Дифференциальные уравнения
Оглавление
1.Краткие
теоретические сведения о дифференциальных уравнениях
1.1
Дифференциальные уравнения. Основные понятия
1.2
Задачи Коши для дифференциальных уравнений
1.3
Дифференциальные уравнения I порядка
1.4
Уравнения с разделяющимися переменными
1.5
Однородные уравнения I порядка
1.6
Уравнения, приводящиеся к однородному
1.7
Линейные уравнения I порядка
1.8
Уравнение Бернулли
1.9
Уравнения в полных дифференциалах
1.10
Теорема существования и единственности решения задачи Коши
Список
литературы
дифференциальное уравнение линейное бернулли
1.Краткие теоретические сведения о
дифференциальных уравнениях
.1 Дифференциальные уравнения. Основные понятия
Обыкновенным дифференциальным уравнением n-ого
порядка называется уравнение вида

,
где F- известная функция (n+2)-x, x-
независимая переменная из интервала (a,b), y(x) - неизменная функция. Число n
называется порядком уравнения.
Функция y(x) называется решением
(или интегралом) дифференциального уравнения на промежутке (a,b), если она n
раз дифференцируема на (a,b) и при подстановке в уравнение обращает его в
тождество.
Обыкновенные дифференциальные
уравнения, разрешенные относительно старшей производной, называют уравнениями в
нормальной форме:

.
Дифференциальное уравнение обычно
имеет бесконечно много решений. Чтобы выделить нужное решение, используют
дополнительные условия. Чтобы выделить единственное решение уравнения n-го
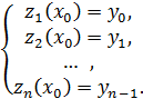
порядка обычно задают n начальных условий 
, 
, 
, 
.
Задачей Коши (или начальной задачей)
называется задача отыскивания решения y=y(x) уравнения 
,
удовлетворяющего условиям 
, 
, 
, 
.
Условия 
, 
, 
, 
называются начальными данными,
начальными условиями или данными Коши.
Любое конкретное решение 
уравнения n-го порядка 
, называется частным решением.
Общим решением дифференциального
уравнения 
называется функция

, содержащая некоторые постоянные
(параметры)
и обладающая следующими свойствами:

является решением уравнения при
любых доступных значениях 
Для любых начальных данных 
, 
, 
, 
для которых задача Коши имеет
единственное решение, существует значение постоянных 
такие что решение 
удовлетворяет заданным начальным
условиям.
Иногда частное или общее решение
уравнения удается найти только в неявной форме: f(x,y)=0 или G
Такие неявно заданные решения
называются частным интегралом или общим интегралом уравнения.
Если задачу об отыскивании всех
решений дифференциального уравнения удается свести к алгебраическим операциям и
к вычислению конечного числа интегралов и производных от известных функций, то
уравнение называется интегрируемым в квадратурах. Класс таких уравнений
относительно узок.
Для решения уравнений, которые не
интегрируются в квадратурах, применяются приближенные или численные методы.
Задача теории обыкновенных
дифференциальных уравнений - исследование общих свойств решений, развитие
точных, асимптотических и численных методов интегрирования уравнений.
.2 Задачи Коши для дифференциальных
уравнений
Задача Коши для любого
дифференциального уравнения n-го порядка, записанного в нормальной форме, 
=0, 
, 
, 
, 
, может быть сведена к задаче Коши
для системы дифференциальных уравнений n-го порядка.
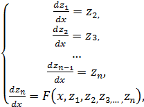
Обозначим
Тогда
И задача Коши для уравнения
записывается в виде задачи Коши для системы:


Эта задача в векторной форме
записывается в виде:

, где

.3 Дифференциальные уравнения I
порядка
Уравнение F(x,y,y’)=0, где y=y(x)-
неизвестная, непрерывно дифференцируема на (a,b) функция, называется
обыкновенным дифференциальным уравнением первого порядка.
Функция y=y(x) называется решением
дифференциального уравнения F(x,y,y’)=0, если она непрерывно дифференцируема на
(a,b) и F(x, y(x), y’(x))
0 для всех x из (a,b).
График решения дифференциального
уравнения называется интегральной кривой дифференциального уравнения.
Дифференциальное уравнение первого
порядка имеет бесконечно много решений. Для того чтобы выделить единственное
решение, нужно задать дополнительные (начальные) условия.
Задача отыскивания решения y=y(x)
уравнения F(x,y,y’)=0, удовлетворяющего условию 
называется задачей Коши (или
начальной задачей).
Условие 
-начальное условие.
Любое конкретное решение y=y(x)
(решение задачи Коши) уравнения 1-го порядка называется частным решением
уравнения.
Общее решение уравнения, записанное
в неявной форме Ф(x,y)=C, называется общим интегралом уравнения.
Частное решение уравнения,
записанное в неявной форме Ф(x,y)=0, называется частным интегралом уравнения.
Уравнение 1-го порядка, разрешенное
относительно производной, называется уравнением, записанным в нормальной
форме: 
Уравнение первого порядка часто
записывают в дифференциальной форме:M(x,y)dx+N(x,y)dy=0.
Решение такого уравнения можно
искать как в виде y=y(x), так и в виде x=x(y).
.4 Уравнения с разделяющимися
переменными
Уравнением с разделяющимися
переменными называется дифференциальное уравнение вида 
с непрерывными функциями 
и 
Равенство 
где С - произвольная постоянная
определяет общий интеграл уравнения с разделенными переменными.
Начальное условие для уравнения 
можно задавать в виде 
или в виде 
.
Уравнением с разделяющими
переменными называется уравнение вида 
Функции 
,
, 
, 
непрерывны в своих областях
определения и 
0
Разделив обе части уравнения на
отличное от нуля произведение 
получим уравнение с разделяющимися
переменными

