Реконструкция понижающей подстанции 110/35/6 кВ

  • Вид работы:
    Дипломная (ВКР)
  • Предмет:
    Физика
  • Язык:
    Русский
    ,
    Формат файла:
    MS Word
    2,12 Мб
  • Опубликовано:
    2012-09-20
Вы можете узнать стоимость помощи в написании студенческой работы.
Помощь в написании работы, которую точно примут!

Реконструкция понижающей подстанции 110/35/6 кВ

Введение

Энергетика является основой развития производственных сил в любом государстве. Энергетика обеспечивает бесперебойную работу промышленности, сельского хозяйства, транспорта, коммунальных хозяйств. Электроэнергетика - это отрасль промышленности, занимающаяся производством электроэнергии на электростанциях и передачей ее потребителям. Электроэнергетика является базовой отраслью российской экономики, обеспечивающей электрической и тепловой энергией внутренние потребности народного хозяйства и населения, а также осуществляющей экспорт электроэнергии в страны СНГ и дальнего зарубежья. Устойчивое развитие и надежное функционирование отрасли во многом определяют энергетическую безопасность страны и являются важными факторами ее успешного экономического развития.

За последние годы в электроэнергетике России произошли радикальные преобразования: изменилась система государственного регулирования отрасли, сформировался конкурентный рынок электроэнергии, были созданы новые компании. Изменилась и структура отрасли: было осуществлено разделение естественно монопольных (передача электроэнергии, оперативно-диспетчерское управление) и потенциально конкурентных (производство и сбыт электроэнергии, ремонт и сервис) функций; вместо прежних вертикально-интегрированных компаний, выполнявших все эти функции, созданы структуры, специализирующиеся на отдельных видах деятельности. Магистральные сети перешли под контроль Федеральной сетевой компании, распределительные сети интегрированы в межрегиональные распределительные сетевые компании (МРСК), функции и активы региональных диспетчерских управлений были переданы общероссийскому Системному оператору (СО ЕЭС). Активы генерации в процессе реформы объединились в межрегиональные компании двух видов: генерирующие компании оптового рынка (ОГК) и территориальные генерирующие компании (ТГК). ОГК объединили электростанции, специализированные на производстве почти исключительно электрической энергии. В ТГК вошли главным образом теплоэлектроцентрали (ТЭЦ), которые производят как электрическую, так и тепловую энергию. Шесть из семи ОГК сформированы на базе тепловых электростанций, а одна (РусГидро) - на основе гидрогенерирующих активов.

ЕЭС России - сложнейший автоматизированный комплекс электрических станций и сетей, объединенный общим режимом работы с единым центром диспетчерского управления (ДУ). Основные сети ЕЭС России напряжением от 330 до 1150 кВ объединяют в параллельную работу 65 региональных энергосистем от западной границы до Байкала. Структура ЕЭС позволяет функционировать и осуществлять управление на 3х уровнях: межрегиональном (ЦДУ в Москве), межобластном (объединенные диспетчерские управления) и областном (Местные ДУ). Такая иерархическая структура в сочетании с противоаварийной интеллектуальной автоматикой и новейшими компьютерными системами позволяет быстро локализовать аварию без значительного ущерба для ЕЭС и зачастую даже для местных потребителей.

Энергетика Дагестана

В результате реформирования электроэнергетики из ОАО «Дагэнерго» выделились пять компаний по видам деятельности. Отделившись от производства электроэнергии (генерация) и её реализации конечному потребителю (энергосбыт) компания, сохранившая за собой бренд ОАО «Дагэнерго», трансформировалась в распределительную сетевую компанию (РСК) и структурно находилась под управлением Межрегиональной сетевой компании Центра и Северного Кавказа. После ряда реорганизаций с 1 апреля 2008 года активы ОАО «Дагэнерго» консолидированы в рамках единой на Северном Кавказе крупной и более привлекательной для инвесторов компании - ОАО «МРСК Северного Кавказа», а в Республике Дагестан создан филиал ОАО «МРСК Северного Кавказа» - «Дагэнерго». 14 января 2010 года решением Совета директоров ОАО «МРСК Северного Кавказа» было создано ОАО «Дагэнергосеть».

Основными задачами ОАО «Дагэнергосеть» являются:

• Транспортировка электроэнергии по распределительным сетям напряжением от 0,4 до 110 кВ;

• Надежное электроснабжение потребителей электроэнергией;

• Присоединение новых потребителей к электросетевой инфраструктуре.

В настоящее время в состав филиала « Дагэнерго» входят пять производственных участков электрических сетей (ПУЭС): ПУ Центральных электрических сетей, ПУ Дербентских электрических сетей, ПУ Северных электрических сетей, ПУ Гергебельских электрических сетей, ПУ Затеречных электрических сетей; 35 районных электрических сетей (РЭС), в том числе 31 РЭС, обслуживающих электрические сети сельскохозяйственного назначения и четыре РЭС - городские электрические сети городов Буйнакска, Дербента, Хасавюрта, Избербаша.

Вопросы экологии

Производство энергии, являющееся необходимым средством для существования и развития человечества, оказывает воздействие на природу и окружающую человека среду. Основу жизни человека составляет окружающая природная среда, а основу современной цивилизации - ископаемые природные ресурсы и вырабатываемая из них энергия, включая самый технологичный ее вид - электроэнергию.

Современный период развития человечества иногда характеризует через три вида: энергетика, экономика и экология. Энергетика в этом ряду занимает особое место. Она является определяющей и для экономики и для экологии. Самые острые экологические проблемы прямо или косвенно связаны с производством, либо с использованием энергии. Энергетика порождает свои экологические проблемы не только в химическом, но и в других видах загрязнения: тепловом, аэрозольном, электромагнитном, радиоактивном.

В настоящее время именно тепловой энергетике принадлежит определяющая роль в производстве электроэнергии во всем мире. Поэтому будущее энергетики будет существенно зависеть от обеспечения допустимого уровня воздействия тепловых электростанций на окружающую среду. Основное направление в решении экологических проблем теплоэнергетики состоит в создании экологически чистых тепловых электростанций, отвечающих нормативным экологическим требованиям. В заключение хочется подчеркнуть, что развитие электроэнергетики любой страны должно рассматриваться с позиций глобального взаимодействия ее с окружающей средой.

1. Проектирование подстанции 110/35/10 кВ

.1 Исходные данные для проектирования подстанции

.1.1 Характеристика объекта проектирования

На подстанции «Рассвет» 110/35/6 кВ в настоящее время, установлено следующее основное оборудование выпуска шестидесятых и семидесятых годов:

1.   ОРУ-110 кВ (выполнено по схеме «мостиковая с выключателями в цепи трансформаторов»)

-    выключатели ВМТ-110 Б/1250 УХЛ 1

-       разъединители РНДЗ-110/1000-У1

-       трансформаторы тока ТФНД-110М

2.   ОРУ-35 кВ (выполнено по схеме «мостиковая с выключателями в цепи трансформаторов»)

-    выключатели ВТ-35-630-12,5

-       трансформаторы тока ТФНД-35М

-       трансформаторы напряжения ЗНОМ-35

3.   ЗРУ-6 кВ (выполнено по схеме «двойная система шин»)

-    трансформаторы напряжения НАМИ-6

-       трансформаторы тока ТЛМ-10

-       КРУ К-26

4.   Трансформаторы типа: - Т1: ТДТН-10000/110 кВ и

Т2: ТДТН-16000/110 кВ.

.     На подстанции имеется заземляющее устройство, молниезащита, и освящение.

Для питания собственных нужд подстанции предусмотрены два трансформатора типа ТМ-100/6 и ТТО-40/6, подключённых к первой и второй с.ш. 6 кВ.

За время эксплуатации, а также в силу достижений в науке и технике, оборудование, установленное на подстанции, морально и физически устарело, следовательно, не обеспечивает требуемой надежности, так как утратило свой ресурс.

1.1.2 Существующее состояние подстанции и факторы, определяющие необходимость расширения и реконструкции подстанции

Подстанция 110/35/6 кВ «Рассвет» состоит из основного оборудования выпуска шестидесятых и семидесятых годов. Многое оборудование практически исчерпало свой ресурс. Необходимо заменить устаревшее оборудование.

На подстанции установлены: два трансформатора Т-1 ТДТН-10000/110 и Т-2 ТДТН-16000/110, которые питаются по ВЛ-110 кВ от линий Л-113 и Л-104, с учетом увеличения нагрузки необходимо заменить трансформатор Т1 на новый более мощный. Регулирование напряжения на шинах 6 кВ подстанции осуществляется с помощью устройства регулирования напряжения под нагрузкой (РПН) трансформаторов Т1, Т2 автоматически или дистанционно. В цепи линий установлены аппараты, необходимые для эксплуатационных включений и отключений линий, для их отключений при чрезмерных перегрузках и коротких замыканиях, а также для отсоединения аппаратов линий от сборных шин или от сети при их ремонтах.

В 2015 году к подстанции «Рассвет» планируется подключение машиностроительного предприятия, что, ведет к увеличению нагрузки на подстанции. Увеличение нагрузки в свою очередь ведет к дефициту мощности. Поэтому необходимо произвести реконструкцию подстанции, так как мощность подстанции не может обеспечить планируемую нагрузку потребителей и обеспечить бесперебойное питание. Указанный потребитель относится к II категории по надежности электроснабжения.

В ходе реконструкции предполагается: замена силового трансформатора Т1 на более мощный; замена устаревшего оборудования на новое, более совершенное и мощное; установка на стороне 110 кВ секционного выключателя.

.1.3    Электрические нагрузки подстанции «Рассвет»

Электрические нагрузки являются исходными данными для решения сложного комплекса технических и экономических задач. Определение электрических нагрузок составляет первый этап проектирования любой системы электроснабжения и производится с целью выбора и проверки токоведущих элементов (шин, кабелей, проводов), силовых трансформаторов и преобразователей по пропускной способности (нагреву) и экономическим параметрам, расчёта потерь, отклонений и колебаний напряжения, выбора компенсирующих установок, защитных устройств и т.д. От правильной оценки ожидаемых электрических нагрузок зависит рациональность выбора схемы и всех элементов системы электроснабжения и её технико-экономические показатели

По виду фиксируемого параметра различают графики активной, реактивной и полной мощности. Как правило, графики отражают изменение нагрузки за определённый период времени. По этому признаку их подразделяют на суточные, сезонные и годовые.

В соответствии с планами перспективного развития промышленной отрасли намечается строительство нового машиностроительного предприятия. Указанный потребитель относится к II категории по надежности электроснабжения. С ростом нагрузок сельскохозяйственных потребителей, а также в связи с тем, что в 2015 году к подстанции «Рассвет» будет подключена машиностроительная предприятия, данный проект предусматривает замену физически и морально устаревшего оборудования (масляных выключателей на элегазовые и вакуумные), а также замену одного трансформатора марки ТДТН-10000/110/35/6 на трансформатор большей мощности для надежного и бесперебойного электроснабжения потребителей.

Нагрузки потребителей определены по заявкам организаций, с учетом существующих нагрузок и планов развития.

Основные потребители электроэнергии подстанции «Рассвет» приведены в таблице 1.1.

Таблица 1.1 - Основные потребители ПС «Рассвет»

Номер

Основные потребители

Обслуживание на балансе

Возможность

фидера



резервирования





Ф-1

Сан. "Каспий", МП "Зурхай"

Карабудахкентский РЭС










Ф-3

Каспийгазпром

Каспийгазпром







Сел. Уллубий-аул, в/ч, НС,



Ф-4

Пионерские лагеря и базы отдыха

Карабудахкентский РЭС



школа, МТФ с-за Буйнакский.




Сел. Манаскент, Базы отдыха,


Ф-11

Ф-5

Рыбзавод "Манас", Винзавод,

Карабудахкентский РЭС

ПС "Рассвет"


сел. Зеленоморск






Ф-13

Ф-6

НС УОС, Пансионат

Карабудахкентский РЭС

ПС "Рассвет"









Ф-7

Газовая буровая Дагнефть

Каспийгазпром










Ф-8

НС "Изберг"

Водоканал







Винзавод, санаторий "Каспий",



Ф-11

фареловое х-во, СХТ Манас,

Карабудахкентский РЭС



санаторий "Дагестан"




Кирпичный завод "Балхар", НС,



Ф-12

Нефтеперегонный завод, ОТФ

Карабудахкентский РЭС



с-за "Буйнаксий"




ПТФ с-за "Буйнакский",



Ф-13

Б-о завода "Стекловолокно"




Строим суточный график нагрузок трансформаторов по заявкам организаций, с учетом существующих нагрузок (зимних замеров) и планов развития, которые приведены в таблице 1.2.

Таблица 1.2 - Данные зимнего режимного дня 2015 года

Время










t,ч

1

2

3

4

5

6

7

8

9

Smax

13,4

12,8

12,8

12,8

14,8

16,1

16,5

17,5

18,5

MBA










10

11

12

13

14

15

16

17

18

91

17,9

16,5

16,4

16,5

16,5

17,5

22,4

22,6

22,7

22,7

20

21

22

23

24






22,2

22,2

20,1

16,1

13,4







Рис. 1.1 Суточный график зимнего режимного дня

Вывод: Таким образом, в течении суток восемь часов трансформатор работает с перегрузкой.

.2 Выбор силовых трансформаторов

Силовые трансформаторы являются основными элементами систем электроснабжения и используются во всех отраслях экономики, включая промышленность, жилищно-коммунальное и сельское хозяйство, отдельные учреждения, организации, фирмы. Надежность электроснабжения различных потребителей и экономичность работы электрооборудования во многом определяются правильным выбором вида и мощности трансформаторов. Наибольшее распространение получили трехфазные трансформаторы, так как потери в них на 12-15 % ниже, а расход активных материалов и стоимость на 20-25 % меньше, чем в группе трех однофазных трансформаторов такой же суммарной мощности.

Правильный выбор числа и мощности силовых трансформаторов на подстанции является одним, из основных вопросов рационального построения схем электроснабжения. В нормальных условиях трансформаторы должны обеспечить питание всех электроприемников обслуживаемого района.

Выбор мощности трансформаторов производится исходя из расчетной нагрузки объекта электроснабжения, числа часов использования максимума, темпа роста нагрузок, стоимости электроэнергии, допустимой перегрузки трансформаторов.

В соответствии с ГОСТом 14209-97 на подстанциях 35-750 кВ, всегда следует выбирать трехфазные трансформаторы (автотрансформаторы) и только в исключительных случаях возможно использование группы из однофазных или группы из двух трехфазных трансформаторов половинной мощности.

На подстанциях 35-750 кВ всех категорий, как правило, предусматривают установку двух трансформаторов, мощность каждого из них выбирается, как правило, не более 70% максимальной нагрузки подстанции.

Для правильного выбора номинальной мощности трансформатора (автотрансформатора) необходимо располагать суточным графиком, отражающим как максимальную, так и среднесуточную активную нагрузки данной подстанции, а также продолжительность максимума нагрузки. В данном случае используется суточный график нагрузки, приведенный на рисунке 1.1.Максимальная нагрузка при этом составляет .

Найдем ориентировочную мощность одного трансформатора по формуле

                                                                          (1.1)

 

Стандартная ближайшая большая мощность

Намечаю к установке второй трансформатор ТДТН-16000/110/35/6кв, , так как на подстанции уже имеется такой же трансформатор и возможное дальнейшее увеличение нагрузок.

Преобразование заданного графика нагрузки трансформатора в эквивалентный двухступенчатый прямоугольный график выполняем по ГОСТ-14209-97.

Преобразование заданного графика нагрузки в эквивалентный двухступенчатый график следует выполнять в следующей последовательности:

.        Проводим на заданном графике горизонтальную линию с ординатой К=1, т.е. линию номинальной нагрузки

.        Определяем начальную нагрузку  эквивалентного графика. Коэффициент для исходного графика нагрузки вычислим по формуле

                                                (1.2)

где S1, S2,...,Sm - значения нагрузки в интервалах ∆t1, ∆t2,..., ∆tm

 *

 *

;

3.       Определяем предварительное значение нагрузки  эквивалентного графика нагрузки из выражения. Коэффициент  эквивалентного графика предварительно вычислим по формуле

*                                              (1.3)

;

Пользуясь таблицами, приведенными в [0], определяю допустимую норму аварийных перегрузок K2 и ее продолжительность h. Для трансформаторов с системой охлаждения ONAF(Д) и среднегодовой температурой to=11.8o C, h/= 24 ч.

Так как

                                                                                    (1.4)

 

Сравним значение нагрузки  с коэффициентом максимума нагрузки :

 ,то следует принять, что

По полученным значениям строим эквивалентный двухступенчатый график.

Рис 1.2. Эквивалентный двухступенчатый график.

Допустимая перегрузка силового трансформатора с системой охлаждения ONAF(Д) при  и= по табл. 1.36 [7], равна:

-    при систематических перегрузках

-       при аварийных перегрузках

Следовательно, данный трансформатор ТДТН-16000/110/35/6кв проходит как по систематическим, так и по аварийным перегрузкам, и он устанавливается на подстанции.

Паспортные данные трансформатора ТДТН-16000/110/35/6кв представлены в таблице 1.3.

Таблица 1.3

Паспортные данные трансформатора ТДТН-16000/110/35/6кв

Тип трансформатора

 МВА

Напряжение обмотки, кВ

Потери, кВт

 



ВН

СН

НН

Px

Pk

ВН-СН

ВН-НН

СННН


ТДТН-16000/110

16

115

338,5

6,6

21

100

10,5

17,5

6,5

0,8


Таким образом, был выбран трансформатор ТДТН-16000/110/35/6кв.

.3 Обоснование количества линий

Электроснабжение потребителей в рассматриваемом районе осуществляет филиал ОАО «МРСК СК» Карабудахкентские РЭС.

С подстанции «Махачкала-330» по двум линиям ВЛ-110 кВ (Л-142 и Л-113) поступает питание на подстанции «Манас-тяговая» и «Изберг-Северная», с промежуточным отпором на подстанциях: «Насосная-2» и «Рассвет». От подстанции «Махачкала-330» с ОРУ-110 кВ по линии Л-142 поступает питание на 1 секцию шин подстанции «Манас-тяговая», а с 2 секция шин подстанции получает питание подстанция «Изберг-Северная» по линии Л-104. На подстанцию «Рассвет» поступает питание от двух ВЛ-110 кВ (Л-113 и Л-104). На подстанцию «Насосная-2» поступает питание от линии Л-113.

Данные о линиях электропередачи района приведены в таблице 1.4

Таблица 1.4 Данные линий электропередачи района энергосистемы

Линия электропередачи

Марка провода

Длина ЛЭП, км

Л-142 ПС Махачкала-330 − ПС Манас-тяговая

АС-150

15,4


АС-185

0,6

Л-113 ПС Махачкала-330 − ПС Терекли-Мектеб

АС-150

18,8


АСК-150

11,9


АС-120

0,8

Л-104 ПС Изберг-Северная- ПС Манас-тяговая

АС-150

0,5


АС-120

3,9


М-70

22,6


.4 Выбор схемы распределительного устройства ВН

Главная схема (ГС) электрических соединений энергообъекта - это совокупность основного электротехнического оборудования, коммутационной аппаратуры и токоведущих частей, отражающая порядок соединения их между собой.

К РУВН реконструируемой подстанции подключаются две ВЛ и два трансформатора.

Подстанция относится к классу проходных подстанций. К установке на реконструируемой подстанции принимаем схему «Мостик с выключателями в цепи трансформатора».

В нормальном режиме все коммутационное оборудование включено, за исключением секционного выключателя Q1. ВЛ W-113, W-104 - линии, связывающие реконструируемую подстанцию с энергосистемой. Рассмотрим последствия аварийных ситуаций в данной схеме.

Отказ одного из трансформаторов (предположим Т1). При КЗ в Т1 происходит отключение выключателя Q3, питание потребителей подстанции осуществляется через Т2 с учётом его перегрузочной способностью. Отказ одной линии связи с энергосистемой (W-113). При КЗ на W-113 происходит отключение выключателя Q3, трансформатор Т1 теряет питание.

После отключения W-113 оперативный персонал отключает повреждённую линию линейным разъединителем QS4, после чего включают Q3 и Q1 и Т1 восстанавливает питание.

Таким образом, из приведённого анализа следует, что в выбранной схеме отсутствует простая (одиночная) аварийная ситуация, приводящая к отключению потребителей реконструируемой подстанции.

Наиболее тяжёлой аварийной ситуацией является отказ одной питающих линий в период ремонта одного из трансформаторов, но и в этом случае имеется возможность обеспечить питание потребителей реконструируемой подстанции от второй линии через секционный выключатель.

Рис.1.3. Схема РУВН подстанции «Рассвет»

1.5 Составления схемы собственных нужд

Состав потребителей собственных нужд подстанции (СН) зависит от мощности трансформаторов, конструктивного выполнения подстанции, наличия синхронных компенсаторов, типа электрооборудования, способа обслуживания и вида оперативного тока. Наименьшее количество потребителей СН на подстанциях, выполненных по упрощённым схемам, без синхронных компенсаторов - это электродвигатели обдува трансформаторов, обогрева приводов шкафов КРУН, а также освещение подстанции.

Мощность потребителей СН невелика, поэтому они присоединяются к сети 380/220В, которая получает питание от понижающих трансформаторов.

Мощность трансформаторов СН выбирается по нагрузкам СН с учётом коэффициента загрузки и одновременности, при этом отдельно учитывается летняя и зимняя нагрузки, а также нагрузка в период ремонтных работ на подстанции.

Приемники собственных нужд подстанций по степени ответственности делятся на 3 группы:

а) Приемники, отключение которых приводит к нарушению нормального режима эксплуатации, к частичному или полному отключению или к авариям с повреждением основного оборудования. Для питания электроприемников первой категории необходимо иметь два источника питания автоматическим включением резерва.

б) Приемники, отключение которых допустимо на 20-40 минут для подстанций с дежурным персоналом или до приезда обслуживающего персонала, если дежурного на подстанции нет. Восстановление питание у приемников этой группы осуществляется вручную.

в) Приемники, отключение которых допустимо на более длительное время.

По режиму включения в работу электроприемники собственных нужд подстанций разделяются:

а) Постоянно включенные в сеть (в том числе цепи управления и релейной защиты).

б) приемники, включенные в зависимости от сезонных условий (от температуры окружающего воздуха);

в) ремонтные, как правило, передвижные, подключаемые временно в периоды ревизий и ремонтов оборудования.

Нагрузка СН приведена в таблице 1.5.

Таблица 1.5 - Нагрузка собственных нужд

Электроприемники

Установленная мощность, кВт.

Количество приемников

Суммарная мощность, кВт.

электродвигатели обдува

1,5

8

12

Обогрев В-110

1,75

2

3,5

Обогрев В-35

1,15

7

8,05

обогрев шкафов КРУ-6

0,6

20

12

Отопление и освещение помещения ОВБ

5,5

1

5,5

Наружное освещение

4,5

1

4,5

Опер.цепи

1,8

1

1,8

Итого



47,35


С учетом коэффициента спроса 0,7 для рассматриваемой подстанции принимаем два ТСН типа ТМ-40кВА 6/0,4кВ, с предохранителями ПКТ-6

Рис.1.4. Схема собственных нужд подстанции.

.6 Расчет токов короткого замыкания

.6.1 Общие сведения о коротких замыканиях

В электрических установках могут возникать различные виды КЗ, которые сопровождаются резким увеличением тока. Все электрооборудование, устанавливаемое в системах электроснабжения, должно быть устойчивым к токам КЗ и выбираться с учетом этих токов. Различают следующие виды КЗ: трехфазное, или симметричное, когда три фазы соединяются между собой; двухфазное - две фазы соединяются между собой без соединения с землей; однофазное - одна фаза соединяется с нейтралью источника через землю; двойное замыкание на землю - две фазы соединяются между собой и с землей.

В большинстве случаев причиной возникновения КЗ в системе является нарушение изоляции электрического оборудования вследствие износа изоляции, не выявленного своевременно при профилактических испытаниях, или из-за перенапряжений. КЗ могут быть вызваны ошибочными действиями обслуживающего персонала, механическими повреждениями кабельных линий, схлестыванием, набросом или перекрытием птицами проводов воздушных линий.

При возникновении КЗ общее сопротивление цепи системы электроснабжения уменьшается, вследствие чего токи в ветвях системы резко увеличиваются, а напряжения на отдельных участках системы снижаются.

Элементы электрических систем обладают активными, индуктивными сопротивлениями и емкостными проводимостями. Поэтому при внезапном нарушении режима работы вследствие КЗ электрическая система представляет собой колебательный контур. Токи в ветвях и напряжения в узлах будут изменяться в течение некоторого времени после возникновения КЗ в соответствии с параметрами этого контура. За время КЗ с момента его возникновения до момента отключения поврежденного участка в цепи протекает переходный процесс с большими мгновенными токами, вызывающими электродинамическое воздействие на электрооборудование. При длительном, более 0,01 с, КЗ токи оказывают термическое действие, которое может привести к значительному повышению температуры нагревания электрооборудования.

В связи с необходимостью проверки выбираемого силового и коммутационного электрооборудования на правильную работу в режимах коротких замыканий, а также для правильной работы устройств РЗиА расчётным видом КЗ является трёхфазное симметричное КЗ.

В зависимости от назначения расчёта выбираются соответствующие режимы работы электрической сети.

.6.2 Цель расчета токов КЗ

Вычисление токов КЗ производится для определения условий работы потребителей при аварийных режимах; выбора электрических аппаратов, шин, изоляторов, силовых кабелей; проектирования и настройки устройств релейной защиты и автоматики; проектирования защитных заземлений; подбора характеристик разрядников для защиты от перенапряжений.

В современных электрических системах точный расчет токов КЗ с учетом всех условий очень сложен и практически невозможен. С другой стороны, требуемая точность расчетов зависит от его назначения. Например, для выбора электрических аппаратов производят приближенное определение токов КЗ, так как интервалы между значениями параметров, характеризующих различные типы аппаратов, велики. Для выбора и настройки устройств релейной защиты и автоматики точность расчетов должна быть выше.

.6.3 Составление расчетной схемы

Под расчетной схемой установки понимают упрощенную однолинейную схему электроустановки с указанием всех элементов и их параметров, которые влияют на токи КЗ и поэтому должны быть учтены при выполнении расчетов.

В целях упрощения расчетов для каждой электрической ступени в расчетной схеме вместо её действительного напряжения на шинах указывают среднее напряжение Uср, согласно следующей шкале: 6,3; 10,5; 37; 115; 230.

Данные линий Л-142, Л-113 и Л-104 приведены в таблице…, которые рассчитаны в пункте №2.6.

Рис.1.5 Расчетная схема

1.6.4 Составление схемы замещения

Схемой замещения называют электрическую схему, соответствующую по исходным данным расчетной схеме, но в которой все магнитные связи заменены электрическими.

Рис.1.6 Схема замещения

Расчет токов короткого замыкания

Исходные данные для расчета токов КЗ

=15,68 кА,Uкз=98 кВ, Rэ=0,627 Ом, Хэ=4,307 Ом.

Для удобства расчета принимаем Sб=10000 МВА Uб1=115 кВ. Пренебрегаем активными сопротивлениями элементов схемы при условии, что

 

Rэ < Xэ/3                                                                                          (1.5)

 

где Rэ, Xэ - эквивалентные активные и реактивные сопротивления.

 

Так как условие Rэ < Xэ/3 выполняется, то активное сопротивление не учитывается.

Определим мощность короткого замыкания

 (1.6)

 

UБ1=115 кВ, UБ2=38,5 кВ, UБ3=6,6 кВ- базисные напряжения

Определим базисный ток ступени

                                                                                       (1.7)

                                                                  (1.8)

;                                                     (1.9)

;                                                      (1.10)

Расчёт сопротивлений в схеме замещения в относительных единицах:

Энергосистема

;                                                           (1.11)

Линия

;                                                   (1.12)

;                                                          (1.13)

;                                (1.14)

Трансформатор

;                                                                                                                (1.16)

;                                                                                                   (1.17)

;                                                (1.18)

;                                                         (1.19)

;                                        (1.20)

Преобразуем исходную схему

Рис.1.7 Преобразование схемы замещения

Преобразуем схему замещения относительно К-1 из рисунка 1.7

Рис.1.8 Преобразование схемы для точки К-1.

Определим  для точки К-1

;                                       (1.21)

Преобразуем схему замещения относительно К-2 из рисунка 1.7

Рис.1.9 Преобразование схемы для точки К-2

Определим  для точки К-2

;  (1.22)

Преобразуем схему замещения относительно К-3 из рисунка 1.7

Рис. 1.10 Преобразование схемы для точки К-3.

Определим  для точки К-3

;(1.23)

Производим расчет токов к.з:

Начальная периодическая составляющая тока к.з.

Производим расчет тока к.з. для точки К-1:

;                                                 (1.24)

Производим расчет тока к.з. для точки К-2

;                                                (1.25)

Производим расчет тока к.з. для точки К-3

;                                                  (1.26)

-э.д.с. системы в относительных единицах, для системы принимаем  и поставляем значение в формулы (1.24), (1.25) и (1.26).

Мгновенное амплитудное значение ударного тока к.з. в точке К-1

;                                      (1.27)

Для этого сначала необходимо определить ударный коэффициент

;                                             (1.28)

Ta=0.05 - Время затухания апериодической составляющей тока короткого замыкания [3].

Мгновенное амплитудное значение ударного тока к.з. в точке К-2

;                               (1.29)

Мгновенное амплитудное значение ударного тока к.з. в точке К-3

;                                      (1.30)

Действующее значение ударного тока к.з. в точке К-1

;   (1.31)

Действующее значение ударного тока к.з. в точке К-2

; (1.32)

Действующее значение ударного тока к.з. в точке К-2

;(1.33)

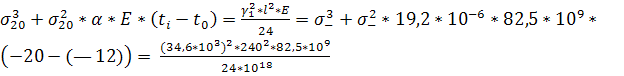
Определяем апериодическую составляющую тока к.з. в точке К-1:

=2,77 кА;                           (1.34)

где: коэффициент затухания апериодической составляющей тока КЗ и определяется по формуле

;                                                                                        (1.35)

Момент времени расхождения контактов выключателя:

;                                        (1.36)

Поставляя значения Та и  определяем коэффициент затухания

по формуле

0,37;                                                                      (1.35)

Определяем апериодическую составляющую тока к.з. в точке К-2

=1,02 кА;                         (1.37)

Момент времени расхождения контактов выключателя:

;

Определяем коэффициент затухания

по формуле (1.35): 0,37;

Определяем апериодическую составляющую тока к.з. в точке К-3

;                             (1.38)

Момент времени расхождения контактов выключателя:

;

Определяем коэффициент затухания

по формуле (1.35): 0,37;

Результаты расчета к.з. заносим в таблицу 1.6.

Таблица 1.6 - Результаты расчета к.з

Точка






К-1

115

50,2

5,3

13,5

8

2.77

К-2

38,5

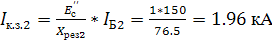
150

1,96

5

3

1.02

К-3

6.6

875

7,4

18,8

11,2

3.87


.7 Выбор токоведущих частей и коммутационно-защитной аппаратуры

.7.1 Выбор оборудования высокого напряжения на 110 кВ.

Выбор выключателя

Выключатели являются основными коммутационными аппаратами и служат для отключения и включения цепей в различных режимах работы.

Выбор выключателей производится по следующим параметрам:

по напряжению электроустановки

                                                                                       (1.39)

где - номинальное напряжение выключателя, кВ;

по длительному току Ip.макс:

                                                                                    (1.40)

;                                                      (1.41)

где Iном - номинальный ток выключателя, А;

На стороне высокого напряжения подстанции «Рассвет» устанавливаем элегазовые выключатели типа ЯЭ-110Л-23(13)У4, в которых гашение дуги производится потоком элегаза.

Технические данные выключателя приведены в таблице 1.7.

Таблица 1.7 - Технические данные элегазового выключателя ЯЭ-110Л-23(13)У4

Тип

Uн, кВ

Iн, А

Iно, кА

i пс, кА

Iпс, кА

i нв, кА

Iнв, кА

Iтс, кА

tтс, с

tво, с

tсв, с

ЯЭ-110Л-23(13)У4

110

1250

40

125

50

100

40

50

3

0,065

0,04


Выбранный выключатель проверяем по следующим параметрам:

Проверка выключателя на отключающую способность:

=0,01+0,04=0,05 с; (1.42) А

 

Сравним эти токи с соответствующими параметрами выключателя:

;                                                                                                        (1.43)

 

Проверим выключатель на термическую стойкость. В качестве расчетного тока для этой проверки принимает трехфазное к.з. Необходимо проверить выполнение условия .

Рассчитаем допустимый тепловой импульс, определяемый по параметрам выключателя

;                                  (1.44)

где: - ток термической стойкости выключателя;

- время термической стойкости;

Определим тепловой импульс периодической составляющей тока к.з

    (1.45)

где: - ток короткого замыкания;

- полное время отключения выключателя;

- время затухания апериодической составляющей тока короткого замыкания. , таким образом, условие проверки на термическую стойкость выполняется.

Проверим выключатель на динамическую стойкость

125                                                  (1.46)

                                                            (1.47)

где:-действующий предельносквозной ток выключателя;

- пиковый предельносквозной ток выключателя;

Условие проверки выполняется.

Проверка на включающую способность:

 

125;

Проверку возможности использования этого типа выключателя сводим в таблицу 1.8.

Таблица 1.8 - Выбор выключателя.

Параметры выключателя

Соотношение

Расчетные величины для выбора выключателя

Iн=1250 А

Iно=40 кА

 кА

=

125

125


Выбор разъединителя

Выберем разъединитель для наружной установки по номинальному напряжению: = 110кВ;

по номинальному току: ;

 А;

Выбираем разъединитель наружной установки типа:РНД-110Б/1000 У1. Технические данные разъединителя приведены в таблице 1.9.

Таблица 1.9 - Технические данные разъединителя.

Тип

Uн, кВ

Iн, А

i пс, кА

Iтс, кА

tтс, с

РНД-110Б/1000 У1

110

1000

80

31,5

4


Проверим разъединитель на термическую стойкость. Термическая устойчивость разъединителей характеризуется током термической устойчивости, т.е. таким током, который в течение определенного времени нагревает все части аппарата до температуры не выше допустимой для него.

Рассчитаем допустимый тепловой импульс по формуле (1.44), определяемый по параметрам разъединителя:

;

Определим тепловой импульс периодической составляющей тока к.з. по формуле (1.45): ;

таким образом, условие проверки на термическую стойкость выполняется.

Проверим разъединитель на динамическую стойкость. Электродинамическая устойчивость разъединителей характеризуется максимально допустимым током или током электродинамической устойчивости, который должен быть больше ударного тока короткого замыкания: ;

т.е. условие проверки выполняется.

Выбор трансформатора тока

Выберем трансформатор тока на напряжение 110 кВ по номинальному напряжению:= 110кВ;

по номинальному току: ;

=A;

Выбираем в РУ 110 кВ трансформатор тока типа: ТФЗМ-110-Б1-У1.

Номинальные параметры трансформатора тока приведены в таблице 1.10:

Таблица 1.10 - Технические данные трансформатора тока

Тип

Uн, кВ

I, А

I, А

Варианты исполнения вторичных обмоток

Номинальная нагрузка в классе 0,5, Ом

ТФЗМ-110-Б1 У1

110

300

5

0,5/10Р/10Р

1,2


Рассмотрим подробнее выбор трансформатора по классу точности:

;                                                                                    (1.48)

Выполнение этого условия сводится к выбору сечения контрольного кабеля, соединяющего трансформатор с подключенными к нему приборами.

Допустимое сечение кабеля определим по формуле

;                                                                         (1.49)

где - номинальная вторичная нагрузка;

- сопротивление приборов, подключенных к трансформатору;

- мощность всех приборов в наиболее нагруженной фазе;

- сопротивление контактных соединений (при числе приборов более трех Ом)

- расчетная длина контрольного кабеля;

ρ- удельное сопротивление жил контрольного кабеля (для меди. ρ=0,0283 Ом*);

Для определения мощности, потребляемой приборами в цепи трансформатора тока, необходимо определить потребляемую каждым прибором мощность.

Результаты сведем в таблицу 1.11, а на ее основании определим допустимое сечение кабеля по формуле (1.49):

=1,57;

Таблица 1.11 - Данные приборов

Прибор

Тип прибора

Нагрузка фазы, В∙А




А

В

С

1

Амперметр

Э-335

0,5

-

-

2

Ваттметр

Д-335

0,5

-

0,5

3

Варметр

Д-335

0,5

-

0,5

4

Счетчик активной энергии

СА3-И681

2,5

2,5

-

5

Счетчик реактивной энергии

СР4-И676

-

2,5

2,5

Sпр, В∙А

4

5

3,5


Примем к установке кабель АКВВГ с алюминиевыми жилами сечением

,5 мм2. Определим сопротивление выбранного кабеля

;                                                 (1.50)

Определим вторичное расчетное сопротивление

;                     (1.51)

;

Из сравнения видно, что условие проверки по классу точности выполняется.

Выбор ограничителей перенапряжения

Ограничители перенапряжений (ОПН) - аппараты современного поколения, пришедшие на смену вентильным разрядникам. Ограничители типа ОПН предназначены для защиты электрооборудования распределительных электрических сетей переменного тока с изолированной или компенсированной нейтралью от грозовых и коммутационных перенапряжений в соответствии с их вольтамперными характеристиками и пропускной способностью. Преимущество ОПН по сравнению с вентильными разрядниками заключается в отсутствии искрового промежутка, обеспечивающего постоянное подключение ограничителей перенапряжений к защищаемому оборудованию. По сравнению с вентильными разрядниками ограничители перенапряжений обладают следующими преимуществами: глубоким уровнем ограничения всех видов перенапряжений, отсутствием сопровождающего тока после затухания волны перенапряжения, простотой конструкции и высокой надежностью в эксплуатации, стабильностью характеристик и устойчивостью к старению, способностью к рассеиванию больших энергий, стойкостью к атмосферным загрязнениям, малыми габаритами, весом и стоимостью. Ограничители перенапряжений ОПН применяются для защиты электрооборудования подстанций открытого и закрытого типа, кабельных сетей, ВЛ, генераторов, синхронных компенсаторов и электродвигателей сетей собственных нужд электростанций и промышленных предприятий, батарей статических конденсаторов и фазокомпенсирующих устройств, оборудования электроподвижного состава, электрооборудования специализированных промышленных предприятий (химической , нефтяной, газовой промышленности).

Ограничители перенапряжений выбирают по номинальному напряжению. Выберем ОПН на напряжение 110 кВ

 

Выберем ограничитель перенапряжения типа ОПН-110 У1.

Выбор сборных шин

Выберем сборные шины на 110 кВ по максимальному току

;                                                      (1.52)

Минимальное сечение провода для напряжения 110 кВ по условию короны 70 мм2. Выберем по допустимому току провод АС 70

;                                                        (1.53)

где : - допустимый длительный ток для провода АС 70.

