Предельные теоремы теории вероятностей
РЕФЕРАТ
Пояснительная записка с.,
источников.
Ключевые слова: СЛУЧАЙНАЯ ВЕЛИЧИНА,
ВЕРОЯТНОСТНОЕ РАСПРЕДЕЛЕНИЕ, ХАРАКТЕРИСТИЧЕСКАЯ ФУНКЦИЯ, ЦЕНТРАЛЬНАЯ ПРЕДЕЛЬНАЯ
ТЕОРЕМА, СТАТИСТИЧЕСКАЯ ГИПОТЕЗА, КРИТЕРИЙ ОДНОРОДНОСТИ, ПАРАМЕТР.
Цель работы: научиться на практике использовать
полученные знания по курсу «Теория вероятностей и математическая статистика».
Привести основные понятия, которые касаются центральной предельной теоремы для
независимых одинаково распределенных случайных величин и проверки статистических
гипотез. Решить задачи на приведенные теоремы. Применить критерий однородности
Смирнова для проверки гипотезы.
СОДЕРЖАНИЕ
Введение
.
Теоретическая часть
.1
Предельные теоремы
теории
вероятности
.1.1
Сходимость последовательностей случайных величин и вероятностных распределений
.1.2
Метод характеристических функций
.1.3
Центральная предельная теорема для независимых одинаково распределенных
случайных величин
.2
Проверка статистических гипотез
.2.1
Основные задачи математической статистики и их краткая характеристика
.2.2
Проверка статистических гипотез: основные понятия
.2.3
Критерий однородности Смирнова
.
Практическая часть
.1
Решение задач о типах сходимости
.2
Решение задач на «Центральная предельная теорема для независимых одинаково
распределенных случайных величин»
.3
Проверка гипотез по критерию однородности Смирнова
Заключение
Использованная
литература
теория вероятность статистический
величина
Введение
Курс «Теория вероятностей и математическая
статистика» занимает особое место в системе математических дисциплин, которые
изучаются студентами специальностей ПМ, САУ и ИНФ, как базовый курс. Изучение
курса необходимо для освоения основных понятий и методов анализа данных для
решения конкретных задач, а также обеспечения других математических дисциплин.
Целью курсовой работы является углубление
теоретических знаний по курсу «Теория вероятностей и математическая
статистика», развитие навыков самостоятельной работы; практическое применение
теории вероятности и математической статистики при решении прикладных задач.
Данная курсовая работа содержит решение задач на
различные типы сходимостей, применение центральной предельной теоремы для
независимых одинаково распределенных случайных величин.
Работа состоит из двух частей - теоретической и
практической. В теоретической части приведены определения таких понятий, как
сходимость последовательностей случайных величин, сходимость вероятностных
распределений, характеристическая функция, центральная предельная теорема,
статистическая гипотеза, критическая область, критерий согласия. В практической
части решены задачи о типах сходимости, центральной предельной теореме для
независимых одинаково распределенных случайных величин.
1. Теоретическая часть
.1 Предельные теоремы теории вероятностей
.1.1 Сходимость последовательностей случайных
величин и вероятностных распределений
Пусть на вероятностном пространстве < Ω,
F, P> задана последовательность случайных величин ξ1,…,ξn.
Рассмотрим
некоторые виды сходимостей последовательностей случайных величин и вероятностных
распределений.
При исследовании предела последовательности
случайных величин
1,…,ξn, заданных
на одном и том же вероятностном пространстве, мы имеем дело, по существу, с
проблемой сходимости последовательных функций {
},
но при этом можно не обращать внимания на множество точек ω
нулевой
вероятности, в которых соответствующие числовые последовательности не имеют
предела.
Последовательность случайных величин ξ1,…,ξnсходится
к случайной величине ξ по
вероятности, если для любого ε>0
.
Такая сходимость обозначается ξn
,
либо P(
.
Последовательность случайных величин ξ1,…,ξnсходится
к случайной величине ξ с
вероятностью 1 (или почти наверное), если
То есть
выполнено
для любого
, кроме, возможно,
из
некоторого множества М
такого, что
P(M)=0. Этасходимостьобозначается
при n
или п.н.
.
В общей теории меры сходимость «почти наверное»
называется сходимостью почти всюду и является наиболее сильной из всех форм
сходимости функций - случайных величин. То есть событие :
А= {
сходится к
при n
}=
}.
Но, чтобы рассматривать сходимость «почти
наверное», необходимо знать, как устроены отображения
.
А, как правило, в задачах известны не самислучайныевеличины, а
лишьихраспределения.
Справедлива теорема:
Последовательностьслучайных величин
сходится
«почти наверное» к
тогда и только
тогда, когда для любого
Или, что то же самое,
A
P
(
)
=1.
Если ряд
сходится
для любого
, то,
следовательно,
.
