Организационные структуры управления

  • Вид работы:
    Курсовая работа (т)
  • Предмет:
    Менеджмент
  • Язык:
    Русский
    ,
    Формат файла:
    MS Word
    178,24 Кб
  • Опубликовано:
    2012-12-12
Вы можете узнать стоимость помощи в написании студенческой работы.
Помощь в написании работы, которую точно примут!

Организационные структуры управления















Курсовая работа

Организационные структуры управления

Содержание

Введение

. Линейная структура

.1 Особенности и области применения

.2 Преимущества и недостатки

. Функциональная структура

.1 Особенности и области применения

.2 Преимущества и недостатки

. Дивизиональная структура

.1 Особенности и области применения

.2 Преимущества и недостатки

. Адаптивная структура

.1 Особенности и области применения

.2 Преимущества и недостатки

. Принципы построения организационной структуры управления

ПРАКТИЧЕСКАЯ ЧАСТЬ

Заключение

Литература


Введение

Функции управления деятельностью предприятия реализуются подразделениями аппарата управления и отдельными работниками, которые при этом вступают в экономические, организационные, социальные, психологические и другие отношения друг с другом. Организационные отношения, складывающиеся между подразделениями и работниками аппарата управления предприятия, определяют его организационную структуру.

Под организационной структурой управления предприятием понимается состав (перечень) отделов, служб и подразделений в аппарате управления, системная их организация, характер соподчиненности и подотчетности друг другу и высшему органу управления фирмы, а также набор координационных и информационных связей, порядок распределения функций управления по различным уровням и подразделениям управленческой иерархии.

Базой для построения организационной структуры управления предприятием является организационная структура производства.

Многообразие функциональных связей и возможных способов их распределения между подразделениями и работниками определяет разнообразие возможных видов организационных структур управления производством. Все эти виды сводятся в основном к четырем типам организационных структур: линейным, функциональным, дивизиональным и адаптивным.

управление организационная структура отдел подразделение

1. Линейная структура

1.1 Особенности и области применения

Сущность линейной (иерархической) структуры управления состоит в том, что управляющие воздействия на объект могут передаться только одним доминантным лицом - руководителем, который получает официальную информацию только от своих, непосредственно ему подчиненных лиц, принимает решения по всем вопросам, относящимся к руководимой им части объекта, и несет ответственность его работу перед вышестоящим руководителем (рис. 1).

Рис. 1. Линейная структура управления Р - руководитель;

Л - линейные органы управления (линейные руководители); И - исполнители

Данный тип организационной структуры управления применяется в условиях функционирования мелких предприятий с несложным производством при отсутствии у них разветвленных кооперированных связей с поставщиками, потребителями, научными и проектными организациями и т.д. В настоящее время такая структура используется в системе управления производственными участками, отдельными небольшими цехами, а также небольшими фирмами однородной и несложной технологии.

1.2 Преимущества и недостатки

Преимущества линейной структуры объясняются простотой применения. Все обязанности и полномочия здесь четко распределены, и поэтому создаются условия для оперативного процесса принятия решений, для поддержания необходимой дисциплины в коллективе.

В числе недостатков линейного построения организации обычно отмечается жесткость, негибкость, неприспособленность к дальнейшему росту и развитию предприятия. Линейная структура ориентирована на большой объем информации, передаваемой от одного уровня управления к другому, ограничение инициативы у работников низших уровней управления. Она предъявляет высокие требования к квалификации руководителей и их компетенции по всем вопросам производства и управления подчиненными.

Возрастание масштабов производства и его сложности сопровождается углублением разделения труда, дифференциацией функций деятельности производственной системы. При этом рост объема работ по управлению сопровождается углублением функционального разделения управленческого труда, обособлением функций и специализацией подразделений управления. При этом создается функциональный тип структуры управления.

2. Функциональная структура

2.1 Особенности и области применения

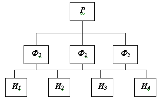
Функциональная структура (рис. 2) сложилась как неизбежный результат усложнения процесса управления. Особенность функциональной структуры заключается в том, что хотя и сохраняется единоначалие, но по отдельным функциям управления формируются специальные подразделения, работники которых обладают знаниями и навыками работы в данной области управления.

