Решение краевой задачи обыкновенного дифференциального уравнения

  • Вид работы:
    Контрольная работа
  • Предмет:
    Математика
  • Язык:
    Русский
    ,
    Формат файла:
    MS Word
    249,91 Кб
  • Опубликовано:
    2013-07-28
Вы можете узнать стоимость помощи в написании студенческой работы.
Помощь в написании работы, которую точно примут!

Решение краевой задачи обыкновенного дифференциального уравнения

СОДЕРЖАНИЕ

ВВЕДЕНИЕ

. ОБЩИЕ ТЕОРЕТИЧЕСКИЕ ПОЛОЖЕНИЯ

. ЗАДАНИЕ

. ХОД ВЫПОЛНЕНИЯ РАБОТЫ

. СТРУКТУРА ПРОГРАММЫ

ЗАКЛЮЧЕНИЕ

СПИСОК ИСПОЛЬЗОВАННОЙ ЛИТЕРАТУРЫ

ВВЕДЕНИЕ

Значительное число задач математики, физики и техники приводят к дифференциальным уравнениям в частных производных (уравнения математической физики). Точные решения краевых задач для дифференциальных уравнений удаётся получить лишь в частных случаях. Поэтому эти задачи решают в основном приближённо. Одним из наиболее универсальных и эффективных методов, получивших в настоящее время широкое распространение для приближённого решения уравнений математической физики, является метод конечных разностей.

В данной работе рассмотрен данный метод решения дифференциального уравнения. Сущность метода сеток состоит в аппроксимации искомой непрерывной функции совокупностью приближенных значений, рассчитанных в некоторых точках области - узлах. Совокупность узлов, соединенных определенным образом, образует сетку. Сетка, в свою очередь, является дискретной моделью области определения искомой функции.

1. ОБЩИЕ ТЕОРЕТИЧЕСКИЕ СВЕДЕНИЯ

Метод конечных разностей

Многие математические модели описываются дифференциальным уравнением или системой дифференциальных уравнений с краевыми условиями первого, второго и третьего рода. Точное решение краевых задач удается получить лишь для немногих частных случаев. Поэтому общий способ их решения, в том числе и в САПР, заключается в использовании различных приближенных моделей. В настоящее время наиболее широкое распространение получили модели на основе интегральных уравнений и модели на основе метода сеток.

Основная идея построения модели на основе интегральных уравнений заключается в переходе от исходного дифференциального уравнения в частных производных к эквивалентному интегральному уравнению, подлежащему дальнейшим преобразованиям.

Сущность метода сеток состоит в аппроксимации искомой непрерывной функции совокупностью приближенных значений, рассчитанных в некоторых точках области - узлах. Совокупность узлов, соединенных определенным образом, образует сетку. Сетка, в свою очередь, является дискретной моделью области определения искомой функции.

Рассмотрим линейную краевую задачу

(2.24)

 (2.25)


где p(x), q(x) и f(x) непрерывны на [a,b].

Разобьем отрезок [a,b] на n равных частей длины, или шага

Точки разбиения

 называются узлами, а их совокупность - сеткой на отрезке [a,b]. Значения в узлах искомой функции и ее производных обозначим соответственно через .

Введем обозначения

Заменим производные так называемыми односторонними конечно-разностными отношениями:

 (2.26)

Формулы (2.26) приближенно выражают значения производных во внутренних точках интервала [a,b].

Для граничных точек положим

(2.27)

Используя формулы (2.26), дифференциальное уравнение (2.24) при, (i=1, 2,...,n-1) приближенно можно заменить линейной системой уравнений

(2.28)

Кроме того, в силу формул (2.27) краевые условия (2.25) дополнительно дают еще два уравнения:

(2.29)

Таким образом, получена линейная система n+1 уравнений с n+1 неизвестными представляющими собой значения искомой функциив узлах сетки. Система уравнений (2.28), (2.29), заменяющая приближенно дифференциальную краевую задачу (2.24), (2.25) обычно называется разностной схемой. Решить эту систему можно каким-либо общим численным методом. Однако схема (2.28), (2.29) имеет специфический вид и ее можно эффективно решить специальным методом, называемым методом прогонки. Специфичность системы заключается в том, что уравнения ее содержат три соседних неизвестных и матрица этой системы является трехдиагональной.

Преобразуем уравнения (2.28):

 (2.30)

Введя обозначения

,


Получим , (i=0, 1,..., n-2) (2.31)

Краевые условия по-прежнему запишем в виде

,  (2.32)

Метод прогонки состоит в следующем.

Разрешим уравнение (2.31) относительно :

 (2.33)

Предположим, что с помощью полной системы (2.31) из уравнения исключен член, содержащий. Тогда уравнение (2.33) может быть записано в виде

 (2.34)

где идолжны быть определены. Найдем формулы для этих коэффициентов. При i=0 из формулы (2.33) и краевых условий (2.32) следует, что


Исключая из этих двух уравненийy0, найдем

.