Необходимо заметить, что сходимость почти
наверное влечет за собой сходимость по вероятности. Но обратное, вообще говоря,
не верно, и существуют пределы последовательностей, сходящихся по вероятности,
но не имеющих предела почти наверное . Однако, из всякой сходящейся по
вероятности последовательности случайных величин можно извлечь
подпоследовательность, сходящуюся к тому же пределу почти наверное.
Если
-
монотонная последовательность, то из сходимости по вероятности следует
сходимость с вероятностью 1. И также, если ξn
, следовательно, существует подпоследовательность {
}
такая, что
при n
.
То есть из последовательности, сходящейся по вероятности можно выделить
подпоследовательность, сходящуюся с вероятностью 1.
Рассмотрим утверждения относительно сходимости
по вероятности.
Пусть последовательность случайных величин {
cходится
по вероятности к случайной величине Х, а последовательность случайных величин {
cходится
по вероятности к нулю. Тогда
,
.
Эти утверждения обычно называются теоремами типа Слуцкого.
В рассмотренных выше видах сходимости существенную
роль играет задание последовательностей случайных величин на едином
вероятностном пространстве <Ω,F,P>. По существу, близость членов
с
большими значениями n к их пределу
зависит не столько
от совпадения распределений
и
,
сколько от близости функций
и
).
Последовательность случайных величин {
}
сходится к случайной величине
в среднем порядка
p, если
M
=0.
Обозначается
. При р=2 получим
сходимость в среднеквадратичном (
с.к.
).
Из сходимости в среднем порядка р следует сходимость по вероятности. Обратное
утверждение в общем случае не верно.
Если последовательность случайных величин
и
М|
|
<
для любого n. Тогда M|
|<
и
М
.
Рассмотрим лемму Бореля-Кантелли:
Пусть
-
события, принадлежащие <Ω,F,P>. Событие А={произошло бесконечно много
событий из
}=
.
Тогда :
если ряд
сходится.
То P(A)=0;
Если события
независимы и ряд
расходится, то
P(A)=1.
Последовательность {
}
является фундаментальной по вероятности ( или почти наверное, в среднем порядка
р), если для любого ε>0 при
n
,
m
P(|
|
Или P(
Критерий сходимости Коши:
Для того, чтобы
в
каком-либо смысле необходимо и достаточно, чтобы последовательность {
}
была фундаментальна в соответствующем смысле.
Последовательность случайных величин {
}
при n
сходится слабо (или по распределению) к случайной величине
,
если для любого x такого, что функция распределения
непрерывна
в точке х, имеет место сходимость
.
Обозначается
Иначе говоря, слабая сходимость - это поточечная
сходимость функций распределения во всех точках непрерывности предельной
функции распределения.
Сходимости обладают свойствами:Если
функция
распределения
непрерывна в
точках
то
И
наоборот, если во всех точках
непрерывности
функции распределения
имеет место,
например, сходимость P(
, то
Если
,
то
Если
то
.
Если
=const
и
то
.
Если
=constи
то
с+
Рассмотрим сходимость распределений.
Справедливы несколько замечаний:
Сходимость разностей
-
для
любых x и y, являющихся точками непрерывности F.
Если F(x) непрерывна, то сходимость
эквивалентна
равномерной сходимости
.
Если распределения
и
дискретны
и имеют скачки в одних и тех же точках
то
будет
эквивалентной сходимости вероятностей значений
Пусть
-
некоторые случайные величины (в общем случае заданные на разных вероятностных
пространствах) такие, что
Если
,
то говорят, что
сходится к
по распределению и обозначать это
Ясно, что
влечет
за собой
но
не наоборот.
1.1.2 Метод характеристических функций
Метод характеристических функций, предложенный
Ляпуновым, является одним из основных средств аналитического аппарата теории
вероятности. Также этот метод является весьма эффективным при доказательстве
самых разнообразных предельных теорем, что и обуславливает его развитие и
широкое применение. Наряду со случайными величинами (принимающими
действительные значения) теория характеристических функций требует привлечения
комплекснозначных случайных величин.
Многие из определений и свойств, относящихся к
случайным величинам, легко переносятся и на комплексный случай. Так,
математическое ожидание
комплекснозначной
случайной величины
считается
определенным, если определены математические ожидания
и
.
В этом случае по определению полагаем
.
Из определения независимости случайных элементов нетрудно вывести, что
комплекснозначные величины
,
независимы
тогда и только тогда, когда независимы пары случайных величин
и
.
Пусть F=F(
- n-мерная функция распределения в (
Её
характеристической функцией называется функция
Этот интеграл сходится для всех действительных
t, так как абсолютные величины
не превосходят
единицы и
сходится.
Если
случайный
вектор, определенный на вероятностном пространстве (Ω, F,P) со значениями
в
,
то его характеристической функцией называется функция
где
-
функция распределения вектора
).
Если функция F(x) имеет плотность f=f(x), то
тогда
=
Или, в этом случае характеристическая функция
является
преобразованием Фурье функции f(x).