Рис. 2. Функциональная структура управления

Р - руководитель; Ф - функциональные органы управления (функциональные руководители);И - исполнители

В принципе создание функциональной структуры сводится к группировке персонала по тем широким задачам, которые он выполняет. Конкретные характеристики и особенности деятельности того или иного подразделения (блока) соответствуют наиболее важным направлениям деятельности всего предприятия.

Традиционные функциональные блоки предприятия - это отделы производства, маркетинга, финансов. Это широкие области деятельности, или функции, которые имеются на каждом предприятии. Для обеспечения достижения его целей.

Так, например, отдел труда и зарплаты направляет своих специалистов по подразделениям, где ослаблена дисциплина труда (несвоевременный уход с работы, опоздание на работу и т.п.). Они отвечают перед своим руководством за выполнение определенной задачи, а следовательно являются функциональными руководителями.

Если размер всей организации или данного отдела велик, то основные функциональные отделы можно, в свою очередь, подразделить на более мелкие функциональные подразделения. Они называются вторичными, или производными. Основная идея здесь состоит в том, чтобы максимально использовать преимущества специализации. И не допускать перегрузки руководства. При этом необходимо соблюдать известную осторожность, с тем чтобы такой отдел (или подразделение) не ставил бы свои собственные цели выше общих целей всего предприятия.

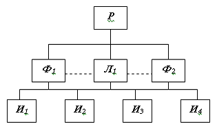
На практике обычно используется линейно-функциональная, или штабная, структура, предусматривающая создание при основных звеньях линейной структуры функциональных подразделений (рис. 3). Основная роль этих подразделений состоит в подготовке проектов решений, которые вступают в силу после утверждения соответствующими линейными руководителями.

Рис. 3. Линейно-функциональная структура управления

Р - руководитель; Ф - функциональные органы управления (функциональные руководители); Л - линейные органы управления; И- исполнители

Наряду с линейными руководителями (директорами, начальниками филиалов и цехов) существуют руководители функциональных подразделений (планового, технического, финансового отделов, бухгалтерии), подготавливающие проекты планов, отчетов, которые превращаются в официальные документы после подписания линейными руководителями.

Эта система имеет две разновидности: цеховую структуру управления, характеризующуюся созданием при начальнике цеха функциональных подразделений по важнейшим функциям производства, и безцеховую структуру управления, применяющуюся на небольших предприятиях и характеризующуюся делением не на цехи, а на участки.

Основным достоинством этой структуры является то, что она, сохраняя целенаправленность линейной структуры, дает возможность специализировать выполнение отдельных функций и тем самым повысить компетентность управления в целом.

В некоторых ситуациях руководитель может быть как линейным, так и функциональным одновременно. В цехе парокотельной есть наряду с мастерами смен хозяйственные мастера. Они отвечают за чистоту и порядок в помещениях, закрепленных за ними. Для операторов, аппаратчиц они являются функциональными руководителями, т.к. полномочия их ограничены. В то время как уборщицы находятся в подчинении у них полностью (рис. 4, 5).

Рис. 4.

Рис. 5.

2.2 Преимущества и недостатки

К преимуществам функциональной структуры можно отнести то, что она стимулирует деловую и профессиональную специализацию, уменьшает дублирование усилий и потребление материальных ресурсов в функциональных областях, улучшает координацию деятельности.

Вместе с тем специализация функциональных отделов нередко является препятствием для успешной деятельности предприятия, поскольку затрудняет координацию управленческих воздействий.

Функциональные отделы могут быть более заинтересованы в реализации целей и задач своих подразделений, чем общих целей всей организации. Это увеличивает вероятность конфликтов между функциональными отделами. Кроме того, на крупном предприятии цепь команд от руководителя до непосредственного исполнителя становится слишком длинной.

