Вариационные принципы механики

  • Вид работы:
    Курсовая работа (т)
  • Предмет:
    Физика
  • Язык:
    Русский
    ,
    Формат файла:
    MS Word
    507,61 Кб
  • Опубликовано:
    2012-12-07
Вы можете узнать стоимость помощи в написании студенческой работы.
Помощь в написании работы, которую точно примут!

Вариационные принципы механики

ФЕДЕРАЛЬНОЕ АГЕНТСТВО ПО ОБРАЗОВАНИЮ

ГОСУДАРСТВЕННОЕ ОБРАЗОВАТЕЛЬНОЕ УЧРЕЖДЕНИЕ

ВЫСШЕГО ПРОФЕССИОНАЛЬНОГО ОБРАЗОВАНИЯ

ТУЛЬСКИЙ ГОСУДАРСТВЕННЫЙ УНИВЕРСИТЕТ

КАФЕДРА МАТЕМАТИЧЕСКОГО МОДЕЛИРОВАНИЯ








КУРСОВАЯ РАБОТА

ПО ДИСЦИПЛИНЕ «Вариационные принципы механики»


Выполнил:

Проверил:







Тула 2012

Вариационная формулировка первого начала термодинамики

Перейдем к рассмотрению вариационного уравнения в механике сплошной среды. В действительном процессе уравнение первого начала термодинамики имеет вид

 (1)

где E - энергия системы, dA(e) - работа внешних макроскопических сил, dQ - приток тепла и всех остальных видов энергии.

Если заменить в (1) символ приращения в действительном процессе d на произвольное допустимое приращение , то равенство (1), вообще говоря, не будет иметь места. Обозначая через  соответствующую "невязку", можно написать

 (2)

Функционал  обращается в нуль на действительных вариациях.

Если функционалы E, , и  определены, то уравнение (2) превращается в вариационное уравнение, выражающее первое начало термодинамики для возможных приращений определяющих функций. Функционал  есть по условию вариация функционала E. Функционал  также определяется просто. Обычно  есть линейный функционал от приращений определяющих функций , поэтому под следует понимать значения функционала  на полях.

Пусть dQ - приток тепла. Для введения функционала  рассмотрим определение , основанное на уравнении второго начала термодинамики

 (3)

где dQ` - некомпенсированное тепло. Для классических моделей dQ` есть линейный функционал по приращениям определяющих параметров . Поэтому приток тепла в форме (3) также представляет линейный функционал по . Следовательно, приток тепла на любом допустимом процессе можно определить как значения этого линейного функционала на  и

 (4)

Вариационное уравнение первого начала термодинамики примет форму

 (5)

Подчеркнем, что в вариационной формулировке первого начала термодинамики (5) использовано второе начало термодинамики в виде (4).

Вариационное уравнение Седова

В вариационном уравнении (5) не все величины можно задавать независимо - задается лишь часть из них, а остальные определяются. Выделим явно задаваемые и определяемые величины. Для определенности положим

 

Кроме того, представим работу внешних сил в виде суммы работ объемных и поверхностных сил:


Тогда вариационное уравнение можно переписать следующим образом:


Проинтегрируем это равенство по некоторому произвольному отрезку [t0,t1]

Вводя обозначения

 (6)

Вариационное уравнение (6) имеет место для любого объема V и любого интервала времени [t0,t1] и поэтому эквивалентно вариационному уравнению энергии в локальной форме.

Функционал  представляется в виде интеграла по границе четырехмерной области  от линейной комбинации вариаций определяющих функций и их производных.

Как будет видно из дальнейших примеров, лагранжиан  и функционал  есть задаваемые величины, а функционал находится из вариационного уравнения (6).

Задание функционала  означает задание соответствующих коэффициентов при вариациях. Коэффициенты при вариациях могут быть указаны либо в функции координат, либо в функции определяющих функций, либо неявно при помощи дополнительных уравнений. В основу задания коэффициентов при вариациях можно положить связь функционала  с некомпенсированным теплом  и постулаты термодинамики необратимых процессов. В число замыкающих уравнений войдет уравнение второго начала термодинамики.

Ясно, что вариационное уравнение (6) можно рассматривать также, как запись второго начала термодинамики для возможных приращений определяющих функций. При этом U следует считать независимой термодинамической переменной, а S - известной функцией от U и других определяющих функций. В качестве замыкающего соотношения можно взять уравнение энергии.

Вариационное уравнение (6) имеет две основные отличительные черты. Во-первых, оно записано не для всего объема, занятого сплошной средой, а для любой части сплошной среды - именно это приближает вариационное уравнение по форме к уравнению энергии. С этим связано и возникновение в вариационном уравнении определяемого из него функционала . Вычисление  соответствует установлению уравнений состояния. Во-вторых, вариационное уравнение содержит вклады, связанные с необратимыми процессами.

