Статистическая обработка данных
Введение
При написании курсовой работы были поставлены
следующие цели:
• получить представление о сущности статистики
как науки и ее роли в управлении государством;
• приобрести знания и навыки в исчислении и
анализе статистических
показателей в различных отраслях экономики;
• приобрести навыки по сбору и обработке
статистической информации;
• приобрести навыки по анализу результатов
экономического развития
предприятия;
• приобрести навыки по построению прогнозов
экономических процессов;
• сформировать научно-исследовательскую
компоненту статистического мышления.
Для достижения поставленных целей необходимо
решение задач, к которым относится изучение и освоение:
− методов и приемов сбора и обработки
статистической информации в различных областях экономической деятельности;
− экономико-статистического анализа
развития национальной экономики страны;
− оценки производственно-хозяйственной и
финансовой деятельности предприятия;
− основных принципов системы национальных
счетов;
− особенностей национальных счетов России;
− методов количественного анализа, включая
экономико-математические модели.
Курсовая работа состоит из двух частей:
Первая - расчетная, где приводятся расчеты
различных статистических показателей, делаются выводы, производится наглядное
представление информации в форме полигона распределения и осуществляется
сравнение теоретических расчетов с экспериментальными.
Вторая часть представляет практический подраздел
российской статистики в рамках статистики национального богатства, также с
анализом, графическими представлениями и выводами.
1. Статистическая обработка
результатов выборочных наблюдений
.1 Постановка задачи
По выборке объёма n провести статистическую
обработку результатов выборочных наблюдений (статистических наблюдений).
Цель работы:
изучить и усвоить основные понятия дисциплины
“Статистика”;
овладеть методикой статистического оценивания
числовых характеристик случайной величины и нормального закона распределения;
ознакомиться с методикой применения
статистических критериев для проверки гипотез.
Пусть проведено выборочное исследование
(эксперимент) и имеются выборочные значения объёма n=60, которые представляют
собой реализацию случайной величины Х. Исходные данные представлены в табл.
1.1.
Таблица
1.1
Исходные данные
|
1
|
45,42
|
11
|
47,95
|
21
|
40,29
|
31
|
37,85
|
41
|
48,32
|
51
|
42,93
|
|
2
|
42,97
|
12
|
44,09
|
22
|
36,33
|
32
|
44,21
|
42
|
41,77
|
52
|
40,09
|
|
3
|
41,61
|
13
|
44,1
|
23
|
48,36
|
33
|
36,71
|
43
|
35,41
|
53
|
53,68
|
|
4
|
49,38
|
14
|
49,06
|
24
|
39,43
|
34
|
41,26
|
44
|
43,04
|
54
|
41,71
|
|
5
|
52,31
|
15
|
41,62
|
25
|
42,94
|
35
|
38,29
|
45
|
43,35
|
55
|
35,95
|
|
6
|
40,38
|
16
|
42,33
|
26
|
43,4
|
36
|
37,12
|
46
|
44,8
|
56
|
51,85
|
|
7
|
43,51
|
17
|
36,64
|
27
|
41,75
|
37
|
37,89
|
47
|
45,49
|
57
|
38,35
|
|
8
|
38,96
|
18
|
34,68
|
28
|
44,26
|
38
|
40,87
|
48
|
49,39
|
58
|
31,84
|
|
9
|
46,4
|
19
|
39,48
|
29
|
41,67
|
39
|
43,86
|
49
|
40,26
|
59
|
39,47
|
|
10
|
31,17
|
20
|
44,4
|
30
|
34,83
|
40
|
42,41
|
50
|
44,33
|
60
|
49,34
|
1.2 Вычисление основных числовых
характеристик выборочных наблюдений
. Среднее арифметическое случайной величины Х
(1.1)
. Среднее линейное отклонение
(1.2)
. Смещённая оценка дисперсии
случайной величины Х
(1.3)
4. Несмещённая оценка дисперсии случайной величины
Х
(1.4)
5. Смещённое среднее квадратическое отклонение
(1.5)
6. Несмещённое среднее квадратическое отклонение
(1.6)
. Коэффициент вариации
(1.7)
8. Коэффициент асимметрии случайной величины Х
(1.8)
9. Коэффициент эксцесса случайной величины X
(1.9)
. Вариационный размах
(1.10)
На основании полученных вычислений
можно сделать следующие выводы:
. Необходимое условие V< 33% для
того, чтобы выборка имела нормальный закон распределения, выполняется:
= 11,47% < 33%.
. Для нормального распределения
коэффициенты асимметрии и эксцесса должны быть равны нулю:
As=E=0
Выборочный коэффициент асимметрии
служит для характеристики асимметрии распределения случайной величины. Если
распределение симметрично относительно математического ожидания (среднее
значение), то коэффициент асимметрии равен 0.
Для выборочных распределений, как
правило, коэффициент асимметрии отличен от нуля. Асимметрия положительна, если
длинная часть кривой распределения расположена справа от математического
ожидания. Асимметрия отрицательна, если длинная часть кривой расположена слева
от математического ожидания. Если кривая плотности распределения симметрична,
имеет одну вершину, то среднее значение X , мода Мо и медиана Ме совпадают.
По результатам вычисления асимметрия
As= 0,129. В
нашем случае асимметрия положительна, это значит, что «длинная часть» функции
плотности расположена справа от математического ожидания.
Для нормального распределения
эксцесс равен нулю. Поэтому если эксцесс некоторого распределения отличен от
нуля, то кривая этого распределения отличается от нормальной кривой.
Если эксцесс положительный, то
кривая имеет более высокую и острую вершину, чем нормальная кривая. Если
эксцесс отрицательный, то сравниваемая кривая имеет более низкую и плоскую
вершину, чем нормальная.
Коэффициент эксцесса равен Е=
-0,186. Он отрицательный, а это означает, что функция плотности имеет более
низкую и плоскую вершину, чем плотность нормального распределения.
1.3 Результаты вычисления
интервальных оценок для математического ожидания и дисперсии
Для вычисления интервальной оценки
математического ожидания воспользуемся формулой:
, (1.11)
где а = М(Х) - математическое
ожидание, tn−1,p - процентная точка распределения Стьюдента с
n-1 степенью свободы; p - доверительная вероятность.
Подставляем в формулу вычисленные
ранее значения
,
и N. В
результате получим:
Задаёмся доверительной вероятностью
;
Для каждого значения
(i=1,2)
находим по таблице (приложение А) значения
и вычисляем два варианта
интервальных оценок для математического ожидания.
При
находим
Доверительный интервал для а = М(Х)
имеет вид: 40,9403 < a < 43,4397.
При
находим
Доверительный интервал для а = М(Х)
имеет вид: 40,528 < a < 43,852
Для интервальной оценки дисперсии
существуют следующие неравенства:
(1.12)
Подставляем в неравенство известные
значения N и
получим
неравенство, в котором неизвестны
и
.
