к траектории
в точке
.Полезно отметить, что в верхней
полуплоскости
увеличивается с ростом
,и, следовательно, изображающая точка
движется слева направо с возрастанием
. Наоборот, при
изображающая точка движется справа
налево. Из-за присутствия
в (2.20) невозможно, вообще говоря, разделить переменные и
получить кривые энергии. Имеется некоторое преимущество в замене одного
уравнения (2.20) двумя дифференциальными уравнениями первого порядка
,(2.21)
которые определяют векторное поле с компонентами
. Вектор поля всегда касателен к
фазовой траектории
и указывает, куда вдоль нее движется изображающая точка [
] на фазовой плоскости
с возрастанием
.Однако это поле не имеет направления
в точках, где числитель и знаменатель (2.20) одновременно обращаются в нуль, т.
е. при
. Из (2.21) видно, что компоненты
векторного поля равны нулю в таких точках, называемых особыми точками уравнения
(2.20). Что касается физической ситуации, то особая точка соответствует
положению равновесия с нулевой скоростью. Такие особенности встречались в
случае маятника без трения - при
. Природа особенностей представляет
решающий фактор при определении качественного характера решений, а также
существования периодических решений.
В работах Пуанкаре [4] показано, что полного описания типов особенностей
можно достигнуть, разобрав поведение фазовых траекторий в окрестности изолированной
особой точки дифференциального уравнения
,(2.22)
которое получается из системы двух уравнений
.(2.22 - a)
Напомним, что под особенностью уравнения (2.22) понимается особая точка
, в окрестности которой функция
перестает быть непрерывной и
удовлетворять условию Липшица. Очевидно, точка равновесия (
), для которой,
, является особой. Отметим, что
уравнение (2.22) [или система (2.22 - а)] является более общим, чем (2.20) [или
(2.21)], и переходит в него в частном случае, когда
.
Пусть константы
и
таковы, что
, а
и
стремятся к нулю так же, как
когда
и
. Пуанкаре показал, что в указанных
условиях дифференциальное уравнение
, (2.23)
имеет те же особенности, что и простое уравнение линейной системы
.(2.24)
Кроме того, Пуанкаре показал, что критерий для различения типов
особенностей уравнения (2.23) можно выразить через
и
. В некоторых случаях
; это означает, что имеют место
особенности более высокого порядка.
2.2 Различные
типы особенностей
Изучим четыре частных случая уравнения (2.24), в которых это
дифференциальное уравнение может быть наглядно решено. Для наших целей эти
четыре случая представляют четыре типа особенностей, которые важны в
последующем.
Случай 1. Интегрирование
этого уравнения дает выражение фазовых траекторий:
. Если
, ясно, что все графики - прямые
линии, проходящие через начало координат (рис. 2.3 - а). Если
, все кривые
проходят через начало координат и
касательны к оси
, за исключением кривой
(рис. 2.3 - б). Если
, все траектории
проходят через начало координат и
касаются оси
, за исключением траектории
. Во всех трех случаях начало
координат называют неустойчивой узловой точкой, или неустойчивым узлом.
Рис.
2.3 Фазовые портреты, иллюстрирующие особую точку типа «узел»
Ситуация совершенно отличается, если
. Фазовые кривые
имеют две асимптоты:
,
, совпадающие с осями координат. Лишь
эти две траектории проходят через начало координат; все остальные избегают его.
Этот тип особенности называют седлом (рис. 2.4). Седло - такая особая точка, к
которой стремятся только траектории, являющиеся асимптотами фазовых кривых.
Каждая асимптота называется сепаратриссой. В случае маятника без трения (см.
рис. 2.2) неустойчивые состояния равновесия
(
- нечетное) соответствуют
особенностям этого рода.
Рис.
2.4 Поведение фазовых траекторий в окрестности особой точки типа «седло»
Случай 2.
(т. е.
). Для этого случая
, и фазовые кривые - эллипсы (
) с центром в начале координат или
окружности, когда
. Такая особенность называется центром (см. рис. 2.1), а
соответствующий фазовый портрет представляет периодическое движение. Устойчивые
точки равновесия
(
- любое целое число) маятника без трения (рис. 2.2)
принадлежит к этому типу.
Случай 3.
(т. е.
), причем
. Это уравнение можно решить, вводя полярные координаты
. В новых переменных уравнение
сводится к
, и траектории получаются как
; они представляют собой
логарифмические спирали (рис. 2.5). Такая особенность при
называется устойчивым фокусом
(неустойчивый фокус при
) и встречается при нелинейном анализе ФАП в отсутствие шума.
Если фокус устойчив, движение стремится к началу координат; в случае
неустойчивости движение расходится от начала координат.