Проверяем выбранные шины по термической стойкости:

Определяем рабочую температуру провода

 

где:  - температура окружающей среды ;[2]

- длительно допустимая температура проводника ;

 - температура окружающей среды принятая за номинальную при нормировании длительно допустимого тока ;

;                                                                    (1.55)

 - рабочий ток нормального режима;

 - допустимый длительный ток;

Необходим значение тепловой функции Ан, соответствующей начальной температуре проводника также по расчетным кривым для определения температуры нагрева проводника при коротком замыкании.

 ;                                                                       (1.56)

Рассчитаем значение тепловой функции Ак, соответствующей конечной

температуре проводника

 ;

где: - значение тепловой функции;

 - коэффициент учитывающий удельную теплоёмкость проводника; - тепловой импульс периодической составляющей тока короткого замыкания;

- выбранное сечение провода.

Определяем конечную температуру проводника при кратковременном нагреве током короткого замыкания . Она определяется по расчетным кривым для определения температуры нагрева проводника при коротком замыкании.

 

где:- допустимая температура нагрева провода.

Выбранные шины удовлетворяют условию проверки по термической устойчивости.

.7.2 Выбор оборудования среднего напряжения на 35 кВ

Выбор выключателя на 35 кВ

Выбор выключателей производится по следующим параметрам:

по напряжению электроустановки

 

где - номинальное напряжение выключателя, кВ;

по длительному току Ip.макс

 

;

где Iном - номинальный ток выключателя, А;

 - расчетная полная мощность (30 от полной мощности нагрузки);

На стороне среднего напряжения подстанции «Рассвет» устанавливаем элегазовые выключатели типа ВГТ-35II-50/3150 У1.

Технические данные выключателя приведены в таблице 1.12.

Таблица 1.12 - Технические данные вакуумного выключателя ВГТ-35II-50/3150 У1.

Тип

Uн, кВ

Iн, А

Iно, кА

i пс, кА

Iпс, кА

i нв, кА

Iтс, кА

tтс, с

tво, с

tсв, с

ВГТ-35II-50/3150 У1

35

3150

50

127

50

127

50

50

3

0,035

0,04


Выбранный выключатель проверяем по следующим параметрам:

Проверка выключателя на отключающую способность

=0,01+0,04=0,05 с; А

 

Сравним эти токи с соответствующими параметрами выключателя:

;

 

Проверим выключатель на термическую стойкость. В качестве расчетного тока для этой проверки принимает трехфазное к.з. Необходимо проверить выполнение условия . Рассчитаем допустимый тепловой импульс, определяемый по параметрам выключателя:

;

где: - ток термической стойкости выключателя;

- время термической стойкости;

Определим тепловой импульс периодической составляющей тока к.з.

 

где: - ток короткого замыкания;

- полное время отключения выключателя;

- время затухания апериодической составляющей тока короткого замыкания. , таким образом, условие проверки на термическую стойкость выполняется.

Проверим выключатель на динамическую стойкость

127

 

где:-действующий предельносквозной ток выключателя;

- пиковый предельносквозной ток выключателя;

Условие проверки выполняется.

Проверка на включающую способность

 

127;

Проверку возможности использования этого типа выключателя сводим в таблицу 1.13.

Таблица 1.13 - Выбор выключателя

Параметры выключателя

Соотношение

Расчетные величины для выбора выключателя

Iн=3150 А

Iно=50 кА

 кА

=

127

127


Выбор разъединителя

Выберем разъединитель для наружной установки по номинальному напряжению

= 35кВ;

по номинальному току

 

 А;

Выбираем разъединитель наружной установки типа: РНДЗ.1-35/1000 У1.Технические данные разъединителя приведены в таблице 1.14.

Таблица 1.14 - Технические данные разъединителя

Тип

Uн, кВ

Iн, А

i пс, кА

Iтс, кА

tтс, с

РНДЗ.1-35/1000 У1

35

1000

63

25

4


Проверим разъединитель на термическую стойкость.

Рассчитаем допустимый тепловой импульс по формуле (1.6), определяемый по параметрам разъединителя:

;

Определим тепловой импульс периодической составляющей тока к.з. по формуле (1.45): ;

таким образом, условие проверки на термическую стойкость выполняется.

Проверим разъединитель на динамическую стойкость. замыкания: ;

т.е. условие проверки выполняется.

Выбор трансформатора тока

Выберем трансформатор тока на напряжение 35 кВ по номинальному напряжению

= 35кВ

по номинальному току

;

=A;

Выбираем в РУ 35 кВ трансформатор тока типа: ТФЗМ35Б-1.

Номинальные параметры трансформатора тока приведены в таблице 1.15:

Таблица 1.15 - Технические данные трансформатора тока

Тип

Uн, кВ

I, А

I, А

Варианты исполнения вторичных обмоток

Номинальная нагрузка в классе 0,5, Ом

ТФЗМ35Б-1.

35

300

5

0,5/10Р/10Р

1,2


Рассмотрим подробнее выбор трансформатора по классу точности

;

Выполнение этого условия сводится к выбору сечения контрольного кабеля, соединяющего трансформатор с подключенными к нему приборами.

Допустимое сечение кабеля определим по формуле

;

где - номинальная вторичная нагрузка;

- сопротивление приборов, подключенных к трансформатору;

- мощность всех приборов в наиболее нагруженной фазе;

- сопротивление контактных соединений (при числе приборов более трех Ом)

- расчетная длина контрольного кабеля;

ρ- удельное сопротивление жил контрольного кабеля (для меди. ρ=0,0283 Ом*);

Для определения мощности, потребляемой приборами в цепи трансформатора тока, необходимо определить потребляемую каждым прибором мощность.

Результаты сведем в таблицу 1.16, а на ее основании определим допустимое сечение кабеля по формуле (1.49)

=1,57;

Таблица 1.16 - Данные приборов

Прибор

Тип прибора

Нагрузка фазы, В∙А




А

В

С

1

Амперметр

Э-335

0,5

-

-

2

Ваттметр

Д-335

0,5

-

0,5

3

Варметр

Д-335

0,5

-

0,5

4

Счетчик активной энергии

СА3-И681

2,5

2,5

-

5

Счетчик реактивной энергии

СР4-И676

-

2,5

2,5

Sпр, В∙А

4

5

3,5


Примем к установке кабель АКВВГ с алюминиевыми жилами сечением

,5 мм2. Определим сопротивление выбранного кабеля

;

Определим вторичное расчетное сопротивление

;

;

Из сравнения видно, что условие проверки по классу точности выполняется.

Выбор ограничителей перенапряжения

Выберем ОПН на напряжение 35 кВ: = 35кВ;

Выберем ограничитель перенапряжения типа: ОПН-35-У1.

Выбор трансформатора напряжения

Выберем трансформатор напряжения (ТН) на напряжение 35 кВ по номинальному напряжению: = 35кВ;

ТН в ОРУ 35 кВ питает обмотки напряжения приборов, сборных шин, линий.

Определим набор приборов для каждой группы присоединений [5]. Подсчет мощности произведем отдельно по активной и реактивной составляющим. При этом учтем, что cosφ обмоток приборов, кроме счетчиков, равен единице. У счетчиков активной и реактивной энергии cosφ=0.38, а sinφ=0.93.

Используя учебник [7], составим таблицу для подсчета мощности.

Определим полную суммарную потребляемую мощность

=67.2 ВА;                             (1.58)

Примем к установке три однофазных трехобмоточных трансформатора напряжения типа: НОМ-35-66У1 с номинальной мощностью в классе 0,5 соединенные в группу: 3. т.е. условие проверки по классу точности выполняется.

Номинальные параметры приборов подключенных к трансформатору напряжения сведены в таблицу 1.17:

Таблица 1.17 - Номинальные параметры приборов

Место установки и перечень приборов

Число присоединений

Тип прибора

Sн обм, В∙А

Число обмоток

cosφ

sinφ

Общее число приборов

Р, Вт

Q, кВар

1

ЛЭП

2



Ваттметр


Д-335

1,5

2

1

0

2

6

-


Варметр


Д-335

1,5

2

1

0

2

6

-


ФИП



3

1

1

0


6

-


Сч.ак.энергии


СА4-И681

2

2

0,38

0,93

2

3

7,4


Сч.реак.энергии


СР4-И676

3

2

0,38

0,93

2

4,6

11,1

2

Сборные шины

1



Вольтметр


Э-335

2

1

1

0

1

2

-


Вольтметр регестрирующий


Н-393

10

1

1

0

1

10

-


Ваттметр регестрирующий


Н-395

10

1

1

0

1

10

-


Частотомер регестрирующий


Н-397

7

1

1

0

1

7

-


Осциллограф



10

1

1

0

1

10

-

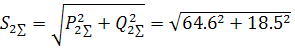
Итого

64,6

18,5


Выбор сборных шин

Выберем сборные шины на 35 кВ по максимальному току:

;

Выберем по допустимому току провод АС 70

;

где : - допустимый длительный ток для провода АС 70.

.7.2 Выбор оборудования низкого напряжения на 6 кВ

Выбор выключателя на 6 кВ

Выбор выключателей производится по следующим параметрам:

по напряжению электроустановки

 

где - номинальное напряжение выключателя, кВ;

по длительному току Ip.макс

 

;

где Iном - номинальный ток выключателя, А;

 - расчетная полная мощность (70 от полной мощности нагрузки);

На стороне низкого напряжения подстанции «Рассвет» устанавливаем вакуумные выключатели типа ВРС-6/3150-У2.

Технические данные выключателя приведены в таблице 1.18.

Таблица 1.18 - Технические данные вакуумного выключателя ВРС-6/3150-У2

Тип

Uн, кВ

Iн, А

Iно, кА

i пс, кА

Iпс, кА

i нв, кА

Iнв, кА

Iтс, кА

tтс, с

tво, с

tсв, с

ВРС-6/3150-У2.

6

3150

40

102

40

102

40

40

3

0,065

0,04


Выбранный выключатель проверяем по следующим параметрам:

Проверка выключателя на отключающую способность:

 

Сравним эти токи с соответствующими параметрами выключателя:

;

 

Проверим выключатель на термическую стойкость. В качестве расчетного тока для этой проверки принимает трехфазное к.з. Необходимо проверить выполнение условия . Рассчитаем допустимый тепловой импульс, определяемый по параметрам выключателя

;

где: - ток термической стойкости выключателя;

- время термической стойкости;

Определим тепловой импульс периодической составляющей тока к.з.

 

где: - ток короткого замыкания;

- полное время отключения выключателя;

- время затухания апериодической составляющей тока короткого замыкания. , таким образом, условие проверки на термическую стойкость выполняется.

Проверим выключатель на динамическую стойкость

102

 

где:-действующий предельносквозной ток выключателя;

- пиковый предельносквозной ток выключателя;

Условие проверки выполняется.

Проверка на включающую способность

 

102;

Проверку возможности использования этого типа выключателя сводим в таблицу 1.19.

Таблица 1.19 - Выбор выключателя

Параметры выключателя

Соотношение

Расчетные величины для выбора выключателя

 

Iн=3150 А

 

Iно=40 кА

 кА

 

 

=

102

 

 

 

 

 

102

 


Выбор трансформатора тока

Выберем трансформатор тока на напряжение 6 кВ по номинальному напряжению:= 6кВ;

по номинальному току

 

=A;

Выбираем в ЗРУ 6 кВ трансформатор тока типа: ТЛ10-2 У3 Т3.

Номинальные параметры трансформатора тока приведены в таблице 1.20:

Таблица 1.21 - Технические данные трансформатора тока.

Тип

Uн, кВ

I, А

I, А

Варианты исполнения вторичных обмоток

Номинальная нагрузка в классе 0,5, Ом

ТЛ10-2 У3 Т3

6

2000

5

0,5/10Р

0,8


Рассмотрим подробнее выбор трансформатора по классу точности

;

Выполнение этого условия сводится к выбору сечения контрольного кабеля, соединяющего трансформатор с подключенными к нему приборами.

Допустимое сечение кабеля определим по формуле

;

где - номинальная вторичная нагрузка;

- сопротивление приборов, подключенных к трансформатору;

- мощность всех приборов в наиболее нагруженной фазе;

- сопротивление контактных соединений (при числе приборов более трех Ом)

- расчетная длина контрольного кабеля;

ρ- удельное сопротивление жил контрольного кабеля (для меди. ρ=0,0283 Ом*);

Для определения мощности, потребляемой приборами в цепи трансформатора тока, необходимо определить потребляемую каждым прибором мощность.

Результаты сведем в таблицу 1.22, а на ее основании определим допустимое сечение кабеля по формуле (1.49):

=2,26;

Таблица 1.22 - Данные приборов

Прибор

Тип прибора

Нагрузка фазы, В∙А




А

В

С

1

Амперметр

Э-335

0,5

-

-

2

Ваттметр

Д-335

0,5

-

0,5

3

Варметр

Д-335

0,5

-

0,5

4

Счетчик активной энергии

СА3-И681

2,5

2,5

-

5

Счетчик реактивной энергии

СР4-И676

-

2,5

2,5

Sпр, В∙А

4

5

3,5


Примем к установке кабель АКВВГ с алюминиевыми жилами сечением

,5 мм2. Определим сопротивление выбранного кабеля

;

Определим вторичное расчетное сопротивление

;

;

Из сравнения видно, что условие проверки по классу точности выполняется.

Выбор трансформатора напряжения

Выберем трансформатор напряжения на напряжение 6 кВ по номинальному напряжению: = 6кВ;

Определим полную суммарную потребляемую мощность по формуле(1.20):

=42 ВА;

Примем к установке трансформатор напряжения типа:

НТМИ-6-66 У3 [7] с номинальной мощностью в классе:

,5;

;

т.е. условие проверки по классу точности выполняется.

Номинальные параметры трансформатора напряжения сведены в таблицу 1.23:

Таблица 1.23

Тип

Uн, кВ

U, В

U, В

Схема соединения

Номинальная мощность в классе 0,5, В∙А

НТМИ-6-66 У3

6

6000

100

Y0/Y0/∆-0

75


Номинальные параметры приборов подключенных к трансформатору напряжения сведены в таблицу 1.24:

Таблица 1.24 Технические данные приборов

Место установки и перечень приборов

Число присоединений

Тип прибора

Sн обм, В∙А

Число обмоток

cosφ

sinφ

Общее число приборов

Р, Вт

Q, кВар

1

ЛЭП

2



Ваттметр


Д-335

1,5

2

1

0

2

6

-


Варметр


Д-335

1,5

2

1

0

2

6

-


ФИП



3

1

1

0


6

-


Сч.акт.энергии


СА4-И681

2

2

0,38

0,93

2

3

7,4


Сч.реакт.энергии


СР4-И676

3

2

0,38

0,93

2

4,6

11,1

2

Сборные шины

1



Вольтметр


Э-335

2

1

1

0

1

2

-


Вольтметр для измерения междуфазного напряжения


Н-393

10

1

1

0

1

10

-

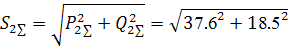
Итого

37,6

18,5


Выбор ограничителей перенапряжения

Выберем ОПН на напряжение 6 кВ: = 6кВ;

Выберем ограничитель перенапряжения типа: ОПН-6-У1.

.8 Выбор изоляторов

Изоляторы предназначены для крепления шин и их безопасного обслуживания. Изоляторы, выбираются по следующим условиям:

1.   Род установки

2.                                                                               (1.59)

3.   Допустимая механическая нагрузка

                                                                           (1.60)

Расчетная нагрузка на изолятор определяется по формуле

                                                              (1.61)

Где l - расстояние между изоляторами в пролете, l=1м.

а - расстояние между фазами, а=0,15 м.

 кН

Выбираем изолятор для внутренней установки: ИОР-10-30.00УХЛ:

.

.

Выбранный изолятор удовлетворяет условиям. Высота изолятора 130 мм.

.9 Выбор конструкции распределительных устройств

Конструкция ОРУ 110 кВ

ОРУ - это открытое распределительное устройство, расположенное на открытом воздухе. Все аппараты ОРУ обычно располагаются на невысоких основаниях (металлических или железобетонных). По территории ОРУ предусматриваются проезды для возможности механизации монтажа и ремонта оборудования.

ОРУ должны обеспечивать надежность работы, безопасность и удобство обслуживания при минимальных затратах на сооружение, возможность расширения, максимальное применение крупноблочных узлов заводского изготовления.

Ошиновка ОРУ выполняется гибким сталеалюминевым проводом, который закрепляется на изоляторах, установленных на ЖЗБ опорах.

Это ОРУ выполняется с разъединителями горизонтально-поворотного типа, с элегазовыми выключателями. Конструкции для подвески ошиновки из сборного железобетона или металлические, стулья под оборудования - железобетонные.

Каждый полюс шинных разъединителей второй системы шин расположен под проводами соответствующей фазы сборных шин. Такое расположение позволяет выполнить соединение шинных разъединителей (развилку) непосредственно под сборными шинами и на этом же уровне присоединит выключатель.

Линейные и шинные порталы и все опоры под аппаратами данной конструкции ОРУ - стандартные, железобетонные.

Конструкция ОРУ 35 кВ

Открытое РУ 35 кВ по схеме Одна система сборных шин, секционированная выключателем. Металлические стойки расположены через 4-6 м, соединены кивеллерами и уголками и образуют жесткую конструкцию, на которой в нижней части установлены выключатели и трансформаторы тока, а в верхней части - разъединители и сборные шины. Между линейным и шинным разъединителями есть сетчатое ограждение для обеспечения безопасности при подъеме на опору со стороны линии (или трансформатора) во время ремонтов. Приводы разъединителей монтируются на основных металлических стойках. Вдоль многопролетного портала проходит лоток для контрольных кабелей. Такое ОРУ достаточно компактно, но не вполне удобно в эксплуатации и из-за высокого расположения разъединителей.

2. Проектирование электрической сети 110 кВ

.1 Анализ сети

Электроснабжение потребителей в рассматриваемом районе осуществляется филиалом ОАО «МРСК СК» Карабудахкентские РЭС.

Техническое состояние сети в целом позволяет обеспечить необходимую надежность электроснабжения потребителей. Однако, многие ВЛ устарели, из-за физического износа потеряли первоначальные коэффициенты запаса прочности и надежности. Слабыми местами в работе сети 35 кВ и выше являются низкие темпы технического перевооружения в связи с недостаточным финансированием и отсутствием гроза защиты на ВЛ порядка двадцати процентов. При числе грозовых ежегодных часов более восьмидесяти отсутствие грозозащитного троса отрицательно сказывается на состоянии проводов ВЛ.

На фоне существующего увеличения электропотребления промышленными отраслями и потребителями сельского хозяйства (фермерское направление), довольно высокими темпами происходит рост коммунально-бытового потребления и нефтеперерабатывающей отрасли.

В связи с этими факторами, а также с учетом образования новых потребителей электрической энергии, что вызывает рост нагрузок, необходима реконструкция сети для обеспечения качества и надежности передаваемой электрической энергии.

.2 Данные для проектирования сети

В ходе реконструкции сети предусматривается замена проводов линий Л-113, Л-142 и Л-104 на АС-150. Питание подстанции «Рассвет» получает по двум линиям Л-113 и Л-104. Питание подстанции «Насосная-2» получает по линии Л-113. Питание подстанции «Изберг-Северная» получает по двум линиям Л-113 и Л-104. Питание подстанции «Манас-тяговая» получает тоже по двум линиям Л-104 и Л-142.

Данные линий электропередач района приведены в таблице 2.1.

Таблица 2 1. - Нагрузки подстанций района энергосистемы

Линия электропередачи

Марка провода

Длина ЛЭП, км

Л-142 ПС Махачкала-330 − ПС Манас-тяговая

АС-150

15,4


АС-185

0,6

Л-113 ПС Махачкала-330 − ПС Изберг -Северная

АС-150

18,8


АСК-150

11,9


АС-120

0,8

Л-104 ПС Изберг-Северная- ПС Манас-тяговая

АС-150

0,5


АС-120

3,9


М-70

22,6


Данные о трансформаторах подстанций района энергосистемы приведены в таблице 2.2.