Задаваясь доверительной вероятностью
(или
уровнем значимости а) вычисляем значения
и
. Используем эти два значения и
степень свободы V=N-1 по
таблице находим
и
и
- это границы интервала, в который
попадает случайная величина Х, имеющая
распределение вероятности
и заданной
степени свободы V.
Для
=0,95, (1 - р1)/2 = 0,025, (1 +
р1)/2 = 0,975 и V=59 находим по таблице (приложение
Б):
Подставляя в неравенства
и
и произведя
вычисления, получим интервальную оценку:
,609
34,179
Для
,
;
и V=59 находим
по таблице приложения Б:
Подставляя в неравенства
и
и произведя
вычисления, получим интервальную оценку:
,047
39,940
Для интервальной оценки среднего
квадратического отклонения имеем
(1.14)
При
получаем доверительный интервал:
При
доверительный интервал:
1.4 Ранжирование выборочных данных,
вычисление моды и медианы
Используя исходные данные, запишем
все заданные значения выборки в виде неубывающей последовательности значений
случайной величины X, представленные в табл.1.2.
Таблица
1.2
Ранжированный ряд
|
1
|
31,17
|
11
|
37,85
|
21
|
40,29
|
31
|
42,33
|
41
|
44,09
|
51
|
47,95
|
|
2
|
31,84
|
12
|
37,89
|
22
|
40,38
|
32
|
42,41
|
42
|
44,1
|
52
|
48,32
|
|
3
|
34,68
|
13
|
38,29
|
23
|
40,87
|
33
|
42,93
|
43
|
44,21
|
53
|
48,36
|
|
4
|
34,83
|
14
|
38,35
|
24
|
41,26
|
34
|
42,94
|
44
|
44,26
|
54
|
49,06
|
|
5
|
35,41
|
15
|
38,96
|
25
|
41,61
|
35
|
42,97
|
45
|
44,33
|
55
|
49,34
|
|
6
|
35,95
|
16
|
39,43
|
26
|
41,62
|
36
|
43,04
|
46
|
44,4
|
56
|
49,38
|
|
7
|
36,33
|
17
|
39,47
|
27
|
41,67
|
37
|
43,35
|
47
|
44,8
|
57
|
49,39
|
|
8
|
36,64
|
18
|
39,48
|
28
|
41,71
|
38
|
43,4
|
48
|
45,42
|
58
|
51,85
|
|
9
|
36,71
|
19
|
40,09
|
29
|
41,75
|
39
|
43,51
|
49
|
45,49
|
59
|
52,31
|
|
10
|
37,12
|
20
|
30
|
41,77
|
40
|
43,86
|
50
|
46,4
|
60
|
53,68
|
Интервал [31,17; 53,68], содержащий все элементы
выборки, разобьём на частичные интервалы, используя при этом формулу Стерджеса
для определения оптимальной длины и границ этих частичных интервалов.
По формуле Стерджеса длина частичного интервала
равна:
(1.14)
Вычисляем границы интервалов:
За начало первого интервала
принимаем значение
(1.15)
Далее вычисляем границы интервалов:
Вычисление границ заканчивается, как
только выполняется неравенство
, то есть
.
После определения частичных
интервалов, определяем экспериментальные частоты ni, равные числу
членов вариационного ряда, попадающих в этот интервал:
xi-1 ≤ x(s)
< xi, (1.16)
где xi-1, xi - границы i-го
интервала; x(s) - значения
вариационного ряда.
Набор частот n1,n2,…, nk должен
удовлетворять равенству:
n1 + n2 +…+ nk =
= n (1.17)
Относительной частотой Wi называют
долю наблюдений, попадающих в рассматриваемый интервал:
Wi =
(1.18)
Плотность распределения
относительных частот определим как отношение относительных частот к величине
интервала:
, (1.19)
где
является серединой интервала [xi-1; xi).
Гистограммой относительных частот
называют ступенчатую фигуру, состоящую из прямоугольников, основаниями которых
служат частичные интервалы длиной h, а высоты равны эмпирической плотности
распределения:
͡
pi =
, (1.20)
где i=1,2,…, k.
Площадь i-го прямоугольника равна
доле случайных величин, попавших в i-й интервал:
Si = ͡pi h =
(1.21)
Площадь гистограммы относительных
частот равна сумме площадей прямоугольников:
S =
(1.22)
Таким образом, функция
является
статистическим аналогом плотности распределения случайной величины Х,
реализации которой получают при статистическом наблюдении. Полигоном частот
называется ломаная линия, отрезки которой соединяют середины горизонтальных
отрезков, образующих прямоугольники в гистограмме.
Полигоном относительных частот
называется ломаная линия с вершинами в точках:
, ͡pi
(1.23)
По результатам вычислений составим
табл.1.3 значений выборочной функции плотности. В первую строку таблицы
поместим частичные интервалы, во вторую строку - середины интервалов, в третью
строку запишем частоты - количество элементов выборки, попавших в каждый
частичный интервал, в четвёртую строку запишем относительные частоты, в пятую
строку запишем значения плотности относительных частот или значения выборочной,
экспериментальной функции плотности.
Таблица
1.3
Значения выборочной функции плотности
|
[29,54;
32,8)[32,8;
36,06)[36,06;
39,32)[39,32;
42,58)[42,58;
45,84)[45,84;
49,1)[49,1;
52,36)[52,36;
55,62)
|
|
|
|
|
|
|
|
|
|
31,1734,4337,6940,9544,2147,4750,7353,99
|
|
|
|
|
|
|
|
|
|
2491717461
|
|
|
|
|
|
|
|
|
|
0,03330,06670,150,28330,28330,06670,10,0167
|
|
|
|
|
|
|
|
|
|
 0,01020,02040,04600,08690,08690,02040,03070,0051
|
|
|
|
|
|
|
|
|
По результатам вычислений функции плотности,
представленной в таблице 1.3 можно сделать вывод, что в интервалах [39,32;
42,58) и [42,58; 45,84) больше всего элементов - по 17 в каждом. Объедим эти
интервалы в один и вычислим моду: мода имеет один локальный максимум в
окрестностях точки х = 44,21 с частотой ni = 18.
Оценку медианы находим, используя вариационный
ряд, для которого n = 2k = 60 и k = 30:
(1.24)
Сравнение оценок медианы
= 42,05 и
оценки математического ожидания
показывает, что они отличаются на
0,997%.
.5 Параметрическая оценка функции
плотности распределения
Исходя из гипотезы, что заданная
выборка имеет нормальный закон распределения, найдём параметрическую оценку
функции плотности, используя формулу для плотности распределения вероятности
нормального закона
, (1.25)
где
и
известны - они вычисляются по
выборке.
Значения этой функции вычисляют для
середин частичных интервалов вариационного ряда, т.е. при
. На
практике для упрощения вычислений функции
, где i=1,2,…,k, пользуются
таблицами значений функции плотности стандартной нормальной величины
(Приложение В).