Случай 4.
. Подстановка
переводит это уравнение в более простое
, откуда
, или
.
Рис.
2.5 Поведение фазовых траекторий в окрестности особой точки типа «фокус»
Все кривые (рис. 2.6) проходят через начало координат. Начало координат
снова оказывается неустойчивым узлом.
Рис.
2.6 Поведение фазовых траекторий в окрестности узла
Наконец, согласно (2.20) наклон фазовой траектории является некоторой
функцией
и
, скажем
. Годограф точки, которая движется
таким образом, что
(
- константа), определен Ван дер Полем [5] как изоклина.
Часто несложно методом изоклин определить тип особой точки и выяснить, является
она устойчивой или нет.
.3 Маятник с
трением, пропорциональным модулю скорости 
Для этого случая положим в (2.19)
и
и перейдем от (2.19) к уравнению I
порядка для траекторий
,(2.25)
Очевидно, что особые точки, соответствующие состояниям равновесия, имеют
место при
, где
- любое целое число, и
. При
правая часть (2.25) принимает форму
, и это соответствует особенности,
называемой центром (тип движения показан на рис. 2.1) или фокусом; однако наш
критерий для классификации особых точек не позволяет различить эти два случая.
При
,
,
особенность называется центром, что
соответствует случаю маятника без трения (см. рис. 2.1). Однако при наличии
трения особенность является устойчивым фокусом. Мы знаем из предыдущего
обсуждения,что при
(
- нечетное),
особая точка - «седло». Следовательно, особенности при
,
являются устойчивыми фокусами, если
четное, и седлами, если
нечетное. На рис. 2.7 показано
схематически несколько характерных фазовых траекторий. Видно, что движение
маятника стремится к устойчивому состоянию равновесия. Точки
,
соответствуют устойчивому состоянию
равновесия. Точки
,
соответствуют устойчивым стационарным точкам ФАП.
Рис.
2.7 Фазовый портрет маятника с трением, пропорциональным модулю скорости
Хотя дифференциальное уравнение (2.25) существенно нелинейное,
специфический вид функции
позволяет найти точное решение (2.25). Фазовые траектории
(рис. 2.7) можно получить в явном виде, если ввести в (2.25) новую переменную
:
(2.26)
Эти уравнения - линейные дифференциальные уравнения первого порядка с
постоянными коэффициентами относительно функции
. Таким образом, решение (2.26) легко
выписывается как
(2.27)
для
и
(2.28)
для
. В (2.27), (2.28)
и
- произвольные постоянные.
колебание
синхронизация фазокогерентный связь
3. Незатухающие
и релаксационные колебания
В этом разделе мы приступим к рассмотрению нелинейной задачи для случая,
когда трение нелинейно, а восстанавливающая сила предполагается линейной.
Нелинейность силы трения будет такова, что когда амплитуда колебаний увеличивается,
скорость убывает; а при уменьшении амплитуды скорость растет. Следовательно, в
этом случае состояние покоя неустойчиво, и колебание нарастает даже в
отсутствие внешних сил или сигналов. Это явление объясняет, почему такие
колебания называют самовозбуждающимися (самоподдерживающимися), или
автоколебаниями.
Наиболее наглядными системами, которые приводят к автоколебаниям,
являются электрические цепи, содержащие вакуумные лампы или транзисторы. Эти
схемы используются в технике связи в качестве автогенераторов, частота
колебаний которых управляется напряжением модуляторов и т. д. Электрическая
схема, изображающая автогенератор с трансформаторной обратной связью, показана
на рис. 3.1. Эта практически интересная схема описывается дифференциальным уравнением,
которое мы намерены изучать. Приступим к выводу дифференциального уравнения для
тока
, протекающего через катушку
индуктивности генератора.
Рис.
3.1 Схема генератора с обратной связью
Предположим, что сеточным током можно пренебречь. Заметим что полный ток,
протекающий в анодной цепи,
.(3.1)
Используя элементарные соотношения между током и напряжением, легко
написать
.(3.2)
Напряжение на сетке
обеспечивается взаимной индуктивностью
:
,(3.3)
а потенциал анода
,(3.4)
где
- напряжение батареи.
До сих пор еще не были использованы характеристики самой лампы. Лампа -
это нелинейный элемент, сконструированный так, что с достаточно хорошей
точностью анодный ток в нем зависит от линейной комбинации
напряжения на сетке
и анодного напряжения
, поэтому можно написать
,(3.5)
где
,(3.6)
причем
- константа, определяемая коэффициентом усиления лампы.
Функцию
иногда называют характеристикой
лампы, и она, вообще говоря, существенно нелинейна.