Таблица 2.2 - Данные трансформаторов района энергосистемы.

Подстанции

Нагрузки Sном, кВА

ПС Насосная-2

5000

ПС Манас-тяговая

24000

ПС Рассвет

22700

ПС Изберг-Северная

18600


.3 Выбор номинального напряжения сети

При проектировании развитии электрической сети одновременно с разработкой вопроса о конфигурации электрической сети решается вопрос о выборе ее номинального значения. Выбор напряжения осуществляется из шкалы номинальных значений.

Номинальное напряжение Uном зависит от многих факторов, поэтому задача его выбора не может однозначного решения. При проектировании электрических сетей используется несколько подходов. Одним из таких подходов является выбор Uном по эмпирической формуле:

Формула Стилла

;                                                              (2.1)

Выбираем номинальное напряжение для линии Л-113

 кВ;                                    (2.2)

Выбираем номинальное напряжение для линии Л-142

 кВ;                                       (2.3)

Выбираем номинальное напряжение для линии Л-104

 кВ;                                       (2.4)

Из полученных формул выходит то, что рациональным для нас является напряжение 110 кВ, так как напряжения, полученные по этим формулам необходимо округлять в большую сторону до стандартного номинального значения.

.4 Выбор сечений и марок проводов линий электропередач

При проектировании ВЛ напряжением до 500 кВ включительно выбор сечения проводов производится по нормированным обобщенным показателям. В качестве таких показателей используются нормированные значения экономической плотности тока.

Определим сечение провода для линии Л-113 по экономической плотности тока.

Определим ток

А;                                                       (2.5)

Определим сечение провода

;                                                             (2.6)

где  экономическая плотность тока при Тмах=4800[1]

Выберем провод марки АС-150/24, по условию образования короны на 110кВ минимальное сечения 70 мм2. Проверим провод по нагреву.

 

где  допустимый длительный ток [2]

Провод проходит по нагреву.

Проверим провод при аварийном режиме, при отключении одной из параллельных линий (Л-142 или Л-104)

 А;                                                       (2.7)

 

Провод подходит по нагреву в аварийном режиме.

Определим сечение провода для линии Л-142 по экономической плотности тока.

Определим ток

А;

Определим сечение провода

;

где  экономическая плотность тока при Тмах=4800[1]

Выберем провод марки АС-150/24, по условию образования короны на 110кВ минимальное сечения 70 мм2. Проверим провод по нагреву.


где  допустимый длительный ток [2]

Провод проходит по нагреву.

Определим сечение провода для линии Л-104 по экономической плотности тока.

Определим ток

А;

Определим сечение провода

;

где  экономическая плотность тока при Тмах=4800[1]

Выберем провод марки АС-150/24, по условию образования короны на 110кВ минимальное сечения 70 мм2. Проверим провод по нагреву.

 

где  допустимый длительный ток [2]

Провод проходит по нагреву.

Данные линий приведены в таблице 2.4.

Таблица 2.4 - Данные линий электропередач

№ Линии

Марка провода

L Км

Uн кВ

R0 Ом/км

X0 Ом/км

B0 мкОм/км

I A

Л-113

АС-150/24

31,5

110

0,198

0,42

2,699

450

Л-142

АС-150/24

16

110

0,198

0,42

2,699

450

Л-104

АС-150/24

27

110

0,198

0,42

2,699

450


.5 Расчет потокораспределения в сети

.5.1 Разработка схемы замещения сети

Схема замещения - электрическая схема, в которой все реальные элементы заменены максимально близкими по функциональности цепями из идеальных элементов.

Для рассматриваемой электрической сети составляется расчетная схема замещения. Данная расчетная схема замещения сети приведена на рис.2.1.

Рис. 2.1 Расчетная схема замещения района энергосистемы.

.5.2 Определение основных параметров схемы замещения электрической сети

По схеме замещения производим расчет линий и трансформаторов электрической сети. Определим активное, реактивное, полное сопротивление и емкостную проводимость для всех ЛЭП, а так же зарядную мощность линий. Данные линии Л-113 приведены в таблице 2.4.

Таблица 2.4 - Данные линии Л-113

№ Линии

Марка провода

L Км

Uн кВ

R0 Ом/км

X0 Ом/км

B0 мкОм/км

I A

Л-113

АС-150/24

31,5

110

0,198

0,42

2,699

450


Активное сопротивление линий определяется

Rл                                                                                   (2.8)

Реактивное сопротивление линий определяется

Хл                                                                                      (2.9)

Полное сопротивление линий равно: Zл1=6,237+13,23

Емкостная проводимость линий определяется

л= B0 **=2,699*31,5=85 мкСм;                                                      (2.10)

Зарядная мощность линий определяется

Qзл1= Bл1=1102*85=1,02 МВар;                                                (2.11)

Аналогично определяем все параметры и для остальных линий. Полученные значения сведем в таблицу 2.5:

Таблица 2.5 - Расчетные данные линий электропередач

№ линии

Марка провода

Rл

Xл

Zл

Bл

Qз

Л-113

АС-150

6,237

13,23

6,237+j13,23

85

1,02

Л-142

АС-150

3,168

6,72

3,168+j6,72

43

0,5

Л-104

АС-150

5,4

11,34

5,4+j11,34

73

0,88


По схеме замещения производим электрический расчет сетевых трансформаторов:

На подстанции «Рассвет» установлен трансформатор типа ТДТН-16000/110 [7]. Данные этого трансформатора приведены в таблице 2.6:

Таблица 2.6 - Технические данные трансформатора ТДТН-16/110

Тип трансформатора

МВА

Напряжение обмотки, кВ

Потери, кВт

 



ВН

СН

НН

Px

Pk

ВН-СН

ВН-НН

СН-НН


ТДТН-16000/110

16

115

338,5

6,6

21

100

10,5

17,5

6,5

0,8


Определим активное сопротивление обмоток трансформатора:

Для начала определим общее сопротивление трансформатора

Ом;                              (2.12)

а = (2.6) m ==;                                          (2.7)

Сопротивление первой обмотки

 Ом;                                                   (2.13)

Сопротивление второй обмотки

=1,29 Ом                                                                   (2.14)

Сопротивление третьей обмотки

; Ом                                                              (2.15)

Определим реактивные сопротивления обмоток трансформатора:

Xв =X1Ом;

Xс =X2;   (2.17)

Xн =X3Ом;

Полное сопротивление обмоток трансформатора:

Z1=1,29+j44,4; Z2=1,29; Z3=2,58+j27,9;

Определим потери мощности в трансформаторе:

                                                                     (2.19)

Определим активные потери

МВт;                   (2.20)

Определим реактивные потери

МВар;                       (2.21)

По формуле (2.14) определим полные потери: ;

Определим активную

 мкСм;                                                    (2.22)

Емкостную проводимость

мкСм;                                                     (2.23)

Находим коэффициенты трансформаций

                                                                       (2.24)

                                                                 (2.25)

                                                               (2.26)

Аналогично производим расчет для остальных трансформаторов подстанций.

Полученные значения занесем в таблицу 2.7

Таблица 2.7 - Расчетные данные трансформаторов

ПС

Тип трансформатора

R1

R2

R3

X1

X2

X3

Z1

Z2

Z3



Ом

Ом

Ом

Ом

Ом

Ом

Ом

Ом

Ом

«Рассвет»

ТДТН-16000/110

1,29

1,29

2,58

44,4

0

27,9

1,29+j44,4

1,29

2,58+j27,9

«Манас-тяговая»

ТДТНЖ-25000/110

0,53

0,53

1,06

28,4

0

16,5

0,53+j28.4

0.53

0.53+j16.5

«Изберг-Северная»

ТДТН-16000/110

1,29

1,29

2,58

44,4

0

25,8

1,29+j44.4

1.29

2.58+j25.8

Насосная-2

ТМН-6300/110

29

29


44

44


29+j44

29+j44


ПС

GT

BT

КТ1

КТ2

КТ3

 

 

 


МВт

МВар

мкСМ

мкСМ







«Рассвет»

0.042

0.26

3,17

1,97

1

0,33

0,057




«Манас-тяговая»

0,084

0,45

6,35

34

1

0,24

0,096




«Изберг-Северная»

0,046

0,32

3,47

24

1

0,33

0,096




Насосная-2

0,0115

0,05

0,86

3,7

1

0,057







По полученным значениям производим расчет сети по программе Rastr.

.5.3 Расчет установившихся режимов максимальных и минимальных нагрузок и в аварийном режиме с применением программы Rastr.

Расчеты режимов электрической сети производим с помощью программы Rastr. Перед проведением расчетов по программе надо подготовить исходные данные по схеме, нагрузкам и генераторам электрической сети в форме, понятной Rastr. Для этого необходимо:

·    нарисовать схему с указанием всех узлов и ветвей;

·              пронумеровать все узлы электрической сети, включая все промежуточные узлы. Например, электрическая станция может быть представлена двумя узлами - шины генераторного напряжения и шины за трансформатором. Узел в исходных данных программы соответствует электрическим шинам;

·              для каждого узла определить его номинальное напряжение и нанести на схему;

·              для каждого узла нагрузки определить активную и реактивную мощности потребления;

·              для линий электропередач (ЛЭП) определить продольное сопротивление и проводимость на землю (проводимость задается в микросименсах и емкостный характер со знаком минус);

·              для трансформаторов определить сопротивление, приведенное к стороне высокого напряжения, проводимость шунта на землю и коэффициент трансформации;

·              автотрансформаторы и трехобмоточные трансформаторы представить по схеме звезда с промежуточным узлом и тремя ветвями, из которых две имеют коэффициенты трансформации;

·              определить номер балансирующего узла и его модуль напряжения.

По полученным данным для максимального режима электрической сети составляются таблицы узлов и ветвей. В меню программы необходимо выбрать Открыть - Узлы и Открыть - Ветви. На экране появятся два окна, содержащие пустые таблицы в которые вводятся данные по узлам и ветвям. Для выполнения расчета режима надо перейти в меню Расчет и выбрать команду Режим.

Максимальный режим сети

Расчет узлов

Тип

Номер

Название

U ном

Район

Pном

Q ном

Р г

Q г

V

Delta

База

1

Махачкала-330

115

1

63

33

127,3

68,9

115


Нагр

2

Насосная-2

110

1





113,84

-0,42

Нагр

3

Рассвет

110

1





112,83

-0,77

Нагр

4

Изберг-Северная

110

1





112,82

-0,89

Нагр

5

Манас-тяговая

110

1





112,98

-0,73

Нагр

6


6

1

4,5

2,2



6,37

-1,03

7


110

1





107,99

-4,99

Нагр

8


35

1

6,1

2,9



35,61

-4,97

Нагр

9


6

1

14,3

6,9



6,03

-6,9

Нагр

10


110

1





108,68

-4,32

Нагр

11


35

1

5

2,4



35,85

-4,31

Нагр

12


10

1

11,7

5,6



10,27

-5,74

Нагр

13


110

1





109,98

-3,53

Нагр

14


27

1

6,5

3



26,39

-3,52

Нагр

15


10

1

15,1

7,3



10,44

-4,69


Расчет ветвей

Tип

N_нач

N_кон

Название

R

X

B

Кт/r

P_нач

Q_нач

ЛЭП

1

2

Махачкала-330 - Насосная-2

1,98

4,2

-27


-31

-17

ЛЭП

2

3

Насосная-2 - Рассвет

1,98

4,2

-27


-26

-15

ЛЭП

3

4

Рассвет - Изберг-Северная

1,98

4,2

-27


-8

-4

ЛЭП

3

5

Рассвет - Манас-тяговая

2,67

5,67

-36,4


3

2

ЛЭП

4

5

Изберг-Северная-Манас-тяговая

2,67

5,67

-36,4


9

5

ЛЭП

1

5

Махачкала-330 - Манас-тяговая

3,17

6,72

-43


-33

-19

Тр-р

2

6

Насосная-2

29

44

3,7

0,057

-5

-2

Тр-р

3

7

Рассвет

1,29

44,4

2

1

-21

-12

Тр-р

7

8


1,29

0


0,33

-6

-3

Тр-р

7

9


2,58

27,9


0,057

-14

-7

Тр-р

4

10

Изберг-Северная

1,29

44,4

24

1

-17

-10

Тр-р

10

11


1,29

0


0,33

-5

-2

Тр-р

10

12


2,58

25,8


0,096

-12

-6

Тр-р

5

13

Манас-тяговая

0,53

28,4

6,3

1

-22

-12

Тр-р

13

14


0,53



0,24

-6

-3

Тр-р

13

15


1,06

16,5


0,096

-15

-8



По результатам расчета программы Rastr строим график электрической сети рисунок 2.2. При максимальном режиме падение напряжения в узлах сети незначительно.

Рис 2.2 Электрическая схема района при максимальном режиме

Минимальный режим сети

Расчет узлов

Тип

Номер

Название

U ном

Район

Pном

Q ном

Р г

Q г

V

Delta

База

1

Махачкала-330

115

1

63

33

104,4

52,9

115


Нагр

2

Насосная-2

110

1





114,3

-0,28

Нагр

3

Рассвет

110

1





113,7

-0,52

Нагр

4

Изберг-Северная

110

1





113,51

-0,59

Нагр

5

Манас-тяговая

110

1





113,79

-0,49

Нагр

6


6

1

2,9

1,4



6,44

-0,67

Нагр

7


110

1





110,95

-3,15

Нагр

8


35

1

4

1,5



36,6

-3,14

Нагр

9


6

1

9,3

4,5



6,25

-4,32

Нагр

10


110

1





111,19

-2,72

Нагр

11


35

1

3,3

1,6



36,68

-2,73

Нагр

12


10

1

7,6

3,6



10,57

-3,61

Нагр

13


110

1





111,97

-2,24

Нагр

14


27

1

4,2

2



26,87

-2,24

Нагр

15


10

1

9,8

4,7



10,67

-2,97


Расчет ветвей

Tип

N_нач

N_кон

Название

X

B

Кт/r

P_нач

Q_нач

ЛЭП

1

2

Махачкала-330 - Насосная-2

1,98

4,2

-27


-20

-10

ЛЭП

2

3

Насосная-2 - Рассвет

1,98

4,2

-27


-17

-8

ЛЭП

3

4

Рассвет - Изберг-Северная

1,98

4,2

-27


-5

-3

ЛЭП

3

5

Рассвет - Манас-тяговая

2,67

5,67

-36,4


2

1

ЛЭП

4

5

Изберг-Северная-Манас-тяговая

2,67

5,67

-36,4


6

3

ЛЭП

1

5

Махачкала-330 - Манас-тяговая

3,17

6,72

-43


-22

-10

Тр-р

2

6

Насосная-2

29

44

3,7

0,057

-3

-2

Тр-р

3

7

Рассвет

1,29

44,4

2

1

-13

-7

Тр-р

7

8


1,29

0


0,33

-4

-2

Тр-р

7

9


2,58

27,9


0,057

-9

-5

Тр-р

4

10

Изберг-Северная

1,29

44,4

24

1

-11

-6

Тр-р

10

11


1,29

0


0,33

-3

-2

Тр-р

10

12


2,58

25,8


0,096

-8

-4

Тр-р

5

13

Манас-тяговая

0,53

28,4

6,3

1

-14

-7

Тр-р

13

14


0,53



0,24

-4

-2

Тр-р

13

15


1,06

16,5


0,096

-10

-5


По результатам расчета программы Rastr строим график электрической сети рисунок 2.3.

Рис 2.3. Электрическая схема района при минимальном режиме

Аварийный режим отключением линии Л-142.

Расчет узлов

Тип

Номер

Название

U ном

Район

Pном

Q ном

Р г

Q г

V

Delta

База

1

Махачкала-330

115

1

63

33

128,1

71,5

115


Нагр

2

Насосная-2

110

1





112,48

-0,87

Нагр

3

Рассвет

110

1





110,14

-1,71

Нагр

4

Изберг-Северная

110

1





109,34

-2

Нагр

5

Манас-тяговая

110

1





109,18

-2,07

Нагр

6


6

1

4,5

2,2



6,29

-1,5

Нагр

7


110

1





105,17

-6,12

Нагр

8


35

1

6,1

2,9



34,68

-6,1

Нагр

9


6

1

14,3

6,9



5,86

-8,13

Нагр

10


110

1





105,41

-5,61

Нагр

11


35

1

5

2,4



34,77

-5,6

Нагр

12


10

1

11,7

5,6



9,95

-7,12

Нагр

13


110

1





106,12

-5,03

Нагр

14


27

1

6,5

3



25,46

-5,02

Нагр

15


10

1

15,1

7,3



10,06

-6,27



Расчет ветвей

Tип

N_нач

N_кон

Название

R

X

B

Кт/r

P_нач

Q_нач

ЛЭП

1

2

Махачкала-330 - Насосная-2

1,98

4,2

-27


-65

-38

ЛЭП

2

3

Насосная-2 - Рассвет

1,98

4,2

-27


-60

-35

ЛЭП

3

4

Рассвет - Изберг-Северная

1,98

4,2

-27


-20

-11

ЛЭП

3

5

Рассвет - Манас-тяговая

2,67

5,67

-36,4


-18

-10

ЛЭП

4

5

Изберг-Северная-Манас-тяговая

2,67

5,67

-36,4


-3

-1

ЛЭП

1

5

Махачкала-330 - Манас-тяговая

3,17

6,72

-43


-33

-19

Тр-р

2

6

Насосная-2

29

44

3,7

0,057

-5

-2

Тр-р

7

Рассвет

1,29

44,4

2

1

-20

-13

Тр-р

7

8


1,29

0


0,33

-6

-3

Тр-р

7

9


2,58

27,9


0,057

-14

-8

Тр-р

4

10

Изберг-Северная

1,29

44,4

24

1

-17

-10

Тр-р

10

11


1,29

0


0,33

-5

-2

Тр-р

10

12


2,58

25,8


0,096

-12

-6

Тр-р

5

13

Манас-тяговая

0,53

28,4

6,3

1

-21

-12

Тр-р

13

14


0,53



0,24

-7

-3

Тр-р

13

15


1,06

16,5


0,096

-15

-8


При аварийном режиме, отключении линии Л-142, падение напряжения в узлах незначительно.

Рис 2.3 Электрическая схема района при аварийном режиме

. Специальное задание. Регулирования напряжения на подстанции

.1 Регулирование напряжения в ЭЭС

Регулированием напряжения называют процесс изменения уровней напряжения в характерных точках электрической системы с помощью специальных технических средств.

К числу способов регулирования относятся: регулирование напряжения с помощью переключения ответвлений на трансформаторах, регулирование напряжения изменением сопротивления сети, регулирование напряжения изменением потоков реактивной мощности.

Регулирование напряжения изменением сопротивления сети.

Напряжение у потребителя зависит от величины потерь напряжения в сети, которые в свою очередь зависят от сопротивления сетей. В распределительных сетях активное сопротивление больше реактивного, поэтому в этих сетях сечение иногда выбирается по допустимой потере напряжения. В питающих сетях наоборот, поэтому потери напряжения в значительной степени определяются реактивным сопротивлением линий, которое мало зависит от сечения. Изменение реактивного сопротивления применяют для регулирования напряжения. Чтобы изменить реактивное сопротивление, необходимо включить в схему конденсаторы (или длинные ВЛ высокого напряжения). Последовательное включение конденсаторов в линии называют продольной компенсацией (УПК), дает возможность компенсировать индуктивное сопротивление и потерю напряжения в линии. Применение УПК позволяет улучшить режимы напряжения в сетях. Однако, следует учитывать, что повышение напряжения, создаваемое такими конденсаторами, зависит от значения и фазы тока, проходящего через УПК. Поэтому возможности регулирования последовательными конденсаторами ограничены. Наиболее эффективно применение УПК для снижения отклонений напряжения на перегруженных линиях. УПК применяют не только для регулирования напряжения, но и для повышения пропускной способности линий.

