Расчет нестандартной цифровой многоканальной системы передачи
МИНОБРНАУКИ РОССИИ
Федеральное государственное бюджетное
образовательное
учреждение высшего профессионального
образования
«Ижевский государственный технический
университет
имени М.Т. Калашникова»
(ИжГТУ)
кафедра «Сети связи и
телекоммуникационные системы»
Контрольная работа
по предмету «Цифровые системы
передачи»
Выполнил
ст. гр. 7-29-1зт Якимова И.А.
Проверил
преподаватель кафедры «Сети связи и
телекоммуникационные системы»
к. т. н., доцент Хатбуллин Р.А.
Ижевск 2013
Содержание
Список сокращений
Контрольное задание
. Выбор частоты дискретизации линейного сигнала
. Расчет количества разрядов в кодовом слове и определение
защищенности от искажений квантования на выходе ЦСП
.1 Расчет разрядности кода для широкополосного сигнала
.2 Расчет разрядности кода для сигнала ТЧ
.3 Расчет разрядности кода при нелинейном квантовании
.4 Определение защищенности от шумов квантования
. Разработка структуры временных циклов первичной ЦСП и
определение тактовой частоты ЦСП
.1 Определение тактовой частоты ЦСП
.2 Определение структуры CC
.3 Разработка структуры временных циклов первичной ЦСП
. Расчет основных параметров цикловой синхронизации
первичного цифрового потока
. Формирование агрегатного цифрового потока
.1 Временное группообразование
.2 Приемник СС при двухстороннем согласовании скоростей
.3 Определение оптимальной структуры СС
.4 Временной спектр вторичной ЦСП с ИКМ
Заключение
Список используемой литературы
Список сокращений
ЦСП - цифровая система передачи.
ИКМ - импульсно-кодовая модуляция.
ЛТ - линейный тракт.
ТЧ - тональная частота.
ФНЧ - фильтр нижних частот.
КИ - канальный интервал.
СС - синхросигнал.
ЦС - цикловый синхросигнал.
СЦС - сверхцикловый синхросигнал.
СУВ - сигналы управления и взаимодействия.
Ц - цикл.
ДИ - дискретная информация.
СП - свободные позиции.
АЦС - авария цикловой синхронизации.
Ост. З. - остаточное затухание.
СК - сигнальный канал.
АСЦС - авария сверхцикловой синхронизации.
ПД - передача данных.
КСС - команды согласования скоростей.
АВГ - асинхронное вторичное группообразование.
ФАПЧ - фазовая автоподстройка частоты.
ЗУ - запоминающее устройство.
Контрольное задание
Контрольное задание включает в себя следующие вопросы, подлежащие
разработке:
· Выбор частоты дискретизации первичного сигнала.
· Расчет количества разрядов в кодовом слове и определение
защищенности от искажений квантования на выходе ЦСП.
· Разработка структуры временных циклов первичной ЦСП и
определение тактовой частоты ЦСП.
· Расчет основных параметров цикловой синхронизации первичного
цифрового потока.
· Формирование агрегатного цифрового потока с использованием
асинхронного объединения на основе ИКМ-120 или ИКМ-480.
Исходные данные:
Протяженность
ЛТ: L = 650 км
;
Количество
пунктов переприема: n = 3
;
Характеристики
односторонних широкополосных каналов передачи в первичном цифровом потоке:
Частотный
диапазон: 
= 0.6...
100 кГц;
Коэффициент
активности источника: 
= 0.5;
Максимальная
мощность сигнала:
= 1000 мкВт0
;
Средняя
мощность сигнала: 
= 100
мкВт0;
Средняя
мощность помехи: 
= 60000 nВт0;
Количество
каналов ТЧ двухстороннего действия в первичном цифровом потоке: nd =
20;
Характеристики
каналов ТЧ двухстороннего действия в первичном цифровом потоке:
Частотный
диапазон:
;
Коэффициент
активности источника:
= 0.25;
Максимальная
мощность сигнала:
= 2200 мкВт0;
Средняя
мощность сигнала:
= 88 мкВт0;
Средняя
мощность помехи:
= 178000 nВт0;
Количество
первичных цифровых потоков в агрегатном цифровом потоке: N =
3;
Защищенность
от шумов квантования на выходе канала:
= 27 дБ;
Среднее
время восстановления цифрового синхронизма:
= 4 мс;
Допустимая
вероятность ошибки на один километр линейного тракта:
(1/км).