Выразим теперь отсюда y1:

 (2.35)

Но, согласно формуле (2.34),

 (2.36)

Сравнивая теперь (2.35) и (2.36), найдем, что

 (2.37)

Пусть теперь i>0, то есть i=1, 2,...,n-2. Выражая y1 по формуле (2.34), получим:


Подставляя это в формулу (2.33), будем иметь


Разрешая полученное уравнение относительно yi+1, находим

, или

 (2.38)

Отсюда, сравнивая формулы (2.34) и (2.38), получаем для коэффициентов ci и di рекуррентные формулы:

 (2.39)

Из формулы (2.33) при i=n-2 и второго краевого условия (2.32) получаем


Разрешая эту систему относительно yn будем иметь

 (2.40)

Теперь, используя (2.34) и первое краевое условие (2.32), мы можем последовательно найти yn-1, yn-2, … , y0. Это − обратный ход метода прогонки.

Итак, получаем следующую цепочку:

 (2.41)

Для простейших краевых условий y(a)=A, y(b)=B формулы для c0, d0, y0 и y0 упрощаются. Полагая в этом случае a0=1, a1=0,,  из формул (2.37), (2.40), (2.41) будем иметь


Рассмотренный нами подход сводит линейную краевую задачу к системе линейных алгебраических уравнений. При этом возникает три вопроса:

) Существует ли решение алгебраической системы типа (2.31)?

) Как фактически находить это решение?

) Сходится ли разностное решение к точному при стремлении шага сетки к 0?

Можно доказать, что если краевая задача имеет вид


причем р(x)>0, то решение системы (2.31), (2.32) существует и единственно. Фактическое отыскание решения можно провести, например, методом прогонки. На третий вопрос дает ответ следующая

Теорема

Еслиp(x) иf(x) дважды непрерывно дифференцируемы, то разностное решение, соответствующее схеме с заменой


равномерно сходится к точному с погрешностью o(h) при .

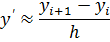
Таким образом, схема (2.28), (2.29) дает приближенное решение краевой задачи, но точность ее весьма мала. Это связано с тем, что аппроксимация производной


имеет низкий порядок точности − погрешность этой аппроксимации


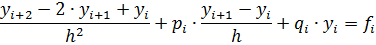
Более точную разностную схему можно получить, если при переходе от линейной краевой задачи к конечно-разностным уравнениям воспользоваться центральными формулами для производных:

(2.42)

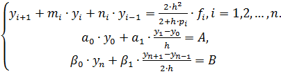
(2.43)=1, 2,...,n.

Погрешность формулы (2.42) выражается так:


то есть формула (2.42) имеет второй порядок точности относительно шага сетки h. Подставляя выражения (2.42), (2.43) в задачу (2.24), (2.25) и выполняя некоторые преобразования, получим следующую систему:

 (2.44)

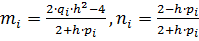
где,

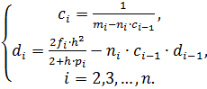
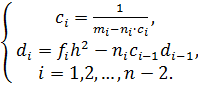
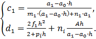
Система (2.44) снова трехдиагональная и ее решение также можно получить методом прогонки. Его алгоритм здесь будет выглядеть так. Сначала находят коэффициенты

 (2.45)

Затем определяют коэффициенты ci,и di по следующим рекуррентным формулам:

 (2.46)

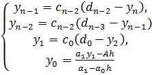
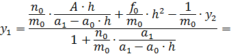
Обратный ход начинается с нахождения yn:

 (2.47)

После этого находим yn, …, y1,y0. по формулам:

 (2.48)

 (2.49)

Относительно схемы (2.44) можно также доказать, что она имеет единственное решение при


и это решение может быть найдено описанным методом прогонки. Кроме того, для схемы (2.44) имеет место

Теорема

Пусть решение граничной задачи (2.24), (2.25) единственно и непрерывно дифференцируемо на [a,b] до четвертого порядка точности включительно. Если выполняются условия


то схема (2.44) будет равномерно сходиться к решению задачи (2.24), (2.25) с погрешностью O(h2).

Заметим, что условия, приводимые в теоремах, являются достаточными, а отнюдь не необходимыми. Поэтому в практике численных расчетов нарушение этих условий обычно не вызывает заметного ухудшения расчетных схем.

Алгоритм метода конечных разностей

Метод конечных разностей (МКР) является старейшим методом решения краевых задач.

Алгоритм (рис 1) МКР состоит из этапов традиционных для метода сеток:

. Построение сетки в заданной области. В МКР используется сетка, задаваемая конечным множеством узлов. В узлах сетки определяются приближенные значения φh искомой функции φ. Совокупность узловых значений φh называют сеточной функцией.

. Замена дифференциального оператора Lh=∂φ/∂u в исходном дифференциальном уравнении разностным аналогом Lh, построенным по одной из схем, рассмотренных ниже. При этом непрерывная функция φ аппроксимируется сеточной функцией φh.

