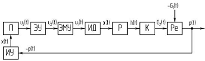
Объектом регулирования является резервуар (Ре), в котором под давлением
находится газ.
Давление является показателем соотношения расходов газовой фазы на входе,
в резервуар
и выходе из него
.
Задающим воздействием САР, определяющим давление газа в резервуаре,
является сила натяжения пружины в измерительном устройстве (ИУ).
Отклонение давления газа в резервуаре от заданного значения вызывается
возмущающим воздействием - расходом газа
, на входе в резервуар.
- измерительное устройство (ИУ) - воспринимающее, задающее, сравнивающее устройство;
- электронный усилитель (ЭУ) и электромашинный усилитель (ЭМУ)
- усилительное устройство;
- исполнительный двигатель (ИД) и редуктор клапана (Р) -
исполнительный механизм;
Таким образом,ИУ выполняет функции воспринимающего, задающего и
сравнивающего устройства.
Из условий задания: вфункциональной схемеи уравнении движения ИУ, нам не даны задающий
параметр
и параметр силы давления
-
, они включены в уравнение движени
. Но, для лучшего понимания системы,
они будут указаны на структурной схеме САР.
Таким образом, когда давление газа в резервуаре повышается, то клапан
приоткрывается и спускает часть давления, когда давление доходит до нормы и
понижается, клапан начинает закрываться, тем самым сохраняя давление в
резервуаре.
Процесс регулирования будет продолжаться до тех пор, пока
фактическоедавление в резервуаре не станет равным заданному значению.В этом
случае сигнал рассогласования между фактическим и заданнымдавлением
отсутствует, то есть
.
Рассматриваемая САР работает на принциперегулированияпо отклонению
фактического значения регулируемого параметра.
Основой для составления структурной схемы с передаточными функциями является совокупность
дифференциальных уравнений движения элементов системы.
|
|
Элементарная структурная
схема измерительного устройства
|
|
|
Элементарная структурная
схема потенциометра
|
|
|
Элементарная структурная
схема электронного усилителя
|
|
|
Элементарная структурная
схема электромашинного усилителя
|
|
|
Элементарная структурная
схема исполнительного двигателя
|
|
|
Элементарная структурная
схема редуктора клапана
|
|
|
Элементарная структурная
схема клапана
|
|
|
Элементарная структурная
схема резервуара
|
3.4 Составление структурной схемы с
передаточными функциями системы
Так как САР давления газа в резервуаре имеет одно входное воздействие -
возмущающее
(по условию задающее воздействие нам не дано), структурная
схема с передаточными функциями замкнутой системы имеет одну форму - по
возмущающему воздействию.
Рис.3.1. Структурная схема замкнутой системы по возмущающему воздействию.
Для определения передаточной функции системы по возмущающему воздействию
последовательную цепь звеньев с
передаточными функциями
,
,
,
,
,
,
,
заменяем одним эквивалентным звеном с передаточной функцией
Знак «-» сигнала
перенесен в конец цепи обратной связи по линии
распространения сигнала.
Рис.3.1. Эквивалентная структурная схема замкнутой системы по возмущающему воздействию.
Передаточная функция замкнутой САР по возмущающему воздействию будет
равна:
4. Составление структурной схемы с
передаточными функциями разомкнутой САР. Определение ее передаточной функции
Структурная схема с передаточными функциями разомкнутой САР образуется из
схемы замкнутой системы путем искусственного размыкания главной обратной связи
при условии равенства нулю всех внешних для замкнутой системы воздействий
Рис. 4.1.Структурная схема разомкнутой САР.
Структурная схема с передаточными функциями разомкнутой системы
представляет собой цепь последовательно соединенных звеньев, поэтому
передаточная функция разомкнутой САР равна произведению передаточных функций
всех звеньев цепи:
5. Построение логарифмических
частотных характеристик разомкнутой САР, определение устойчивости системы и
запасов устойчивости. Коррекция САР
Устойчивость - это свойство системы возвращаться в исходный или близкий к
нему установившийся режим после всякого выхода из него в результате какого-либо
воздействия.
§ Техническое понятие устойчивости отражает понятное и очевидное свойство
"хорошей" технической системы не только стабильно работать в
нормальных режимах, но и "не уходить вразнос" при некотором, возможно
небольшом, отклонении всевозможных параметров от номинала.
§ Устойчивость системы - простейшее техническое требование в системы в ряду
более сложных требований, связанных с показателями качества и точности САР.
§ Свойство устойчивости, являясь простейшим свойством системы, без которого
система неработоспособна, может быть выражено числовыми показателями, которые
легко могут быть вычислены и непосредственно связаны со всеми другими
показателями качества и точности системы.
Если система неустойчива, то достаточно любого толчка, чтобы в ней
начался расходящийся процесс ухода из исходного установившегося состояния.
При исследовании и проектировании САР часто используют логарифмические
частотные характеристики (ЛЧХ):логарифмические амплитудно-частотные
характеристики - ЛАЧХ и логарифмические фазово-частотные характеристики -ЛФЧХ,
разомкнутых систем. Это объясняется тем, что разомкнутые САР более просто
исследовать экспериментально, чем замкнутые. В то же время по ним можно
получить исчерпывающую информацию о поведении данной САР в замкнутом состоянии.
Для построения ЛАЧХ и ЛФЧХ рекомендуется следующий порядок:
1. Необходимо получить выражение частотной функции.
2. Разложить частотную функцию на элементарные множители,
являющиеся передаточными функциями типовых динамических звеньев.
3. Вычислить сопрягающие частоты отдельных звеньев;
4. Построить асимптотические ЛАЧХ и ЛФЧХ каждого элементарного
звена.
. Путем
графического суммирования ЛАЧХ и ЛФЧХ звеньев построить результирующие
характеристики.
5.1 Выражение частотной функции
Выражение
получается из выражения передаточной функции разомкнутой
системы
заменой аргумента
на
5.2 Элементарные множители частотной функции (приложение А):
|
|
пропорциональное звено
|
|
|
интегрирующее звено
|
|
|
апериодические звенья
первого порядка
|
.3 Сопрягающие частоты каждого элементарного звена
Таблица 5.1.
5.4 ЛАЧХ и ЛФЧХ каждого элементарного звена
- пропорциональное звено;
ЛАЧХ - прямая, параллельная оси абсцисс и отстоящая от нее на
ЛФЧХ - прямая, совпадающая с осью абсцисс
.
- интегрирующее звено;
ЛАЧХ - прямая, пересекающая ось
в точке с абсциссой
и имеющая наклон - 20 дБ/дек
;
ЛФЧХ - прямая, параллельная оси абсцисс, соответствующая постоянному
фазовому углу - 90о
.
- апериодическое звено первого порядка;
ЛАЧХ - низкочастотная асимптота характеристики совпадает с осью абсцисс,
а высокочастотная - выходит из точки излома
и имеет наклон -20 дБ/дек
;
ЛФЧХ - кривая, фазовый угол которой изменяется от
до
, симметричная относительно точки с
координатами
,
.
- апериодическое звено первого порядка;
ЛАЧХ - низкочастотная асимптота характеристики совпадает с осью абсцисс,
а высокочастотная - выходит из точки излома
и имеет наклон -20 дБ/дек
;
ЛФЧХ - кривая, фазовый угол которой изменяется от
до
, симметричная относительно точки с
координатами
,
.
- апериодическое звено первого порядка;
ЛАЧХ - низкочастотная асимптота характеристики совпадает с осью абсцисс,
а высокочастотная - выходит из точки излома
и имеет наклон -20 дБ/дек
;
ЛФЧХ - кривая, фазовый угол которой изменяется от
до
, симметричная относительно точки с
координатами
,
.