На основании (3.3) - (3.6) можно написать
и из (3.5) следует, что (3.7) - нелинейное дифференциальное уравнение, в
котором нелинейность связана с первой производной. Если ввести новую зависимую
переменную
,(3.8)
то (3.2) переходит в
,(3.9)
где
и
,
.(3.10)
Предположим далее, что
. Без этого условия, как впоследствии увидим, незатухающие
колебания были бы невозможны. Важно также иметь возможность подобрать
характеристику лампы и установить параметры схемы так, чтобы
для
, но
для больших
. Это означает, что «трение»
отрицательно для малых
, так что на основе наших предыдущих рассуждений можно было
бы ожидать, что амплитуда
будет возрастать. Однако при больших
система рассеивает энергию, и
поэтому можно ожидать, что амплитуда должна быть ограничена сверху.
Следовательно, после окончания переходного процесса, вероятно, установятся
колебания определенной амплитуды.
Первоначальные исследования, посвященные решениям уравнения (3.9),
принадлежат Ван дер Полю [5], который предпочитал работать с эквивалентным
уравнением для
. Подставляя
и дифференцируя (3.9) по
, получаем
,(3.11)
где
. Если характеристика лампы такова, что
принадлежит к типу, изображенному на
рис. 3.2 - а, то
имеет вид, показанный на рис. 3.2 - б. Для малых
, а для больших
, что указывает на возможность
существования незатухающих колебаний.
Рис.
3.2 Характеристики схемы с обратной связью
Чтобы исследовать переходный процесс в системе (3.9), аппроксимируем
отрезками прямых (рис. 3.3). Тогда
можно искать приближенное решение нелинейного дифференциального уравнения на
каждом из отрезков
и
. Запишем (3.9) как систему двух уравнений:
,(3.12)
где
- скорость изменения
, и предположим
, т.е.
. Из (3.12) следует
.(3.13)
Рис.
3.3 Кусочно-линейная аппроксимация нелинейного трения
Если построить решения
уравнения (3.13) на фазовой плоскости
, возникает семейство кривых, которое
определяет переходный процесс в системе для любых комбинаций начального
положения
и скорости
.
Если бы трение
было равно нулю, можно было бы непосредственно интегрировать
предыдущее уравнение, что привело бы к уравнению для энергии вида
, где
- постоянная интегрирования. На фазовой
плоскости это решение образует набор окружностей (см. рис. 2.1) для различных
. Если подставить решение в
уравнения, получается привычный результат
и
, т. е. простое гармоническое
движение. Если же добавить положительное трение, тотраектории будут
накручиваться по спирали на начало координат.
Для полигональной функции трения (рис. 3.3) можно «сшить» на фазовой
плоскости спирали, соответствующие трем линейным отрезкам
. В каждой из трех областей строятся
соответствующие траектории и соединяются на границах (рис. 3.4). В центральной
области спиральные траектории раскручиваются; в верхней и нижней областях они
скручиваются.
При некоторой промежуточной амплитуде имеется замкнутая кривая, которая
не скручивается и не раскручивается. Все другие траектории стремятся к этому
предельному циклу, который отображает стабильное периодическое колебание,
осуществляемое системой самостоятельно.
Рис.
3.4 Фазовые траектории нелинейного генератора, включающие предельный цикл
Этот пример позволяет проиллюстрировать поведение простой нелинейной
системы.
Конечно, если усложнить нелинейную функцию
, можно ожидать, что получатся более
сложные фазовые портреты. Одним из первых, кто исследовал поведение таких
нелинейных систем, был Пуанкаре [4], работы которого были столь всеобъемлющи,
что составили основу почти всего, что было сделано позднее.
Предельные циклы можно разделить на устойчивые, неустойчивые и
нейтральные. Устойчивый предельный цикл - вид периодического колебания, которое
после воздействия возмущения возвращается к своему первоначальному состоянию.
Колебание, соответствующее неустойчивому предельному циклу, никогда не
возвращается к своему первоначальному виду после произвольно малого возмущения.
Нейтральный предельный цикл зависит только от начальных условий, и любое
возмущение изменяет его пропорционально величине возмущения. Фактически
возмущения можно рассматривать как новые начальные условия; маятник без трения,
который сохраняет информацию о протекании процесса в прошлом, служит здесь
примером. Устойчивые предельные циклы иногда классифицируются как жесткие и
мягкие.
