Линейные и цифровые системы управления
КУРСОВАЯ
РАБОТА
По
дисциплине: Теория автоматического управления
на тему: «Линейные
и цифровые системы управления»
Выполнил:
Волкова К.Я
Проверил:
Малай Г.П
Хабаровск
2014
Введение
Современная теория автоматического регулирования
является основной частью теории управления. Система автоматического
регулирования состоит из регулируемого объекта и элементов управления, которые
воздействуют на объект при изменении одной или нескольких регулируемых
переменных. Под влиянием входных сигналов (управления или возмущения),
изменяются регулируемые переменные. Цель же регулирования заключается в
формировании таких законов, при которых выходные регулируемые переменные мало
отличались бы от требуемых значений. Решение данной задачи во многих случаях
осложняется наличием случайных возмущений (помех). При этом необходимо выбирать
такой закон регулирования, при котором сигналы управления проходили бы через
систему с малыми искажениями, а сигналы шума практически не пропускались.
Теория автоматического регулирования прошла
значительный путь своего развития. На начальном этапе были созданы методы
анализа устойчивости, качества и точности регулирования непрерывных линейных
систем. Затем получили развитие методы анализа дискретных и
дискретно-непрерывных систем. В настоящее время развиваются методы анализа
нелинейных систем автоматического регулирования.
Целью данной курсовой работы является разработка
цифровой системы автоматического управления и регулирования, построенной по
замкнутому принципу для заданного объекта управления.
1. Задание на курсовую работу
Определить и построить временные характеристики
(импульсную и переходную) заданного объекта управления, частотные
характеристики, представить соответствующие аналитические выражения, определить
и обозначить на комплексной плоскости особые точки передаточной функции,
сформулировать и записать выводы;
произвести выбор оптимальных параметров
регулятора, определить и построить переходные характеристики и кривые ошибок
для каждого значения выбираемого параметра регулятора (при этом переходная
характеристика должна иметь вид затухающего процесса 2 - 3 колебания, время
переходного процесса 10 - 12 сек, установившаяся ошибка стремится к нулю или
равна нулю);
определить и построить временные и частотные
характеристики системы с выбранным законом регулирования по каналу управления,
кривую ошибки, (для цифровых систем дополнительно представить сигнал с выхода
регулятора), сформулировать и зафиксировать выводы;
оценить устойчивость системы по одному из
критериев, определить запас устойчивости по амплитуде и фазе;
найти прямые и косвенные оценки качества;
сформулировать и записать окончательные выводы
по разработанной системе автоматического управления и регулирования;
Объект управления имеет следующую передаточную функцию:
,
Параметры объекта управления:=9.5,
T1=1.2, T2=1.5,
Модель разрабатываемой системы
представлена на рисунке 1.1
Рисунок 1.1 - Модель системы
автоматического регулирования
Рисунок 1.2 - Структурная модель для
определения характеристик ОУ
. Определение характеристик объекта
управления
Объект управления имеет схему,
представленную на рисунке 2:
Рисунок 2 - Схема объекта управления
Передаточная функция имеет вид:
Временные характеристики оценивают
динамические и статические свойства систем автоматического управления.
Существуют две разновидности временных характеристик: переходная и импульсная
(весовая). Переходная характеристика h(t) оценивает реакцию системы или
составного элемента на единичное ступенчатое воздействие 1(t). Импульсная
характеристика w(t) оценивает реакцию системы на единичный импульс.
Так как изображение единичного
ступенчатого воздействия равно
, то изображение переходной функции
определяется соотношением:
Следовательно, для нахождения
переходной функции необходимо передаточную функцию разделить на S и выполнять
переход от изображения к оригиналу.
Тогда, аналитическое выражение
переходной функции:
Изображение единичного импульса
равно 1. Тогда изображение импульсной функции определяется выражением:
Таким образом, передаточная функция
является изображением импульсной функции.
Для заданного объекта управления
переходная и импульсная характеристики представлены на рис. 3:
Рис. 3 Переходная и импульсная
характеристики объекта управления
Частотные характеристики - это
наиболее распространенное средство описания динамических свойств систем
автоматического регулирования.
Построим для объекта управления
частотные характеристики, такие как фазовая частотная характеристика (ФЧХ) и
амплитудная частотная характеристика (АЧХ). При построении АЧХ на оси ординат
единицей измерения является децибел, которая представляет собой соотношение: L
= 20 lg M(w). Характеристики представлены на рис. 4.
Рис. 4 ЛАХ и ФЧХ объекта управления
Найдем особые точки передаточной
функции. Для этого приравняем к нулю знаменатель передаточной функции.
Нуль функции равен:
полюс функции равен:
,
,
График особых точек представлен на
рис. 5.
разомкнутый амплитуда фаза канал
Рис. 5 Особые точки объекта
управления.
Вывод: Данный объект управления
находится на границе устойчивости, поскольку есть особые точки, которые лежат
на мнимой оси. Также объект управления имеет явные дифференциальные свойства.
Принимаем решение о проектировании САР, реализованной на принципе управления по
ошибке или по отклонению.
. Выбор закона регулирования
В разрабатываемой системе реализован
принцип замкнутого управления (управления по ошибке или по отклонению). Суть
этого принципа состоит в том, что на вход регулятора поступает сигнал ошибки Δ(t), который
представляет собой разность задающего воздействия x(t) и рабочего параметра
y(t). В зависимости от ошибки регулятор вырабатывает управляющий сигнал U(t),
который поступает на исполнительные элементы объекта управления.
