Атомный силовой микроскоп

  • Вид работы:
    Курсовая работа (т)
  • Предмет:
    Физика
  • Язык:
    Русский
    ,
    Формат файла:
    MS Word
    1,88 Мб
  • Опубликовано:
    2012-11-06
Вы можете узнать стоимость помощи в написании студенческой работы.
Помощь в написании работы, которую точно примут!

Атомный силовой микроскоп

Введение

Атомный силовой микроскоп был разработан в 1986 году, через четыре года после изобретения сканирующего туннельного микроскопа. Первый промышленный АСМ был изготовлен в США фирмой “Диджитал инструментс” (Digital Instruments) в 1989 году. Сегодня в различных лабораториях имеется более 1000 таких приборов, в России - около 60. Атомный силовой микроскоп позволяет наблюдать рельеф поверхности с большим пространственным разрешением - несколько ангстрем вдоль поверхности и сотые доли ангстрема по высоте (1 ангстрем = 1 Å = 10-8 см). При таком разрешении удается увидеть отдельные молекулы, составляющие твердое тело. Первая работа, в которой с помощью АСМ изучался рост кристалла в растворе, опубликована в 1992 году. Так началась новая эра экспериментального исследования физики кристаллизации, эра изучения элементарных актов присоединения частиц к растущей поверхности [1].

АСМ (или AFM, другое название СЗМ - сканирующий зондовый микроскоп) служит для получения изображений поверхностей различного рода: металлов, керамики, полимеров или биомолекул и живых клеток. Кроме того, АСМ существенно расширяет возможности экспериментатора при изучении механических, магнитных и электрических свойств материалов.

1. Литературный обзор

.1 Атомный силовой микроскоп (АСМ)

.1.1 Создание атомного силового микроскопа

В 1982 году два швейцарских физика Герд Бинниг и Гейнрих Рорер, работающие в Исследовательской лаборатории фирмы ИБМ в Цюрихе (Швейцария), сконструировали прибор совершенно нового типа, с помощью которого можно было рассматривать отдельные атомы на поверхности. Создателям этого прибора - сканирующего туннельного микроскопа - в 1986 году была присуждена Нобелевская премия [2,3].

Исследователи всего мира, занимающиеся физикой поверхности, да и вообще физикой конденсированных сред, немедленно убедились, что туннельный микроскоп - прибор совершенно замечательный. Действительно, ведь до его появления еще никому не удавалось разглядывать поверхность с такой неслыханной детальностью - атом за атомом. Однако у СТМ есть один недостаток: с его помощью можно изучать только материалы, хорошо проводящие электрический ток. Такое ограничение вытекает из самого принципа работы СТМ - для эффективного туннелирования (просачивания) электронов через зазор между поверхностью исследуемого образца и чувствительным элементом прибора (иглой) на поверхности должно быть много, как говорят физики, электронных состояний. Поэтому когда исследователи принялись изучать с помощью СТМ непроводящие вещества, они были вынуждены покрывать такие вещества металлической пленкой либо «пришивать» их к поверхности проводника, например золота.

Но вот в конце 1986 года тот же Бинниг предложил конструкцию прибора нового поколения, который тоже позволяет исследовать поверхности с беспрецедентной детальностью, но уже вовсе не обязательно электропроводящие. Новый прибор был назван атомным силовым микроскопом, и сегодня именно он представляет наибольший интерес для исследователей [4].

.1.2 Принцип действия атомного силового микроскопа

В основе работы АСМ лежит силовое взаимодействие между зондом и поверхностью, для регистрации которого используются специальные зондовые датчики, представляющие собой упругую консоль с острым зондом на конце (рис. 1.1) [5,6]. Сила, действующая на зонд со стороны поверхности, приводит к изгибу консоли. Регистрируя величину изгиба, можно контролировать силу взаимодействия зонда с поверхностью.

Рис.1.1. Схематическое изображение зондового датчика АСМ

Качественно работу АСМ можно пояснить на примере сил Ван-дер-Ваальса. Наиболее часто энергию ван-дер-ваальсова взаимодействия двух атомов, находящихся на расстоянии r друг от друга, аппроксимируют степенной функцией - потенциалом Леннарда-Джонса:


Первое слагаемое в данном выражении описывает дальнодействующее притяжение, обусловленное, в основном, диполь - дипольным взаимодействием атомов. Второе слагаемое учитывает отталкивание атомов на малых расстояниях. Параметр ro - равновесное расстояние между атомами, U0 - значение энергии в минимуме [7].

Рис. 1.2 Качественный вид потенциала Леннарда - Джонса

Потенциал Леннарда-Джонса позволяет оценить силу взаимодействия зонда с образцом. Общую энергию системы можно получить, суммируя элементарные взаимодействия для каждого из атомов зонда и образца [8].

Рис. 1.3. К расчету энергии взаимодействия зонда и образца.

Тогда для энергии взаимодействия получаем


где nS ( r ) и nP ( r' ) - плотности атомов в материале образца и зонда. Соответственно сила, действующая на зонд со стороны поверхности, может быть вычислена следующим образом:

FPS= - grad (WPS) (1.3)

В общем случае данная сила имеет как нормальную к поверхности, так и латеральную (лежащую в плоскости поверхности образца) составляющие. Реальное взаимодействие зонда с образцом имеет более сложный характер, однако основные черты данного взаимодействия сохраняются - зонд АСМ испытывает притяжение со стороны образца на больших расстояниях и отталкивание на малых. Получение АСМ изображений рельефа поверхности связано с регистрацией малых изгибов упругой консоли зондового датчика. В атомно-силовой микроскопии для этой цели широко используются оптические методы (рис. 1.4).

Рис. 1.4 Схема оптической регистрации изгиба консоли зондового датчика АСМ

Оптическая система АСМ юстируется таким образом, чтобы излучение полупроводникового лазера фокусировалось на консоли зондового датчика, а отраженный пучок попадал в центр фоточувствительной области фотоприемника. В качестве позиционно - чувствительных фотоприемников применяются четырехсекционные полупроводниковые фотодиоды.

Рис. 1.5 Соответствие между типом изгибных деформаций консоли зондового датчика и изменением положения пятна засветки на фотодиоде

Основные регистрируемые оптической системой параметры - это деформации изгиба консоли под действием Z-компонент сил притяжения или отталкивания (FZ) и деформации кручения консоли под действием латеральных компонент сил (FL) взаимодействия зонда с поверхностью. Если обозначить исходные значения фототока в секциях фотодиода через I01, I02, I03, I04, а через I1, I2, I3, I4 - значения токов после изменения положения консоли, то разностные токи с различных секций фотодиода ΔIi = Ii - I0i будут однозначно характеризовать величину и направление изгиба консоли зондового датчика АСМ [9,10]. Действительно, разность токов вида:

(1.4)

пропорциональна изгибу консоли под действием силы, действующей по нормали к поверхности образца (рис. 1.5. а).

А комбинация разностных токов вида характеризует изгиб консоли под действием латеральных сил (рис. 1.5. б).

(1.5)

Величина ΔIZ используется в качестве входного параметра в петле обратной связи атомно-силового микроскопа (рис. 1.6) [11]. Система обратной связи (ОС) обеспечивает ∆IZ=const с помощью пьезоэлектрического исполнительного элемента, который поддерживает изгиб консоли ΔZ равным величине ΔZ0 , задаваемой оператором [12,13].


Рис. 1.6 Упрощенная схема организации обратной связи в атомно силовом микроскопе

При сканировании образца в режиме ΔZ = const зонд перемещается вдоль поверхности, при этом напряжение на Z-электроде сканера записывается в память компьютера в качестве рельефа поверхности Z = f(x,y). Пространственное разрешение АСМ определяется радиусом закругления зонда и чувствительностью системы, регистрирующей отклонения консоли. В настоящее время реализованы конструкции АСМ, позволяющие получать атомарное разрешение при исследовании поверхности образцов/

То есть принцип действия атомного силового микроскопа основан на использовании сил атомных связей, действующих между атомами вещества.

Рис. 1.7 Принцип действия атомного силового микроскопа (АСМ)

На малых расстояниях между двумя атомами (около одного ангстрема, 1 Ǻ = 10-8 см) действуют силы отталкивания, а на больших - силы притяжения. Совершенно аналогичные силы действуют и между любыми сближающимися телами. В сканирующем атомном силовом микроскопе такими телами служат исследуемая поверхность и скользящее над нею острие. Обычно в приборе используется алмазная игла, которая плавно скользит над поверхностью образца (как говорят, сканирует эту поверхность). При изменении силы F, действующей между поверхностью и острием, пружинка П, на которой оно закреплено, отклоняется, и такое отклонение регистрируется датчиком D. В качестве датчика в АСМ могут использоваться любые особо точные и чувствительные - прецизионные - измерители перемещений, например оптические, емкостные или туннельные датчики. На рисунке 1.8 показан именно последний тип датчика, - фактически это такая же игла, какая применяется в сканирующем туннельном микроскопе.

Величина отклонения упругого элемента (пружинки) несет информацию о высоте рельефа - топографии поверхности и, кроме того, об особенностях межатомных взаимодействий [17,18]. Можно сказать, что в атомном силовом микроскопе сканирование исследуемого образца происходит по «поверхности постоянной силы».

Принципы же прецизионного управления основаны на обратной связи и улавливают самые ничтожные изменения рельефа поверхности [19,20].

Рис. 1.8 Схема сканирующего атомного силового микроскопа

На рисунке 1.8 изображена схема атомного силового микроскопа. 1-острие (игла), 2- пружина, на которой оно закреплено; 3-исследуемая поверхность (образец); 4 ( Px, Py, Pz) и 8 (P)-пьезоэлектрические преобразователи. При этом Px и Py служат для сканирования образца под иглой, а Pz управляет расстоянием от острия до поверхности. 5-ЭВМ; 6- туннельный датчик, который регистрирует отклонения пружинки с острием.