Вариационное уравнение (6) было построено Л.И. Седовым в связи с проблемой конструирования новых моделей сплошных сред с усложненными свойствами. Л.И. Седов предложил взять вариационное уравнение (6) в качестве основного исходного постулата механики сплошной среды. Построение новых моделей в рамках вариационного подхода заключается в фиксировании набора определяющих функций и задании  и .

Вариационное уравнение Лагранжа

термодинамика механика потенциальная энергия

Для качественного анализа решения и других приложений важное значение имеет вариационное уравнение, написанное для случая, когда V - весь объем, занятый сплошной средой, а t0 и t1 - моменты времени, в которые значения определяющих функций предполагаются заданными. Если необходимо подчеркнуть, что V - весь объем, t0 и t1 - начальный и конечный моменты времени, то над V, t0 и t1 ставится черта, а функционал можно считать известным в силу краевых условий


Действие для всего объема сплошной среды будем обозначать через I,

функционал  - через , а сумму

+- через .

Вариационное уравнение для всего объема будем записывать в виде  или, желая подчеркнуть, что  есть вариация некоторого функционала I, в виде

 (7)

Вариационное уравнение (7) обычно называют уравнением Лагранжа.

Из вариационного уравнения Лагранжа следует замкнутая система уравнений сплошной среды, а также и краевые условия.

Вариационные уравнения и вариационные принципы

В некоторых случаях вариационное уравнение сводится к равенству вида  и означает, что действие I имеет стационарное значение на действительном процессе.

Вариационные принципы справедливы, как уже отмечалось, для всех фундаментальных физических полей, а также для макроявлений, которые можно считать обратимыми. Последнее, по-видимому, связано с тем, что осредненное описание процессов, в которых отсутствует "необратимая стохастичность", можно дать при помощи непосредственного осреднения микроскопического действия.

Действие в физических проблемах является интегральным функционалом с лагранжианом , зависящим от полевых переменных  и конечного числа их производных по координатам и времени. Если лагранжиан  зависит от uk и первых производных uk, то система уравнений вариационного типа записывается следующим образом:


Такую форму имеют, в частности, уравнения электродинамики, гравитации, уравнения механики идеальной жидкости, уравнения теории упругости. Во всех этих теориях система уравнений полностью определяется заданием одной функции - лагранжиана .

Важная особенность явлений, описываемых уравнениями с вариационной структурой, - взаимность физических эффектов. Если в рассмотрение включено перекрестное взаимодействие между двумя полями, то действие одного поля на другое автоматически порождает обратное и, в некотором смысле, симметричное воздействие. Например, если лагранжиан  содержит перекрестный член , то в уравнении для поля u1 появится "сила" со стороны поля 2, равная u2.tt, а в уравнении для поля u2 - "симметричная" ей "сила" со стороны поля 1, равная u1.tt. В связи с этим во всех случаях, когда взаимодействие нетривиально, вариационный подход становится единственным способом построения физически разумных уравнений.

Уравнениям, которые учитывают необратимые процессы, по-видимому, также свойственна специальная структура. Для малых отклонений от положения термодинамического равновесия на это указывает принцип Онсагера. В вариационных терминах принцип Онсагера означает, что функционал  имеет специальный вид:


где коэффициенты  симметричны по k,k'.

Принцип минимума потенциальной энергии

Пусть под действием массовых сил  и поверхностных сил  тело объемом  ограниченное поверхностью  находится в равновесии, а его деформированное состояние определяется перемещениями

Согласно принципу возможных перемещений для сплошных сред, работа всех внешних и внутренних сил на малых возможных перемещениях точек тела из состояния его равновесия равна нулю. Эта формулировка принципа возможных перемещений для сплошных сред эквивалентна следующему утверждению.

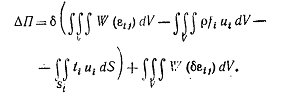
Работа всех внешних сил на малых возможных перемещениях равна изменению потенциальной энергии деформации тела, т. е.


где W - удельная потенциальная энергия деформации тела, которая равна свободной энергии при изотермическом процессе деформирования и внутренней энергии при адиабатическом деформировании.

Возможными перемещениями  в случае сплошного тела являются любые малые перемещения, которые удовлетворяют условиям непрерывности тела и условиям перемещений на поверхности тела, т. е.  непрерывны вместе со своими производными первого порядка и должны обращаться в нуль на части  поверхности тела, где заданы перемещения . Поэтому

 (9)

При сообщении точкам тела малых возможных перемещений  заданные силы  и  при которых тело находится в равновесии, рассматриваются постоянными. Поэтому в области V занятой телом,  а на части  поверхности тела . Следовательно, имеем

 (10)

Тогда знак вариации , поскольку  ификсированы, можно вынести за знак интегралов и равенство (8), учитывая также (9) и (10), можно привести к виду

(11)

Уравнение (11) называется вариационным уравнением Лагранжа.

