Управления запасами готовой продукции на Санкт-Петербургском картонно-полиграфическом комбинате

  • Вид работы:
    Дипломная (ВКР)
  • Предмет:
    Эктеория
  • Язык:
    Русский
    ,
    Формат файла:
    MS Word
    171,58 Кб
  • Опубликовано:
    2012-11-26
Вы можете узнать стоимость помощи в написании студенческой работы.
Помощь в написании работы, которую точно примут!

Управления запасами готовой продукции на Санкт-Петербургском картонно-полиграфическом комбинате

Содержание

Введение

Глава 1. Товарные запасы и их роль в организации сбыта продукции

.1 Сбыт продукции и показатели его характеризующие

.2 Виды запасов

.3 Товарные запасы и проблемы товароснабжения

.4 Системы управления запасами на фирмах

.5 Сравнение логистических систем организации управления запасами готовой продукции

.5.1 Система "тянущего типа"

.5.2 Система "толкающего типа"

.6 Основные системы управления запасами готовой продукции

.6.1 Система с фиксированным размером заказа

.6.2 Система с фиксированным интервалом времени между заказами

.6.3 Сравнение основных систем управления запасами.

.6.4 Система с установленной периодичностью пополнения запасов до установленного уровня

.6.5 Система "Минимум-максимум"

Глава 2. Характеристика открытого акционерного общества "Санкт-Петербургский картонно - полиграфический комбинат" и анализ его производственно-хозяйственной деятельности

.1 Краткая характеристика деятельности ОАО "СПБ КПК"

.2 Состав комбината

.3 Основные функции руководителей и структурных подразделений комбината

.4 Краткое описание технологических процессов получения основных видов продукции

.6 Анализ деловой активности

.7 Анализ финансовой устойчивости предприятии

.8 Краткая характеристика деятельности картонного производства

.9 Загрузка производственных мощностей

.10 Используемые информационные системы

.11 Анализ прибыли предприятии

.12 Анализ результатов финансово-хозяйственной деятельности ОАО "СПб КПК"

Глава 3. Анализ системы управления запасами и направление ее совершенствования

.1. Масштабы деятельности ОАО "СПБ КПК" и тенденции спроса

.2 Анализ структуры реализуемой продукции

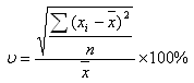
.3 Оценка эффективности работы склада производственного предприятия

.4 Автоматизация управления запасами полуфабрикатов предприятия

Глава 4. Безопасность объекта

.1 Состояние охраны труда и техники безопасности на ОАО "СПб КПК" в 2010 году

.2 Промышленная безопасность

.2.1 Общие требования промышленной безопасности

.2.2 Общие требования безопасности в картоноделательном цехе

.2.3 Противопожарные мероприятия в цехе производства картона

.2.4 Электробезопасность

.3 Экологическая безопасность

.3.1 Общие требования экологической безопасности

.3.2 Охрана атмосферного воздуха

.3.3 Охрана окружающей среды от сточных вод

.3.4 Охрана окружающей среды от отходов производства и потребления

.4 Безопасность в случае чрезвычайных ситуаций

Заключение

Список литературы

Введение


Запасы представляют собой значительную часть совокупного общественного продукта и существуют в трех различных сферах: производственной, товарной и транспортной. Они обеспечивают непрерывность производства и потребления и, следовательно, их наличие диктуется объективной необходимостью.

Интенсивность потребления производственных запасов целиком зависит от производственной программы предприятия. Зная программу выпуска продукции и нормы расхода сырья на единицу изделия, можно определить нормы производственных запасов сырья на единицу изделия, можно определить нормы производственных запасов сырья и материалов. Формирование товарных запасов связано с такой социально-экономической категорией, как платежеспособный спрос населения, отражающий самые различные (экономические, бытовые, социальные, психологические, традиционные) сдвиги. Вполне объяснимы случаи, когда дефицитные на момент заказа и ажиотажные по спросу товары в период их поступления в торговую сеть попадали в категорию пользующихся слабым спросом и оседали в неликвидных запасах. И если потребление производственных запасов представляет собою процесс в определенной мере детерминированный, то материальные ценности торговли имеют в своей основе то существенное отличие, что их расходование носит относительно стихийный характер. Эти особенности производственных и товарных запасов накладывают определенные условия на методологию обоснования соответствующих параметров управления их запасами (уровень запасов, размеры партий поставок, время реализации заказов).

Различают запасы производственные (запасы в организациях- производителях) и товарные (запасы готовой продукции на складе предприятия-изготовителя, запасы в пути).

В данном дипломе рассматривается раздел логистики запасов, как один из наиболее важных и значимых в деятельности фирмы-производителя.

Производственные и товарные запасы - категория историческая, возникшая вместе с превращением продуктов труда в специфическую форму - товар и развитием товарного обращения. Назначение запаса материального ресурса - обеспечить непрерывность производства и бесперебойность реализации. Поэтому запас должен быть определенных размеров, своевременно пополнятся и своим качеством отвечать требованиям производства и конечных потребителей.

Запас производственный или товарный должен где-то и как-то храниться, поэтому в сферу логистики запасов вовлекается складское хозяйство со своими сооружениями, оборудованием, размещением ресурсов, документацией и издержками.

Основное содержание дипломной работы - совершенствование системы управления запасами готовой продукции на Санкт-Петербургском картонно- полиграфическом комбинате (ОАО "СПб КПК").

Глава 1. Товарные запасы и их роль в организации сбыта продукции

 

.1 Сбыт продукции и показатели его характеризующие


Концепция сбыта исходит из общей концепции предприятия и содержит основные решения в области политики сбыта. Руководство предприятия осуществляет планирование концепции сбыта, т.е. формирование исходных установок сбыта. Непосредственный контакт сотрудников сбытового подразделения предприятия с внутренними и внешними потребителями дает возможность разрабатывать и совершенствовать концепцию сбыта продукции.

·        Инструменты сбытовой политики

·        Разработка продукта или услуги (продуктовая политика)

·        Ценообразование (ценовая политика)

·        Распределение продукции (политика распределения)

·        Коммуникация (коммуникационная политика)

Программа сбыта очерчивает круг потенциальных потребителей, местоположение которых определяет потенциальную область сбыта продукции. Благодаря определению области сбыта, в которой намерено оперировать предприятие, определяется потенциал сбыта предприятия, а также принимается решение о масштабе сбыта: локальном, региональном, национальном или международном.

С ростом масштаба сбыта повышается степень отдаленности потребителей, а вместе с этим увеличиваются и затраты на сбыт, логистику и на обслуживание потребителей. Программа сбыта служит исходным пунктом для определения поля бизнеса. Четкое определение поля бизнеса является предпосылкой оптимальной организации системы сбыта продукции.

При выборе поля бизнеса следует определить:

·        потенциал сбыта, которым располагают отдельные области бизнеса;

·        область бизнеса, соответствующую специализации предприятия.

·        шансы роста у отдельных областей бизнеса;

·        уровень конкуренции в данных областях бизнеса;

·        новые перспективные области сбыта.

На основе анализа поля бизнеса принимаются решения о размере и структуре организации системы сбыта.

Динамика современного рынка сбыта требует:

·        развивать поля бизнеса;

·        увеличивать число новых и прибыльных групп потребителей, видов продукции, регионов сбыта;

·        закрывать те области бизнеса, которые больше не оправдывают себя.

Конкурентное преимущество предприятия может заключаться в преимуществе при выполнении какого-либо действия или в пониженной цене.

Формы сбыта продукции

. Самообслуживание - покупатели самостоятельно осматривают, отбирают и доставляют отобранную продукцию к единому узлу расчета (характерны использование типового торгового оборудования и минимум услуг);

. Продажа по предварительным заказам - покупатели предварительно называют необходимую продукцию из числа имеющейся в продаже и получают ее в обусловленное время в магазине, на дому или по месту работы;

. Индивидуальное обслуживание - продавец обслуживает каждого покупателя и помогает ему в выборе покупки, консультирует по вопросам пользования товаром, упаковывает и отпускает товар. Возможно использование различных форм расчета с покупателями, а также послепродажное обслуживание, бесплатная доставка по желанию покупателя, возврат товара; продажа с открытой выкладкой - покупатели знакомятся с ассортиментом продукции самостоятельно, а продавец проверяет качество, дает консультации, принимает оплату, упаковывает и отпускает продукцию;

. Продажа по образцам - покупатели самостоятельно или с помощью продавца знакомятся с выставленными в торговом зале образцами продукции. После выбора и оплаты продукции она может быть доставлена на дом покупателю или передана ему непосредственно на складе магазина; продажа по телефону - активная и свободная форма продажи продукции, когда продавец контактирует с покупателем по телефону. Используется для реализации продукции через торговых агентов.

Франчайзинг:

·        система сбыта, при которой предприятие предоставляет право продажи своей продукции или использование торговой марки (лицензию) в форме вертикальной кооперации ограниченному числу торговых предприятий;

·        форма собственности, в которой объединяются интенсивная вовлеченность менеджеров, характерная для индивидуального бизнеса, и эффективность централизованного принятия решений, присущая крупным сетям розничных торговых предприятий.

Ограниченный франчайзинг сопровождается соглашением об ограничении закупок. Согласно данному условию, предприятие розничной или оптовой торговли обязуется осуществлять продажу продукции только данного производителя.

Франшиза - это договор между франчайзером (владельцем или лицензиаром) и франчайзи (получателем и лицензиатом), по которому последний получает право содержать магазин, название, организация и технология которого разработаны и поддерживаются лицензиаром.

Коммивояжер - служащий предприятия, занимающийся поиском покупателей и работой с ними. Указания службы сбыта предприятия являются обязательными для коммивояжера. Объем полномочий, в котором он имеет право представлять предприятие, может регулироваться по разному. Чаще всего задача коммивояжера состоит в налаживании контактов и получении заказов покупателей.

Торговый представитель - это юридически самостоятельное лицо, заключающее договоры и ведущее бизнес для одного или нескольких предприятий.

Способы стимулирования сбыта:

Кредитование - форма передачи прав собственности на продукцию с отсрочкой платежа;

. Платежи по открытому счету означают, что потребитель может получать продукцию и счета на оплату, например, ежедневно, а оплачивать данные счета раз в месяц. Это позволяет сократить расходы на банковские услуги в случае, если банки взимают сборы за отдельные услуги, а не ежеквартально. За каждый платежный документ (т.е. за количество проводок, а не за сумму платежа) взимается определенная сумма. Тем самым банки побуждают клиентов сокращать количество платежей, чтобы было удобнее распределять загрузку персонала, компьютерной техники. Применяется для постоянных покупателей, размещающих многочисленные мелкие заказы;

Рассрочка. Применяется, как правило, при оплате крупных заказов;

Возврат нереализованной продукции (обратные закупки) - поставщики (дистрибьютерские склады) принимают от дилеров возврат нереализованной продукции, если эта продукция морально не устарела и не утратила качества. Зачет принятой продукции производится по тем ценам, по которым она была куплена, за вычетом специальной скидки в размере около 10%. Транспортировка, как правило, осуществляется за счет покупателей.

Показатели сбыта

·        Товарооборачиваемость характеризуется двумя параметрами, присущими запасам товаров: время обращения продукции - продолжительность периода (в днях), в течение которого продукция находится в сфере обращения (или на отдельном торговом предприятии);

·        Скорость товарооборота - число оборотов товаров в течение определенного периода.

·        Скорость товарооборота показывает сколько раз запасы товаров были проданы и возобновлены в торговом предприятии.

·        Оборачиваемость оборотных средств - возврат оборотных средств, авансированных для создания продукции и чистого дохода измеряется временем, в течение которого совершается кругооборот средств.

·        Коэффициент оборачиваемости оборотных средств исчисляется отношением стоимости реализованной продукции к среднему остатку оборотных средств; выражает число оборотов оборотных средств за рассматриваемый период.

·        Коэффициет закрепления оборотных средств определяется отношением среднего остатка оборотных средств к стоимости реализованной продукции; характеризует сумму оборотных средств, приходящихся на одну денежную единицу реализованной продукции.

·        Индекс затратоемкости товарооборота, отражает динамику среднего уровня затрат обращения в зависимости от изменения состава товарооборота по ряду признаков:

1.       виду продукции;

2.       виду оборотов (складского и транзитного в оптовой торговле);

3.       торговым системам.

·        Индекс затратоемкости товарооборота исчисляется как отношение двух сумм затрат, рассчитанных на одинаковые по обьему, но разные по структуре суммы товарооборота при равных груповых уровнях затрат обращения (обычно базисного периода).

·        Индекс трудоемкости товарооборота характеризует изменение трудоемкости реализации продукции в связи со структурными сдвигами в товарообороте.

·        Индекс физического объема розничного товарооборота отражает динамику товарооборота в сопоставимых ценах. Индекс физического объема розничного товарооборота исчисляется по каждой отдельной группе продукции, по продовольственной и не продовольственной продукции, по всем видам продукции вместе.

·        Коэффициент реализации - доля реализованной продукции в ее общем объеме, складывающемся из объема ее производства (поступления) и объема запасов продукции на начало года.

·        Коэффициент использования площади магазина определяется как отношение площади торгового зала к общей площади магазина.

·        Показатель рациональности расстановки оборудования (эффективности использования торговой площади) равен отношению площади, занятой торговым оборудованием, к общей площади торгового зала магазина.

1.2 Виды запасов


Различают запасы производственные (запасы в организациях- производителях) и товарные (запасы готовой продукции на складе предприятия-изготовителя, запасы в каналах сферы обращения, запасы в пути, запасы на предприятиях торговли). Запасы в каналах сферы обращения - это товары на пути следования от производителя к потребителю и хранящиеся на складах готовой продукции предприятий-изготовителей, на складах предприятий оптовой, мелкооптовой, и розничной торговли, на складах заготовительных организаций, а также товары, размещенные в транспортных емкостях (товары в пути).

Запасы в пути средств производства - это запасы продукции производственно-технического назначения, находящиеся на момент учета в процессе транспортировки, территориального перемещения от производителей к потребителям или на предприятия оптовой и мелкооптовой торговли (транспортные запасы). Гарантийные запасы средств производства представлены продукцией производственно-технического назначения определенного ассортимента и установленного объема. Они предназначены для обеспечения предприятий-потребителей с гарантированным комплексным снабжением. Неликвидные запасы средств производства и торговли - это длительно неиспользуемые (нереализуемые) производственные или сбытовые запасы. Такие запасы образуются вследствие низкого качества товаров или утраты ими потребительных свойств, а также морального и физического износа.

Переходящие запасы представляют собой остатки материальных ресурсов на конец отчетного периода (обычно года). Их назначение - обеспечение производства или торговли на период до очередной поставки ресурсов в плановом периоде. Подготовительные запасы создаются в связи с необходимостью предварительной подготовки материального ресурса к потреблению (оформление приемки или отпуска, погрузки и разгрузки, комплектование, предварительный раскрой, сортировка и т.д.).

Производственные запасы представлены суммой запасов подготовительных, страховых и текущих. Они предназначены для потребления в производственном процессе и находятся на предприятиях- потребителях всех отраслей материального производства. Их учет и планирование осуществляются в натуральных (физических), условно - натуральных, временных и денежных измерителях. Производственные запасы подлежат нормированию. Остатки запасов, превышающие установленные нормативы, относятся к сверхнормативным (излишним). Причинами образования таких запасов могут быть: необоснованное (ошибочное) завышение потребности в материальных ресурсах, недовыполнение производственной программы, неравномерное поступление материальных ресурсов от поставщика, завышение норм расхода материалов на изделие, выпуск некачественной продукции и др. Основную часть производственных запасов представляют текущие запасы. Их основное назначение- обеспечение производственного процесса между двумя очередными поступлениями материальных ресурсов на предприятие-потребитель. Их размер регламентируется и контролируется. Текущий запас дополняется страховым запасом, который формируется с целью непрерывного снабжения производства в случаях непредвиденных обстоятельств: отклонений в периодичности поставок и в размерах поставок; недовыполнения производственной программы поставщиком ресурсов; перевыполнения программы производства предприятием-потребителем; возможных задержек транспортных средств в пути при доставке от поставщиков и т.д. Размер страховых запасов также регламентируется.

Специальную функцию выполняют так называемые сезонные запасы. Они образуются при сезонном характере производства или сезонном режиме потребления, а также при сезонном способе транспортировки (районы крайнего Севера). Их назначение-обеспечение нормальной работы предприятий и бесперебойности производственного потребления на время сезонных осложнений с поставками ресурсов. Так как длительность производства материальных ценностей в десятки раз меньше времени их реализации, то, следовательно, в каналах распределения и сфере торговли может накапливаться товарной продукции значительно больше, чем в этом нуждается экономика, и в таком случае наступает момент относительного перепроизводства. Одна из важнейших задач логистики товародвижения и запасов состоит в том, чтобы время между окончанием производства изделия и его конечным потреблением было максимально сокращено за счет рационализации перевозок и оптимизации производственных и товарных запасов. Создание запасов сопровождается значительными расходами денежных и материальных средств. Основные виды затрат, связанных с созданием и содержанием запасов:

·        Замороженные в запасах финансовые средства;

·        Расходы на содержание специально оборудованных помещений;

·        Оплата труда специального персонала;

·        Затраты от порчи и хищений.

1.3 Товарные запасы и проблемы товароснабжения

Процесс потребления (реализации или сбыта) товарных запасов, или готовой продукции предприятий-производителей, зависит от спроса, который следует рассматривать в качестве категории товарного производства.

Спрос определяет объем и структуру товарного предложения. Товарный запас - это наличие определенных продуктов определенного объема к моменту потребления. Потребление - использование продукта в процессе удовлетворения различных потребностей. С точки зрения потребления продукт потреблен только тогда, когда он использован.

В логистике товарных запасов используются различные термины и понятия. Единица упаковки - количество товара, содержащегося в обычной упаковке поставщика. Единица покупки - наименьшее количество товаров, которое можно купить у поставщика. Единица накладной - количество товаров, отпускаемых по оптовым ценам, в накладной поставщика

Товарный запас подвижен; его уровень постоянно меняется. Он возрастает за счет поступлений (доставки поставщиков, возвращения излишков и т.п.) и уменьшается за счет отпуска товаров.

Управлять товарным запасом - это значит всегда быть в состоянии удовлетворить требования клиентов, потребителей хранящихся товаров. Категории товаров в запасе:

·        Товары текущего потребления; спрос на них относительно регулярен и постоянен, даже если спрос носит сезонный характер;

·        Страховые запасы товаров; предназначены для удовлетворения потребности в различных экстремальных ситуациях; такие запасы наилучшим образом обеспечивают непрерывность процесса потребления;

·        Транзитные товары; поставляются в целях выполнения единовременных заранее спланированных работ;

·        Технически устаревшие или вышедшие из моды товары;

·        Отходы, остающиеся после производства, потребления или разрушения.

Для управления запасами необходимо в первую очередь определить размер вероятной потребности в каждом товаре. Задача эта не из легких. Здесь следует учитывать постоянно совершенствующееся производство, требования потребителей к ассортименту и качеству товарной продукции и т.п.

Основное назначение товарного запаса - предотвращение дефицита. Запасы могут создаваться также и в спекулятивных целях. Товарный запас позволяет обеспечить регулярное потребление товара, даже если его производство нерегулярно. Так обстоит дело со многими продуктами сельского хозяйства и некоторыми другими. Товарный запас в данном случае выступает в качестве регулятора цен. Запас создается так же для того чтобы нейтрализовать перебои в поставках.

Формирование и хранение товарных запасов сопровождается расходами двух типов: расходы на оформление заказа, связанные с образованием и обновлением товарного запаса и увеличивающие оптовую цену товаров, и расходы на содержание товарного запаса, увеличивающие цену товаров при реализации со склада.

Расходы на содержание товарного запаса включают затраты на складирование. Издержки складирования образуются из следующих элементов:

·        расходов на функционирование склада - заработной платы с отчислениями, затрат на освещение, отопление, погрузочно-разгрузочные работы, содержание помещений, оборудование и механизмов;

·        амортизации или аренды помещений;

·        амортизации оборудования и механизмов склада;

·        потери от порчи, испарения, разрушения грызунами, потерь при хищениях;

·        стоимости транспортировки между складами;

·        издержек, связанных с моральным износом.

В зависимости от предприятия расходы складирования достигают обычно от 5 и до 20% стоимости товарных запасов. В целом расходы на содержание товарного запаса варьируют от 15 до 35% этой величины. Следует отметить, что эти расходы исчисляются от средней стоимости товарных запасов. [5]

1.4 Системы управления запасами на фирмах


В условиях обострившейся конкуренции среди мер, с помощью которых можно обеспечить рационализацию производства и усовершенствовать его технологию, следует выделить снижение времени на прохождение изделий и запасов в цехах и на складах. Применяемые сегодня для этого системы управления производством всегда удовлетворяют требованиям рынка. К их основным недостаткам следует отнести:

·        слишком большие отклонения сметного планирования от реального положения дел, несмотря на значительные затраты на электронную обработку данных и систему в целом;

·        отсутствие возможностей эффективно влиять на производительность, сроки прохождения цикла и необходимый уровень запасов;

·        недостаточная свобода действий планирующих структур и связанных с планированием сотрудников.

Как показывает зарубежный опыт, в промышленно развитых странах эффективное время обработки детали составляет максимально 20% от времени прохождения цикла. Это свидетельствует о весьма длительном нахождении детали в производстве в полуготовом виде и приводит к созданию больших запасов, а соответственно и росту затрат на них. Исследования, проводимые в ряде западных стран, дают основания утверждать, что ожидаемая прибыль от каждого процента сокращения уровня запасов может быть приравнена к 10-процентному росту оборота.

В настоящее время значительно возросли требования рынка к параметрам изделий, и, прежде всего к их качеству. Произошло это вследствие преобладания предложения над спросом, наличии избыточных производственных мощностей и т.д. Отсюда следует, что успеха в конкурентной борьбе может достигнуть тот, кто наиболее рациональным образом построил свое производство, так что его экономические показатели находятся на оптимальном уровне. Эта цель достигается, кроме прочих мер, путем:

а)       снижения затрат, связанных с созданием и хранением запасов;

б)      сокращения времени поставок;

в)      более четкого соблюдения сроков поставки;

г)       увеличения гибкости производства, его приспособленности к условиям рынка;

д)      повышения качества изделий;

е)       увеличения производительности.

В последние годы произошло заметное усовершенствование методов производства, что позволило снизить производственные расходы. Дальнейшая экономия средств, как уже отмечалось выше, может быть достигнута, если будут реализованы резервы, заложенные в рационализации обеспечивающих процессов. Прежде всего, это относится к оптимизации запасов. Решения, принимаемые руководством фирм в этой области, в конечном счете касаются каждого отдельного вида товара или предмета хранения, конкретная единица которых, подлежащая контролю, называется "единицей учета запасов" (е.у.з.).