1. Выбор
частоты дискретизации линейного сигнала
Минимальное значение частоты дискретизации первичных сигналов
электросвязи, при котором обеспечивается неискаженное восстановление сигнала,
определяется с помощью теоремы Котельникова. Основной смысл данной теоремы в
том, что частота дискретизации должна быть больше либо равной удвоенной верхней
частоте исходного сигнала. Это обусловлено тем, что частотные спектры на
основании этой теоремы должны укладываться друг за другом с определенным
периодом, то возможно получить следующие распределения частотных спектров при
разных коэффициентах дискретизации:
Сигнал с верхней граничной частотой
имеет частоту дискретизации
, то имеет место наложение спектров
сигнала, что приводит к плохому качеству и невозможности выделения полезного
сигнала.
Сигнал с верхней граничной частотой
имеет частоту дискретизации
, то имеет место наличие расстояния
между спектрами сигнала, что является нерациональным использованием спектра при
.
Сигнал с верхней граничной частотой
имеет частоту дискретизации
, то имеет место уложение спектров в
порядке очереди. Данный способ является самым рациональным, однако его не
используют в виду того, что для телефонного сигнала с верхней граничной
частотой
выбирается частота дискретизации
, что больше чем удвоенная верхняя
граничная частота исходного сигнала.
На
входе цифровой системы передачи есть 2 канала передачи с диапазоном частоты
кГц и 24 канала ТЧ двухстороннего действия ТЧ
.
Совместная
передача узкополосного и широкополосного сигнала накладывает дополнительные
требования к выбору частоты дискретизации и определяется равенством (формула
1.1):
|
|
(1.1)
|
где
- частота дискретизации широкополосного сигнала [кГц];
- частота дискретизации сигнала ТЧ [кГц];
- коэффициент (целое число).
Таким образом, частоты дискретизации сигналов должны быть кратными, что
необходимо для согласования скоростей в цикле ИКМ.
При выборе частоты дискретизации необходимо иметь ввиду, что при
восстановлении первичного сигнала используется ФНЧ и необходимо иметь запас для
полосы расфильтровки
.
Значение частоты дискретизации выбирается из соотношения (формула 1.2):
|
|
(1.2)
|
Частота дискретизации широкополосного сигнала с учетом расфильтровки
(формула 1.2):
кГц.
Поскольку для сигнала ТЧ верхняя частота
, то должно быть соблюдено условие
. Но как правило, выбирается частота
дискретизации
, для увеличения запаса частотного ресурса.
Коэффициент
определяется из соотношения 1.1:
Таким
образом, частота дискретизации линейного сигнала составляет
кГц.
2. Расчет
количества разрядов в кодовом слове и определение защищенности от искажений
квантования на выходе ЦСП
С целью уменьшения эффекта накапливания помех в системах передачи данных
используют метод регенерации искаженных сигналов. Решение о правильном или
неправильном приеме сигнала выносится на основании положения сигнала в
определенной зоне - правильного или не правильного приема. В соответствии с
этим решением можно восстановить исходный сигнал. Данная система работает
только в ЦСП, то есть использующих передачу цифровых сигналов - сигналов с
конечным числом состояний. Разность между двумя соседними уровнями называют
шагом квантования. Поскольку приемное устройство системы передачи получает не
истинные значения, а квантованные, то на выходе ФНЧ приема наряду с полезным
сигналом будет присутствовать шум квантования.
Квантование сигнала можно проводить двумя способами - равномерным
(линейным) и неравномерным (нелинейным). Выбор того или иного метода
кодирования, а так же числа разрядов кодовой комбинации, зависит от
помехозащищенности полученного кода от шумов квантования. Наибольшее
распространение получило нелинейное квантование, или так называемое
А-кодирование. В системах с ИКМ применяется линейно-ломаная характеристика
компрессии, близкая к логарифмической.