Также характеристическую функцию случайного
вектора можно определить равенством
С другой стороны, если x - дискретная случайная
величина, принимающая значения
в конечном или
счетном числе с вероятностями
,
то
Рассмотрим основные свойства характеристической
функции:
|
(t)|
для всех t
.
Так как
то
поэтому
|
(t)|
(0)=1, поскольку
и
g(0)=
является
действительнозначной функцией тогда и только тогда, когда распределение F
симметрично.
, t
.То
есть функции распределения
случайных величин
-
и
совпадают,
а значит P(
.
Пусть Y=aX+b, где X - случайная величина с
плотностью
и
характеристической функцией
. Тогда:
Характеристическая функция суммы независимых
случайных величин равна произведению характеристических функций слагаемых.
Некоторые примеры характеристических функций:
с вероятностью 1,
то есть
,
то
.
Если
имеет
показательное распределение с плотностью
при
х
,
то
.
Характеристическая функция случайной величины
однозначно определяет её функцию распределения.
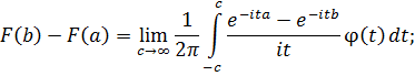
Рассмотрим теорему - формулу обращения. Пусть
функция
распределения и
ее
характеристическая функция.
а) Для любых двух точек
,
,
где функция
непрерывна,
б) Если
то функция распределения
имеет
плотность
,
и
Теорема Бохнера-Хинчина.
Пусть
непрерывная
функция,
,
и
.
Для того чтобы
была
характеристической функцией, необходимо и достаточно, чтобы она была
неотрицательно-определенной, то есть для любых действительных
и
любых комплексных чисел
,
Метод характеристических функций также
называется теоремой Леви о непрерывности. Она является результатом, связывающим
поточечную сходимость характеристических функций случайных величин со
сходимостью этих случайных величин по распределению.
Суть метода характеристических
функций заключается в следующем. Пусть {
последовательность случайных
величин, не обязательно определённых на одном вероятностном пространстве
<#"581597.files/image159.gif">, символом
. Тогда если
по
распределению при n
, и φ(t) - характеристическая
функция X, то
.
И обратно, если
, где
- функция
действительного аргумента, непрерывная
<#"581597.files/image161.gif"> по
распределению при n
.
Так как характеристическая функция
любой случайной величины непрерывна в нуле, второе утверждение имеет следующее
тривиальное следствие. Если
, где
n(t) -
характеристическая функция Xn, и
(t) - характеристическая функция X,
то
по
распределению при n
.
Понятие характеристической функции
может быть обобщено на конечные и бесконечные системы случайных величин (т. е.
на случайные векторы и случайные процессы).
.3 Центральная предельная теорема
для независимых одинаково распределенных случайных величин
Пусть {
} -
последовательность независимых, одинаково распределенных случайных величин.
Математическое ожидание M
= a,
дисперсия D
=
, S
=
, а Ф(х) -
функция распределения нормального закона с параметрами (0,1). Введем еще
последовательность случайных величин
=
.
Теорема. Если 0 <
<
, то приn
P(
<x)
Ф(х)
равномерно относительно х (
).
В этом случае последовательность {
} называется
асимптотически нормальной.
Из того, что М
= 1 и из
теорем непрерывности вытекает, что наряду со слабой сходимостью 
,
Ф
М f(
)
Mf(
) для любой непрерывной ограниченной
f имеет место также сходимость М f(
)
Mf(
) для любой непрерывной f, такой,
что |f(x)| <c(1+|x|
) при
каком-нибудь
.
Доказательство.
Равномерная сходимость здесь
является следствием слабой сходимости и непрерывности Ф(х). Далее, без
ограничения общности можно считатьа = 0, так как иначе можно было бы
рассмотреть последовательность {
}
, при этом последовательность {
} не
изменилась бы. Стало быть, для доказательства требуемой сходимости достаточно
показать, что
(t)
e
,когдаа = 0.
Имеем
(t) =
, где
=
(t).
Так как существует М
, то
существует
и
справедливо разложение
=
+ t
+
,
Следовательно, приn

Теорема доказана.
Теорема.(Интегральная теорема
Муавра-Лапласа)
Иными словами, распределение
случайной величины
при
слабо сходится к стандартному
нормальному распределению.
1.2 Проверка статистических гипотез
.2.1 Основные задачи математической статистики и
их краткая характеристика
Термин статистика происходит от латинского слова
«статус» - состояние. Первоначально, в XVIII веке, когда статистика начала
оформляться в научную дисциплину, термин статистика связывался с системой
описания фактов, характеризующих состояние государства. В настоящее время
статистика включает в себя и большее и в то же время более определенное
содержание. А именно, статистика состоит из следующих трех разделов:
Сбор статистических сведений, т.е. сведений,
характеризующих отдельные единицы каких-либо массовых совокупностей;
Статистическое исследование полученных данных,
заключающееся в выяснении тех закономерностей, которые могут быть установлены
на основе данных массового наблюдения;
Разработка приемов статистического наблюдения и
анализа статистических данных. Последний раздел и составляет содержание
математической статистики.
