Обмен аргинина

  • Вид работы:
    Курсовая работа (т)
  • Предмет:
    Химия
  • Язык:
    Русский
    ,
    Формат файла:
    MS Word
    317,28 Кб
  • Опубликовано:
    2012-10-29
Вы можете узнать стоимость помощи в написании студенческой работы.
Помощь в написании работы, которую точно примут!

Обмен аргинина

Министерство образования Российской Федерации

Челябинская Государственная медицинская академия

Кафедра биологической химии











Курсовая работа

По Биологической химии

На тему: «Обмен аргинина»









Челябинск 2012

Общие данные

Аргинин или α-амино-δ-гуанидиновалериановая кислота - является алифатической основной α-аминокислотой.

 <#"581107.files/image002.jpg"> <#"581107.files/image003.jpg"> <#"581107.files/image004.gif">

Рис. 3

Трансаминирование аргинина

Под трансаминированием <#"581107.files/image005.jpg">

Рис. 4

Участие в цикле синтеза мочевины (орнитиновый цикл)

Аргинин является одним из ключевых метаболитов в процессах азотистого обмена (синтез мочевины).

Наземные позвоночные, в том числе человек, выделяют лишь небольшое количество аммиака.

Аммиак - очень токсичное соединение, особенное для нервных клеток. При накоплении его возникает возбуждение нервной системы. Поэтому в тканях существуют механизмы его обезвреживания. Одним из них это синтез мочевины. Она образуется в результате циклической последовательности реакций, протекающих в печени.

В прошлом веке русские ученые Ненский и Салазкин показали, что в печени происходит образование мочевины из аммиака и углекислоты. Кребс и Гензенлейт установили, что синтез мочевины представляет собой циклический процесс, в котором каталитическую роль играет орнитин. Коген и Ратнер выяснили, что начальной реакцией этого цикла является синтез карбамоилфосфата.

Этапы цикла синтеза мочевины

Атомы азота берутся из свободного аммиака и за счет дезаминирования аспартата, карбонильная группа - из гидрокарбоната.

На первм этапе из гидрокарбоната (НСО3-) и аммиака с потреблением 2 молекул АТФ образуется карбамоилфосфат. Как ангидрид это соединение обладает высоким реакционным потенциалом.


Далее под действием орнитинкарбамоилтрансферазы карбамоильная группа карбамоилфосфата переносится на α-аминокислоту орнитин, и образуется другая α-аминокислота - цитруллин


В следующей реакции аргининосукцинатсинтетаза связывает цитруллин с аспартатом и образует аргининосукцинат (аргининоянтарную кислоту). Этот фермент нуждается в ионах Mg2+. В реакции затрачивается 1 молекулу АТФ, но используется энергия двух макроэргических связей. Аспартат - источник второго атома азота мочевины


Далее фермент аргининосукцинатлиаза (аргининосукциназа) расщепляет аргининосукцинат на аргинин и фумарат, при этом аминогруппа аспартата оказывается в молекуле аргинина.


Аргинин подвергается гидролизу под действием аргиназы, при этом образуются орнитин и мочевина. Кофакторами аргиназы являются ионы Са2+ или Мn2+. Высокие концентрации орнитина и лизина, являющихся структурными аналогами аргинина, подавляют активность этого фермента.

Образующийся орнитин взаимодействует с новой молекулой карбамоилфосфата, и цикл замыкается.

Схема цикла синтеза мочевины

Рис. 5

Таким образом, аргинин является важнейшим компонентом в синтезе мочевины.

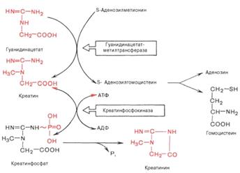
Участие в биосинтезе креатина.

Креатин - азотсодержащая карбоновая кислота <#"581107.files/image012.jpg">

-я стадия: происходит метилирование гуанидинуксусной кислоты с участием гуанидинацетат-метилтрансферазы. Донором метинильных групп является активная форма метионина - S-аденозилметионин:

Участие в синтезе оксида азота

В организме человека и млекопитающих оксид азота главным образом образуется в результате окисления гуанидиновой группы аминокислоты L-аргинина с одновременным синтезом другой аминокислоты цитруллина под влиянием фермента NO-синтазы. Фермент был назван синтазой, а не синтетазой, поскольку для его работы не требуется энергия АТФ

Рис. 6


Кроме L-аргинина NOS может использовать в качестве субстратов гомоаргинин, аргиниласпарагин, метиловый эфир аргинина, гуанидинотиолы. При недостатке субстрата в клетках или Н4Б фермент начинает восстанавливать кислород до супероксид радикала и перекиси водорода. Такие условия могут быть следствием как нарушения транспорта аминокислоты (в некоторых тканях она не синтезируется), так и недостатка в пище, поскольку синтез L-аргинина при этом в организме не увеличивается.