Разрядность кода и его помехозащищенность от шумов квантования
рассчитывается для каждого сигнала в тракте - для широкополосного и ТЧ
соответственно. Для линейного квантования минимальное количество двоичных
разрядов можно определить по формуле 2.1:
|
(2.1)
|
|
Формула 2.1 с учетом наличия пунктов переприема имеет вид (формула 2.2):
|
(2.2)
|
|
где
- минимальное число двоичных разрядов;
- защищенность первичного сигнала от шумов квантования на
выходе канала [дБ];
- количество пунктов переприема;
- динамический диапазон сигнала [дБ], формула 2.3:
|
(2.3)
|
|
где
- максимальная мощность сигнала [Вт];
- минимальная мощность сигнала [Вт] (в данном случае имеется
ввиду значение средней мощности помехи
);
- пик-фактор сигнала [дБ], определяется по формуле 2.4:
|
(2.4)
|
|
где
- средняя мощность сигнала [Вт].
При количестве разрядов
рекомендуется использовать нелинейное квантование. При
использовании А-закона компадирования оценить количество разрядов можно по
формуле 2.5:
|
|
(2.5)
|
2.1 Расчет
разрядности кода для широкополосного сигнала
Исходные данные для расчета количества разрядов кодовой комбинации:
Максимальная
мощность сигнала:
= 1000 мкВт0
;
Средняя
мощность сигнала: 
= 100
мкВт0;
Средняя
мощность помехи: 
= 60000 nВт0;
Количество
пунктов переприема: n = 3
;
Защищенность
от шумов квантования на выходе канала:
= 27 дБ;
Расчет
динамического диапазона сигнала (формула 2.3):
дБ.
Расчет
пик-фактора сигнала (формула 2.4):
дБ.
Расчет
разрядности кода (формула 2.2):

Максимальная
мощность сигнала:
= 2200 мкВт0;
Средняя
мощность сигнала:
= 88 мкВт0;
Средняя
мощность помехи:
= 178000 nВт0;
Количество
пунктов переприема: n = 3
;
Защищенность
от шумов квантования на выходе канала:
= 27 дБ;
Расчет
динамического диапазона сигнала (формула 2.3):
дБ.
Расчет
пик-фактора сигнала (формула 2.4):
дБ.
Расчет
разрядности кода (формула 2.2):
.3 Расчет
разрядности кода при нелинейном квантовании
Расчет разрядности кода при нелинейном квантовании (формула 2.5):
.
В
результате расчетов выбирается нелинейное квантование с количеством разрядов
кодовой комбинации m = 9.
.4
Определение защищенности от шумов квантования
Поскольку применяется нелинейное квантование, то шаг квантования будет
изменяться с увеличением уровня сигнала. Для построения зависимости необходимо
определить шкалу квантования. Уровень шумов квантования рассчитывается с учетом
того, в какой сегмент квантования попал сигнал. Расчет защищенности от
искажений квантования ведется в динамическом диапазоне сигнала.
Передаваемый 9-разрядный сигнал имеет вид (рисунок 2.4.1):
где P - знаковый символ (+/-);
X, Y, Z - символы кода номера сегмента;, B, C, D, E - символы кода
номера шага внутри сегмента.
Зависимость защищенности от искажения квантования на выходе канала от
уровня сигнала строится для широкополосного и ТЧ сигналов отдельно и
определяется по формуле 2.4.1:
|
|
(2.4.1)
|
где
- мощность сигнала [Вт];
- мощность шума квантования [Вт], определяется по формуле
2.4.2:
|
|
(2.4.2)
|
где
- минимальный шаг квантования [В], соответствующий номеру
сегмента, определяется по формуле 2.4.3:
|
|
(2.4.3)
|
где
- номер сегмента от 0 до 7;
- максимальный номер сегмента;
- номер шага внутри сегмента от 1 до 32;
- максимальный номер шага внутри сегмента;
- напряжение ограничения - значение напряжения квантуемого
сигнала, выше которого на выходе устройства квантования формируется отсчет с
амплитудой
[В], определяется по формуле 2.4.4:
|
|
(2.4.4)
|
где
- мощность шумов ограничения - значение мощности
квантуемого сигнала, выше которого формируется отсчет с амплитудой
,
соответствующий
значению мощности
[Вт] (как правило, уровень ограничения соответствует
максимальной мощности сигнала
).
