Дифференциальные уравнения и системы
БЕЛОРУССКИЙ ГОСУДАРСТВЕННЫЙ
УНИВЕРСИТЕТ
ИНФОРМАТИКИ И РАДИОЭЛЕКТРОНИКИ
Кафедра программного обеспечения
информационных технологий
Факультет ФНиДО
Специальность ПОИТ
Контрольная работа № 7
по дисциплине «Высшая математика»
Тема работы: «Дифференциальные
уравнения и системы»
Выполнил студент: Добровольский Е.А.
группа 001021
Зачетная книжка № 001021-23
Минск 2011
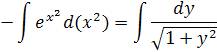
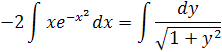
Задача 303
Найти решение дифференциального уравнения 1-го порядка.
Решение:
Ответ:
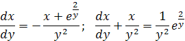
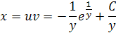
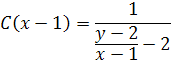
Задача 313
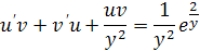
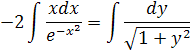
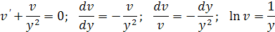
Найти общее решение дифференциального уравнения 1-го порядка.
Решение:
Решим систему уравнений:
Полагаем:

Положим:

Искомое
общее решение дифуравнения:
Ответ:
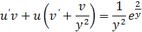
Задача 323
Найти частное решение дифференциального уравнения 1-го порядка:
Решение:
Введем обозначения:
Положим

Примем:
Общее
решение дифуравнения:
Найдем
частное решение при заданных начальных условиях:
Искомое
частное решение:
Ответ:
Задача 323
Найти частное решение дифференциального уравнения, удовлетворяющее
указанным начальным условиям.
Решение:
y'' - y' = 9x
-
однородное уравнение, y(0) = 0, y'(0) = 1
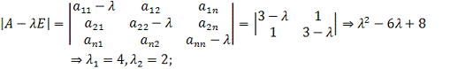
λ² - λ = 0

= 0 
= 1
Общее
решение y = 
+ 
Частное
решение ищем в виде:

=
(Ax + B)

(y*)'' = 2A
4Ax + 4B + 4A - 2Ax - A - 2B = 9x| 2A = 9 => A=4,5

|2B
+ 3A = 0 => B = -1,5A = -6,75* = (4,5x - 6,75)
=

+

+
(4,5x - 6,75)
используем
начальные условия:
y(0) = 
+

'
= 
+
2(4,5x - 6,75)
+ 4,5
y'(0) = 
-
13,5 +4,5 = -5 => 

y = 2,75 + 4
Ответ:
y = 2,75 + 4
Задача 353
дифференциальное
уравнение матрица эйлер
Найти общее решение системы уравнений (рекомендуем решать с помощью
характеристического уравнения).
Решение:
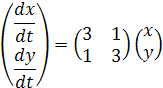
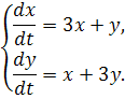
Применим метод Эйлера. Запишем систему в матричной форме:
Будем
искать частное решение в виде 
где 
-
константы. Составляем характеристическое уравнение матрицы системы (E-единичная
матрица n-го порядка):
Находим

из
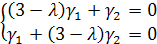
системы уравнений:
А)
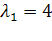
При 
получаем
Положив

, получим

. Таким
образом, характеристическому числу 
соответствует
частное решение 
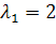
Б)
При 
получаем
Положив

получим 
Таким
образом, характеристическому числу 
соответствует
частное решение 
.
Общее решение системы находим как линейную комбинацию полученных частных
решений, т.е.
Ответ: