Разработка и исследование систем многоканального полосового анализа и синтеза речевых сигналов

  • Вид работы:
    Курсовая работа (т)
  • Предмет:
    Информатика, ВТ, телекоммуникации
  • Язык:
    Русский
    ,
    Формат файла:
    MS Word
    2,24 Мб
  • Опубликовано:
    2012-10-10
Вы можете узнать стоимость помощи в написании студенческой работы.
Помощь в написании работы, которую точно примут!

Разработка и исследование систем многоканального полосового анализа и синтеза речевых сигналов














Разработка и исследование систем многоканального полосового анализа и синтеза речевых сигналов

Содержание

1.Техническое задание на курсовую работу

. Разработка индивидуального варианта технического задания на курсовую работу

. Анализ задач и методов многоканального полосового анализа и синтеза сигналов. Выбор базовых структурных схем каналов подсистем

. Разработка требований к элементам подсистем ЦОС

. Разработка и исследование цифровых фильтров

.1 Рекурсивный цифровой фильтр

.2 Нерекурсивный цифровой фильтр

. Моделирование и исследование подсистем полосового анализа и

восстановления сигналов

.2 Моделирование каналов анализа и восстановления с квадратурной обработкой

. Разработка рабочего варианта структур подсистем полосового анализа и синтеза сигналов

. Разработка структурных схем подсистем полосового анализа и синтеза сигналов и соответствующей их аппаратно-программной реализации

. Разработка граф-схем алгоритмов аппаратно-програмной реализации подсистем ГСА

. Функциональная схема ЦОС на основе ЦСП ADSP-2181

. Программирование подсистем на языке ассемблера процессора ADSP-2181

. Определение требований к процессору ЦОС

Заключение

Литература

1.Техническое задание на курсовую работу

Назначение систем многоканального полосового анализа и синтеза речевых сигналов

Разрабатываемые и исследуемые системы предназначены для построения полосных вокодеров, анализаторов и синтезаторов речи с цифровой обработкой сигналов.

Типы разрабатываемых и исследуемых подсистем многоканального полосового анализа и синтеза речевых сигналов:

·   подсистема анализа речевых сигналов на основе полосовых фильтров;

·   подсистема анализа речевых сигналов на основе квадратурной обработки;

·   подсистема восстановления (синтеза) речевых сигналов с квадратурной обработкой.

2. Разработка индивидуального варианта технического задания на курсовую работу

В курсовой работе разрабатывается и исследуется один канал многоканальной системы в соответствии с номером индивидуального варианта, совпадающий с номером канала многоканальной системы. Индивидуальный вариант технического задания (ТЗ) на курсовую работу включает следующие технические характеристики соответствующего канала системы:

Номер канала                                                     9

Центральные частоты канала:                  foi = 1900 (Гц)

Граничные частоты канала:

по уровню - 6 дБ:

fс1= 1800 (Гц)

fс2= 2000 (Гц)

по уровню - 46 дБ:

fз1= 1700 (Гц)

fз2= 2100 (Гц)

Неравномерность результирующей АЧХ системы не более 1 дБ.

Частота дискретизации:                                              fд = 9600 Гц.

3. Анализ задач и методов многоканального полосового анализа и синтеза сигналов. Выбор базовых структурных схем каналов подсистем

Общими задачами многоканального полосового анализа сигналов являются: оценка его текущего, т.е. зависящего от времени спектра (комплексного или энергетического); представление сигнала отчетами текущего спектра с целью редактирования, сжатия или низкоскоростной передачи по каналам связи; восстановления сигнала по его текущему спектру. Методы полосового анализа относятся к фильтровым методам цифрового спектрального анализа, реализуемым на основе цифровых фильтров. В системах многоканального полосового анализа кроме цифровой фильтрации используются также повышение и понижение частоты дискретизации, перенос спектров, переход от вещественных сигналов к комплексным и обратно, квадратурная обработка комплексных сигналов, детектирование сигналов.