Изучение реально действующих систем управления запасами, состоящих из многих е.у.з., показало, что существует статистическая закономерность, определяющая размеры потребности в видах товаров, представленных в запасах. Типично положение, когда на примерно 20% е.у.з. приходится 80% объема спроса в денежном выражении. При этом для запасов товаров широкого потребления характерна меньшая концентрация е.у.з. высокой стоимости, чем для запасов товаров промышленного назначения. Отсюда следуете что все е.у.з., составляющие запасы фирмы, не должны контролироваться на одном уровне.

Логистический подход к управлению товарно-материальными запасами предусматривает отказ от функционально ориентированной концепции в этой области, так как она имеет следующие недостатки:

·        проблемы, возникающие в создании и хранении запасов, часто решаются по принципу поиска виновного в другой структуре, вместо выявления их истинных причин;

·        любое функциональное звено каждой организационной структуры разрабатывает свою собственную политику запасов, что не всегда согласовывается на более высоком уровне;

·        производство, как правило, обеспечивается излишками товарно- материальных запасов.

Следовательно, проблема запасов не может быть решена, если отдельные функции организованной структуры будут развиваться не комплексно. Требование оптимизации запасов привело к необходимости разработать единую концепцию ответственности за товарно-материальные запасы.

С развитием логистики в фирмах началась перестройка управления материальными запасами, стала налаживаться их тесная координация с общим материальным потоком фирм. В соответствии с целями этой перестройки были созданы отделы материальных потоков, не зависящие от сектора складов производственного отдела предприятия. Среди экстренных задач, поставленных перед вновь созданными отделами, следует выделить "сведение до нуля погрешностей в складировании" и "передачу данных о состоянии складских запасов в масштабе реального времени".

Принятые меры дали положительные результаты, - произошло повышение эффективности транспортировки товаров и погрузочно-разгрузочных работ. Однако, по мере рационализации материальных потоков, на первый план выдвинулась проблема управления складскими запасами.

Учитывая потенциальное значение запасов, исследование логистической системы должно включить проблему управления запасами, которая конкретизируется в следующих вопросах:

.        Какой уровень запасов необходимо иметь на каждом предприятии для обеспечения требуемого уровня обслуживания потребителя?

.        В чем состоит компромисс между уровнем обслуживания потребителя и уровнем запасов в системе логистики?

.        Какие объемы запасов должны быть созданы на каждой стадии логистического и производственного процесса?

.        Должны ли товары отгружаться непосредственно с предприятия?

.        Каково значение компромисса между выбранным способом транспортировки и запасами?

.        Какие общие уровни запасов на данном предприятии, связанные со специфическим уровнем обслуживания?

.        Как меняются затраты на содержание запасов в зависимости от изменения числа складов?

.        Как и где следует размещать страховые запасы?

Интересным вариантом решения проблем складирования является "производство без складов", внедрение которого невозможно без кардинальных изменений во всем комплексе процессов, обеспечивающих производство, да и в нем самом, и требует, значительны" финансовых затрат. При этом, как выяснилось, необходимо было решить несколько задач, среди которых, прежде всего, выделим задачу создания высокоточной информационной системы по складированию, позволяющей использовать банк данных в реальном масштабе времени. При использовании данной системы продукция выпускается лишь в объеме, обеспечивающем сбыт. Исходное сырье и материалы закупаются только в размерах, необходимых для удовлетворения спроса. В обратной форме эту систему можно свести к формуле: "производится только необходимая продукция, только тогда, когда это требуется, и только в требуемом объеме".

Ранее, когда производство работало на стабильный рынок, они могло существовать без учета этих факторов. В условиях же постоянного снижения стабильности рынка и активного отслеживания спроса дорогостоящие резервные запасы вытесняются системой информации и надлежащей организацией управления, дающими большой эффект. В связи с этим логистика снабжения не может абстрагироваться оттого, что происходит на конечных стадиях. Причем ключевым фактором является знание положения на рынке и условий доступа на него.

Последние новшества в сфере производства: дифференциация продукции на возможно более поздней стадии производства (на базе максимально однотипных комплектующих); использование выгод массового производства не на стадии сборки, а на стадии изготовления комплектующих изделий; стремление к максимальному удовлетворению потребностей клиента на этапе выбора товара для производства. Все это требует гибкости производства на цеховом уровне, достигаемой как за счет расширения возможностей по переналадке оборудования, так и благодаря применению новых методов управления запасами - "Канбан" и "Точно в срок".

Смысл системы "Канбан" состоит в том, чтобы начальные запасы по своему количеству соответствовали потребностям начальной стадии производственного процесса, а не накапливались, как прежде. На предприятиях фирмы "Тойота" решений данной проблемы сводилось к минимуму использования сравнительно небольших партий материалов и комплектующих и времени операций. Масштабы межоперационного складирования сокращаются вследствие синхронизации операций и нивелировки, перерабатываемых на каждом этапе объемов предметов труда. Что касается складирования готовой продукции, то его объемы снижаются путем сокращения срока продолжительности каждой операции, и, прежде всего срока замены инструмента.

Одним из методов сокращения запасов, повышения гибкости производства и возможности противостояния возрастающей конкуренции стал метод "Точно в срок", получивший наибольшее распространение в США и странах Западной Европы. В данном же контексте следует выделить и охарактеризовать принципиальную идею метода, которая базируется на трех предпосылках (их правильность была многократно подтверждена эмпирическим путем).

Во-первых, предполагается, что заявкам потребителей готовой продукции должны соответствовать не ее предварительно накопленные запасы, а производственные мощности, готовые перерабатывать сырье и материалы, поступающие почти еще с колес". Вследствие этого объем производственных запасов, квалифицируемый как замороженные мощности, минимизируется. Во-вторых, в условиях минимальных запасов необходима непрерывная рационализация в организации и управлении производством, ибо высокий объем запасов нивелирует, в известном смысле маскирует ошибки и недостатки в этой области, узкие места производства, не синхронизированные операции, неиспользуемые производственные мощности, ненадежную работу поставщиков и посредников. В-третьих, для оценки эффективности производственного процесса, Помимо уровня затрат и производительности фондов, следует учитывать срок реализации заявки, так называемую длительность полного производственного цикла. Короткие сроки реализации заявок облегчают управление предприятием и способствуют росту конкурентоспособности благодаря возможности оперативного и гибкого реагирования на изменения внешних условий.

В противоположность традиционным методам управления, в соответствии, с которыми центральное звено планирования производства выдает производственные задания всем отделам и промышленным подразделениям, при методе "Точно в срок" централизованное планирование касается только последнего звена логистической цепи, т. е. склада готовой продукции. Вес другие производственные и снабженческие единицы получают распоряжения непосредственно от очередного, находящегося ближе к концу звена логистической цепи. К примеру, склад готовых изделий дал заявку (что равнозначно выдаче производственного задания) на определенное число изделий в монтажный цех, монтажный цех отдает распоряжение об изготовлении подузлов цехами обработки и отделу кооперирования т. д.

Практика показывает, что для эффективного внедрения стратегии "Точно в срок" необходимо изменение способа мышления целого коллектива, занимающегося вопросами производства и сбыта. Традиционный стереотип мышления типа "чем больше, лучше" должен быть заменен схемой "чем меньше, тем лучше", если речь идет об уровне запасов, использовании производственных мощностей, предположительности производственного цикла или о величине партии продукции.

Результаты подробного анализа, проведенного по внедрению концепции "Точно в срок" на западноевропейских предприятиях, являются многообещающими. Усредненные данные, полученные более чем на 100 обследованных объектах (отдельные проекты функционируют на фирмах непрерывно от 2 до 5 лет), таковы:

·        запасы незавершенного производства сократились более чем на 80%;

·        запасы готовой продукции сократились примерно на 33%;

·        объем непроизводственных запасов (материалов и кооперированных деталей) колебался от 4 часов до 2 дней по сравнению с 5-15 днями до внедрения метода "Точно в срок";

·        продолжительность производственного цикла (срок реализации заданий всей логистической цепи) снизилась примерно на 40%;

·        производственные издержки снизились на 10-20%;

·        значительно повысилась гибкость производства.

Затраты, связанные с подготовкой и внедрением стратегии "Точно в срок", относительно невелики и окупались, как правило, уже через несколько месяцев функционирования систем. Использование стратегии "Точно в срок" дает и другие выгоды, в том числе неэкономического характера.

Один из вариантов снижения риска при хранении запасов - использование технологий, основанных на системах гибкого производства, на его роботизации. В данном случае преимуществом является сокращение времени и затрат на подготовительные операции, Это делает экономически выгодным изготовление изделий небольшими партиями, что особенно важно в условиях жесткой конкуренции и постоянных изменений требований рынка. Особенно важно подчеркнуть, что одновременно существенно снижается и риск морального устранения запасов. [8]

1.5 Сравнение логистических систем организации управления запасами готовой продукции

 

.5.1 Система "тянущего типа"

Управление запасами готовой продукции. Эти запасы практически отсутствуют из-за быстрой отправки готовой продукции заказчику: излишних запасов готовой продукции не бывает, т.к. размер партии готовых изделий сориентирован на размер заказа.

 

.5.2 Система "толкающего типа"

Управление запасами готовой продукции. Эти запасы могут существовать по ряду причин:

Несвоевременности изготовления готовой продукции;

Из-за неплатежеспособности заказчиков;

Несвоевременности отправки готовой продукции заказчику;

Из-за того, что размер партии готовых изделий сориентирован на годовую программу без учета ежемесячных колебаний спроса и т.д.

1.6 Основные системы управления запасами готовой продукции


Логистическая система управления запасами проектируется с целью непрерывного обеспечения потребителя каким-либо видом материального ресурса. Реализация этой цели достигается решением следующих задач:

·        учет текущего уровня запаса на складах различных уровней;

·        определение размера гарантийного (страхового) запаса;

·        расчет размера заказа;

·        определение интервала времени между заказами.

Для ситуации, когда отсутствуют отклонения от запланированных показателей и запасы потребляются равномерно, в теории управления запасами разработаны две основные системы управления, которые решают поставленные задачи, соответствуя цели непрерывного обеспечения потребителя материальными ресурсами. Такими системами являются:

·        Система управления запасами с фиксированным размером заказа;

·        Система управления запасами с фиксированным интервалом времени между заказами.

 

.6.1 Система с фиксированным размером заказа

Система управления запасами с фиксированным размером заказа ориентирована на ситуацию, когда затраты на учет запасов и издержки на оформление заказа настолько значительны, что становятся соизмеримы с потерями от дефицита запасов.

Как и в системе с фиксированным интервалом времени между заказами, здесь используется постоянный интервал времени между заказами. Но в данной системе заказы производятся не через каждый заданный интервал времени, а только при условии, что запасы на складе в этот момент оказались равными или меньше установленного минимального уровня.

В случае выдачи заказа его размер рассчитывается так, чтобы поставка пополнила запасы до максимально желательного уровня. Таким образом, данная система работает лишь с двумя уровнями запасов - минимальным и максимальным.

Исходные данные для расчета параметров системы таковы: потребность в заказываемом продукте (физ. ед.), интервал времени между заказами (дни), время поставки (дни), возможная задержка поставки (дни).

Пороговый уровень запаса в системе с фиксированным размера заказа играет роль минимального уровня. Если в установленный момент времени этот уровень пройден, т.е. наличный запас равен пороговому уровню, или не достигает его, то заказ оформляется. В противном случае заказ не выдается, и отслеживание порогового уровня, а также выдача заказа будут произведены только через определенный интервал времени.

Максимальный желательный запас в данной системе играет роль максимального уровня. Его размер учитывается при определении размера заказа. Он косвенно (через интервал времени между заказами) связан с наиболее рациональной загрузкой площадей склада при учете возможных сбоев поставки и необходимости бесперебойного снабжения потребления.

1.6.2 Система с фиксированным интервалом времени между заказами

Система с фиксированным интервалом времени между заказами функционирует при условии, что заказы на поставку ресурса выполняются в строго определенные моменты времени (например, два раза в месяц 15-го и 30-го числа, или 20-го числа каждого месяца). Расчетные параметры системы:

·        Потребность в ресурсе определена в физических или денежных единицах.

·        Определен интервал времени между заказами. В данном случае рассматриваются две оптимальные величины: оптимальный размер поставки (Р опт) и оптимальный интервал времени между поставками (Т опт). В системе следует предполагать равенство интервала времени между заказами и интервала времени между поставками.

·        Интервал времени между заказами (365*Р опт/К),

·        где К-годовая потребность в ресурсе.

·        Пороговое значение остатка ресурса.

·        Среднесуточное потребление ресурса - Сп= К/365.

·        Ожидаемое потребление за время поставки - Топт * Сп.

·        Размер заказа в системе (Рз) может быть определен с учетом фактического остатка ресурса, т.е.

·        Рз≤(Змах-0+Сп*Топт) ≤Змах (1)

1.6.3 Сравнение основных систем управления запасами.

Предположим идеальную, сугубо теоретическую ситуацию, в которой исполнение заказа происходит мгновенно (другими словами, время поставки равно нулю). Тогда заказ можно производить в момент, когда запасы материальных ресурсов на складе равны нулю. При постоянной скорости потреблении обе рассмотренные системы управления запасами (с фиксированным размером заказа и с фиксированным интервалом времени между заказами) становятся одинаковыми, так как заказы будут производиться через равные интервалы времени, а размеры заказов всегда будут равны друг другу. Гарантийные запасы каждой из двух систем сведутся к нулю.

Сравнение рассмотренных систем управления запасами приводит к выводу о наличии у них взаимных недостатков и преимуществ. Система с фиксированным размером заказа требует непрерывного учета текущего запаса на складе. Напротив, система с фиксированным интервалом времени между заказами требует лишь периодического контроля количества запаса. Необходимость постоянного учета запаса в системе с фиксированным размером заказа можно рассматривать как основной ее недостаток. Напротив, отсутствие постоянного контроля за текущим запасом в системе с фиксированным интервалом времени между заказами является ее основным преимуществом перед первой системой.

Следствием преимущества системы с фиксированным интервалом времени между заказами является то, что в системе с фиксированным размером заказа максимальный желательный запас всегда имеет меньший размер, чем в первой системе. Это приводит к экономии на затратах по содержанию запасов на складе за счет сокращения площадей, занимаемых запасами, что, в свою очередь, оставляет преимущество системы с фиксированным размером заказа перед системой с фиксированным интервалом времени между заказами.

Сравнение основных систем управления запасами приведено ниже в таблице. 1.

Использование той или иной системы управления запасами зависит от следующих обстоятельств:

Если издержки управления запасами значительнее и их можно вычислить, то следует применять систему с фиксированным размером заказа.

Если издержки управления запасами незначительные, то более предпочтительной оказывается система с постоянным уровнем запасов.

При заказе товаров поставщик налагает ограничения на минимальный размер партии. В этом случае желательно использовать систему с фиксированным размером заказа, поскольку легче один раз скорректировать фиксированный размер партии, чем непрерывно регулировать его переменный заказ.

Однако, если налагаются ограничения, связанные с грузоподъемностью транспортных средств, то более предпочтительной является система с постоянным уровнем запасов.

Система с постоянным уровнем запасов более предпочтительна и в том случае, когда поставка товаров происходит в установленные сроки.

Система управления запасами с фиксированным размером заказа часто выбирается тогда, когда необходимо быстро реагировать на изменение сбыта.

Таблица 1 Основные системы управления запасами

Система

Преимущества

Недостатки

С фиксированным размером заказа

Меньший уровень максимального желательного запаса. Экономия затрат на содержание запасов на складе за счет сокращения площадей под запасы

Введение постоянного контроля за наличием запасов на складе.

С фиксированным интервалом времени между заказами

Отсутствие постоянного контроля за наличием запасов на складе.

Высокий уровень максимального желательного запаса. Повышение затрат на содержание запасов на складе за счет увеличения площадей под запасы.


Разобранные выше основные системы управления запасами базируются на фиксации одного из двух возможных параметров - размера заказа или интервала времени между заказами. В условиях отсутствия отклонений от запланированных показателей и равномерного потребления запасов, для которых разработаны основные системы, такой подход является вполне достаточным. Однако на практике чаще встречаются иные, более сложные ситуации. В частности, при значительных колебаниях спроса основные системы управления запасами не в состоянии обеспечить бесперебойное снабжение потребителя без значительного завышения объема запасов. При наличии систематических сбоев в постановке и потреблении основные системы управления запасами становятся неэффективными. Для таких случаев проектируются иные системы управления запасами, которые и названы прочими.

Каждая из основных систем имеет определенный порядок действий. Так, в системе с фиксированным размером заказа, заказ производится в момент достижения порогового уровня запаса, величина которого определяется с учетом времени и возможной задержки поставки. В системе с фиксированным интервалом времени между заказами размер заказа определяется исходя из наличных объемов запаса и ожидаемого потребления за время поставки.

Различное сочетание звеньев основных систем управления запасами, а также добавление принципиально новых идей в алгоритм работы системы приводит к возможности формирования по сути дела огромного числа систем управления запасами, отвечающими самым разнообразным требованиям. Наиболее распространенные прочие системы, это:

Система с установленной периодичностью пополнения запасов до постоянного уровня.

Система "Минимум-максимум".

1.6.4 Система с установленной периодичностью пополнения запасов до установленного уровня

В данной системе, как и в системе с фиксированным интервалом времени между заказами, входным параметром является период времени между заказами. В отличие от основной системы, она ориентирована на работу при значительных колебаниях потребления. Чтобы предотвратить завышение объемов запасов, содержащихся на складе, или их дефицит, заказы производятся не только в установленные моменты времени, но и при достижении запасом порогового уровня. Таким образом, рассматриваемая система включает в себя элемент системы с фиксированным интервалом времени между заказами (установленную периодичность оформления заказа) и элемент системы с фиксированным размером заказа (отслеживание порогового уровня запасов).

Гарантийный (страховой) запас позволяет обеспечивать потребителя в случае предполагаемой задержки поставки. Под возможной задержкой поставки, как уже отмечалось выше, подразумеваете" максимально возможная задержка. Восполнение гарантийного запаса производится во время последующих поставок через пересчет размера заказа таким образом, чтобы его поставка увеличила запас до максимального желательного уровня. Гарантийный запас не оказывает непосредственного воздействия на функционирование системы в целом. Из системы управления запасами с фиксированным размером заказа рассматриваемая система заимствовала параметр порогового уровня запаса. Пороговый уровень запаса определяет уровень запаса при достижении, которого производится очередной заказ. Величина порогового уровня рассчитывается исходя из значения ожидаемого дневного потребления таким образом, что поступление заказа происходит в момент снижения текущего запаса до гарантийного уровня. Таким образом, отличительной особенностью системы является то, что заказы делятся на две категории. Плановые заказы производятся через заданные интервалы времени. Возможны дополнительные заказы, если наличие запасов на складе доходит до порогового уровня. Очевидно, что необходимость дополнительных заказов может появиться только при отклонении темпов потребления от запланированных. Максимальный желательный запас представляет собой тот постоянный уровень, пополнение до которого считается целесообразным. Этот уровень запаса косвенно (через интервал времени между заказами) связан с наиболее рациональной загрузкой площадей склада при учете возможных сбоев поставки и необходимости бесперебойного снабжения потребления. Постоянно рассчитываемым параметром системы управления запасами с установленной периодичностью пополнения запасов до постоянного уровня является размер заказа. Как и в системе с фиксированными интервалом времени между заказами, его вычисление основывается на прогнозируемом уровне потребления до момента поступления заказа на склад организации. Расчет размера заказа в рассматриваемой системе производится по формуле 2 (в момент достижения порогового уровни):

РЗ = МЖЗ - ПУ + ОП, (2)

Где РЗ - размер заказа, шт.,

МЖЗ - максимальный желательный заказ, шт.,

ПУ - пороговый уровень запаса, шт.,

ОП - ожидаемое потребление до момента поставки, шт. Как видно из формулы, размер заказа рассчитывается таким образом, что при условии точного соответствия фактического потребления (до момента поставки) прогнозируемому поставка пополняет запас на складе до максимального желательного уровня.

Система управления запасами с установленной периодичностью пополнения запасов до постоянного уровня может управляться тремя факторами:

·        Установленная периодичность пополнения запасов;

·        Постоянный уровень пополнения запасов

·        Пороговый уровень запасов; этот фактор действует в тех случаях, когда нарушаются условия поставки, т.е. это своеобразный ориентир для срочного оформления заказа.

·        Учет различных факторов в этой системе управления запасами - задача довольно сложная и нуждается в подробном анализе.

 

.6.5 Система "Минимум-максимум"

Эта система, как и система с установленной периодичностью пополнения запасов до постоянного уровня, содержит в себе элементы основных систем управления запасами. Как и в системе с фиксированным интервалом времени между заказами, здесь используется постоянный интервал времени между заказами. Система управления запасами "Минимум-максимум" имеет принципиальное отличие от рассмотренных ранее систем тем обстоятельством, что она ориентирована на ситуацию со значительными затратами на содержание запасов и их пополнение. В этой системе затраты, связанные с управлением запасами, могут быть соизмеримы с потерями от дефицита запасов. В данной системе заказы выполняются при условии, что запасы на складе в определенный момент времени оказались равными или меньше установленного минимального уровня. Размер заказа рассчитывается таким образом, чтобы поставка пополнила запасы до максимального уровня. Таким образом, управление запасами в рассматриваемой системе осуществляется по двум их уровням: минимальном и максимальном, что и стало основой ее названия.

Гарантийный (страховой) запас позволяет обеспечивать потребителя в случае предполагаемой задержки поставки. Как и система с установленной периодичностью пополнения запасов до постоянного уровня, гарантийный запас используется для расчета порогового уровня запаса.

Пороговый уровень запаса в системе "Минимум-максимум" выполняет роль "минимального" уровня. Если в установленный момент времени этот уровень пройден, т.е. наличный запас равен пороговому уровню, или не достигает его, то заказ оформляется. В противном случае заказ не выдается, и отслеживание порогового уровня, а также выдача заказа будут произведены только через заданный интервал времени.

Максимальный желательный запас в системе "Минимум-максимум" выполняет роль "максимального" уровня. Его размер учитывается при определении размера заказа. Он косвенно (через интервал времени между заказами) связан с наиболее рациональной загрузкой площадей склада при учете возможных сбоев поставки и необходимости бесперебойного снабжения потребления.

Постоянно рассчитываемым параметром системы "Минимум- максимум" является размер заказа. Как и в предыдущих системах управления, запасами, его вычисление основывается на прогнозируемом уровне потребления до момента поступления заказа на склад организации.

Необходимые параметры управления запасами в системе "Минимум - максимум":

·        Определена потребность в материальном ресурсе и среднесуточный расход.

·        Установлены: минимальный и максимальный запасы; время реализации заказа и возможная задержка поставки.

·        Гарантированный запас представлен суммой подготовительного и страхового запасов.

·        Минимальный уровень запаса представляет собой разность максимального и гарантированного запасов.

·        Вопросы совершенствования системы управления запасами готовой продукции рассмотрены в данной дипломной работе для ОАО "СПб КПК".