.1.3 Преимущества и недостатки атомного силового микроскопа

В сравнении с растровым электронным микроскопом (РЭМ) атомно силовой микроскоп обладает рядом преимуществ. Так, в отличие от РЭМ, который даёт псевдо трёхмерное изображение поверхности образца, АСМ позволяет получить истинно трёхмерный рельеф поверхности. Кроме того, непроводящая поверхность, рассматриваемая с помощью АСМ, не требует нанесения проводящего металлического покрытия, которое часто приводит к заметной деформации поверхности. Для нормальной работы РЭМ требуется вакуум, в то время как большинство режимов АСМ могут быть реализованы на воздухе или даже в жидкости. Данное обстоятельство открывает возможность изучения биомакромолекул и живых клеток. В принципе, АСМ способен дать более высокое разрешение чем РЭМ. Так было показано, что АСМ в состоянии обеспечить реальное атомное разрешение в условиях сверхвысокого вакуума. Сверхвысоковакуумный АСМ по разрешению сравним со сканирующим туннельным микроскопом и просвечивающим электронным микроскопом [22].

К недостатку АСМ при его сравнении с РЭМ также следует отнести небольшой размер поля сканирования. РЭМ в состоянии просканировать область поверхности размером в несколько миллиметров в латеральной плоскости с перепадом высот в несколько миллиметров в вертикальной плоскости. У АСМ максимальный перепад высот составляет несколько микрон, а максимальное поле сканирования в лучшем случае порядка 150*150 микрон2. Другая проблема заключается в том, что при высоком разрешении качество изображения определяется радиусом кривизны кончика зонда, что при неправильном выборе зонда приводит к появлению артефактов на получаемом изображении.

Обычный АСМ не в состоянии сканировать изображения так же быстро, как это делает РЭМ. Для получения АСМ-скана, как правило, требуется несколько минут, в то время как РЭМ после откачки способен работать практически в реальном масштабе времени, хотя и с относительно невысоким качеством. Достаточно медленная скорость развёртки АСМ часто приводит к появлению на изображении искажений, вызываемых тепловым дрейфом [23,24], ограничивая тем самым возможности микроскопа при точном измерении элементов сканируемого рельефа. Однако было предложено несколько быстродействующих конструкций, чтобы увеличить производительность сканирования микроскопа [27], включая зондовый микроскоп, который был впоследствии назван видеоАСМ (удовлетворительного качества изображения были получены на видеоАСМ с частотой телевизионной развёртки, т.е. быстрее, чем на обычном РЭМ). Для коррекции искажений от термодрейфа было также предложено несколько методов [25,26].

Изображения, полученные на АСМ, могут быть искажены гистерезисом пьезокерамического материала сканера [22], а также перекрёстными паразитными связями, действующими между X, Y, Z элементами сканера, что может потребовать программной коррекции. Современные АСМ используют программное обеспечение, которое вносит исправления в реальном масштабе времени (например, особенность-ориентированное сканирование, особенность-ориентированное позиционирование, [25,26] либо сканеры, снабжённые замкнутыми следящими системами, которые практически устраняют данные проблемы. Некоторые АСМ вместо пьезотрубки используют XY и Z элементы сканера механически несвязанные друг с другом, что также позволяет исключить часть паразитных связей.

АСМ можно использовать для определения типа атома в кристаллической решётке.

1.1.4 Усовершенствования атомного силового микроскопа

Атомные силовые микроскопы существуют давно и, кажется, отработаны в совершенстве. Тем интереснее появление новинки, превосходящей прежние системы по всем параметрам и, к тому же, впервые способной снимать видео в наномасштабе.

Атомные силовые микроскопы способны показывать поверхность образцов практически на молекулярном уровне. Существует несколько вариантов таких устройств, но всех их объединяет одно - сверхтонкая игла, сужающаяся на острие едва ли не до единственного атома. Эта игла, говоря упрощённо, ощупывает рельеф изучаемой поверхности.

Она приводится в движение очень чувствительным и прецизионным приводом, который управляется компьютером.

Дальше начинаются вариации - как именно снимать эти движения иглы (в частности, тут используется лазер и зеркала), и вообще - точно позиционировать её при движении вдоль образца.

Например, в ряде моделей игла управляется с помощью обратной связи по величине туннельного тока - потока электронов, проскакивающих между иглой и образцом при приближении иглы почти до касания поверхности.

И всё же результат работы такой машины один: геометрия поверхности, построенная компьютером после сканирования (последовательного прохода иглой большого ряда "дорожек", словно луч в кинескопе телевизора).

В 2006 году в США был продемонстрирован необычный атомный микроскоп, который не просто на голову превосходит прежние модели по ключевым параметрам, но в единственном проходе получает сразу: рельеф образца, его физические и некоторые химические свойства.

Называется эта новая удивительная система "Интегрированный считывающий и активный чувствительный к усилию наконечник" (Force sensing and Integrated Readout Active Tip - FIRAT).