Для этого вычисляем значения
для i=1,2,…,k: (1.26)
Затем по таблице находим значение
: (1.27)
И после вычисляем функцию
: (1.28)
Функция φ(х) принимает
наибольшее значение при x = X :
(1.29)
Если h мало и объём выборки n велик,
то можно приближенно, достаточно близко определить вероятность того, что
случайная величина Х
принадлежит интервалу [xi-1;xi),
по формуле:
P
, (1.30)
где
- теоретическая вероятность.
Используем соотношение, связывающее
теоретическую вероятность
c
теоретической частотой
:
(1.31)
Тогда теоретические частоты
определяются
равенствами
(1.32)
Может оказаться, что теоретические
частоты
являются
дробными числами, но число элементов выборки, попадающих в i-й интервал,
всегда является целым числом. Поэтому округлим дробные теоретические частоты до
целых значений с условием, чтобы сумма всех найденных теоретических частот была
близка к n:
Если сумма теоретических вероятностей
существенно ниже единицы, то надо построить дополнительные интервалы слева и
справа от основного интервала [x0; xk). Для
средних значений частичных интервалов, построенных слева и справа от интервала
[x0; xk), вычислим
значения теоретической плотности нормального распределения и теоретические
частоты. Сумма для всех теоретических вероятностей должна быть близка к единице
с точностью до нескольких знаков после запятой:
Вычислим
теоретические вероятности:
Вычислим теоретические частоты:
Результаты вычислений вероятностей и
соответствующих частот приведены в таблице 1.4.
В первом столбце таблицы расположены
k частичных
интервалов, во втором столбце расположены наблюдаемые частоты ni , в третьем
столбце расположены координаты середины частичных интервалов, в четвёртом
столбце расположены относительные частоты, в пятом столбце расположены значения
экспериментальной функции плотности, в шестом столбце расположены значения zi , в седьмом
столбце расположены значения теоретической функции плотности, вычисленные в
середине частичных интервалов, в восьмом столбце расположены значения
теоретических вероятностей, в девятом столбце расположены значения
теоретических частот.
Таблица
1.4
Результаты вычисления экспериментальных и
теоретических вероятностей и частот
|
|
|
     
|
|
|
|
|
|
|
|
[29,54;32,8)
|
2
|
31,17
|
0,0333
|
0,0102
|
-2,28
|
0,006
|
0,0196
|
1,176
|
|
[32,8;36,06)
|
4
|
34,43
|
0,0667
|
0,0204
|
-1,603
|
0,023
|
0,075
|
4,5
|
|
[36,06; 39,32)
|
9
|
37,69
|
0,15
|
0,0460
|
-0,93
|
0,056
|
0,183
|
10,98
|
|
[39,32; 42,58)
|
17
|
40,95
|
0,2833
|
0,0869
|
-0,26
|
0,079
|
0,258
|
15,48
|
|
[42,58; 45,84)
|
17
|
44,21
|
0,2833
|
0,0869
|
0,42
|
0,076
|
0,248
|
14,88
|
|
[45,84; 49,1)
|
4
|
47,47
|
0,0667
|
0,0204
|
1,09
|
0,045
|
0,147
|
8,82
|
|
[49,1; 52,36)
|
6
|
50,73
|
0,1
|
0,0307
|
1,76
|
0,017
|
0,055
|
3,3
|
|
[52,36;
55,62)
|
1
|
53,99
|
0,0167
|
0,0051
|
2,44
|
0,004
|
0,013
|
0,78
|
|
|
60
|
|
1
|
|
|
|
0,9986
|
59,916
|
Построим графики экспериментальной и
теоретической плотности нормального распределения (рис. 1)
|
|
0,0102
|
0,0204
|
0,0460
|
0,0869
|
0,0869
|
0,0204
|
0,0307
|
0,0051
|
|
|
0,006
|
0,023
|
0,056
|
0,079
|
0,076
|
0,045
|
0,017
|
0,004
|
Рис.1.Теоретическая и экспериментальная функции
плотности вероятностей
.6 Проверка гипотезы о нормальном
распределении случайной величины по критерию Пирсона
Для проверки гипотезы о нормальном распределении
случайной величины Х сравнивают между собой экспериментальные и теоретические
частоты по критерию Пирсона:
(1.33)
Критерий Пирсона определяет меру
расхождения между выборочными данными и теоретическими, определяемыми в
соответствии с высказанной гипотезой о распределении случайной величины Х. Если
экспериментальные вероятности pi совпадут с теоретическими
, то
значение x2 равно нулю.
Чем ближе значение x2 к нулю, тем
с большей вероятностью можно будет принять гипотезу о предполагаемом
распределении.
Статистика
имеет
распределение с V=k-r-1 степенями
свободы, где число k - число интервалов эмпирического
распределения, r - число параметров теоретического
распределения, вычисленных по экспериментальным данным. Для нормального
распределения число степеней свободы равно V=k-3.
В теории математической статистики
оказывается, что проверку гипотезы о модели закона распределения по критерию
Пирсона можно делать только в том случае, если выполняются следующие
неравенства:
n>50,
где i=1,2,3,…
Из результатов вычислении,
приведённых в таблице 1.7 следует, что необходимое условие для применения
критерия согласия Пирсона не выполнены, т.к. в некоторых группах
. Поэтому те
группы вариационного ряда, для которых необходимое условие не выполняется,
объединяют с соседними и, соответственно, уменьшают число групп, при этом
частоты объединённых групп суммируются. Так объединяют все группы с частотами
до тех пор,
пока для каждой новой группы не выполнится условие
.
При уменьшении числа групп для
теоретических частот соответственно уменьшают и число групп для эмпирических
частот. После объединения групп в формуле для числа степеней свободы V=k-3 в
качестве k принимают
новое число групп, полученное после объединения частот. Результаты приведены в
таблице 1.5.
Таблица
1.5
Результаты объединения интервалов и
теоретических частот
|
    
|
|
|
|
|
|
|
[29,54; 36,06)
|
0,0946
|
5,676
|
6
|
0,105
|
0,0185
|
|
[36,06; 39,32)
|
0,183
|
10,98
|
9
|
3,92
|
0,35701
|
|
[39,32; 42,58)
|
0,258
|
15,48
|
17
|
2,31
|
0,14922
|
|
[42,58; 45,84)
|
0,248
|
14,88
|
17
|
4,494
|
0,30202
|
|
[45,84; 55,62)
|
0,215
|
12,9
|
11
|
3,61
|
0,27984
|
|
всего
|
0,9986
|
59,916
|
60
|
|
1,10659
|
Результаты вычислений из таблицы 1.5 можно
используют для проверки гипотезы о нормальном распределении с помощью критерия
Пирсона.
Процедура проверки гипотезы о нормальном
распределении случайной величины Х выполняется в следующей последовательности:
1. Задаёмся уровнем значимости
или одним
из следующих значений
,
,
.
. Вычисляем наблюдаемое число
критерия, используя экспериментальные и теоретические частоты из таблицы 1.5
. Для выбранного уровня значимости
по таблице
распределения находят критические значения
при числе степеней свободы V=k-3, где
k - число
групп эмпирического распределения.
. Сравнивают фактически наблюдаемое
критическим
, найденным
по таблице 1.3, и принимаем решение:
А) Если
, то
выдвинутая гипотеза о теоретическом законе распределения отвергается при
заданном уровне значимости.
Б) Если
, то
выдвинутая гипотеза о теоретическом законе распределения не противоречит
выборке наблюдений при заданном уровне значимости, т.е. нет оснований отвергать
гипотезу о нормальном распределении, т.к. эмпирические и теоретическое частоты
различаются незначительно (случайно).
При выбранном уровне значимости
и числе
групп k=5, число
степеней свободы V=2. По таблице 1.3 для
и V=2 находим
.
В результате получаем:
Для
, которое нашли по результатам
вычислений, приведённых в таблице 1.8, имеем
Следовательно, выдвинутая гипотеза о
теоретическом законе распределения не противоречит выборке наблюдений при
заданном уровне значимости, т.е. нет оснований отвергать гипотезу о нормальном
распределении.
При выбранном уровне значимости
получаем:
Следовательно, нет оснований
отвергать гипотезу о нормальном распределении при заданном уровне значимости
.
При выбранном уровне значимости
получаем:
Следовательно, нет оснований
отвергать гипотезу о нормальном распределении при заданном уровне значимости
.
При выбранном уровне значимости
получаем:
Следовательно, выдвинутая гипотеза о
теоретическом законе распределения не противоречит выборке наблюдений при
заданном уровне значимости, т.е. нет оснований отвергать гипотезу при
выборочном уровне значимости
.
статистический
показатель национальный богатство
2. Статистика национального
богатства
.1 Понятие национального богатства.
Состав элементов национального богатства
Национальное богатство (НБ) представляет собой
важную экономическую категорию общественного воспроизводства, а углубленный
анализ любой экономики требует изучения объема и состава национального
богатства как характеристики экономического потенциала страны.
Национальное богатство представляет собой
совокупную стоимость всех экономических активов материальных (природные
ресурсы) и нематериальных (нефинансовых и финансовых активов) в рыночных ценах,
находящихся в собственности резидентов данной страны на территории страны или
за ее пределами, а также, за вычетом их финансовых обязательств, как
резидентам, так и нерезидентам [1].
Экономические активы - это экономические
объекты, на которые экономическими единицами (институциональные единицы)
осуществляются права собственности, и от владения которыми или использования
которых в течение некоторого периода времени его владельцами извлекается
экономическая выгода [2].
Свойства показателя национального богатства
[6]:
· НБ - моментальный показатель, определяется в
стоимостном выражении в текущих или сопоставимых ценах (исключение составляют
природные ресурсы, которые учитываются в натуральном выражении, а в стоимостном
только экспериментально);
· По источникам происхождения
национального богатства выделяют: природные ресурсы и накопленные результаты
труда;
· НБ включает как материальные, так и
нематериальные и финансовые активы.
· Показатель национального богатства
складывается из имущества принадлежащего резидентам страны (физическим лица,
юридическим лицам, государственным и муниципальным органам) как на территории
данной страны, так и за ее пределами.
Состав национального богатства:
· Нефинансовые произведенные активы
· Нефинансовые непроизведенные активы
(возникают не в результате экономического производства, а естественным путем в
природе, а также некоторые нематериальные активы).
· Финансовые активы
Статистика национального богатства призвана
решать следующие задачи [7]:
· четкое определение экономического содержания
национального богатства, компонентов, входящих в его состав, и их границ;
· подготовка соответствующих
классификаций по различным признакам (формам собственности,
натурально-вещественному составу, отраслям и секторам экономики и др.);
· выработка единых методологических
принципов оценки конкретных элементов богатства: земли, природных ресурсов,
нематериальных активов и т. д.;
· разработка необходимой
информационной базы для отражения объема, структуры и динамики национального
богатства и его отдельных элементов;
· разработка и утверждение
статистического инструментария для наблюдения за элементами национального
богатства;
· взаимоувязка рассчитываемых
показателей национального богатства с другими обобщающими показателями (валовым
внутренним продуктом, национальным доходом, национальным сбережением и
накоплением и т. д.);
· разработка методологии расчета производных
показателей для экономико-статистического анализа роли элементов национального
богатства в развитии экономики страны.
Национальное богатство является важнейшей
составной частью экономического потенциала страны. Его объем во многом
определяет масштабы и темпы экономического роста, что делает актуальной его
оценку как одного из показателей функционирования национальной экономики.
Национальное богатство - это совокупный объем
экономических ресурсов и материальных ценностей, необходимых для нормального
производства благ - товаров и услуг.
Национальное богатство состоит из следующих
основных элементов:
· невоспроизводственного элемента. Это
совокупность ресурсов, которые не могут быть воспроизведены и являются
исчерпаемыми, например полезные ископаемые, памятники культуры и искусства;
· воспроизводственного элемента. Это
совокупность ресурсов, объем которых может быть увеличен в процессе
хозяйственной деятельности, например непроизводственные и производственные
активы;
· нематериального элемента. Это ресурсы,
которые не имеют вещественного проявления, например, интеллектуальный потенциал
страны, качество жизни населения, научно-технический потенциал;
· объема имущественных обязательств
перед другими странами [3].
Объем национального богатства позволяет:
· определить объем благ - товаров и услуг,
находящихся в национальной экономике на определенном временном промежутке;
· определить совокупную стоимость
ресурсного природного потенциала, так как от него непосредственно зависят темпы
экономического роста;
· осуществить комплексный учет
нематериальных ресурсов национальной экономики.
При оценке реального объема национального
богатства производится учет только тех его составных частей, стоимость которых
может быть определена достоверно - исходя из конкретной хозяйственной практики.
Поэтому тотальная оценка реального объема национального богатства не
распространена в хозяйственной практике стран мира, так как это связано со
значительными затратами. На практике для подсчета национального богатства
используются элементы системы национальных счетов (СНС). Это позволяет
определить его примерный объем, но при этом не требует серьезных материальных и
финансовых затрат. Для этого используется такая составляющая СНС, как
совокупность институциональных единиц по секторам [6].
Состав национального богатства отражен в таблице
2.1.
Таблица
2.1
Состав национального богатства в соответствии с
методологическими положениями по статистике РФ
|
НАЦИОНАЛЬНОЕ
БОГАТСТВО
<#"581315.files/image211.gif"> (2.1)
где Sп - полная первоначальная
стоимость основных фондов; Sл - ликвидационная стоимость основных
фондов за вычетом расходов на демонтаж; Т - нормативный срок службы основных
фондов.
Годовая норма амортизации Ан
определяется как отношение объема ежегодных амортизационных отчислений А к
полной первоначальной стоимости основных фондов Sпв:
(2.2)
Наиболее полное представление об изменении
объема основных фондов за год можно получить на основе балансового метода.
Балансы основных фондов составляются в двух
видах - по полной первоначальной балансовой стоимости и по остаточной
балансовой стоимости, что может быть выражено в текущих ценах, среднегодовых
ценах и в постоянных ценах базисного периода.
Схема баланса основных фондов по полной
первоначальной стоимости представлена в табл. 2.3.
Таблица
2.3
|
Виды
основных фондов в группировке по разным признакам
|
Наличие
на начало года
|
Поступило
в отчетном году
|
Выбыло
в отчетном году
|
Наличие
на конец года
|
|
|
Всего
|
В
том числе
|
Всего
|
В
том числе
|
|
|
|
|
Ввод
в действие
|
Прочие
поступление
|
|
Выбытие
по ветхости и износу
|
Прочее
выбытие
|
|
|
А
|
1
|
2
|
3
|
4
|
5
|
6
|
7
|
8=1+3+4-6-7
|
Баланс основных фондов по полной балансовой
стоимости отражает изменение объема основных фондов без учета их физического
состояния. Взаимосвязь между показателями баланса выражается в последнем
показателе (гр. 9 табл. 2.3), который есть сумма стоимостей основных фондов на
начало года и стоимостей основных фондов, поступивших в течение отчетного года
из разных источников за вычетом стоимости выбывших основных фондов в течение
отчетного года по всем направлениям выбытия.
Баланс основных фондов по остаточной балансовой
стоимости характеризует изменение реальной стоимости не только по вводу и
выбытию основных фондов, но и с учетом частичного восстановления их стоимости
путем капитального ремонта и амортизации.
Схема баланса основных фондов по остаточной
балансовой стоимости представлена в табл. 2.4 (упрощенный вариант).
Таблица
2.4
Баланс основных фондов по остаточной стоимости,
млн. руб.
|
Виды
ОФ в группировке по разным признакам
|
Наличие
ОФ на начало года
|
В
течение года
|
Наличие
ОФ на конец года
|
|
|
Ввод
в действие ОФ
|
Произведенный
капитальный ремонт
|
Выбытие
по ветхости
|
амортизация
|
|
|
А
|
1
|
2
|
3
|
4
|
5
|
6=1+2+3-4-5
|
Для характеристики состояния, движения и
использования основных фондов рассчитываются три группы основных показателей
для оценки производственного потенциала предприятия.
Первая группа показателей отражает состояние
основных фондов - коэффициенты годности и износа (по состоянию на определенную
дату).
Коэффициент годности Кгод
рассчитывается как отношение остаточной балансовой стоимости Sобс к
полной балансовой стоимости основных фондов Sпбс:
(2.3)
Коэффициент износа Кизн
рассчитывается как отношение суммы износа И к полной балансовой стоимости
основных фондов Sпбс :
(2.4)
Вторая группа показателей отражает движение
(введение или выбытие) основных фондов - коэффициенты обновления и выбытия
основных фондов за год или другой изучаемый период.
Коэффициент обновления Кобн
исчисляется как отношение стоимости введенных в оборот новых основных фондов за
год Р к полной балансовой стоимости на конец года Sпбс к.г.
(2.5)
Коэффициент выбытия Квыб исчисляется
как отношение стоимости выбывших основных средств В в течение года к полной
балансовой стоимости основных фондов на начало года Sпбс н.г. :
(2.6)
Третья группа показателей характеризует
использование основных фондов, к которым относят фондоемкость, фондоотдачу
продукции и фондовооруженность труда основными фондами.
Показатель фондоемкости продукции V
характеризует уровень затрат основных производственных фондов на один рубль
произведенной продукции и исчисляется как отношение среднегодовой стоимости
основных фондов к объему произведенной за год продукции Q:
(2.7)
Показатель фондоотдачи Ф характеризует выпуск
продукции в расчете на один рубль стоимости основных фондов (чем лучше
используются основные фонды, тем выше показатель фондоотдачи). Показатель
рассчитывается как отношение объема произведенной за год продукции Q к
среднегодовой стоимости основных фондов:
(2.8)
Эффективность использования основных фондов
можно определить индексным методом. При этом следует учесть, что объем
продукции и стоимость основных фондов в двух сравниваемых периодах должны
выражаться в сопоставимых ценах (по стоимости в постоянных ценах).
Индекс фондоотдачи Iф рассчитывается как
отношение уровня фондоотдачи в текущем периоде Ф1 к уровню фондоотдачи в
базисном периоде Ф0:
(2.9)
Показатель фондовооруженности труда W отражает
объем основных фондов, которыми оснащен один работник в процессе производства
продукта труда, и рассчитывается как отношение среднегодовой стоимости основных
производственных фондов к среднесписочной численности работников или рабочих Т:
(2.10)
Фондоотдача Ф и фондовооруженность труда W
являются факторами роста производительности труда ПТ:
(2.11)
Из данного соотношения видно, что между
фондоотдачей, фондовооруженностью и производительностью труда существует тесная
взаимозависимость. Фондоотдача будет расти, если производительность труда будет
опережать рост фондовооруженности. Но если рост производительности труда ниже,
чем рост фондовооруженности, то фондоотдача падает.
Обратимся к некоторым статистическим данным по
России за 2009-2010 гг., опубликованным в Российском статистическом ежегоднике.
Стоимость отдельных нефинансовых экономических активов представлена в таблице
2.5.
Таблица
2.5
Стоимость отдельных нефинансовых экономических
активов
Показатели наличия основных фондов в Российской
Федерации по видам экономической деятельности представлены в таблице 2.6.
Как видно из таблицы, наибольшее увеличение
основных фондов произошло в сферах транспорта и связи и в операциях с
недвижимым имуществом, аренде и предоставлении услуг.
Таблица
2.6
Наличие основных фондов в Российской Федерации
по видам экономической деятельности по полной учетной стоимости на конец года
|
Всего
|
Млн.