Современная математическая статистика
разрабатывает способы определения числа необходимых испытаний до начала
исследования ( планирование эксперимента), в ходе исследования (
последовательный анализ) и решает многие другие задачи. Современную
математическую статистику определяют как науку о принятии решений в условиях
неопределенности.
Итак, задача математической статистики состоит в
создании методов сбора и обработки статистических данных для получения научных
и практических выводов.
Исходным материалом для статистического
исследования реального явления служит набор результатов наблюдений над ним или
же результатов специально поставленных испытаний. Основные задачи, возникающие
при этом:
. Оценка значения неизвестной вероятности
случайно события.
. Определение неизвестной функции распределения.
Задача ставится так: в результате n независимых испытаний над случайной
величиной ξ получены следующие
значения:
. Требуется
определить неизвестную функцию распределения F(x) величины ξ.
2. Определение неизвестных параметров
распределения. Часто общетеоретические соображения позволяют сделать достаточно
определенные заключения о типе функции распределения и интересующей нас
случайной величины. Общая задача ставится так: случайная величина ξ
имеет
функцию распределения определенного вида, зависящую от k параметров, значения
которых неизвестны. На основании последовательных наблюдений величины ξ
нужно
найти значения этих параметров.
Очевидно, что определение неизвестной
вероятности p события А является частным случаем только что сформулированной
задачи, так как можно рассматривать случайную величину ξ,
принимающую
значение 1, если событие А появляется, и значение 0, если событие А не
появляется. Функция распределения ξ зависит
от единственного параметра p. Более точно эту задачу можно поставить так: в
результате n независимых испытаний величина ξ приняла
следующие значения:
. Требуется указать
функции
=a(
и
=
которые
было бы рационально принять за приближенные значения оцениваемых величин a и
.
Помимо этого необходимо также оценить среднюю точность этих приближенных
формул.
Иногда предпочтительнее искать не приближенные
значения неизвестных параметров a и
в
виде функций
и
,
а такие функции a’,a’’(
от результатов
испытаний и известных величин, чтобы с достаточной практической надежностью
можно было утверждать, что a'<a<a'' и, соответсвенно,
.
Функции a’,a’’ (
называются
доверительными границами для а(
.
.Проверка статистических гипотез. На основании
некоторых соображений можно считать, что функция распределения случайной
величины ξ есть F(x) и
необходимо определить совместимы ли наблюденные значения с гипотезой, что ξ
на
самом деле имеет распределение F(x).
Таким образом, если вид функции распределения не
вызывает сомнений и в проверке нуждаются только значения некоторых параметров,
характеризующих это распределение, то в задаче необходимо узнать, не
опровергают ли результаты наблюдений ту гипотезу, что параметры распределения
имеют предположенные значения. Это - задача проверки простой гипотезы. Если
проверяемая гипотеза состоит в том, что параметры принимают не точно
определенные значения, а какие-то из некоторых определенных множеств, то
гипотеза называется сложной.
Задачу также можно сформулировать так: Имеются
две последовательности независимых наблюдений над случайной величиной ξ
с
функцией распределения
и над случайной
величиной
с функцией
распределения
. Функции
распределения
и
неизвестны;
требуется оценить правдоподобность гипотезы
.
.Оценка зависимости. Производится
последовательность наблюдений сразу двух случайных величин ξ
и
η.
Результаты наблюдений даны следующими парами значений :
Необходимо выяснить наличие функциональной или корреляционной связи между ξ
и
η.
6. Управление процессами. Пусть имеется
случайный процесс от дискретного или непрерывного времени.
Процесс
под влиянием тех или иных причин может нарушить свое нормальное протекание и
привести к иным, например
. Это нарушение
нормального течения может привести к нежелательным последствиям и нам нужно
своевременно заметить момент «разладки» и оказать управляющее воздействие с
целью восстановления нормального хода процесса.
Однако перечисленными задачами далеко не
исчерпываются основные проблемы статистики.
1.2.2 Проверка статистических гипотез: основные
понятия
Статистической гипотезой называют любое
утверждение о виде или свойствах распределения наблюдаемых в эксперименте
случайных величин. Такие утверждения можно делать на основании теоретических
соображений или статистических исследований других наблюдений.
Если для исследуемого явления сформулирована та
или иная гипотеза ( обычно её называют основной или нулевой гипотезой и
обозначают символом
), то задача
состоит в том, чтобы сформулировать такое правило, которое позволяло бы по
результатам соответствующих наблюдений ( по имеющимся статистическим данным)
принять или отклонить эту гипотезу. Правило, согласно которому проверяемая
гипотеза
принимается
или отвергается, называется статистическим критерием проверки гипотезы
.
Разработка таких правил и их обоснование с точки зрения требований
оптимальности и составляют предмет теории проверки статистических гипотез.