Структуры каналов подсистем, которые подлежат моделированию

Моделируются структуры каналов анализа энергетического спектра сигналов на основе полосовых фильтров (рис.1),

Рисунок 1 - Структура каналов анализа на основе полосовых фильтров.

Структура каналов анализа амплитудного и фазового спектров сигналов на основе квадратурной обработки:

Рисунок 2 - Структура каналов анализа энергетического (амплитудного) и фазового спектров сигнала на основе квадратурной обработки.

Структура каналов восстановления сигналов по их текущему комплексному спектру:

Рисунок 3 - Структура каналов восстановления сигнала по текущему

комплексному спектру.

На приведенных схемах принимаем следующие обозначения:

ППФi - полосовой фильтр i-го канала;

ФНЧ                    - фильтр нижних частот;

СФ             - сглаживающий фильтр;

(*)2             - элемент возведения в квадрат (квадратор);

М↓ , L↑       -элементы понижения и повышения частоты дискретизации в М и L раз обычно М=L);

Х                - умножитель;

∑                - сумматор;

√                 - элемент извлечения квадратного корня;

Arctg          - элемент вычисления арктангенса;

x(nTд)         -входной анализируемый сигнал;

φ(mT’д)      -сигнал, соответствующий оценке фазового спектра анализируемого сигнала на частоте fi;

yi(nTд)        - выходной сигнал i-го канала восстановления;

4. Разработка требований к элементам подсистем ЦОС

Требования к ЦФ подсистем многоканального полосового анализа и синтеза речевых сигналов определяются значениями центральных частот каналов, граничными частотами каналов, и допустимой неравномерностью результирующей АЧХ системы,равной 1 дБ.

При этом частоты среза-задерживания ППФ fС1,2, fЗ1,2 определяются граничными частотами каналов fГ1,2(-6), fГ1,2(-40), которым соответствуют уровни ослабления АЧХ на границах полосы пропускания ап = 6 дБ и полосы задерживания аз = 46 дБ. Для ФНЧ структур полосового анализа и синтеза для сглаживающего фильтра частоты среза-задерживания находятся как fС = |fГ1,2(-6)-f0i|, fЗ = |fГ1,2(-46)-f0i| при тех же для структур уровнях ослабления на границах полос ап, аз, что и для ППФ.

Для обеспечения равномерности результирующей АЧХ всех каналов подсистемы анализа АЧХ ЦФ должны быть монотонными в полосе пропускания и полосе задерживания, а их ФЧХ близки к линейным.

Тип фильтра - полосно-пропускающий (ППФ);

Центральная частота: f0 = 1900 Гц;

Нижняя частота среза: fс1 =1800 Гц;

Верхняя частота среза: fс2 = 2000 Гц;

Нижняя частота задерживания: fз1 = 1700 Гц;

Верхняя частота задерживания: fз2 = 2100 Гц;

Допустимая неравномерность АЧХ в полосе пропускания: АП ≤ 6 дБ;

Затухание АЧХ в полосе задерживания: АЗ ≥ 46 дБ;

Частота дискретизации: fд = 9600 Гц.

Для ФНЧ структур полосового анализа и синтеза частоты среза и задерживания находим как fc = |fc1,2- f0i|, fз = |fз1,2- f0i| и ослабления на границах полос Ап≤6дБ и Аз ≥ 46дБ:

fс = |1900-1800 | = 100 Гц; з = |1900-1700 |= 200 Гц;

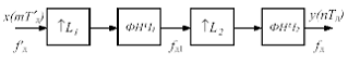
Требования к элементам повышения - понижения частоты дискретизации L и M определяются соотношением высокой fд и низкой fд’частот дискретизации сигналов, первая из которых задана, а вторая находится из условия fд’> 2fз, где fз - частота задерживания ФНЧ в структурах на рисунках 2, 3 или сглаживающего фильтра в структуре рисунках 1. Выбираемому значению fд’ должно соответствовать целочисленное значение коэффициентов понижения и повышения частоты дискретизации: М=L=fд/fд’. Отвечающие этим условиям предельные значения коэффициентов М и L составляют для систем полосового анализа сигналов и синтеза речевых сигналов: Мmax = Lmax = 24;

5. Разработка и исследование цифровых фильтров

.1 Рекурсивный цифровой фильтр

Синтез РЦФ выполняется по аналоговому фильтру прототипу нижних частот (АФПНЧ) методом билинейного преобразования. При синтезе АФПНЧ могут быть использованы аппроксимации Баттерворта, Чебышева прямая, Чебышева инверсная, Золоторева-Кауэра.