руб.
|
В
процентах к итогу
|
|
2009
|
2010
|
2009
|
2010
|
|
82302969
|
93185612
|
100
|
100
|
|
в
том числе по видам
|
|
|
|
|
|
экономической
деятельности:
|
|
|
|
|
|
сельское
хозяйство, охота и лесное хозяйство
|
2566917
|
2859877
|
3,1
|
3,1
|
|
рыболовство,
рыбоводство
|
97356
|
113107
|
0,1
|
0,1
|
|
добыча
полезных ископаемых
|
7861116
|
9084573
|
9,5
|
9,7
|
|
обрабатывающие
производства
|
6951720
|
7989040
|
8,4
|
8,6
|
|
производство
и распределение электроэнергии, газа и воды
|
5740995
|
6769064
|
7,0
|
7,3
|
|
строительство
|
1391117
|
1499940
|
1,7
|
1,6
|
|
оптовая
и розничная торговля; ремонт автотранспортных средств, мотоциклов, бытовых
изделий и предметов личного пользования
|
2556150
|
3109800
|
3,1
|
3,3
|
|
гостиницы
и рестораны
|
484662
|
535183
|
0,6
|
0,6
|
|
транспорт
и связь
|
23283486
|
25950327
|
28,3
|
27,8
|
|
финансовая
деятельность
|
1858026
|
2154362
|
2,3
|
2,3
|
|
операции
с недвижимым имуществом, аренда и предоставление услуг
|
19616695
|
21895792
|
23,8
|
23,5
|
|
государственное
управление и обеспечение военной безопасности; обязательное социальное
обеспечение
|
3538562
|
4253045
|
4,3
|
4,6
|
|
образование
|
2534403
|
2700025
|
3,1
|
2,9
|
|
здравоохранение
и предоставление социальных услуг
|
1965934
|
2175848
|
2,4
|
2,3
|
|
предоставление
прочих коммунальных, социальных и персональных услуг
|
1855830
|
2095629
|
2,3
|
2,3
|
Структуру основных фондов коммерческих и
некоммерческих организаций можно увидеть на рис.2.1
Рисунок 2.1 - Структура основных фондов
коммерческих и некоммерческих организаций
Из рисунка видно, что в коммерческих
организациях большую долю основных средств составляют сооружения, также
значительна доля машин и оборудования. В некоммерческих организациях наибольший
удельный вес имеют здания и сооружения.
Рисунок 2.2 - Коэффициенты обновления и выбытия
основных фондов в РФ в 2010 г.
Согласно диаграмме, наибольшие коэффициенты обновления
- в финансовой деятельности, государственном управлении, обеспечении военной
безопасности и социальном страховании; наименьший - в сфере рыболовства и
рыбоводства. Коэффициенты выбытия имеют самые большие показатели в сельском и
лесном хозяйстве и охоте, а самые низкие - в строительстве.
В табл. 2.7 представлены данные по вводу в
действие основных фондов в РФ за 2009-2010 гг.
Таблица
2.7
Ввод в действие основных фондов в РФ по видам
экономической деятельности
|
2009
|
2010
|
2009
|
2010
|
|
Млн.
руб.
|
|
в
процентах к предыдущему году (в сопоставимых ценах)
|
|
Все
основные фонды
|
6356223
|
6275935
|
96,6
|
93,4
|
|
в
точ числе по видам экономической деятельности:
|
|
|
|
|
|
сельское
хозяйство, охота и лесное хозяйство
|
282736
|
310879
|
85,6
|
92,2
|
|
рыболовство,
рыбоводство
|
3458
|
6787
|
82,9
|
134,1
|
|
добыча
полезных ископаемых
|
1299054
|
935619
|
109,8
|
71,6
|
|
обрабатывающие
производства
|
874926
|
881350
|
94,2
|
99,8
|
|
производство
и распределение электроэнергии, газа и воды
|
383130
|
543063
|
109,1
|
116,3
|
|
строительство
|
153385
|
148277
|
66,1
|
95,9
|
|
оптовая
и розничная торговля; ремонт автотранспортных средств, мотоциклов, бытовых
изделий и предметов личного пользования
|
255529
|
252131
|
86,8
|
98,2
|
|
гостиницы
и рестораны
|
34042
|
44258
|
99,0
|
108,8
|
|
транспорт
и связь
|
1374754
|
1084209
|
107,8
|
77,9
|
|
финансовая
деятельность
|
152325
|
232411
|
79,4
|
116,8
|
|
операции
с недвижимым имуществом, аренда и предоставление услуг
|
753681
|
828828
|
90,6
|
108,2
|
|
государственное
управление и обеспечение военной безопасности; обязательное социальное
обеспечение
|
386714
|
527181
|
104,5
|
105,7
|
|
образование
|
126139
|
138089
|
79,3
|
108,4
|
|
здравоохранение
и предоставление социальных услуг
|
163849
|
159296
|
88,5
|
96,8
|
|
предоставление
прочих коммунальных, социальных и персональных услуг
|
112501
|
183557
|
72,7
|
109,0
|
|
|
|
|
|
|
Судя по данным в таблице, в целом ввод в
действие основных фондов в 2010 г. уменьшился по сравнению с 2009 г., хотя по
отдельным показателям наблюдается увеличение. Например, в сфере рыболовства
показатель увеличился почти в 2 раза.
Динамика ввода в действие основных фондов
отображена на рис. 2.3
Рисунок 2.3 - Динамика ввода основных фондов в
РФ за 1990-2010 гг.
Как видно из графика, максимальный показатель
ввода был 1990 г., минимальный - в 1998 г.
Доля полностью изношенных основных фондов в
коммерческих организациях представлена в таблице 2.8.
Таблица
2.8
Доля полностью изношенных основных фондов в РФ
на конец года по видам экономической деятельности, в процентах
|
2009
|
2010
|
|
Все
основные фонды
|
13,0
|
13,5
|
|
в
том числе по видам экономической деятельности:
|
|
|
|
сельское
хозяйство, охота и лесное хозяйство
|
7,3
|
7,1
|
|
рыболовство,
рыбоводство
|
21,0
|
21,8
|
|
добыча
полезных ископаемых
|
19,5
|
19,8
|
|
обрабатывающие
производства
|
12,8
|
12,8
|
|
производство
и распределение электроэнергии, газа и воды
|
13,9
|
14,9
|
|
строительство
|
11,2
|
11,7
|
|
оптовая
и розничная торговля; ремонт автотранспортных средств, мотоциклов, бытовых
изделий и предметов личного пользования
|
16,4
|
16,9
|
|
гостиницы
и рестораны
|
3,9
|
3,5
|
|
транспорт
и связь
|
8,1
|
8,7
|
|
финансовая
деятельность
|
4,0
|
4,7
|
|
операции
с недвижимым имуществом, аренда и предоставление услуг
|
7,5
|
8,0
|
|
государственное
управление и обеспечение военной безопасности; обязательное социальное
обеспечение
|
10,3
|
9,5
|
|
образование
|
7,5
|
9,7
|
|
здравоохранение
и предоставление социальных услуг
|
5,5
|
6,1
|
|
предоставление
прочих коммунальных, социальных и персональных услуг
|
5,0
|
6,7
|
По данным таблицы можно сделать вывод, что доля
полностью изношенных основных фондов в 2010 г. по сравнению с 2009 г. в
большинстве видах деятельности немного увеличилась, но в сфере сельского
хозяйства, гостиницах и ресторанах, государственном управлении уменьшилась.