аргинин синтез мочевина креатин

Недостаток аргинина

Дефицит аргинина приводит к инфарктам, ослаблению организма, гипертонии, нарушению мозговой деятельности, преждевременному старению, замедлению роста детей, развитию диабета 2-го типа, при котором инсулинозависимые ткани становятся невосприимчивы к вводимому инсулину.

Содержание в продуктах питания

Аргинин встречается во многих продуктах питания, как животного, так и растительного происхождения. В таблице приведены данные по содержанию аргинина на 100 грамм продукта и указано содержание белка.

Продукт

Белок

Аргинин

А/Б

Свинина сырая

20,95 г

1394 мг

 6,7 %

Сырое куриное филе

21,23 г

1436 мг

 6,8 %

Сырое филе лосося

20,42 г

1221 мг

 6,0 %

Куриное яйцо

12,57 г

 820 мг

 6,5 %

 3,28 г

 119 мг

 3,6 %

Кедровые орехи

13,69 г

2413 мг

17,6 %

Грецкие орехи

15,23 г

2278 мг

15,0 %

Тыквенные семечки

30,23 г

5353 мг

17,7 %

Пшеничная мука г/п

13,70 г

 642 мг

 4,7 %

Кукурузная мука

 6,93 г

 345 мг

 5,0 %

Рис нешлифованный

 7,94 г

 602 мг

 7,6 %

Гречишный хлеб

13,25 г

 982 мг

 7,4 %

Горох сушеный

24,55 г

2188 мг

 8,9 %


Применение

Лекарственные средства.

Аргинин присутствует в рецептуре гепатопротекторов, иммуномодуляторов, кардиологических препаратов, лекарственных препаратов для ожоговых больных, больных ВИЧ/СПИД, а также в рецептурах средств для парентерального питания в послеоперационный период. В последнее время лекарства с аргинином появились в геронтологии и онкологии.

Проводится тестирование L-аргинина в качестве средства терапии инсультоподобных <http://ru.wikipedia.org/wiki/%D0%98%D0%BD%D1%81%D1%83%D0%BB%D1%8C%D1%82> эпизодов при митохондриальном заболевании <http://ru.wikipedia.org/wiki/%D0%9C%D0%B8%D1%82%D0%BE%D1%85%D0%BE%D0%BD%D0%B4%D1%80%D0%B8%D0%B0%D0%BB%D1%8C%D0%BD%D1%8B%D0%B5_%D0%B7%D0%B0%D0%B1%D0%BE%D0%BB%D0%B5%D0%B2%D0%B0%D0%BD%D0%B8%D1%8F> - синдроме MELAS <http://ru.wikipedia.org/wiki/%D0%A1%D0%B8%D0%BD%D0%B4%D1%80%D0%BE%D0%BC_MELAS> (Mitochondrial encephalomyopathy, lactic acidosis, and stroke-like episodes - «митохондриальная энцефаломиопатия, лактатацидоз <http://ru.wikipedia.org/wiki/%D0%9B%D0%B0%D0%BA%D1%82%D0%B0%D1%82%D0%B0%D1%86%D0%B8%D0%B4%D0%BE%D0%B7>, инсультоподобные <http://ru.wikipedia.org/wiki/%D0%98%D0%BD%D1%81%D1%83%D0%BB%D1%8C%D1%82> эпизоды»)

Пищевые добавки.

Аргинин широко рекламируется как компонент БАД <http://ru.wikipedia.org/wiki/%D0%91%D0%90%D0%94> (Биологически активные добавки <http://ru.wikipedia.org/wiki/%D0%91%D0%B8%D0%BE%D0%BB%D0%BE%D0%B3%D0%B8%D1%87%D0%B5%D1%81%D0%BA%D0%B8_%D0%B0%D0%BA%D1%82%D0%B8%D0%B2%D0%BD%D1%8B%D0%B5_%D0%B4%D0%BE%D0%B1%D0%B0%D0%B2%D0%BA%D0%B8>) для бодибилдеров <http://ru.wikipedia.org/wiki/%D0%91%D0%BE%D0%B4%D0%B8%D0%B1%D0%B8%D0%BB%D0%B4%D0%B5%D1%80> и спортсменов- тяжёлоатлетов с целью улучшения питания мышц, и пожилых людей для улучшения эректильной функции.

Список литературы

1.      А.А. Сосунов «Оксид азота как межклеточный посредник». Московский государственный университет им. Н.П. Огарева, Саранск.

2.       В.А. Володин «Энциклопедия» Москва, 2000.

.        Реутов В.П. «Цикл окиси азота в организме млекопитающих.// Успехи биол. химии. 1995. Т.35. С. 189-228.

.        Н.П. Дмитренко, Д.О. Кишко, С.Г. Шандренко «Украинский химиотерапевтический журнал» - №1-2 (22) - 2008.

.        Овчинников Ю.А. Биоорганическая химия / Ю.А. Овчинников. - М.: Просвещение, 1987.

.        Нейланд О.Я. Органическая химия.- М., 1990.

.        <http://www.xumuk.ru/>


Не нашли материал для своей работы?
Поможем написать уникальную работу
Без плагиата!
Без нейросетей!