Регулирование напряжения изменением потоков реактивной мощности.

Изменение распределения потоков реактивных мощностей в электрической системе достигается установкой синхронных компенсаторов и конденсаторов, а также перераспределением реактивных нагрузок между станциями системы. Пренебрегая потерями мощности в сети, получаем, что по электропередаче протекает мощность, равная мощности нагрузки. После установки у потребителя синхронного компенсатора при работе его с перевозбуждением часть реактивной мощности нагрузки покрывается компенсатором. По линии и через трансформаторы проходит меньшая реактивная мощность. Потеря напряжения в электропередаче при нагрузке компенсатора будет меньше, чем при работе электропередачи без него. Регулируя мощность синхронного компенсатора, можно изменять величину потери напряжения в сети. Заставляя работать компенсатор с недовозбуждением, когда он берет из сети реактивную мощность, потеря напряжения в сети увеличивается.

Регулируя мощность синхронного компенсатора, можно в широких пределах изменять потерю напряжения в линии и тем самым регулировать напряжение у потребителя. По своему действию конденсаторы эквивалентны перевозбужденному синхронному компенсатору. Конденсаторы, установленные на подстанциях позволяют разгрузить сеть от реактивной мощности; увеличить реактивную нагрузку сети ими нельзя. Следовательно, конденсаторами можно только повышать напряжение сети.

Конденсаторы собираются в батареи. Регулирование напряжения осуществляется делением батареи на части и включением и отключением их от сети независимо друг от друга.

При регулировании напряжения в электрических системах прибегать к увеличению потери напряжения в сети, используя для этого синхронные компенсаторы, приходится крайне редко. Учитывая преимущества конденсаторов перед синхронными компенсаторами, следует в качестве устройств для регулирования напряжения отдать предпочтение конденсаторным батареям.

Помимо указанных способов для регулирования напряжения применяются последовательные специальные регулировочные трансформаторы. Они прибавляют к напряжению нерегулируемого трансформатора или автотрансформатора (или вычитают из него) некоторое добавочное напряжение.

.2 Регулирование напряжения на понижающих подстанциях.

Одним из распространенных способов регулирования напряжения на шинах подстанции является переключение ответвлений на трансформаторах. С этой целью у обмоток (как правило, высшего напряжения, имеющий меньший рабочий ток) трансформаторов предусматриваются регулировочные ответвления и специальные переключатели ответвлений, при помощи которых измеряют число включенных в работу витков, увеличивая или уменьшая коэффициент трансформации.

;                                                                       (3.1)

где  и - число включенных в работу витков обмоток ВН и НН соответственно.

Изменение коэффициента трансформации между обмотками высшего и низшего напряжений позволяет поддерживать на шинах НН напряжение, близкое к номинальному, когда первичное напряжение отклоняется по тем или иным причинам от номинального.

трансформатор напряжение подстанция

3.3 Расчет регулирования напряжения

Для регулирования напряжения на трансформаторах понижающих подстанций устанавливают специальное устройство - регулятор под нагрузкой, представляющее собой автоматическое устройство, меняющее рабочее ответвление витков обмотки трансформатора и, следовательно, коэффициент трансформации трансформатора. Устройство устанавливают в трансформаторах напряжением 35 кВ и выше и размещают, в нейтрали обмотки высокого напряжения. Это позволяет, во-первых, иметь наиболее плавное регулирование, так как число витков у обмотки высокого напряжения больше, чем у низкого напряжения, во-вторых, при переключениях выполняется коммутация меньших по величине токов чем на стороне низкого напряжения; в третьих, включение регулятора в заземленную нейтраль на высоком напряжении значительно снижает требования к изоляции устройства регулирования. Регулятор под нагрузкой осуществляет встречное регулирование напряжения, которое может выполняться автоматически и дистанционно. Вручную переключать регулятор запрещается. В виду того что при частом переключении переключатель регулятора выходит из строя автоматическое управление не рекомендуется, а рекомендуется дистанционное управление. Регулируемая обмотка может иметь 12, 16 или 18 ступеней регулирования по 1,5 или 1,78% то есть диапазон регулирования Uном.

Относительное число витков для трансформаторов с РПН определяются по формуле

 

 

 

Для остальных ответвлений расчет производим аналогично, результаты занесем в таблицу 3.1.

Таблица 3.1

№ ответвлений

Относительное число витков

Напряжение ответвлений

Коэффициент трансформации

1

1,1602

133,423

20,21561

2

1,1424

131,376

19,90545

3

1,1246

129,329

19,5953

4

1,1068

127,282

19,28515

5

1,089

125,235

18,975

6

1,0712

123,188

18,66485

7

1,0534

121,141

18,3547

8

1,0356

119,094

18,04455

9

1,0178

117,047

17,73439

10

1

115

17,42424

11

0,9822

112,953

17,11409

12

0,9644

110,906

16,80394

13

0,9466

108,859

16,49379

14

0,9288

106,812

16,18364

15

0,911

104,765

15,87348

16

0,8932

102,718

15,56333

17

0,8754

100,671

15,25318

18

0,8576

98,624

14,94303

19

0,8398

96,577

14,63288


Рассчитываем РПН для трансформатора пс «Рассвет»- ТДТН-16000/110

В таблицу 3.2 занесем технические данные трансформатора[7]:

Таблица 3.2 - Технические данные трансформатора ТДТН-16000/110.

Тип трансформатора

 МВА

Напряжение обмотки, кВ

Потери, кВт



ВН

СН

НН

Px

Pk

ВН-СН

ВН-НН

СН-НН


ТДТН-16000/110

16

115

338,5

6,6

21

100

10,5

17,5

6,5

0,8


1)      Расчет регулирования напряжения в максимальном режиме

Определяем напряжение ответвлений

;                                                                    (3.2)

где: напряжение холостого хода на низкой стороне трансформатора

-желаемое напряжение в максимальном режиме

; (3.3) ;

-напряжение на стороне высокого напряжения трансформатора в максимальном режиме, которое определяется в электрическом расчете.

-потери напряжения при максимальной нагрузке приведенной низкому напряжению трансформатора

; (3.4) ;           (3.5)

где: активная составляющая потери напряжения

;                                               (3.6)

реактивная составляющая потери напряжения

;                         (3.7)

-коэффициент загрузки трансформатора:

; (3.8) ;

Зная значение , определяем

;                                     (3.9)

Определяем по формуле (3.5) потери напряжения трансформатора, в процентном соотношении:

;

По формуле (3.4) определяем потери напряжения при максимальном режиме: ;

Определяем число ответвлений напряжения о формуле (3.2):

;

По данному расчету из таблицы 3.1 выбираем ближайшие ответвления к рассчитанному:

Произведем проверку расчета

                   (3.8)

)        Расчет регулирования напряжения в минимальном режиме

Определяем напряжение ответвлений

;                                                                   (3.9)

где: напряжение холостого хода низкого напряжения трансформатора

- желаемое напряжение в аварийном режиме

; (3.10) ;

-напряжение на стороне высокого напряжения трансформатора в аварийном режиме, которое определяется в электрическом расчете.

-потери напряжения при аварийной нагрузке приведенной ко вторичному напряжению трансформатора: ; (3.11)

Определяем по формуле (3.4) потери напряжения трансформатора, в процентном соотношении , для этого сначала находим активные и реактивные составляющие потери напряжения по формулам (3.6) и (3.7):

; ;

Определяем коэффициент загрузки трансформатора по формуле (3.8):

; ; ;

;

По формуле (3.4) определяем потери напряжения при аварийном режиме:

 

Определяем число ответвлений напряжения о формуле (3.2):

 

По данному расчету из таблицы 3.1 выбираем ближайшие ответвления к рассчитанному:

Произведем проверку расчета:

 

На шинах среднего напряжения подстанции «Рассвет» положение ответвлений будет на номинальном, то есть на нулевом.

4      Механический расчет ВЛ-110 кВ.

Выполняем механический расчет для линии Л-142 с проводом АС-150.

. Исходные данные для расчета.

ВЛ-110 кВ выполняется проводом АС - 150 на унифицированных промежуточных железобетонных опорах ПБ110-1.

Высота опоры H=22,6 м.

Расстояние от земли до нижней траверсы- hп-з =14,5 м.

Для механического расчета принимаем:

Диаметр провода - d=0,0171 м,

высшая температура воздуха tнб= +37 град,

низшая температура воздуха t= -26 град,

эксплуатационная температура tэ= + 11,8град,

по гололеду - II район, по ветру - V район,

bг =0,01 м - толщина стенки гололеда при повторяемости 1 раз в 10 лет, м,

W=800 - максимальный скоростной напор ветра на высоте до 10 м от земли для II района по ветру при повторяемости 1 раз в 10 лет, Па,

температура при гололеде -5 град,

a=19,2*10-6 - температурный коэффициент линейного расширения материала провода, 1/град,

E =82,5*109 - модуль упругости, Па,

*10+6 - предел прочности при растяжении (временное сопротивление), Па,

l=240 м − длина пролета.

Унифицированная опора ПБ - 110-1 имеет следующие характеристики:

·   район по гололёду: I, II;

·   марки применяемых проводов: АС - 70, АС - 95, АС - 120, АС - 150;

·   габаритный пролёт: 240 м;

·   ветровой пролёт: 300 м;

·   весовой пролёт: 270 м;

·   масса: 4,82 т.

Основные размеры даны в таблице 12.1.

Таблица 4.1. - Характеристики унифицированной опоры

Шифр опоры

Основные размеры по рисунку 12.1, м


Н

h1

h2

h3

a1

a2

a3

b

ПБ - 110-1

22,6

2,0

14,5

3,0

2,0

3,5

2,0

3,0


Рис. 4.1. - Унифицированная опора ПБ - 110-1

1.1.    Определяются удельные нагрузки

;                              (4.1)

где: g=9,81 м/с2-ускорение свободного падения тела;

m0=0,599 кг/м-масса одного метра провода;

F=173,2*10-6 м2-полное сечение провода.

.2.      Удельная нагрузка от веса гололеда

;(4.2)

где: g0=900 кг/м3-объемный вес гололеда

bг=0,01 м- толщина стенки гололеда

d=0,0171 м- внешний диаметр провода

.3.      Суммарная удельная нагрузка от собственного веса провода и гололеда

;              (4.3)

.4.      Удельная нагрузка от давления ветра.

.5.     

             (4.4)

где: α=0,67- неравномерность скоростного напора ветра по пролету при q=800 H/м3;

=1- коэффициент, учитывающий влияние длины пролета на ветровую нагрузку при длине пролета 240 метров;

=1,2 - коэффициент лобового сопротивления при диаметре меньшим 20 мм и проводов покрытым гололедом;

=800-скоростной напор ветра,

Sin290=1;

-угол между направлением ветра и осью ВЛ.

.6.      Удельная нагрузка от давления ветра на провод, покрытый гололедом

                                                                                                  (4.5)

1.7.    Удельная нагрузка о его массы и давления ветра на провод

; (4.6)

.8.      Удельная нагрузка от массы провода, массы гололеда и давления ветра на провод при гололеде

;         (4.7)

№ линии

gi , Н/м3


g1

g2

g3

g4

g5

g6

g7

Л-142

34,6*103

43.4*103

78*103

63,5*103

51.4*103

72.3*103


.        Определение наибольшего допускаемого напряжения материала провода

.1.      Исходный режим при наибольшей нагрузке:

σγнб=130 МПа -допустимое напряжение при наибольшей внешней нагрузке ,

γнб7=-наибольшая приведенная нагрузка,

tγнб= -5 град-температура при наибольшей приведенной нагрузке.

.2.      При минимальной температуре и отсутствии внешних нагрузок

σ_=130 МПа -допустимое напряжение при минимальной температуре,

-приведенная нагрузка от собственного веса провода,

t_=-26 град -минимальная температура.

.3.      При среднегодовой температуре и отсутствии внешних нагрузок:

σэ=87 МПа -допустимое напряжение при среднегодовой температуре,

-приведенная нагрузка от собственного веса,

tэ=11,8 град -эксплуатационная температура.

3.       Определяется условная монтажная температура для каждого из исходных режимов.

.1.      Условная монтажная температура для режима наибольшей нагрузки

;                         (4.8)

где: =-5 град - температура гололеда

= Па -допустимое напряжение для режима мах температуры

 температурный коэффициент линейного расширения материала провода, 1/град,

- модуль упругости

− длина пролета.

3.2.    Условная монтажная температура для режима минимальной температуры

;

=-26 град - минимальная температура;

 Па

.3.      Условная монтажная температура для эксплуатационного режима

;

=11,8 град - среднегодовая (эксплуатационная) температура

 допустимое напряжение при среднегодовой температуре.

.4.      Сравниваем рассчитанные условные температуры между собой.

 

Минимальной является условная температура для режима наибольшей внешней нагрузки, что определяет исходный расчетный режим для провода АС-150/24 в пролете длиной 240 м

 Па

4.       Определения напряжения в проводе для всех нормативных сочетаний климатических условий.

4.1.    Решается уравнение состояния провода относительно величины напряжения в проводе при максимальной температуре

Получается неполное кубическое уравнение

;                                                                 (4.11)

Определяются коэффициенты А и В

А=77

В=237037

4.2.    Уравнение решается методом Ньютона по следующей итерационной формуле:

                                                                     (4.12)

Результат с хорошей точностью достигается при 3-4 итерации. Как начальное приближение рекомендуется принять

Принимаем

                                                                         (4.13)

Определяется напряжение первой итерации

 

Вторая итерация

 

Третья итерация

 

.3.      Решается уравнение состояния провода относительно величины напряжения в проводе при минимальной температуре

 

Получается неполное кубическое уравнение

 

Определяются коэффициенты А и В

 

 

А=-22

В=237037

Уравнение решается методом Ньютона по следующей итерационной формуле

 

Результат с хорошей точностью достигается при 3-4 итерации. Как начальное приближение рекомендуется принять

Принимаем

 

Определяется напряжение первой итерации

 

Вторая итерация

 

Третья итерация

 

.4.      Решается уравнение состояния провода относительно величины напряжения в проводе при эксплуатационной температуре

 

Определяются коэффициенты А и В

 

 

А=37

В=237037

Уравнение решается методом Ньютона по следующей итерационной формуле

 

Результат с хорошей точностью достигается при 3-4 итерации. Как начальное приближение рекомендуется принять

Принимаем

 

Определяется напряжение первой итерации

 

Вторая итерация

 

Третья итерация

 

 

Согласно ПУЭ необходимо чтобы напряжение в проводе при среднегодовой температуре не превышало 30% его временного сопротивления.

Проверяем

                                                           (4.14)

что допустимо.

.5.      Решается уравнение состояния провода относительно величины напряжения в проводе в режиме гололеда

 

Получается неполное кубическое уравнение

 

Определяются коэффициенты А и В

 

 

А=11

В=1204632

Уравнение решается методом Ньютона по следующей итерационной формуле

 

Результат с хорошей точностью достигается при 3-4 итерации. Как начальное приближение рекомендуется принять

Принимаем

 

Определяется напряжение первой итерации

 

Вторая итерация

 

Третья итерация

 

Четвертая итерация

 

Пятая итерация

 

 

.6.      Решая уравнение состояния провода относительно величины напряжения в проводе в режиме наибольшего ветрового напора

 

Получается неполное кубическое уравнение

 

Определяются коэффициенты А и В

 

 

А=11

В=1035003

Уравнение решается методом Ньютона по следующей итерационной формуле

 

Результат с хорошей точностью достигается при 3-4 итерации. Как начальное приближение рекомендуется принять

Принимаем

 

Определяется напряжение первой итерации

 

Вторая итерация

 

Третья итерация

 

Четвертая итерация

 

 

.7.      Определяем максимальную стрелу провеса провода

Она возможна в режиме максимальной температуры или в режиме гололеда.

Стрела провеса провода для режима максимальной температуры

;                                                 (4.15)

Для режима гололеда

;                                                    (4.16)

Следовательно, максимальной является стрела провеса при максимальной температуре: f+ = 5,5 м.

.        Проверяем соблюдение габарита линии. Наименьшее допустимое расстояние до земли в населенной местности и на территории промышленных предприятий, согласно ПУЭ, 7 м.

Расчетный габарит равен

;          (4.17)

где: 14,5 - расстояние от земли до низшей траверсы опоры ПБ110-1, м,

 - длина изолятора, м,

- максимальная стрела провеса провода, м,

- запас на неровности почвы.

, что допустимо.

.        Рассчитываем стрелу провеса при минимальной температуре

;                                                 (4.18)

.        Рассчитываем стрелу провеса в эксплуатационном режиме.

;                                                  (4.19)

.        Рассчитываем тяжение по проводу для режима максимальной температуры

;                                      (4.20)

Для остальных режимов расчет аналогичен. Результаты расчетов заносим в таблицу 4.2.

Таблица 4.2 - Результаты систематического механического расчета провода АС-150/24 для ВЛ-110 кВ.

Режим нагрузки провода

Температура

Удельная нагрузка

Напряжение в проводе, МПа

Стрела провеса, м

Тяжение по проводу , Н

Режим наибольшей нагрузки внешней нагрузки

-5

93,4

130

-

22516

Режим максимальной температуры

37

34,6

44,2

5,64

7655

Режим минимальной температуры

-26

34,6

70,1

3,55

12162,35

Режим гололеда

-5

78

102,8

5,46

7804,96

Режим ветровой нагрузки

-5

72,3

97

-

16800,4

Эксплуатационный режим

11,8

34,6

51,5

4,84

8919,8


.        Рассчитываем монтажные кривые. Это зависимости напряжения и стрелы провеса от температуры, то есть

s = j (t),

fг = j (t )                                                                                         (4.21)

Определяем напряжение

 

Получается неполное кубическое уравнение

 

Определяются коэффициенты А и В

 

 

А=-12,7

В=237037

Уравнение решается методом Ньютона по следующей итерационной формуле

 

Результат с хорошей точностью достигается при 3-4 итерации. Как начальное приближение рекомендуется принять

Принимаем

 

Определяется напряжение первой итерации

 

Вторая итерация

 

Третья итерация

 

Определяем стрелу провеса

 

Расчеты напряжений и стрел провеса провода для режимов с другими температурами выполняется аналогично.

Результаты расчетов заносятся в таблицу 4.3.

Температура, град

Напряжение, МПа

Стрела провеса, м

-26

70,2

3,55

-20

66,4

3,75

-15

63,5

3,92

-10

60,8

4,09

-5

58,4

4,26

0

56,16

4,43

5

54,09

4,6

10

52,18

4,77

15

50,43

4,94

20

48,8

5,1

25

47,3

5,26

30

45,9

5,42

35

44,62

5,58

37

44,2

5,65


Строятся монтажные кривые по данным таблицы. Это зависимости напряжения и стрелы провеса от температуры

Рис. 4.1. Монтажные кривые

5. Экономическая часть

В условиях рыночных отношений существует несколько форм собственности: государственная, акционерная, частная и смешанная, и пять источников финансирования капитальных вложений:

- амортизационные отчисления на реновацию;

- заемный капитал;

- привлечение средств потребителей (через акционирование);

- прибыль, включаемая в тариф в процессе его регулирования;

- централизованное бюджетное финансирование для определенного круга задач: социальных, экологических и т.д.