Рис.5.1.Построение ЛАЧХ и ЛФЧХ для каждого элементарного звена.
5.5 Построение результирующих ЛАЧХ и ЛФЧХ
Суммируя ординаты ЛАЧХ всех элементарных множителей, получаем
асимптотическую ЛАЧХ разомкнутой системы
в виде ломаной линии с чередующимися
наклонами отрезков прямых -20, -40, -60, -80 дБ/дек.
Результирующая ЛАЧХ разомкнутой системы
определяется по формуле:
Суммируя ординаты ЛФЧХ элементарных множителей, получаем ЛФЧХ разомкнутой
системы
в виде кривой, асимптотами которой
являются параллельные прямые
и
.
Результирующая
ЛФЧХ разомкнутой системы
определяется, по формуле:
Рис. 5.2. Построение результирующих ЛАЧХ и ЛФЧХ.
5.6 Определим устойчивость системы
Для устойчивости замкнутой системы необходимо и достаточно, чтобы частоте
среза ЛАЧХ
соответствовал отрицательный фазовый угол, по абсолютной
величине
меньший 180о.
В нашем случае, частоте среза ЛАЧХ разомкнутой системы
соответствует фазовый угол
, т.к.
, следовательно замкнутая САР
устойчива.
Запас
устойчивости по фазе:
.
Запас устойчивости по амплитуде:
6. Определение устойчивости САР по
корневому критерию и расчет косвенных показателей качества системы
6.1 Вычислим корни
характеристического уравнения
Характеристическое уравнение является полином
, который равен знаменателю
передаточной функции замкнутой САР
:
Значения корней характеристического уравнения:
Для устойчивости САР необходимо и достаточно, чтобы все вещественные
корни характеристического уравнения были отрицательными, а все комплексные
корни имели отрицательные вещественные части.
Характеристическое уравнение САР имеет четыреотрицательных вещественных
корня
, поэтому система является
устойчивой.
Изобразим корни характеристического уравнения САР в виде точек на
комплексной плоскости. Т.к. все значения корней вещественные, то на комплексной
плоскости будут только вещественные значения
.
Рис.6.1.Корни характеристического уравнения
САР.
Косвенные показатели позволяют определить характер переходного процесса
без построения его графика (корневые - по расположению корней
характеристического уравнения на комплексной плоскости).
К косвенным показателям качества САР относятся степень устойчивости и
степень колебательности.
.2 Степень устойчивости
Степень устойчивости
определяется расстоянием ближайшего к мнимой оси
корня:
6.3 Степень колебательности
Степень колебательности
характеризуется углом
между лучами, проведенными из начала
координат через ближайшие к мнимой оси
комплексные корни.
В силу того, что в нашем случае все корни вещественные и они лежат на
прямой вещественных чисел
, у нас угол
, следовательно
.
7. Определение устойчивости САР по критерию Гурвица
Характеристическое уравнение:
.
Коэффициенты:
.
Вычислим все 4 определителя Гурвица.
Так как
и все четыре определителя Гурвица положительны, САР в
соответствии с критерием Гурвица устойчива.
Также, для уравнения четвертого порядка условия устойчивости имеют вид
(дополнительный метод):
.
Так как условия выполняются, САР устойчива.
8. Определение устойчивости САР по критерию Рауса
Характеристическое уравнение:
.
Коэффициенты:
.
Рассчитаем коэффициенты Рауса
Таблица 8.1.
По критерию Рауса для устойчивости САР необходимо и достаточно, чтобы при
все коэффициенты первого столбца
были положительны, то есть,
,
,
,
,
, ...
Расчет коэффициентов Рауса для САР давления в резервуаре
Таблица 8.2.
Так как
и все коэффициенты первого столбца положительны, САР в
соответствии с критерием Рауса устойчива.
9. Построение
амплитудно-фазовойчастотной характеристики (АФЧХ) разомкнутой САР, определение
устойчивости системы и запасов устойчивости
9.1 Построим АФЧХ разомкнутой САР.
В отличие от алгебраического критерия Гурвица, этот критерий является
частотным. Он основан на построении графика АФЧХ передаточной функции
разомкнутой САР.
Найдем аналитическое выражение АФЧХ.
Аналитическое выражение АФЧХ разомкнутой САР может быть получено из
выражения передаточной функции разомкнутой системы
путем замены оператора
на
.
Выделим вещественную
и мнимую
части аналитического выражения.


Вещественная часть.
Мнимая часть.

Вычислим соответствующие значения вещественной
и мнимой
частей для АФЧХ САР.
Задаваясь различными значениями частоты
, вычислим соответствующие значения
вещественной
и мнимой
частей. Расчет приведем в табл.9.1.
Таблица 9.1. Расчет координат точек графика АФЧХ САР.
|
|
|
|
|
0
|
|
|
|
1
|
-0,0017
|
0,0009
|
|
1,5
|
-0,0010
|
0,0002
|
|
2
|
-0,0006
|
3,013·10-6
|
|
2,5
|
-0,0004
|
-5,786·10-5
|
|
3
|
-0,0002
|
-7,311·10-5
|
|
3,5
|
-0,0002
|
-7,250·10-5
|
|
4
|
-0,0001
|
-6,643·10-5
|
|
4,5
|
-8,261·10-5
|
-5,885·10-5
|
|
5
|
-6,008·10-5
|
-5,132·10-5
|
|
5,5
|
-4,421·10-5
|
-4,443·10-5
|
|
6
|
-3,284·10-5
|
-3,834·10-5
|
|
6,5
|
-2,456·10-5
|
-3,306·10-5
|
|
7
|
-1,847·10-5
|
-2,854·10-5
|
|
7,5
|
-1,393·10-5
|
-2,468·10-5
|
|
8
|
-1,052·10-5
|
-2,138·10-5
|
|
8,5
|
-7,943·10-6
|
-1,858·10-5
|
|
9
|
-5,978·10-6
|
-1,619·10-5
|
|
9,5
|
-4,472·10-6
|
-1,414·10-5
|
|
10
|
-3,313·10-6
|
-1,239·10-5
|
|
10,5
|
-2,417·10-6
|
-1,089·10-5
|
|
11
|
-1,724·10-6
|
-9,592·10-6
|
|
11,5
|
-1,186·10-6
|
-8,474·10-6
|
|
12
|
-7,682·10-7
|
-7,506·10-6
|
График АФЧХ
разомкнутой САР.
По данным таблицы 9.1. на комплексной плоскости построимграфик АФЧХ
разомкнутой САР.
На комплексной плоскости в выбранном масштабе нанесем точки,
соответствующие вычисленным значениям
и
, соединим эти точки и получимграфик АФЧХ.

Рис. 9.1.График АФЧХ разомкнутой САР.
Согласно
условию устойчивости по критерию Найквиста для устойчивости замкнутой системы
необходимо и достаточно, чтобы график АФЧХ разомкнутой системы не охватывала
точку с координатами
.
Для данной системы это условие выполняется, АФЧХ разомкнутой системы не
охватывает точку с координатами
, следовательно, система устойчива.
График АФЧХ данной системы пересекает вещественную ось в точке с
координатами
на частоте
.
9.2 Построим АФЧХ разомкнутой САР по
логарифмическим частотным характеристикам
Логарифмические частотные характеристики разомкнутой САР (ЛАЧХ и ЛФЧХ)
дают возможность наиболее просто построить АФЧХ системы.
Построим годограф АФЧХ пополученным значениям фазового угла
и длины вектора
в полярной системе координат на
комплексной плоскости.
На имеющейся ЛФЧХ зададим ряд значений фазового угла
и по ЛАЧХ определим соответствующие
значения амплитуды
в дБ.