. Если есть граничные условия второго и третьего рода, то для граничного узла с этим условием записывается соответствующая аппроксимация. В результате должна получиться замкнутая система НАУ.

.Решение полученной системы алгебраических уравнений.











Рис. 1 - Алгоритм метода конечных разностей

2. ЗАДАНИЕ

Используя метод конечных разностей, составить решение краевой задачи для обыкновенного дифференциального уравнения с точностью  шаг h=0,1. При решении использовать метод Гаусса (вариант 19)


3. ХОД ВЫПОЛНЕНИЯ РАБОТЫ

Используя метод конечных разностей, составить решение краевой задачи для обыкновенного дифференциального уравнения с точностью Е = 10 -3; шаг h = 0,1:


Разбив отрезок [0,8; 1,1] на части с шагом h = 0,1, получим 4 узловые точки с абсциссами х0 = 0,8, х1 = 0,9, х2 = 1,0, х3 = 1,1.


Две точки х0 и х3 являются конечными, а две другие - х1 и х2 - внутренними.

Исходное уравнение во внутренних точках заменим конечно-разностным уравнением:


Из краевых условий составим конечно-разностные уравнения в конечных точках:

краевой задача прогонка метод


Конечно-разностные уравнения получаем таким образом:


Данную задачу сводим к решению системы уравнений:


Преобразуя систему и учитывая, что у3 = 1,6 получаем:


Для решения полученной системы воспользуемся методом Гаусса:

Решение СЛАУ методом Гаусса:

Запишем систему в виде расширенной матрицы:

101.67

-199.1

98.33

0.9

0

-101.67

201

-156.33

8

-5

0

1


Для удобства вычислений поменяем строки местами:

0-101.67201-156.33




8

-5

0

1

101.67

-199.1

98.33

0.9


Умножим 2-ую строку на (-12.70875). Добавим 3-ую строку к 2-ой:

0

-101.67

201

-156.33

0

-135.56

98.33

-11.81

101.67

-199.1

98.33

0.9


Умножим 1-ую строку на (-1.333296449296). Добавим 2-ую строку к 1-ой:

0

0

-169.66

196.63

0

-135.56

98.33

-11.81

101.67

-199.1

98.33

0.9


Из 1-ой строки выражаем x3; Из 2-ой строки выражаем x2; Из 3-ой строки выражаем x1

Получаем:

= -35.17/101.67 = -0.35= 102.15/-135.55625 = -0.75= 196.63/-169.6625863085 = -1.16

Реализация алгоритма решения СЛАУ методом Гаусса представлена в Приложении.

Заключение

В ходе выполнения данной работы приобретены навыки решения дифференциального уравнения, а также освоены основные аспекты математического моделирования. Математическое моделирование и связанный с ним компьютерный эксперимент незаменимы в тех случаях, когда натурный эксперимент невозможен или затруднен по тем или иным причинам. Например, нельзя поставить натурный эксперимент в истории. Невозможно проверить правильность той или иной космологической теории. В принципе возможно, но вряд ли разумно, поставить эксперимент по распространению какой-либо болезни, например чумы, или осуществить ядерный взрыв, чтобы изучить его последствия. Однако все это вполне можно сделать на компьютере, построив предварительно математические модели изучаемых явлений. Поэтому изучение дисциплины «Математическое моделирование» актуально в наши дни.

Список используемой литературы

1.     Апатёнок Р.Ф. Элементы линейной алгебры и аналитической геометрии. - Минск: Высшая школа, 2007 г. - 257 с.

2.      Воробьева Г.Н., Данилова А.Н.“Практикум по вычислительной математике” М.:”Высшая школа” 1990.

.        Глушаков С.В. и др. Язык программирования С++. -Харьков: Фолио, 2002. - 500 с.

.        ГОСТ 19.701-90. ЕСПД. Схемы алгоритмов, программ, данных и систем. Условные обозначения и правила выполнения.- М.: 1991.

.        Дейтел Х.М. Дейтел П.Дж. Как программировать на С++: Пер. с англ. - М.: ЗАО “Издательство БИНОМ”, 2008 г. - 1024 с.

.        Демирчан К.С., Бутырин П.А.“Моделирование и машинный расчет электрических цепей” - М.:”Высшая школа” 1998.

.        Страуструп Б. Язык программирования С++. Часть 2. - Киев: "ДиаСофт", 1993. - 296 с.

.        Холзнер С. VISUAL C++6: учебный курс - СПб: Издательство “ Питер”, 2010. -576 с.

.        ”Моделирование и оптимизация на ЭВМ радиоэлектронных устройств.”/ под ред. Бенсона Э.М.: М.”Радио и связь”, 2008.

Похожие работы на - Решение краевой задачи обыкновенного дифференциального уравнения

 

Не нашли материал для своей работы?
Поможем написать уникальную работу
Без плагиата!
Без нейросетей!