Перечисленные источники финансирования оказывают влияние на прибыль:

при использовании заемного капитала в прибыли следует учитывать выплату процентов за кредит и погашение кредита;

привлечение средств потребителей требует выплаты им части прибыли в виде дивидендов;

включение капитальных вложений в прибыль связывает тарифы с финансированием развития электроэнергетической системы;

бюджетное финансирование влияет на налоговую часть прибыли.

Поэтому для оценки эффективности капитальных вложений используется несколько критериев.

.1 Показатели экономической эффективности инвестиций

Простые методы оценки экономической эффективности инвестиций оперируют “точечными” или статическими значениями исходных данных, например, годовыми показателями работы проектируемых объектов [9]. Не учитываются вся продолжительность срока жизни проекта и неравнозначность денежных потоков.

Эти методы достаточно широко распространены и применяются в основном для быстрой оценки проектов на предварительных стадиях разработки.

Простая норма прибыли или простая норма рентабельности (ПНП) определяется по характерному году расчетного периода, как правило, когда уже достигнут проектный уровень производства, но еще продолжается возврат инвестированного капитала.

На этапе экономического анализа, когда источник финансирования неизвестен, ПНП определяется как отношение чистой прибыли к суммарным инвестициям К

 /K                                                                                             (5.1)

Величина чистой прибыли Пч t численно равна балансовой прибыли Пб t за вычетом выплачиваемых налогов на прибыль Нt [9]

                                                    (5.2)

где  − стоимостная оценка результатов деятельности объекта (объем реализованной продукции в год t );

Иt - суммарные эксплуатационные издержки в год t.

Расчетная величина ПНП сравнивается с минимальным или средним уровнем доходности (процентной ставки по кредитам, ценным бумагам, депозитным вкладам).

Простой срок окупаемости капитальных вложений представляет собой период времени, в течение которого сумма чистых доходов покрывает инвестиции. Определяется период, в течение которого проект будет работать на «себя», т. е. как бы весь получаемый объем чистого дохода засчитывается как возврат инвестированного капитала.

Определение срока окупаемости капитальных вложений производится последовательным суммированием величины чистого дохода в стабильных ценах (без учета инфляции) по годам расчетного периода до того момента, пока полученная сумма не сравняется с величиной суммарных капитальных вложений, т.е.

                     (5.3)

где tс и tп - соответственно срок завершения инвестиций (окончания строительства) и момент начала производства;

Кt − величина инвестиций в год t;

И't − суммарные эксплуатационные издержки без амортизационных отчислений;

- амортизационные отчисления на реновацию.

При равномерном поступлении чистого дохода срок окупаемости можно определить по формуле

                                                                     (5.4)

Недостаток этого метода − не учитывается деятельность проекта за пределами срока окупаемости.

Интегральные (динамические) критерии экономической эффективности инвестиций оперируют с показателями работы проектируемых объектов по годам расчетного периода с учетом фактора времени. В интегральных критериях также могут быть учтены прогнозируемые темпы инфляции. В интегральных критериях расходы и доходы, разнесенные по времени, приводятся к одному (базовому) моменту времени. Базовым моментом времени обычно является дата начала реализации проекта или дата начала производственной деятельности.

Чистый дисконтированный доход ЧДД. Расчет этого показателя производится дисконтированием чистого потока платежей (чистого дохода). Разность между притоками и оттоками денежных средств − чистый доход на данном отрезке жизни Эt:

           (5.5)

где Клик t - ликвидационная стоимость объекта.

Дисконтирование разновременных затрат и результатов осуществляется с помощью коэффициента приведения

;                                                                            (5.6)

где Е − норматив дисконтирования;

Тпр − год приведения.

Если накопленная в течение всего срока жизни объекта сумма чистых доходов отрицательна, это свидетельствует об убыточности проекта, т.е. о его неспособности возместить инвестированные средства, не говоря уже о выплате хотя бы минимальных дивидендов потенциальным инвесторам.

Чистый дисконтированный доход ЧДД или сумма дисконтированных чистых потоков платежей при приведении к началу расчетного периода (Тпр=0)

;                                                   (5.7)

где Тр - расчетный период, лет.

Критерием финансовой эффективности инвестиций в сооружение объекта является условие .

При неизменности денежных потоков по годам ЧДД определяется через сумму коэффициентов дисконтирования  по формуле

;                                                                       (5.8)

При этом  определяется по специальным таблицам или по формуле

При сравнении нескольких вариантов выбирается вариант с наибольшей величиной ЧДД. Если варианты отличаются размером инвестиций, использование этого показателя нецелесообразно.

Доходность (рентабельность) инвестиций - отношение чистого дисконтированного дохода к дисконтированной величине инвестиций

;                                                                (5.9)

Поскольку это относительный показатель, он может использоваться при сравнении вариантов с разной величиной инвестиций.

Внутренняя норма доходности объекта ВНД характеризует норму дисконтирования Е, при которой ЧДД равен нулю.

Значение нормы дисконтирования, при котором чистый дисконтированный доход становится равным нулю, называется внутренней нормой доходности.

Используется в том случае, когда еще неизвестен источник финансирования.

Внутренняя норма доходности объекта (ВНД) в этом случае определяется из выражения

;                                                             (5.10)

где Евн - внутренняя норма доходности, являющаяся в данном случае искомой величиной и обеспечивающая справедливость равенства, определяется методом последовательных приближений при различных ставках дисконта.

При равенстве денежных потоков по годам расчетного периода ВНД может определяться по специальным таблицам.

Евн > Е.

При сопоставлении нескольких вариантов сооружения проектируемого объекта критерием оптимальности варианта является выражение:

Евн => max.

Дисконтированный срок окупаемости затрат. Этот срок характеризует период, в течение которого полностью возмещаются дисконтированные капитальные вложения за счет чистого дохода, получаемого при эксплуатации объекта. Определяется при условии, что ЧДД равен нулю:

;                                                        (5.11)

где Ток.д − последний год периода, после которого величина Эд, определяемая с фиксированной нормой дисконта Е, приобретает положительное значение − искомая величина.

При определении срока окупаемости рекомендуется приводить доходы и расходы к моменту завершения инвестиций tс

;                                                              (5.12)

При приведении доходов и расходов к моменту начала вложения инвестиций срок окупаемости будет включать в себя и срок строительства.

Критерием экономической эффективности инвестиций в сооружение объекта служит выражение: Ток < Тприемл, где Тприемл − приемлемый срок окупаемости.

Недостаток срока окупаемости − не учитывается деятельность проекта за пределами срока окупаемости, поэтому этот критерий должен использоваться лишь в виде ограничения при принятии решения об инвестировании.

Суммарные дисконтированные затраты удобно использовать при сопоставлении альтернативных вариантов инвестиционного проекта, обеспечивающих равные результаты по годам, а также вариантов проектов, вообще не сопровождающихся денежными поступлениями

 ;                                     (5.13)

Выбранный вариант обязательно проверяется по другим критериям.

Удельные затраты на производство продукции могут использоваться, когда невозможно или сложно привести варианты к одинаковому производственному эффекту. Этот показатель отражает минимальную расчетную цену единицы продукции

;                                                                 (5.14)

где Vt - отпуск продукции по годам расчетного периода.

Эквивалентные среднегодовые затраты могут использоваться при сравнении проектов с разными жизненными сроками, чтобы не выравнивать варианты по этому показателю. В простейшем случае, когда инвестиции вкладываются в один год, затраты и результаты не меняются в течение жизненного срока, ликвидационная стоимость равна нулю, этот показатель представляет собой годовые приведенные затраты с дисконтированной нормой амортизации

 или  (                                                      (5.15)

где

Амортизационные отчисления определяются с использованием дисконтированной нормы амортизации

;                                                                                    (5.16)

где  − дисконтированная норма амортизации, рассчитанная по формуле

, доли                                                       (5.17)

.2 Экономическое обоснование реконструкции подстанции 110/35/6 кВ путем замены трансформатора

Капитальные вложения в объект приняты на основании увеличения нагрузки подстанции «Рассвет» 110/35/6. На сегодняшний день нагрузка подстанции составляет 10 МВт, в перспективе ожидается ее увеличение до 25 МВт. На сегодняшний день на подстанции установлены два трансформатора мощностью 10 МВА и 16 МВА.

В связи с требованием к надежности электроснабжения питающихся от подстанции потребителей необходимо заменить существующий трансформатор более мощным, так как в аварийном режиме при выходе из строя одного из трансформаторов, второй окажется недопустимо перегружен.

В первой главе данного дипломного проекта принято к установке трансформатор типа ТДТН - 16/110 мощностью 16 МВА.

Необходимо рассчитать экономическое обоснование реконструкции подстанции путем замены трансформатора. Экономическая выгода планируется, исходя из возможности дополнительного отпуска электроэнергии потребителям за счет увеличения мощности двухтрансформаторной подстанции.

5.2.1 Капитальные вложения

Для определения капитальных вложений в реконструкцию подстанции составим локальную смету (таблица 5.1.)

Таблица 5.1 Локальная смета реконструкции подстанции «Рассвет»

Наименование оборудования

Кол-во

Сметная стоимость единицы, тыс. руб. (в ценах 1985г)

Общая сметная стоимость, тыс. руб. (1985г)

В ценах 2008г, тыс.руб.*

Трансформатор ТДТН-16/110

1

40

40

4221

ОРУ - 110 кВ по схеме «Мостик с выключателями в цепи тр-ров»

1

120

120

7560

Постоянная часть затрат

1

250

250

15750

Итого




27531

* − принят коэффициент пересчета k = 63.

Таким образом, капитальные вложения составляют 27531 тыс.руб.

.2.2 Годовые эксплуатационные расходы

Включают амортизационные отчисления Иа и затраты на обслуживание и ремонт Иобс

Амортизационные отчисления определены по нормам амортизации для подстанций (4.4 %):

Иа = 0,044 × 27531=1211,3 тыс руб.

2 Затраты на обслуживание и ремонт определены укрупненно (4.9 % от капитальных вложений):

Иобс = 0.049 × 27531 = 1349 тыс руб.

Таким образом, И = 1211,3 + 1349 = 2560,3 тыс руб.

.2.3 Результаты реконструкции подстанции 110/35/6 кВ

Стоимостная оценка результатов строительства новой подстанции выражается в увеличении дохода от реализации дополнительно отпущенной электроэнергии

Ор = Т(j×W - DW)+DП,                                                                   (5.18)

где Т - средневзвешенный тариф на электроэнергию, 1,50 руб./ кВт·ч - на начало 2008г. (по данным ОАО «Дагэнерго»);

j - доля стоимости реализации электроэнергии, относимая на электрические сети (j=0,3);

W-дополнительный отпуск электроэнергии в связи с подключением нагрузок к ПС , тыс. кВт·ч;

DW - изменение потерь, тыс. кВт·ч (коэффициент потерь k принят в расчете 5 % );

DП - увеличение прибыли за счет повышения надежности трансформаторов.

Дополнительный отпуск электроэнергии в связи с подключением нагрузок Р определяется в зависимости от числа часов использования максимума Тmax

W = Р× Тmax.                                                                                              (5.19)

В экономическом обосновании рассмотрен вариант средней присоединяемой нагрузки за расчетный период 16 лет, составляющий 10 МВт (табл. 5.2).

В расчете приняты два варианта:

·  Тmax = 5500 ч - средняя величина по всем потребителям за 2008 г.

·        Тmax =6500 ч - для перспективных потребителей, присоединяемых к ПС.

Балансовая прибыль от реализации дополнительной электроэнергии

П = Ор - И.                                                                                      (5.20)

Чистая прибыль определена исходя из ставки налога на прибыль aн = 24 %

Пч = П (1- aн).                                                                                 (5.21)

В более детальном расчете учитывается рост присоединяемой нагрузки по годам. Для этого в примере рассмотрены два сценария роста нагрузки, расчет произведен с использованием интегральных критериев экономической эффективности (табл. 5.3 и 5.4)

Расчет показателей эффективности

В расчете использованы как простые (статические), так и динамические показатели (интегральные). По формулам (5.18)−(5.21) определены показатели, характеризующие результаты реконсрукции ПС.

Статические показатели определены по формулам (5.1) и (5.4).

·        Простая норма прибыли (рентабельности) для варианта присоединения дополнительной нагрузки 5 МВт:

 

·        Простой срок окупаемости

 

Динамические показатели определены исходя из предположения равенства денежных потоков по годам расчетного периода.

·   Чистый дисконтированный доход ЧДД за расчетный период 16 лет рассчитываем по формуле (5.8) через сумму коэффициентов дисконтирования Ds.

− при норме дисконтирования Е = 10 % и расчетном периоде 16 лет Ds = 6.824;

тыс. руб.

− при норме дисконтирования Е = 14 % и расчетном периоде 16 лет Ds = 5.265;

 тыс. руб.

·   Динамический срок окупаемости Ток.д - такой период, при котором дисконтированные результаты равны дисконтированным затратам.

Поскольку находим [9]:

− при норме дисконтирования Е = 10 % Ток.д » 4,5 года;

− при норме дисконтирования Е = 14 % Ток.д » 5,7 года;

Расчет статических показателей оценки эффективности при различных вариантах использования установленной мощности приведен в табл. 5.2.

Динамические показатели эффективности строительства ПС для двух сценариев роста нагрузок рассчитаны в табл. 5.3 - 5.4.

Таблица 5.2 - Расчет простого срока окупаемости инвестиций в строительство ПС

Показатели

Расчетная формула

Р = 5 МВт

Р = 10 МВт

Р = 15 МВт



5500 ч

6500 ч

5500 ч

6500 ч

5500 ч

6500 ч

Инвестиции  тыс.руб.

27531







Эксплуатационные издержки И, тыс. руб. всего В т.ч. -амортизационные отчисления  - на обслуживание и ремонт

1211,3 1349 2560,3







Количество дополнительно отпущенной э/э, W, тыс. кВт∙ч

27500

32500

55000

65000

82500

97500

Дополнительные потери э/э DW, тыс. кВт∙ч

1375

1625

2750

3250

4125

4875

Объем реализации , тыс. руб.

10312,5

12187,5

20625

24375

30935,5

36562,5

Балансовая прибыль П

7752,2

9627,5

18064,7

21814,7

28375,2

34002,2

Чистая прибыль , тыс. руб.

5891,7

7316,9

13729,2

16579,2

21565,2

25841,7

Денежный поток (чистая прибыль и амортизационные отчисления)

8963,5

10838,8

19276

23026

29586,5

35213,5

Простая норма прибыли  %

21,4

26,57

49,86

60,22

78,33

93,86

Простой срок окупаемости инвестиций , лет

3,88

3,23

1,84

1,56

1,20

1,02



Таблица 5.3 Расчет динамических показателей эффективности реконструкции ПС «Рассвет» 110/35/6 кВ - сценарий 1

Расчет произведен при условиях:

ставка доходности Е=10 %;расчетный период 16 лет год приведения - начало расчетного периода; номинальный денежный поток - из табл. 5.2 при Т=5500 ч.)

№ года

Коэфнтприведения (1+Е)-t

Присоеднагрузка МВт

Номинальный денежный поток

Номин. ден. поток нарастающим итогом (по гр. 4 и 5)

Дисконтированный денежный поток

Дисконтир. ден. поток нарастающим итогом (ЧДД) (по гр. 7 и 8)




Строительство (инвести-ции)

Эксплуатация (чистая прибыль и амортизация)


Строительство (инвестиции) гр. 4 · гр. 2

Эксплуатация (чистая прибыль и амортизация) гр. 5 · гр. 2


1

0,909

-

-27531

-

-27531

-25025,6

-

-25025,6

2

0,826

5

-

8963,5

-18567,5

-

7403,8

-17621,8

3

0,751

5

-

8963,5

-9604

-

6731,6

-10890,2

4

0,683

5

-

8963,5

-640,5

-

6122,1

-4768,1

5

0,621

5

-

8963,5

8323

-

5566,3

798,2

6

0,564

10

-

19276

28239,5

-

10871,7

11669,9

7

0,513

10

-

19276

37203

-

9888,6

21558,5

8

0,466

10

-

19276

46166,5

-

8982,6

29941,1

9

0,424

10

-

19276

55130

-

8173

38114,1

10

0,386

10

-

19276

64093,5

-

7440,5

45554,6

11

0,35

15

-

29586,5

93680

-

10355,3

55909,9

12

0,319

15

-

29586,5

123266,5

-

9438

65347,9

13

0,29

15

-

29586,5

152853

-

8580

73927,9

14

0,263

15

-

29586,5

182439,5

-

7781

81708,9

15

0,239

15

-

29586,5

212026

-

7071,2

88780,1

16

0,218

15

-

29586,5

241612,5


6469,8

95249,9


Результаты расчета

Простой срок окупаемости:

от начала расчетного периода 4 + 640,5/(28239,5+640,5)=4.07 г

от начала эксплуатации ≈ 3.07 года

Динамический срок окупаемости:

от начала расчетного периода ≈ 4 + 4768,1/(798,2+4768,1)=4.85 г

от начала эксплуатации ≈ 4.85 года

Чистый доход за расчетный период 241612,5 тыс. руб.

Чистый дисконтированный доход (ЧДД) за расчетный период 95249,9 тыс. руб.

Индекс доходности ИД = (95249,9 + 25025,6)/25025,6=4.8

Рис. 5.1 Финансовый профиль проекта реконструкции ПС «Рассвет» 110/35/6 кВ, сценарий 1

Расчет произведен при условиях:

ставка доходности Е=14 %; год приведения - начало расчетного периода; номинальный денежный поток - из табл. 5.2 при Т=5500 ч.)

№ года

Коэф-нт приведения (1+Е)-t

Присоеднагрузка МВт

Номинальный денежный поток

Номин. ден. поток нарастающим итогом (по гр. 4 и 5)

Дисконтированный денежный поток

Дисконтир. ден. поток нарастающим итогом (ЧДД) (по гр. 7 и 8)




Строительство (инвести-ции)

Эксплуатация (чистая прибыль и амортизация)


Строитель-ство (инвестиции) гр. 4 · гр. 2

Эксплуатация (чистая прибыль и амортизация) гр. 5 · гр. 2


1

2

3

4

5

6

7

8

9

1

0,909

-

-27531

-

-27531

-25025,6

-

-25025,6

2

0,826

5

-

8963,5

-18567,5

-

7403,8

-17621,8

3

0,751

5

-

8963,5

-9604

-

6731,5

-10890,3

4

0,683

10

-

19276

9672

-

13165,5

2275,2

5

0,621

10

-

19276

28948

-

11970,4

14245,6

6

0,564

10

-

19276

48224

-

10871,6

25117,2

7

0,513

15

-

29586,5

77810,5

-

15177,8

40295

8

0,466

15

-

29586,5

107397

-

13787,3

54082,3

9

0,424

15

-

29586,5

136983,5

-

12544,6

66626,9

10

0,386

15

-

29586,5

166570

-

11420,4

78047,3

11

0,35

15

-

29586,5

196156,5

-

10355,2

88402,5

12

0,319

15

-

29586,5

225743

-

9438

97840,5

13

0,29

15

-

29586,5

255329,5

-

8580

106420,5

14

0,263

15

-

29586,5

284916

-

7781

114201,5

15

0,239

15

-

29586,5

313502,5

-

7071,1

121272,6

16

0,218

15


29586,5

343089


6449,8

127722,4


Результаты расчета

Простой срок окупаемости:

от начала расчетного периода ≈ 3 + 9604/(9672 + 9604)=3,49 года

от начала эксплуатации ≈ 2,49 года

Динамический срок окупаемости:

от начала расчетного периода ≈ 3 + 10890,3/(2275,2+10890,3)=3,82года

от начала эксплуатации ≈ 3,82 года

Чистый доход за расчетный период 289106 тыс. руб.

Чистый дисконтированный доход (ЧДД) за расчетный период 127722,4 тыс. руб.