Определив
, найдем
(из равенства
) по формуле:
Все расчеты запишем в табл. 9.2.
Таблица 9.2. Расчет параметров годографа АФХ САР.
|
, град
|
, дБ
|
|
|
-95
|
0
|
1
|
|
-165
|
-79
|
1,122·10-4
|
|
-170
|
-82
|
7,943·10-5
|
|
-175
|
-87
|
4,467·10-5
|
|
-180
|
-89
|
3,548·10-5
|
|
-185
|
-92
|
2,512·10-5
|
|
-190
|
-96
|
1,582·10-5
|
|
-195
|
-99
|
1,122·10-5
|
По данным таблицы 9.2. на комплексной плоскости строится годограф АФЧХ
разомкнутой САР.
Рис.9.2. Годограф АФЧХ разомкнутой САР.
Так как АФЧХ разомкнутой системы не охватывает точку с координатами
, то, на основании
амплитудно-фазового критерия устойчивости (критерия Найквиста), замкнутая САР
является устойчивой.
9.3 Определение запасов устойчивости САР по АФЧХ
Определим запас устойчивости по амплитуде величиной, обратной длине
отрезка отрицательной вещественной полуоси между началом координат и точкой
пересечения ее с АФХ разомкнутой системы (отрезок ОВ), выраженной в децибелах
С помощью угла между отрицательным лучом вещественной оси и лучом,
проведенным из начала координат в точку пересечения единичной окружности с АФЧХ
(радиус
, определим запас устойчивости по
фазе
.
10 Построение кривой Михайлова и определение
устойчивости САР по критерию Михайлова
В характеристическом полиноме САР
заменим оператор
на
и получим выражение функции Михайлова:
Вещественная
и мнимая
части функции Михайлова:
Для устойчивости САР по критерию Михайлова необходимо и достаточно, чтобы
кривая Михайлова при изменении частоты от 0 до
, начинаясь на положительной
вещественной оси, последовательно и монотонно проходила против часовой стрелки
квадрантов комплексной плоскости
(где
- порядок характеристического
полинома), нигде не обращаясь в нуль.
Задаваясь различными значениями частоты
, вычислим соответствующие значения
вещественной
и мнимой
частей и занесем результаты в табл.10.1.
Таблица 10.1. Расчет вещественной и мнимой частей функции Михайлова.
|
Номер квадрантов
|
|
|
|
|
I
|
0
|
+0,0408
|
0
|
|
I
|
0,01
|
+0,0335
|
+0,2599
|
|
II
|
1,31
|
- 30,432
|
+9,8696
|
|
III
|
30
|
- 829,66
|
- 2697,6
|
|
IV
|
54
|
+ 17665
|
- 37831
|
О прохождении кривой Михайлова квадрантов комплексной плоскости при
изменении частоты
от 0 до
можно судить по знакам вещественной
и мнимой
частей функции Михайлова и их
чередованию.Поэтому в таблице расчетов представлено по одному значению
и
из каждого квадранта комплексной
плоскости.
В связи с широким диапазоном изменения координат
и
кривую Михайлова на комплексной
плоскости изобразим в общем виде без соблюдения масштаба по осям координат.
Рис.10.1. Кривая Михайлова.
Кривая последовательно и монотонно проходит против часовой стрелки четыре
квадранта комплексной плоскости, поэтому на основании критерия Михайлова САР устойчива.
11. Построение переходной
характеристики САР.
11.1 Построение переходной
характеристики САР приближенным методом трапецеидальных характеристик (В.В.
Солодовникова)
Передаточная функция замкнутой САР:
Частотная функция замкнутой САР:
Определим вещественную частотную характеристику (ВЧХ)
.


Зададим ряд значений частоты
от 0 до
, вычислим ординаты ВЧХ
и построим ее график.
Ординаты ВЧХ приближенно определяем по логарифмическим частотным
характеристикам (ЛЧХ) замкнутой системы, которые получаем по ЛЧХ разомкнутой
системы при помощи таблицызамыкания (таблицы модулей и аргументов частотной
функции замкнутой системы при единичной обратной связи - приложение Г).
Получим ЛЧХ замкнутой системы
и
снеединичной обратной связью по
известным ЛЧХ системы в разомкнутом состоянии. Для этого необходимо частотную
функцию замкнутой системы
привести к виду, допускающему применение таблицы замыкания,
то есть преобразовать ее так, чтобы она содержала частотную функцию системы с
единичной обратной связью.
В нашем случае структурная схема замкнутой системы имеет вид, аналогичный
эквивалентной структурной схеме САР давления газа в резервуаре по возмущающему
воздействию, поэтому частотная функция замкнутой системы имеет вид:
Так как
, выражение частотной функции замкнутой системы будет иметь
следующий вид:
которой соответствует структурная схема, где обратная связь является
единичной:
Рис.11.1. Структурная схема замкнутой САР с единичной обратной связью.
Последнее
выражение допускает непосредственное использование таблицы замыкания по
отношению к частотной функции
, обратной относительно известной функции
.
Т.о., для
определения логарифмических частотных характеристик замкнутой системы с
неединичной обратной связью, необходимо определяемые по ЛХЧ разомкнутой системы
значения
и
взять с обратным знаком, по этим
данным
найти по таблице замыкания
(приложение Г) значения
и
и сложить с логарифмическими частотными характеристиками
и
сомножителя
Для определения логарифмических частотных характеристик
и
сомножителя с частотной функцией
необходимо их отдельно построить (на
том же бланке и в том же масштабе, что и ЛЧХ разомкнутой системы)
Элементарные множители частотной функции:
- пропорциональное звено;
ЛАЧХ - прямая, параллельная оси абсцисс и отстоящая от нее на
ЛФЧХ - прямая, совпадающая с осью абсцисс
.
- интегрирующее звено;
ЛАЧХ - прямая, пересекающая ось
в точке с абсциссой
и имеющая наклон - 20 дБ/дек
;
ЛФЧХ - прямая, параллельная оси абсцисс, соответствующая постоянному
фазовому углу - 90о
.
Суммируя ординаты ЛАЧХ всех элементарных множителей, получаем
асимптотическую ЛАЧХ
(штрихпунктирная линия).Результирующая ЛАЧХ
определяется по формуле:
Суммируя ординаты ЛФЧХ элементарных множителей, получаем ЛФЧХ
в виде кривой(штрихпунктирная линия).
Результирующая
ЛФЧХ
определяется, по формуле:
Построим результирующие ЛАЧХ и ЛФЧХ
и
(штрихпунктирная линия).
Рис.11.2.Результирующие ЛАЧХ и ЛФЧХ.
Расчет логарифмических частотных характеристик замкнутой системы с
неединичной обратной связью производится в табл.11.1.