FIRAT устраняет два главных неудобства прежних систем: в отличие от них он способен работать так быстро, что может даже снимать нановидеоролики, а кроме того, он одновременно выдаёт ещё и информацию о физико-химических особенностях поверхности.

Как говорят авторы агрегата, FIRAT работает как помесь палки Пого (на которую встают и прыгают, отталкиваясь от земли) и микрофона.

В одном варианте исследования мембрана с острым наконечником перемещается к образцу, но ещё до того, как касается его, испытывает с его стороны силу молекулярного притяжения. И как диафрагма микрофона новый сенсор чувствует эти свои отклонения ещё на дистанции.

А когда наконечник дотрагивается до поверхности, её эластичность и прочность определяют прогиб материала под иглой - её колебания.

В результате, обрабатывая сигнал о положении иглы во время сканирования, учёные могут получить массу данных. Не только рельеф образца, но и карту адгезии, прочности, эластичности, вязкости.

Новая технология окажется неоценимой для многих типов исследований, в особенности для измерения параметров микроэлектронных устройств и наблюдения в режиме реального времени за биологическими взаимодействиями в молекулярном масштабе.

Самое примечательное в изобретении - новая система сканирования может быть добавлена без кардинальных переделок к существующим атомным силовым микроскопам.

1.1.5 Технические возможности атомного силового микроскопа

Атомный силовой микроскоп может использоваться для определения микрорельефа поверхности, с его помощью можно наблюдать всевозможные несовершенства структуры, локализованные на изучаемых поверхностях, например, дислокации или заряженные дефекты, а также всяческие примеси. Кроме того, АСМ позволяет выявить границы различных блоков в кристалле, в частности доменов. В последнее время с помощью атомного силового микроскопа физики стали интенсивно изучать биологические объекты, например молекулы ДНК и другие макромолекулы, главным образом для целей нарождающегося и, судя по всему, чрезвычайно перспективного направления - биомолекулярной технологии. Интересно, что АСМ позволяет решать не только прикладные задачи, но и глобальные проблемы фундаментальной физики. В частности, определив с его помощью поведение межатомных сил и константы взаимодействий между атомами поверхности и острия, можно сделать довольно точные заключения о существовании или отсутствии новых фундаментальных взаимодействий и даже о структуре физического вакуума [29].

полимерный пленка атомный микроскоп

1.2 Методы атомно-силовой микроскопии

К числу вибрационных методов АСМ относятся бесконтактный, полуконтактный режим и режим локальной жесткости [30].

.2.1 Бесконтактным режим

Бесконтактный режим обеспечивает измерение Ван-дер-Ваальсовых электронных, магнитных сил вблизи поверхности, причем сила взаимодействия может быть очень малой (порядка 10-12Н), что позволяет исследовать очень чувствительные или слабо связанные с поверхностью объекты, не разрушая, и не сдвигая их [5,30].

Вкладыш - держатель кантилевера (рис.1.9) содержит пьезокерамическую пластинку, вибрации которой передаются кантилеверу и возбуждают его колебания на требуемой частоте, которая во всех разновидностях этого метода выбирается в пределах одного из резонансных пиков на амплитудно-частотной характеристике (АЧХ).

Рис. 1.9


Возбуждающий сигнал формируется цифровым синтезатором,содержащим высокостабильный кварцевый генератор, что позволяет поддерживать частоту сигнала с относительной точностью не хуже 10-5-10-6. Переменная составляющая сигнала с четырехсекционного фотодиода, обусловленная колебаниями кантилевера, усиливается и попадает на вход синхронного детектора, который можно формировать:

сигнал, пропорциональный амплитуде основной частоты или одной из гармоник.

сигнал сдвига фазы (колебаний кантилевера относительно возбуждающего сигнала.

либо сигнал произведения амплитуды на зт или соб сдвига фазы. Любой из перечис ленных сигналов может быть включен в петлю обратной связи.

Вблизи поверхности образца вибрирующий с малой амплитудой кантилевер попадает в неоднородное силовое поле. Наличие градиента силы приводит к частотному сдвигу резонансного пика. Поэтому в случае возбуждения сигналом фиксированной частоты амплитуда и фаза колебаний кантилевера в неоднородном поле меняется.

Если обратная связь в процессе сканирования меняет положение зонда по нормали к образцу поддерживая амплитуду, либо фазу колебаний кантилевера постоянной (режим топографии),то результатом записи сигнала на выходе ОС в процессе сканирования является поверхность постоянного градиента силы.

Можно регистрировать изменения амплитуды либо фазы колебаний в процессе сканирования, не меняя расстояние между зондом и основанием образца (режим постоянной высоты). Возможен также режим, предусматривающий предварительное сканирование, топографии в кон­тактном или полуконтактном режиме, после чего производится повторное сканирование по тому же участку с поддержанием заданного удаления зонда от поверхности в каждой точке сканирования с регистрацией амплитуды либо фазы. Этот режим позволяет отделить информацию о магнитных и электрических свойствах поверхности от топографических данных , т.к. Вандер-Ваальсово притяжение кантилевера и поверхности остается практически неизменным при повторном сканирова­нии, поскольку расстояние между зондом и поверхностью не меняется, и, значит изменение ампли­туды и фазы колебаний вызываются другими дальнодействующими силами - электрическими либо магнитными.

