Измерение неэлектрических величин

  • Вид работы:
    Реферат
  • Предмет:
    Физика
  • Язык:
    Русский
    ,
    Формат файла:
    MS Word
    104,72 Кб
  • Опубликовано:
    2012-11-17
Вы можете узнать стоимость помощи в написании студенческой работы.
Помощь в написании работы, которую точно примут!

Измерение неэлектрических величин

Оглавление

Введение

. Прибор для измерения отклонения толщины диэлектрической ленты от образцового значения

. Емкостные датчики

.1 Общие сведения

.2 Емкостный датчик по типу плоскопараллельного конденсатора

.3 Емкостный датчик для измерения толщины диэлектрической ленты

.4 Погрешности и способы их устранения

Заключение

Список литературы

Введение


В современной технике значения неэлектрических величин, параметры и характеристики неэлектрических процессов измеряют преимущественно электрическими и радиоэлектронными методами.

Общий принцип работы подобных приборов предполагает преобразование неэлектрической величины в электрическую. Роль последней может выполнять параметр какого-либо компонента электрической цепи (емкость конденсатора, индуктивность катушки, сопротивление резистора) или электрическое напряжение (ток), определенный параметр которого, однозначно соответствует неэлектрической величине. При преобразовании процессов чаще всего достигается соответствие между мгновенными значениями электрического напряжения (тока) и мгновенными значениями неэлектрического процесса. Значения электрических величин и параметры напряжения (тока) измеряются с помощью радиоэлектронных или электрических средств измерений. Рассматриваемые методы обладают многими достоинствами. К ним можно отнести:

·        возможность осуществления дистанционных измерений (в том числе на сильно удаленных объектах и объектах, недоступных для присутствия экспериментатора);

·        ускорение измерений;

·        возможность непрерывного измерения значений или характеристик процесса;

·        высокую чувствительность измерительных средств;

·        хорошие предпосылки для автоматизации измерений;

·        упрощение обработки результатов измерений и т.п.

В данном реферате приводится описание прибора для измерения отклонения толщины диэлектрической ленты от образцового значения на основе емкостного измерительного преобразователя.

1. Прибор для измерения отклонения толщины диэлектрической ленты от образцового значения


Измерительный прибор осуществляет преобразование входного сигнала x(t) в выходной сигнал y(t):

(t) = F[x(t)], (1)

где x(t) и y(t) - векторные величины; F(x) - требуемая функция преобразования. На выражение (1) можно смотреть на информационную модель прибора, в которой осуществляется преобразование входной информации в выходную.

В более общей формулировке прибор осуществляет операцию отображения множества сигналов на входе xÎXв множество сигналов на выходе yÎY, при этом указанное отображение должно быть однозначным.

В реальных приборах функция преобразования зависит не только от сигнала x(t), но также от возмущения x(t) на сигнал x(t), от помехи J(t), действующей на параметры прибора q(t), от несовершенства технологий изготовления прибора h(t) и от помехи n(t), возникающих в самом приборе (трения, паразитных ЭДС и др.), т. е.

(t) = F[x,x,q(h,J),n)], (2)

где x,q,h,J,n - векторы.

На рис. 1 приведена функциональная схема, отображающая зависимость (2).

Измеряемыми величинами, на основе которых формирует полезный сигнал х(t), являются параметры первичной информации, такие, как давление, температура, количество и расход жидкостей, линейные и угловые размеры, расстояния, скорости, ускорения, деформации, напряжения, вибрации, внутренние трещины, несплошности в материалах и др. К числу вредных возмущений относятся перегрузки, вибрации, электрические и магнитные поля, неконтролируемые вариации температуры, давления, влажности окружающей среды и т. д. Все эти возмущения вносят погрешности в показания приборов.

Рисунок 1. Функциональная схема прибора.

Прибор должен воспроизводить измеряемые величины с допускаемыми погрешностями. При этом слово "воспроизведение", эквивалентное в данной трактовке слову "отображение", понимается в самом широком смысле: получение на выходе прибора величин, пропорциональных входным величинам; формирование заданных функций от входных величин (квадратичная и логарифмическая шкалы и др.); получение производных и интегралов от входных величин; формирование на выходе слуховых или зрительныхобразов, отображающих свойства входной информации; формирование управляющих сигналов, используемых для управления контроля; запоминание и регистрация выходных сигналов.

Измерительный сигнал, получаемый от контролируемого объекта, передается в измерительный прибор в виде импульса какого- либо вида энергии. Можно говорить о сигналах: первичных - непосредственно характеризующих контролируемый процесс; воспринимаемых чувствительным элементом прибора; подаваемых в мерительную схему, ит.д. При передаче информации от контролируемого объекта к указателю прибора сигналы претерпевают ряд изменений по уровню испектру и преобразуются из одного вида энергии в другой.