Опыт показывает, что функциональную структуру целесообразно «использовать на тех предприятиях, которые выпускают относительно ограниченную номенклатуру продукции, действуют в стабильных внешних условиях и для обеспечения своего функционирования требуют решения стандартных управленческих задач. Примерами такого рода могут служить предприятия, действующие в металлургической, резинотехнической промышленности, в отраслях, производящих сырьевые материалы.

Функциональная структура не подходит для предприятий с широкой или с часто меняющейся номенклатурой продукции, а также для предприятий, осуществляющих свою деятельность в широких международных масштабах, одновременно на нескольких рынках в странах с различными социально-экономическими системами и законодательством.

Для предприятий такого типа более подходят дивизиональные структуры.

3. Дивизиональная структура

3.1 Особенности и области применения

Родоначальником дивизиональных структур является Дженерал Моторс, хотя первые разработки концепции и начало внедрения дивизиональных структур управления относятся к 20-м годам, а пик их промышленного использования приходится на 60-70-е годы.

Необходимость новых подходов к организации управления была вызвана резким увеличением размеров предприятий, диверсификацией их деятельности и усложнением технологических процессов в условиях динамично меняющейся внешней среды. Первыми перестройку структуры по этой модели начали крупнейшие организации, которые в рамках своих гигантских предприятий (корпораций) стали создавать производственные отделения, предоставляя им определенную самостоятельность в осуществлении оперативной деятельности. В то же время администрация оставляла за собой право жесткого контроля по общекорпоративным вопросам стратегии развития, научно-исследовательских разработок, инвестиций и т.п. Поэтому данный тип структуры нередко характеризуют как сочетание централизованной координации с децентрализованным управлением (децентрализация при сохранении координации и контроля).

Ключевыми фигурами в управлении организациями с дивизиональной структурой становятся не руководители функциональных подразделений, а управляющие (менеджеры), возглавляющие производственные отделения.

Структуризация организации по отделениям производится обычно по одному из трех критериев: по выпускаемой продукции или предоставляемым услугам (продуктовая специализация), по ориентации на потребителя (потребительская специализация), по обслуживаемым территориям (региональная специализация). Организация подразделений по продуктовому принципу (рис. 6) является одной из первых форм дивизиональной структуры, и в настоящее время большинство крупнейших производителей потребительских товаров с диверсифицированной продукцией используют продуктовую структуру организации.

Рис. 6. Продуктовая структура управления

При использовании дивизионально-продуктовой структуры управления создаются отделения по основным продуктам. Руководство производством и сбытом какого-либо продукта (услуги) передаются одному лицу, которое является ответственным за данный тип продукции. Руководители вспомогательных служб подчиняются ему.

Некоторые предприятия производят большой ассортимент товаров или услуг, которые отвечают запросам нескольких крупных групп потребителей или рынков. Каждая группа или рынок имеет четко определенные, или специфические, потребности. Если два или более таких элемента становятся особенно важными для предприятия, оно может использовать организационную структуру, ориентированную на потребителя, при которой все ее подразделения группируются вокруг определенных групп потребителей (рис. 7). Данный тип организационной структуры находит применение в достаточно специфичных областях, например в сфере образования, где в последнее время наряду с традиционными общеобразовательными программами возникли специальные отделения для обучения взрослых, повышения квалификации и т.д. Примером активного использования организационной структуры, ориентированной на потребителя, являются коммерческие банки. Основные группы потребителей, пользующихся их услугами, - индивидуальные клиенты (частные лица), пенсионные фонды, трастовые фирмы, международные финансовые организации. Организационные структуры, ориентированные на покупателя, в равной степени характерны для торговых фирм, торгующих оптом и в розницу.

Рис. 7. Организационная структура, ориентированная на потребителя

Если деятельность предприятия охватывает большие географические зоны, особенно в международном масштабе, то может оказаться целесообразной организационная структура по территориальному принципу, т.е. по месту расположения ее подразделений (рис. 8). Региональная структура облегчает решение проблем, связанных с местным законодательством, обычаями и нуждами потребителей. Такой подход упрощает связь предприятия с клиентами, а также связь между его подразделениями.

Рис. 8. Региональная организационная структура.