В таблице 2.9 представлена амортизация основных
фондов, начисленная за отчетный год в коммерческих организациях (без субъектов
малого предпринимательства) по видам экономической деятельности.
Таблица
2.9
Амортизация основных фондов за отчетный год
|
2009
|
2010
|
2009
|
2010
|
|
В
млн. руб.
|
в
% к наличию основных фондов на начало отчетного года по полной учетной
стоимости
|
|
Все
основные фонды
|
2348641
|
2668813
|
6,3
|
6,1
|
|
в
том числе по видам экономической деятельности:
|
|
|
|
|
|
сельское
хозяйство, охота и лесное хозяйство
|
73502
|
84476
|
7,8
|
7,8
|
|
рыболовство,
рыбоводство
|
3236
|
3029
|
6,8
|
6,0
|
|
добыча
полезных ископаемых
|
490114
|
557308
|
9,3
|
8,5
|
|
обрабатывающие
производства
|
452394
|
7,7
|
7,6
|
|
производство
и распределение электроэнергии, газа и воды
|
207216
|
259907
|
5,1
|
5,4
|
|
строительство
|
55835
|
63606
|
10,0
|
10,3
|
|
оптовая
и розничная торговля; ремонт автотранспортных средств, мотоциклов, бытовых
изделий и предметов личного пользования
|
345391
|
394736
|
3,7
|
3,7
|
|
гостиницы
и рестораны
|
8071
|
8720
|
8,1
|
7,0
|
|
транспорт
и связь
|
479712
|
539260
|
5,9
|
5,4
|
|
финансовая
деятельность
|
118720
|
127343
|
11,5
|
10,6
|
|
операции
с недвижимым имуществом, аренда и предоставление услуг
|
140978
|
145668
|
7,8
|
7,7
|
|
государственное
управление и обеспечение военной безопасности; обязательное социальное
обеспечение
|
198
|
240
|
3,9
|
3,9
|
|
образование
|
182
|
144
|
7,6
|
5,3
|
|
здравоохранение
и предоставление социальных услуг
|
5277
|
5216
|
7,3
|
6,9
|
|
предоставление
прочих коммунальных, социальных и персональных услуг
|
19368
|
26766
|
4,2
|
8,1
|
Из таблицы видно, что в целом сумма амортизации
в 2010 г. возросла, как и по большинству показателей.
2.4 Показатели статистики оборотных
средств
Помимо основных фондов для успешного
функционирования процесса производства необходимы и материальные оборотные
фонды, которые целиком потребляются в одном производственном цикле, вещественно
входят в продукт и полностью переносят на него свою стоимость.
Материальные оборотные фонды являются наиболее
мобильным и постоянно возобновляемым элементом национального богатства.
В состав материальных оборотных фондов включают
сырье, основные и вспомогательные материалы, незавершенное производство в
отраслях с длительным циклом (строительные объекты, тяжелая промышленность,
сельское хозяйство, производство кинофильмов и т.д.), готовую продукцию, товары
для перепродажи, государственные материальные резервы (средства производства и
предметы потребления, предназначенные для использования в чрезвычайных
обстоятельствах), производственные запасы (топливо, горючее, тара, запасные
части для ремонта и т.д.). Одна из главных функций оборотных средств -
обеспечение производственного процесса. Поэтому важнейшей является
характеристика наличия материальных оборотных фондов, учет запасов которых
ведется в натуральном и денежном выражении по состоянию на определенную дату и
в среднем за истекший отчетный период.
В статистическом анализе используется показатель
обеспеченности производственными запасами, который рассчитывается в днях
обеспеченности До как отношение величины фактических
производственных запасов на определенную дату Зф к среднесуточной
потребности в данном виде запасов Зс:
(2.12)
Изменение запасов в течение данного периода
характеризуется показателями их пополнения и выбытия, разница между которыми
отражает или прирост, или сокращение запасов оборотных фондов.
На предприятиях в целях оперативного управления
рассчитывают средний остаток оборотных фондов за данный месяц как полусумму
остатков на начало и конец этого месяца по формуле
(2.13)
Ряд показателей характеризует процесс
использования материальных оборотных средств. К ним относятся: коэффициент
оборачиваемости оборотных фондов, коэффициент закрепления оборотных фондов,
показатель средней продолжительности одного оборота в днях, показатель суммы
средств, высвобождаемых из оборота вследствие ускорения оборачиваемости
оборотных фондов. К этой же группе относятся показатели, характеризующие
материалоемкость продукции, расход важнейших видов материальных ресурсов,
удельный расход конкретного вида сырья или материалов.
Коэффициент оборачиваемости Коб характеризует
скорость оборота оборотных средств (число оборотов стоимости оборотных средств,
равной их среднему остатку за данный период времени) и представляет собой
отношение стоимости реализованной продукции (выручки) Рв к среднему остатку
оборотных фондов за тот же период (по экономическому содержанию аналогичен
коэффициенту фондоотдачи):
(2.14)
Коэффициент закрепления (загрузки) оборотных фондов
Кзк - величина, обратная коэффициенту оборачиваемости (характеризует
стоимость оборотных средств, приходящихся на стоимостную единицу выполненных
работ.). Он исчисляется в стоимостном выражении (руб.) (по экономическому
содержанию аналогичен коэффициенту фондоемкости):
(2.15)
Показатель средней продолжительности одного
оборота в днях Аоб показывает время (количество дней), в течение
которого совершается один полный оборот материальных оборотных средств (удобен
для сравнения скорости обращения оборотных средств за периоды разной
продолжительности). Он рассчитывается как отношение продолжительности Д
периода, за который определяется показатель (число календарных дней), к
коэффициенту оборачиваемости Коб :
(2.16)
Показатель суммы средств, высвобожденных из
оборота в результате ускорения оборачиваемости материальных оборотных фондов, Свыс
определяется как разность условного значения среднего остатка оборотных фондов,
которые необходимы для получения фактического объема выручки от реализации и
фактического среднего остатка оборотных фондов:
(2.17)
Эффективность использования оборотных фондов
оценивается показателем материалоемкости продукции (МП), который рассчитывается
как отношение стоимости текущих материальных затрат без амортизации МЗтек к
стоимости произведенной продукции Pп :
(2.18)
Динамика оборотных средств представлена в
таблице 2.11
Таблица
2.11
Динамика основных фондов и оборотных средств,
(млн. руб.)
Основываясь на данных таблицы, можно сказать,
что материальные оборотные средства в период с 2003 по 2010 гг. значительно
возросли (более, чем в 4 раза).
Заключение
Статистика - наука, изучающая, обрабатывающая и
анализирующая количественные данные о самых разнообразных массовых явлениях в
жизни.
Задача статистики - исчисление статистических
показателей и их анализ, благодаря чему управляющие органы получают всестороннюю
характеристику управляемого объекта, без которой невозможно эффективное
управление, будь то вся национальная экономика или отдельные ее отрасли,
предприятия и их подразделения.