Выбираем в качестве аппроксимирующей функции из условия минимума числа звеньев - Чебышева инверсная. Порядок АФПНЧ - 5, количество базовых звеньев второго порядка - 5.

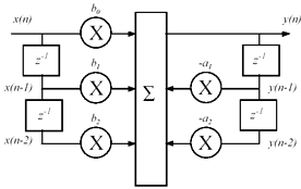
Параметры структуры РЦФ: форма реализации фильтра - каскадная, форма реализации звеньев - прямая, число разрядов дробной части коэффициентов - 15 бит, способ ограничения - округление.

Рисунок4 - Каскадная структура ЦФ

Рисунок. 5 - Структура биквадратного звена для прямой формы реализации

Коэффициенты каскадной формы реализации:

b0[1]= 1 b1[1]= -0,373440539 b2[1]= 1 a1[1]= -0,761074563 a2[1]= 0,963337285

b0[2]= 1 b1[2]= -0,891053378 b2[2]= 1 a1[2]= -0,497014531 a2[2]= 0,961560149[3]= 1 b1[3]= -0,200467826 b2[3]= 1 a1[3]= -0,509763095 a2[3]= 0,883137746[4]= 1 b1[4]= -1,02699812 b2[4]= 1 a1[4]= -0,701472442 a2[4]= 0,88706894[5]= 1 b1[5]= 0 b2[5]= -1 a1[5]= -0,592655102 a2[5]= 0,839805766

Рисунок 6 - Графики расчетных АЧХ и ФЧХ ЦФ

Рисунок 7 - График импульсной характеристики РЦФ

Расчетные максимальное и среднеквадратичноезначение шума квантования АЦП и произведений:

Рисунок 8 - Шумы квантования

Масштабные множители звеньев:

Временной ММ [01]-го звена = 0.0622641643

Временной ММ [02]-го звена = 1.74331236

Временной ММ [03]-го звена = 0.340993664

Временной ММ [04]-го звена = 0.423169037

Временной ММ [05]-го звена = 0.0911312576

Моделирование РЦФ

Выполним моделирование фильтра при отключенных эквивалентных источниках ШК АЦП и произведений.

Тип сигнала: Гармоническое колебание

Амплитуда = 1 Вольт

Частота = 1900 Гц

Начальная фаза = 0 Градусов

Рисунок 9 - Графики сигнала на входе и выходе ЦФ дляцентральной частоты полосы пропускания.

Тип сигнала: Гармоническое колебание

Амплитуда = 1 Вольт

Частота = 2100 Гц

Начальная фаза = 0 Градусов

Рисунок 10 - Графики сигнала на входе и выходе ЦФ для частоты задерживания

Синтез РЦФ типа ФНЧ

Коэффициенты РЦФ каскадной формы реализации

Количество звеньев = 4

b0[0]= 1 b1[0]= 1 b2[0]= 0 a1[0]= 0,0567701095 a2[0]= 0

b0[1]= 1 b1[1]= -0,405443509 b2[1]= 1 a1[1]= -0,722064634 a2[1]= 0,828510534[2]= 1 b1[2]= -0,153770178 b2[2]= 1 a1[2]= -0,499631609 a2[2]= 0,537030178[3]= 1 b1[3]= 0,435061529 b2[3]= 1 a1[3]= -0,230813092 a2[3]= 0,281561359[4]= 1 b1[4]= 1,38423354 b2[4]= 1 a1[4]= 0,0116991746 a2[4]= 0,0823699667

Рисунок 11 - Графики сигнала на входе и выходе ЦФ для частоты задерживания

Оценка требуемого объема вычислений на один отсчет сигнала

Согласно схеме реализации звена РЦФ (Рисунок5) количество операций сложения для одного отчёта сигнала в одном звене равно четырем, а количество операций умножения равно пяти. (Ксл=4, Кум=5).