Хорошо знакомым примером региональных организационных структур могут служить сбытовые подразделения крупных предприятий. Среди них зачастую можно встретить подразделения, деятельность которых охватывает весьма обширные географические зоны, которые, в свою очередь, делятся на более мелкие подразделения, поделенные на еще более мелкие блоки.

Данная концепция широко применяется в автомобилестроении. Подразделения по сборке автомобилей концерна Дженерал Моторс разбросаны по всему миру. В последние годы во многих городах России собирают автомобили марок Тойота, Дэу, Форд. ВАЗ имеет также сборочные подразделения в некоторых регионах России.

3.2 Преимущества и недостатки

Различные типы дивизиональной структуры имеют одну и ту же цель - обеспечить более эффективную реакцию предприятия на тот или иной фактор окружающей среды.

Продуктовая структура позволяет легко справиться с разработкой новых видов продукции, исходя из соображений конкуренции, совершенствования технологии или удовлетворения потребностей покупателей. Региональная структура позволяет более эффективно учитывать местное законодательство, социально-экономическую систему и рынки по мере географического расширения рыночных зон. Что касается структуры, ориентированной на потребителя, то она дает возможность наиболее эффективно учитывать запросы тех потребителей, от которых предприятие более всего зависит. Таким образом, выбор дивизиональной структуры должен быть основан на том, какой из этих факторов наиболее важен с точки зрения обеспечения реализации стратегических планов предприятия и достижения его целей.

Дивизиональная структура существенно ускоряет реакцию предприятия на изменения, происходящие во внешней среде. В результате расширения границ оперативно-хозяйственной самостоятельности отделения рассматриваются как центры прибыли, активно использующие предоставленную им свободу для повышения эффективности работы.

В то же время дивизиональные структуры управления привели к росту иерархичности, т.е. вертикали управления. Они потребовали формирования промежуточных уровней управления для координации работы отделений, групп и т.п. Дублирование функций управления на разных уровнях в конечном счете привело к росту затрат на содержание управленческого аппарата.

4. Адаптивная структура

4.1 Особенности и области применения

Адаптивные, или органические, структуры управления обеспечивают быструю реакцию предприятия на изменения внешней среды, способствуют внедрению новых производственных технологий. Эти структуры ориентируются на ускоренную реализацию сложных программ и проектов, могут применяться на предприятиях, в объединениях, на уровне отраслей и рынков. Обычно выделяют два типа адаптивных структур: проектный и матричный.

Проектная структура формируется при разработке организацией проектов, под которыми понимаются любые процессы целенаправленных изменений в системе, например модернизация производства, освоение новых изделий или технологий, строительство объектов и т.п. Управление проектом включает определение его целей, формирование структуры, планирование и организацию выполнения работ, координацию действий исполнителей.

Одной из форм проектного управления является формирование специального подразделения - проектной команды, работающей на временной основе. В ее состав обычно включают необходимых специалистов, в том числе и по управлению. Руководитель проекта наделяется так называемыми проектными полномочиями. В их числе ответственность за планирование проекта, за состояние графика и ход выполнения работ, за расходование выделенных ресурсов, в том числе и за материальное поощрение работающих. В связи с этим большое значение придается умению руководителя сформировать концепцию управления проектом, распределить задачи между участниками команды, четко определять приоритеты и ресурсы, конструктивно подходить к разрешению конфликтов. По завершении проекта структура распадается, а сотрудники переходят в новую проектную структуру или возвращаются на свою постоянную должность (при контрактной работе - увольняются). Такая структура обладает большой гибкостью, но при наличии нескольких целевых программ или проектов приводит к дроблению ресурсов и заметно усложняет поддержание и развитие производственного и научно-технического потенциала организации как единого целого. При этом от руководителя проекта требуется не только управление всеми стадиями жизненного цикла проекта, но и учет места проекта в сети проектов данной организации.