Таблица 11.1. Определение ЛЧХ замкнутой САР с неединичной обратной
связью.
|
По ЛЧХ разомкнутой системы
|
По таблице замыкания
|
По ЛЧХ
|
По расчету
|
|
|
|
|
|
|
|
|
|
|
|
|
|
0
|
|
-90
|
|
90
|
|
90
|
9
|
-90
|
|
0
|
|
0,0001
|
30
|
-90
|
-30
|
90
|
-30
|
90
|
30
|
-90
|
0
|
0
|
|
0,0002
|
24
|
-90
|
-24
|
90
|
-24
|
90
|
24
|
-90
|
0
|
0
|
|
0,0004
|
28
|
-90
|
-28
|
90
|
-28
|
90
|
18
|
-90
|
-10
|
0
|
|
0,0006
|
14
|
-90
|
-14
|
90
|
-14,2
|
78,7
|
14
|
-90
|
-0
|
-11
|
|
0,0008
|
12
|
-90
|
-12
|
90
|
-12,3
|
75,9
|
12
|
-91
|
-0
|
-15
|
|
0,001
|
10
|
-90
|
-10
|
90
|
-10,4
|
72,4
|
10
|
-91
|
-0
|
-19
|
|
0,002
|
4
|
-90
|
-4
|
90
|
-5,4
|
57,7
|
4
|
-91
|
-1
|
-33
|
|
0,004
|
-2
|
-90
|
2
|
90
|
-2,1
|
38,5
|
-2
|
-93
|
-4
|
-55
|
|
0,006
|
-6
|
-90
|
6
|
90
|
-1
|
26,6
|
-6
|
-94
|
-7
|
-67
|
|
0,008
|
-8
|
-91
|
8
|
91
|
21,7
|
-8
|
-96
|
-9
|
-74
|
|
0,01
|
-10
|
-91
|
10
|
91
|
-0,4
|
17,5
|
-10
|
-97
|
-10
|
-80
|
|
0,02
|
-16
|
-92
|
16
|
92
|
-0,1
|
9
|
-16
|
-105
|
-16
|
-96
|
|
0,04
|
-22
|
-93
|
22
|
93
|
0,05
|
4,5
|
-22
|
-117
|
-22
|
-113
|
|
0,06
|
-26
|
-95
|
26
|
95
|
0,05
|
2,85
|
-26
|
-128
|
-26
|
-125
|
|
0,08
|
-28
|
-96
|
28
|
96
|
0
|
2,2
|
-28
|
-136
|
-28
|
-134
|
|
0,1
|
-30
|
-98
|
30
|
98
|
0
|
1,7
|
-30
|
-142
|
-30
|
-140
|
|
0,2
|
-36
|
-106
|
36
|
106
|
0
|
360
|
-36
|
-159
|
-36
|
201
|
|
0,4
|
-43
|
-120
|
43
|
120
|
0
|
360
|
-42
|
-169
|
-42
|
191
|
|
0,6
|
-47
|
-133
|
47
|
133
|
0
|
360
|
-46
|
-173
|
-46
|
187
|
|
0,8
|
-51
|
-143
|
51
|
143
|
0
|
360
|
-48
|
-175
|
-48
|
185
|
|
1
|
-54
|
-152
|
54
|
152
|
0
|
360
|
-50
|
-176
|
-50
|
184
|
|
2
|
-65
|
-180
|
65
|
180
|
0
|
360
|
-56
|
-178
|
-56
|
182
|
|
4
|
-78
|
-210
|
78
|
210
|
0
|
360
|
-62
|
-179
|
-62
|
181
|
|
6
|
-86
|
-229
|
86
|
229
|
0
|
360
|
-66
|
-179
|
-66
|
181
|
|
8
|
-92
|
-244
|
92
|
244
|
0
|
360
|
-68
|
-179
|
-68
|
181
|
|
10
|
-98
|
-255
|
98
|
255
|
0
|
360
|
-70
|
-180
|
-70
|
180
|
|
20
|
-116
|
-289
|
116
|
289
|
0
|
360
|
-76
|
-180
|
-76
|
180
|
|
40
|
-137
|
-318
|
137
|
318
|
0
|
360
|
-82
|
-180
|
-82
|
180
|
|
60
|
-151
|
-331
|
151
|
331
|
0
|
360
|
-86
|
-180
|
-86
|
180
|
|
80
|
-160
|
-338
|
160
|
338
|
0
|
360
|
-88
|
-180
|
-88
|
180
|
|
|
|
-360
|
|
360
|
0
|
360
|
|
-180
|
|
180
|
Для ряда значений частоты
определим пары значений
и
, по величинам
определим значения модуля частотной
функции
, а ординаты ВЧХ
вычислим из соотношения:
Дальнейший расчет ВЧХ производится в табл. 11.2.
Таблица 11.2. Определение ординат ВЧХ замкнутой САР.
|
|
|
|
|
|
|
|
0
|
|
0
|
0
|
1
|
0
|
|
0,0001
|
0
|
0
|
1,0000
|
1,00
|
1,0000
|
|
0,0002
|
0
|
0
|
1,0000
|
1,00
|
1,0000
|
|
0,0004
|
-10
|
0
|
0,3162
|
1,00
|
0,3162
|
|
0,0006
|
-0
|
-11
|
0,9772
|
0,30
|
0,2929
|
|
0,0008
|
-0
|
-15
|
0,9661
|
-0,82
|
-0,7929
|
|
0,001
|
-0
|
-19
|
0,9550
|
0,97
|
0,9254
|
|
0,002
|
-1
|
-33
|
0,8511
|
-0,31
|
-0,2623
|
|
0,004
|
-4
|
-55
|
0,6237
|
-0,46
|
-0,2868
|
|
0,006
|
-7
|
-67
|
0,4467
|
-0,14
|
-0,0642
|
|
0,008
|
-9
|
-74
|
0,3715
|
0,46
|
0,1691
|
|
0,01
|
-10
|
-80
|
0,3020
|
-0,57
|
-0,1732
|
|
0,02
|
-16
|
-96
|
0,1567
|
-0,18
|
-0,0283
|
|
0,04
|
-22
|
-113
|
0,0799
|
0,83
|
0,0661
|
|
0,06
|
-26
|
-125
|
0,0504
|
0,87
|
0,0439
|
|
0,08
|
-28
|
-134
|
0,0398
|
-0,28
|
-0,0111
|
|
0,1
|
-30
|
-140
|
0,0316
|
-0,48
|
-0,0151
|
|
0,2
|
-36
|
0,0158
|
1,00
|
0,0158
|
|
0,4
|
-42
|
191
|
0,0079
|
-0,80
|
-0,0064
|
|
0,6
|
-46
|
187
|
0,0050
|
0,08
|
3,767·10-4
|
|
0,8
|
-48
|
185
|
0,0040
|
-0,94
|
-3,734·10-3
|
|
1
|
-50
|
184
|
0,0032
|
-0,22
|
-6,803·10-4
|
|
2
|
-56
|
182
|
0,0016
|
0,98
|
1,549·10-3
|
|
4
|
-62
|
181
|
7,943·10-4
|
0,35
|
2,786·10-4
|
|
6
|
-66
|
181
|
5,012·10-4
|
0,35
|
1,758·10-4
|
|
8
|
-68
|
181
|
3,981·10-4
|
0,35
|
1,397·10-4
|
|
10
|
-70
|
180
|
3,162·10-4
|
-0,60
|
-1,892·10-4
|
|
20
|
-76
|
180
|
1,585·10-4
|
-0,60
|
-9,485·10-5
|
|
40
|
-82
|
180
|
7,943·10-5
|
-0,60
|
-4,754·10-5
|
|
60
|
-86
|
180
|
5,012·10-5
|
-0,60
|
-2,999·10-5
|
|
80
|
-88
|
180
|
3,981·10-5
|
-0,60
|
-2,383·10-5
|
|
|
|
180
|
0
|
-1
|
0
|
По данным таблицы 11.2. строится ВЧХ замкнутой системы
.
Представим площади, охватываемой ВЧХ в виде суммы площадей прямоугольных
трапеций, заменив ВЧХ
близкой к ней ломаной линией, состоящей из горизонтальных и
наклонных участков.