Глава 2. Характеристика открытого акционерного общества "Санкт-Петербургский картонно - полиграфический комбинат" и анализ его производственно-хозяйственной деятельности

 

.1 Краткая характеристика деятельности ОАО "СПБ КПК"


Открытое акционерное общество "Санкт-Петербургский картонно- полиграфический комбинат" - крупнейшее в России предприятие по производству коробочного картона из макулатуры. Предприятие введено в эксплуатацию в 1982 году. Основными собственниками акций предприятия являются: АО "Промышленно-Строительный Банк", СП "Илим Палп Энтерпрайз" и фирма "Кнауф Инжиниринг" (Германия).

Производственная мощность картонного производства составляет 200000 тонн картона в год. Установлены 2 картоноделательные машины шириной 4200 мм каждая, одна меловальная установка, имеется свое полиграфическое производство, способное перерабатывать до 50 тыс. тонн картона в год, в заготовки коробок и пачек с многокрасочной печатью.

Основным сырьем для выработки картона являются макулатура (80-85 %) и беленая сульфатная целлюлоза (15-20 %). При производстве картона ежегодно сохраняется от выработки 7,5 тыс. га леса.

На предприятии действует замкнутый цикл водоснабжения, вместо свежей воды используется сточная вода соседнего предприятия. Современная схема очистки промышленных стоков позволяет до 50 % очищенных вод возвращать на производство картона, из осадков сточных вод изготавливаются волокнистые плиты для внутренней отделки помещений.

Вырабатываемый картон используется для изготовления потребительской тары для упаковки пищевых продуктов, моющих средств, обуви, парфюмерно-косметических изделий, медицинских препаратов, детских игрушек, галантерейных и хозяйственных изделий. Кроме того, освоено производство картона-основы для игральных карт, сигаретного, для спичечных коробков, облицовочного, переплетного, и картона для плоских слоев гофрированного картона.

По заказам потребителей картон изготавливается в рулонах (шириной свыше 60 см), в листах, в бобинах (ширина рулона менее 60 см), в коробках и пачках с многокрасочной печатью до пяти красок (покрытых лаком, полиэтиленом - по желанию заказчика) со склейкой или без склейки бокового шва.

 

.2 Состав комбината


В состав комбината входят:

Картонное производство со складом макулатуры и целлюлозы; заводом макулатурной массы в составе отделения роспуска полуфабрикатов, цеха подготовки макулатурной массы и химического цеха для приготовления химикатов и меловальной пасты; картоноделательного цеха в составе 2-х картоноделательных машин мощностью по 100 тыс. тонн картона в год, меловальной установки, отделения резки и упаковки картона и отделения резки малоформатных рулонов, листового картона и склеенного картона. Полиграфическое производство с цехами офсетной и глубокой печати, участком высечки и фальце склейки, и цехом товаров народного потребления.

Цех товаров народного потребления, где большую часть вырабатываемой продукции составляют скоросшиватели, папки для бумаг, картонные тарелки одноразового использования.

Котельный цех, в составе котельной, которая снабжает тепло энергией город Коммунар и ближайшие промышленные предприятия.

Цех водоснабжения и биологической очистки промышленных стоков.

Ремонтные цеха в составе ремонтно-механического цеха, электронного цеха, ремонтно-строительного цеха и цеха КИПиА.

Автотранспортный цех и цех внутризаводских перевозок.

Комбинат имеет столовую, санаторий-профилакторий на 58 мест, в котором оздоравливаются ежегодно до 700 работников предприятия и членов их семей.

С целью увеличения качества и конкурентоспособности вырабатываемого картона в 1995-1997 годах на комбинате проведена реконструкция технологических потоков по готовки макулатурной массы и целлюлозы с заменой оборудования по роспуску полуфабрикатов и сортированию макулатурной массы с компьютерного автоматического управления всеми технологическими потоками подготовки массы. В картоноделательной цехе проведена реконструкция парокоденцаторной системы, оборудования по сортированию массы в постоянной части машины, узла подачи химикатов на машину и заменена система автоматического управления технологическим потоком производства картона.

В 1998 году был освоен выпуск новых видов картона - "Нева", "Ладога", по своим качественным показателям, не уступающим зарубежным аналогам, облицовочного картона массой 200 г/кв. м. Так же в этом году был произведены больше капитальные вложения денежных средств, направленные: на модернизацию меловальной установки; проведена модернизация и пуск в эксплуатацию одной печатной лакировочной машина "Небиола", позволяющей лакировать продукцию и использовать при печати коробок; после модернизации проведены в Италии приемочные испытания шести-красочной машины "Небиола" с лакированием продукции. Поставка машины была произведена в 1-й половине января 1999 года; приобретена и установлена фальцесклеивающая машина "Диана", позволяющая расширить ассортимент выпускаемой полиграфической продукции; приобретены и установлены на весовой для более точного взвешивания макулатуры и отсутствия претензий у поставщиков новые автомобильные весы фирмы "Толедо"; для оперативного принятия управленческих решений вводится на предприятии интегрированная система управления "BAAN".

Проект реконструкции разработан Гипробумом на основании разработок фирм Блек-Клаусон "США", Фойт-Зульцер (Австрия-Германия) и опыта специалистов картонно-полиграфического комбината.

При реконструкции установлено оборудование фирм Блек-Клаусон (США), Фойт-Зульцер (Германия), Нелес-Джеймсбури (Финляндия), БТЖ (Германия), Роземаут (США), Фишер-Портер (США), Пега (Германия), Сименс (Германия) ABC Сканнпамп (Финляндия), ПЕТ (Австрия), ABB (США).

 

.3 Основные функции руководителей и структурных подразделений комбината


Директор службы обеспечения производства и транспорта - руководство материально-техническим снабжением и транспортным обслуживанием комбината с целью обеспечения материально-техническими ресурсами и автотранспортными перевозками для бесперебойной работы всех подразделений.

Отдел обеспечения и комплектации производств - обеспечение комбината материально-техническими ресурсами для бесперебойной работы всех подразделений.

Автотранспортный цех - обеспечение выполнения автотранспортных перевозок по договорным обязательствам и заявкам от цехов, эффективное использование подвижного состава.

Главный инженер по охране труда и технике безопасности, ОО-ТиТБ - руководство и контроль выполнения работ по охране труда на комбинате в соответствии с законодательством "Об охране труда в Российской Федерации".

Отделение ведомственной пожарной охраны - контроль и профилактика противопожарного состояния зданий, сооружений комбината, тушение пожаров, ликвидация стихийных бедствий.

Технический директор - руководство всеми производственными и техническими службами комбината, осуществление мер по повышению качества продукции, руководство всей работой в области охраны труда на комбинате.

Техно-Сервис - техническое обслуживание и ремонт оборудования по техническому состоянию, по результатам диагностики, ремонт зданий и сооружений, надзор за зданиями и сооружениями.

Котельный цех - выработка пара для производственных нужд комбината, обеспечение бесперебойного теплоснабжения комбината и города Коммунар.

Цех ВиБО - обеспечение комбината водой, сжатым воздухом, очистка промышленных стоков, контроль за системой противопожарного водоснабжения.

ТЦВПГ - выполнение погрузо-разгрузочных работ в цехах и подразделениях комбината, ремонт погрузо-разгрузочной техники.

Картонное производство - выполнение производственных заказов по выработке картона в полном объеме и соответствующего качества, внедрение и производство новых видов картона.

ОТК и лаборатория - проверка поступающего на комбинат сырья, химикатов, контроль на всех стадиях производственного процесса, контроль качества готовой продукции.

Диспетчерская служба - оперативное взаимодействие с руководителями комбината по организации комбината, недопущению и устранению сбоев и аварийной ситуации, обработка информации по всем стадиям производства, учет работы основного оборудования.

Технический отдел - организация и координация всех служб комбината при разработке организационно-технических мероприятий, направленных на повышение технического уровня производства, контроль за соблюдением правил и норм по охране окружающей среды.

Полиграфическое производство - выполнение производственных заказов по выпуску продукции полиграфического производства в полном объеме и соответствующего качества. Внедрение в производство новых видов продукции.

Директор по маркетингу и развитию предприятия - выполнение производственно-экономических программ. Контроль за принятием и выполнением заявок. Внедрение в производство новых видов продукции.

Служба маркетинга

Задачи:

Разработка краткосрочной, среднесрочной и долгосрочной стратегии маркетинга.

Исследование факторов, определяющих структуру и динамику потребительского спроса на продукцию предприятия, конъюнктуры рынка. Изучение спроса на продукцию предприятия и разработка долгосрочных, среднесрочных и краткосрочных прогнозов потребности в выпускаемой продукции.

Исследование потребительских свойств производимой продукции и предъявляемых к ней требований со стороны потребителей.

Ориентация разработчиков и производства на выполнение требований выпускаемой продукции.

Организация рекламы и стимулирование сбыта продукции (определение наиболее эффективных направлений проведения рекламы с учетом особенностей выпускаемой продукции и конъюнктуры рынка; организация всех необходимых видов рекламы продукции и формирование доверия и уважения к комбинату).

Функции:

Анализ и прогнозирование основных конъюнктурообразующих факторов потенциальных рынков сбыта выпускаемой продукции.

Анализ коммерческих и экономических факторов, включая финансовое положение потенциальных покупателей, реальный платежеспособный спрос и соотношение спроса и предложения на выпускаемую продукцию.

Изучение объемов поставки, технического уровня и качества конкурирующей продукции, ее преимуществ и недостатков по сравнению с выпускаемой комбинатом продукцией; наличие новых рынков сбыта и новых потребителей.

Исследование потребительских свойств производимой продукции и сбор информации об удовлетворении ими покупателей.

Изучение спроса на выпускаемую продукцию, оценка потребности в разрабатываемой и производимой продукции.

Анализ конкурентоспособности продукции комбината, сопоставление ее потребительских свойств, цены, издержек производства с аналогичными показателями конкурирующей продукции.

Разработка на основе изучения конъюнктуры и емкости рынка прогнозов по платежеспособному спросу на новую и выпускаемую продукцию.

Разработка стратегии маркетинга с учетом потребности в данной продукции, емкости рынка, меняющегося платежеспособного спроса, проникновения на новые рынки сбыта, достижение конкуренции.

Расчет емкости рынка для продукции предприятия.

Сбор, систематизация и анализ всей коммерческо-экономической информации о потенциальных рынках быта выпускаемой продукции.

Создание информационно-статистического банка данных, включая: иные по портфелю заказов на поставку продукции, ее производству, наличию запасов; использование этих данных для ускорения сбыта продукции.

Определение географического размещения потенциальных потребителей.

Определение удельного веса продукции основных конкурентов в общем объеме сбыта на данном рынке.

Анализ сильных и слабых сторон конкурирующей продукции.

Разработка стратегии рекламы продукции и плана проведения рекламных мероприятий.

Организация участия предприятия в центральных и региональных отраслевых ярмарках, выставках, выставках-продажах; подготовка необходимых документов и материалов.

Разработка предложений по формированию фирменного стиля, организация рекламы с помощью фирменных изделий (плакатов, буклетов, экспресс информации).

Анализ деятельности рекламы, ее влияния на сбыт продукции, информирование потребителей о продукции комбината; определение эффективности рекламы; разработка предложений по совершенствованию организации рекламы.

Изучение и анализ эффективности форм доставки продукции потребителям.

Анализ организации сбытовой сети, выбор наиболее оптимальных по протяженности, стоимости и технической оснащенности каналов реализации продукции; оценка эффективности работы сбытовой сети.

Анализ состояния реализации продукции комбината, выявление продукции, не имеющей достаточного сбыта, определение причин этого.

Формирование новых потребностей с целью расширения рынка и тоиска новых форм применения выпускаемой продукции.

Разработка предложений по созданию принципиально новой продукции.

Выработка рекомендаций по повышению технического уровня и качества производимой продукции.

Подготовка предложений и рекомендаций к плану производства продукции комбината по номенклатуре и количеству, исходя из результатов изучения рынка и спроса на конкретные виды продукции.

Разработка предложений по изучению технических условий и хгтетического вида упаковки.

Отдел заказов и отгрузки готовой продукции - принятие, оформление и обеспечение планов поставки продукции комбината в срок и по номенклатуре в соответствии с договорами и соглашениями. Работа с потребителями продукции комбината, подготовка и проведение выставок, рекламная деятельность.

Директор по экономике и финансам - планирование финансово- экономической и хозяйственной деятельности комбината, оперативный учет и контроль исполнения этих планов.

Заместитель директора по экономике и финансам - внедрение системы "BAAN", разработка методологии управленческого учета, ведение оперативного учета.

Отдел учета в системе "BAAN" - ведение оперативного управленческого учета в системе "BAAN".

Отдел поддержки ИСУ "BAAN" - разработка, поддержка и сопровождение программного обеспечения ИСУ "BAAN". Методическое руководство и обучение пользователей подсистемы.

Экономический отдел - планирование финансово-экономической и хозяйственной деятельности комбината, оперативный учет и анализ производственно-хозяйственной деятельности.

Заместитель директора по экономике и финансам - главный бухгалтер - обеспечение достоверного учета результатов хозяйственно - финансовой деятельности комбината в соответствии с нормативными и правовыми документами, обеспечение платежей в бюджет, обеспечение операций по счетам комбината в учреждениях банков.

Отдел бухгалтерского учета и отчетности - составление достоверной бухгалтерской отчетности в соответствии с нормативными и правовыми документами.

Финансовый отдел - сопровождение счетов-фактур на комбинат и выставляемых комбинатом. Ведение работы по соблюдению строгой финансовой и кассовой дисциплины.

Отдел кадров и учебный пункт - оформление приема, учет персонала, заполнение, учет и хранение трудовых книжек, организация профессионального обучения, повышение квалификации персонала. Организация комплектования комбината кадрами, развития, мотивации и социального обеспечения персонала.

Ахо - хозяйственное обслуживание управления комбината, обработка поступающей и отправляемой корреспонденции, доставка по назначению, ведение делопроизводства, печатание документов.

Отдел общественного питания - обеспечение питанием работников комбината, выпечными изделиями.

Санаторий-профилакторий - профилактика, оздоровление и лечение работников комбината.

Претензионно - правовой отдел - обеспечение соблюдения законности в деятельности комбината, защита его правовых интересов.

Директор по информации и экономической безопасности - осуществление контроля за охраной территорий, помещений и объектов комбината, изучение рынка, сбора информации для деловых переговоров, решение гражданско-правовых правовых проблем комбината.

 

.4 Краткое описание технологических процессов получения основных видов продукции


Целлюлозная и макулатурная масса, подготовленные на технологических потоках завода макулатурной массы в соответствии с требованиями технологического регламента: "Подготовка целлюлозной и макулатурной массы, брака и отходов" подается в соответствующие машинные бассейны покровного слоя, подслоя, среднего слоя, нижнего слоя, из которых направляется на вакуум-формующие цилиндры картоноделательной машины №1.

Картоноделательная машина № 1 изготовлена заводом "Ижтяжбуммаш" с доукомплектованием по импорту вакуум-формующими цилиндрами фирмы Эшер-Висс, прессовой частью (включая клеильный пресс) фирмы Эшер-Висс. Сушильная часть, каландр и накат изготовлены заводом "Ижтяжбуммаш". Паро-конденсатная система сушильной части реконструирована фирмой Ланг-Реглер. Управление технологическим процессом на картоноделательной машине производится системой АСУТП фирмы ABB.

КДМ-1 служит для производства коробочного картона массой 220-500 г/м:, облицовочного картона массой 200-320 г/м2, картона для плоских слоев гофрокартона массой 175-200 г/м2, коробочного картона с белым слоем из целлюлозы как для покровного, так и нижнего слоев.

Ширина мокрого полотна картона, мм - 4500;

Ширина мокрого полотна картона после отсечки кромок, мм - 4450;

Максимальная необрезная ширина картона на накате, мм - 4290;

Производительность при 93% а.с.в. на накате, т/24 часа - 360;

Сеточная часть

Сеточная часть состоит из 8-и вакуум-формующих устройств, в комплект которых входит 8 напускных устройств для подачи массы на формующие цилиндры. Каждый из 8-и массных потоков оснащен -автономной системой очистки массы, емкостями для массы, оборотной воды насосами. Восьмой вакуум-формер изготовлен на заводе "Ижтяжбуммаш".

Из машинного бассейна емкостью 65 м3 беленая целлюлоза массными насосами подается в кольцевой трубопровод, давление в котором регулируется клапанами. Далее из кольцевого трубопровода через задвижки переключения потоков масса подается на первые смесительные насосы с концентрацией 3,0-3,5 % через клапана, которые регулируют количество подаваемой массы на 1 и 2 вакуум-формующие цилиндры. После первых смесительных насосов масса поступает на вихревые конические очистители ступени марки DR2-D, на которых за счет центробежной силы удаляются тяжелые частицы размером от 0,05 мм, удельный вес которых выше, чем дельный вес целлюлозной массы. Регулирование количества отходов (2-4 % от объема) производится за счет поддержания постоянного перепада давления на входе и на выходе центриклинеров посредством контуров регулирования. Визуально за выходом отходов в сборный канал можно наблюдать через прозрачную трубку, одетую на форсунку.

Разбавление массы перед центробежными очистителями происходит за счет воды из сборников подсеточной воды. Из сборников вода насосами подается в сборники отходов после 1 ступени центриклинеров для разбавления отходов, которые в свою очередь насосами через клапана, регулирующие уровень в сборниках отходов, подаются на II ступень вихревых конических очистителей типа DR1-S2 с концентрацией менее 1 %. Отходы от очистителей II ступени сбрасываются в канализацию, а очищенная масса возвращается во всасывающие патрубки первых смесительных насосов. Очищенная масса от вихревых конических очистителей 1 ступени поступает на вторые смесительные насосы перед электрозадвижками, которые регулируют количество массы, подаваемой на вторые смесительные насосы. Вторые смесительные насосы подают массу на узлоловители закрытого типа марки SP-1000 с перфорированным ситом (диаметр отверстий 2,2 мм), очищенная масса из которых поступает в потокораспределители первого и второго формеров. Отходы от узлоловителей поступают на вибрационные сортировки фирмы "Финк", отсортированная масса с которых возвращается во вторые смесительные насосы перед клапанами, поддерживающими уровень в ваннах под вибрационными сортировками. Отходы от вибросортировок собираются в емкость отходов и вывозятся на свалку.

Потоки 3, 7, 4, 5, 6 и 8-го формующих цилиндров отличаются or описанных выше потоков 1 и 2-го формеров отсутствием вихревых конических очистителей 1 и 2 ступени.

Масса из машинных бассейнов подслоя, среднего слоя и нижнего слоя поступает на массные насосы и далее в кольцевые трубопроводы, давление в которых регулируется клапанами.

Из кольцевых трубопроводов масса с концентрацией 3,0 - 3,5 % через задвижки подается в смесительные насосы и через регулирующие клапана, где происходит ее разбавление до концентрации от 0,25 до 0,8 % в зависимости от количества подаваемой массы и числа оборотов вторых смесительных насосов. Вода на разбавление поступает во всасывающие патрубки смесительных насосов из сборников оборотной воды.

Смесительными насосами масса подается на узлоловители закрытого типа марки SP-1200, имеющие сотовый барабан со шлицевыми отверстиями шириной 0,45 мм.

Очищенная масса от узлоловителей поступает в потокораспределители 3, 4, 5, 6, 7 и 8 -го формующих цилиндров.

Отходы от узлоловителей поступают на вибрационные сортировки фирмы "Финк". Отходы от узлоловителя поступают на вибросортировку :и в гауч-мешалку. Очищенная масса от вибрационных сортировок возвращается во всасывающие патрубки смесительных насосов через клапана, которые поддерживают заданный уровень в ваннах под вибрационными сортировками. Отходы от вибрационных сортировок собираются в емкость отходов и вывозятся на свалку.

В зависимости от вида вырабатываемой продукции подача массы "потоков покровного слоя, подслоя, среднего и нижнего слоя) на конкретные вакуум-формующие цилиндры может существенно отличаться с помощью задвижек переключения потоков. Расход волокнистой массы на каждый из четырех слоев картона в соответствии с технологическими картами расчитывается исходя из общей массы картона в г/м2, скорости машины в м мин, и необрезной ширины полотна картона в м., по следующей формуле:

G = q * V * b * t, (3)

где : G- количество продукции в единицу времени;

q- масса 1 м2 картона или слоя;

V- скорость картоноделательной машины;

b- необрезная ширина полотна;

t- время

Формование картона

Подача массы на формующие цилиндры осуществляется через напускные устройства. Их основными узлами являются ступенчатые диффузоры, состоящие из отдельных, изготовленных из синтетического материала, элементов с просверленными в них ступенчатыми отверстиями. Диффузор создает микротурбулентность в массном потоке, подаваемом в зону формования элементарного слоя картона.

К напускному устройству масса подводится через поперечный конический потокораспределитель (диффузор). Формование элементарного слоя картона осуществляется на участке поверхности формующего цилиндра, ограниченного верхней регулируемой и нижней неподвижной губами.

В системе формования элементарного слоя на каждом формующем цилиндре количество подаваемой волокнистой массы регулируется с помощью двух насосов: первый насос с постоянной частотой вращения подает массу в вихревые конические очистители для 1 и 2-го формеров или в кольцевые трубопроводы для 3 и 8-го формеров; второй насос с временной частотой вращения подает волокнистую массу через закрытый узлоловитель - вертикальную сортировку.

Прошедшая через вертикальную сортировку очищенная волокнистая масса поступает в конический трубный распределитель напускного устройства, где изменяет направление потока и распределяется в поперечном направлении по ширине картоноделательной машины. С выходной стороны трубный распределитель должен быть открыт. Количество волокнистой массы, возвращаемой из трубного распределителя в исходный поток, влияет на распределение массы по потокам.

Из конического трубного распределителя масса попадает в ступенчатый диффузор, в котором равномерно распределяется по всей ширине формования полотна картона и изменяет режим течения с ламинарного на микротурбулентный. Это способствует разрыхлению сгустков и позволяет вести процесс отлива при более высокой концентрации массы. Пропускная способность диффузора находится в пределах от 4400 до 12700 л/мин.

Из ступенчатого диффузора волокнистая масса поступает в падающий канал напускного устройства. В зазоре S1 подающего канала волокнистая масса достигает необходимой для листообразования скорости потока. Зазор S1 может быть установлен на заданную величину с помощью системы коленчатых валов. Помимо этого имеется также возможность тонкой регулировки зазора S1.

Из щели SI волокнистая масса подается в пространство, ограниченное верхней губой напускного устройства и сеткой вакуум-формующего цилиндра. Величина зазора S2 между сеткой цилиндра и верхней губой напускного устройства регулируется изменением положения верхней губы, которая закреплена шарнирно.

При большой массе 1 м2 элементарного слоя ширина щели составляет 2- 4 мм. При этом часть волокнистой массы перепускается через щель S2, очищая выходную кромку верхней губы, т.е. формер работает с переливом.