Все поставленные цели и задачи курсовой работы
были достигнуты. В первой части настоящей работы была изучена методика
статистического оценивания числовых характеристик случайной величины и
нормального закона распределения на практике. В результате исследования не было
выявлено оснований для отвержения гипотезы о нормальном распределении случайной
величины. Вторая часть была посвящена статистическому измерению национального
богатства, были рассмотрены основные показатели, приведены примеры из
российской практики за последние годы и в динамике.
Список источников
1. Экономическая
статистика. Учебник / Под ред. Ю.Н. Иванова. - М.: ИНФРА-М, 2007.
2. Курс
социально-экономической статистики: Учебник / Под ред. М.Г. Назарова. - М.:
ОМЕГА-Л, 2007.
. Социальная
статистика. Учебник / Под ред. И.И. Елисеевой. - М.: Финансы и Статистика,2001.
. Социально-экономическая
статистика. Практикум. / Под ред. С.А. Орехова. - М.: Эксмо, 2007
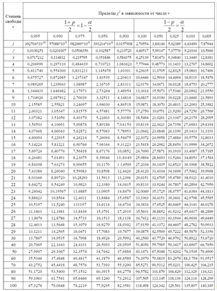
5. <#"581315.files/image234.gif"> - критерия
Стьюдента
|
Число степеней свободы
|
Вероятность р
|
|
0,1
|
0,2
|
0,3
|
0,4
|
0,5
|
0,6
|
0,7
|
0,8
|
0,9
|
0,95
|
0,98
|
0,99
|
|
1
|
0,16
|
0,32
|
0,51
|
0,73
|
1,00
|
1,38
|
1,96
|
3,08
|
6,31
|
12,71
|
31,82
|
63,66
|
|
2
|
14
|
29
|
44
|
62
|
0,82
|
06
|
34
|
1,89
|
2,92
|
4,30
|
6,96
|
9,92
|
|
3
|
14
|
28
|
42
|
58
|
76
|
0,98
|
25
|
64
|
35
|
3,18
|
4,65
|
5,84
|
|
4
|
13
|
27
|
41
|
57
|
74
|
94
|
19
|
53
|
13
|
2,78
|
3,75
|
4,60
|
|
5
|
13
|
27
|
41
|
56
|
73
|
92
|
16
|
48
|
01
|
57
|
36
|
03
|
|
6
|
0,13
|
0,26
|
0,40
|
0,55
|
1,72
|
1,91
|
1,13
|
1,44
|
1,94
|
2,45
|
3,14
|
3,71
|
|
7
|
13
|
26
|
40
|
55
|
71
|
90
|
12
|
41
|
89
|
36
|
00
|
50
|
|
8
|
13
|
26
|
40
|
55
|
70
|
89
|
11
|
40
|
86
|
31
|
2,90
|
35
|
|
9
|
13
|
26
|
40
|
54
|
70
|
88
|
10
|
38
|
83
|
26
|
82
|
25
|
|
10
|
13
|
26
|
40
|
54
|
70
|
88
|
09
|
37
|
81
|
23
|
76
|
17
|
|
11
|
0,13
|
0,26
|
0,40
|
0,54
|
0,70
|
0,88
|
1,09
|
1,36
|
1,80
|
2,20
|
2,72
|
3,11
|
|
12
|
13
|
26
|
39
|
54
|
69
|
87
|
08
|
36
|
78
|
18
|
68
|
05
|
|
13
|
13
|
26
|
39
|
54
|
69
|
87
|
08
|
35
|
77
|
16
|
65
|
01
|
|
14
|
13
|
26
|
39
|
54
|
69
|
87
|
08
|
34
|
76
|
14
|
62
|
2,98
|
|
15
|
13
|
26
|
39
|
54
|
69
|
87
|
07
|
34
|
75
|
13
|
60
|
95
|
|
16
|
0,13
|
0,26
|
0,39
|
0,53
|
0,69
|
0,86
|
1,07
|
1,34
|
1,75
|
2,12
|
2,58
|
2,92
|
|
17
|
13
|
26
|
39
|
53
|
69
|
86
|
07
|
33
|
74
|
11
|
57
|
90
|
|
18
|
13
|
26
|
39
|
53
|
69
|
86
|
07
|
33
|
73
|
10
|
55
|
88
|
|
19
|
13
|
26
|
39
|
53
|
69
|
86
|
07
|
73
|
09
|
54
|
86
|
|
20
|
13
|
26
|
39
|
53
|
69
|
86
|
06
|
32
|
72
|
09
|
53
|
84
|
|
21
|
0,13
|
0,26
|
0,39
|
0,53
|
0,69
|
0,86
|
1,06
|
1,32
|
1,72
|
2,08
|
2,52
|
2,83
|
|
22
|
13
|
26
|
39
|
53
|
69
|
86
|
06
|
32
|
72
|
07
|
51
|
82
|
|
23
|
13
|
26
|
39
|
53
|
68
|
86
|
06
|
32
|
71
|
07
|
50
|
81
|
|
24
|
13
|
26
|
39
|
53
|
68
|
86
|
06
|
32
|
71
|
06
|
49
|
80
|
|
25
|
13
|
26
|
39
|
53
|
68
|
86
|
06
|
32
|
71
|
06
|
48
|
79
|
|
26
|
0,13
|
0,26
|
0,39
|
0,53
|
0,68
|
0,86
|
1,06
|
1,31
|
1,71
|
2,06
|
2,48
|
2,78
|
|
27
|
13
|
26
|
39
|
53
|
68
|
85
|
06
|
31
|
70
|
05
|
47
|
77
|
|
28
|
13
|
26
|
39
|
53
|
68
|
85
|
06
|
31
|
70
|
05
|
47
|
76
|
|
29
|
13
|
26
|
39
|
53
|
68
|
85
|
05
|
31
|
70
|
04
|
46
|
76
|
|
30
|
13
|
26
|
39
|
53
|
68
|
85
|
05
|
31
|
70
|
04
|
46
|
75
|
|
40
|
0,13
|
0,25
|
0,39
|
0,53
|
0,68
|
0,85
|
1,05
|
1,30
|
1,68
|
2,02
|
2,42
|
2,70
|
|
60
|
13
|
25
|
39
|
53
|
68
|
85
|
05
|
30
|
67
|
00
|
39
|
66
|
|
120
|
0,13
|
0,25
|
0,39
|
0,53
|
0,68
|
0,84
|
1,04
|
1,29
|
1,66
|
1,98
|
2,36
|
2,62
|
|
∞
|
13
|
25
|
38
|
52
|
67
|
84
|
04
|
28
|
64
|
96
|
33
|
58
|
ПРИЛОЖЕНИЕ Б
Значения x2
распределения
ПРИЛОЖЕНИЕ В
Плотность вероятности нормального
распределения
Похожие работы на - Статистическая обработка данных
|