Рис. 5.2. Финансовый профиль проекта реконструкции ПС «Рассвет» 110/35/6 кВ, сценарий 2

Выводы

Проведенные расчеты показали, что инвестиции в реконструкцию ПС «Рассвет» 110/35/6 кВ экономически целесообразны. Инвестиции окупаются за приемлемый срок 5 лет для присоединяемой нагрузки 5 - 15 МВт. Срок окупаемости по данным табл. 5.3 - 5.4 ниже нормативного и принятого в энергетике. При этом не учитывалось повышение надежности.

6. Безопасность жизнедеятельности на подстанции

.1 Социальное значение безопасности жизнедеятельности на подстанции и идентификация негативных факторов технологических процессов, и оценка воздействия негативных факторов для человека

В данном разделе мной производится оценка и анализ опасных и вредных факторов, воздействующих на персонал, обслуживающий реконструируемую подстанцию 110/35/6 кВ, и меры по предотвращению и уменьшению влияния этих факторов.

При эксплуатации подстанции 110/35/6 кВ возможны следующие опасные факторы:

поражение электрическим током при прикосновении к токоведущим частям;

-      поражение электрическим током при прикосновении к токоведущим частям нормально не находящихся под напряжением;

-      влияние электромагнитного поля на организм;

-      поражение электрическим током при работе с неисправным инструментом и средств индивидуальной и коллективной защиты;

-      поражение обслуживающего персонала, находящегося в зоне растекания электрического потенциала при замыкании на землю;

-      возможность падения персонала с высоты;

-      возможность поражения персонала при проведении коммутационных операций.

Для предотвращения влияния опасных факторов на персонал, данным проектом предусматриваю следующие мероприятия:

при работе в электроустановках действовать согласно «Правилам техники безопасности при эксплуатации электроустановок» (ПТБ). Проводить ежегодную проверку знаний, инструктаж по технике безопасности;

при невозможности ограничения времени пребывания персонала под воздействием электрического поля предусматриваю экранирование рабочих

мест: экраны над переходами, экранирующие козырьки и навесы над шкафами управления, съёмные экраны при ремонтных работах;

-      установка заземляющего контура, заземление и зануление оборудования;

-      соблюдение расстояний до токоведущих частей;

-      выполнение организационно-технических мероприятий для безопасного проведения работ.

Повышенное значение напряжения в электрической цепи, замыкание которой может произойти через тело человека.

Основная опасность при обслуживании РУ подстанции является опасность поражения электрическим током. Источником опасности являются открытые токоведущие части и токоведущие части с изоляцией, которая может оказаться по каким либо причинам нарушенной. Воздействие тока на организм человека можно разделить на биологическое, термическое, электрическое. Оно вызывает различные нарушения в организме, вызывая как местное поражение тканей и органов, так и общее поражение организма.

Существует два вида поражения электрическим током: электрический удар и местные электрические травмы. К травмам относятся ожоги, электрические знаки, электрометаллизация кожи и электроофтальмия. При электрическом ударе воздействию тока подвергается нервная система, что может привести к остановке сердечной и дыхательных мышц. Интенсивность воздействия тока на организм определяется множеством факторов, например длительностью прохождения тока, путём прохождения тока через тело, родом тока, индивидуальными особенностями человека.

Критические значения тока:

пороговый ощущаемый ток: 5-7 мА/50Гц;

-      пороговый не отпускающий ток: 10-15 мА/50Гц;

-      пороговый фибриляционный ток: 70-100 мА/50Гц;

Основное условие обеспечения безопасности обслуживающего персонала - это исключение возможного прикосновения к токоведущим частям.

Для защиты человека от напряжения электрическим током применяются следующие меры электробезопасности:

заземление;

-      зануление;

-      выравнивание потенциалов;

-      малые уровни напряжений;

-      электрическое разделение сетей;

-      изоляция токоведущих частей;

-      защитное отключение;

-      обеспечение недоступности токоведущих частей;

-      контроль и профилактика повреждений изоляции.

В пределах территории подстанции возможно замыкание на землю в любой точке. В месте перехода тока в землю, если не предусмотрены особые устройства для проведения тока в землю, возникают значительные потенциалы, опасные для людей, находящихся вблизи. Для устранения этой опасности на подстанции моим проектом предусматривается заземляющие устройства, назначение которых заключается в снижении потенциалов до приемлемых значений.

На площадке РУ вдоль рядов оборудования, подлежащего заземлению, укладываются проводники в землю на глубине 0,7 м. Предусматриваю также проводники в поперечном направлении. Таким образом, образуется сетка с квадратными или прямоугольными ячейками. Сетку дополняю некоторым числом вертикальных проводников.

.2 Мероприятия по технике безопасности

Работники, принимаемые для выполнения работ в электроустановках, должны иметь профессиональную подготовку, соответствующую характеру работы. При отсутствии профессиональной подготовки такие работники должны быть обучены (до допуска к самостоятельной работе) в специализированных центрах подготовки персонала (учебных комбинатах, учебно-тренировочных центрах и т.п.).

Работы в действующих электроустановках должны проводиться по наряду-допуску (далее - наряду), форма которого и указания по его заполнению приведены в [9], по распоряжению, по перечню работ, выполняемых в порядке текущей эксплуатации.

Не допускается самовольное проведение работ, а также расширение рабочих мест и объема задания, определенных нарядом или распоряжением.

Выполнение работ в зоне действия другого наряда должно согласовываться с работником, ведущим работы по ранее выданному наряду (ответственным руководителем работ) или выдавшим наряд на работы в зоне действия другого наряда. Согласование оформляется до начала выполнения работ записью “Согласовано” на лицевой стороне наряда и подписью работника, согласующего документ.

Весь персонал, работающий в помещениях с энергооборудованием (за исключением щитов управления, релейных и им подобных), в ЗРУ и ОРУ, в колодцах, туннелях и траншеях, а также участвующий в обслуживании и ремонте ВЛ, должен пользоваться защитными касками.

Подготовка рабочего места в электроустановках выше 1000 В должна проводится работником из числа оперативного или оперативно-ремонтного персонала с группой не ниже IV, допущенным распорядительным документом руководителя организации. В тех случаях, когда производитель работ совмещает обязанности допускающего, подготовку рабочего места он должен выполнять с одним из членов бригады, имеющим группу III.

Подготовка рабочего места и допуск бригады к работе могут производиться только после получения разрешения от оперативного персонала, в управлении и ведении которого находится оборудование, или уполномоченного на это работника.

Разрешение может быть передано выполняющему подготовку рабочего места и допуск к работе персоналу лично, по телефону, радио, с нарочным или через оперативный персонал промежуточной подстанции.

Не допускается выдача таких разрешений заранее.

Допуск бригады разрешается только по одному наряду.

Не допускается изменять предусмотренные нарядом меры по подготовке рабочих мест. При возникновении сомнения в достаточности и правильности мер по подготовке рабочего места и в возможности безопасного выполнения работы эта подготовка должна быть прекращена, а намечаемая работа отложена до выдачи нового наряда, предусматривающего технические мероприятия, устраняющие возникшие сомнения в безопасности.

До начала ремонтных или наладочных работ необходимо выполнить организационные и технические мероприятия по обеспечению электробезопасности работающих.

Организационными мероприятиями, обеспечивающими безопасность работ в электроустановках, являются:

оформление работ нарядом, распоряжением или перечнем работ, выполняемых в порядке текущей эксплуатации;

допуск к работе;

надзор во время работы;

- оформление перерыва в работе, перевода на другое место, окончания работы.

При подготовке рабочего места со снятием напряжения должны быть в указанном порядке выполнены следующие технические мероприятия:

1. Произведены необходимые отключения и приняты меры, препятствующие подаче напряжения на место работы вследствие ошибочного или самопроизвольного включения коммутационных аппаратов;

2. На приводах ручного и на ключах дистанционного управления коммутационных аппаратов должны быть вывешены запрещающие плакаты;

3. Проверено отсутствие напряжения на токоведущих частях, которые впоследствии должны быть заземлены для защиты людей от поражения электрическим током;

4. Установлено заземление (включены заземляющие ножи, а там, где они отсутствуют, установлены переносные заземления);

5. Вывешены указательные плакаты «Заземлено», ограждены при необходимости рабочие места и оставшиеся под напряжением токоведущие части, вывешены предупреждающие и предписывающие плакаты.

При подготовке рабочего места должны быть отключены:

- Токоведущие части, на которых будут производиться работы, а так же не огражденные токоведущие части, к которым возможно случайное приближение людей или механизмов;

-        Цепи управления и питания приводов коммутационных аппаратов;

         С каждой стороны, откуда на рабочее место может быть подано напряжение, должен быть видимый разрыв, который создаётся: отключением разъединителей, снятием предохранителей, отсоединением шин и проводов. Силовые и измерительные трансформаторы должны быть отключены со стороны всех своих обмоток для исключения возможности обратной трансформации.

После отключения разъединителей (отделителей, выключателей нагрузки) следует убедиться в их отключенном положении и отсутствии шунтирующих перемычек.

В электроустановках напряжением выше 1000 В для предотвращения ошибочного или самопроизвольного включения коммутационных аппаратов, которыми может быть подано напряжение к месту работы, должны быть приняты следующие меры:

-   у разъединителей, отделителей, выключателей нагрузки ручные приводы в отключенном положении должны быть заперты на механический замок (в электроустановках напряжением 6- 10 кВ с однополюсными разъединителями вместо механического замка допускается надевать на ножи диэлектрические колпаки);

-        у разъединителей, управляемых оперативной штангой, стационарные ограждения должны быть заперты на механический замок;

         у приводов коммутационных аппаратов, имеющих дистанционное управление, должны быть отключены силовые цепи и цепи управления, а у пневматических приводов, кроме того, на подводящем трубопроводе сжатого воздуха должна быть закрыта и заперта на механический замок задвижка и выпущен сжатый воздух, при этом спускные клапаны должны быть оставлены в открытом положении;

         у грузовых и пружинных приводов включающий груз или включающие пружины должны быть приведены в нерабочее положение;

         должны быть вывешены запрещающие плакаты.

На приводах (рукоятках приводов) коммутационных аппаратов с ручным управлением (выключателей, отделителей, разъединителей, рубильников, автоматов) во избежание подачи напряжения на рабочее место должны быть вывешены плакаты «Не включать! Работают люди».

У однополюсных разъединителей плакаты вывешиваются на приводе каждого полюса, у разъединителей, управляемых оперативной штангой, - на ограждениях. На задвижках, закрывающих доступ воздуха в пневматические приводы разъединителей, вывешивается плакат «Не открывать! Работают люди».

На присоединениях напряжением до 1000 В, не имеющих коммутационных аппаратов, плакат «Не включать! Работают люди» должен быть вывешен у снятых предохранителей.

Плакаты должны быть вывешены на ключах и кнопках дистанционного и местного управления, а также на автоматах или у места снятых предохранителей цепей управления и силовых цепей питания приводов коммутационных аппаратов.

На приводах разъединителей, которыми отключена для работ ВЛ или КЛ, независимо от числа работающих бригад, вывешивается один плакат «Не включать! Работа на линии». Этот плакат вывешивается и снимается по указанию оперативного персонала, ведущего учет числа работающих на линии бригад.

Проверка отсутствия напряжения и наложение переносных заземлений.

Проверять отсутствие напряжения необходимо указателем напряжения, исправность которого перед применением должна быть установлена с помощью предназначенных для этой цели специальных приборов или приближением к токоведущим частям, заведомо находящимся под напряжением.

В электроустановках напряжением выше 1000 В пользоваться указателем напряжения необходимо в диэлектрических перчатках.

В комплектных распределительных устройствах заводского изготовления (в том числе с заполнением элегазом) проверку отсутствия напряжения допускается производить с использованием встроенных стационарных указателей напряжения.

В электроустановках напряжением 35 кВ и выше для проверки отсутствия напряжения можно пользоваться изолирующей влагой, прикасаясь ею несколько раз к токоведущим частям. Признаком отсутствия напряжения является отсутствие искрения и потрескивания. На одноцепных ВЛ напряжением 330 кВ и выше достаточным признаком отсутствия напряжения является отсутствие коронирования.

РУ проверять отсутствие напряжения разрешается одному работнику из числа оперативного персонала, имеющему группу IV - в электроустановках напряжением выше 1000 В и имеющему группу III - в электроустановках напряжением до 1000 В.

На ВЛ проверку отсутствия напряжения должны выполнять два работника: на ВЛ напряжением выше 1000 В -работники, имеющие группы IV и III на ВЛ напряжением до 1000 В - работники, имеющие группу III

Проверять отсутствие напряжения выверкой схемы в натуре разрешается:

в ОРУ, КРУ и КТП наружной установки, а также на ВЛ при тумане, дожде, снегопаде в случае отсутствия специальных указателей напряжения;

в ОРУ напряжением 330 кВ и выше и на двухцепных ВЛ напряжением 330 кВ и выше.

При выверке схемы в натуре отсутствие напряжения на вводах ВЛ подтверждается дежурным, в оперативном управлении которого находятся линии.

Выверка ВЛ в натуре заключается в проверке направления и внешних признаков линий, а также обозначений на опорах, которые должны соответствовать диспетчерским наименованиям линий.

ВЛ напряжением 6 - 20 кВ при проверке отсутствия напряжения, или железобетонных опор, а также с телескопических вышек, указателем, работающим на принципе протекания емкостного тока, за исключением импульсного, следует обеспечить требуемую чувствительность указателя. для этого его рабочую часть необходимо заземлять.

На ВЛ при подвеске проводов на разных уровнях проверять отсутствие напряжения указателем или штангой и устанавливать заземление следует снизу вверх, начиная с нижнего провода. При горизонтальной подвеске проверку нужно начинать с ближайшего провода.

Устройства, сигнализирующие об отключенном положении аппарата, блокирующие устройства, постоянно включенные вольтметры и т.п. являются только дополнительными средствами, подтверждающими отсутствие напряжения, и на основании их показаний нельзя делать заключение об отсутствии напряжения.

Устанавливать заземления на токоведущие части необходимо непосредственно после проверки отсутствия напряжения.

Переносное заземление сначала нужно присоединить к заземляющему устройству, а затем, после проверки отсутствия напряжения, установить на токоведущие части.

Снимать переносное заземление необходимо в обратной последовательности: сначала снять его с токоведущих частей, а затем отсоединить от заземляющего устройства.

Установка и снятие переносных заземлений должны выполняться в диэлектрических перчатках с применением в электроустановках напряжением выше 1000 В изолирующей штанги. Закреплять зажимы переносных заземлений следует этой же штангой или непосредственно руками в диэлектрических перчатках.

В электроустановках напряжением выше 1000 В заземляться должны токоведущие части всех фаз (полюсов) отключенного для работ участка со всех сторон, откуда может быть подано напряжение, за исключением отключенных для работы сборных шин, на которые достаточно установить одно заземление.

При работах на отключенном линейном разъединителе на провода спусков со стороны ВЛ независимо от наличия заземляющих ножей на разъединителе должно быть установлено дополнительное заземление, не нарушаемое при манипуляциях с разъединителем.

Установленные заземления могут быть отделены от токоведущих частей, на которых непосредственно ведется работа, отключенными выключателями, разъединителями, отделителями или выключателями нагрузки, снятыми предохранителями, демонтированными шинами или проводами, выкатными элементами комплектных устройств.

Непосредственно на рабочем месте заземление на токоведущие части дополнительно должно быть установлено в тех случаях, когда эти части могут оказаться под наведенным напряжением.

Переносные заземления следует присоединять к токоведущим частям в местах, очищенных от краски.

В электроустановках напряжением выше 1000 В устанавливать переносные заземления должны два работника: один - имеющий группу IV (из числа оперативного персонала), другой - имеющий группу III работник, имеющий группу III, может быть из числа ремонтного персонала, а при заземлении присоединений потребителей - из персонала потребителей. Включать заземляющие ножи должен один работник, имеющий группу IV, из числа оперативного персонала.

Включать заземляющие ножи может один работник, имеющий группу IV, из числа оперативного персонала.

Отключать заземляющие ножи и снимать переносные заземления единолично может работник из числа оперативного персонала, имеющий группу III.

ВЛ напряжением выше 1000В должны быть заземлены во всех РУ и у секционирующих коммутационных аппаратов, где отключена линия. Допускается:

ВЛ напряжением 35 кВ и выше с ответвлениями не заземлять на подстанциях, подключенных к этим ответвлениям, при условии, что ВЛ заземлена с двух сторон, а на этих подстанциях заземления установлены за отключенными линейными разъединителями;

ВЛ напряжением 6 - 20 кВ заземлять только в одном РУ или у одного секционирующего аппарата либо на ближайшей к РУ или секционирующему аппарату опоре. В остальных РУ этого напряжения и у секционирующих аппаратов, где ВЛ отключена, допускается ее не заземлять при условии, что на ВЛ будут установлены заземления между рабочим местом и этим РУ или секционирующими аппаратами. На ВЛ указанные заземления следует устанавливать на опорах, имеющих заземляющие устройства.

Дополнительно на рабочем месте каждой бригады должны быть заземлены провода всех фаз, а при необходимости и грозозащитные тросы.

На ВЛ с расщепленными проводами допускается в каждой фазе заземлять только один провод; при наличии изолирующих распорок заземлять требуется все провода фазы.

На одноцепных ВЛ заземление на рабочих местах необходимо устанавливать на опоре, на которой ведется работа, или на соседней.

Допускается установка заземлений с двух сторон участка ВЛ, на котором работает бригада, при условии, что расстояние между заземлениями не превышает 2 км.

При работах на изолированном от опоры молниезащитном тросе или на конструкции опоры, когда требуется приближение к этому тросу на расстояние менее 1 м, трос должен быть заземлен. Заземление нужно устанавливать в сторону пролета, в котором трос изолирован, или в пролете на месте проведения работ.

Отсоединять и присоединять заземляющий спуск к грозозащитному тросу, изолированному от земли, следует после предварительного заземления троса.

Если на этом тросе предусмотрена плавка гололеда, перед началом работы трос должен быть отключен и заземлен с тех сторон, откуда на него может быть подано напряжение.

Переносные заземления следует присоединять на металлических опорах - к их элементам, на железобетонных и деревянных опорах с заземляющими спусками - к этим спускам после проверки их целости. На железобетонных опорах, не имеющих заземляющих спусков, можно присоединять заземления к траверсам и другим металлическим элементам опоры, имеющим контакт с заземляющим устройством.

Переносное заземление на рабочем месте можно присоединять к заземлителю, погруженному вертикально в грунт не менее чем на 0,5 м. Не допускается установка заземлителей в случайные навалы грунта.

На ВЛ, отключенных для ремонта, устанавливать, а затем снимать переносные заземления и включать имеющиеся на опорах заземляющие ножи должны работники из числа оперативного персонала: один, имеющий группу IV (на ВЛ напряжением выше 1000 В) или группу III (на ВЛ напряжением до 1000 В), второй - имеющий группу III. Допускается использование второго работника, имеющего группу III, из числа ремонтного персонала, а на ВЛ, питающих потребителя, - из числа персонала потребителя.

Отключать заземляющие ножи разрешается одному работнику, имеющему группу III, из числа оперативного персонала.

На рабочих местах на ВЛ устанавливать переносные заземления может производитель работ с членом бригады, имеющим группу III. Снимать эти переносные заземления могут по указанию производителя работ два члена бригады, имеющие группу III.

На ВЛ при проверке отсутствия напряжения, установке и снятии заземлений один из двух работников должен находиться на земле и вести наблюдение за другим.

Ограждение рабочего места, вывешивание плакатов

В электроустановках должны быть вывешены плакаты “Заземлено” на приводах разъединителей, отделителей и выключателей нагрузки, при ошибочном включении которых может быть подано напряжение на заземленный участок электроустановки, и на ключах и кнопках дистанционного управления коммутационными аппаратами.