Иногда могут возникнуть ситуации, когда
проверяемая гипотеза состоит в том, что некоторый параметр семейства
распределений соответствующей совокупности, например среднее значение,
дисперсия, имеет наперед заданное значение или множество значений. Такие
гипотезы называются параметрическими.
Простой называют гипотезу, содержащую только
одно предположение. Например, гипотеза о том, что математическое ожидание
нормального распределения равно 3(
известно) - простая. Сложной называют гипотезу, которая состоит из конечного
или бесконечного числа простых гипотез. Например, гипотеза о том, что
математическое ожидание нормального распределения равно 3(
неизвестно) - сложная.
В итоге проверки статистической гипотезы в двух
случаях может быть принято неправильное решение, то есть могут быть допущены
ошибки двух родов.
Ошибка первого рода состоит в том, что будет
отвергнута основная (правильная) гипотеза. Ошибка второго рода состоит в том,
что будет принята конкурирующая (неправильная) гипотеза.
Общий метод проверки гипотез заключается в
следующем. Сначала формулируется только одна гипотеза
и
требуется проверить, согласуются ли имеющиеся статистические данные с этой
гипотезой или же они её опровергают. Соответствующие критерии называются
критериями согласия.
Рассмотрим общий метод построения критериев.
Пусть о распределении случайной величины X=(
,
описывающий результат изучаемого эксперимента, сформулирована некоторая
гипотеза
.
Необходимо найти такую статистику T=T(x),
характеризующую отклонение эмпирических данных от соответствующих
гипотетических значений, распределение которой в случае справедливости
можно
было бы определить. Пусть
- множество всех
возможных значений статистики Т; определим подмножество
так,
чтобы вероятность P(T(x)
. Тогда правило
проверки гипотезы
пусть х -
наблюдавшаяся реализация случайной величины Х и t=T(x) - соответствующее
значение статистики. Если t
, то гипотеза
должна
быть отвергнута как противоречащая статистическим данным.
Статистику Т называют статистикой критерия, а
подмножество её значений
- критической
областью для гипотезы
. То есть
критической областью называют совокупность значений критерия, при которых
нулевую гипотезу отвергают. Различают одностороннюю и двустороннюю критические
области. Критическими точками
называют точки,
отделяющие критическую область от области принятия гипотезы. Тогда
правосторонняя критическая область определяется неравенством К<
,
где
положительное
число. А левосторонняя область определяется неравенством К>
,
где
отрицательное
число. При выполнении обоих неравенств область называют двусторонней. В
частности, если критические точки симметричны относительно нуля, двусторонняя
критическая область определяется неравенством |K|>
.
Число α называют
уровнем значимости критерия, и его можно считать вероятностью ложного
отвержения гипотезы
, когда она верна.
Областью принятия гипотезы ( областью допустимых значений) называют
совокупность значений критерия, при которых гипотезу принимают.
Любое распределение наблюдаемой случайной
величины Х, которое может оказаться истинным, но отличающееся от
гипотетического, называют альтернативой. Совокупность всех альтернатив называют
альтернативной гипотезой и обозначают
.
Таким образом, критерий определяется заданием
соответствующей критической области в множестве значений статистики Т. По
своему смыслу критическая область должна включать все маловероятные при
гипотезе
значения
статистики критерия. Обычно используют области вида {t
}
(для неотрицательных статистик Т) или вида
,
хотя в конкретных задачах возможны и другие варианты выбора критической
области. Вид критической области во многом определяется целью, для которой
строится критерий.
Каждый критерий строится для того, чтобы
определять, имеют ли место те или иные отклонения от основной гипотезы.
Характер таких отклонений может быть разным, поэтому надо иметь критерии как
универсального типа («улавливающие» любые отклонения от основной гипотезы), так
и предназначенные для выявления отклонений только определенного типа.
Так, часто большие и малые статистики T(X)
указывают на разный характер отклонения от нулевой гипотезы, поэтому может
оказаться, что в одних случаях лучше использовать критерий, основанный на
критической области {t
}, а в других - на
критической области {t
}.
Для проверки одной и той же гипотезы
можно
строить различные критерии, основываясь на разных статистиках T(X) , и чтобы
выбрать в конкретной ситуации тот или иной критерий, надо иметь принципы
сравнения различных критериев. Идея построения таких принципов состоит в
исследовании поведения критериев при тех или иных отклонениях от основной
гипотезы.
Величину W(F)=W(
,
представляющую собой вероятность попадания значения статистики критерия в
критическую область, когда истинным распределением наблюдений является
распределение F, называют функцией мощности критерия.
Условие P(T(x)
перепишем в виде W(F)
. Если
,
то значение W(F) называют мощностью критерия при альтернативе
.
Значение W(F) при
характеризует
вероятность принятия правильного решения в ситуации, когда нулевая гипотеза
ложна.
Таким образом, если уровень значимости уже
выбран, то критическую область следует строить так, чтобы мощность критерия
была максимальной. Выполнение этого требования должно обеспечить минимальную
ошибку второго рода. Следует отметить, что единственный способ одновременного
уменьшения вероятностей ошибок первого и второго рода состоит в увеличении
объёма выборок.