-
характеристическое сопротивление [Ом].
Формула
2.4.2 с учетом формулы 2.4.4 имеет вид (формула 2.4.5):
|
(2.4.5)
|
|
Мощность шумов квантования с учетом формулы 2.4.5 имеет вид (формула
2.4.6):
|
(2.4.6)
|
|
где
- размер шага квантования (
в 0-ом и 1-ом сегментах,
во 2- ом сегменте,
в 3-ем сегменте,
в 4-ом сегменте,
в 5-ом сегменте,
в 6-ом сегменте,
в 7-м сегменте).
Значение зависимости мощности сигнала
на границах сегментов квантования от
номера сегмента, выраженное через мощность ограничения выведено в формуле
2.4.7:
|
(2.4.7)
|
|
Конечная формула для расчета зависимости защищенности от искажения
квантования на выходе канала от уровня сигнала имеет вид (формула 2.4.8):
|
(2.4.8)
|
|
где
- исходная величина мощности [Вт] (
);
- уровень мощности сигнала [дБ], определяется по формуле 2.4.9:
|
(2.4.9)
|
|
Таким образом, найдя граничные значения мощности сигнала
, при которых происходит переход
сигнала в другой сегмент квантования, и, варьируя значения уровня мощности сигнала
в пределах сегмента до граничного значения, можно построить характеристику
защищенности для одного сегмента, а затем, увеличив значение размера шага
квантования
и повторив операцию с варьированием значения мощности, можно
построить всю характеристику кусочным методом.
Результаты расчетов по формулам 2.4.7 и 2.4.8 занесены в таблицу 2.4.1
для широкополосного сигнала и в таблицу 2.4.2 для сигнала ТЧ. Графики
зависимости защищенности от шумов квантования изображены на рисунке 2.4.2 (для
широкополосного сигнала) и рисунке 2.4.3 (для сигнала ТЧ).
3.
Разработка структуры временных циклов первичной ЦСП и определение тактовой
частоты ЦСП
.1
Определение тактовой частоты ЦСП
Временные циклы разрабатываемой ЦСП должны содержать КИ для организации широкополосных
и ТЧ сигналов, служебных каналов для передачи СС, СУВ, и дискретной информации.
Период следования канальных интервалов для канала определяется формулой
3.1.1:
|
|
(3.1.1)
|
где
- частота дискретизации сигнала [кГц].
Для правильной передачи широкополосного сигнала должно выполнятся
следующее условие (формула 3.1.2):
|
где
- количество КИ тональной частоты;
- количество КИ для передачи служебной информации;
- количество дополнительных КИ;
- количество КИ для передачи широкополосных сигналов
(количество временных циклов одном цикле передачи
), определяется по формуле 3.1.3:
|
|
(3.1.3)
|
где
- частота стандартного канала ЦСП, содержащего 8000
временных циклов в секунду [кГц] (
).
Число
должно быть целым. Кратность достигается добавлением
дополнительных КИ, которые в дальнейшем могут быть использованы для ПД или
организации дополнительных каналов ТЧ при наличии соответствующих СУВ.
Тактовая частота первичного цифрового потока определяется по формуле
3.1.4:
|
|
(3.1.4)
|
где
- частота повторения циклов первичного цифрового тракта
[кГц];
- количество КИ в одном цикле;
- количество разрядов кодовой комбинации.
Расчет периода следования канальных интервалов для широкополосного
сигнала (формула 3.1.1):
мкс.