.2 Нерекурсивный цифровой фильтр

НЦФ синтезируются методами весовых функций (ДВС), частотной выборки, ДПФ и оптимальными (численными) методами. В данной курсовой работе произведен синтез НЦФ методом весовых функций.

Обоснование выбора способа реализации НЦФ:

С учетом особенностей работы НЦФ в многоскоростных системах ЦОС, метод весовых функций обеспечивает строгую линейность ФЧХ и, следовательно, постоянство группового времени запаздывания фильтра ввиду четной или нечетной симметрии получаемой этим методом импульсной характеристики h(m)=h(N-1-m).

Вид весовой функции: ВФ Хэмминга: |d2max|» 53 дБ,D = 4; Длина ВФ 192;

Рисунок 12 - Структурная схема НЦФ на основе ДВС.

Рисунок 13 - Вид весовой функции

Импульсная характеристика

Рисунок 14 - Импульсная характеристика и АЧХ фильтра

Рисунок 15 - Масштабные множители

Рисунок 16 - Шумы квантования

Моделирование

Рисунок 17 - Графики сигнала на входе и выходе ЦФ дляцентральной частоты полосы пропускания.

Рисунок 18 - Графики сигнала на входе и выходе ЦФ для частоты задерживания

Синтез НЦФ типа ФНЧ

Рисунок19 - График ИХ НЦФ типа ФНЧ.

Рисунок 20 - График АЧХ НЦФ типа ФНЧ.

Расчет быстродействия:

Dfпер1 = fс1 - fз1 = 2100 - 2000 = 100>Dfд/Dfпер.пр = 4*9600 / 200 = 192

Операций сложения: Кум=N-1=192-1=191

Операций умножения: Ксл=N=192

Кобщ = Кум+Ксл = 191+192 = 383 операций.

Тогда требуемая скорость обработки:

v=Кобщ∙fд=383*9600=3676800 операций/сек.

6. Моделирование и исследование подсистем полосового анализа и восстановления сигналов

Для входных тестовых сигналов используются:

В качестве многочастотного группового сигнала используется гармонический сигнал с частотой 1900 Гц, в пределах полосы пропускания

6.1 Разработка и исследование подсистем полосового анализа и синтеза сигналов ЦОС РЛС

Случай нерекурсивного фильтра.

Рисунок 21 - Тестовая схема с нерекурсивным фильтром.

Рисунок 22 - Спектрограммы сигналов в контрольных точках схемы

Случай рекурсивного фильтра

Рисунок 23 - Тестовая схема с рекурсивным фильтром.

Рисунок24. Спектрограммы сигналов в контрольных точках схемы.

6.2 Моделирование каналов анализа и восстановления с квадратурной обработкой.


Рисунок 25 . Схема каналов анализа и восстановления с квадратурной обработкой с использованием нерекурсивных цифровых фильтров.

Рисунок 26. Спектрограммы гармонического сигнала и выходного восстановленного вещественного сигнала.

Рисунок 27. Осциллограммыгармонического сигнала и выходного восстановленного вещественного сигнала.

Рисунок 28. Схема каналов анализа и восстановления с квадратурной обработкой с использованием рекурсивных цифровых фильтров.

Рисунок 29. Спектрограммыгармонического сигнала и выходного восстановленного вещественного сигнала.

Рисунок 30. Осциллограммыгармонического сигнала и выходного восстановленного вещественного сигнала.

7.Разработка рабочего варианта структур подсистем полосового анализа и синтеза сигналов

Структуры подсистем полосового анализа и синтеза (восстановления) сигналов с двукратным повышением (понижением) частоты дискретизации.