Желательным свойством критерия является свойство
несмещённости, которое означает, что выполняется: W(F)
.
Или это означает, что вероятность отвергнуть нулевую гипотезу, когда она
истинна, не превышает заданного уровня значимости α,
и
в то же время если гипотеза
ложна, то она
отвергается с вероятностью, большей α. Для
вычисления статистики критерия необходимо знать распределение статистики
критерия не только при нулевой гипотезе, но и при альтернативах. Поэтому
функцию W(F) удаётся найти не во всех случаях.
Следует отметить, что важным показателем каждого
критерия является трудоемкость практической реализации соответствующего
алгоритма. На практике, когда требуется быстро получить ответ, предпочтение нередко
отдается просто реализуемому критерию, даже если он не является оптимальным в
теоретическом смысле.
.2.3 Критерий однородности Смирнова
Пусть ξ1, ξ2,…,
ξn- взаимно независимые и одинаково непрерывно
распределенные случайные величины, и пусть η1 ≤η 2≤…≤ηn.
Эмпирическими называют распределение дискретной
случайной величины ξ*, которая
принимает значения η1 ,η 2,…,ηn с
одинаковыми вероятностями, равными 1/n:
P {ξ*= ηi| η1 ,η
2,…,ηn}=1/n, (i=1,2,…,n)
Функция эмпирического распределения выражается
равенством:
Fn(x|η1,…,ηn)=P{ξ*< ηi|
η1 ,η 2,…,ηn}=
И при каждом действительном х является случайной
величиной (функцией от η1 ,η 2,…,ηn). В
дальнейшем функцию эмпирического распределения мы будем обозначать Fn(x) , не
указывая явно зависимости от величин ηi. Так
как MFn(x)
F(x), DFn(x)
[1-F(x)
0
(n
),
где F(x) - функция распределения исходных величин ξi
(функция
теоретического распределения), Fn(x) - несмещенная и состоятельная оценка для
F(x).
Если функция теоретического распределения
достоверно известна и лишь высказывается гипотеза, согласно которой этой
функцией является некоторая заданная функция непрерывного распределения F(x),
не содержащая неизвестных параметров, то обозначаем такую гипотезу символом H0:
: Fn(x)
F(x).
Точно также выражаются гипотезы, конкурирующие с
H0:
H1+{Ψ[F(x)]}:sup|x|<
Ψ[F(x)](MFn(x)-F(x))>0,-{Ψ[F(x)]}:inf|x|<
Ψ[F(x)](MFn(x)-F(x))>0,
где Ψ(F) - заданная
неотрицательная функция (ее часто называют весовой функцией).
Рассмотрим критерий Смирнова, предназначенного
для проверки гипотезы Н0 при конкурирующей гипотезе Н1.Статистики критерия
задаются формулами:
=sup|x|<
|
Fn(x)-F(x)|,
Dn+sup|x|<
(
Fn(x)-F(x)),
где в левых частях знаки + и - указывают
соответствующую конкурирующую гипотезу Н1+ и Н1- .
Для практических вычислений этих статистик
полезны другие формулы, эквивалентны предыдущим:
Dn+=
,=
.
Если гипотеза Н0 верна, то статистики Dn+ и Dn-
распределены одинаково, поэтому в дальнейшем мы будем рассматривать лишь
критерий , обоснованный на статистике Dn+:
{Dn+ ≥x}=
,
(0<x<1).
Из предельных теорем и асимптотических формул
следует, что если n
и 0<ε≤x
= O(n1/3), то
P
.
Иными словами при больших значениях n статистика
(6nDn++1)2/(9n) приближенно распределена как χ2с
двумя степенями свободы.
С ростом n погрешности убывают как 1/n.
{Dn+≥ Dn+(Q)}=0,01Q.
Если в результате эксперимента окажется, что Dn+≥
Dn+(Q), то согласно критерию Смирнова с уровнем значимости Q гипотеза Н0 должна
быть отвергнута.
Значение
удобнее
вычислять следующим способом. Пусть
Где
Тогда
2.
Практическая часть
2.1 Решения задач о типах сходимости
.Доказать что из сходимости почти наверное
следует сходимость по вероятности. Привести контрпример, показывающий, что
обратное не верно.
Решение. Пусть последовательность случайных
величин
,…,
,…
сходится к случайной величине
почти наверное.
Значит, для любого
0
=0
Так как
,
то
P(
)
P(
)
и из сходимости
к
почти
наверное вытекает, что
сходится к
по
вероятности так как в этом случае
=0
Но обратное утверждение неверно. Пусть
,
,…,
,…
- последовательность независимых случайных величин, имеющих одну и ту же
функцию распределения F(x), равную нулю при x
0
и равную 1
при x
0.Рассмотрим
последовательность
=
,
=
,…,
=
…
Эта последовательность сходится к нулю по
вероятности, так как
P(
)
= 1
P(
)
= 1
F(
)
=
стремится к нулю при любом фиксированном
и
n
.