Количество
временных циклов одном цикле передачи
определяется
по формуле 3.1.3:
Количество дополнительных КИ определяется формулой 3.1.2:
Тактовая частота первичного цифрового потока определяется по формуле
3.1.4:
кГц
С учетом передачи 2-х широкополосных и 24-х ТЧ сигналов, временное
расположение КИ строиться следующим образом (рисунок 3.1.1):
На рисунке 3.1.1 короткими жирными линиями обозначены служебные КИ (КИ0,
КИ63, КИ66, КИ69, КИ72, КИ75), короткими линиями - КИ ТЧ (КИ3, КИ6, КИ9, КИ12,
КИ15, КИ18, КИ21, КИ24, КИ27, КИ30, КИ33, КИ36, КИ39, КИ45, КИ48, КИ51, КИ54,
КИ57, КИ60, КИ63) и длинными линиями - КИ широкополосного сигнала (КИ1, КИ4,
КИ7, КИ10, КИ13, КИ116, КИ19, КИ22, КИ25, КИ28, КИ31, КИ34, КИ37, КИ40, КИ43,
КИ46, КИ49, КИ52, КИ55, КИ58, КИ61, КИ64, КИ67, КИ70, КИ73, КИ76,- первый
широкополосный канал, КИ2, КИ5, КИ8, КИ11, КИ14, КИ17, КИ20, КИ23, КИ26, КИ29,
КИ32, КИ35, КИ38, КИ41, КИ44, КИ47, КИ50, КИ53, КИ56, КИ59, КИ62, КИ65, КИ68,
КИ71, КИ74, КИ77 - второй широкополосный канал).
.2
Определение структуры CC
Структура ЦС выбирается из учета количества критических точек в
синхрослове. Для минимизации времени поиска ЦС
необходимо оптимизировать структуру
его кодового слова. Для этого необходимо воспользоваться формулами для
определения полного среднего времени поиска синхрогруппы с одной и
критическими точками. Увеличение
числа бит в синхрослове приводит к сокращению времени восстановления
синхронизма и повышению его устойчивости, поэтому длина синхрослова принята
.
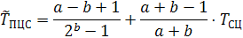
Формула 3.2.1 определяет время поиска для синхрослова с одной критической
точкой, а формула 3.2.2 - время поиска для синхрослова с
критическими точками:
|
(3.2.1)
|
|
|
|
(3.2.2)
|
где
- число символов в потоке между соседними СС (
);
- число символов в синхрогруппе;
- период повторения СС [мкс] (
).
СЦС представляет собой 4 нулевых импульса. Временной спектр первичной ЦСП
разрабатывается при учете того, что количество циклов в сверхцикловой передаче
определяется количеством СУВ для двухсторонних каналов, передаваемых в одном
цикле.
Расчет полного среднего времени поиска синхрогруппы с одной критической
точкой (формула 3.2.1):
мс.
Расчет полного среднего времени поиска синхрогруппы с
критическими точками (формула
3.2.2):
Среднее время поиска синхрогруппы с одной критической точкой меньше, чем
среднее время поиска синхрогруппы с 9-ю критическими точками, поэтому структура
синхросигнала принимается следующей - «011010111».
.3
Разработка структуры временных циклов первичной ЦСП
Временной спектр первичной ЦСП изображена на рисунке 3.3.1:
4. Расчет
основных параметров цикловой синхронизации первичного цифрового потока
Система цикловой синхронизации предназначена для восстановления и
удержания состояния циклового синхронизма между передающей и приемной частями
ЦСП. Система включает в себя передатчик и приемник СС. Передатчик формирует в
передающей части кодовую группу определенной структуры, расположенную в начале
цикла передачи. В приемнике осуществляется распознавание кодовых групп,
структура которых совпадает со структурой СС, и вырабатывается информация о
принадлежности опознанных кодовых групп передаваемому СС. Необходимо, чтобы
восстановление состояния синхронизма происходило как можно быстрее, а затем
удерживалось как можно дольше. При обнаружении ЦС происходит фазирование
генераторного оборудования приемной части. По принципу действия приемники СС
делятся на адаптивные (емкости накопительных устройств меняются в соответствии
с изменением реальных значений вероятности искажения символов в ЛТ) и неадаптивные
(емкости накопительных устройств соответствуют предполагаемой ранее вероятности
искажения символов в ЛТ и не изменяются в процессе работы).
В данном случае используется неадаптивный приемник, так как считается,
что вероятность ошибки в ЛТ не изменяется в процессе работы. Структурная схема
неадаптивного приемника СС приведена на рисунке 4.1.
Принцип работы неадаптивного приемника заключается в следующем: групповой
цифровой поток поступает на вход опознавателя СС, состоящего из регистра сдвига
(РС) и дешифратора (ДШ). Каждая комбинация символов, аналогичная
синхронизирующей, вызывает формирование сигнала на выходе дешифратора.