При небольшой массе элементарного слоя (до 60 г/м") формер работает без перелива при ширине щели 0,6-1,2 мм.

В пространстве под верхней губой на сеточном цилиндре начинается процесс образования элементарного слоя картона. Процесс формования и обезвоживания производится при помощи вакуума, создаваемого отсасывающей камерой, установленной внутри формующего цилиндра. Отсасывающая камера разделена на 4 отсасывающие зоны, в каждой из которых вакуум устанавливается автономно.

В зоне Z1 происходит наполнение полости рубашки формера. Процесс обезвоживания протекает только за счет давления в напускном устройстве. Эта зона работает с закрытой задвижкой, что вызывает появление в ней небольшого противодавления, способствующему лучшему удерживанию мелких волокон и наполнителя. Противодавление может быть увеличено подкачиванием подсеточной воды.

В зоне Z2 происходит основной процесс обезвоживания под действием вакуума. Полотно картона настолько упрочняется, что не расплывается после выхода из губы.

Зона Z3 также предназначена для обезвоживания уже образовавшегося полотна до такой степени, что оно без опасности раздавливания может подаваться под отжимной вал. В этой зоне поддерживается максимальный вакуум.

Зона Z4 предназначена для предотвращения выбрасывания воды, держания ее в перфорации рубашки цилиндра во избежание увлажнения уже обезвоженного полотна.

Сформированный элементарный слой картона соединяется с движущимся съемным сукном и поступает под отжимной вал. Отжим служит для обезвоживания образовавшегося полотна картона, передачи на съемное сукно элементарных слоев и соединения их в единое картонное полотно. Отжимной вал установлен напротив уплотнительной пластины 4-ой отсасывающей зоны. Для отсоса отпрессованной воды каждый формер оснащен жестким, точно установленным устройством в виде клюва. Отсос производится как с лицевой, так и с приводной стороны машины, его можно регулировать и при необходимости отключать.

У образовавшегося на сеточном цилиндре элементарного слоя обрезают (отсасывают) кромки, ширина которых лежит в пределах 3,0-6,0 мм. Обрез кромки в этом месте является важной операцией, так как способствует безобрывной работе всей машины. Обрез кромок проводят с помощью вакуумных сопел, положение которых можно регулировать в трех взаимно перпендикулярных направлениях. Степень вакуума регулируется в пределах 20-30 Па (2-3 мм. рт.ст.).

В процессе эксплуатации машины вакуум-формующей цилиндр постоянно очищают с помощью спрысковых труб, что является непременным условием равномерного и надежного образования элементарного слоя. Спрысковые трубы имеют возвратно-поступательное движение.

Спрысковая труба низкого давления SH1 оснащена игольчатыми форсунками и по краям по одной форсунке плоской струи, которые работают непрерывно. Спрысковая труба высокого давления SH2 оснащена игольчатыми форсунками и работает периодически. В трубу высокого давления подается песчаная вода под давлением 6 Мпа (60 бар), в трубу низкого давления фильтрованная вода под давлением 0,9 Мпа (9 бар).

Отсасывающая зона Z1 приблизительно 1 раз в неделю должна промываться отдельной переносной спрысковой трубой высокого давления SH3 во время работы машины.

Принцип работы вакуум-формующих цилиндров одинаков для всех элементарных слоев и может отличаться только отдельными параметрами процесса отлива слоев картона.

Формование и соединение слоев картона осуществляется в следующей последовательности: от 8-го к 1-му формеру. В начале идет формование, обезвоживание элементарного слоя последнего формера нижнего слоя, который прикрепляется к съемному сукну, затем идет образование элементарных слоев среднего слоя, которые соединяются последовательно с нижним; далее элементарные слои подслоя последовательно соединяются со средним слоем; и наконец покровный слой соединяется с подслоем.

В зависимости от массы вырабатываемого картона формование картона допускается производить на семи формерах, при некотором снижении скорости картоноделательной машины, но при условии, если уменьшение количества используемых формеров не ведет к ухудшению качества картона.

Технологические особенности процесса формования картона

Подаваемое на вакуум-формер количество волокнистой массы должно быть рассчитано, исходя из производительности потоков и условия, что массу 1м2 элементарного слоя можно изменять в пределах от 30 до 110 г.

Массовая доля волокна в напускном устройстве поддерживается постоянной по абсолютно сухому веществу с помощью изменения производительности смесительного насоса. При увеличении производительности насоса массовая доля волокна снижается при неизменном положении массной задвижки.

Технологические параметры работы напускного устройства и формера устанавливаются в следующей последовательности:

Исходя из требуемой величины массы 1 м2 картона, задают скорость машины.

Для хорошего листообразования и получения картона с высоким значением показателя жесткости отношение скорости формера к скорости потока должно быть меньше 1. Это условие должно особенно тщательно соблюдаться для наружных слоев картона.

При изготовлении многослойного картона формер каждого из слоев имеет свою ширину щели S1. Несколько формеров одного потока должны иметь одинаковую ширину щели S1, что особенно важно для среднего слоя, составляющего основную массу картона.

Провал волокна на формере можно снизить за счет:

небольшого превышения давления в отсасывающий зоне Z1;

уменьшения степени вакуумав отсасывающей зоне Z2;

добавления веществ, способствующих удержанию волокон и наполнителей.

Добавка таких веществ необходима также для поддержания на постоянном уровне:

массы 1 м2 полотна в поперечном направлении;

поддержания постоянной рН массы.

Эксплуатация формера без перелива

При изготовлении элементарных слоев картона с массой до 60-80 г/м" формер может работать без перелива. Для хорошего листообразования рекомендуется установка следующих параметров:

зазор верхней губы S2 должен быть равен 0,8-1,2 мм;

положение "зеркала залива" должно быть на расстоянии 15-150 мм от верхней губы, причем существует правило, согласно которому удаление "зеркала залива" должно быть тем меньше, чем меньше масса 1м~ элементарного слоя. Во всех случаях "зеркало залива" должно исчезать в районе второй отсасывающей зоны S2, что достигается изменением вакуума в 1 и 2-ой отсасывающих зонах.

Эксплуатация формера с переливом

Если на цилиндре происходит формование элементарных слоев картона с массой от 70 до 110 г/м2 то формер должен работать с переливом. В этом случае зазор под верхней губой будет составлять 2-4 мм. Необходимо чтобы перелив был небольшим, поскольку большой перелив оказывает отрицательное влияние на листообразование. Если окажется, что перелив исчезает, начнется загрязнение верхней губы и образование сгустков.

Установка вакуума в отсасывающих зонах

Формование элементарного слоя картона происходит в 1 и 2-ой отсасывающих зонах.

Зона Z1. С целью уменьшения промоев волокна эта зона должна работать при небольшом вакууме или даже с небольшим избыточным давлением, которое может быть достигнуто при закрытой вакуумной задвижке, вследствие того, что проходящая через отверстия перфорации вода не пропускает через них воздух. В зоне 1 рекомендуется поддерживать вакуум в пределах от +1 до -1,5 кПа (от +100 до -150 мм вод. ст.).

Зона Z2. Вакуум устанавливают вручную от 200 до 500 мм. вод.ст. Высокий вакуум в этой зоне ведет к резко выраженной двусторонности листа и уменьшению межслоевой прочности картона.

Зона Z3. В зоне 3 начинается обезвоживание уже сформированного слоя. Величина вакуума может достигать 10 кПа (от 400 до 1000 мм. вод.ст.).

Зона Z4. Величина вакуума в этой зоне должна соответствовать лучшей обезвоживаемости полотна съемным валом и составлять от 0 до 300 мм.вод.ст.

Прочность соединения слоев зависит от:

качества волокнистой массы;

качества формования ;

концентрации массы в напускном устройстве;

сухости соединяемых слоев;

разницы в степенях помола 2-х соединяемых слоев.

Путем рационального подбора параметров работы формера можно добиться высокого показателя сопротивления расслаиванию картона, а именно за счет:

уменьшения давления под верхней губой;

качественного формования (при работе без перелива зазор под верхней губой S2 должен составлять 0,8-1,0 мм);

правильного положения "зеркала залива";

исключения подтеков и каплеобразования после отжимного вала;

использование веществ, способствующих повышению межслоевой прочности.

Особо большое влияние на сопротивление расслаиванию картона оказывают сухость соединяемых слоев. Сухость слоев перед отжимным прессом должна быть в пределах 12-16 %. Высокое содержание воды в полотне картона перед отжимным прессом (сухость - 10%) ведет к образованию на поверхности полотна слоя воды, раздавливанию полотна, сдвигам отдельных слоев, что в конечном счете снижает показатель сопротивления расслаиванию. При сухости полотна более 15-16 % сопротивление расслаиванию также снижается.

Сопротивление расслаиванию картона уменьшается, если два соседних слоя имеют большую разницу в степени помола массы, поэтому она по возможности должна быть минимальной.

Введение большого количества наполнителя, особенно в поверхностный слой, также отрицательно влиияет на этот показатель.

Система управления формером

Каждый формер может быть подключен через кольцевой трубопровод с помощью дистанционного управления к любому из четырех потоков волокнистой массы в соответствии с данными, указанными в технологических картах.

Масса, поступающая из кольцевого трубопровода во всасывающий патрубок смесительного насоса, проходит через регулятор концентрации.

Степень вакуума отсасывающих зон Zl, Z2, Z3, Z4 регулируется дистанционно управляемыми задвижками.

Каждая отсасывающая зона оснащена регулируемым атмосферным клапаном, который служит для обеспечения постоянства вакуума и при работе его необходимо приоткрывать. Это касается в особенности отсасывающих зон Z3 и Z4 при изготовлении продукции с большой массой 1м" полотна и при работе с массой высокой концентрации.

Сток подсеточной воды регулируется уровнем воды в ванне. Такая регулировка исключает засасывание воздуха и пенообразование. Регулируется также уровень качественной волокнистой массы под вибрационной сортировкой.

Спрысковые трубы низкого давления должны находиться во время работы в постоянном движении. Управление этим движением ведется с помощью выключателей "Вкл." - "Выкл.", расположенных на местных пультах управления формерами. При положении "Выкл." - возвратно-поступательное движение спрысковых труб отключается, водяные вентили при этом закрывают вручную. При положении "Вкл."- возвратно-поступательное движение спрысковых труб включается после включения формера, водяные вентили открываются вручную.

Спрысковые трубы высокого давления включаются последовательно или с помощью переключателей на пульте управления.

. Прессовая часть

Основное назначение прессовой части картоноделательной машины состоит в дальнейшем обезвоживании картонного полотна и улучшению качества его поверхности. В результате прессования возрастает прочность, плотность и сухость картона. Прессование играет важную роль в соединении элементарных слоев при выработке многослойных видов картона. От сухости полотна во многом зависит повышение производительности сушильной части, снижение расхода пара, а следовательно, и экономичность работы картоноделательной машины. Необходимо стремиться к максимальному увеличению сухости полотна еще в мокрой части машины, чтобы картонное полотно поступало на сушку при минимально возможном влагосодержании. При этом, однако, следует избегать чрезмерного прессования картонного полотна, так как дополнительный расход энергии на работу приводов прессовых валов не компенсируется экономией в расходе пара и повышением производительности сушильной части.

Кроме того, высокое давление прессования значительно снижает толщину картона, что ведет к снижению показателя жесткости картона. Поэтому необходимо установить оптимальные условия прессования при умеренном снижении жесткости картона.

Прессовая часть состоит из предварительной прессовой части и основной.

Предварительная прессовая часть состоит из трех прессов:

отсасывающего поворотного пресса;

отсасывающего гауч-пресса;

трехвального комби-пресса с центральным отсасывающим валом.

Основная прессовая часть состоит из пресса с желобчатым валом.

Прессовые валы облицованы твердой резиной, верхние валы комби-ервого и второго прессов облицованы стонитом.

Пресса предварительной прессовой части снабжены двумя сукнами, причем, в качестве нижнего прессового сукна используются съемное сукно формеров. Пресса основной части работают с сукнами на нижних валах. Сукна имеют маркировочные полосы, которые при натяжении сукон должны располагаться по прямой линии, или хотя бы концы этой линии должны располагаться на одном уровне с лицевой и приводной сторон машины.

Все сукна прессовой части многослойного плетения, ворсовые, иглопробивные, изготовлены из 100 % синтетических волокон.

Прессовые сукна приводятся в движение от прессовых валов и сами вращают все сукноведущие валики. Валики диаметром 365 мм изготовлены из стальной трубы с запрессованными по концам стальными цапфами. Валики покрыты с наружной стороны твердой резиной. В каждом сукне имеется один правильный и один натяжной валик (приемное сукно имеет два натяжных валика). Правка и натяжение сукон осуществляется автоматически. Величина натяжения 0,18-0,20 МПа.

Для поддержания в чистоте прессовых сукон, поддержания оптимальных условий отвода воды из зоны прессования, прессовые сукна в процессе работы постоянно промываются водой, а при необходимости каустиком или специальным моющим средством. Промывка сукон производится спрысками низкого (4 МПа) и высокого (60 МПа) давления с помощью автоматизированной системы промывки сеток и сукон бумагоделательных и картоноделательных машин "Бифор-спрыск". При этом полная промывка площади сукна достигается за один ход спрысковой трубы высокого давления, равный 75 шагам по 2 мм каждый с учетом согласования скоростей движения спрысковой трубы и промываемого сукна. Для обезвоживания сукон после промывки установлены по две отсасывающие трубчатые сукномойки ("сосуны"). Ширина щели на первой 16 мм, на второй 8 мм. Разряжение создается вакуум-насосами и составляет 4-5 м водяного столба.

Перед основной прессовой частью установлен 3-хвальный комбинированный форпресс (комби-пресс). Первый захват работает с двумя сукнами и с поперечным отводом отжатой воды. Второй захват работает с одним сукном по принципу отсасывающего пресса. При такой компоновке перед первой свободной заправкой полотно картона имеет значительную сухость и механическую прочность, что исключает его обрыв на свободном участке.

У прессов с желобчатым валом вместо нижнего отсасывающего вала установлен обычный вал, на поверхности которого нанесены продольные канавки шириной 0,6 мм и глубиной 0,5 мм. Канавки расположены друг от друга на расстоянии, превышающем примерно в 5 раз их ширину. Благодаря этим канавкам большая часть площади нижней стороны сукна остается открытой, что предупреждает его повторное увлажнение в процессе удаления воды из картонного полотна. Отсутствие отсасывающих валов и вакуум- насосов у этой конструкции валов дает большую экономию энергии.

. Вакуумная система

Вакуум в отсасывающих зонах вакуум-формующих цилиндров и отсасывающем шабере создается двумя вакуумными вентиляторами типа ММК 450/6610, производительностью по 18000 м3/час.

Вакуумная система прессовой части картоноделательной машины состоит из 6 вакуумных насосов НЭШ марок CL6001 и CL6002 и одного резервного насоса марки CL6002. Насосы пронумерованы с 1-го по 7-ой номер по ходу машины. Все насосы подсоединены к коллектору и разделены на 5 групп. Группы отделяются друг от друга задвижками на коллекторе. Распределение насосов по группам:

группа - вакуум-насос №1 марки CL6001 подключен к поворотному отсасывающему прессу;

группа - ½ вакуум-насоса №2 марки CL6002 подключена к гауч-прессу;

группа - ½ вакуум-насоса №2 марки CL6002 и насос №3 марки СК6002 подключены к первой и второй отсасывающим камерам центрального вала трехвального Комби-пресса.

группа - вакуум-насос марки CL6001 и ½ насоса №5 марки CL6001 подключены к сосунам отсасывающей сукномойки, работающей под давлением 55 кПа (5,5 м.вод.ст.)

группа - ½ насоса №5 марки CL6001 и насос №6 марки CL6001 подключены к сосунам отсасывающей сукномойки, работающей с разряжением 35 кПа (3,5 м.вод.ст.).

Каждая группа вакуум-насосов имеет свой водоотделитель, вода из которых сбрасывается в канализацию.

. Системы дозировки химикатов в процессе изготовления картона

Схема дозировки клея ASA (алкилангидрид янтарной кислоты)

Установка непрерывного действия для диспергирования и дозировки Raisafob MF, Lasar 2120, разработана для бесперебойного производства высококачественной эмульсии ASA. В качестве жидкости для диспергирования применяется или массный крахмал, или полимерный раствор. Установка состоит из 4-ступенчатого насоса диспергирования, насоса и фильтра для клея MF, фильтра для крахмала, теплообменника для охлаждения крахмала, статических смесителей, промежуточного резервуара для эмульсии, циркуляционного насоса для эмульсии, трубопровода с арматурой и необходимых контрольно-измерительных приборов (регулировочных клапанов, расходомеров, передатчиков давления и температуры, местных манометров и термометров и т.д.). Кроме того, установка оборудована программируемой логикой с боками ввода и вывода, персональным компьютером (ПК), установленным в пульте управления и панелью производственных операций, которые соединены друг с другом через шину многоточечного интерфейса (MPI) для передачи данных. С помощью диспетчерского программного обеспечения ПК оператор может производить разные эксплуатационные операции и следить за процессом. За выполнение функций управления отвечает программируемая система логики. Надежность электроснабжения программируемой системы логики. Надежность электроснабжения программируемой системы логики гарантируется установкой бесперебойного электроснабжения (UPS).

Оборудование включает также стеллаж с промежуточным резервуаром для одновременного размещения на нем двух контейнеров с клеем Raisafob MF.

Управление установкой для диспергирования MF, принцип работы

Установка для диспергирования MF работает полностью автоматически. Для выполнения разных операций применяется, в основном, персональный компьютер, размещенный в пульте управления мокрого конца картоноделательной машины. Для выполнения операций на ПК пульта управления предусмотрены следующие страницы или изображения (дисплеи):

Production (производственные параметры);

Dispersing (процесс диспергирования);

Dosing Loop (процесс дозировки);

Disp.Controllers ( контуры регулировки процесса диспергирования);

Dosing Controllers (контуры регулировки процесса дозировки);

Trends (тренды);

Alarms (сигнализация);

Param (параметры контуров регулировки т.е. подтверждение и время интеграции).

В случае неисправности или во время испытаний установкой можно управлять и через панель производственных операций, установленную в двери щита логики.

Производство эмульсии MF:

Массный крахмал, используемый в качестве жидкости диспергирования, отдельным насосом подается в установку. В установке массный крахмал сначала фильтруется и потом охлаждается до температуры + 40 "С, после чего поток крахмала разделяется на первичный и вторичный крахмал. Первичный крахмал подается в статический смеситель, где к крахмалу подмешивается клей ASA (Raisafob MF), дозируемый непосредственно из контейнера жидкости. Из статического смесителя смесь подается к насосу для диспергирования, где создается сама эмульсия. После насоса диспергирования до промежуточного резервуара, к эмульсии подмешивается вторичный крахмал и, в последнем статическом смесителе, вода для окончательного разбавления. Из промежуточного резервуара эмульсия подается циркуляционным насосом в дозировочную установку (коллектор), откуда она по отдельным дозировочным линиям дозируется формерам картоноделательной машины.

Установка MF непрерывно производит эмульсию точно в таком количестве, которое в данном случае требуется для картонноделательной машины. Количество и состав производимой и дозируемой эмульсии определяется на ПК пульта управления, где производственные параметры вводятся в дисплей "производственные параметры". Вводятся следующие параметры :

производительность (т/час);

содержание сухих веществ в массном крахмале (%);

заданное значение потока первичного крахмала (л/мин);

соотношение диспергирования;

окончательное содержание сухих веществ в эмульсии (%);

концентрация квасцов (%);

соотношение квасцы/ Raisafob MF (%);

вес на квадратный метр по слоям (г/м2);

дозировка клея ASA по слоям (кг/т);

На основе вводимых производственных параметров система логики определяет заданные значения для контуров регулировки расхода.

Схема дозировки глинозема

Дозировка глинозема, для удаления (осаждения) анионных загрязнений в целлюлозной и макулатурной массе, осуществляется в 55автоматическом режиме на всасывающие патрубки насосов машинных бассейнов, из расходной емкости, с помощью центробежного насоса. Расход глинозема определяется величиной рН массы и кислотным числом.

Схема дозировки ПАЛ (полиакриламид)

Для повышения процента удержания волокна на в/формерах в процессе формирования слоя в трубопровод очищенной массы после вертикальных сортировок подается ПАА. Расход ПАА по в/формерам осуществляется в автоматическом режиме пропорционально загрузке в/формера.

Схема дозировки наполнителя (мел, каолин)

Для улучшения внешневидовых показателей картона ("залив") на всасывающий патрубок машинного бассейна целлюлозного потока в автоматическом режиме подается наполнитель (мел, каолин).

Схема дозировки отбеливателя

Для повышения показателя белизны покровного слоя картона в машинный бассейн целлюлозы подается оптический отбеливатель, расход определяется показателем белизны картона.

Дозировка биоцидов

Для снижения бактериального загрязнения массы на всасывающие патрубки машинных бассейнов сех слоев подается биоцид. Дозировка биоцида осуществляется в автоматическом режиме с помощью насоса дозатора.

Схема дозировки крахмала на межслоевую проклейку

Для повышения показателя "энергия связи" картона между фермерами КДМ установлены спрыски дозировки крахмала. Для поддержания давления в спрысках 2,5-3,0 кг/см2 используется два контура управления давлением.

1 контур - управление давлением от насоса дозировки (автоматический контур)

2 контур - управление давлением по ширине спрыска (механический контур)

Схема дозировки красителя

Для подцветки нижнего слоя картона в трубопровод массы перед смесительным насосом в/формера №8 с помощью насоса дозатора подается черный краситель. Расход определяется цветностью нижнего слоя картона в соответствии с эталоном.

. Сушильная часть КДМ

После прессовой части мокрое картонное полотно поступает в сушильную часть картоноделательной машины, где удаляется оставшаяся влага.

Движущееся картонное полотно прижимается к нагретой поверхности цилиндров при помощи сушильных сеток, улучшающих теплопередачу и предотвращающих коробление и скручивание картона при сушке. Сушка картона производится постепенно. Температура цилиндров в начале сушки не должна превышать 50-60 С. В последующих группах температура цилиндров повышается, достигая в середине сушильной части 130-135 "С. Клеильный пресс установлен между 6 и 7 приводными группами. Картон поступает на клеильный пресс при сухости 80-85 %. Спрысками он непрерывно орошается с обеих сторон клеем, нагретым до температуры 40- 60 °С и проходит через валы пресса. Излишек клея через зазоры между торцевым щитком и валом стекает в воронки, откуда возращается через фильтры в приемный бак клея.

После клеильного пресса картонное полотно, во избежание образования складок, равномерно расправляется по ширине при помощи разгонного вала и поступает в досушивающую часть с раздельным пароснабжением верхних и нижних цилиндров. Раздельное пароснабжение позволяет создать различную температуру в верхних и нижних цилиндрах и тем самым выровнять влажность поверхностного и нижнего слоев картона. Неравномерная влажность слоев ведет к увеличению скручиваемости картона. При этом наблюдается закономерность: картон скручивается в ту сторону, которая сохнет последней. В досушивающей части картон необходимо высушить до требуемой сухости (93+1,2%) и выровнять влажность его поверхностного и нижнего слоев. Различная влажность наружных слоев может возникнуть вследствиинарушения режима сушки в середине сушильной части, а также из-за различной впитываемости клея поверхностным и нижним слоями. Температура цилиндров должна быть выше в том ярусе, который сушит более влажный слой, т.е. сушить надо больше ту сторону картона, в которой он скручивается.

Температура цилиндров после клеильного пресса должна увеличиваться постепенно. В конце сушильной части необходимо снизить температуру сушильных цилиндров. Окончательно картон охлаждается на двух холодильных цилиндрах,где, кроме того, наружные слои увлажняются на 2 % за счет влаги, сконденсированной на поверхности цилиндров. Увлажнение наружных слоев картона способствует повышению его гладкости при каландрировании и предупреждает появления морщин на картоне перед каландром, поскольку после сушки картон недостаточно эластичен.

Картонное полотно после сушки и охлаждения имеет шероховатую поверхность, поэтому после холодильных цилиндров оно проходит машинный шестивальный (в работе находится 4 вала) каландр. В результате каландрирования поверхность картона приобретает необходимые гладкость, лоск, сомкнутость.

Описание сушильной части

Сушильная часть картоноделательной машины двухярусная, цилиндрового типа, состоит из 93-х сушильных цилиндров и 2-х холодильных цилиндров диаметром 1500 мм. По приводу сушильная часть состоит из 8 фупп: I приводная группа включает 11 сушильных цилиндров, во II , III, IV, V, VI и VII приводных группах по 12 сушильных цилиндров в каждой, VIII приводная группа состоит из 10 сушильных и 2 холодильных цилиндров. Между VI и VII сушильными группами установлен клеильный пресс.

Все сушильные группы снабжены синтетическими сушильными сетками. Сушильные цилиндры 72 и 73, установленные после клеильного пресса, имеют хромированную поверхность и работают без сушильных сеток. Для продувки синтетических сеток установлены дутьевые ящики. Наибольшее (расчетное) рабочее давление пара в сушильных цилиндрах Р из б = 0,5 МПа.

Цилиндр сушильный. Наружный диаметр сушильного цилиндра 1500мм. Цилиндр состоит из корпуса и крышек с цапфами. Корпус и крышки сушильного цилиндра выполнены из серого чугуна марки СЧ 21-40. Сушильный цилиндр с лицевой стороны имеет герметически закрывающийся люк для проведения осмотров и ремонтных работ внутри цилиндра. Внутри цилиндра с приводной стороны установлен неподвижный сифон с плавающей насадкой для удаления конденсата.

Головка паровая предназначена для подвода пара и отвода конденсата из сушильных цилиндров. Она состоит из корпуса, конденсатной и паровой труб, сваренных между собой, торцевого уплотнения (плоского графитного кольца), сильфона и других деталей. Конденсатная труба, к которой крепится неподвижный сифон, выполнена наружной по отношению к паровой.

Цилиндр холодильный. Диаметр 1500 мм, конструкция аналогична сушильному цилиндру.

Головка водяная предназначена для подачи и отвода охлаждающей воды в холодильный цилиндр. Головки установлены с лицевой и приводной стороны цилиндра и соединены между собой коллектором. При работе головки вода под давлением поступает с лицевой стороны и через отверстия в коллекторе равномерно по всей длине разбрызгивается по внутренней поверхности холодильного цилиндра. Отвод охлаждающей воды неподвижным сифоном осуществляется на приводную сторону. Подвод сжатого воздуха, предусмотренный с приводной стороны, предназначен для создания перепада давлений при отводе воды неподвижным сифоном. Наибольшее количество воды, необходимое для охлаждения холодильного цилиндра, составляет 120 л/мин. Наибольшее допустимое давление воздуха в холодильном цилиндре 0,15 МПа. На трубопроводе подвода воды к головке установлен фильтр, клапан, выключающий подачу воды при останове цилиндров и вентили с ротаметрами для регулирования подачи воды в цилиндры.

Вал сукноведуший. Вал диаметром 367 мм выполнен из стальной трубы с запрессованными по концам чугунными патронами и стальными цапфами.

Вал картоноведущий. Вал диаметром 370 мм выполнен из стальной трубы. Наружная поверхность вала покрыта слоем меди толщиной 1,5 мм. Привод осуществляется с помощью канатика от сукноведущего вала.

Разгонный вал. Вал диаметром 190 мм типа "Маунт-Хоуп" предназначен пя растяжения полотна картона в поперечном направлении, расправления складок, возникающих после проклейки. Вал выполнен так, что может изменять величину своего изгиба. С лицевой стороны на валу установлен шкив канатиковой заправки.

Натяжение сеток автоматическое, осуществляется пневматическим цилиндром, регулирование давления воздуха в цилиндре производится с пульта управления.

Правка сушильных сеток автоматическая, установлена на приводной стороне сушильной части, маятниковая, с мембранным устройством двойного действия. Указатель крайнего положения сетки установлен на лицевой и приводной сторонах и предназначен для светового сигнала в случае ухода сетки на одну из сторон при несрабатывании автоматической правки.

Ручная правка с винтовым устройством служит для перемещения лицевой опоры сукноправильного вала, приводная сторона которого установлена в автоматической сукноправке. Ручная правка используется в основном при первоначальной установке вала.

Шаберы верхних и нижних цилиндров с возвратно-поступательным движением установлены на всех цилиндрах I, II и III сушильных групп, на первых пяти верхних цилиндрах IV группы, на трех цилиндрах после клеильного пресса и на холодильных цилиндрах. В остальных группах шаберы установлены на первом и последнем сушильных цилиндрах каждой сушильной группы. Движение шабера осуществляется электро-механическим приводом установленным на лицевой стороне верхних цилиндров I, II и III сушильных групп, на 12 нижнем цилиндре II сушильной группы, на верхнем последнем 71 цилиндре VI группы и на первом нижнем 72 цилиндре VII группы. На остальных шаберах возвратно-поступательное движение последних осуществляется пневматическим механизмом диафрагменного типа двухстороннего действия, установленным с лицевой стороны. Усилие прижима ножа к поверхности цилиндра осуществляется за счет собственной массы. Подъем и опускание шабера осуществляется поворотом рукоятки на ось которой насажен эксцентрик. Материал ножей шаберов для цилиндров с покрытием текстолит или специальный пластик, для всех остальных цилиндров устанавливаются лезвия из стали У ЮА.

Нож для заправки предназначен для получения заправочной полоски и косого среза полотна картона при заправке на клеильный пресс и каландры. Нож клинкового типа закреплен на каретке, поворотом которой подводится к полотну картона.

Заправка картона в сушильной части разбита на 8 канатиковых групп. Натяжение канатиков осуществляется грузовыми натяжными станциями, по одной в каждой канатиковой группе.

Приемник брака предназначен для направления брака в гидроразбиватель. Представляет собой кожух, изготовленный из листовой стали толщиной 3 мм.

Труба для сдувки установлена с лицевой стороны машины у 71-го сушильного и верхнего холодильного цилиндра и предназначена для предотвращения движения картона вместе с верхней сеткой при обрыве. Труба установлена так, чтобы картон, отделяясь от верхней сетки падал вниз в гидроразбиватель. Труба заканчивается соплом, через которое в момент обрыва полотна подается воздух.

Пароконденситная система

Система пароснабжения сушильной части разработана и поставлена фирмой Ланг-Реглер и предусматривает принудительную циркуляцию пара, обеспечивающую постоянство заданного теплового режима в каждой группе сушильных цилиндров, а также возможность использования теплосодержания поступающего пара и высокую теплопередачу путем принудительного отвода неконденсируемых газов.

Картоноделательная машина по пару имеет предварительную и дополнительную (досушивающую) сушильные части. Между цилиндрами 71 и 72 находится клеильный пресс.

Предварительная сушка разделена на три основные узла (HI, Н2, НЗ), из них первый узел подразделяется еще на три узла (HI a, Hlb, HI с) и третий подразделяется горизонтально на верхние и нижние цилиндры (НЗ верх., РЗ нижн.). Нагревательная система устроена таким образом, чтобы в нагревательном узле НЗ давление всегда было выше, чем в узлах HI и Н2. Это имеет место также и тогда, когда в третьем узле идет дифференцированный нагрев.

Дополнительная сушильная часть подразделяется на два основных узла (Н4 и Н5). Каждый узел делится горизонтально на верхний (Н4верх., Н5 верх.) и нижний (Н5 верх., и Н5 нижн.) цилиндровые узлы.

Распределение сушильных цилиндров по паровым группам представлено в табл.2.

товарный запас сбыт логистический

Таблица 2 Распределение сушильных цилиндров по паровым группам

№ группы

Количество сушильных цилиндров

Номера цилиндров

Предварительная сушильная часть

Группа H1 а

2 цилиндра

 №№ 1-2

Группа H1

3 цилиндра

 №№ 3-5

Группа Н1с

5 цилиндров

 №№6-10

Группа Н2

20 цилиндров

 №№ 11-30

Группа НЗ верх.

21 цилиндр

 №№31-71 нечетные верхние

Группа НЗ нижн.

20 цилиндров

 №№ 32-70 четные нижние

Дополнительная сушильная часть

Группа Н4 верх

2 цилиндра

№№ 73-75 нечетные верхние

Группа Н4 нижн

2 цилиндра

№№ 72-74 четные нижние

Группа Н5 верх

9 цилиндров

№№ 77-93 нечетные верхние

Группа Н5 нижн

9 цилиндров

№№ 76-92 четные нижние


Нагревательные узлы Н5 верх. и Н5 нижн. оснащены термокомпрессорами. Термокомпрессоры имеют следующие функции: проходящая по сушильным цилиндрам пароконденсатная смесь разделяется в соответствующем сепараторе. Выпар подается в термокомпрессор со стороны разряжения, сжимается в трубе Вентури с рабочим паром и доводится до давления соответствующего нагревательного узла.

В принципе, если бы при конденсации в цилиндре не образовались инертные газы, любой нагревательный узел, оснащенный термокомпрессором, мог бы производить непрерывную циркуляционную обработку выпара. В целях непрерывного отвода из системы этих паров необходим вывод части потока. Выпар используется для нагрева последующих нагревательных узлов, соединенных с вакуумной системой. Каждый цилиндр имеет со стороны пара запорный клапан, со стороны конденсата цилиндры оснащены смотровым глазком, конденсатной диафрагмой и запорным клапаном.

В сушильных цилиндрах конденсируется необходимое для сушки картона количество пара, образующийся конденсат и необходимое для обезвоживания количество выпара отводится через сифон по сборному трубопроводу к соответствующему сепаратору.

Пароконденсатная система имеет закрытую конфигурацию, выход в атмосферу только через вакуумную станцию (для удаления не поддающихся конденсации газов).

. Клеильный пресс

Клеильный пресс наклонного типа установлен между VI и VII приводными сушильными группами (между 71 и 72 сушильными цилиндрами). Угол наклона плоскости проходящей через оси валов, к горизонтальной плоскости составляет 30 градусов. Картон подводится к валам сверху.

Один из валов пресса обрезиненный, установлен на поворотных опорах и прижимается ко второму при помощи пневматического мембранного механизма; второй вал (верхний) со стонитовым покрытием установлен на неподвижных опорах.

Валы пресса имеют диаметр 800 мм, расчетное давление между ними 30 кН/м. Оба вала приводные, бомбированы на 0,35 мм по диаметру (на линейное давление 15 кН/м. Клей наносится на обе стороны полотна картона двумя спрысковыми трубами, расположенными над валами пресса.

Регулирование расхода при работе и включение / выключение подачи клея при обрыве осуществляется ручными шаровыми вентилями. Для создания между валами необходимого уровня клеевой ванны, одинакового по всей ширине картонного полотна, предусмотрены торцевые щитки. Излишек клея через зазоры между торцевым щитком и валами стекает в воронки с лицевой и приводной стороны, из которых направляются на вибрационный фильтр, и возвращается в расходный бак. По краям валов предусмотрены корыта для улавливания разбрызгиваемого клея.

Заправка полотна картона через клеильный пресс осуществляется системой заправочных канатиков сушильной части при разведенных валах. Во время заправки картона торцевой щиток и воронка, установленные на лицевой стороне машины, отводятся при помощи пневмоцилиндра. После того, как полотно картона будет заправлено в 7-ю группу, валы пресса сводятся и нагружаются, подводится на место торцевой щиток и воронка, и открывается подача клея.

. Каландр

Каландр представляет собой шестивальную батарею (в работе находятся четыре вала для снижения объемного веса картона 4-й и 5-й валы демонтированы).

Верхний и нижний валы диаметром 550 мм с регулируемым прогибом системы "Кюстнер". Вал состоит из стального сердечника и чугунной рубашки с отбеленным наружным слоем. Пространство между рубашкой и сердечником с помощью продольных и поперечных уплотнений делится на две камеры. В напорную камеру подается масло под давлением, соответствующим линейному давлению в захвате между валами для нижнего вала, или усилию дополнительного прижима - для верхнего вала. В результате этого сердечник изгибается, а образующая рубашка остается прямолинейной.

Второй вал диаметром 500 мм - приводной. Вал чугунный с приставными стальными цапфами.

Третий вал диаметром 400 мм изготавливается из чугуна отливкой в кокиль, имеет твердую отбеленную поверхность и сквозное сверление для обогрева паром или охлаждения водой через сальниковую головку. Корпус сальника имеет 2 патрубка, соединенных с подводящей и отводящей магистралями. По подводящей магистрали может поступать пар или вода, по отводящей - конденсат или вода.

Каландр оборудован устройством для вылегчивания валов, механизмом для подъема и опускания валов с приводом от реверсивного электродвигателя и устройством для дополнительного прижима верхнего вала. Все механизмы расположены внутри станины каландра. Скорость подъема валов 45 мм/мин. При подъеме валов между ними образуется зазор 6-7 мм. Подъем валов сблокирован с дополнительным прижимом, который обеспечивает увеличение линейного давления каландровых валов при давлении воздуха 0,4Мпа на 40 кН/м и может быть увеличен до 110 кН/м.

Станины каландра односторонние открытые, коробочного типа, устанавливаются на специальные усиленные шины.

Шаберы установлены на всех валах каландра. Линейное давление в зоне контакта осуществляется за счет собственной массы шабера: 140-160 Нм для шабера нижнего вала и 120-140 Нм для остальных шаберов. Отвод шаберов осуществляется пневмоцилиндрами, установленными на приводной стороне. Шабер нижнего вала имеет пневматический мембранный привод для возвратно-поступательного движения вдоль оси вала и может работать независимо от остальных шаберов.

. Накат

С каландра картон поступает на накат "Попе" переферического типа с пневматической системой прижима. Для расправления складок полотна картона перед накатом установлен расправляющий валик "Маунт-Хоуп".

Накат состоит из чугунного цилиндра диаметром 1100 мм и длиной 4500 мм, к которому прикреплены стальные крышки с запрессованными в них цапфами, приемных и направляющих рычагов, и системы прижима.

Приемные рычаги во время намотки переводятся в начальное (верхнее) положение. В них укладывается свободный тамбурный вал, на который будет наматываться следующий тамбур картона. К приемным рычагам крепятся пневмоцилиндры, прижимающие тамбурный вал к цилиндру наката и зубчатые секторы, с помощью которых осуществляется поворот рычагов. Поворот приемных рычагов механизирован. Зубчатые секторы обоих приемных рычагов сцепляются с шестернями, насаженными на вал, связанный через втулочно-пальцевую муфту с червячным редуктором. Редуктор через фрикционную муфту предельного момента связан с двигателем. На валу двигателя установлен электромагнитный тормоз.

Тамбурный вал диаметром 420 мм изготовлен из стальной трубы с запрессованными в нее чугунными патронами и стальными цапфами. Цилиндрическая поверхность вала шлифована.

После того, как диаметр наматываемого тамбура достигнет 600 мм, тамбур из приемных рычагов перекладывается в направляющие, по которым тамбурный вал перекатывается в процессе дальнейшей намотки. Наибольший диаметр наматываемого тамбура 2200 мм. Прижим наматываемого на тамбур картона к цилиндру наката и отвод готового тамбура осуществляется основными рычагами с помощью пневмоцилиндров. Синхронизация движения рычагов осуществляется валом, соединяющим оба рычага.

Для уменьшения электризации и для охлаждения картона цилиндр наката может охлаждаться водой. Подвод и отвод воды осуществляется с лицевой стороны.

На накате предусмотрен шабер обычной конструкции с прижимом от собственной массы. Колебательное движение шабера осуществляется от двух диафрагм, расположенных гна лицевой и приводной сторонах, а отвод шабера - пневматическим цилиндром.

. Система воздушно-вакуумной заправки

С целью снижения непроизводительного времени работы при заправке картоноделательной машины и обеспечения требований безопасного производства работ участок сушильная часть- каландр- накат КДМ оснащен системой воздушно-вакуумной заправки, состоящей из :

вакуумные транспортеры 2 шт;

вакуум-вентилятор 2 шт;

отсечной нож 1 шт;

отражатели 3 шт;

воздушные спрыски 2 шт.

Система воздушно-вакуумной заправки предусматривает автоматическую проводку полосы картона шириной 100-130 мм от холодильного цилиндра № 95 в каландр и накат КДМ. Заправка ленты картона в каландр и накат, а также нахождение персонала в зоне цилиндра №95 - каландр в момент заправки запрещен.

. Привод КДМ

Привод картоноделательной машины многодвигательный, тиристорный с встроенными тахогенераторами, установленными на электродвигателях постоянного тока серии G , изготовленными фирмой "АЕГ".

В приводе мокрой части и клеильного пресса применены цилиндрические двухступенчатые редуктора поставки фирмы "Эшер-Висс", в приводе сушильной части и наката применены два типоразмера редукторов цилиндрических двухступенчатых Ц2У отечественного производства.

На картоноделательной машине имеется 26 приводных точек:

верхний и нижний прессовые валы поворотного пресса;

I, II, III, IV, V, VI, VII вакуум-формующие цилиндры ;

нижний вал гауч-пресса;

нижний и средний валы комби-пресса;

пресс;

I, II, III, IV, V, VI, VII, VIII приводные сушильные группы;

верхний и нижний валы клеильного пресса;

каландр;

накат.

. Вентиляция

Вентиляция машины обеспечивает:

отвод паров воды из сушильной части машины ;

распределение сушильного воздуха под колпаком;

продувку сушильных сеток;

обдув валов каландра;

утилизацию тепла паровоздушной смеси, удаляемой из сушильной части;

аварийную вентиляцию под колпаком машины.

В зале КДМ принята приточно-вытяжная вентиляция с утилизацией тепла. Воздух, необходимый для сушки, в количестве 75 % от расчетного подается под колпак через сеткопродувные камеры; воздух из помещения цеха в количестве 25 % от расчетного подсасывается под колпак за счет разряжения, создаваемого вытяжными вентиляторами теплорекуперационной установки (ТРА).

С целью обеспечения организованного отвода паровоздушной смеси, сушильная часть машины укрывается колпаком закрытого типа с пятью вытяжными патрубками, снабженными регулирующими клапанами. Необходимый воздухообмен под колпаком должен быть около 301000 м3/час.

Колпак вентиляционный закрытый длиной 97600 мм, высотой 6860 мм и шириной 9390 мм разбит на два самостоятельных колпака: до клеильного пресса (предварительная сушильная часть) и после клеильного пресса (дополнительная сушильная часть), клеильный пресс выделяется и укрывается колпаком открытого типа. Каркас колпака состоит из поперечных ферм, балок и строек, установленных на станины сушильной части. Лицевая стенка колпака состоит из неподвижных и подъемных щитов по всей длине колпака. Подъемные щиты имеют дистанционное управление. Приводная сторона колпака состоит из неподвижных и раздвижных щитов-дверей.

Щиты колпака состоят из каркаса, выполненного из прессованного алюминиевого профиля, обшитого алюминиевыми листами, наружная сторона листов гофрированная. Пространство между листами заполнено пакетами теплоизоляции. Для регулирования потока удаляемой паровоздушной смеси по ширине сушильной части установлены специальные заслонки, расположенные в потолочной подшивке колпака. Укрытие сушильной части машины в 1 этаже состоит из каркаса, выполненного из стальных уголков и гофрированных алюминиевых листов. С приводной и лицевой стороны двери и щиты раздвижные.

Для интенсификации процесса сушки и продувки межцилиндровых пространств предназначена установка сеткопродувных камер. Неподвижная камера с воздуховыпускной щелью вдоль образующей сетковедущего вала разделена продольной перегородкой на приемную и сопловую части. Поперечные перегородки делят сопловую часть на отдельные зоны, каждая из которых разделена подвижной диафрагмой и неподвижно встроенным ограничителем на два канала, снабженных отверстием для входа рабочей среды и подсоса циркулирующей. Подвижная диафрагма выполнена в виде двухстворчатого клапана и снабжена исполнительным механизмом. Горячий воздух с температурой 100 °С по системе воздуховодов, выполненных из алюминиевых листов, подается к сеткопродувным камерам. Далее, через отверстия, воздух с большой скоростью проходит канал, увлекая за собой воздух из межцилиндрового пространства, который подсасывается через отверстия и смешивается с ним перед выпускной щелью.

Для догрева сушильного воздуха до 100°С и увеличения напора в тракт подачи под машину сушильного воздуха встроен дополнительный осевой вентилятор ВО-11 ВН, производительностью 52000 м3/час. Воздух нагревается в трех калориферах КФБ-11.

. Теплорекуперация

Теплорекуперационная установка предназначена для утилизации тепла паровоздушной смеси, отходящей отсушильной части, вентиляции машиныи машинного зала. Утилизированное тепло идет на нагрев воздуха, поступающего под машину для сушки картона и нагрев вода для технологических нужд.

Теплорекуперационная установка состоит из:

х теплорекуперационных агрегатов ТРА-ЗН;

бака с насосами;

воздуховодов и трубопроводов с запорной и регулирующей арматурой воды, пара и конденсата.

Теплорекуперационный агрегат состоит из двух трубчатых теплообменников, системы очистки паровоздушной смеси, скруббера.

Трубчатые теплообменники предназначены для нагрева воздуха, подаваемого в цех из атмосферы и из цеха в сушильную часть машины. Скруббер предназначен для нагрева технологической воды. Система очистки паровоздушной смеси служит для увлажнения и очистки паровоздушной смеси. Кроме того, агрегат укомплектован клапанами, служащими для количественного и качественного регулирования нагреваемого воздуха; секциями подогрева, предназначенными для догрева воздуха, поступающего в цех (в зимний период) и воздуха идущего в сушильную часть картоноделательной машины.