Приближенная вещественная частотная характеристика (ломаная) состоит из
прямоугольных трапеций. Для этого через точки излома ломаной линии проведем
параллельные оси абсцисс прямые. Эти прямые в сочетании с наклонными участками
ломаной и осью ординат образуют прямоугольные трапеции ABCD, ADEF, AGEF,AIHG,AIHK,AKLM,MLNP,ARNP, ATSR, ATSU, AUXY, AZXY.Основания трапеций параллельны или
совпадают с осью абсцисс, наклонные боковые стороны образуются наклонными
участками ломаной, а перпендикулярные основаниям боковые стороны, определяющие
высоты трапеций, лежат на оси ординат.
Высотам
трапеций приписываются такие знаки, чтобы алгебраическая сумма высот трапеций
была бы равна начальной ординате
вещественной частотной характеристики.
Выделенные таким образом трапеции построим в той же системе координат,
совмещая их большие основания с осью абсцисс, а перпендикулярные основаниям
боковые стороны - с осью ординат, с учетом знаков высот. Т.о. получим
трапеции:A1B1C1D1,
F2A2D2E2, A3G3E3F3,
I4H4G4A4, A5I5H5K5,
M6A6K6L6, P7M7L7N7,
A8R8N8P8, T9S9R9A9,
A10T10S10U10, Y11A11U11X11,
A12Z12X12Y12.
Для каждой из построенных трапеций определим параметры:
- высота прямоугольной трапеции;
- интервал равномерного пропускания частот (длина меньшего
основания трапеции);
- интервал пропускания частот (длина большего основания
трапеции);
Параметры трапецеидальных характеристик:
Теперь, для каждой из трапеций, имеющих вычисленные параметры, определим
переходный процесс. По вычисленным значениям параметров æ
каждой трапеции входим в
таблицу h-функций (приложение Д) и определяем
переходные характеристики (h-функции)
единичных трапеций, которые соответствуют данным (неединичным) трапециям по
параметру
.
Затем производим пересчет реального времени и фактической ординаты переходных
характеристик для каждой из неединичных трапеций по формулам:
где
- ордината переходной характеристики неединичной трапеции;
- высота данной неединичной трапеции;
- ордината h-функции;
- реальное время переходной характеристики для неединичной
трапеции;
- безразмерное время h-функции;
- длина большего основания данной неединичной трапеции.
Расчет переходных характеристик трапеций производим в табл. 11.3.
Таблица 11.3. Расчет переходных характеристик трапеций.
|
ТрапецияA1B1C1D1(+)
|
ТрапецияF2A2D2E2(+)
|
ТрапецияA3G3E3F3 (-)
|
|
|
|
|
|
|
0,79
|
|
|
|
|
|
|
|
|
|
|
|
|
|
|
|
|
|
0
|
0,000
|
0
|
0
|
0
|
0,000
|
0
|
0
|
0
|
0,000
|
0
|
0
|
|
0,5
|
0,207
|
833,3
|
0,207
|
0,5
|
0,275
|
625
|
0,217
|
0,5
|
0,297
|
555,6
|
0,235
|
|
1,0
|
0,401
|
1667
|
0,401
|
1,0
|
0,534
|
1250
|
0,422
|
1,0
|
0,575
|
1111
|
0,454
|
|
1,5
|
0,594
|
2500
|
0,594
|
1,5
|
0,758
|
1875
|
0,599
|
1,5
|
0,813
|
1667
|
0,642
|
|
2,0
|
0,681
|
3333
|
0,681
|
2,0
|
0,938
|
2500
|
0,741
|
2,0
|
0,986
|
2222
|
0,779
|
|
3,0
|
0,958
|
5000
|
0,958
|
3,0
|
1,142
|
3750
|
0,902
|
3,0
|
1,172
|
3333
|
0,926
|
|
4,0
|
1,060
|
6667
|
1,06
|
4,0
|
1,161
|
5000
|
0,917
|
4,0
|
1,141
|
4444
|
0,901
|
|
5,0
|
1,087
|
8333
|
1,087
|
5,0
|
1,069
|
6250
|
0,845
|
5,0
|
1,019
|
5556
|
0,805
|
|
6,0
|
1,065
|
10000
|
1,065
|
6,0
|
0,956
|
7500
|
0,755
|
6,0
|
0,922
|
6667
|
0,728
|
|
7,0
|
1,037
|
11667
|
1,037
|
7,0
|
0,917
|
8750
|
0,724
|
7,0
|
0,909
|
7778
|
0,718
|
|
8,0
|
1,021
|
13333
|
1,021
|
8,0
|
0,936
|
10000
|
0,739
|
8,0
|
0,970
|
8889
|
0,766
|
|
9,0
|
1,018
|
15000
|
1,018
|
9,0
|
0,990
|
11250
|
0,782
|
9,0
|
1,039
|
10000
|
0,821
|
|
10
|
10,19
|
16667
|
1,019
|
10
|
1,036
|
12500
|
0,818
|
10
|
1,063
|
11111
|
0,84
|
|
11
|
1,014
|
18333
|
1,014
|
11
|
1,047
|
13750
|
0,827
|
11
|
1,034
|
12222
|
0,817
|
|
12
|
1,004
|
20000
|
1,004
|
12
|
1,025
|
15000
|
0,81
|
12
|
0,984
|
13333
|
0,777
|
|
13
|
0,994
|
21667
|
0,994
|
13
|
0,993
|
16250
|
0,784
|
13
|
0,955
|
14444
|
0,754
|
|
14
|
0,988
|
23333
|
0,988
|
14
|
0,974
|
17500
|
0,769
|
14
|
0,965
|
15556
|
0,762
|
|
15
|
0,988
|
25000
|
0,988
|
15
|
0,976
|
18750
|
0,771
|
15
|
16667
|
0,791
|
|
16
|
0,991
|
26667
|
0,991
|
16
|
0,993
|
20000
|
0,784
|
16
|
1,031
|
17778
|
0,814
|
|
17
|
0,994
|
28333
|
0,994
|
17
|
1,008
|
21250
|
0,796
|
17
|
1,032
|
18889
|
0,815
|
|
18
|
0,995
|
30000
|
0,995
|
18
|
1,014
|
22500
|
0,801
|
18
|
1,038
|
20000
|
0,82
|
|
19
|
0,995
|
31667
|
0,995
|
19
|
1,009
|
23750
|
0,797
|
19
|
0,981
|
21111
|
0,775
|
|
20
|
0,995
|
33333
|
0,995
|
20
|
1,001
|
25000
|
0,791
|
20
|
0,972
|
22222
|
0,768
|
|
21
|