.1
Качественный анализ уравнения Ван дер Поля
Если положить в (3.11)
и
, получаем одну из форм уравнения Ван дер Поля
.(3.14)
Особенность этого уравнения состоит в том, что, когда
мало, трение отрицательно; оно
становится положительным при больших
. С помощью компьютерной техники
можно построить семейство траекторий уравнения Ван дер Поля на фазовой
плоскости («фазовый портрет»). На рис. 3.5 приведен типичный фазовый портрет
для различных значений
. Обсудим, что происходит при изменении
. Вблизи начала координат фазовые
траектории имеют форму логарифмических спиралей, однако вместо того, чтобы
уходить в бесконечность, они сходятся к замкнутой кривой. Траектории,
начинающиеся в бесконечности, стремятся к той же самой замкнутой кривой
(предельному циклу), которая изображает периодическое движение с постоянной
амплитудой.
Рис.
3.5 Фазовые портреты генератора Ван дер Поля при различных значениях параметра
x
Для малых
, например, предельный цикл только слегка отличается от эллипса
рис. 3.5 - а, что указывает на синусоидальность колебаний; однако его форма
меняется весьма резко с ростом
- рис. 3.5 - б. Соответствующие графики, изображающие
установление во времени амплитуды колебаний
, растущих к предельному циклу,
показаны на рис. 3.6. Видно, что при
движение плавное и оченьблизко к
синусоидальному.
Рис.
3.6 Изменение характера колебаний с ростом нелинейности
При
(рис. 3.5 - в) колебание состоит из резких переходов между
амплитудами противоположного знака; по этой причине Ван дер Поль назвал данный
тип движения релаксационным колебанием. Он использовал его, чтобы объяснить
работу сердца. Заслуживает внимания, что увеличение нелинейного трения (рост
коэффициента
) не только вызывает переход от синусоидальных колебаний к
релаксационным, но и понижает частоту первых. Это полная противоположность
случаю свободных колебаний линейной системы, обсуждавшемуся ранее.
Устойчивость автоколебательного типа движения можно исследовать методом
«уравнений для вариаций». Можно показать, что движение, соответствующее
периодическому решению
, устойчиво, если линейный интеграл
,(3.15)
где
определено (3.11).
Теория колебаний при нелинейном трении, обзор которой дан в этом разделе,
имеет важные применения в технике связи.Кроме того, известно, что различные
биологические процессы хорошо описываются уравнениями, подобными (3.11).
Физиологическая реакция некоторых групп людей на изменение деловой обстановки
вне всякого сомнения демонстрирует определенную аналогию с поведением
генераторов незатухающих колебаний. Релаксационные колебания встречаются не
только в электронике и биологии, но и в экономике. Например, крах на фондовой
бирже - это релаксационное колебание, один его цикл. Релаксационное колебание
характеризуется длинными интервалами спокойствия, за которыми следует
внезапное, иногда катастрофическое изменение в течение очень короткого
интервала времени.
Релаксационное колебание служит также исключительно удачным примером для
иллюстрации механизма фазовой синхронизации. Изменяя степень нелинейности
(изменяя
), можно изменить частоту генератора.
Прикладывая внешний сигнал, можно изменить фазу и частоту релаксационных
колебаний до уровня, где происходит их привязка к фазе и частоте внешнего
сигнала.
Подведем итог, отметив, что было изучено два крайних типа колебаний:
синусоидальныеи релаксационные. Как мы видели, синусоидальное колебание имеет
плавное, непрерывное течение процесса, связанного с обменом энергией между
двумя ее резервуарами. Комбинация из пружины и массы периодически обменивает
потенциальную и кинетическую энергию. В генераторе
существует обмен энергией между
емкостью и индуктивностью.
При релаксационных колебаниях нет двух взаимно переключающихся
резервуаров энергии. Имеется единственный накопитель энергии, который
постепенно наполняется. Когда резервуар заполняется до определенного уровня,
открывается выходной клапан, через который резервуар опорожняется, после чего
снова начинается заполнение. При синусоидальных колебаниях сигнал, поступающий
через цепь обратной связи, подталкивает генератор непрерывно, предохраняя
колебания от затухания, подобно тому, как подталкивают качели с ребенком.
Напротив, при релаксационном колебании нет резонансной частоты, но зато имеется
пороговый эффект. Когда достигается порог, резервуар опорожняется, хотя
источник, который наполняет его, продолжает действовать. Такое положение
возникает при работе сердца.
.2 Связанные
нелинейные колебания, регенеративный приемник с привязкой по фазе и принцип
синхронизации
Рассмотрим различные аспекты влияния нелинейности на процессы в
резонансных системах. Интерес здесь представляет в первую очередь случай, когда
благодаря нелинейности в системе могут поддерживаться незатухающие колебания,
что обсуждалось в предыдущем параграфе. Вопрос состоит в том, что происходит,
когда такая система подвергается воздействию внешнего сигнала, имеющего
частоту, близкую к резонансной частоте системы. Вместо того чтобы рассматривать
случай наложения внешнего сигнала, можно спросить, что происходит, когда два
нелинейных генератора, настроенных на близкие частоты, взаимно связываются.