Пояснения к рисунку 4.1:
РС - регистр сдвига;
ДШ - дешифратор;
ГО - генераторное оборудование;
ВТЧ - выделитель тактовой частоты;
РУ - решающее устройство;
НЕТ - логический элемент «НЕТ»;
И - логический элемент «И»;
Принцип работы неадаптивного приемника заключается в следующем: групповой
цифровой поток поступает на вход опознавателя синхросигнала, состоящего из
регистра сдвига (РС) и дешифратора (ДШ). Каждая комбинация символов,
аналогичная синхронизирующей, вызывает формирование сигнала на выходе
дешифратора. Если система передачи находится в состоянии синхронизма, то сигнал
с выхода опознавателя совпадает по времени с сигналом с выхода генераторного
оборудования (ГО). При этом на выходе логического элемента НЕТ, соединенного с
накопителем по выходу из синхронизма, сигнал отсутствует, а на выходе
логического элемента И1, соединенного с накопителем по входу в синхронизм,
формируется сигнал, соответствующий моменту опознавания синхрокомбинации. В
результате накопитель по входу в синхронизм оказывается заполненным, а
накопитель по выходу из синхронизма - разряженным до нулевого состояния. Ложные
синхрогруппы, формируемые в групповом сигнале вследствие случайного сочетания
единиц и нулей, не совпадают по времени с сигналом на выходе генераторного
оборудования, и не участвуют в процессе накопления.
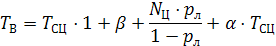
Оценка среднего времени восстановления циклового синхронизма
производится по формуле 4.1:
|
(4.1)
|
|
где
- период поступления циклового синхронизма [мкс] (250 мкс);
- число символов в цикле цифрового потока между двумя СС (
);
- коэффициент по выходу из синхронизма - число символов,
равное числу последовательно искаженных ЦС, необходимых для того, чтобы вызвать
переход приемника ЦС из состояния «циклового синхронизма» в состояние «выход из
циклового синхронизма»
;
- количество следующих друг за другом правильных ЦС,
необходимых для восстановления циклового синхронизма (
);
- вероятность появления ложного сигнала, определяется по
формуле 4.2:
|
(4.2)
|
|
где
- вероятность совпадения информационного сигнала с символами
СС (
);
- число символов в СС.
Максимальное время восстановления циклового синхронизма
определяется по формуле 4.3:
|
(4.3)
|
|
Среднее время между выходами из состояния синхронизма
(сбой синхронизма) определяется по
формуле 4.4:
|
(4.4)
|
|
где
- коэффициент ошибок (
).
Среднее защитное время
определяется по формуле 4.5:
|
Расчет среднего времени восстановления циклового синхронизма
(формула 4.1):
Расчет максимального времени восстановления цифрового синхронизма
(формула 4.3):
Расчет среднего времени между выходами из состояния синхронизма
(формула 4.4):
Расчет среднего защитного времени
(формула 4.5):
Результаты
расчетов показали, что значение среднего времени восстановления циклового
синхронизма
удовлетворяет требованиям, указанным в контрольном
задании:
мс ≤ 4мс, следовательно, время поиска ошибки
будет минимальным.
5.
Формирование агрегатного цифрового потока
При сопряжении цифровых потоков частота считывания выбирается всегда выше
частоты записи. Это объясняется необходимостью передачи дополнительной
служебной информации (сигналов цикловой синхронизации, служебной связи,
контроля и других).
Служебные символы должны передаваться на позициях временных сдвигов в
считанной импульсной последовательности. При этом необходимо, чтобы сдвиги
формировались на строго определенных позициях в цикле передачи. Для того, чтобы
неоднородности, возникающие при асинхронном сопряжении цифровых потоков, не
изменяли положения временных в цикле передачи, необходимо в передающем
оборудовании компенсировать моменты, возникновения неоднородностей либо
введением дополнительной позиции в считанную последовательность, либо
исключением одной позиции из считанной последовательности в зависимости от
знака разности.
В данном случае выбрана система с двухсторонним согласованием скоростей,
так как в ней предусмотрена возможность как положительного, так и
отрицательного согласования скоростей, а также в ней реже передаются КСС, а
значит, понижается вероятность ошибок согласования.