Так в 2000 году при строительстве цеха рафинации маргаринового завода была создана проектная команда для реализации проекта. В основном руководители были избраны из руководящего состава предприятия, но приглашались и специалисты с других предприятий (программист и технолог приезжали с фирмы DE SMET, поставлявшей оборудование для нового цеха). Заместитель технического директора был назначен руководителем проекта. В его подчинении находились не только службы, над которыми он имеет полномочия руководства вне проекта, но и строительно-монтажные бригады других предприятий, снабжение, а также специалисты, работавшие по контракту.

С целью облегчения задач координации в организациях создаются штабные органы управления из руководителей проектов или используются так называемые матричные структуры.

Матричная структура (рис. 9) представляет собой решетчатую организацию, построенную на принципе двойного подчинения исполнителей: с одной стороны, непосредственному руководителю функциональной службы, которая предоставляет персонал и техническую помощь руководителю проекта, с другой - руководителю проекта (целевой программы), который наделен необходимыми полномочиями для осуществления процесса управления в соответствии с запланированными сроками, ресурсами и качеством.

Рис. 9. Матричная структура управления

При такой организации руководитель проекта взаимодействует с двумя группами подчиненных: с постоянными членами проектной группы и с другими работниками функциональных отделов, которые подчиняются ему временно и по ограниченному кругу вопросов. При этом сохраняется их подчинение непосредственным руководителям подразделений, отделов, служб.

Полномочия руководителя проекта могут варьироваться от полной власти над всеми деталями проекта до простых канцелярских полномочий. Руководитель проекта контролирует работу всех отделов над данным проектом, руководители функциональных отделов - работу своего отдела (и его подразделений) над всеми проектами.

Матричная структура представляет собой попытку использовать преимущества как функционального, так и проектного принципа построения организации и по возможности избежать их недостатков.

4.2 Преимущества и недостатки

Матричная структура управления позволяет достичь определенной гибкости, которая никогда не присутствует в функциональных структурах, поскольку в них все сотрудники закреплены за определенными функциональными отделами. В матричных структурах можно гибко перераспределять кадры в зависимости от конкретных потребностей каждого проекта. Матричная организация дает большую возможность координации работ, характерную для дивизиональных структур. Это достигается за счет создания должности руководителя проекта, который координирует все связи между участниками проекта, работающими в различных функциональных отделах.

Среди недостатков матричной организации обычно подчеркивается сложность, а иногда и непонятность ее структуры, наложение вертикальных и горизонтальных полномочий подрывает принцип единоначалия, что часто приводит к конфликтам и к трудностям в принятии решений. При использовании матричной структуры наблюдается более сильная, чем в традиционных структурах, зависимость успеха от личных взаимоотношений между сотрудниками.

Несмотря на все эти сложности, матричная организация используется во многих отраслях промышленности, особенно в наукоемких производствах (например, в производстве электронной техники), а также и в некоторых организациях непроизводственной сферы.

5. Принципы построения организационной структуры управления

Многосторонность содержания структур управления предопределяет множественность принципов их формирования. Прежде всего, структура должна отражать цели и задачи организации, а, следовательно, быть подчиненной производству и меняться вместе с происходящими в нем изменениями. Она должна отражать функциональное разделение труда и объем полномочий работников управления; последние определяются политикой, процедурами, правилами и должностными инструкциями и расширяются, как правило, в направлении более высоких уровней управления.

Полномочия руководителя любого уровня ограничиваются не только внутренними факторами, но и факторами внешней среды, уровнем культуры и ценностными ориентациями общества, принятыми в нем традициями и нормами. Другими словами, структура управления должна соответствовать социально-культурной среде, и при ее построении надо учитывать условия, в которых ей предстоит функционировать. Практически это означает, что попытки слепо копировать структуры управления, действующие успешно в других организациях, обречены на провал, если условия работы различны. Немаловажное значение имеет также реализация принципа соответствия Между функциями и полномочиями, а одной стороны, и квалификацией и уровнем культуры - с другой.