0,997
|
35000
|
0,997
|
21
|
0,993
|
26250
|
0,784
|
21
|
0,981
|
23333
|
0,775
|
|
22
|
1,000
|
36667
|
1
|
22
|
0,991
|
27500
|
0,783
|
22
|
1,012
|
24444
|
0,799
|
|
23
|
1,004
|
38333
|
1,004
|
23
|
0,994
|
28750
|
0,785
|
23
|
1,025
|
25556
|
0,81
|
|
24
|
1,005
|
40000
|
1,005
|
24
|
1,000
|
30000
|
0,79
|
24
|
1,015
|
26667
|
0,802
|
|
25
|
1,005
|
41667
|
1,005
|
25
|
1,003
|
31250
|
0,792
|
25
|
0,991
|
27778
|
0,783
|
|
26
|
1,004
|
43333
|
1,004
|
26
|
1,004
|
32500
|
0,793
|
26
|
0,984
|
28889
|
0,777
|
|
ТрапецияI4H4G4A4 (-)
|
ТрапецияA5I5H5K5 (+)
|
ТрапецияM6A6K6L6 (+)
|
|
|
|
|
|
|
|
|
|
|
|
|
|
|
|
|
|
|
|
|
|
|
|
|
0
|
0,000
|
0
|
0
|
0
|
0,000
|
0
|
0
|
0
|
0,000
|
0
|
0
|
|
0,5
|
0,297
|
500
|
0,276
|
0,5
|
0,248
|
277,8
|
0,231
|
0,5
|
0,297
|
250
|
0,08
|
|
1,0
|
0,575
|
1000
|
0,535
|
1,0
|
0,476
|
555,6
|
0,443
|
1,0
|
0,575
|
500
|
0,155
|
|
1,5
|
0,813
|
1500
|
0,756
|
1,5
|
0,685
|
833,3
|
0,637
|
1,5
|
0,813
|
750
|
0,22
|
|
2,0
|
0,986
|
2000
|
0,917
|
2,0
|
0,856
|
1111
|
0,796
|
2,0
|
0,986
|
1000
|
0,266
|
|
3,0
|
1,172
|
3000
|
1,09
|
3,0
|
1,082
|
1667
|
1,006
|
3,0
|
1,172
|
1500
|
0,316
|
|
4,0
|
1,141
|
4000
|
1,061
|
4,0
|
1,152
|
2222
|
1,071
|
4,0
|
1,141
|
2000
|
0,308
|
|
5,0
|
1,019
|
5000
|
0,948
|
5,0
|
1,115
|
2778
|
1,037
|
5,0
|
1,019
|
2500
|
0,275
|
|
6,0
|
0,922
|
6000
|
0,857
|
6,0
|
1,037
|
3333
|
0,964
|
6,0
|
0,922
|
3000
|
0,249
|
|
7,0
|
0,909
|
7000
|
0,845
|
7,0
|
0,975
|
3889
|
0,907
|
7,0
|
0,909
|
3500
|
0,245
|
|
8,0
|
0,970
|
8000
|
0,902
|
8,0
|
0,951
|
4444
|
0,884
|
8,0
|
0,970
|
4000
|
0,262
|
|
9,0
|
1,039
|
9000
|
0,966
|
9,0
|
0,960
|
5000
|
0,893
|
9,0
|
1,039
|
4500
|
0,281
|
|
10
|
1,063
|
10000
|
0,989
|
10
|
0,985
|
5556
|
0,916
|
10
|
1,063
|
5000
|
0,287
|
|
11
|
1,034
|
11000
|
0,962
|
11
|
1,002
|
6111
|
0,932
|
11
|
1,034
|
5500
|
0,279
|
|
12
|
0,984
|
12000
|
0,915
|
12
|
1,006
|
6667
|
0,936
|
12
|
0,984
|
6000
|
0,266
|
|
13
|
0,955
|
13000
|
0,888
|
13
|
1,006
|
7222
|
0,936
|
13
|
0,955
|
6500
|
0,258
|
0,965
|
14000
|
0,897
|
14
|
1,006
|
7778
|
0,936
|
14
|
0,965
|
7000
|
0,261
|
|
15
|
1,001
|
15000
|
0,931
|
15
|
1,007
|
8333
|
0,937
|
15
|
1,001
|
7500
|
0,27
|
|
16
|
1,031
|
16000
|
0,959
|
16
|
1,008
|
8889
|
0,937
|
16
|
1,031
|
8000
|
0,278
|
|
17
|
1,032
|
17000
|
0,96
|
17
|
1,007
|
9444
|
0,937
|
17
|
1,032
|
8500
|
0,279
|
|
18
|
1,038
|
18000
|
0,965
|
18
|
1,002
|
10000
|
0,932
|
18
|
1,038
|
9000
|
0,28
|
|
19
|
0,981
|
19000
|
0,912
|
19
|
0,995
|
10556
|
0,925
|
19
|
0,981
|
9500
|
0,265
|
|
20
|
0,972
|
20000
|
0,904
|
20
|
0,991
|
11111
|
0,922
|
20
|
0,972
|
10000
|
0,262
|
|
21
|
0,981
|
21000
|
0,912
|
21
|
0,993
|
11667
|
0,923
|
21
|
0,981
|
10500
|
0,265
|
|
22
|
1,012
|
22000
|
0,941
|
22
|
0,996
|
12222
|
0,926
|
22
|
1,012
|
11000
|
0,273
|
|
23
|
1,025
|
23000
|
0,953
|
23
|
1,001
|
12778
|
0,931
|
23
|
1,025
|
11500
|
0,277
|
|
24
|
1,015
|
24000
|
0,944
|
24
|
1,002
|
13333
|
0,932
|
24
|
1,015
|
12000
|
0,274
|
|
25
|
0,991
|
25000
|
0,922
|
25
|
1,002
|
13889
|
0,932
|
25
|
0,991
|
12500
|
0,268
|
|
26
|
0,984
|
26000
|
0,915
|
26
|
1,002
|
14444
|
0,932
|
26
|
0,984
|
13000
|
0,266
|
|
ТрапецияP7M7L7N7 (+)
|
ТрапецияA8R8N8P8 (-)
|
ТрапецияT9S9R9A9 (-)
|
|
|
|
|
|
|
|
|
|
|
|
|
|
|
|
|
|
|
|
|
|
|
|
|
0
|
0,000
|
0
|
0
|
0
|
0,000
|
0
|
0
|
0
|
0,000
|
0
|
0
|
|
0,5
|
0,240
|
125
|
0,0048
|
0,5
|
0,255
|
76,9
|
0,074
|
0,5
|
0,282
|
62,5
|
0,051
|
|
1,0
|
0,461
|
250
|
0,00922
|
1,0
|
0,490
|
154
|
0,142
|
1,0
|
0,547
|
125
|
0,098
|
|
1,5
|
0,665
|
375
|
0,0133
|
1,5
|
0,706
|
231
|
0,205
|
1,5
|
0,776
|
187,5
|
0,14
|
|
2,0
|
0,833
|
500
|
0,01666
|
2,0
|
0,878
|
308
|
0,255
|
2,0
|
0,956
|
250
|
0,172
|
|
3,0
|
1,061
|
750
|
0,02122
|
3,0
|
1,100
|
462
|
0,319
|
3,0
|
1,154
|
375
|
0,208
|
|
4,0
|
1,142
|
1000
|
0,02284
|
4,0
|
1,158
|
615
|
0,336
|
4,0
|
1,156
|
500
|
0,208
|
|
5,0
|
1,118
|
1250
|
0,02236
|
5,0
|
1,107
|
769
|
0,321
|
5,0
|
1,053
|
625
|
0,19
|
|
6,0
|
1,051
|
1500
|
0,02102
|
6,0
|
1,021
|
923
|
0,296
|
6,0
|
0,949
|
750
|
0,171
|
|
7,0
|
0,993
|
1750
|
0,01986
|
7,0
|
0,957
|
1077
|
0,278
|
7,0
|
0,911
|
875
|
0,164
|
|
8,0
|
0,966
|
2000
|
0,01932
|
8,0
|
0,941
|
1231
|
0,273
|
8,0
|
0,944
|
1000
|
0,17
|
|
9,0
|
0,970
|
2250
|
0,0194
|
9,0
|
0,961
|
1385
|
0,279
|
9,0
|
1,006
|
1125
|
0,181
|
|
10
|
0,982
|
2500
|
0,01964
|
10
|
0,993
|
1538
|
0,288
|
10
|
1,049