Предыдущие рассуждения и уравнение (11) справедливы для любого упругого тела.

Вариационное уравнение Лагранжа (11) в случае консервативных внешних сил можно записать в следующем виде;


равная разности потенциальной энергии деформации тела и работы приложенных к нему внешних сил на статически соответствующих им перемещениях, называется потенциальной энергией системы. Как уже известно, удельная потенциальная энергия деформации  представляет собой в случае линейно-упругого тела положительно-определенную квадратичную функцию компонент тензора деформации  которые ввязаны о перемещениями дифференциальными зависимостями.

Потенциальная энергия системыпредставляет собой функционал, зависящий от функций и их производных.

Из равенства (13) следует, что из всех возможных перемещений действительными, соответствующими равновесию тела при заданных внешних силах, будут те перемещения, при которых функционал принимает стационарное значение.

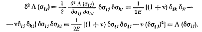
Покажем, что в случае линейно-упругого тела условие (13) превращается в условие минимума потенциальной энергии. Для этого достаточно убедиться, что при сообщении вариаций  действительным перемещениям  приращение функционала  будет положительным, т. е.


Поскольку внешние вилы  и  постоянны, то при сообщении вариаций  имеем:


Для определения приращения удельной потенциальной энергии деформации функцию  разложим в ряд Тейлора


Здесь в правой части равенства второе слагаемое представляет собой первую вариацию удельной потенциальной энергии деформации, которая равна

третье слагаемое есть вторая вариация  которая с ссылкой на ту же формулу равна

где - удельная потенциальная энергия деформации, которая


имела бы место, если бы тело подверглось только перемещениям как положительно-определенная квадратичная форма

0

Учитывая (8) и (12), приращение функционала  будет


что и требовалось показать.

Отсюда следует, что из всех возможных перемещений, т. е. удовлетворяющих условию сплошности тела и принимающих заданные значения на  действительными будут те, при которых функционал  имеет минимум. В этом и состоит принцип минимума потенциальной энергии.

Таким образом, задача определения функции  соответствующих равновесию линейно-упругого тела при заданных внешних силах  и  сведена к вариационной задаче.

Принцип минимума дополнительной работы

Тело объемом  и ограниченное поверхностью  находится в равновесии под действием приложенных к нему массовых сил  и поверхностных сил  на части. Пусть деформированное состояние тела определяется перемещениями  а его напряженное совтояние - компонентами  тензора напряжений, которые в объеме  должны удовлетворять уравнениям равновесия


и граничным условиям


Подвергнем компоненты  действительного тензора напряжении произвольной вариации, но такой, чтобы смежное напряженное состояние, характеризуемое компонентами  было статически возможным при тех же заданных внешних силах, т. е. должны удовлетворяться уравнения равновесия и граничные условия:


Из сопоставления равенств (13) и (15), а также (14) и (15) следует, что вариации  в объеме  должны удовлетворять однородным уравнениям равновесия

и граничным условиям


На остальной части  поверхности тела, на которой заданы не поверхностные силы, а перемещения, вариации  могут быть произвольными:


При переходе к смежному напряженному состоянию изменение дополнительной работы деформации тела будет


Разложим выражение удельной дополнительной работы для измененного напряженного состояния в ряд Тейлора:


Последнее слагаемое равенства (26) является второй вариацией удельной дополнительной работы, и можно записать так:


Следовательно, вторая вариация  - существенно положительная величина второго порядка малости по сравнению с .

Второе слагаемое в правой части равенства (26), представляющее собой первую вариацию  приведем к виду


Опуская последнее слагаемое в равенстве (26) и используя (28), упростим равенство (25):

Интеграл в правой части последнего равенства преобразуем по формуле Остроградского:


Поскольку на поверхности  заданы перемещения  то  и знак вариации можно вынести за знак последнего интеграла. Тогда равенство (29) можно представить в виде


или

где величина

называется дополнительной работой.

Так как  приходим к следующему выводу, называемому принципом минимума дополнительной работы: из всех статически возможных напряженных состояний тела при заданных внешних силах в действительности реализуется то напряженное состояние, для которого функционал  над тензором напряжений  называемый дополнительной работой, имеет минимум.

Список литературы

1. Маркеев А.П. Теоретическая механика: Учебник для университетов. -Москва: ЧеРо. 1999. - 372 с.

. Демидов С.П. Теория упругости. Москва: Высшая школа. 1979. - 432 с

. Бердичевский В.Л. Вариационные принципы механики сплошной среды - Москва: Наука. 1983. - 448 с


Не нашли материал для своей работы?
Поможем написать уникальную работу
Без плагиата!
Без нейросетей!