Паровоздушная смесь из закрытого колпака через патрубки поступает в вентиляционный короб, а затем в теплорекуперационные агрегаты. В приемной камере агрегата паровоздушная смесь очищается от пыли и увлажняется до 100 %, после приемной камеры она последовательно проходит теплоуловитель для нагрева сушильного воздуха, теплоуловитель для нагрева вентиляционного воздуха, скруббер, а затем с помощью вытяжного вентилятора выбрасывается в атмосферу.

Для подачи на вентиляцию машины из верхней зоны машинного зала забирается воздух с температурой 25-30°С, влагосодержанием 22 г/кг сухого воздуха, нагревается в теплоуловителе до температуры 40°С, догревается в секции подогрева до 55°С, а затем по воздуховодам с помощью осевого вентилятора подается в сушильную часть машины.

Воздух на вентиляцию машинного зала забирается из атмосферы, нагревается в теплоуловителе до температуры 15-20°С, догревается в секции подогрева до температуры 20-35 °С, а затем по воздуховодам направляется на вентиляцию машинного зала.

Теплая вода из агрегата по трубопроводам поступает через фильтр в сборный бак теплой воды. Очищенная теплая вода с помощью насосов направляется в теплорекуперационные агрегаты ТРА-ЗН на очистку и увлажнение паровоздушной смеси. [13]

. Переработка брака

Удаление и переработку "мокрого" и "сухого" брака предусматривается как при обрывах картонного полотна, так и при безобрывной работе картоноделательной машины.

"Мокрый" брак во время обрыва полотна, а также в виде отсечки во время безобрывной работы попадает в гидроразбиватель "мокрого" брака (12RB01) под комби-прессом, где всегда находится некоторое количество суспензии. Распущенный "мокрый" брак насосом 12RP02 направляется на переработку в ЗММ.

Распущенный "сухой" брак из гидроразбивателей: после клеильного пресса, каландра и наката, меловальной установки, продольно-резательного станка соответствующими насосами перекачиваются в бассейн "сухого" брака КДЦ в который также поступает "сухой " брак из гидроразбивателей цеха переработки картона (отделение резки малоформатных рулонов и листового картона). Из бассейна сухого брака КДЦ насосом масса перекачивается в 600 м1 бассейн РПУ на дальнейшую переработку.

. Отделка картона

С наката картоноделательной машины или меловальной установки тамбуры с намотанным на них картоном мостовым краном грузоподъемностью 2x15 т., подаются к продольно-резательному станку, на котором картонное полотно разрезается и наматывается в рулоны диаметром до 1100 мм. Ширина (формат) рулонов определяется требованиями заказчика и может составлять от 525 до 2100 мм с двумя обрезанными кромками или 2150 мм с одной обрезанной кромкой.

Продольно-резательный станок имеет нижнюю заправку картонного полотна между несущими валами. Оба несущих вала рифленые. Для продольной резки картона имеется 8 пар отдельно стоящих ножей. Резка картона осуществляется по принципу ножниц. Нижние (чашечные) ножи имеют у каждого самостоятельный привод мощностью 0,35 кВт. Верхние дисковые ножи имеют механизм автоматического подъема-опускания (кроме кромочных).

Картон наматывается на гильзы внутренним диаметром 75, 125, 150 или 250 мм. Гильзы должны быть прочными и несминаемыми в процессе намотки и размотки рулона.

Привод несущих валов станка двухдвигательный, с электродвигателями постоянного тока мощностью по 160 кВт и тирристорным регулированием числа оборотов. Заправочная скорость станка 25 м/мин, рабочая скорость от 300 до 1200 м/мин. Торможение станка - электродинамическое тормозным генератором мощностью 160 кВтсосвоим тиристорным преобразователем.

Для изготовления гильз используется картон толщиной 0,3-0,7 мм, котрый разрезается на 6o6hhs на бобинорезательном станке. Гильзы изготавливаются на станке спиральной намотки. Склеивание гильз осуществляется поливинилацетатной эмульсией. Для лучшего скольжения гильзы по штанге при ее намотке на внутреннюю ленту наносится расплавленный парафин. Резка гильз по форматам ведется на гильзорезательном станке.

С продольно-резательного станка рулоны картона поступают на транспортно-упаковочную линию ТГ-1, на которой рулоны взвешиваются, маркируются и упаковываются. Перед упаковкой в гильзу каждого рулона с обеих сторон забиваются пластмассовые пробки. Взвешивание и маркировка рулонов ручные. Упаковка картона осуществляется на рулоноупаковочном станке. На упакованные рулоны наклеиваются этикетки и рулоны направляются по системе транспортеров в склад готовой продукции.

. Автоматическая система управления технологическим потоком (АСУТП АББ)

АСУТП АББ многофункциональна, она решает задачи управления качеством и задачи простого локального регулирования параметров процесса. АСУТП состоит из аппаратуры и програмного обеспечения, которые помогают оператору управлять технологическим процессом.

Аппаратура

Аппаратура АСУТП АББ состоит из следующих основных устройств:

технологических контроллеров;

операторских станций;

сканера с датчиками веса, влажности и толщины;

принтеров;

системной шины;

сетевой шины TCP/IP.

Технологические контроллеры

Технологические контроллеры предназначены для получения информации о состоянии технологического процесса от различных датчиков, обработке полученной информации в соответствии с заложенной программой, выдаче управляющих воздействий на процесс. К технологическому контроллеру подключен сканер, датчики и исполнительные механизмы постоянной части КДМ. К технологическому контроллеру подключены датчики и исполнительные механизмы, расположенные на оборудовании для подачи химикатов и оборудования паро-конденсатной системы.

Операторские станции

Операторские станции предназначены для отображения информации о технологическом процессе, задании режимов управления процессом и ввода заданий параметров процесса.

Сканер

Сканер, или интеллектуальная платформа, предназначен для перемещения установленных на нем датчиков веса, влажности и толщины поперек движущегося картонного полотна. Для измерения массы 1м: используется радиоактивный источник излучения - частиц типа STLK-11. В качестве радиоактивного источника применяется Криптон-85 с интенсивностью излучения 0,25 Кюри и временем полураспада 10,5 лет. Сканер оснащен собственным контроллером, который обрабатывает информацию, поступающую с датчиков и передает по специальной связи в технологический контроллер. Для обеспечения постоянной точности измерения контроллер автоматически выводит датчики за край картонного полотна и проводит стандартизацию.

Сканер в режиме непрерывного сканирования собирает информацию о продольном и поперечном профиле картонного полотна по весу, влажности и толщине.

Принтеры

В АСУТП АББ используются два принтера, которые предназначены для решения следующих задач:

струйный цветной для печати копий кадров;

матричный, подключенный к станции оператора на накате, для печати рапортов.

Системная шина

Информация от технологического контроллера на станцию оператора и обратно передается по системной шине. Сетевая организация системы позволяет выводить на операторскую станцию информацию с любого технологического контроллера подключенного к сети.

Сетевая шина

Сетевая шина предназначена для подключения сетевого принтера и обеспечения возможности подключения к другим системам управления, учета и т.д.

Программное обеспечение

Программная часть АСУТП АББ реализована на базе системы Аккурей - 1190, которая имеет следующие основные программы управления:

модуль управления массой 1м2 картонного полотна вдоль машины;

модуль управления влажностью картонного полотна вдоль машины;

координированное управление сушкой картонного полотна;

координированное управление изменением скорости картоноделательной машины;

система управления 8 вакуум-формующими устройствами (4354);

система управления подачей массы по слоям

система последовательного компенсационного управления -юнцентрацией;

система локального регулирования.

Модуль предназначен для регулирования массы 1 м2 в продольном направлении. Он содержит функции управления сканированием, которые из профиля массы 1м2 полученного со сканера рассчитывает текущее значение 1 м2 массы для регулятора количества массы. Управляющее воздействие, в виде задания суммарного расхода густой массы (массы перед смесительными насосами), поступает в систему управления распределения подачи массы по слоям.

Модуль управления влажностью вдоль машины

Модуль предназначен для регулирования влажности картонного полотна в продольном направлении. Он содержит функции управления сканированием, которые из полученного со сканера профиля влажности рассчитывает текущее значение влажности для регулятора влажности. Управляющее воздействие, в виде задания давления пара, поступает в регулятор давления пара в пятой сушильной группе. Кроме этого, при достижении предельных значений (минимального или максимального) задания в пятой сушильной группе, выдается новое задание в третью сушильную группу для вывода пара в пятой сушильной группе в рабочий режим.

Координированное управление сушкой

Координированное управление сушкой уменьшает потери тепла в сушке во время обрыва полотна и уменьшает вероятность пересушивания при перезаправке. Когда происходит обрыв, все контуры управления паром снижают задания и остаются постоянными по величине. Величина задания определяется в виде процента от предшествовавшего обрыву задания или в виде определенного заранее абсолютного значения давления. К концу обрыва все задания снова автоматически меняются до величин предшествовавших обрыву.

Координированное управление изменением скорости

Пакет программ для управления скоростью обеспечивает координированное изменение с упреждением заданий в другие контуры управления продольным профилем полотна для обеспечения стабильности показателей качества при изменении производительности (скорости) КДМ. Пакет позволяет программно изменять задания локальным контурам управления и координировать эти изменения заданий с учетом различия транспортных запаздываний и постоянных времени, стабилизируя этим качество картона при изменении скорости картоноделательной машины.

Система управления фермерами

Система управления вакуум-формующими устройствами регулирует соотношение струя/сетка на каждом вакуум-формующем цилиндре. Это необходимо для обеспечения физико-механических свойств картона при смене сорта и увеличении скорости картоноделательной машины.

Система управления подачей массы по слоям

Система управления подачей массы по слоям предназначена для обеспечения подачи густой массы к смесительным насосам так, чтобы:

поддержать заданный суммарный расход массы;

при изменении по желанию оператора расхода массы на один из вакуум-формующих цилиндров, суммарный расход массы оставался неизменным;

компенсировать колебания концентрации поступающей массы.

Кроме этого система управления подачей массы при поступлении нового задания от верхних контуров управления распределяет изменение задания на формующих цилиндрах, определенных оператором.

Система последовательного компенсационного управления концентрацией массы

Система предназначена для подстройки показания датчиков концентрации по лабораторным анализам, а так же дополнительной фильтрацией значений концентрации перед подачей данных в систему управления подачей массы.

Система локального регулирования

Система предназначена для построения локальных контуров регулирования параметрами технологического процесса. На ее базе построено непосредственно цифровое регулирование параметров на пароконденсатной системе, системе управления химикатов и нижний уровень управления мокрой частью картоноделательной машины.

Управление процессом

Управление процессом осуществляется со станций оператора, в состав которых входит монитор, специальная клавиатура и трекбол. На мониторе отображается вся информация о процессе в виде картинок (см. рис 17-30).

Описание как пользоваться клавиатурой и трекболом, с описанием возможности системы по отображению информации о состоянии процесса, изложено в Инструкции для оператора по работе с системой Аккурей-1190. АСУТП АББ дает оператору возможность:

видеть состояние параметров технологического процесса;

управлять параметрами технологического процесса в различных режимах, начиная с ручного управления клапанами и другими исполнительными механизмами до автоматического управления весом 1 м картонного полотна, влажностью и т.д.;

отображать предисторию технологического процесса в виде трендов (графиков изменения значений параметров во времени), на которых можно произвольным образом совмещать одновременно до шести параметров;

печатать рапорта;

печатать копию экрана.

Основные правила приемки, складирования, хранения и перевозки сырья, материалов, полуфабрикатов и готовой продукции

В процессах приемки, транспортирования, погрузо-разгрузочных работ и складирования сырья, материалов и химикатов возможно действие следующих опасных факторов:

движущихся частей и механизмов, включая авто- и электропогрузчики;

незащищенных подвижных элементов производственного оборудования и передвигающихся грузов;

повышенной или пониженной влажности воздуха, перепадах температур (особенно в зимний период) между цехом, улицей и складом;

повышенного напряжения электрической цепи;

недостаточной освещенности рабочей зоны;

химического воздействия вредных веществ.

При поставке и приемке сырья, химикатов, материалов и готовой продукции необходимо стремиться обеспечить их механизированный прием, разгрузку, транспортирование и подачу в производство.

Подъем и перемещение грузов вручную допускается с соблюдением норм, установленных действующим законодательством и следующих требований:

при транспортировании, укладываемый на тележку груз, не должен выступать за габариты тележки; центр тяжести груза должен находится между осями колес;

перемещение тележки вручную должно производиться толканием от себя, при этом рабочие должны находиться сзади.

При приемке сырья и химикатов все грузы должны осматриваться с целью определения:

правильности выбора типа складирования и крепления грузов;

порядка разбора штабелей штучных товаров;

необходимых механизмов, приспособлений и средств малой механизации (механические, ручные тележки, ломы, лопаты и т.д.) для производства погрузо-разгрузочных работ и для укладки грузов на складе для их хранения;

средств индивидуальной защиты работающих и мероприятий по защите окружающей среды от загрязнения вредными веществами.

На складах должны быть предусмотрены проезды шириной, превышающей габариты транспортных средств по ширине на 0,8м в каждую сторону (но не менее 2-х метров).

На складах готовой продукции установка в штабеля рулонов и кип картона должны производиться рулон на рулон или кипа на кипу. При этом не допускается смещение их по вертикальной оси больше чем на 5 % диаметра нижнего рулона и ширина кипы. Установка рулонов большего диаметра на меньший не допускается при разнице диаметров рулонов более 5 % по отношению к меньшему рулону. Горизонтальная укладка рулонов картона допускается не выше 3-х ярусов с обязательным применением противораскатных приспособлений.

Кипы перевозятся и складируются автопогрузчиками с вилочным захватом, рулоны перевозятся и складируются автопогрузчиками с боковыми захватами. При перемещении погрузчика с грузом раму автопогрузчика устанавливают в транспортное положение, при котором вилки с грузом или захват должны быть подняты на высоту 200-300 мм, а рама полностью наклонена назад.

С целью обеспечения безопасности при производстве внутри складских работ по укладке грузов в штабеля и их разборке с помощью погрузо-разгрузочных механизмов, должны применяться съемные грузозахватные приспособления.

При погрузо-разгрузочных работах должны быть назначены ответственные за безопасную организацию и соблюдение требований безопасности на всех участках производственного процесса. [14]

.5 Основные направления деятельности ОАО "СПб КПК"

Приоритетными и основными направлениями деятельности ОАО "СПБ КПК" являются:

Выполнение планового задания по прибыли и выплата дивидендов

Выполнение инвестиционной программы

Совершенствование системы управления (ИСО) БААН

Выполнение мероприятий по защите прав акционеров

Экологическая программа

Социальная программа.

Основной вид деятельности комбината - производство и реализация коробочного картона и заготовок коробок с многокрасочной печатью. Ассортимент вырабатываемой продукции:

полиграфический упаковочный картон (коробочный картон) в т.ч.

мелованный коробочный картон (форма выпуска: рулоны, листы),

немелованный коробочный картон (форма выпуска: рулоны, листы),

картон для изготовления спичечных коробков (форма выпуска: рулоны);

картон облицовочный (форма выпуска : рулоны);

крой складных коробок с многокрасочной печатью;

тепловая и электрическая энергия.

Номенклатура изделий ОАО "СПб КПК" - это коробочный картон из макулатуры показан в табл. 3, которая отражает динамику за период 2008 -2010 годы. Из таблицы видно, что 2010 год был периодом устойчивого спроса на рынке картона. Увеличились объемы производства, изменилась структура выпуска картона.

Динамика объемов производства коробочного картона

Таблица 3 Номенклатура изделий предприятия

Продукция

Ед. изм

2008

2009

2010

Картон всего в т.ч.

тн

190657

204752

215953

картон мелованный марок Нева, МО, МГ, Атлантика

тн

73737

81992

82084

Картон мелованный облагороженный марки МОО

тн .

42

-

-

картон немелованныи марки Ладога

тн

28662

28472

27002

картон немелованный облагороженный марки НО

тн.

154

-

-

картон коробочный марки Б

тн

5019

4447

3510

картон для спичечных коробок СН, СВ

тн

11065

10619

11433

картон облицовочный ОБ

тн

43009

52358

68446

картон гильзовый марки Г

тн

40

19

-

картон для плоских слоев (ПСК, ПСБ)

тн.

28930

26845

23478

Из всего объема товарная продукция:





картон ролевый

тн

144564

149520

157344

картон в листах

тн

10025

16488

21100

заготовки коробок, в т.ч.:

тн

24902

26108

25211

с офсетной печатью

тн

16594

17998

17511

с глубокой печатью

тн

8308

8109

7700


2.6 Анализ деловой активности


Деловая активность в коммерческой деятельности предприятия проявляется в динамичности его развития, в достижении поставленных целей, что характеризуется натуральными и стоимостными показателями, а также в эффективном использовании экономического потенциала и расширение рынков сбыта продукции.

При оценке деловой активности предприятия должно соблюдаться следующее "золотое" правило экономики:

100<Такт<Твр<Тпр, (4)

где Такт, Твр, Тпр - темпы роста совокупного капитала, выручки от реализации и прибыли.

Показатели деловой активности характеризуют результаты и эффективность текущей основной производственно-сбытовой деятельности предприятия. Как правило, к этой группе относятся различные показатели оборачиваемости (см. табл. 4). Показатели оборачиваемости имеют большое значение для оценки финансового положения предприятия, поскольку скорость оборота средств оказывает непосредственное влияние на его платежеспособность. Кроме того, увеличение скорости оборота средств, при прочих равных условиях отражает повышение производственно-технического потенциала предприятия.

Таблица 4 Анализ показателей оборачиваемости

Исходные данные

Усл. обозна



Абсол ют.


ч.

2009 г.

2010 г.

откл-е

1 .Выручка от реализации продукции,


223646



тыс. руб.

P

3

2474682

238219

2. Величина активов,


170750



тыс. руб.

А

8

1803315

95807

3. Величина оборотных активов,




-

тыс. руб

ОбА

571661

420902

150759

4. Величина нематериальных





активов,





тыс.руб

НМА

3784

3713

-71

5. Величина основных фондов,


102490



тыс. руб.

ОФ

0

1106359

81459

6. Величина материальных





оборотных средств,





тыс. руб.

3

246329

274293

27964

7. Себестоимость реализованной





продукции,

С/с

192898



тыс. руб.

РП

0

2103582

174602

8. Величина дебиторской





задолженности,





тыс. руб.

дз

149699

142616

-7083

9. Величина кредиторской





задолженности,





тыс. руб.

КЗ

142893

159778

16885

Расчетные показатели





10. Коэффициент общей





оборач и ваемости





активов (ресурсоотдача), обор.


1,31

1,37

0,06

11. Период оборота активов, дней


275

262

-12,52


Таблица 4.1

12. Коэффициент оборачиваемости





оборотных





активов, оборотов


3,91

5,88

1,97

13. Период оборота оборотных





активов, дней


92

61

-30,79

14. Фондоотдача, руб. /руб


2,166

2,226

0,06

15.Коэф.оборачиваемости





материальных обор, средств, об.


9,08

9,02

-0,06

16.Коэффициент оборачиваемости





дебиторской





задолженности, оборотов


14,94

17,35

2,41

17. Коэффициент оборачиваемости





кредиторской задолженности,





оборот.


15,65

15,49

-0,16

18. Срок хранения запасов, дней


40

40

0,25

19. Период погашения дебиторской





задолженности, дней


24

21

-3,35

20. Срок оборачиваемости





кредиторской





задолженности, дней


23

23

0,24

21. Длительность финансового цикла





( цикл деловой активности), дней


41

37

-4


Из данных табл. 4 видно, что на предприятии наблюдается увеличение эффективности использования всех имеющихся ресурсов, независимо от источников их привлечения, то есть в 2010 году полный цикл производства и обращения, приносящий соответствующий эффект в виде прибыли, возрос на 0,06 оборота по сравнению с 2009 годом.

Также наблюдается рост скорости оборота всех оборотных средств предприятия (как материальных, так и денежных) на 1,97 оборота.

Скорость оборота запасов и затрат за анализируемый период снизилась на 0,06 оборота, хотя предприятие имеет относительно устойчивое финансовое положение и ликвидную структуру оборотных средств.

Дебиторская задолженность превращалась в денежные средства в течение 2010 года на 2,41 оборота быстрее, чем в 2009 году, что свидетельствует об увеличении коммерческого кредита, предоставляемого предприятием. В 2010 году предприятию требуется на 0,06 оборота меньше, чем в 2009 году для оплаты выставленных ему счетов.

В 2010 году по сравнению с 2008 годом длительность финансового цикла снизилась на 4 дня и составила 37 дней. На данном предприятии в анализируемом периоде соблюдается "золотое" правило экономики, где:

темп роста прибыли составляет 120,69 %;

темп роста выручки от реализации равен 110,65 %;

темп роста активов составил 105,61 %.

Тпр (120,69 %) > Твр(110,65 %) > Такт (105,61 % )> 100% (5)

Таким образом, деловая активность предприятия стабильна, хотя некоторые показатели имеют тенденцию к незначительному сокращению.

В процессе снабженческой, производственной, сбытовой и финансовой деятельности происходит непрерывный процесс кругооборота капитала, изменяются структура средств и источников их формирования, наличие и потребность в финансовых ресурсах и как следствие финансовое состояние предприятия, внешним проявлением которого выступает платежеспособность и показатели баланса предприятия, представленного в табл. 5.

Таблица 5 Баланс предприятия в 2009-2010г.г.в агрегированном виде, т.р.

Показатели

Усл. Обозн.

2009 г.

2010 г.

АКТИВ:




1. Иммобилизованные средства

F



(внеоборотные активы)

F

1135847

1382413

Мобильные средства (оборотные активы)

Ra

571661

420902

Запасы и затраты

Z

246329

274293

Дебиторская задолженность

Ча

149699

142616

Денежные средства и краткосроч. фин. вложения

D

175633

3993

БАЛАНС

В

1707508

1803315

ПАССИВ:




1. Источники собственных средств

Ис

1389372

1610272

2. Кредиты и заёмные средства

К

318136

193043

Долгосрочные кредиты и займы

Кт

-

2676

Краткосрочные кредиты и займы

Кt

174030

Кредиторская задолженность

Rp

144106

160913

БАЛАНС

В

1707508

1803315

 

2.7 Анализ финансовой устойчивости предприятии


Финансовая устойчивость - способность предприятия функционировать и развиваться, сохранять равновесие своих активов и пассивов в изменяющейся внутренней и внешней среде, гарантирующее его постоянную платежеспособность и инвестиционную привлекательность в границах допустимого уровня риска.

Основная цель оценки финансового состояния предприятия - получение небольшого круга наиболее информативных параметров, дающих объективную и точную картину финансовых результатов, изменения в структуре его активов и пассивов, которая характеризуется данными табл.6.

Таблица 6 Анализ абсолютных показателей финансовой устойчивости предприятия, тыс. руб.

Показатели

Обозначения

2009 г.