.
Общий интеграл этого уравнения имеет
вид:


Однородным уравнением первого
порядка называется уравнение вида 
.
Заменой z=y/x это уравнение сводится
к уравнению с разделяющимися переменными относительно функции z=z(x)
1.6 Уравнения, приводящиеся к
однородному
Уравнением, приводящимся к
однородному, называется дифференциальное уравнение вида
.
Заменой 
это уравнение приводится к
однородному уравнению 
.
Здесь 
- это единственное решение линейной
системы


.7 Линейные уравнения I порядка
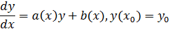
Линейным дифференциальным уравнением
первого порядка называется уравнение вида 
.
Здесь 
- известные, непрерывные на [a;b]
функции.
Доказано, что если функции 
непрерывны на [a;b], то для любой
начальной точки 

[a;b], задача Коши
Имеет единственное решение y=y(x) на
[a;b].
Рассматривают однородные и
неоднородные линейные уравнения первого порядка: 
, 
.
Общее решение линейного уравнения 1-го
порядка можно найти с помощью замены y(x)=
.8 Уравнение Бернулли
Уравнением Бернулли называется
уравнение первого порядка вида 
.
Здесь 
- известные, непрерывные на [a;b]
функции, n>1.
Заменой z(x)=
уравнение Бернулли сводится к
линейному уравнению относительно функции z(x):

,

, 
,


.
Получаем линейное относительно z(x)
равнение:
1.9 Уравнения в полных
дифференциалах
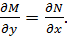
Уравнение 
называется уравнением в полных
дифференциалах, если выражение в левой части уравнения является дифференциалом
некоторой функции двух переменных F(x,y), т.е. если 
Тогда F(x,y)=C - общий интеграл
уравнения. Здесь C - произвольная производная.
Уравнение 
является уравнением в полных
дифференциалах, тогда и только тогда, когда 
.10 Теорема существования и
единственности решения задачи Коши
Рассмотрим обыкновенное
дифференциальное уравнение 1-го порядка, записанное в нормальной форме:
Областью определения уравнения
называется область D определения правой части уравнения 
Функция y=y(x) является решением
задачи Коши: 
если y(x)=y дифференцируема на
[a,b], (x,y(x))
для всех x из [a,b], 
и при подстановке в уравнение
обращает его в тождество: 
Фундаментальным результатом теории
обыкновенных дифференциальных уравнений является теорема существования и
единственности решения задачи Коши:
Пусть функция 
и ее частная производная 
непрерывны в некоторой области D
плоскости 
и точка 
принадлежат области D. Тогда:
В некоторой окрестности 
точки 
существует решение задачи Коши 
Если 
и 
два решения задачи Коши, то 
на 
Геометрически это означает, что если
условия теоремы выполнены, то через каждую точку 
области D проходит единственная
интегральная кривая уравнения.
Бесконечное множество решений
уравнения:
можно рассматривать как
однопараметрическое семейство функций 
- семейство решений задач Коши.
элементы которого различны для
разных значений 
. Иными словами область D
«расслаивается» на интегральные кривые 
Важно понимать, что результат
теоремы имеет локальный характер - существование и единственность решения
гарантированы, вообще говоря, только в малой окрестности 
. Важно также понимать, что условия
теоремы существования и единственности достаточные условия. Нарушение условий
теоремы не означает, что решение задачи не существует либо, что оно не
единственное.
Список литературы
Кузнецов
Л.С. Сборник задач по высшей математике. СПб: Лань, 2005
Пискунов
Н.С. Дифференциальное и интегральное исчисление для вузов. Том 1. М: Наука,
1978
1.