Ответ на эти весьма сложные вопросы дает принцип синхронизации, захватывания или
фазовой синхронизации.
Явление синхронизации было среди первых изученных нелинейных явлений.
Оно, как мы увидим, легко возникает в электронных схемах, где есть резонансный
контур с частотой собственных колебаний
. Если прикладывается посторонний
сигнал частоты
, возникают биения двух частот, т. е. появляется колебание
частоты
. Если
приближается к
, частота биений понижается; но так
происходит только до определенного значения
, после которого биения внезапно
исчезают и остается только частота
. Все происходит так, как если бы
свободные колебания с частотой
были захвачены приложенным сигналом с частотой
.
Первым, кто наблюдал это явление на двух настенных часах, был Гюйгенс
(1629 -1695). Эти эффекты в электрических цепях заново были открыты более двух
столетий спустя рядом физиков; среди них были лорд Рэлей [6], Винцент, Мюллер,
Эплтон и Ван дер Поль и др. Два последних автора существенно развили теорию
синхронизации.
Рис.
3.7 Автогенератор с трансформаторной обратной связью, на который воздействует
сигнал s(t)
На рис. 3.7 изображена электрическая схема, которая представляет типичный
и важный случай, иллюстрирующий принцип синхронизации. Здесь резонансный контур
находится в сеточной цепи автогенератора. Источник сигнала (внешняя э. д. с.
) также включен в цепь сетки. В
системах связи это аналогично сигналу, принятому через антенну. Так как цепи
сетки и анода связаны взаимной индуктивностью
, дифференциальные уравнения схемы,
записанные относительно тока контура
и потенциала сетки
, имеют вид
.(3.16)
Представляя характеристику лампы в виде полинома IIIстепени
,(3.17)
где
и
- положительные константы (часто
называют потенциалом насыщения, a
-крутизной характеристики), и вводя
в (3.16) обозначения
, (3.18)
получаем уравнение Ван дер Поля при наличии внешнего воздействия:
. (3.19)
Отметим, что
- частота свободных линейных колебаний контура генератора.
Когда
и
, колебательная система вырабатывает
нелинейные колебания. Если
- стохастический процесс, то колебательная система (3.19)
дает случайные нелинейные колебания.
3.3 Основные
уравнения
Уравнения, которые описывают поведение колебательной системы,
подчиняющейся (3.19), в наиболее интересном случае проще всего решаются в
предположении о «квазисинусоидальном» характере решения:
, (3.20)
где
;
;
и
. При этом считается, что
и
- медленно меняющиеся функции
времени.Другими словами, движение
по существу представляет собой
колебание, очень похожее на узкополосный сигнал, в котором
и
- функции, меняющиеся медленно по
сравнению с
. Заметим для себя, что
аналогично опорному сигналу в ФАП.
Полагая, что колебательная система находится под воздействием внешнего
периодического сигнала
, можно переписать (3.19) в виде
,(3.21)
где
и по предположению
. Если положить
, величина
, как увидим ниже, становится
амплитудой свободных нелинейных колебаний с частотой
, когда
. И действительно, когда
, колебания (см. рис. 3.6)
характеризуются тремя параметрами: амплитудой
, резонансной частотой колебаний
и коэффициентом
, который характеризует время
переходного процесса (установления стационарных колебаний).
Амплитуда
и фаза
как полярные координаты на фазовой плоскости, вращающейся с
угловой скоростью
, определяются соотношениями
,
,
Причем
. Такие определения удовлетворяют точным уравнениям
;
.(3.22)
Замечая, что
и подставляя выражения для
и
в (3.22), получаем
.(3.23)
Здесь обозначили
и приняли, что
,
а также пренебрегли членами с двойной частотой. В частности, если
положить
, то из (3.23) следует
,
, поскольку
и
не могут одновременно обратиться в
нуль при
. Это подтверждает ранее сделанное
заявление, что
- амплитуда свободных нелинейных колебаний.