Однако сходимость к нулю почти наверное иметь место не будет. Действительно,
= 1
P(
)
= 1
P(
)
=
= 1
= 1
= 1
Стремится к единице с вероятностью 1при любых
и
n в последовательности
,
,…,
,…
найдутся реализации, превосходящие
.
Отметим, что при наличии некоторых
дополнительных условий, накладываемых на величины
,
сходимость по вероятности влечет сходимость почти наверное.
.Пусть
монотонная
последовательность. Доказать, что в этом случае сходимость
к
по вероятности влечет за собой сходимость
к
с
вероятностью 1.
Решение. Пусть
монотонно
убывающая последовательность, то есть
…
…
. Для упрощения наших рассуждений будем считать, что
0,
0
при всех n. Пусть
сходится к
по
вероятности, однако сходимость почти наверное не имеет место. Тогда существует
0,
такое, что при всех n
0.
Но
=
и
сказанное означает, что при всех
0.
Что противоречит сходимости
к
по вероятности. Таким образом, для монотонной последовательности
,
сходящейся к
по вероятности,
имеет место и сходимость с вероятностью 1 (почти наверное).
3. Пусть последовательность xn сходится кx по вероятности. Доказать,
что из этой последовательности можно выделить последовательность
,
сходящуюся к x с
вероятностью 1 при
.
Решение. Пусть
- некоторая
последовательность положительных чисел, причем
, и
- такие положительные числа, что
ряд
. Построим
последовательность индексов n1<n2<…<nk<… , выбирая nk так, чтобы
Тогда ряд
,
Так как ряд
сходится,
то при любом ε
>0 остаток
ряда
стремится к
нулю. Но тогда стремится к нулю и
,
то есть
.
. Доказать, что из сходимости в
среднем какого либо положительного порядка следует сходимость по вероятности.
Приведите пример, показывающий, что обратное утверждение неверно.
Решение. Пусть последовательность xn сходится к величине x в среднем порядка р> 0,
то есть
.
Воспользуемся обобщенным
неравенством Чебышева: для произвольных ε >0 и р> 0
.
Устремив
и учитывая,
что
, получим,
что
,
то есть xn сходится кx по вероятности.
Однако сходимость по вероятности не
влечет за собой сходимость в среднем порядка р> 0. Это показывает следующий
пример. Рассмотрим вероятностное пространство áW, F ,Rñ, где F = B[0, 1] - борелевская s-алгебра, R - мера Лебега.
Определим последовательность
случайных величин
следующим
образом:
Последовательность xn сходится к 0 по
вероятности, так как
,
но при любом р> 0
,
то есть сходимость в среднем иметь
не будет.
. Пусть
, при чем
для всех n
. Доказать,
что в этом случае xn сходится кx в среднеквадратическом.
Решение. Заметим,
, то и
. Получим
оценку для
. Рассмотрим
случайную величину
. Пусть ε - произвольное
положительное число. Тогда
при
и
при
.
Значит,
.
Если
, то
и
. Следовательно,
. А
поскольку ε
сколь
угодно мало и
, то
при
, то есть
в
среднеквадратическом.
. Доказать, что если xn сходится кx по вероятности, то имеет
место слабая сходимость
. Приведите
контрольный пример, показывающий, что обратное утверждение неверно.
Решение. Докажем, что если
, то
в каждой
точке х, являющейся точкой непрерывности
(это необходимое и достаточное
условие слабой сходимости
),
- функция
распределения величины xn, а
- величины x.
Пусть х - точка непрерывности
функции F. Если
, то
справедливо по крайней мере одно из неравенств
или
. Тогда
.
Аналогично, при
справедливо
хотя бы одно из неравенств
или
и
,
Или
.
Откуда
Если
, то для сколь угодно малого ε >0существует такое N, что при
всех п> N
.
Тогда
С другой стороны, если х- точка
непрерывности
то можно
найти такое ε
>0, что для
сколь угодно малого
И
.
Значит, для сколь угодно малых ε и
существует
такое N, что при п>N
,
Или
,
или, что то же самое,
.
Это означает, что во всех точках
непрерывности
имеет место
сходимость
и
.
Следовательно, из сходимости по вероятности вытекает слабая сходимость.
Обратное утверждение, вообще говоря,
не имеет места. Чтобы убедиться в этом, возьмем последовательность случайных
величин
,
, не равных
с вероятностью 1 постоянным и имеющих одну и ту же функцию распределения F(x).
Считаем, что при всех п величины
и
независимы. Очевидно, слабая
сходимость
имеет
место, так как у всех членов последовательности одна и та же функция
распределения. Рассмотрим
:
|Из независимости и одинаковой
распределенности величин
,
следует,
что
.
то есть
Выберем среди всех функций
распределений невырожденных случайных величин такую F(x), что
будет
отлично от нуля при всех достаточно малых ε. Тогда
не стремится
к нулю при неограниченном росте пи сходимость по вероятности иметь место не
будет.