Минимально возможное расстояние между иглой кантилевера и поверхностью образца в бескон тактном режиме определяется, с одной стороны, свойствами иглы кантилевера и поверхности, а с другой стороны - жесткостью балки кантилевера. Если по мере приближения зонда к поверхности по достижении некоторого расстояния между ними окажется, что градиент силы притяжения иглы к образцу превысил жесткость балки кантилевера, то кантилевер "прилипнет" к поверхности. По­этому минимальная рабочая дистанция должна превышать это критическое расстояние. Наиболее значительной причиной притяжения являются, как правило, капиллярные эффекты, которые, к тому же, обладают большим собственным гистерезисом Но и в отсутствие капиллярных явлений, например, в случае несмачиваемых поверхностей, эффект "залипания" может наблюдаться из-за электростатических, магнитных и даже Ван-дер-Ваальсовых сил притяжения. Поэтому чем вы те жесткость кантилевера тем меньше может быть рабочее расстояние, и тем большего разрешения можно достичь (при удалениях, соизмеримых, или превы-шающих радиус кривизны кантилевера), хотя при этом возрастает и сила взаимодействия.

Возможна также ситуация, когда градиент сил притяжения не превосходит жесткости кантилевера вплоть до касания иглы и поверхности, т.е. вплоть до сближения крайних атомов зонда и образца в область отталкивающего потенциала, и, значит, рабочее расстояние может быть сколь угодно малым. Такая ситуация является переходной между бесконтактным и полуконтактным режимом.

.2.2 Полуконтактный режим

Характерной особенностью полуконтактного режима является то, что большую часть периода колебаний кантилевер не касается поверхности и вообще относительно слабо взаимодействует с образцом. И только при сближении иглы с поверхностью вплоть до попадания в область отталки­вающего потенциала взаимодействие резко усиливается, и при этом соударении кантилевер теряет избыток энергии, накопленный за остальную часть периода. В зависимости от характера взаимодействия может меняться сдвиг фазы основной гармоники колебаний относительно возбуждающего сигнала и амплитуда и фаза высших гармоник. Базовым же эффектом является ограничение амплитуды колебаний на уровне, примерно равном расстоянию между вершиной иглы в свобод­ном состоянии кантилевера и поверхностью образца. Т.е., грубо говоря, кантилевер может раста­чиваться только до касания поверхности образца и не дальше.В полуконтактном режиме, в отличие от бесконтактного, жесткость кантилевера может быть меньше, чем максимальный градиент сил притяжения вблизи поверхности. Избавиться же от "залипания" иглы можно путем увеличения амплитуды колебаний кантилевера до такого значения при котором сила со стороны балки кантилевера, отрывающая иглу от поверхности, превы­шает притяжение иглы к поверхности. В бесконтактном режиме это невозможно, поскольку там амплитуда должна быть мала по сравнению с расстояниями, на которых заметно меняется градиент сил [6,31].

1.2.3 Режим измерения жесткости

В режиме измерения локальной жесткости сигнал модуляции подается на 2-обкладки пьезотрубки. При этом игла кантилевера касается поверхности, и вибрация образца передается кантилеверу. Измеряемой величиной является амплитуда колебаний балки кантилевера. Коэффициент передачи колебаний образца в колебания балки кантилевера пропорционален отношению жесткости систе­мы игла- поверхность в данной точке к жесткости балки. В одном предельном случае абсолютно гибкого кантилевера с жесткой иглой на жестком образце, колебания пьезотрубки полностью пе­редаются балке. В другом предельном случае очень жесткого кантилеверана гибком или легко деформируемом образце и/или при мягкой игле колебания трубки приводят лишь к деформации поверхности и иглы, тогда как балка остается неподвижной. Следует помнить, что жесткость системы игла-образец зависит не только от модулей Юнга сопри­касающихся поверхностей, но и от их геометрии, в частности, от радиусов кривизны. Наибольшая жесткость в области контакта достигается в случае поверхностей равных по величине кривизны, но противоположного знака, т.е., в случаев контакта круглого острия иглы с круглой впадиной того же радиуса.

Поэтому режим измерения локальной жесткости будет контрастировать ступеньки на образце, показывать небольшие бугорки как области с пониженной жесткостью, даже если они состоят из того же материала, что и весь образец [6,32].

2. Пример экспериментальной части

2.1 Объекты исследования

В данной работе исследованы пленки пластифицированного неориентированного поливинилхлорида (ПВХ), содержащего 50% пластификатора диоктилфталата (температура стеклования Т с =-15 úС), и промышленные двуосноориентированные пленки кристаллического полипропилена ( ПП) со степенью кристалличности 60%. Эти объекты были выбраны потому, что при комнатной температуре они деформируются однородно, в то же время механизмы их деформации существенно различны. На промышленных пленках ПП методом термического напыления было нанесено алюминиевое покрытие толщиной 30 нм, на пленках ПВХ методом ионно-плазменного напыления на установке «Eiko IB-3» было нанесено золотое покрытие толщиной 10 нм. Напыление осуществлялось при токе 2 мА, пленка располагалась на охлаждаемой водой поверхности, для того чтобы избежать ее нагревания, нанесение покрытия осуществляли в несколько этапов.