Необходимость такого преобразования вызывается тем, что первичные сигналы не всегда удобны для передачи, переработки, дальнейшего преобразования и воспроизведения. Например, при измерении температуры прибором, чувствительный элемент которого помещается в контролируемую среду, воспринимаемый поток тепла трудно передать, а тем более воспроизвести на указателе прибора. Этой особенностью обладают почти все сигналы первичной информации. Поэтому воспринимаемые чувствительными элементами сигналы почти всегда преобразуются в электрические сигналы, являющиеся универсальными.

Та часть прибора, в которой первичный сигнал преобразуется, например, в электрический, называется первичным преобразователем. Часто этот преобразователь совмещается с чувствительным элементом. Сигналы с выхода первичного преобразователя поступают на следующие преобразователи измерительного прибора.

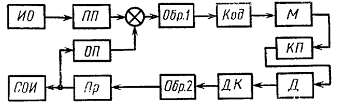
Рисунок 2. Структурная схема прибора

На рис. 2 дана структурная схема прибора, на которой указаны: исследуемый объект (ИО);первичный преобразователь (ПП);устройство сравнения (УС); устройство обработки сигналов (Обр. 1), в котором производится селекция, усиление, коррекция погрешностей, фильтрация и др.; кодирующее устройство (Код); модулятор (М); канал передачи (КП); устройство детектирования (Д); устройство декодирования (ДК);устройство обработки информации (Oбр. 2), обеспечивающее функциональное преобразование, коррекции погрешностей, формирование функции преобразования (1) и др.; преобразователь (Пр), выдающий информацию на систему отображения (СОИ) и на обратный преобразователь (ОП), с которого поступают сигналы на устройство сравнения. [5]

2. Емкостные датчики

 

2.1 Общие сведения


Техника конструирования и применения датчиков, или, как ее можно кратко назвать, сенсорика, за последние годы развилась в самостоятельную ветвь измерительной техники. С ростом автоматизации к датчикам физических параметров стали предъявляться все более высокие требования. При этом особое значение придается следующим показателям:

·        миниатюрность (возможность встраивания);

·        дешевизна (серийное производство);

·        механическая прочность;

По структурному построению автоматизированные устройства напоминают такие биологические системы, как, например, человек. Органам чувств человека соответствуют в автоматах (или роботах) датчики, а функции активных органов выполняются исполнительными устройствами. Аналогом мозга как центрального устройства для обработки сигналов служит ЭВМ с ее системой памяти. [4]

Датчик, сенсор (от англ. sensor) - понятие систем управления, первичный преобразователь, элемент измерительного, сигнального, регулирующего или управляющего устройства системы, преобразующий контролируемую величину в удобный для использования сигнал.

По принципу действия датчики делятся на:

·        Оптические датчики (фотодатчики);

·        Магнитоэлектрический датчик (На основе эффекта Холла);

·        Пьезоэлектрический датчик;

·        Тензо преобразователь;

·        Ёмкостной датчик;

·        Потенциометрический датчик;

·        Индуктивный датчик.

Емкостный датчик - преобразователь параметрического типа, в котором изменение измеряемой величины преобразуется в изменение ёмкости конденсатора.[1]

Емкостные датчики относятся к датчикам параметрического типа, в которых изменение контролируемой величины вызывает изменение емкостного сопротивления датчика. Как известно, емкость конденсатора зависит от формы и геометрических размеров электродов (площади обкладок), от диэлектрической проницаемости и от расстояния между его обкладками. В различных датчиках, применяющихся для контролирования какой-либо неэлектрической величины, может меняться один из указанных параметров. При помощи емкостных датчиков измеряют геометрические размеры изделий, влажность изоляционных материалов, от которой зависит εr (относительная диэлектрическая проницаемость), и определяют состав изоляционного материала. Они получили также распространение в телемеханике - для преобразования механического перемещения (линейного или углового) в изменение электрической емкости конденсатора. Чаще всего емкостный датчик представляет собой плоский конденсатор, состоящий из двух пластин или более, между которыми помещается диэлектрик.

Как известно, емкость плоскопараллельного конденсатора пФ можно определить по формуле

,(3)

где S - действующая площадь обкладок, составляющих конденсатор, см2; ε - относительная диэлектрическая проницаемость (для воздуха ε = 1); d - толщина диэлектрика (или зазора), мм.