Подставляя в (3.23) выражения
и
, получаем уравнения для фазы и
амплитуды
(3.24)
Дифференциальное уравнение для
аналогично уравнению ФАПI порядка при
синусоидальной характеристике фазового детектора, когда
,
,
а шум отсутствует. Когда
, генератор захвачен по фазе, или синхронизирован входным
сигналом. После того, как это произошло, можно рассматривать генератор как
синхронизированный по фазе регенеративный приемник. Этот пример позволяет также
иллюстрировать принцип действия захваченного автогенератора [7] и показывает,
как можно повысить стабильность частоты генератора, воздействуя на него
напряжением от второго генератора, хотя бы и менее мощного, но обладающего
более высокой стабильностью частоты. Причинами нестабильности частоты являются
флуктуации тока и напряжения в различных элементах автогенератора, например
дробовой шум анодного тока, тепловые эффекты, нестабильность источника питания
или внешние помехи. Все эти флуктуации могут быть учтены введением шумового
источника в цепь сетки и уточнением рабочих уравнений.
Представляет далее интерес изложить вкратце работы Андронова и Витта [8,
9], так как они дают прекрасный пример приложения теории особых точек
дифференциальных уравнений первого порядка к задаче синхронизации.
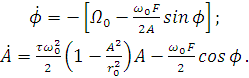
Введя в (3.23) безразмерные координаты и время
;
;
;
,(3.25)
получаем систему
;
,(3.26)
Где
и
.
Исключив в (3.26) время
, имеем дифференциальное уравнение первого порядка
.(3.27)
Особые точки расположены там, где
и
обращаются в нуль:
;
. (3.28)
Выражая отсюда
и
через
и
и подставляя в
, приходим к соотношению
,(3.29)
которое было получено Ван дер Полем другим методом. Заметим, что в новых
переменных
и
выходное колебание приобретает вид
,(3.30)
так что для каждой частоты биений (для каждого
) и каждого
уравнение (3.29) определяет через
амплитуды
и
. По аналогии с резонансным
усилителем эти кривые иногда называют резонансными кривыми автогенератора с
захватыванием.
Ван дер Поль идет дальше и показывает, что условия для захвата
(синхронизации) автоколебаний задаются соотношениями
;
.(3.31)
.4 Колебания
при большой расстройке
Когда расстройка
велика, уравнение (3.23) переходит в следующее:
;
,(3.32)
так что
и
,
где
- константа, а
- постоянный фазовый сдвиг. В этом
случае колебание (3.20) модулировано по амплитуде сигналами с частотой биений
. Действительно, используя
соотношение для синуса разности двух углов, находим из (3.20) и (3.32), что
.(3.33)
Отсюда следует, что когда расстройка
велика, приложенный извне сигнал не
оказывает заметного воздействия на колебание
.
3.5
Комбинированные колебания постоянной амплитуды.
Мы убедились, что в двух крайних случаях большой и малой расстройки
выходной сигнал генератора Ван дер
Поля
состоит из двух простых
гармонических колебаний; одного с частотой
, другого с частотой
. Посмотрим теперь, что получится,
если анализировать проблему с точки зрения линейной теории.
Рис.
3.8 Зависимость частоты биений от расстройки для двух различных типов
генератора: a - линейная система; б - нелинейная система
Чтобы в системе могли существовать автоколебания, пришлось бы
постулировать отсутствие затухания, т. е. положить
. Кроме того, интуитивно ясно, что
когда приложен внешний сигнал, он должен бы накладываться на выходное
колебание, не оказывая влияния на существование колебаний, и может,
по-видимому, привести к обычному линейному резонансу. Вблизи резонанса два
колебания должны порождать биения, частоту которых путем приближения
к
можно было бы сделать сколь угодно
низкой (рис. 3.8 - а).
Вернемся к количественному анализу нелинейных процессов в захваченном
автогенераторе. Для количественного исследования сложных колебаний необходимо
задаться решением, форма которого отлична от (3.20). Обобщая, будем считать,
что основное колебание (напряжение на сетке) генератора имеет вид (по крайней
мере для малых
)
,(3.34)
где
и
- амплитуда и фаза колебания на частоте приложенного извне
сигнала, а
и
- соответствующие величины для автоколебаний на резонансной
частоте. Если подставить (3.34) в (3.21), то сравнительно несложно устранить
время и приближенно получить
;
,(3.35)
Где
.(3.36)
Вводя нормированные амплитуды
и
автоколебаний на частоте внешнего
воздействия получаем взамен (3.35)
,
,(3.37)
где
.
На рис. 3.9 и 3.10 построены графики нормированных амплитуд в зависимости
от нормированной расстройки
при различных значениях
.
Частотные характеристики
и
захваченного автогенератора делятся на две части. Когда
воздействие
велико, отклик
на внешний сигнал очень похож на
резонансную кривую линейного контура. Однако амплитуда собственных колебаний
испытывает очень интересное
изменение. Когда расстройка
далека от резонанса, влияние внешнего сигнала на
мало, однако при приближении
к
амплитуда
падает до нуля и остается такой до
тех пор, пока
не удалится от
с противоположной стороны. Таким
образом, существует конечный интервал (полоса синхронизма) частот вблизи
резонанса, где автогенератор захвачен так что он осциллирует в точности на
частоте внешнего сигнала. В этой области биения полностью исчезают, как
показано на рис. 3.8 - б который следует сравнить с рис. 3.8 - а, который
относится к линейному случаю.