В системе нормированная частота считывания
выбирается равной нормированной
частоте задержки
. В зависимости от знака разности частот считывания
и частот задержки
при возникновении неоднородности
необходимо либо вводить в считанную последовательность дополнительную
импульсную позицию, либо передавать информационный символ по дополнительному
каналу. В передающей части АВГ необходимо формировать информацию о проведении
согласования скоростей и знаке этого согласования, а в приемной части в
соответствии с этой информацией либо исключать дополнительную импульсную
позицию, либо вводить информационный символ в передаваемую последовательность.
В АВГ в качестве неоднородностей воспринимаются только временные сдвиги,
вызванные разностью частот считывания
и частот задержки
, а сдвиги, вызванные дополнительным
повышением частоты считывания на величину
воспринимаются как нормированные, не
требующие передачи информации о согласовании скоростей.
.1 Временное
группообразование
На рисунке 5.1.1 изображена структурная схема временного
группообразования для одного направления передачи при асинхронном сопряжении
потоков:
Пояснения к рисунку 5.1.1:
ЗУ - запоминающее устройство;
ГО - генераторное оборудование;
СУ - сравнивающее устройство,
ГУН - генератор управляемый напряжением;
ВД - ввод дискриминанта;
НЕТ - логический элемент, осуществляющий запрет одного импульса
считывания (положительное СС);
ИЛИ - логический элемент, осуществляющий одно дополнительное считывание
(положительное СС),
ПКПР1-ПРq - приемные преобразователи кода,
которые осуществляют преобразование линейных кодов в двоичные и формирование
импульсных последовательностей с частотой, равной тактовой частоте входных
цифровых потоков;
БАСПЕР1-ПЕРq - блоки
асинхронного сопряжения, записывают цифровой поток в запоминающее устройство и
соответствующего выхода генераторного оборудования;
ПКПЕР1-ПЕРq - передающий
преобразователь кода группового сигнала.
5.2
Приемник СС при двухстороннем согласовании скоростей
На рисунке 5.2.1 изображена структурная схема приемника СС в системах с
двухсторонним согласованием скоростей:
Пояснения к рисунку 5.2.1:
Тг - триггер;
И - логический элемент «И».
Принцип работы данного приемника заключается в следующем: КСС поступают
на вход опознавателя, выходы которого соединены с входами анализирующего
устройства, вырабатывающего сигнал о наличии двух следующих подряд команд
одного знака, и корректора ошибок, фиксирующего три последовательные команды
«+» или «-».
Если зафиксированы три последовательные команды «+» или «-», что
свидетельствует соответственно об искажении команды «-» или «+», то на выходе
счетчика числа команд формируется сигнал коррекции ошибки.
Указанным способом можно произвести коррекцию двух, трех и более ошибок.
.3
Определение оптимальной структуры СС
Четыре исходных потока посимвольно объединяются в агрегатный поток с
добавлением служебной информации. Определение оптимальной структуры СС
заключается в выборе в качестве синхронизирующей такой комбинации символов,
которая при фиксированной длительности цикла обеспечивает минимальное время
поиска СС. Структура циклового СС определяется числом битов в цикле, то есть
битовой скоростью агрегатного цифрового потока, а также необходимым числом
критических точек, обеспечивающих наименьшее время поиска СС. В данном случае
скорость агрегатного потока 22,912 бит/с. По аналогии с ИКМ-480, для СС
используется 12-и битовая последовательность «110011001100».
5.4
Временной спектр вторичной ЦСП с ИКМ
сигнал код цифровой передача
Цикл передачи имеет длительность
и состоит из 948 позиций. Цикл
разделен на три субцикла, одинаковых по длительности. Первые двенадцать позиций
первого субицикла заняты комбинацией «110011001100», представляющей собой ЦС
объединенного потока. Остальные 936 позиции первого субцикла (с 13-й по 948-ой
включительно) заняты информацией посимвольно объединенных исходных потоков,
номера которых отмечены на рисунке под номерами позиций. Первые четыре позиции
второго субцикла заняты 1-ми символами КСС объединяемых потоков, следующие
четыре - сигналами служебной связи, а далее располагаются 2-е символы КСС. 3-е
символы КСС (команда положительного согласования имеет вид «1111», а
отрицательного - «0000») занимают первые четыре позиции субцикла III. Позиции
5-8 субцикла III используются для передачи сигналов ДИ (четыре позиции). На
позициях 9-12 передается информация объединяемых потоков при отрицательном
согласовании скоростей. При положительном согласовании скоростей исключаются
позиции 13-16 субцикла III.