Для временного ограждения токоведущих частей, оставшихся под напряжением, могут применяться щиты, ширмы, экраны и т.п., изготовленные из изоляционных материалов.

При установке временных ограждений без снятия напряжения расстояние от них до токоведущих частей должно быть не менее допустимых. В электроустановках напряжением 6 - 10 кВ это расстояние может быть уменьшено до 0,35 м.

На временные ограждения должны быть нанесены надписи “Стой! Напряжение” или укреплены соответствующие плакаты.

В электроустановках напряжением до 20 кВ в тех случаях, когда нельзя оградить токоведущие части щитами, допускается применение изолирующих накладок, помещаемых между отключенными и находящимися под напряжением токоведущими частями (например, между контактами отключенного разъединителя). Эти накладки могут касаться токоведущих частей, находящихся под напряжением.

Устанавливать и снимать изолирующие накладки должны два работника, имеющие группы IV и III. Старший из них должен быть из числа оперативного персонала. При операциях с накладками следует использовать диэлектрические перчатки, изолирующую штангу (клещи).

На ограждениях камер, шкафах и панелях, граничащих с рабочим местом, должны быть вывешены плакаты “Стой! Напряжение”.

В ОРУ при работах, проводимых с земли, и на оборудовании, установленном на фундаментах и отдельных конструкциях, рабочее место должно быть ограждено (с оставлением проезда, прохода) канатом, веревкой или шнуром из растительных либо синтетических волокон с вывешенными на них плакатами “Стой! Напряжение”, обращенными внутрь огражденного пространства

При снятии напряжения со всего ОРУ, за исключением линейных разъединителей, последние должны быть ограждены канатом с плакатами “Стой! Напряжение”, обращенными наружу огражденного пространства.

В ОРУ на участках конструкций, по которым можно пройти от рабочего места к граничащим с ним участкам, находящимся под напряжением, должны быть установлены хорошо видимые плакаты “Стой! Напряжение”. Эти плакаты может устанавливать работник, имеющий группу III, из числа ремонтного персонала под руководством допускающего.

На конструкциях, граничащих с той, по которой разрешается подниматься, внизу должен быть вывешен плакат “Не влезай! Убьет”.

На стационарных лестницах и конструкциях, по которым для проведения работ разрешено подниматься, должен быть вывешен плакат “Влезать здесь!”.

На подготовленных рабочих местах в электроустановках должен быть вывешен плакат “Работать здесь”.

Допуск к работе проводится после проверки подготовки рабочего места. При этом допускающий должен проверить соответствие состава бригады составу, указанному в наряде или распоряжении, по именным удостоверениям членов бригады; доказать бригаде, что напряжение отсутствует, показом установленных заземлений или проверкой отсутствия напряжения, если заземления не видны с рабочего места, а в электроустановках напряжением 35 кВ и ниже (где позволяет конструктивное исполнение) - последующим прикосновением рукой к токоведущим частям.

6.3 Молниезащита подстанции

При проектировании зданий и сооружений системы электроснабжения необходимо учитывать и предотвращать возможность их поражения ударами молнии. Особенно это относится к открытым электроустановкам.

Молнии характеризуются большим разрушающим действием, объясняемым большими амплитудой, крутизной нарастания и интегралом тока.

В соответствии с Руководящими указаниями по защите электростанций и подстанций 3-500 кВ от прямых ударов молнии (ПУМ) и грозовых волн, набегающих с линий электропередачи, защите подлежат следующие объекты, расположенные на их территории:

а) открытые распределительные устройства (ОРУ), в том числе шинные мосты и гибкие связи;

б) здания машинного зала и закрытые распределительные устройства (ЗРУ);

в) здания маслохозяйства.

ОРУ станций и подстанций защищаются от ПУМ стержневыми молниеотводами и только для протяженных шинных мостов и гибких связей применяются тросовые молниеотводы.

Защита ОРУ осуществляется установкой стержневых молниеотводов на порталах подстанций или устройством отдельно стоящих стержневых молниеотводов со своими обособленными заземлителями.

Молниеотводы, установленные на порталах подстанций, дешевле отдельно стоящих молниеотводов, так как требуют меньше металла на изготовление. Они ближе располагаются к защищаемому оборудованию, поэтому эффективнее используется их защитная зона. Но при поражении портального молниеотвода ударом молнии с большой амплитудой и крутизной фронта импульса тока на молниеотводе и на портале значительно возрастает напряжение. Это напряжение может оказаться достаточным, чтобы вызвать «обратное» перекрытие изоляции ОРУ с заземленных элементов на токоведущие части подстанции.

Порядок расчета стержневых молниеотводов:

hа ≥ Д/8·p

h=hа + hх - полная высота молниеотвода,

где hа - активная высота молниеотвода;х1=11,35 м, hх2=5,5 м - высота защищаемого объекта; р=1 при h ≤ 30 м,

Д=59 м - большая диагональ четырехугольника с молниеотводами в его вершинах.

hа ≥ 59/8·1 = 7,375 м. Принимаю 8,5 м.

h = 11,35 + 8,5 = 19,85 м. Принимаю 20 м.

Высоту молниеотвода от земли выбирают такой, чтобы защищаемые оборудование и конструкции попали в зону защиты молниеотвода, внутри которой с достаточной надежностью (в электроустановках 99,5% - зона защиты типа А) обеспечивалась бы защита зданий и сооружений от прямых ударов молнии.

Расчетная зона защиты одиночного стержневого молниеотвода высотой h < 150 м представляет собой конус с высотой

hо = 0,85h;

hо = 0,85·20= 17 м;

и радиусами на уровне земли и уровне защищаемого оборудования

rо = (1,1 - 0,002h)h;

rх = (1,1 - 0,002h)(h - hх/0,85);

rо = (1,1 - 0,002·20)·20 = 21,2 м;

rх1 = (1,1 - 0,002·20)·(20 - 11,35/0,85)= 7,04 м.

rх2 = (1,1 - 0,002·20)·(20 - 5,5/0,85)= 14,3 м.

Два молниеотвода одинаковой высоты, находящихся друг от друга на расстоянии h<L1<3h (20<L1=53<3·20=60) образуют общую зону защиты. Зона характеризуется между молниеотводами гребнем в виде ломаной линии; наинизшая точка этого гребня имеет высоту

hс = hо - (0,17 + 3·10 -4h)(L1 - h)  rсх = rо (hс -hх)/hс

rс = rо

hс = 17 - (0,17 + 3·10 -4 ·20)(53 - 20) = 11,72 м

rсх1 = 21,2 (11,72 - 11,35) / 11,72 = 0,67 м

rсх2 = 21,2 (11,72 - 6) / 11,72 = 10,3 м

rс = 21,2 м

h<L1<3h (20<L1=26<3·20=60)

hс = 17 - (0,17 + 3·10 -4 ·20)(26 - 20) = 15,9 м

rсх1 = 21,2 (15,9 - 11,35) / 15,9 = 6 м



Рисунок 6.1 - Схема грозозащиты ОРУ-110кВ

Молниеотводы состоят из молниеприемника, несущей конструкции, токоотвода и заземлителя. Молниеприемник непосредственно воспринимает прямой удар молнии. Поэтому он должен надежно противостоять механическим и тепловым воздействиям тока и высокотемпературного канала молнии. Молниеприемники изготовляются из прокатной стали любого профиля сечением не менее 100 мм2 , при длине не более 2,5 м. Несущая конструкция несет на себе молниеприемник и токоотвод, объединяет все элементы молниеотвода в единую, жесткую, механически прочную конструкцию. В энергетике получили широкое распространение конструкции молниеотводов с деревянными, железобетонными и металлическими опорами.

Токоотвод соединяет молниеприемник с заземлителем и предназначен для пропускания тока молнии от молниеприемника к заземлителю. Поэтому он рассчитывается на тепловые и электродинамические воздействия, связанные с прохождением по нему тока молнии. Токоотводы у молниеотводов с деревянными опорами изготовляются различного профиля с сечением, рассчитанным для прохождения полного тока молнии.

Рекомендуется брать круглую сталь диаметром не менее 6 мм2, угловую сталь сечением не менее 48 мм2 и толщиной стенки 4 мм.

Заземлители молниеотводов служат для отвода тока молнии в землю. Исходя из требований грозоупорности ЭУ, сопротивления заземлителей не должны превосходить 10-15 Ом.

Соединение отдельных частей токоотвода между собой, с молниеприемником и с заземлителем производится при помощи сварки. Для предохранения от коррозии токоотводы окрашиваются.

6.4 Заземление ОРУ-110 кВ.

Согласно ПУЭ заземляющие устройства электроустановок сети с эффективно заземлённой нейтралью 110 кВ выполняется с учётом сопротивления  или допустимого напряжения прикосновения.

Рис. 11.5.1 - Схема заземлителя

Расчёт по допустимому сопротивлению  производит к неоправданному перерасходу проводникового материала и трудозатрат при сооружении заземляющих устройств. Опыт эксплуатации распределительных устройств 110 кВ. и выше позволяет перейти к нормированию напряжения прикосновения, а не величены R3.

Сложный заземлитель заменяется расчётной квадратной моделью при условии равенства их площадей S, общей длины горизонтальных проводников, глубины их заложения t, числа и длины вертикальных заземлителей и глубины их заложения.

В расчётах многослойный грунт представляется двухслойным: верхний толщиной h1 с удельным сопротивлением p1, нижний с удельным сопротивлением p2. Глубина заложения заземляющего устройства t=0,5-0,7м, длина вертикального заземлителя lв=3-5м, принимаем lв=5м: расстояние между горизонтальными заземлителями, а=5м.

Схема ОРУ 110кВ - схема мостика.

Грунт.

Таблица 7.4 стр. 592 [2]

r1=400 Ом×м - Супесок.

r2=200 Ом×м

tотк=0,16 с согласно зон защит [2]

В соответствии с данными

принимаем S=32·69,5=2224м2

Толщина верхнего слоя грунта h1=2м

Глубина заложения заземляющего устройства 0,5-0,7м, принимаю t=0,5м

Длинна вертикального заземлителя 3-5м, принимаю lв=5м

Расстояние между вертикальными заземлителями с полосами 4-6м, принимаю, а=5м

Длинна горизонтального заземлителя:

м

Коэффициент напряжения прикосновения.


Где М - коэффициент зависящий от отношения удельного сопротивления грунтов [9] М=0,62

b - коэффициент определяемый по сопротивлению тела человека Rч и сопротивлению растеканию тока от ступней человека Rс.

В расчетах принимаю Rч=1000Ом; Rс=1,5r1

Напряжение на заземлителе:

В

Где Uпр.доп - допустимое напряжение прикосновения=400В при tотк=0,16с, стр. 596 [2]

Ток стекающий с заземлителя проектируемого заземляющего устройства, при однофазном токе короткого замыкания

 

Допустимое сопротивление заземляющего устройства:

 Ом.

Число вертикальных заземлителей:

Ом

Принимаем =40 шт.

Общая длинна вертикальных заземлителей:в= ×5=40×5=200м

Относительная глубина заложения заземляющего устройства.

Коэффициент А - [9]

Относительная толщина верхнего слоя

По таблице 7.6 [9] Относительное эквивалентное удельное сопротивление для сеток с вертикальными заземлителями:

Эквивалентное сопротивление грунта:

 Ом*м

Общее сопротивление сложного заземлителя.

Ом

Напряжение прикосновения:

В

Uпр =193,5 < Uпр.доп= 400 В

.5 Пожаробезопасность и взрывобезопасность

Электроустановки высокого напряжения требуют к себе постоянного внимания с точки зрения повышенной пожаробезопасности. Необходимы неукоснительное соблюдение всеми работниками подстанции правил ПБ и проведение мероприятий направленных на повышение пожарной безопасности:

регулярное проведение занятий по умению пользоваться средствами пожаротушения и оказанию первой медицинской помощи;

-      проверка наличия и исправности средств индивидуальной защиты;

-      принятие строгих мер к нарушителям техники пожарной безопасности.

Во всех помещениях подстанции по моему проекту устанавливаются емкости с сухим песком, наличие которого необходимо контролировать. На силовых трансформаторах предусмотрены тепловые датчики, которые выдают сигнал на предупреждение или отключение трансформатора при повышении температуры масла выше допустимой. Обязательно предусматриваются средства сигнализации и оповещения персонала в случае возникновения пожара.

.6 Защита населения и территории при чрезвычайных ситуациях

Чрезвычайные ситуации (ЧС) - внешне неожиданная, внезапно возникающая обстановка, характеризующаяся режимом нарушения установившегося процесса или явления, и оказывающая значительное отрицательное воздействие на жизнедеятельность людей, функционирования экономики, социальную сферу и природную среду. В мирное время ЧС могут возникать в результате производственных аварий, катастроф, стихийных бедствий, диверсий или факторов военно-политического характера.

ЧС можно квалифицировать по значительному числу признаков, например:

по типам и видам (по причинам возникновения). Чрезвычайные события лежащих в основе этих ситуаций: стихийные бедствия (землетрясения, наводнения, селевые потоки, оползни, ураганы, снежные заносы, грозы, засухи, ливни, лавины и т.д.); техногенные катастрофы (аварии на энергетических, химических, биологических объектах); антропогенные катастрофы; социально-политические конфликты (социальные, военные);

скорости распространения опасности: внезапные быстро распространяющиеся, умеренные, плавные;

масштабы распространения с учетом тяжести последствий: локальные, объектные, местные, региональные, национальные, глобальные.

·    Локальные ЧС имеет последствия не выходящие за пределы рабочего места, рабочего участка, усадьбы, квартиры.

·        Объектные ЧС ограничиваются пределами ОНХ и могут быть устранены за счет его сил и ресурсов.

·        Местные ЧС в пределах населенного пункта, в том числе крупного города, административного района или области; последствия такого ЧС могут быть устранены силами области.

·        Региональные ЧС последствия, которых ограничиваются пределами нескольких областей, экономического района или суверенного государства.

·        Национальные ЧС охватывают несколько экономических районов или суверенных государств, но не выходят за пределы содружества (страны). Последствия ликвидируются силами и ресурсами страны, зачастую с привлечением иностранной помощи.

·        Глобальные ЧС последствия выходят за пределы страны и распространяются на другие государства. Эти последствия устраняются как силами каждого государства на своей территории, так и силами международного сообщества.

Для практических нужд общую классификацию ЧС наиболее целесообразно строить по типам и видам событий; при этом можно частично в тех или иных звеньях классификационной структуры использовать принадлежность, причинность или масштаб ЧС. По такому комплексу признаков все ЧС мирного времени разбивают на 5 групп:

1) сопровождающиеся выбросами опасных веществ в окружающую среду;

2) связанные с возникновением пожаров, взрывами и их последствиями;

3) на транспортных коммуникациях;

4) вызванные стихийными бедствиями;

5) военно-политического характера.

Защита населения от оружия массового поражения (ядерного, химического, бактериологического (биологического) оружия и других средств нападения) - одна из главных задач гражданской обороны. Планируются и проводятся в комплексе три основных способа защиты:

·    укрытие населения в защитных сооружениях;

·        рассредоточение в загородной зоне рабочих и служащих предприятий, учреждений и организаций, продолжающих свою деятельность в городах, а также эвакуация из этих городов населения;

·        использование населением средств индивидуальной защиты.

Помимо этого организуется и проводится всеобще - обязательное обучение населения способам защиты. Предусматриваются оповещение по сигналам гражданской обороны, защита продовольствия, сооружений на системах водоснабжения и водозаборов на подземных источниках воды от заражения радиоактивными, отравляющими веществами и бактериальными средствами, радиационная, химическая и бактериологическая разведка, установление режимов защиты рабочих, служащих и производственной деятельности объектов, а также дозиметрический и лабораторный (химический и бактериологический) контроль. Планируются профилактические противопожарные, противоэпидемические и санитарно-гигиенические мероприятия, спасательные и неотложные аварийно - восстановительные работы (СНАВР) в очагах поражения, санитарная обработка людей, обеззараживание техники, одежды, обуви, территории и сооружений.

Укрытие населения в защитных сооружениях. Состояние и непрерывное совершенствование наступательных средств значительно повысили возможность внезапного нападения противника. В этих условиях сроки проведения защитных мероприятий могут оказаться крайне ограниченными. Следовательно, на первое место должно быть поставлено укрытие населения в защитных сооружениях по месту его пребывания - на работе или учебе и в местах постоянного жительства.

Вывод: Результаты, полученные при расчетах, показывают, что защита обслуживающего персонала подстанции от поражения электрическим током на территории ОРУ 110 кВ обеспечивается, а рассчитанные параметры освещения ОПУ отвечают требованиям санитарно - гигиенических норм и правил, и обеспечивают необходимую освещенность рабочих панелей.

Заключение

В данной работе была произведена реконструкция ПС 110/35/6 кВ. Был произведен расчет максимального режима сети. Произвели расчет трехфазного КЗ на шинах РУ 110 кВ, 35кВ и 6 кВ (точки К1, К2, К3). По результатам вычислений выполнили выбор коммутационных аппаратов: выключателей, разъединителей, трансформаторов тока и трансформаторов напряжения.

В специальной части рассматривается вопрос регулирования напряжения на подстанции.

В экономической части приводится экономическое обоснование реконструкции подстанции, определены капитальные вложения в проект реконструкции и примерный срок окупаемости.

В данном проекте был произведен расчет заземления и молниезащиты, описаны мероприятия по пожарной безопасности и гражданской обороне, проводимые на подстанции.

Список литературы

1. Правила устройства электроустановок- 9е издание.// М. издат. МЭИ, 2004г.

2. Правила технической эксплуатации электрических станций сетей.

. Пособие к курсовому и дипломному проектированию для электроэнергетических специальностей вузов.// Под ред. В.М.Блок.// М.: Высшая школа, 1990г.

. Справочник по проектированию электрических сетей. // Под ред. Д.Л. Файбисовича.// М. издат. НЦ ЭНАС 2005г.

. Справочник по проектированию электроэнергетических систем.// Под ред. С.С. Рокоятина, И.М. Шапиро.// М. Энергоатомиздат 1985 г.

. Электроснабжение промышленных предприятий.// Н.П. Постников, Г.М. Рубашов.

. Электрическая часть электростанций и подстанций: Справочные материалы для курсового и дипломного проектирования / Б.Н. Неклепаев, И.П. Крючков - М.: Энергоатомиздат, 1989.

. Справочник по электроснабжению промышленных предприятий. -2-е изд.

Федоров А.А., Сербиновский П.А. перераб. и доп./ - М.:Энергия, 1980г.

9. Релейная защита и автоматика систем электроснабжения: Учебник для ВУЗов /Андреев В.А. - М.: Изд. Высшая школа, 2003.-639 с

10. Автоматика энергосистем: Учеб. для техникумов/ М.А. Беркович, В.А. Гладышев, В.А. Семенов. - 3-е изд., перераб. и доп. - М.: Энергоатомиздат, 1991. - 240 с: ил.

11. Релейная защита. Учебное пособие для техникумов. -5-е изд./ / Чернобровов Н. В. // перераб. и доп. М. «Энергия», 1974. 680 с.

. Инструкция по устройству молниезащиты зданий и сооружений. РД 34.21.122 - 87/ Минэнерго СССР. - М.: Энергоатомиздат, 1989. - 56 с.

13. Защитное заземление: Методические указания/ Под ред. Паниной О. А. - Саратов, 1995. - 16 с.

Похожие работы на - Реконструкция понижающей подстанции 110/35/6 кВ

 

Не нашли материал для своей работы?
Поможем написать уникальную работу
Без плагиата!
Без нейросетей!