.2 Устройство для деформации пленок

В данной работе для деформации пленок использовался специально спроектированный зажим, снабженный двумя винтами для независимого перемещения концов пленки. Это обеспечивало вытяжку пленки при минимальном перемещении ее центральной части. На зажиме размещался АСМ (рис 1.10). Отметим, что сканирование проводилось кантилевером, и это давало возможность проводить измерения в одной и той же области пленки при ее растяжении. Макроскопическая деформация образца измерялась по линейке с точностью до 1 мм. Вначале исследовалась поверхность недеформированного образца, затем кантилевер отводился от поверхности, образец деформировался, потом проводилось повторное сканирование. Такой цикл повторялся несколько раз, в результате получалась серия кадров в окрестности определенной точки (некоторые кадры из таких серий для различных образцов приводятся на рис. 1.13,1.14). Для контроля смещения точки наблюдения в процессе деформации использовалась оптическая система. Обычно в качестве метки использовался некоторый дефект на поверхности, и вблизи него проводилось сканирование.

Рис.1.10.Устройство для деформации пленок (слева) и размещение АСМ на нем в процессе измерений (справа).

.3 Обсуждение результатов

Измерение величины боковой контракции пленок.

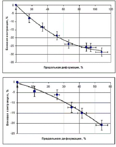
При одноосном растяжении полимерная пленка претерпевает боковую контракцию - сжимается в направлении, перпендикулярном направлению вытяжки. Применение атомно-силовой микроскопии для описания деформаций полимерных пленок позволяет получить серию изображений микроскопического участка поверхности при различных степенях вытяжки и вычислить величину боковой контракции по смещению дефектов на поверхности. Была исследована зависимость боковой контракции от степени вытяжки для двух полимеров, которые деформируются аффинно, один из них (ПВХ) находится в высокоэластичном состоянии, а другой ( ПП) - в частично кристаллическом состоянии. При малых деформациях величина боковой контракции определяется коэффициентом Пуассона. При больших деформациях она связана с макроскопической деформацией нелинейным образом как для ПВХ, так и для ПП (рис. 1.12). Для ПВХ зависимость отклоняется от линейной при ε~50%, для ПП при ε~20%. По линейным участкам были вычислены коэффициенты Пуассона: νПВХ =0,47±0,07, νПП =0,4±0,1. Обычно для полимерных материалов коэффициент Пуассона лежит в пределах 0,3-0,5, значение 0,5 соответствует деформации с постоянным объемом [33, 34]. Полученные в данной работе значения не противоречат имеющимся литературным данным. Обсудим точность предлагаемого метода измерения деформаций. Формальная оценка разрешающей способности СЗМ выполняется по формуле ∆=(размер кадра)/(число точек) и дает Δ~80 нм для кадра 40*40 мкм. Для определения величины деформации используются дефекты, расстояние между которыми, естественно, меньше, чем размер кадра. Допустим, в качестве меток были выбраны два дефекта на расстоянии 100 пикселей. Если образец деформирован на 5%, то относительная точность измерения смещения дефектов составит всего 20%. А боковая контракция, которой будет соответствовать еще меньшее относительное смещение, будет измерена с еще меньшей точностью [33].

Из этих рассуждений следуют важные наблюдения. Во-первых, по мере роста деформации растет относительная точность измерений. Во-вторых, на начальных этапах деформации относительная точность измерений низка, и поэтому коэффициент Пуассона измеряется при деформациях не меньше 8-10% [33]. Для измерения коэффициента Пуассона при меньших деформациях с приемлемой точностью требуются специальные методы обработки изображений, например, корреляционный анализ [35]. При этом оказывается, что в рамках малой области наблюдаемое значение локального коэффициента Пуассона может существенно варьироваться. Кроме того, важно подчеркнуть, что измеряемые значения локального коэффициента Пуассона для пленки, вообще говоря, могут отличаться от макроскопических значений, измеряемых другими методами [33, 35].

Рис. 1.12 Зависимость боковой контракции от степени вытяжки для ПВХ (вверху) и ПП (внизу)

Использованный в данной работе пластифицированный ПВХ при комнатной температуре находится в высокоэластичном состоянии, он деформируется обратимо (рис. 1.13). При растяжении ПП наблюдалась иная картина: при ε~20% на поверхности появлялась сетка линий, направленных под углом 45 ú к оси вытяжки. По мере деформации угол, который составляют эти линии с осью вытяжки, уменьшался (рис. 1.14).