В многократных восходящих (нисходящих) дискретных системах (ВДС, НДС) повышение (понижение) частоты дискретизации осуществляется поэтапно или многократно. Это возможно при значениях коэффициентов повышения (понижения) частоты дискретизации L (М), представляемых произведением Kцелых чисел: L = L1, L2, …LK.

Рисунок 31. Структурная схема двукратной ВДС.

Рисунок 32. Структурная схема двукратной НДС.

Многократное понижение (повышение) частоты дискретизации позволяет существенно снизить требования к цифровым фильтрам. Пусть L = 24, fд= 9600 Гц, Dfпер = 100Гц и используется НФ с весовой функцией Хэмминга (D = 4).

Общий объем вычислений и памяти фильтров двукратной ВДС составляетN = N1 + N2 = 160. Это примерно в 1,2 раза меньше, чем для однократной системы, где N = 192

Рисунок33. Рабочий вариант структурной схемы полосового анализа сигналов на основе квадратурной обработки.

Рисунок34. Рабочий вариант структурной схемы полосового синтеза сигналов на основе квадратурной обработки.

При разработке рабочего варианта структур полосового анализа и синтеза речевых сигналов более предпочтительно использование нерекурсивных цифровых фильтров. Это объясняется тем, что использование НЦФ значительно упрощает выбор шага дискретизации по частоте. Многоканальный анализатор спектра на основе кратковременного преобразования Фурье получается путем дискретизации сигнала в частотной области, т. е. путем разбиения полосы частот (0±ω д/2) на полосы анализа или каналы с центральными частотами ωk. Дискретизация по частотедолжна быть выполнена с шагом Δω, исключающим наложения во временной области. Наиболее просто этот вопрос решается в случае импульсных характеристик фильтров (т. е. весовых функций w(n)) конечной длины N. Так как весовая функция ограничивает текущую реализацию сигнала x(n) N отсчетами, то как и для ДПФ, шаг дискретизации по частоте должен отвечать условию: Δω ≤ ωд/N (условию теоремы отсчетов в частотной области). При таком шаге дискретизации по частоте можно точно восстановить сигнал x(n) по значениям X( jωk ,n ) . Таким образом, длина импульсной характеристики анализирующих фильтров (весовой функции w(n)) определяет и число каналов анализа спектраК, равное N в случае комплексных сигналов и N/2 - в случае вещественных.

В системах полосового анализа точность получаемых оценок зависит от степени близости частотных характеристик полосовых фильтров к идеальным, от времени усреднения (накопления) и от изменчивости спектральных характеристик сигналов во времени, т. е. степени стационарности их на интервале наблюдения.

Полосовые анализаторы спектра с квадратурной обработкой сигналов основываются на определении кратковременного преобразования Фурье. В отличие от анализаторов на основе полосовых фильтров, измеряющих только энергетические характеристики спектра, они позволяют оценить комплексную спектральную плотность сигналаи обеспечивают возможность его восстановления (синтеза) по результатам анализа и последующей обработки, в частности, в системах анализа − синтеза речевых сигналов.

Квадратурный амплитудный демодулятор (детектор), в отличие от анализаторов с неквадратурной обработкой (на основе полосовой фильтрации), не требует усредняющего или сглаживающего фильтра.

Оценка требуемого объема вычислений на один отсчет сигнала.

Требуемый объем вычислений при программной реализации цифрового фильтра в системе с однократным понижением (повышением) частоты дискретизации составляет:

Кумн= N = 192;

В системе с поэтапным понижением (повышением) частоты дискретизации:

Кслож1 = N1 - 1 = 96 - 1 = 95;

Кслож2 = N2 - 1 = 64 - 1 = 63;

Кумн1= N = 96;

Кумн2= N = 64;

Кумн= Кумн1+ Кумн2 = 160;

Кслож= Кслож1+ Кслож2 = 158;

8. Разработка структурных схем подсистем полосового анализа и синтеза сигналов соответствующих их аппаратно-програмной реализации

Реализационно система многоканального полосового анализа и синтеза сигналов содержит канал ввода анализируемого аналогового сигнала, К каналов вывода канальных сигналов подсистемы синтеза сигналов, процессор ЦОС и компьютер, управляющий системой многоканального полосового анализа и синтеза сигналов.