Любую перестройку структуры управления необходимо оценивать прежде всего с точки зрения достижения поставленных перед ней отелей. В условиях нормально развивающейся (не кризисной) экономики реорганизация направлена чаще всего на то, чтобы путем совершенствования системы управления повысить эффективность работы организации, при этом главными факторами улучшения являются рост производительности труда, ускорение технического развития кооперация в принятии и реализации управленческих решении и т.д. В кризисный период изменения в структурах управления направлены на создание условий для выживания организации за счет более рационального использования ресурсов, снижения затрат и более гибкого приспособления к требованиям внешней среды.

В целом рациональная организационная структура управления предприятием должна отвечать следующим требованиям:

· обладать функциональной пригодностью, гарантировать надежность и обеспечивать управление на всех уровнях;

·        быть оперативной, не отставать от хода производственного процесса;

·        иметь минимальное количество уровней управления и рациональные связи между органами управления;

·        быть экономичной, минимизировать затраты на выполнение управленческих функций.

ПРАКТИЧЕСКАЯ ЧАСТЬ

ОАО «Нижегородский масло-жировой комбинат» - крупнейший поставщик масложировой продукции на российский рынок. Основанный более 100 лет назад в 1898 г. как кустарное производство гарного масла и хозяйственного мыла. ОАО «НМЖК» является одним из ведущих предприятий масложировой отрасли России.

Сегодня ОАО «Нижегородский масло-жировой комбинат» представляет собой вертикально-интегрированный холдинг «НМЖК», с полным производственным циклом: от заготовки сырья до производства и сбыта продукции. В состав холдинга входят: ОАО «Шуйский масло-экстракционный завод», ОАО «Екатериновский элеватор» и ОАО «Кущевская хлебная база № 68», ОАО «Самарский жиркомбинат», ОАО «Оренбургский масло-экстракционный завод», ОАО «Пермский маргариновый завод «Сдобри» (рис. 10).

Рис. 10.

Как было сказано выше, каждое из семи предприятий выполняет свою функцию производства, каждый в своем регионе. Например, ОАО «Кущевская хлебная база № 68» и ОАО «Екатериновский элеватор» являются заготовителями и поставщиками сырья для всех предприятий холдинга. Поэтому данная структура является региональной, т.к. облегчает решение проблем с поставкой сырья, а также со сбытом продукции в регионах. В состав Нижегородского масло-жирового комбината входят пять заводов и четырнадцать вспомогательных цехов. Маргариновый завод, входящий в систему ОАО «НМЖК», имеет более чем сорокалетние традиции в производстве маргарина и майонеза. Особенно высокое качество у майонезов, выпускаемых комбинатом, о чем свидетельствуют многочисленные дипломы и сертификаты, полученные на различных выставках.  Завод по производству пищевых поверхностно-активных веществ (ПАВ) - единственное в России и странах СНГ предприятие, которое производит эмульгаторы для различных отраслей промышленности, добавки способствующие повышению качества продукции и увеличению сроков ее хранения. Завод ПАВ оснащен немецким оборудованием фирмы «Карл канцлер» и шведской технологией, что позволяет выпускать пищевые ПАВ, соответствующие мировым стандартам.

Значительная доля объемов производства ОАО «НМЖК» приходится на мыловаренный завод, который имеет три подразделения: производства хозяйственного и туалетного мыла, мыльной стружки. Цех по производству мыльной стружки является единственным поставщиком данного продукта для метизной промышленности России. Установленное на заводе современное оборудование всемирно известной фирмы «Маццони» позволяет выпускать высококачественное туалетное мыло. Кроме того, совместно с ВНИИЖ разработана уникальная технология, которая позволяет получать туалетное мыло европейского качества.

Гидрозавод является основным производителем полуфабрикатов для комбината и предприятий масло-жировой отрасли. Здесь в августе 1909 г. впервые в России было организовано производство по переработке жидких растительных масел в твердые методом насыщения водородом. Продукция завода - саломас различных видов от низкойодного до пищевого.

Комбинат располагает производством безреактивного расщепления жиров, дистилляцией жирных кислот и глицерина до 98%. Модернизированная немецкая установка «Руймбек» дистилляции глицерина обеспечивает его высокую очистку, что позволяет использовать дистиллированный глицерин в пищевой и фармацевтической промышленности. Всего ОАО «НМЖК» выпускает более 50 наименований продукции пищевого и технического назначения.