Выбора закона регулирования:
. ПИ-регулятор
К=0,8
К=0,9
К=0,08

К= 0,08
К=0,8
. И - регулятор:
К=0,08
К=0,08
К=0,08

. П-регулятор
К =0,08
К =0,08
Вывод: Рассмотренный ПИ-регулятор при К=0,9
удовлетворяет заявленным требованиям, а именно:
переходной процесс длится не больше 12 сек,
переходная характеристика имеет вид затухающего
процесса, при этом, имея не более 3 колебаний,
установившаяся ошибка стремится к нулю.
Таким образом, остановимся на выборе интегрального
закона регулирования с коэффициентом К=0,9
. Определение передаточных функций по каналам
управления и возмущения, по ошибке и разомкнутой системы
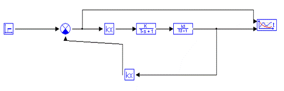
Рис.6 Структурная схема одноконтурной САР
Передаточная функция по каналу управления:
.
Передаточная функция по каналу
возмущения:
.
Передаточная функция по ошибке:
.
Передаточная функция разомкнутой:
,
,
По вышеприведенным формулам находим
соответствующие выражения:
,
. Определение временных и частотных
характеристик системы с выбранным законом регулирования
Рис. 7. Переходная характеристика по
каналу управления и кривая ошибки
Рис. 8 Импульсная характеристика по
каналу управления
Рис. 9 ЛАХ системы по каналу
управления
Рис. 10 ФЧХ системы по каналу
управления
Вывод: временные характеристики
системы по каналу управления с выбранными параметрами закона регулирования
имеют дискретный характер. Как видно из временных характеристик система
обладает хорошей переходной характеристикой, поскольку колебательных процессов
не наблюдается, а установившийся режим достигается за допустимый временной
интервал. Это подтверждает эффективность выбранного закона регулирования.
. Оценка устойчивости системы,
определение запаса устойчивости по амплитуде и фазе
Данный критерий позволяет по
амплитудно-фазовой частотной характеристике разомкнутой системы оценить
устойчивость системы. Для устойчивости замкнутой системы необходимо и
достаточно, чтобы АФЧХ разомкнутой системы при изменении частоты от 0 до ¥ не охватывала точку с
координатами [-1, j0].
Запас устойчивости по амплитуде
задается некоторой величиной
(рис.), на которую должен
отличаться модуль АФЧХ разомкнутой системы от единицы на частоте, при которой
фаза равняется
.
Рис. 11 АФЧХ разомкнутой системы (к
определению запаса устойчивости по амплитуде)
В нашем случае запас устойчивости по
амплитуде составляет:
Запас устойчивости по фазе задается
некоторым углом
(рис. 21),
на который должна отличаться фаза АФЧХ разомкнутой системы от
на частоте,
при которой модуль равняется единице.
Рис. 12 АФЧХ разомкнутой системы (к
определению запаса устойчивости по фазе)
Рис. 13 Кривая Найквиста
Расстояние между точкой пересечения
кривой вещественной оси и точкой с координатами [-1, j0] - есть запас
устойчивости по амплитуде, который показывает, насколько можно повысить
коэффициент передачи прямой цепи, не нарушая условия устойчивости. В нашем
случае запас устойчивости а=0,7
Запас устойчивости по фазе - это
угол между вещественной осью и точкой пересечения кривой окружности единичного
радиуса. Запас устойчивости по фазе показывает, насколько можно сдвигать фазу
выходного сигнала по отношению к входному, не нарушая условий устойчивости. В
нашем случае запас устойчивости по фазе не корректируется, поскольку единичная
окружность не пересекает АФЧХ этой системы.
Вывод: по критерию Найквиста
исследуемая система устойчива, так как АФЧХ не охватывает точку с координатами
(-1, j0). Так же система обладает достаточным запасом устойчивости по
амплитуде.
Рис. 14 Переходная функция по каналу
управления.
Для нашей системы прямые оценки
принимают следующие значения:р=0,2 с,н=11 с,=1,=1.
Перерегулирование рассчитывается по
формуле:
,
.
Коэффициент статизма рассчитывается
по формуле:
,
.
Выводы: Система обладает нормальным
качеством регулирования. Время регулирования равно 0,2 секунды при максимально
допустимых 10 - 12 секунд.
Заключение
Целью данного курсовой работы было в целом
изучение теории автоматического управления и регулирования. Для этого
необходимо было разработать цифровую систему автоматического ре6гулирования для
заданного объекта управления, произвести анализ и исследование процессов во
временной и частотной областях, выбрать оптимальные параметры регулятора,
оценить устойчивость и качество системы.
Проектирование системы выполнялось на
персональном компьютере с использованием программного комплекса «МВТУ». Процесс
проектирования происходил в несколько этапов.
Первым этапом проектирования было исследование и
анализ объекта управления.
На втором этапе необходимо было выбрать
устройство управления, реализующее некоторый закон регулирования. Это должно
было обеспечить структуру всей САР, а если определена структура всей системы,
дальнейшее проектирование сводится к решению задачи анализа. В нашем случае все
задачи решались для систем с заданной структурой.
Третий этап включал в себя анализ САР, под
которым понимается исследование устойчивости и качества. Устойчивость
исследовали с помощью частотного критерия Найквиста. Исследование качества
происходило по прямым и косвенным оценкам.
Список литературы
1.
Малай Г.П. «Линейные и цифровые системы управления» задание на курсовой проект
с методическими указаниями - Хабаровск, 2012г.
.
Курс лекций по теоретическим основам автоматики и телемеханики.
.
Макаров, И. М., Менский Б. М. Линейные автоматические системы / И. М. Макаров,
Б. М. Менский. - М.: Машиностроение, 1982.