2010 г

Абсолют откл-е

Показатели, характеризующие степень охвата источников средств для формирования запасов и затрат





1. Наличие собственных оборотных средств

Ес

253525

227859

- 25666

2. Наличие собственных оборотных и долгосрочных заёмных источников

Ет

25352 5

23053 5

-22990

3. Общая величина основных источников формирования запасов

Е∑

42755 5

25998 9

167566

Показатели обеспеченности запасов источниками их формирования





4. Излишек (недостаток) собственных оборотных средств

ДЕс

86675

46234

-40441

5. Излишек (недостаток) собственных оборотных и долгосрочных заёмных источников

ДЕт

86675

48910

-37765

6. Излишек (недостаток) основных источников формирования запасов

ДЕ1

26070 5

78364

182341

Показатели типа финансовой устойчивости

(1,1,1)




Трёхмерный показатель типа финансовой ситуации





Тип финансовой ситуации на предприятии


Абсолютная финансовая устойчивость


Данные табл. 6 показывают, что предприятие находится в состоянии абсолютной финансовой устойчивости. Это означает, что запасы и затраты покрываются собственными оборотными средствами. Предприятие практически не зависит от кредитов. Данный тип характеризуется высоким уровнем рентабельности предприятия, отсутствием нарушений финансовой дисциплины, а также гарантированной платежеспособностью. Однако такую ситуацию нельзя рассматривать как идеальную, так как предприятие мало использует внешние источники финансирования (например, товарные кредиты) для своей хозяйственной деятельности.

2.8 Краткая характеристика деятельности картонного производства


Картонное производство включает в себя: склад макулатуры и целлюлозы, завод макулатурной массы в составе отделения роспуска полуфабрикатов, цех подготовки макулатурной массы, химический цех для приготовления химикатов и меловальной пасты, картоноделательный цех в составе двух картоноделательных машин мощностью по 100 тыс. тонн картона в год.

Рассмотрим картоноделательный цех (КДЦ).

Основной продукцией, вырабатываемой на картоноделательной машине, являются следующие виды картона:

Картон хром-эрзац мелованный и немелованный "Нева" и "Ладога" - предназначен для изготовления потребительской тары и полиграфических изделий с одно- и многокрасочной печатью для упаковки пищевых продуктов, фармацевтических и парфюмерно-косметических товар, промышленных товаров широкого аспекта, товаров бытовой химии и других изделий.

Картон хром-эрзац макулатурный:

немелованный марки Н массой 310, 370, 440 г/м2, толщиной 0,37-0,64 мм; -мелованный марок МО и МГ массой 320, 380, 450 г/м2 толщиной 0,37- 0,64 мм;

предназначен для изготовления потребительской тары с многокрасочной печатью и без печати.

Картон хром-эрзац макулатурный облагороженный марок МОО, МГО массой 320, 370, 450 г/м2 и марки КОК массой 220 г/м2 и толщиной 0,35 мм - применяется как картон-основа для игральных карт и для изготовления потребительской тары с многокрасочной печатью, применяемой для упаковки пищевых продуктов народного потребления.

Картон коробочный мелованный мари МК массой 320, 380, 450 г/м2 толщиной 0,37-0,64 мм - предназначен для нужд народного хозяйства.

Спичечный картон предназначен для изготовления наружных и внутренних частей спичечных коробок.

Картон для плоских слоев гофрированного картона с белым покровным скартослоем марки КХСД толщиной 1,2-2,0 мм массой 950-1550 г/м2 - предназначен для изготовления плоских слоев гофрированного картона.

Картон облицовочный марки ОБ массой 310, 340, 370 г/м2 предназначен для использования как облицовочного слоя при изготовлении гипсокартона, гипсокартонных листов.

Картон - основа для изготовления переплетного картона марки КОО массой 280 - 450 г/м2, толщиной 0,4 - 0,7 мм - предназначен для использования в качестве сырья для изготовления склеенного картона.

Переплетный картон марки ПКС толщиной 1,5 - 2,0 мм, массой 950 1220 г/м2.

Картон хром эрзац макулатурный выпускается по ТУ 13-028-1020-97-90, коробочный картон выпускается по ТУ 13-028-1020-99-90 и СТП 2-63-91.[13]

 

2.9 Загрузка производственных мощностей


Таблица 7 Загрузка производственных мощностей

Наименование оборудования

Установленная мощность

Фактическая загрузка

Коэф. загр., %

Причины превышения установленной мощности

Картонное производство

КДМ-1

106 084

110 234 тн.

103,9

Изменение технологии

КДМ-2

103 133

105 719 тн.

102,5

Выполнение технических мероприятий

Меловальная установка

77 800 тн.

81 885 тн.

105,3

Изменение технологии К ДМ № 1


Загрузка производственных мощностей в 2005 г характеризуется данными, приведенными в табл.7.

Данные табл. 7 показывают, что производственные мощности используются полностью и дальнейшее расширение производства продукции возможно только за счет установки нового оборудования или модернизации действующего.

 

.10 Используемые информационные системы


С 1998 года ОАО "СПб КПК" внедрил, а теперь эксплуатирует одну из систем класса ERP, систему БААН.

Картонное производство комбината - одно из самых современных в Европе. На производстве установлено оборудование известных европейских фирм. Комбинат провел реконструкцию и модернизацию основного технологического оборудования картонного производства, На предприятии внедрена система Международных стандартов ИСО серии 9001

Наряду с этим корпорацией Илим-Палп была поставлена задача создания единой автоматизированной системы управления бизнесом и поддержки принятия решений.

Руководство холдинга приняло решение ориентироваться на западные ERP- системы. Результатом выбора стала система BAAN- IV.

В качестве пилотного проекта было принято решение о внедрении системы БААН на СПбКПК

Цели внедрения ИСУ БААН на ОАО СПб КПК"

Были определены следующие цели проекта:

Получение руководством предприятия и представителями ИПЭ необходимой управленческой информации.

Повышение оперативности и достоверности учета,

Качественно повысить систему планирования материальных и финансовых ресурсов.

Получение достоверных данных о затратах предприятия сгруппированных по местам их возникновения с необходимой детализацией.

. Внедренная функциональность ИСУ БААН

На настоящий момент внедрена следующая функциональность системы БААН:

БААН - Сбыт, Снабжение, Склады

БААН - производство

БААН - экземплярный учет, являющийся отраслевой локализацией.

БААН - Финансы

БААН - Контроллинг

. Краткая характеристика информационной системы

До внедрения БААНа на комбинате существовала система учета готовой продукции, охватывающая отдел сбыта, производства, склады ГП и бухгалтерию, в которой работало порядка 15 компьютеров. Кроме этого были отдельные АРМы в бухгалтерии. Т.е на комбинате была так называемая лоскутная автоматизация.

На сегодняшний день мы имеем автоматизированную систему на 120 лицензий, в которой работает более 200 пользователей. До ноября 2009 года у нас было 100 лицензий, но затем было приобретено еще 20, в связи с ростом количества пользователей, в первую очередь руководителей высшего и среднего звена.

Управление продажами

В системе ведутся все учетные операции по поставкам ГП. Поскольку есть экземплярный учет, то все операции по перемещению и отгрузке ГП ведутся только через номер экземпляра и через считывание штрих кода. Поскольку предприятие не выходит самостоятельно на рынки сбыта, а ведет всю реализацию через торговый дом, то стоит задача внедрения системы БААН в торговом доме и передачи ему функции планирования производства, управления продажами, управление ценами продаж

В системе накоплены статистические данные по продажам в разрезе номенклатуры и направлений деятельности маркетинговых служб предприятия.

Анализ складских запасов пока ведется через нормирование складского запаса. Задача вычисления оптимального объема заказа и прогноза спроса - это задача ближайшего периода. У нас для этого уже имеется достаточная ретроспектива.

Производство

В системе БААН Реализовано 2 типа производства: Производство на склад и Производство под заказ.

Разработанная функциональность экземплярный учет позволила учитывать в режиме on-line выработку и отгрузку каждого рулона или кипы картона. В этом же модуле сделана связь с системой штрих-кодирования, что позволило упростить и облегчить операции при отгрузке готовой продукции. Данные о выработке выведены в диспетчерскую службу цеха, и с помощью сигнальных кодов

позволяют отслеживать выполнение плана. Частота обновления данных 2 минуты.

Руководители производств имеют оперативную информацию о затратах по видам продукции и по заказам, что дает возможность принимать управленческие решения.

В данный момент идет внедрение системы управления качеством.

Управление продажами

В системе ведутся все учетные операции по поставкам ГП. Поскольку есть экземплярный учет, то все операции по перемещению и отгрузке ГП ведутся только через номер экземпляра и через считывание штрих кода.

Поскольку предприятие не выходит самостоятельно на рынки сбыта, а ведет всю реализацию через торговый дом, то стоит задача внедрения системы БААН в торговом доме и передачи ему функции планирования производства, управления продажами, управление ценами продаж. В системе накоплены статистические данные по продажам в разрезе номенклатуры и направлений деятельности маркетинговых служб предприятия. Также ведется работа по усовершенствованию работы системы и более тщательному анализу статиистических данных для более точного плонирования производства.

 

.11 Анализ прибыли предприятии


В табл. 8 приведены данные о формировании прибыли предприятия за 2010 г.

Таблица 8 Выполнение плана прибылей и убытков


план

факт

откл.

Доходы и расходы по обычным видам деятельности




Выручка (нетто) от продажи товаров, продукции, работ, услуг (за минусом налога на добавленную стоимость, акцизов и аналогичных обязательных платежей)

2 914 237

2 967 635

53 398

Полная себестоимость проданных товаров, продукции, работ, услуг

-2 496 079

-2 448255

47 824

Прибыль (убыток), от продаж

418 158

519 380

101 222

Прочие доходы и расходы




Проценты к получению

11 475

21 461

9 986

Проценты к уплате

0

0

0

Доходы от участия в других организациях

0

0

0


Таблица 8 - продолжение

Прочие операционные доходы

0

51 763

51 763

Прочие операционные расходы

0

-42 639

-42 639

Прочие внереализационные доходы

0

2 535

2 535

Прочие внереализационные расходы

-66 866

-82 792

-15 926

Прибыль (убыток) до налогообложения

362 767

469 707

106 940

Налог на прибыль и др. аналогичные платежи

-97 850

-127 031

-29 181

Чистая прибыль (убыток) отчетного периода

264 917

342 676

77 759


Данные табл.8 показывают, что прибыль от продаж за 2005 год составила 519 380 тыс.руб., что на 101 222 тыс.руб. выше планового значения.

При росте фактического значения выручки на 53 398 тыс.руб., вызванного увеличением объемов продаж товарного картона на 4 336 т, положительное влияние на рост прибыли от продаж оказала экономия по себестоимости продукции на 47824 тыс.руб.

 

.12 Анализ результатов финансово-хозяйственной деятельности ОАО "СПб КПК"


Анализ производственных результатов.

Объем производства и реализации в значительной степени предопределяют уровень таких важнейших показателей производственно- хозяйственной деятельности предприятия, как прибыль, себестоимость продукции.

Производственные результаты зависят главным образом от выпуска продукции в натуральном выражении. Анализ динамики выпуска продукции в натуральном выражении приведен в табл. 9.

Таблица 9 Анализ динамики выпуска продукции в натуральном выражении


Ед. изм.

2008г

2009г

2010 г

Изм. к 2009 г






Абс.

%

хартон - всего, в т.ч.


204 752

215 953

228 092

12 139

5,6

картон мелованный марок Нева, МО, МГ, Атлантика

тн.

81 992

82 084

80 733

- 1 351

- 1,6

картон немелованный марки Ладога, Н

тн.

28 472

27 002

32 787

5 785

21,4

картон коробочный марки Б

тн.

4 447

3 510

-

-3 510


- картон для спичечных коробок СН, СВ

тн.

10619

11 433

10 080

- 1 353

- 11,8

- картон облицовочный ОБ

тн.

52 358

68 446

91 668

23 222

33,9

- картон для плоских слоев (ПСК, ПСБ)

тн.

26 845

23 478

12 284

-11 194

-47,7

Из всего объема товарная продукция:







- картон ролевый

тн.

149 520

157 347

213 756

56 409

35,9

- картон в листах

тн.

16 488

21 103

44 228

23 125

109,6

- заготовки коробок, в т.ч.:

тн.

26 108

25 213

27 341

2 128

8,4

с офсетной печатью

тн.

17 998

17513

19 706

2 193

12,5

с глубокой печатью

тн.

8 109

7 700

7 635

-65

-0,8


По данным табл. 9 можно сделать следующие выводы:

год был периодом устойчивого спроса на рынке картона.

Увеличились объемы производства, изменилась структура выпуска картона:

на 23 668 тн или на 33,9 % увеличился выпуск облицовочного картона по сравнению с 2004 годом.

Продолжился рост объемов переработки картона. Благодаря новой листорезательной машины "Пасабан" объём выпуска товарного листового картона вырос на 23 125 тн., почти в 2 раза.

Вследствие текущей рыночной ситуации незначительно увеличился объем производства полиграфической продукции, объемы производства составили 27 341 тн. (на 2 128 тн. больше 2009 года).

Влияние факторов на изменение выпуска товарной продукции приведены в табл. 10.

Все многочисленные факторы изменения выпуска товарной продукции могут быть сведены к двум основным: изменению выпуска товарной продукции в натуральном выражении и изменению цены за единицу продукции.

Из табл. 10 видно, что выпуск ролевого картона, картона в листах и заготовок коробок увеличился на 194 649,1 тыс. руб. или на 8,2 %.

На объем реализации оказывают влияние такие факторы как: - товарная продукция, выпущенная за отчетный период; -         остатки нереализованной продукции на складе.

В табл.10 приведены данные об изменении объема реализации и показано влияние каждого из этих факторов.

Таблица 10 Факторный анализ объёма реализации




тыс. руб

%

тыс. руб

%

Выпуск продукции в фактических ценах соответствующего года

2462 685

2676 229

213 544

8,67

213 544

8,63

изменение остатков нереализованной продукции

-11 997

+ 15 976

- 27 973

233

- 27 973

- 1,13

Реализованная продукция

2 474 682

2 659 904

185 571

7,48

185 571

7,48


По данным табл. 11 можно сделать вывод о том, что реализованная продукция увеличилась на 185 571 тыс. руб. Это увеличение было достигнуто за счет увеличения товарной продукции на 213 544 тыс. руб., что увеличило объем реализации на эту величину или на 8,63 %. Но увеличение остатков нереализованной продукции на складе уменьшило объем реализации на 27 973 тыс. руб.

Постоянные расходы увеличились по сравнению с 2009 годом на 30 663 тыс. руб.

Анализ прибыли и рентабельности

Основным обобщающим показателем экономических результатов является прибыль. В показателе прибыли отражаются объем выпущенной и реализованной продукции, и эффективность использования всех видов ресурсов. В табл. 11 приведены данные, необходимые для анализа прибыли и рентабельности.

Таблица 11 Оценка динамики прибыли, себестоимости и рентабельности

Показатели

2008 г.

2009 г.

2010 г.

%

Выручка от реализации продукции(без НДС и акцизов)

2 474 682

2 659 904

185 222

7,5

Себестоимость проданной продукции, тыс. руб.

2 103 585

2 299 642

181 653

9,6

Валовая прибыль, тыс. руб.

578 401

581 970

3 569

0,6

Коммерческие и управленческие расходы, тыс. руб.

207 301

221 708

14 407

6,9

371 100

360 262

- 10 838

-2,92

Рентабельность продукции (Р прод), %

17,2

15,6

- 1,6

-9,3

Рентабельность продаж (Р продаж), %

17,6

15,7

-1,9

-10,8

Как показывают данные табл. 12, прибыль от продаж за анализируемый период уменьшилась на 10 838 тыс. рублей. Это связано с тем, что себестоимость продукции увеличивалась более быстрыми темпами на 9,6 %, чем темпы роста объема продаж на 7,5 %. Об этом также свидетельствует уменьшение рентабельности продукции на 9,3 %.

Величина получаемой прибыли оказывает влияние на уровень рентабельности предприятия. Рентабельность характеризует степень прибыльности деятельности предприятия и показывает отдачу затрат и степень использования средств в процессе производства и реализации. [17]

Для анализа рассмотрим динамику основных показателей рентабельности (см. табл. 12).

Таблица 12 Анализ показателей рентабельности

Показатели

2009 г.

2010 г.

Абсол. откл-е

1. Выручка от реализации, тыс. руб.

2 474 682

2 659 904

185 222

2. Полная себестоимость реализованной продукции, тыс. руб.

2 103 585

2 299 642

181 653

3. Прибыль от продаж, тыс. руб.

371 100

360 262

- 10 838

4. Средняя величина активов, тыс. руб.

1 803 315

1 906 219

102 904

5. Стоимость товарной продукции и услуг, тыс. руб.

2 462 685

2 676 229

213 544

6. Себестоимость товарной продукции, тыс. руб..

2 100 424

2 315 255

214 831

7. Прибыль от товарной продукции, тыс. руб.

362 261

360 974

- 1 287

8. Рентабельность продаж, %

17,6

15,7

-1,9

9. Рентабельность продукции, %

17,2

15,6

-1,6

10. Рентабельность активов, %

20,5

18,9

- 1,6


Рентабельность продаж снизилась на 1,9 % и характеризует неэффективность предпринимательской деятельности. В нашем случае рассчитана рентабельность продаж в целом по предприятию. Также этот показатель можно рассчитать по отдельным видам продукции.

Рентабельность продукции упала на 1,6 % и составила 15,6 %. Рентабельность продукции показывает эффективность, понесённых затрат на производство продукции и зависит от эффективности использования всех ресурсов предприятия.

Рентабельность активов характеризует эффективность использования всего имущества предприятия, то есть это общий показатель величины прибыли в расчете на один рубль имущества. За анализируемый период рентабельность активов снизилась на 1,6 % и составила 18,9 %.

Анализ результатов деятельности предприятия за последние годы показывает высокую эффективность производства и достаточную финансовую устойчивость предприятия. За последний 2009 г замечено некоторое снижение уровня рентабельности, но она по-прежнему остается на высоком уровне и это снижение можно рассматривать как неизбежные колебания показателей производства.

В следующей главе дипломной работы рассмотрим возможности совершенствования системы управления запасами готовой продукции на предприятии.

Глава 3. Анализ системы управления запасами и направление ее совершенствования

 

.1 Масштабы деятельности ОАО "СПБ КПК" и тенденции спроса


За анализируемый период 2008-2010гг. коммерческую деятельность предприятий целлюлозно-бумажного производства охарактеризовать однозначно нельзя. В 2009 году во всех федеральных округах производство картона изменилось. Наибольший рост производства в натуральном выражении был в Южном округе (12%) и в Сибирском округе (9,3%). В Центральном, Приволжском, Уральском и Дальневосточном округах объёмы производства снизились.

Согласно прогнозам, сделанным на 2010 год, в связи с негативными макроэкономическими условиями ожидалось изменение позиций некоторых предприятий в общероссийском производстве картона. (19) Но в 2010 году оборот предприятий целлюлозно-бумажного производства, издательской и полиграфической деятельности вырос более чем на 15%, достигнув 575,8 млрд. руб. За 2010 год объем российского рынка картона и бумаги вырос на 6%. Общий объем рынка бумаги и картона в России в 2009 году составил 7,2 млн. тонн, а в 2010 году - 7,6. Всего в 2010 г. в России было произведено 7,5 млн. тонн бумаги и картона, в том числе бумаги - около 4,5 млн. тонн, а картона 3 млн. тонн. Сегодня в качестве наиболее перспективных продуктов для внутреннего рынка называют офисную и мелованную бумагу, тарный картон и гофроупаковку. Российский рынок тары и упаковки считается одним из наиболее динамично развивающихся, и в условиях девальвации рубля и роста цен на импортную продукцию данный процесс будет развиваться еще активнее. За 2010 г. совокупный импорт картона и бумаги составил 1,4 млн. тонн в натуральном и $1,9 млрд. в стоимостном выражении. Импорт в 2010 году вырос по сравнению с 2009 годом на 110% в денежном выражении и на 57% в натуральном. В 2010 г. из России было вывезено 2,9 млн. тонн картона и бумаги в натуральном выражении на сумму $1,7 млрд. Экспорт в 2010 году снизился по сравнению с 2009 годом на 2% в денежном выражении и на 10% в натуральном. ОАО "Санкт-Петербургский картонно-полиграфический комбинат" является крупнейшим производителем картона хром-эрзац. Характеризуя внутреннее производство картона хром-эрзац в Росси можно утверждать, что оно не удовлетворяет все потребности рынка, в результате чего значительная доля потребительской упаковки производится из импортного картона. На данный момент на предприятиях-производителях хром-эрзац заказы на поставку картона формируются на 2-3 месяца вперед. На рассматриваемом предприятии планирует увеличить выпуск мелованного и немелованного картона до 230 тыс. тонн в год. Большая часть производств коробочного картона и картона хром-эрзац, располагаются в Северо-Западном регионе (63,7%). В Сибири и на Дальнем Востоке потребности рынка удовлетворяются преимущественно за счет импорта из Кореи макулатурного мелованного и немелованного картона производства компании "Hansol". Произведем сегментирование производителей коробочного картона и картона хром-эрзац. Характерно для рассматриваемого периода незначительное изменение доли производства того или иного предприятия на рынке.

Таблица 13 Динамика долей предприятий производителей на рынке картона для изготовления потребительской упаковки в натуральном выражении (%)

Название предприятия

2008г.

2009г.

2010г.

ОАО "Санкт-Петербургский КПК"

53,5

55,5

51,3

ЗАО "Алексинская БКФ"

15,1

15,8

22,5

ОАО "Кондопога"

14,4

13,6

11,5

ЗАО Пролетарий"

7,8

7,3

4,5

ОАО "Сокольский ЦБК"

4,9

2,6

4,5

Остальные

4,2

5,2

5,7

Всего

100,0

100,0

100,0

На Санкт-Петербургский комбинат приходится 28% экспорта. Комбинат экспортирует в страны Средней Азии картон хром-эрзац марок "Нева" и "Ладога".

Географическая сегментация сбыта картона представлена в табл. 14

Таблица 14 Динамика изменения объема сбыта картона ОАО "Санкт-Петербургский КПК"

Наименование региона

2008г.

2009г.

2010г.


Объем продаж, т

Доля продаж, %

Объем продаж, т

Доля продаж, %

Объем продаж, т

Доля продаж, %

Санкт- Петербург

50959,0

33,2

60531,3

36,4

60911,4

32,2

Южный округ

18677,2

12,2

22856,7

13,7

27826,9

14,7

Центральный округ

11992,2

7,8

11622,7

7,0

19458,0

10,3

Экспорт

12859,4

8,4

16552,6

9,9

16749,7

8,9

Московская обл.