|
1250
|
0,189
|
|
11
|
0,993
|
2750
|
0,01986
|
11
|
1,014
|
1692
|
0,294
|
11
|
1,048
|
1375
|
0,189
|
|
12
|
0,997
|
3000
|
12
|
1,019
|
1846
|
0,296
|
12
|
1,015
|
1500
|
0,183
|
|
13
|
0,997
|
3250
|
0,01994
|
13
|
1,014
|
2000
|
0,294
|
13
|
0,980
|
1625
|
0,176
|
|
14
|
1,000
|
3500
|
0,02
|
14
|
1,008
|
2154
|
0,292
|
14
|
0,965
|
1750
|
0,174
|
|
15
|
1,005
|
3750
|
0,0201
|
15
|
1,002
|
2308
|
0,291
|
15
|
0,978
|
1875
|
0,176
|
|
16
|
1,011
|
4000
|
0,02022
|
16
|
1,000
|
2462
|
0,29
|
16
|
1,003
|
2000
|
0,181
|
|
17
|
1,012
|
4250
|
0,02024
|
17
|
0,999
|
2615
|
0,29
|
17
|
1,020
|
2125
|
0,184
|
|
18
|
1,008
|
4500
|
0,02016
|
18
|
0,997
|
2769
|
0,289
|
18
|
1,020
|
2250
|
0,184
|
|
19
|
1,001
|
4750
|
0,02002
|
19
|
0,993
|
2923
|
0,288
|
19
|
1,006
|
2375
|
0,181
|
|
20
|
0,996
|
5000
|
0,01992
|
20
|
0,992
|
3077
|
0,288
|
20
|
0,991
|
2500
|
0,178
|
|
21
|
0,995
|
5250
|
0,0199
|
21
|
0,997
|
3231
|
0,289
|
21
|
0,983
|
2625
|
0,177
|
|
22
|
0,996
|
5500
|
0,01992
|
22
|
1,000
|
3385
|
0,29
|
22
|
0,991
|
2750
|
0,178
|
|
23
|
0,998
|
5750
|
0,01996
|
23
|
1,006
|
3538
|
0,292
|
23
|
1,002
|
2875
|
0,18
|
|
24
|
1,000
|
6000
|
0,02
|
24
|
1,008
|
3692
|
0,292
|
24
|
1,008
|
3000
|
0,181
|
|
25
|
1,000
|
6250
|
0,02
|
25
|
1,004
|
3846
|
0,291
|
25
|
1,005
|
3125
|
0,181
|
|
26
|
1,000
|
6500
|
0,02
|
26
|
1,000
|
4000
|
0,29
|
26
|
1,002
|
3250
|
0,18
|
|
ТрапецияA10T10S10U10 (+)
|
ТрапецияY11A11U11X11 (+)
|
ТрапецияA12Z12X12Y12 (-)
|
|
|
|
|
|
|
|
|
|
|
|
|
|
|
|
|
|
|
|
|
|
|
|
|
0
|
0,000
|
0
|
0
|
0
|
0,000
|
0
|
0
|
0
|
0,000
|
0
|
0
|
|
0,5
|
0,297
|
55,56
|
0,053
|
0,5
|
0,297
|
50
|
0,053
|
0,5
|
0,223
|
18,3
|
0,0401
|
|
1,0
|
0,575
|
111,1
|
0,104
|
1,0
|
0,575
|
100
|
0,104
|
1,0
|
0,432
|
36,6
|
0,0778
|
|
1,5
|
0,813
|
166,7
|
0,146
|
1,5
|
0,813
|
150
|
0,146
|
1,5
|
0,617
|
54,9
|
0,1111
|
|
2,0
|
0,986
|
222,2
|
0,177
|
2,0
|
0,986
|
200
|
0,177
|
2,0
|
0,786
|
73,3
|
0,1415
|
|
3,0
|
1,172
|
333,3
|
0,211
|
3,0
|
1,172
|
300
|
0,211
|
3,0
|
1,013
|
110
|
0,1823
|
|
4,0
|
1,141
|
444,4
|
0,205
|
4,0
|
1,141
|
400
|
0,205
|
4,0
|
1,107
|
147
|
0,1993
|
|
5,0
|
1,019
|
555,6
|
0,183
|
5,0
|
1,019
|
500
|
0,183
|
5,0
|
1,112
|
183
|
0,2002
|
|
6,0
|
0,922
|
666,7
|
0,166
|
6,0
|
0,922
|
600
|
0,166
|
6,0
|
1,068
|
220
|
0,1922
|
|
7,0
|
0,909
|
777,8
|
0,164
|
7,0
|
0,909
|
700
|
0,164
|
7,0
|
1,023
|
256
|
0,1841
|
|
8,0
|
0,970
|
888,9
|
0,175
|
8,0
|
0,970
|
800
|
0,175
|
8,0
|
0,995
|
293
|
0,1791
|
|
9,0
|
1,039
|
1000
|
0,187
|
9,0
|
1,039
|
900
|
0,187
|
9,0
|
0,992
|
330
|
0,1786
|
|
10
|
1,063
|
1111
|
0,191
|
10
|
1,063
|
0,191
|
10
|
0,993
|
366
|
0,1787
|
|
11
|
1,034
|
1222
|
0,186
|
11
|
1,034
|
1100
|
0,186
|
11
|
0,993
|
403
|
0,1787
|
|
12
|
0,984
|
1333
|
0,177
|
12
|
0,984
|
1200
|
0,177
|
12
|
0,988
|
440
|
0,1778
|
|
13
|
0,955
|
1444
|
0,172
|
13
|
0,955
|
1300
|
0,172
|
13
|
0,985
|
476
|
0,1773
|
|
14
|
0,965
|
1556
|
0,174
|
14
|
0,965
|
1400
|
0,174
|
14
|
0,985
|
513
|
0,1773
|
|
15
|
1,001
|
1667
|
0,18
|
15
|
1,001
|
1500
|
0,18
|
15
|
0,991
|
549
|
0,1784
|
|
16
|
1,031
|
1778
|
0,186
|
16
|
1,031
|
1600
|
0,186
|
16
|
0,998
|
586
|
0,1796
|
|
17
|
1,032
|
1889
|
0,186
|
17
|
1,032
|
1700
|
0,186
|
17
|
1,005
|
623
|
0,1809
|
|
18
|
1,038
|
2000
|
0,187
|
18
|
1,038
|
1800
|
0,187
|
18
|
1,008
|
659
|
0,1814
|
|
19
|
0,981
|
2111
|
0,177
|
19
|
0,981
|
1900
|
0,177
|
19
|
1,006
|
696
|
0,1811
|
|
20
|
0,972
|
2222
|
0,175
|
20
|
0,972
|
2000
|
0,175
|
20
|
1,005
|
733
|
0,1809
|
|
21
|
0,981
|
2333
|
0,177
|
21
|
0,981
|
2100
|
0,177
|
21
|
1,004
|
769
|
0,1807
|
|
22
|
1,012
|
2444
|
0,182
|
22
|
1,012
|
2200
|
0,182
|
22
|
1,004
|
806
|
0,1807
|
|
23
|
1,025
|
2556
|
0,185
|
23
|
1,025
|
2300
|
0,185
|
23
|
1,003
|
842
|
0,1805
|
|
24
|
1,015
|
2667
|
0,183
|
24
|
1,015
|
2400
|
0,183
|
24
|
1,002
|
879
|
0,1804
|
|
25
|
0,991
|
2778
|
0,178
|
25
|
0,991
|
2500
|
0,178
|
25
|
1,000
|
916
|
0,18
|
|
26
|
0,984
|
2889
|
0,177
|
26
|
0,984
|
2600
|
0,177
|
26
|
0,997
|
952
|
0,1795
|
|
|
|
|
|
|
|
|
|
|
|
|
|
|
|
|
|
|
|
|
|
|
|
|
|
|
|
|
|
|
|
|
|
|
|
По данным таблицы 11.3.построим графики переходных характеристик
для каждой из трапеций (с учетом
знака трапеции) и произведем их графическое суммирование. Графическое суммирование произведем путем
суммирования ординат
переходных характеристик, соответствующих одним и тем же
значениям времени
.