Рис. 1.13 Поверхность ПВХ при различных деформациях. Ось вытяжки горизонтальна. Размер кадров 40*40 мкм. Цифрами отмечены хорошо заметные дефекты

Можно предположить, что наблюдаемые линии представляют собой полосы сброса или деформационные зоны, в которых происходит течение материала [36, 37]. При появлении они образуют угол 45 ú с направлением вытяжки, поскольку именно в этом направлении сдвиговое напряжение оказывается максимальным. Глубина этих линий составляет 5-15 нм, характерное расстояние между ними 200- 400 нм.

Рис. 1.14 Участок поверхности ПП при различных деформациях. Ось вытяжки горизонтальна. На всех кадрах отмечены два хорошо заметных дефекта. Вертикальная шкала на каждом кадре была перестроена для улучшения контраста

Делая вывод, можно сказать, что с помощью разработанной установки и методики для исследования деформаций полимерных пленок методом АСМ были вычислены величины боковой контракции полимерных пленок при их растяжении. Также были измерены коэффициенты Пуассона для малых областей поверхности

νПВХ =0,47±0,07 ν ПП =0,34±0,13.

Данная экспериментальная работа была проведена на кафедре физики полимеров и кристаллов физического факультета Московского Государственного Университета имени М.В.Ломоносова.

3. Примеры использования атомной силовой микроскопии

). Наноигла впервые проникла в ядро человеческой клетки

В 2004 году в Японии исследователи из Национального института науки и техники (JAIST) превратили атомный силовой микроскоп в хирургический инструмент, с помощью которого можно прооперировать одну единственную клетку, не нанеся ей никаких повреждений. Они использовали луч ионов, чтобы заострить стандартный кремниевый наконечник силового микроскопа, превратив его в иглу длиной 8 микрометров и шириной 200 нанометров.

Микроскоп может "ощутить" силу, приложенную к клетке, что делает его чрезвычайно отзывчивым и точным инструментом. Когда учёные вставили новую иглу в человеческую эмбриональную клетку, на стенке клетки остался "прокол" всего в 1 микрометр. Мембрана клетки быстро вернулась в первоначальную форму, а игла была продвинута в ядро клетки.

Исследователи утверждают, что с такой точностью твёрдый материал был вставлен в ядро живой клетки впервые. Новая технология позволит вводить молекулы в определённые области клеток, например, цепочки ДНК могли бы быть вставлены непосредственно в ядро, чтобы проверить новые методы терапии гена. Кроме того, АСМ позволит наблюдать за локальным действием вводимых в клетки фармакологических препаратов в режиме реального времени [38,39].

). В 2005 году специалисты из Ливерморской национальной лаборатории и Университета Калифорнии в Дэвисе научились непосредственно измерять силу связи между белковыми молекулами. Эта техника может стать существенным подспорьем в разработке методов целевой доставки лекарственных препаратов в пораженные раком клетки.

Одна из важнейших задач, решаемых при разработке новых лекарств, доставка действующего вещества в нужные клетки организма. Для этого вещество должно эффективно взаимодействовать с пептидами на поверхности клетки. Однако до сих пор это взаимодействие изучалось, как правило, косвенными методами: сначала на компьютерных моделях молекул, затем - по эффективности воздействия на реальные живые организмы.

Теперь появилась возможность прямых измерений сил молекулярного взаимодействия. Для этого был использован атомный силовой микроскоп, к игле (зонду) которого прикрепили несколько фрагментов антител, игравших роль молекул действующего лекарственного вещества. Зонд подносили к поверхности, покрытой пептидом MUC1, разные формы которого являются характерными маркерами различных видов рака, то есть присутствуют на поверхности пораженных клеток. По изгибу консоли, несущей зонд, удалось количественно оценить силу связи между молекулами.

Такой подход может значительно ускорить разработку новых лекарств. После того как новое вещество спроектировано на компьютере и синтезировано в лаборатории, можно сразу измерить, насколько хорошо оно взаимодействует с целевыми рецепторами, и при необходимости внести изменения в состав и строение молекул. Принципиальным является то, что измерять силу связи молекул физическим методом гораздо проще, чем каждый раз повторять испытания на живых культурах и организмах [39,40].

). Космические исследования.

Зонд "Феникс" сделал фотографии (микропортрет) марсианской песчинки с помощью атомного силового микроскопа. Это первые снимки инопланетных объектов, выполненные в таком высоком разрешении.

Диаметр песчинки округлой формы составляет около одного микрометра (одна миллионная метра). Она является "типичным представителем" марсианского песка. Именно песчинки окрашивают небо Марса в розовый цвет и обуславливают красный цвет почвы.

"Феникс" уже фотографировал марсианский песок под микроскопом в начале своей миссии. Однако увеличение оптического микроскопа, который зонд использовал для съемки песчинок в прошлый раз, было в десятки раз меньше. Атомный силовой микроскоп позволяет изучать и фотографировать объекты, размер которых не превышает 100 нанометров (нанометр - одна миллиардная метра).

Зонд "Феникс" сел на Марс 25 мая 2008 года.