Другими словами, если частоты различных колебаний достаточно близки, они
будут подтягиваться друг к другу, что приведет к фазовому синхронизму
колебаний. Важный момент здесь состоит во взаимной связи частот, присутствующих
во внешнем сигнале, с частотой генератора, который синхронизируется.
Действительно, в энергетических системах, где ряд синхронных генераторов питает
нагрузку через пару шин, отмечается то же самое явление: стягивание
индивидуальных частот всей совокупности в единое, хорошо отрегулированное
колебание.
Иначе ведут себя характеристики автогенератора, представленные на рис.
3.9 и 3.10, когда воздействие
меньше
и расстройка
меньше
. В этом случае характеристики становятся многозначными и
существует более одного устойчивого состояния, часть из которых соответствует
синхронному режиму, другие - нет.
Рис.
3.9 Амплитудно-частотные характеристики синхронизированного автогенератора
Рис.
3.10 Амплитудно-частотные характеристики автоколебаний на резонансной частоте
Имеют место явления гистерезиса и скачков. Такое поведение автогенератора
совершенно отлично от всего, что предсказывает линейная теория. Предыдущий
пример иллюстрирует основные принципы, которые позволяют осуществить
синхронизацию в системах связи. Важно усвоить, что, если частоту автогенератора
можно изменить, приложив внешний сигнал на другой частоте, механизм этого
воздействия обязательно должен быть нелинейным. Линейный механизм воздействия
на автогенератор с данной частотой может привести только к колебаниям той же
частоты, в общем случае с некоторым изменением по фазе и амплитуде. Это не так
для нелинейных генераторов, которые могут вырабатывать автоколебания, частота
которых является суммами и разностями различного порядка собственной частоты
автогенератора и частоты внешнего воздействия.
Вообще говоря, приложенный сигнал может сместить частоту нелинейного
генератора, и в случае, который только что был рассмотрен, это смещение имеет
характер подтягивания средней частоты к синхросигналу. По-видимому, наш мозг
содержит ряд генераторов с частотой около 10 Гц, частоты которых, в пределах
некоторых ограничений, могут быть подтянуты к некоторой другой в результате
зрительного воздействия. При таких обстоятельствах эти частоты легко
стягиваются (синхронизируются по фазе) в одну или более групп. Фазовая
синхронизация колебаний наблюдается в биологических системах: у светлячков,
сверчков и лягушек. Точное регулирование частоты, которое делает возможным
использование электрических часов высокой точности, связано с фазовой
синхронизацией или подтягиванием частот в системах, вырабатывающих
электроэнергию. В терминах биологии можно сказать, что параллельное соединение
генераторов имеет лучший гомеостаз, чем одиночный генератор, вследствие
стягивания частот.
Одна из центральных проблем биологии состоит в том, чтобы понять способ,
посредством которого основные вещества, образующие гены или вирусы или, возможно,
специфические вещества, порождающие рак, воспроизводят себя из материалов, не
обладающих подобной специфичностью: таких, как смесь амино- и нуклеиновых
кислот. Согласно Винеру [3] вполне допустимо, что это явление можно
рассматривать как своего рода сопряжение частот. Подтягивание и связывание
частот наблюдаются также в атомной физике, когда дело касается молекулярных
спектров. Планеты - это также осцилляторы с нелинейными характеристиками; их
возмущения определяются нелинейным взаимодействием. То же явление наблюдается
при изучении частиц высокой энергии с помощью циклотронов. Периодическое
затягивание непосредственно наблюдалось в биологических ритмах, таких как
движение плавников рыб (называемом относительной координацией), в почти
синхронных ритмах, магнетронах, в генераторах с захватыванием и некоторых типах
плазмы.
3.6
Электротехнические задачи, приводящие к уравнению Хилла
Нелинейные системы с колебаниями релаксационного типа были изучены
методами, связанными с именем Хилла [10]. Отыскание решения для переходного
процесса в синхронизируемой системе зависит от нашего умения решать
дифференциальное уравнение, называемое уравнением Хилла [10]. Обсуждение общей
теории уравнения Хилла, затрагивающей вопросы существования, единственности и
ограниченности решений, выходит за рамки настоящей курсовой работы. Тем не
менее, будет полезным ознакомление с видом этого уравнения.