На рисунке 11 отображена общая схема управления производственными отделениями и вспомогательными службами, во главе которой стоит технический директор.

На протяжении всего периода существования предприятия структура управления совершенствуется и расширяется вместе с увеличением масштабов производства. На приведенной схеме нельзя не увидеть смешанность нескольких структур управления. Соподчиненность техническому директору пяти заводов, самостоятельно функционирующих, имеющих свой бюджет, выпуск продукции, характерна дивизиональной структуре управления. Если взять отдельный завод или цех, то здесь присутствует штабная структура или, в немногих случаях - функциональная. А на отдельных участках и в небольших цехах, где малые производственные подразделения, присутствует линейная структура управления.

Рис. 12.

Примером может служить монтажный участок, где работает мой супруг.

№ п/п

 Перечень специфических функций

Перечень структурных подразделений и функциональных исполнителей

1

Является руководителем монтажного участка по всем функциям управления. Подчиняется вышестоящему руководителю - главному механику предприятия.

Начальник участка

2

Непосредственно руководит работой закрепленных за ним работников подразделения. Подчиняется по всем вопросам начальнику участка.

Мастер участка

3

Исполнительные звенья состоят из трех человек, выполняют указания мастера соответствующие профессии и должности. Отвечают за эффективность и качество своей работы.

Функциональные исполнители


Заключение

Структурой управления предприятием понимается состав и соподчиненность его управленческих звеньев, выполняющих определенные функции управления производством.

На структуру управления влияет значительное число факторов, к важнейшим из которых относятся: отраслевая принадлежность предприятия, масштаб и номенклатура производства, особенности применяемых технологических процессов, уровень специализации, кооперирования и комбинирования предприятия. От степени рациональности структуры управления в значительной степени зависит уровень технико-экономических показателей производства. Правильно построенная структура управления предприятием создает предпосылки высокой оперативности управления, согласованной работы всех структурных его подразделений.


Литература

1. Менеджмент. Учебник для вузов/М.М. Максимцов, А.В. Игнатьева, М.А. Комаров и др.; Под ред. М.М. Максимцова, А.В. Игнатьевой. - М.: Банки и биржи, ЮНИТИ, 2000.

. Экономика предприятия: Учебник / Под ред. проф. Н.А. Сафронова. - М.: Юристъ, 2002. - 608 с.

. Драчёва Е.П., Юликова Л.И. Менеджмент- Академия, 2002г-288с.

. Виханский О.С. Менеджмент. - Учебник. - М.: Гардарики, 2000.- 528с.

. Басовский Л.Е. Менеджмент.- Учеб. Пособие, 2-е изд., перераб. и доп. - М.: Инфра - М, 2003 - 283с.

. Менеджмент/ Дж.К.Лафта. - Учеб. Пособие, 2-е изд. Перераб. и доп. - М.: Кнорус, 2004.-592с.

. Ильин А.И. Планирование на предприятии . -2-е изд. Перераб. и доп. - Мн.: Новое знание, 2001г. - 206с.

. Бухалков М. И. Планирование на предприятии - Учебник, 3-е изд. - М.: Инфра - М, 2005.- 416с.

. Вершигора Е.Е. Менеджмент. - Учебное пособие, 2-е изд., перераб. и доп. - М.: Инфра - М, 2003 - 283с.

. Веснин В.Р. Основы менеджмента. Изд. 4-е, доп. И испр. - М.: ООО «Издательство ЭЛИТ», 2004. - 560с.

. Веснин В.Р. Менеджмент :Учебник для вузов. 3-е изд. - Спб.: Питер, 2007 - 608с.

. Глухов В.В. менеджмент : Учебник для вузов. 3-е изд. - Спб.: Питер, 2007 - 601с.

. Сайт www.dis.ru

. Сайт www.nmgk.ru

Похожие работы на - Организационные структуры управления

 

Не нашли материал для своей работы?
Поможем написать уникальную работу
Без плагиата!
Без нейросетей!