Поскольку операция согласования скоростей осуществляется не чаще, чем через 78
циклов, позиции 9-12 субцикла III,
предназначенные для передачи информации при отрицательном согласовании
скоростей, большую часть времени свободны и используются для передачи
информации о промежуточных значениях и характере изменения положительной или
отрицательной временной неоднородности. Таким образом, из общего числа позиций,
равного 2844, информационными являются 2808±4 позиции.
Разделение цикла передачи на несколько субциклов имеет следующие
преимущества:
Это позволяет разнести во времени символы КСС, что повышает защищенность
этих команд от импульсных помех, поскольку импульсные помехи обычно
группируются в пакеты, воздействующие на несколько следующих друг за другом
импульсов.
Поскольку при приеме служебной информации прекращается считывание
информации из ЗУ, выделяемый информационный поток обладает неравномерностью,
которая должна сглаживаться системой ФАПЧ. Работа ФАПЧ сопровождается фазовыми
флуктуациями импульсов выделенного потока, которые снижаются, если снижается
неравномерность, а она тем меньше, чем больше субциклов содержится в цикле
передачи.
Задержка считывания информации объединяемых потоков из ЗУ как на
передаче, так и на приеме на время прохождения служебной информации заставляет
увеличивать емкость памяти ЗУ. Очевидно, что это увеличение тем меньше, чем
больше субциклов содержится в цикле, и составляет для рассматриваемого случая
две ячейки плюс еще одна на время проверки КСС на отсутствие ошибок. Общее
число ячеек запоминающего устройства существующих ЦСП составляет от пяти до
восьми и должно быть увеличено втрое при отсутствии деления цикла передачи на
субциклы.
Структура агрегатного потока приведена на рисунке 5.4.1:
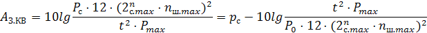
Тактовая частота агрегатного цифрового потока рассчитывается по формуле
5.4.1:
|
(5.4.1)
|
|
где
- частота цикла [кГц];
- число объединяемых потоков;
- количество субциклов;
- количество служебных разрядов;
- число канальных интервалов в цикле;
- количество разрядов кодовой комбинации.
Расчет тактовой частоты агрегатного цифрового потока (формула 5.4.1):
МГц.
Тактовая
частота агрегатного цифрового потока составила
МГц.
Заключение
В
ходе выполнения контрольной работы была рассчитана нестандартная ЦСП, которая
позволяет организовать передачу 20-ти двунаправленных каналов ТЧ и 2-х
однонаправленных широкополосных канала. Количество разрядов кодовой комбинации
составило
. Частота дискретизации канала ТЧ 
кГц,
широкополосного канала 
кГц.
Список используемой литературы
1. Четкий
С.В. Методические указания и задания на курсовой проект "Цифровая
многоканальная система передачи с импульсно-кодовой модуляцией по
металлическому кабелю" по курсу "Многоканальные системы
передачи". Москва, 1990 г.
. Крухмалев
В.В. Методические указания и задания на курсовой проект "Цифровая система
передачи с импульсно-кодовой модуляцией и временным разделением каналов по
электрическим кабелям" по дисциплине "Многоканальные
телекоммуникационные системы"., Самара, 2000 г.
. Крухмалев
В.В., Марыкова Л.А. Методические указания и контрольные задания по дисциплине
"Многоканальные системы передачи". Часть 2. Цифровые системы
передачи., Самара, 2000 г.
. Крухмалев
В.В., Марыкова Л.А. Методические указания и контрольные задания по дисциплине
"Многоканальные системы передачи"., Самара, 1999 г.
. Крухмалев
В.В., Адамович Л.В., Лепнина Е.Н. Учебное пособие к выполнению курсовых и
дипломных работ "Основы проектирования цифровых систем передачи".,
Самара, 1998 г.