Простая электрическая цепь, приводящая к уравнению Хилла, состоит из
параллельного контура, включающего постоянную индуктивность
и конденсатор, емкость
которого, по предположению,
периодически меняется со временем. Для заряда конденсатора
имеем дифференциальное уравнение
.(3.38)
Легко привести многие другие примеры физических задач, связанных с
уравнением Хилла; однако если некоторая функция
периодична по
, линейное уравнение
(3.39)
называется уравнением Хилла, только если
и
- константы. Если, например, в
(3.39)
, причем
, и
, то в результате получим специальный
случай уравнения Хилла - уравнение Матье. В общем же случае для выявления
функционального характера решений уравнения Хилла можно использовать теорию
Флоке, относящуюся к линейным дифференциальным уравнениям с периодическими
коэффициентами. Эта теория, к сожалению, не решает вопроса об устойчивости, что
обычно можно выполнить только с помощью детального изучения решений данного
дифференциального уравнения.
Заключение
Нет такого раздела физики, в котором мы не встречались бы в той или иной
степени с явлениями, в которых имеют место колебания. В оптике, акустике,
механике, электричестве, в теории атома - всюду мы встречаемся с колебаниями.
Колебательные процессы широко распространены в природе и находят применение во
многих практических приложениях.
Как известно, существует много разных типов колебаний. Однако все
колебательные процессы можно разделить на колебания, совершающиеся в линейных и
в нелинейных системах. Названия их определяются видом дифференциальных
уравнений, которые описывают колебательное движение материальной системы.
Линейными системами называют такие системы, в которых основной закон колебаний
выражается линейным дифференциальным уравнением. Очевидно, что нелинейные
системы - такие, для которых основной закон выражается нелинейным
дифференциальным уравнением.
На сегодняшний день наиболее изученными являются линейные системы. Это и
не удивительно. Ведь если оглянуться назад, то можно заметить, что основные
усилия исследователей были сосредоточены лишь на изучении линейных систем. В то
же время большой интерес представляют нелинейные системы. Ведь практически все
процессы и явления, которые встречаются на практике, являются нелинейными по
своей природе.
Исследование нелинейных колебаний значительно усложняется, т.к. нет общих
методов решения нелинейных дифференциальных уравнений. Разница между процессами
в линейных и нелинейных колебательных системах сводится к тому, что при анализе
колебаний в линейных системах по частным процессам можно сделать вполне
определенное заключение о всех возможных в данной системе процессах, а для
процессов в нелинейных системах вообще этого сделать нельзя.
Но, если рассматривать малые колебания, такие, при которых координата и
скорость изменяются на малую величину, то многие нелинейные уравнения станут
линейными и исследование движения значительно упростится.
Таким образом, мы рассмотрели классические, наиболее часто встречающиеся
методы исследования нелинейных систем. В последнее время благодаря развитию
вычислительной техники стало возможным решить, вообще говоря, любое уравнение с
помощью численных методов. Однако простой перебор численных решений ведет лишь
к чуть большему пониманию нелинейных процессов, но не дает четкого представления
о самой сути нелинейной системы.
Список
литературы
1. В.
Линдсей. Системы синхронизации в связи и управлении. Пер. с англ. - В.Н.
Кулешова, Г.Д. Лобова, Д.П. Царапкина под ред. Ю.Н. Бакаева, М. В. Капранова.-
Москва, «Советское радио», 1978.
2. Г.
Пейн. Физика колебаний и волн. Пер. с англ. - А.А. Колоколова под ред. Г.В.
Скроцкого. - Москва, «Мир», 1979.
. Н.
Винер. Кибернетика. Пер. с англ. Москва, «Советское радио», 1968.
. А.
Пуанкаре. О кривых, определяемых дифференциальными уравнениями. Пер. с франц.
М. - Л., ОГИЗ, 1947.
. Б.
Ван дер Поль. Нелинейная теория электрических колебаний. Пер. с англ.
Связьтехиздат, 1935.
. Стретт
Дж. В. (лорд Релей). Теория звука. Т. 1,2. Пер. с англ. М., ГИТТЛ, 1955.
. Р.
Адлер. Исследование явлений синхронизации генераторов. - «ТИИЭР», 1973, т. 61,
№ 10, 5 - 11.
. А.А.
Андронов, А.А. Витт. К математической теории автоколебаний. - В кн.: Собрание
трудов А. А. Андронова. М. - Л., Изд. АН СССР, 1956.
. А.А.
Андронов, А.А. Витт. К теории захватывания Ван дер Поля. - В кн.: Собрание
трудов А.А. Андронова. М. - Л., Изд. АН СССР, 1956.
10. Magnus,
W., and S. Winkler, Hill’s, Equations. J. Wiley, N. Y., 1966.