Из формулы видно, что изменения емкости можно достигнуть путем изменения значения одной из величин: ε, S или d. Таким образом, каждую из величин, входящую в формулу, можно принять за входную (остальные параметры остаются постоянными) и получить соответствующий тип датчика с переменной емкостью на выходе. В некоторых конструктивных исполнениях роль одного из рабочих электродов (обкладки) может выполнять часть контролируемого устройства, например кулачок, мембрана, корпус подвижного состава, материал на ленте транспортера, тело человека, приближающееся к объекту и др. Преимущества емкостных датчиков:

·        высокая чувствительность, поэтому они применяются для измерения быстропеременных параметров, давления, вибрации, ускорения, уровня жидкости, состава смеси, перемещений первичных измерителей, обладающих малым собственным моментом и др.;

·        малый вес и габариты;

·        небольшая величина силы взаимодействия между пластинами, обусловленная электрическим полем; в некоторых случаях этой величиной можно пренебречь ;

·        простота приспособления формы конденсатора к различным задачам, что позволяет с помощью одной измерительной схемы производить различные измерения неэлектрических величин.

Недостатки емкостных датчиков:

·        необходимость усиления снимаемого сигнала (наличие усилителей напряжения на выходе);

·        необходимость тщательной экранировки датчика от влияния паразитных емкостей и посторонних электрических полей;

·        необходимость применения источника напряжения повышенной частоты (от 1 кГц до десятков мегагерц).

При выборе конструкции датчика необходимо учитывать минимальное расстояние между пластинами во избежание электрического пробоя конденсатора. Минимальное расстояние воздушного промежутка принимают равным порядка 30 мкм. Можно значительно увеличить напряжение питания, помещая между обкладками конденсатора тонкую слюдяную пластинку.[2].

2.2 Емкостный датчик по типу плоскопараллельного конденсатора


Рисунок 3. Датчик по типу плоского конденсатора

Датчик по типу плоского конденсатора (датчик из двух параллельных пластин) (рис. 3). Если связать подвижную пластину 2 с объектом измерения, а пластину 1 оставить неподвижной, то емкость конденсатора будет изменяться с изменением расстояния d между пластинами. Такой датчик применяется для измерения весьма малых перемещений - до 1 мм (емкостные микрометры).

Переменной величиной в данном датчике является расстояние между пластинами. Зависимость емкости С, (пФ), от величины смещения δ определяется выражением


где δ - величина смещения, т. е. величина изменения зазора между пластинами, мм;- зазор между пластинами при δ = 0, мм;- площадь пластин, см2;

εr - относительная диэлектрическая проницаемость среды между обкладками.

Если предположить, что между пластинами находится воздух, т. е. εr=1, то формула (4) примет вид

,(5)

Чувствительность датчика определяется величиной приращения емкости при изменении контролируемой неэлектрической величины на единицу ее измерения. Чувствительность находят путем дифференцирования выражения для емкости по переменной неэлектрической величины (по смещению, углу поворота, высоте уровня и др.). Таким образом, чувствительность датчика, пФ/мм, для плоского конденсатора [2]

,(6)

 

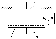
2.3 Емкостный датчик для измерения толщины диэлектрической ленты


Емкостный датчик для измерения толщины материала из диэлектрика (рис. 4). Контролируемый материал 1 протягивается с помощью роликов 2 между обкладками конденсатора 3, не касаясь их. Данный датчик в принципе представляет собой плоскопараллельный конденсатор с двухслойным диэлектриком.

Рисунок 4. Емкостный датчик для измерения толщины материала

Если длину зазора между обкладками обозначить d, мм, толщину ленты диэлектрика ∆, мм, а диэлектрическую проницаемость ленты из диэлектрика εдэ, то емкость датчика, пФ,

,(7)

где S - площадь обкладок, см2.

Чувствительность датчика

,(8)

Для определения малых изменений емкости ∆С/С применяют следующие схемы включения емкостных датчиков:

·        мостовую;

·        резонансную;

·        биений.

Мостовая схема измерений применяется при изменении емкости до ∆С/С=10-4 - 10-3. Для более чувствительных измерений (до ∆С/С = 10-5 - 10-6) используют два последних метода. Здесь генератор высокой частоты 1 питает индуктивно связанный с ним контур, состоящий из индуктивности LK, подстроечного конденсатора С0 и емкостного датчика Сд. Напряжение UK, снимаемое с контура, усиливается и выпрямляется усилителем 2. Результаты измерения фиксируются измерительным прибором, шкала которого градуируется в единицах измеряемой величины. При помощи подстроечного конденсатора С0 контур настраивается на частоту, близкую к частоте генератора ωг≈ω0 . Следует также иметь в виду, что подвижная пластина датчика Сд должна находиться в нейтральном положении. При этих условиях напряжение, снимаемое с контура UK, должно быть примерно в два раза меньше, чем напряжение при резонансе Uр. Таким образом, незначительное перемещение подвижной пластины датчика Сд приведет к резкому изменению напряжения в контуре на его выходе, чем и объясняется высокая чувствительность и устойчивость схемы.

