Решение систем уравнений
Задача 1
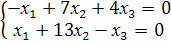
Найти базисное решение для системы
уравнений (одна из свободных
переменных - х4.
уравнение линия кривая
вероятность вектор объём
Решение
Запишем расширенную
матрицу системы и преобразуем ее.


.
Ранг этой матрицы равен
3, следовательно, одно из уравнений системы можно отбросить, например,
четвертое.
.
Пусть х4 и х5
- свободные переменные. Выясним, могут ли переменные х1, х2,
х3 быть основными. Найдем определитель матрицы из коэффициентов при
этих переменных, т.е. базисный минор:
Значит переменные х1,
х2, х3 могут быть базисными, а х4 и х5 свободными.
Приравняем свободные переменные к нулю, т.е. х4 = х5 = 0,
получим систему уравнений в виде:
,
.
Тогда базисное решение
(2; -1; 6; 0; 0).
Ответ: (2; -1; 6; 0; 0).
Задача 2
Составить уравнение
линии, для каждой точки которой ее расстояние до точки А(2;-1) равно расстоянию
до прямой у = 1. Полученное уравнение привести к каноническому виду и построить
кривую.
Решение
Пусть М(х;у) - текущая
точка искомого геометрического места точек. Опустим перпендикуляр МВ на прямую
у = 1. Тогда В(х;1). По условию задачи МА = МВ

; 
;
Полученное уравнение
представляет параболу вида

, где 
- вершина параболы, р -
параметр параболы. Парабола имеет вершину в точке (2; 0), ветви направлены
вверх.
Задача 3
Найти собственные значения и
собственные векторы линейного преобразования, заданного в некотором базисе
матрицей

Решение
Составим характеристическое
уравнение матрицы А

=0 или


.
Откуда собственные
значения линейного оператора 

.
Найдем собственный
вектор 
соответствующий
собственному значению 

= 0, откуда находим 
. Пусть 
, тогда 
, 
, т.е. 
.
Аналогично для 
найдем

= 0 откуда 
.
Аналогично для 
найдем

= 0 откуда 
.
Задача 4
Из квадратного листа картона со
стороной а вырезаются по углам одинаковые квадраты, а из остальной части
склеивается прямоугольная коробка. Какова должна быть сторона вырезаемых
квадратов, чтобы объем коробки был наибольшим?
Решение
Площадь основания коробки
.
Высота Н = х.
Объем коробки
Исследуем эту функцию.
при
.
В точке
функция
имеет максимум. Из условия задачи видно, что значение
для
данной задачи не имеет смысла. Следовательно, при
объем
коробки будет наибольшим
Ответ:
,
Задача 5
Вычислить предел функции
по правилу Лопиталя
Решение
Ответ: 3
Задача 6
Исследовать функцию и
построить ее график 
Решение
1) Область
определения функции 
) Функция четная
) 
- вертикальные
асимптоты функции
) Исследуем
поведение функции в бесконечности
значит у=1 горизонтальная асимптота
графика функции, других асимптот график функции не имеет
) Найдем экстремумы функции и
интервалы монотонности. Найдем
Поскольку при 
у΄
, функция на этом интервале
убывает,
при 

, функция возрастает и х
= 0 точка минимума,
при 
.
6) Найдем интервалы выпуклости
и точки перегиба. Для этого найдем

=
.

не обращается в нуль ни
при каких х, т.е точек перегиба функция не имеет. Очевидно, что 
на интервалах 
и (
;2
, и на этих интервалах
функция выпукла вверх, 
на интервале 
и на этом интервале
функция выпукла вниз.
7) Строим график функции
Задача 7
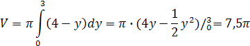
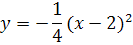
Вычислить объем тела,
образованного вращением вокруг оси Оу фигуры, ограниченной линиями 
Решение
Построим фигуру,
ограниченную заданными линиями. Искомый объем найдем по формуле

Ответ:
Задача 8
Найти область сходимости
степенного ряда
.
Решение
Для решения данной
задачи применим признак Даламбера:
:
.
.

. Граничные точки 
исследуем особо.
При 
получим
Согласно признаку
Лейбница, знакочередующийся ряд сходится, т.к. его члены убывают по абсолютному
значению и
При 
получим
Применим предельный
признак сравнения, сравнив ряд из абсолютных величин данного ряда со сходящимся
гармоническим рядом
,


и так как предел
отношения общих членов двух рядов
есть конечное число,
не равное нулю, то
данный ряд сходится.
Ответ: 
Задача 9
Из партии телевизоров, состоящей из
20 штук, из которых 5 неисправных, случайным образом отбираются для проверки 3
телевизора. Найти вероятность того, что, в число отобранных, войдут только
исправные телевизоры.
Решение
Пусть событие А -
отобраны три исправных телевизора. Общее число способов, которыми можно выбрать
3 телевизора из 20 равно: 
.
Три исправных телевизора
из 15 исправных можно выбрать
способами.
Искомая вероятность Р(А)
=
.
Ответ: Р = 0,3974.
Задача 10
Два стрелка независимо
друг от друга стреляют по одной и той же мишени, делая каждый по одному
выстрелу. Вероятность попадания в мишень для первого стрелка равна 0,8; для
второго 0,6. После стрельбы в мишени обнаружена одна пробоина. Найти
вероятность того, сто в мишень попал второй стрелок.
Решение
Пусть событие А - мишень
поражена. Можно сделать два предположения: В1 - мишень поразил
первый стрелок, B2
- мишень поразил второй стрелок. Так как мишень поражена, то
;
.
Искомая вероятность
того, что мишень поражена вторым стрелком, по формуле Бейеса равна
Ответ: Р = 0,727