Выводы

Атомный силовой микроскоп может использоваться для определения микрорельефа поверхности, с его помощью можно наблюдать всевозможные несовершенства структуры, локализованные на изучаемых поверхностях, например, дислокации или заряженные дефекты, а также всяческие примеси. Кроме того, АСМ позволяет выявить границы различных блоков в кристалле, в частности доменов. В последнее время с помощью атомного силового микроскопа физики стали интенсивно изучать биологические объекты, например молекулы ДНК и другие макромолекулы, главным образом для целей нарождающегося и, судя по всему, чрезвычайно перспективного направления - биомолекулярной технологии [8]. Интересно, что АСМ позволяет решать не только прикладные задачи, но и глобальные проблемы фундаментальной физики. В частности, определив с его помощью поведение межатомных сил и константы взаимодействий между атомами поверхности и острия, можно сделать довольно точные заключения о существовании или отсутствии новых фундаментальных взаимодействий и даже о структуре физического вакуума.

Приложение 1

Таблица параметров атомных силовых микроскопов


Список используемых источников

1. Нанотехнология в ближайшем десятилетии. Под редакцией М.К. Роко, Р.С. Уильямса, П.А. Аливисатоса. М., 2002.

. Головин Ю.И. Введение в нанотехнологию. М., 2003.

. Журнал “Наука и жизнь”.1989. №9.

. Г.Бинниг, Х.Рорер. Сканирующая туннельная микроскопия - от рождения к юности. Нобелевские лекции по физике - 1986. УФН, т. 154 (1988), вып.2, с. 261.

. А.А. Бухараев, Д.Б. Овчинников, А.А. Бухараева. Диагностика поверхности с помощью сканирующей силовой микроскопии (обзор). Заводская Лаборатория. Исследование структуры и свойств, Физические методы исследования и контроля. 1996, №1, с.10-27.

. J.A.Kubby, J.J.Boland. Scanning Tunneling Microscopy of Semiconductor Surfaces. Surface Science Reports, 26, 61 (1996).

. B. Cappella, G. Dietler. Force-distance curves by atomic force microscopy. Surface Science Reports 34, 1 (1999).

. В. Л. Миронов. Основы сканирующей зондовой микроскопии / Учебное пособие для студентов старших курсов высших учебных заведений. Российская академия наук, Институт физики микроструктур. Нижний Новгород, 2004 - 110 с.

. T.Sakurai. Advances in scanning probe microscopy. Springer-Verlag, 2000.

.Сканирующая туннельная микроскопия - новый метод изучения поверхности твердых тел. Соросовский образовательный журнал, 2000, т.6, №11 С. 1-7.

. В.С.Эдельман. Сканирующая туннельная микроскопия (обзор). ПТЭ, 1989, №5, с.25.

. П.А. Арутюнов, А.Л. Толстихина. Атомно-силовая микроскопия в задачах проектирования приборов микро- и наноэлектроники. Часть I: Микроэлектроника, 1999, том 28, № 6, с. 405-414. Часть II: Микроэлектроника, 1999, том 29, № 1, с. 13-22.

14. R. V. Lapshin, Analytical model for the approximation of hysteresis loop and its application to the scanning tunneling microscope <http://www.nanoworld.org/homepages/lapshin/publications.htm>, Review of Scientific Instruments, vol. 66, no. 9, pp. 4718-4730, 1995.

. R. V. Lapshin, Feature-oriented scanning methodology for probe microscopy and nanotechnology, Nanotechnology, vol. 15, iss. 9, pp. 1135-1151, 2004.

. R. V. Lapshin, Automatic drift elimination in probe microscope images based on techniques of counter-scanning and topography feature recognition, Measurement Science and Technology, vol. 18, iss. 3, pp. 907-927, 2007.

. R. V. Lapshin, O. V. Obyedkov, Fast-acting piezoactuator and digital feedback loop for scanning tunneling microscopes, Review of Scientific Instruments, vol. 64, no. 10, pp. 2883-2887, 1993.

. Bharat Bhushan, Prasad S. Mokashi, Tiejun Ma A technique to measure Poisson’s ratio of ultrathin polymeric films using atomic force microscopy // Rev. Sci. Instrum 74, 2, 1043-1047 (2003).

. N.W. Tschoegl, Wolfgang G. Knauss, Igor Emri Poisson’s Ratio in Linear Viscoelasticity - A Critical Review // Mechanics of Time-Dependent Materials, Kluwer Academic Publishers, Netherlands, 6, 3-51 (2002).

. Xiaodong Li, Weijie Xu, Michael A. Sutton, and Michael Mello In Situ Nanoscale In-Plane Deformation Studies of Ultrathin Polymeric Films During Tensile Deformation Using Atomic Force Microscopy and Digital Image Correlation Techniques // IEEE Transactions on Nanotechnology, 6, 1, 4-12 (2007).

21. И. Нарисава Прочность полимерных материалов - М.: «Химия», 1987, 398

. Л.М. Качанов Основы теории пластичности - М.: «Наука», 1969, 420 с.


Не нашли материал для своей работы?
Поможем написать уникальную работу
Без плагиата!
Без нейросетей!