Рисунок5. Резонансная схема измерений

Резонансная частота контура определяется из условия резонанса (активное сопротивление катушки и индуктивности при этом не учитываются)

,(9)

Для измерения методом биений используют два связанных генератора с одинаковой частотой колебаний в диапазоне 10-25 МГц, из которых один модулируется по частоте измеряемой механической величиной, воздействующей на измерительный конденсатор. На выходе смесителя выделяется сигнал разностной частоты (биения), пропорциональной измеряемой величине. Колебания высокой частоты как бы модулируются колебаниями разностной частоты (∆ω). Метод биений получил в основном применение в схемах точного измерения частоты.[2]

 

2.4 Погрешности и способы их устранения


При измерениях различных неэлектрических величин емкостными датчиками могут возникнуть погрешности, вызванные влиянием температуры и влажности. Под влиянием температуры могут изменяться геометрические размеры датчика, а также диэлектрическая проницаемость (в датчиках с твердым и жидким диэлектриком). Эти погрешности могут быть сведены к минимуму путем выбора соответствующей конструкции датчика (правильный выбор геометрических размеров деталей с учетом их температурных коэффициентов расширения). В значительной степени температурная погрешность снижается при применении дифференциальных измерительных схем. Сильное влияние на точность преобразования оказываютпаразитные емкости и посторонние электрические поля, ввиду чего емкостные датчики необходимо очень тщательно экранировать. Первым усовершенствованием, существенно повышающим метрологические характеристики датчика, является введение экранных электродов. Экраны обеспечивают значительную локализацию поля, создаваемого рабочими электродами преобразователя, и в результате существенно повышают его относительную чувствительность. Кроме того положительным эффектом экранов является резкое снижение электромагнитных наводок и, в ряде случаев, увеличения рабочей емкости, так как является частью высокопотенциального электрода. Дальнейшее улучшение метрологических характеристик достигается путем установки охранных электродов, с помощью которых исключается влияние краевых полей у торцов преобразователя. Кроме того, сам контролируемый проводник иногда является рабочим электродом преобразователя. Установление соответствующих потенциалов на электродах и контролируемом проводнике позволяет создать плоскопараллельное поле в рабочей зоне преобразователя, что улучшает его метрологические характеристики. Еще одна из причин возникновения погрешностей при использовании данного типа датчиков состоит в том, что на промышленной частоте мощность датчика очень мала, поэтому для обнаружения изменения емкости необходимо использовать достаточно чувствительную аппаратуру, а его сопротивление велико, из-за чего могут возникнуть большие погрешности, обусловленные паразитными утечками. Поэтому необходимо применять источники питания высокой частоты (от 1 кГц до десятков мегагерц).[3]

Заключение

диэлектрический емкостный датчик конденсатор

В результате анализа литературы по измерению неэлектрических величин была составлена структурная схема электрического прибора для измерения отклонения толщины диэлектрической ленты от образцового значения с использованием емкостного измерительного преобразователя.

Также была описана предположительная конструкцию датчика, его принцип действия, а также работа прибора в целом, приведены математические соотношения, поясняющие описание.

В заключительной части работы перечислены причины возникновения погрешностей измерения, а также указаны возможные меры по их уменьшению.

Список литературы


1.       Емкостный датчик. URL: http://ru.wikipedia.org/wiki/Ёмкостной_датчик (дата обращения: 22.11.2012)

.        Емкостные датчики. URL: http://edu.dvgups.ru/METDOC/GDTRAN/NTS/VAGON/SIS_AVT_PR/METOD/IGUMNOV/frame/3_5.htm (дата обращения: 22.11.2012)

.        Конспект лекций: принцип действия емкостных преобразователей. URL: http://allsummary.ru/249-princip-deystviya-emkostnyh-pip.html(дата обращения: 22.11.2012)

.        Виглеб, Г. Датчики. Устройство и применение / Г. Виглеб. - Москва: Мир, 1989. - 195 с.

.        Боднер, В. А. Измерительные приборы/ В. А. Боднер, А. В. Алферов.-Москва: Изд-во стандартов, 1986. - 616 с.

Т. 1. Теория измерительных приборов. Измерительные преобразователи. - 1986. - 392 с.

Т. 2. Методы измерений, устройство и проектирование приборов. - 1986. - 224 с.

Похожие работы на - Измерение неэлектрических величин

 

Не нашли материал для своей работы?
Поможем написать уникальную работу
Без плагиата!
Без нейросетей!