. Пусть имеет место слабая
сходимость
, где
с
вероятностью 1 есть постоянная. Доказать, что в этом случае
будет
сходиться к
по
вероятности.
Решение. Пусть
с вероятностью
1 равно а.Тогда слабая сходимость
означает сходимость
при любых
.Так как
, то
при
и
при
. То есть
при
и
при
. Отсюда
следует, что для любого ε
>0 вероятности
и
стремятся к нулю при
. Это
значит, что
стремится к нулю при
, то есть
сходиться к
по
вероятности.
.2 Решение задач на центральную
предельную для независимых одинаково распределенных случайных величин
. В результате технической проверки
900 электроприборов установлено, что в среднем срок безотказной работы приборов
увеличился на 1,2 года по сравнению со средним сроком безотказной работы
приборов, полученных по итогам предыдущих проверок. Можно ли объяснить
случайностью подобное отклонение, если считать среднеквадратичное отклонение
срока безотказной работы электроприборов равным 8 годам?
Решение
Обозначим через
срок безотказной
работы
-го
электроприбора, и будем рассматривать последовательность случайных величин
, для
которых
,
,
.
Введем обозначение
.
Так как
,
-
независимые одинаково распределенные случайные величины, то к ним применима
центральная предельная теорема для независимых одинаково распределенных
случайных величин, которая устанавливает равномерную относительно
(
) сходимость
,
где
- функция стандартного нормального
распределения.
При больших
(
) имеет
место приближенное равенство
.
Вычислим вероятность того, что срок
безотказной работы приборов увеличится более чем на 1,2 года по сравнению со
сроком работы приборов:
.
Ответ: полученная вероятность очень
мала, и мы можем сделать вывод, что нельзя объяснить случайностью данное
отклонение.
. Интеграл
вычислен
методом Монте-Карло. Сколько опытов нужно произвести, чтобы с вероятностью
большей 0,99, можно было считать абсолютную погрешность вычисления значения
интеграла не превосходящей 0,1% от
?
Решение
Значение интеграла
можно
рассматривать как математическое ожидание функции от случайной величины
, где
- случайная
величина, равномерно распределенная на
с плотностью
.
Пусть
- независимые равномерные на
случайные
числа. Тогда можно рассматривать как приближенное значение интеграла
значение
случайной величины
.
Вычислим
;
.
Так как
-
независимые и одинаково распределенные случайные величины, имеющие конечные
дисперсии:
,
то к этим случайным величинам применима
ЦПТ:
.
Введем
. При
больших
(
)
.
Из условия задачи
,
вероятность такой погрешности больше 0,99:
;
,
,
,
,
.
Ответ: необходимо произвести не
менее
опытов.
. Интеграл
вычислен
методом Монте-Карло на основании 1000 независимых опытов. Найти вероятность
того, что абсолютная погрешность в определении величины
не
превосходит 0,01.
Решение
Значение интеграла
можно
рассматривать как математическое ожидание функции случайной величины
, где
- случайная
величина, равномерно распределенная на
. Пусть
-
независимые равномерные на
случайные числа. Тогда можно
рассматривать как приближенное значение интеграла
значение
случайной величины
.
Вычислим
,
.
Так как
-
независимые и одинаково распределенные случайные величины, имеющие конечные
дисперсии
, то к этим
случайным величинам применима ЦПТ:
Введем
. При
больших
(
)
.
Из условия задачи:
,
,
следовательно
.
Ответ: искомая вероятность равна
0,712.
Заключение
В данной работе мы рассмотрели определения таких
понятий, как сходимость последовательностей случайных величин, сходимость
вероятностных распределений, характеристическая функция, центральная предельная
теорема, статистическая гипотеза, критическая область, критерий согласия. В
практической части были решены задачи о типах сходимости, центральной
предельной теореме для независимых одинаково распределенных случайных величины.
Так же была проведена проверка гипотез критерием «критерий однородности
Смирнова»
Использованная литература
1.Математическая
статистика. В.Б. Горяинов, Г.М. Цветкова и др.; Под ред. В.С. Зарубина, А.П.
Крищенко. - М.: Изд-во МГТУ им. Н.Э. Баумана, 2001. - 220-224 с.
.Гнеденко
Б.В. Курс теориивероятностей. Изд.6-е, перераб. и доп. - М.: Наука, 1988. -
448с.
.
Збірник задач з теорії ймовірностей з розв’язаннями. Під ред. В.В. Семенця. -
Харків: ХТУРЕ, 2000. - 320 с. - Рос. Мовою.
.Теориявероятностей
и математическая статистика. Под ред. В.А.Колемаева.- М.: ИНФРА-М, 1997.-302с.
.
Гмурман В.Е. Теориявероятностей и математическая статистика, М.: Высшая школа,
1972. - 368 с.
.Ширяев
А.Н. Вероятность. - М.: Наука, 1980. - 576с.
1.