В результате суммирования получаем приближенный график переходного
процесса всей замкнутой САР:
11.2 Построение переходной
характеристики САР решением системы дифференциальных уравнений движения
элементов
Построим точную переходную характеристику системы, решая систему
дифференциальных уравнений движения элементов САР регулирования давления газа в
резервуаре (по возмущающему воздействию
).
Так как переходная характеристика САР строится относительно возмущающего
воздействия
, примем
(без учета знака)
Сократим число переменных состояния, исключив уравнения (2) И (3), (без
производных), подставив уравнение (3) в (2), а уравнение (2) - в (1). А также
исключим уравнения (6), (7) и (8), подставив (8) в (7), (7) в (6), а (6) в (5).
Система уравнений преобразуется к виду:
Приведем уравнения системы к канонической форме (форме Коши), разрешив их
относительно производных первого порядка.
Так как параметр
имеет производную второго порядка, введем новую переменную
Окончательно система уравнений приобретет канонический вид
Обозначим
переменные состояния
Т.о., представим исходную систему уравнений в виде вектора состояния,
содержащего первые производные переменных состояния.
Решим систему дифференциальных уравнений в графической форме (получим
график переходной характеристики САР) в системе MathCAD.
11.3 Построение переходной
характеристики САР непосредственным интегрированием вещественной частотной
характеристики замкнутой системы
Расчет переходной характеристики произведем по формуле:
Построим переходную характеристику
замкнутой САР давления газа в
резервуаре в системе MathCAD.
Рис.График точной переходной характеристики САР, построенный методом
непосредственного интегрирования ВЧХ.
11.4 Определение прямых показателей
качества переходного процесса САР
Оценки качества, получаемые непосредственно из анализа кривой переходного
процесса называются прямыми показателями качества.
В нашей САР,
переходной процесс является апериодическим статическим, поэтому данному переходному процессу соответствуют
следующие прямые показатели качества: время регулирования и установившаяся
(статическая) ошибка системы.
11.4.1 Время регулирования
Время регулирования
определяем промежутком времени от начала переходного процесса
до того момента, когда регулируемая величина
будет отличаться от своего
установившегося значения
меньше, чем на некоторую заданную величину
. Величину
принимаем равной
.
11.4.2 Перерегулирование
Перерегулирование
показывает, как наша система отклоняется от установившегося
значения переходной характеристики. Она показывает работоспособность нашей
системы.Для большинства систем нормой перерегулирования считается значение в
пределах 10%.
11.4.3 Установившаяся (статическая) ошибка системы
Установившаяся (статическая) ошибка системы
- это отклонение фактического
установившегося значения регулируемой величины
от заданного значения.
При наличии установившейся ошибки САР и регулятор называют статическими,
при ее отсутствии - астатическими.
Рис.График переходного апериодического статического процесса и прямые
показатели качества.
Выводы
При исследовании системы автоматического регулирования были выполнены
следующие задачи:
1. По заданной функциональной схеме:
- был описан принцип действия САР;
- составлена структурная схема САР;
- построены математические модели каждого элемента;
- получены передаточные функции каждого звена;
- составлена структурная схема с передаточными функциями замкнутой и
разомкнутой САР;
- определена передаточная функция замкнутой и разомкнутой САР
по возмущающему воздействию;
2. Определена устойчивость исходной разомкнутой САР по построенным
логарифмическим частотным (логарифмический критерий) и амплитудно-фазовой
характеристике (критерий Найквиста), а также поамплитудно-фазовой
характеристикепостроенной по логарифмическим частотным характеристикам.
По логарифмическому критерию частоте среза ЛАЧХ
соответствует отрицательный фазовый
угол, по абсолютной величине
меньший 180о.
По критерию Найквиста АФЧХ разомкнутой системы не охватывает точку с
координатами
.
В результате
расчетов:
- запас
устойчивости по фазе:
.
- запас устойчивости по амплитуде:
Таким образом, разомкнутая САР устойчива.
3. Определена устойчивость исходной замкнутой САР по критериям:
Гурвица, Рауса, Михайлова, по корневому критерию.
По критерию Гурвица: все 4 определителя больше нуля.
По критерию Рауса: все коэффициенты первого столбца больше нуля.
По корневому критерию: все вещественные корни характеристического
уравнения отрицательные.
По критерию Михайлова: кривая при изменении частоты от 0 до
, начинаясь на положительной
вещественной оси, последовательно и монотонно проходит против часовой стрелки 4
квадранта комплексной плоскости.
Таким образом, замкнутая САР устойчива.
Исходя из вышесказанного, коррекцию данной системы проводить
не следует, так как наша система устойчива, и имеет достаточные запасы
устойчивости по амплитуде и фазе.
4. Построена вещественная частотная характеристика замкнутой системы.
По вещественной частотной характеристикепостроена переходная характеристика
замкнутой системы методом трапеций. Также получены точные переходные
характеристики с помощью решения системы дифференциальных уравнений движения
элементов и непосредственного интегрирования вещественной частотной характеристики.
Из переходной
характеристики определили, что переходной процесс является апериодическим
статическим.
5. По переходной характеристике определили прямые показатели качества
системы.
Так как
переходной процесс апериодический статический, то данному переходному процессу
соответствуют следующие прямые показатели качества: время регулирования,
перерегулирование и установившаяся (статическая) ошибка системы.
Время регулирования показывает быстродействие нашей системы. В то же
время система не должна быть слишком «быстрой», так как это приведет к
ухудшению управляемости, но в то же время она не должна быть и «медленной», так
как это ведет к большой вялости.
6. Изобразив
накомплексной плоскости корни характеристического уравнения, определили
косвенные показатели качества системы: степень устойчивости и степень
колебательности.
Список используемой литературы
1. Савин М.М., Елсуков В.С., Пятина О.Н. Теория
автоматического управления. Учебное пособие. Р-Д.: Феникс, 2007. -460с.
2. Бесекерский В.А., Попов Е.П. Теория систем
автоматического управления. 3-е издание. С-П.: Профессия, 2003. -743с.
. Ротач В.Я. Теория автоматического управления.
Учебник для вузов.М.: Издательский дом МЭИ, 2008. -390с.
. Дикусар Ю.Г.Теория автоматического управления:
расчетно-графические работы и курсовой проект / Ю.Г. Дикусар, К.П. Аникевич. -
Севастополь: СНУЯЭиП, 2009. - 196 с.
Контрольные вопросы
1. Что такое
дифференциальное уравнение движения элемента САР и какие величины оно
связывает?
. Что такое
функциональная и структурная схемы САР?
. Опишите
принцип действия заданной САР.
. Что такое
передаточная функция?
. Назовите
порядок составления замкнутой и разомкнутой структурных схем САР с
передаточными функциями и их назначение.
. Назовите
порядок определения передаточной функции САР по структурной схеме.
. Что такое
устойчивость САР и для чего она определяется?
.
Сформулируйте алгебраические и частотные критерии устойчивости (корневой,
Гурвица, Рауса, логарифмический, Найквиста, Михайлова).
. Что такое
частотные характеристики?
. Что такое
логарифмические частотные характеристики?
. Что такое
переходная характеристика?
. Назовите
методы и порядок построения частотных (АФХ, ЛЧХ) характеристик.
. Назовите
методы и порядок построения переходной характеристики.
. Что такое
запасы устойчивости САР?
. Назовите
порядок определения запасов устойчивости.
. Что такое
качество САР?
. Назовите
косвенные показатели качества и порядок их определения.
. Назовите
прямые показатели качества и порядок их определения.
. Что такое
коррекция САР?
. Назовите
методы коррекции.