18209,9

11,9

17542,9

10,5

18921,1

10,0

Уральский округ

2356,9

1,5

3468,2

2,1

4185,4

2,2

Сибирский округ

4823,9

3,1

8505,9

5,1

9485,8

5,0

МОСКВА

13565,6

8,8

5161,3

3,1

8961,8

4,7

Приволжский округ

13198,0

8,6

15687,4

9,4

18856,4

10,0


Таблица 14.1

Северо-западный округ

1881,5

1,2

2569,4

1,5

2814,0

1,5

Дальневосточный округ

557,2

0,4

801,7

0,5

751,7

0,4

Ленинградская обл.

4563,0

3,0

1126,8

0,7

-

-

ИТОГО

153643,8

100,0

166426,9

100,0

188922,2

100,0


Анализируя динамику сбыта картона, отметим, что темп прироста объема продаж в 2010г. по сравнению с 2008г. составил 22,9%. Значительно изменились доли продаж в Ленинградской области, Приволжском и Сибирском округах. Для полной характеристики сбытовой деятельности ОАО "Санкт-Петербургский КПК" необходимо рассмотреть сбытовую деятельность по реализации заготовок коробок с многокрасочной печатью, лакированием. Изменение структуры и объема сбыта коробок для основных подклассов продукции по общероссийскому классификатору продукции представлена в табл.15.

Табл. 15 показывает, что производимые комбинатом заготовки коробок в наибольших объемах приобретаются для упаковки стирально-моющих средств и упаковки сухих пищевых продуктов. Комбинат сотрудничает с крупнейшими производителями бытовой химии в России: ЗАО "Аист", "Эра" Тосно, включая "Хенкель-Юг", "Новомосковскбытхим", ОАО "Сода" Стерлитамак, АО "Пемос" и др. В 2010 году одним из самых крупных заказчиков упаковки CMC является компания "Procter&Gamble".

Таблица 15 Динамика структуры и объема продаж коробок с многокрасочной печатью, лакированием ОАО "Санкт-Петербургский КПК"

Направления использования по подклассам продукции

2009

2010


Объем продаж, т

Доля рынка, %

Объем продаж, т

Доля рынка, %

Мыло и моющие средства, средства чистящие и полирующие, средства парфюмерные и косметические

14167

56,1

17000

62,7

Пищевые товары

8006

31,7

7400

27,3

Не пищевые товары

290

1,1

516

1,9

Чай

929

3,7

462

1,7

Морозожиростойская упаковка

70

0,3

94

0,3

Обувь

133

0,5

0

0,0

Изделия табачные

1643

6,5

1642

6,1

Итого

25238

100,0

27114

100,0


Высокое качество картона, используемого в полиграфической промышленности, не уступающее аналогичному картону зарубежных производителей, а также высокое качество полиграфического исполнения позволило комбинату занять ведущее положение на рынке. Стоимость продукции, выпускаемой комбинатом, несколько ниже, стоимости аналогичной продукции, поставляемой на внутренний рынок иностранными производителями, что при высоком качестве привлекает покупателей. Качеству продукции и новым разработкам на комбинате уделяется особое внимание. Ежегодно составляются планы по улучшению качества, которые являются самостоятельным разделом плана оргтехмероприятий. На реализацию мероприятий по выполнению плана по улучшению качества выделяются финансовые средства, источником финансирования является прибыль, предприятия.

Продукция комбината выпускается по нормативной документации - ГОСТы, ТУ, которые предоставляются потребителям для технической поддержки и гарантий соответствия качества. Кроме того, полная информация об изготовителе, о продукции, номер нормативной документации содержится на этикетках, которые наклеены на каждой единице продукции.

О положительном отношении потребителей к продукции ОАО "СПб КПК", свидетельствует факт, что в течение многих лет около 75 % потребителей являются постоянными клиентами, которых устраивает соотношение цена/качество. Высокое качество вырабатываемой продукции, производство коробочного макулатурного мелованного картона, являющегося по физико-механическим показателям, "лучшим в своем классе" среди производителей России, единственный в России производитель облицовочного картона для изготовления гипсокартонных плит "Гипрок" - все это обеспечивает конкурентоспособное и устойчивое положение комбината, на рынке упаковочного и облицовочного картона и полиграфической упаковки.

Покупателями продукции являются как оптово-посреднические организации, так и производственные организации, следующих отраслей промышленности: деревообрабатывающая; химическая и нефтехимическая; издательская и полиграфическая деятельность, тиражирование записанных носителей информации и др.

Причислим основные оптово-посреднические организации продажи, которым в совокупности составляют более половины от объема сбыта предприятиям сферы обращения: ООО "Берег" (г.Санк-Петербург), ЗАО "Вета" (г.Новосибирск), ОА "Невская бумага" (г.Санк-Петербург).

Основными потребителями продукции ОАО "Санкт-Петербургский КПК" являются: ОАО "Комбинат Цветной Печати" (г.Санкт-Петербург), ЗАО "Бумизделия" (г.Санкт-Петербург), АО "Издательство"Современник" (г.Москва), ОАО "Новосибирскфарм" (г.Новосибирск), ЗАО "Картон-Полиграф" (г.Калуга), ЗАО "СФАБИ" (г.Екатеринбург), ЗАО "Полиграф" (г.Миасс), ЗАО "ОРТ" (г.Ижевск), ООО "Информационный центр" (г.Киров). ООО "УПП КПИ" (г. Казань), ОАО "Самарский подшипниковый завод" (г.Самара), ОАО "Полиграфоформление" (г.Санкт-Петербург), ОАО "Унипак"(Концерн Колибри) (г.Санкт-Петербург), ЗАО "НП Набережн-Челнинский КБК", ЗАО "ГОТЭК" (г.Железногорск), ОАО "Хенкель - Пемос" (г.Пермь), ОАО "Фабрика художественной упаковки" (г.Владимир), "Полислав", завод ОАО компания "Славич".

3.2 Анализ структуры реализуемой продукции


Модели теории управления запасами позволяют в процессе планирования предвидеть этапы колебания загрузки предприятия и заблаговременно предусматривать меры, исключающие резкие нарушения ритма производства. Такие же модели дают возможность использовать методы теории регулирования запасов для оценки и выбора путей равномерной загрузки поточной линии.


Целью планирования и нормирования товарных запасов является установление среднего запаса в днях, который при наименьших затратах обеспечивал бы бесперебойную продажу товаров широкого ассортимента.

Управление запасами для производственных организаций является важнейшим инструментом сохранения и расширения своей ниши на рынке, основным фактором повышения конкурентоспособности.

При учете и планировании товарных запасов используются абсолютные и относительные показатели. Абсолютная величина товарных запасов может быть выражена в натуральных или стоимостных единицах.

Абсолютная величина запасов не постоянна. Она все время изменяется в зависимости от производства и продажи продукции. Поэтому при анализе и планировании количества запасов их соизмеряют с объемом производства и реализации продукции. Этот показатель - относительный, он характеризует величину запаса продукции, находящегося на предприятии склада готовой продукции на определенную дату, и показывает, на сколько дней хватит запасов готовой продукции. Запасы продукции при этом выражаются в днях. Запасы готовой продукции в днях оборота исчисляются делением абсолютной величины запасов (на определенную дату) на среднедневной объем выпуска соответствующего периода.

Размеры запасов зависят от скорости производства и реализации полуфабрикатов. При ускорении оборачиваемости товаров происходит снижение доли товарных запасов, и наоборот, замедление оборачиваемости товаров не способствует уменьшению объема запасов. Скорость обращения товаров или время, в течение которого реализуются запасы полуфабрикатов, называется товарооборачиваемостью.

Если запасы готовой продукции в днях показывают, на сколько дней производственное предприятие обеспечено товарами на определенную дату, то оборачиваемость товаров отражает среднее время обращения запаса готовой продукции за определенный период (квартал, год). Для предприятия оборачиваемость продукции в днях отражает время, в течение которого товары находились на этом предприятии с момента выпуска продукции до момента их продажи.

Для расчета оборачиваемости товаров в днях необходимо средний запас за определенный период разделить на однодневный оборот по продаже товаров за этот же период.

Оборачиваемость можно ускорить только за счет совершенствования всей торгово-коммерческой и экономической работы предприятия.

Ускорение времени обращения имеет большое значение: повышает экономическую эффективность производственного предприятия, влияет на темпы роста, способствуя повышению рентабельности сбытовой деятельности предприятия.

При осуществлении анализа оборачиваемости товарных запасов выявляются факторы, влияющие на изменение запасов, осуществляется их расчет, определяется соответствие их нормативам; устанавливается динамика и производится оценка изменений, произошедших в объеме и структуре запасов, в скорости оборачиваемости отдельных групп товаров. По результатам экономического анализа разрабатываются конкретные мероприятия для нормализации объемов запасов и ускорению оборачиваемости, способствующие удовлетворению запросов потребителей на разнообразные товары и повышающие эффективность сбытовой деятельности.

Анализ запасов на производственных предприятиях за определенный период включает:

1 сравнение их фактического размера в абсолютной сумме и в днях оборота с нормативами;

2 сравнение объема и структуры товарных запасов с запасами прошлых лет, расчет темпов изменения товарных запасов;

3 расчет среднего запаса по товарным группам и определение фактической объемов производства и сбыта продукции;

4 сопоставление фактического объемов производства с нормативной, а также с производительностью за предыдущие годы;

5 установление влияния на изменение запасов важнейших факторов (объема и структуры сбыта продукции, поступления товаров и т.д.).

Результаты анализа используются также для обоснованного планирования и нормирования запасов по группам товаров.

Таблица 16 Динамика структуры сбыта продукции ОАО "Санкт-Петербургский КПК" в России

Наименование номенклатуры

Объем продаж, т

Цена реализации, руб.

Объем продаж, тыс.руб.


2009

2010

2009

2010

2009

2010

Картон ролевый немелованный

21306

23994

9598,4

8761,9

204503,5

210233

Картон ролевый мелованный

34279

34966

14216,8

13066

487337,7

456865,8

Картон ролевый спичечный

11304

10455

7414,2

6829,3

83810

71400

Картон ПСБ

8678

5934

10385,2

9815,9

90122,8

58247,5

Картон пек

12695

18728

7297,8

6710

92645,6

125664,8

Картон ОБ

54807

39477

8175,7

8019

448085,6

316566

Картон в листах

21520

16301

14269,2

13371,7

307073

217972

Заготовки коробок

25252

26099

21033

20982

531125

547609

ВСЕГО

175954



2244704

2004559


Целью планирования и нормирования запасов продукции является установление среднего запаса в днях, который при наименьших затратах обеспечивал бы бесперебойную продажу товаров выпускаемого ассортимента продукции.

Таблица 17. Динамика структуры сбыта экспортируемой продукции ОАО "Санкт-Петербургский КПК"

Наименование номенклатуры

Объем продаж, т

Цена реализации, руб.

Объем продаж, тыс.руб.


2009

2010

2009

2010

2009

2010

Картон ролевый немелованный

96

422

12150,1

11463,3

1166

487,5

Картон ролевый мелованный

501

834

16668,6

16186,7

83510

13500

Картон ролевый спичечный

49

201

10650

9919,9

522

1994

Картон пек

1709

2283

6467,8

671,6

11053,5

14775

Картон ОБ

12458

12792

9179,4

8329,9

114357

10656

Картон в листах

21520

16301

14269,2

13371,7

307073

217972

Заготовки коробок


15


30987,3

0

465

ВСЕГО

36333

32848



442523

360099


Перевод системы управления запасами предприятия на основы логистики предполагает прежде всего проведение анализа по системе ABC и XYZ. Проведем с помощью метода ABC анализ реализуемой продукции предприятия ОАО "Санкт-Петербургский КПК" за 2008-2010 года. За анализируемый объект принимаем объем продаж товаров, которые объединили в группы соответствующих производителей. Метод АВС, позволяет классифицировать ресурсы компании по степени их важности и прибыльности. Метод ABC - анализа иначе называют правилом Парето (80/20), согласно которому лишь пятая часть (20%) от всего количества объектов, с которыми приходится иметь дело, дает примерно 80% результатов этого дела. Вклад остальных 80% объектов составляет только 20% общего результата. Исходные данные для АВС анализа приведены в табл. 17,18 и 19.

Таблица 18 ABC анализ продукции реализуемой предприятием ОАО "Санкт-Петербургский КПК"

АВС группа

Наименование продукции

Объем продаж, руб.

Доля позиции в общем объеме, %

A

Заготовки коробок

547609218

23,2

A

Картон ролевый мелованный

456865756

19,3

A

Картон ОБ

316566063

13,4

В

Картон ролевый немелованный

210233028,6

8,9

В

Картон в листах экспорт

217972081,7

9,2

В

Картон в листах

217972081,7

9,2

B

Картон пек

125664880

5,3

B

Картон ОБ экспорт

106556080,8

4,5

B

Картон ПСБ

58247550,6

2,5

С

Картон ролевый спичечный

71400331,5

3,0

С

Картон ПБС

58247550,6

2,5

C

Картон ролевый мелованный экспорт

13499707,8

0,6

C

Картон ролевый спичечный экспорт

1993899,9

0,1

C

Картон пек экспорт

14774662,8

0,6

С

Картон ролевый немелованный экспорт

4837512,6

0,2

D

Заготовки коробок экспорт

464809,5

0,02


Итого

2364657665

100,0%


Таблица 19 Результаты АВС анализа


Объем продаж, руб.

Доля группы в объеме продаж, %

Количество наименований номенклатуры

Доля группы в наименованиях продукции, %

Группа А

1 539 013 119

60

3

20

Группа В

878 398 153

34

5

33

Группа С

164 753 665

6

6

40

Группа D

464 810

0,02

1

7

Итого

2 582 629 746

100

15

100


Из полученных результатов расчетов табл. 19 можно выделить 4 группы товаров: товары группы А - наиболее ценные для предприятия; товары группы В - промежуточные; товары группы С - наименее ценные и товары группы D, которые составляют менее 1 % продаж. К группе D относят такую продукцию, как: заготовки коробок экспорт. На основе полученных результатов можно сделать вывод, что наибольшее внимание следует уделять товарам категории A и В, несколько меньшее - категории С, а товары D категории можно вообще рассматривать как вспомогательные.

На внешний рынок ОАО "СПб КПК" поставляет в основном картон в листах, картон ОБ, доля экспорта в объеме реализации этих марок картона составляет соответственно 9,2% и 4,5%. По остальным маркам картона доля экспорта не превышает 0,6%. Следовательно, продукция ОАО "СПб КПК" ориентирована в основном на внутренний рынок и его доля в анализируемом периоде возросла по сравнению с предыдущим годом на 0,9%.

В структуре реализуемой продукции основными марками являются: ролевый мелованный картон, картон ОБ, заготовки коробок доля этих марок составляет 60 %; более 42 % в структуре реализации занимают: заготовки коробок и ролевый немелованный картон.

Совершенствование системы управления этих марок картона и должно составлять основу всей системы управления запасами.

Так как ОАО "СПб КПК" реализует продукцию через торговый дом, то в системе управления запасами готовой продукции основной задачей является правильное обоснование величины запаса по каждой группе товаров.

Анализ ABC позволяет дифференцировать ассортимент полуфабрикатов по степени вклада в намеченный результат. Принцип дифференциации ассортимента в процессе анализа XYZ иной - здесь весь ассортимент ресурсов делят на три группы в зависимости от степени равномерности спроса и точности прогнозирования.

В группу X включают товары, спрос на которые равномерен, либо подвержен незначительным колебаниям. Объем реализации по товарам, включенным в данную группу, хорошо предсказуем.

В группу Y включают товары, которые потребляются в колеблющихся объемах. В частности, в эту группу может быть включены товары с сезонным характером спроса. Возможности прогнозирования спроса по товарам группы Y средние.

В группу Z включают товары, спрос на которые возникает лишь эпизодически. Прогнозировать объемы реализации товаров группы Z сложно.

Признаком, на основе которого конкретную позицию ассортимента относят к группе X, Y или Z, является коэффициент вариации спроса (v) по этой позиции. Среди относительных показателей вариации коэффициент вариации спроса наиболее часто применяемым показателем относительной колеблемости:


где хi - значение спроса по оцениваемой позиции;

 -среднее значение спроса по оцениваемой позиции периода;

n - величина периода, за который произведена оценка.

Величина коэффициента вариации изменяется в пределах от нуля до бесконечности.

Метод XYZ-анализа позволит нам произвести классификацию выпускаемых полуфабрикатов комбината в зависимости от характера ее потребления и точности прогнозирования изменений в ее потребности.

Таблица 20 XYZ анализ продукции реализуемой предприятием ОАО "Санкт-Петербургский КПК"

XYZ группа

Наименование продукции

Коэффициент относительной вариации, %

X

Картон ролевый немелованный

1

X

Картон ролевый немелованный

1

X

Заготовки коробок

2

X

Картон ОБ экспорт

5

Y

Картон ролевый мелованный

6

Y

Картон ролевый спичечный

7

Y

Картон пек экспорт

13

Y

Картон в листах экспорт

14

Y

Картон пек

15

Y

Картон в листах

15

Z

Картон ОБ

20

Z

Картон ПСБ

21

Z

Картон ролевый мелованный экспорт

21

Z

Картон ролевый спичечный экспорт

73

Z

Картон ролевый немелованный экспорт

78

Z

Заготовки коробок экспорт

141


К категории X (20%) - относится продукция со стабильной величиной сбыта полуфабрикатов предприятия, незначительным колебанием в ее потреблении и высокой точностью прогноза.

К категории Y (33,3%) - относится продукция с известными тенденциями определения потребности в ней (например, сезонными колебаниями) и средними возможностями ее прогнозирования.

К категории Z (46,7%) - относится продукция с нерегулярным потреблением, какие-либо тенденции отсутствуют, точность прогнозирования спроса невысокая.

Совместим результаты АВС и XYZ анализов, чтобы провести классификацию продаваемых полуфабрикатов ОАО "Санкт-Петербургский КПК" по степени значимости для повышения эффективности планирования, организации контроля и сокращения затрат. Идея метода состоит в том, чтобы из всего множества однотипных объектов выделить наиболее значимые.

Таблица 21 Результаты АВС XYZ анализов продукции реализуемой предприятием ОАО "Санкт-Петербургский КПК"

Наименование продукции

XYZ группа

АВС группа

ABC XYZ группа

Заготовки коробок

X

А

AX

Картон ролевый мелованный

Y

А

AY

Картон ОБ

Z

А

AZ

Картон ролевый немелованный

X

B

BX

Картон ОБ экспорт

X

В

BX

Картон в листах экспорт

Y

B

BY

Картон в листах

Y

B

BY

Картон пек

Y

В

BY

Картон ролевый спичечный

Y

C

CY

Картон ПСБ

Z

C

CZ

Картон ролевый немелованный экспорт

Z

С

CZ

Картон ролевый мелованный экспорт

Z

С

CZ

Картон ролевый спичечный экспорт

Z

С

CZ

Картон пек экспорт

Z

С

CZ

Заготовки коробок экспорт

Z

D

DZ


К категории АX относятся немногочисленные, но важнейшие ресурсы, на которые приходится большая часть вложенных денежных средств ОАО "СПб КПК". В данную группу попали заготовки коробок. Эта продукция требует постоянного (возможно, даже ежедневного) контроля, тщательного планирования и скрупулезного учета. Так же требуют повышенного внимания полуфабрикаты попавшие в группы AY, AZ, а именно картон ролевый мелованный и Картон ОБ.

К категории ВХ, BY относятся те виды полуфабрикатов, которые важны в меньшей степени для комбината и требуют обычного контроля, налаженного учета (возможно, ежемесячного). К данной группе относятся картон ролевый немелованный, картон ОБ экспорт, картон в листах экспорт, картон в листах, Картон пек.

Категория СZ включает довольно широкий ассортимент оставшейся малоценной продукции, характеризующейся упрощенными методами, учета и контроля, и невозможностью долгосрочного прогнозирования объемов сбыта продукции с высокой вероятностью.

От полуфабрикатов попавших в группу DZ, а именно заготовки коробок экспортируемые, предприятию необходимо отказаться.

3.3 Оценка эффективности работы склада производственного предприятия


Торгово-технологический процесс сбыта полуфабрикатов представляет собой комплекс взаимосвязанных сытовых (коммерческих) и технологических операций.

Для характеристики степени иммобилизации реализуемой продукции в запасах используется показатель показатель запасоемкости, рассчитываемый как отношение величины запаса к объему реализуемой продукции.

В таблице 22 отражены результаты расчета уровня запасов и произведен анализ запасоемкости.

Таблица 22 Расчет уровня запасов магазина и запасоемкости

годы

кварталы

объем реализации продукции, тыс.руб.

остатки товаров, тыс.руб.

уровень запасов, %.

коэффициент запасоемкости

2009

1

458624,6

135317,8

11,57

0,30


2

646744,9

140189,8

10,12

0,22


3

811119,9

142063,4

9,75

0,18


4

770737,6

137765,9

12,15

0,18

Итого за 2009

2687227

555336,9

10,79

0,2

2010

1

360012,7

11,59

0,39


2

277425,3

143644,7

10,12

0,52


3

1243279,0

146418,3

9,81

0,12


4

1046167,6

141239,2

12,15

0,14

Итого за 2010 год:

2926885

570188,9

10,81

0,19


Приведенные в таблице данные свидетельствуют о небольшом ухудшении состояния запасов продукции, что подтверждает показатель уровня запасов, который в 2010 году немного выше, чем в 2009 году. Самый высокий уровень остатков товаров наблюдается в третьем квартале, а самый низкий - в первом.

Торгово-технологический процесс сбыта можно разделить на три основные части:

. Операции с товарами до предложения их покупателям. К ним относят:

разгрузку транспортных средств;

доставку товаров в зону приемки;

приемку товаров по количеству и качеству;

хранение товаров;

подготовку товаров к продаже.

. Операции непосредственного обслуживания покупателей. К ним можно отнести:

встреча покупателя;

предложение товаров;

отбор товаров покупателями;

расчет за отобранные товары;

оказание покупателям дополнительных услуг.

. Дополнительные операции по обслуживанию покупателей. Они направлены на оказание им разнообразных услуг, связанных с приобретением товаров (прием предварительных заказов и т. д.).

Транспортные средства, доставившие полуфабрикаты на склад, должны быть без задержки приняты и разгружены. Разгрузку следует осуществлять с соблюдением общих правил выполнения погрузочно-разгрузочных работ.

Поступившие на склад полуфабрикаты доставляют в зону приемки. Приемке и оприходованию подлежат только доброкачественные товары, отвечающие требованиям стандартов и технических условий.

В процессе приемки работники склада выявляют качество и комплектность товаров, а также соответствие тары, упаковки и маркировки товаров установленным требованиям.

После приемки товары доставляют в помещения для хранения. Процесс хранения полуфабрикатов предусматривает их правильное размещение и укладку, создание оптимального режима, наблюдение и текущий уход за товарами. Сохранность количества и качества товаров в процессе их хранения должны обеспечить материально ответственные лица.

Похожие работы на - Управления запасами готовой продукции на Санкт-Петербургском картонно-полиграфическом комбинате

 

Не нашли материал для своей работы?
Поможем написать уникальную работу
Без плагиата!
Без нейросетей!