Рисунок 35. Общая реализационная структура системы многоканального полосового анализа и синтеза сигналов.

Рисунок36. Структура канала ввода аналоговых сигналов.

Рисунок37. Структура канала вывода аналоговых сигналов.

9. Разработка граф-схем алгоритмов аппаратно-програмной реализации подсистем полосового анализа и синтеза сигналов

Граф-схемы алгоритмов аппаратно-програмной реализации разрабатываются для одного канала каждой из систем полосового анализа и полосового синтеза сигналов в виде, достаточном для их высокоуровневого программирования.

.

Рисунок 38. ГСА реализации подсистемы полосового анализа сигналов.

10. Функциональная схема процессора ЦОС на основе ЦСП ADSP-2181

Функциональная схема процессора ЦОС содержит схему включения ЦСП (выводы и сигналы) и его сопряжение с внешней памятью, каналами ввода-вывода и управляющим компьютером, осуществляемое с помощью интерфейсных средств ЦСП и процессора ЦОС.

Рисунок40. Функциональная схема процессора ЦОС.

11. Программирование подсистем ЦОС на языке ассемблера процессора ADSP-2181

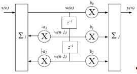
В качестве примера программирования подсистем ЦОС на языке ассемблера процессора ADSP-2181 использована программа звена рекурсивного цифрового фильтра второго порядка. В программе выполняется моделирование звена рекурсивного цифрового полосно-пропускающего фильтра Чебышева 5-го порядка. Форма реализации РЦФ - каскадная, форма реализации звена - каноническая. Исходные данные для синтеза ППФ приведены в пункте 3. Масштабные множители рассчитываются временным методом.

Рисунок 41. Структурная схема биквадратного звена для канонической формы его реализации.

Такое звено описывается двумя разностными уравнениями:

w(n) = x(n) - a1w(n - 1) - a2w(n - 2)(n) = b0w(n) + b1w(n - 1) + b2w(n -2)

Ассемблерный код звена рекурсивной фильтрации:

//                 РЕАЛИЗАЦИЯ ЗВЕНА: КАНОНИЧЕСКАЯ

//                 РЕАЛИЗАЦИЯ ФИЛЬТРА: КАСКАДНАЯ

//                 ВИД АППРОКСИМАЦИИ: ЧЕБЫШЕВА(ИНВЕРСНАЯ)   

#definen 32                                                // КОЛИЧЕСТВООТСЧЕТОВ

.section/data data1;

.VAR x_input[n] = "xin.dat";             // ВХОДНОЙМАССИВДАННЫХ

.VAR y_output[n] = "yout.dat";                  // ВЫХОДНОЙ МАССИВ ДАННЫХ

.VAR                   M=0.00979335r;           // МАСШТАБНЫЙ МНОЖИТЕЛЬ

.VAR                   A1=-0.755487421r;                 

.VAR                   A20.965079531r;            //КОЭФФИЦИЕНТЫ   

.VAR                   B0=1r;                           //РЕКУРСИВНОГО

.VAR                   B1=-0.387333867r;                  //ЗВЕНА

.VAR                   B2=1r;                                   

.VAR                   W=0x0001;                                               ////////////////////////

.VAR                   W1=0x001;                                               //ПРОГРАММНЫЕ ПЕРЕМЕННЫЕ

.VAR                   W2=0x001;                                               ////////////////////////

.section/pm interrupts;                                /*------Interrupt vector table------*/

__reset: JUMP start; nop; nop; nop;                     /* 0x0000: Reset vector*/

         RTI; nop; nop; nop;                                   /* 0x0004: IRQ2*/

         RTI; nop; nop; nop;                                   /* 0x0008: IRQL1*/

         RTI; nop; nop; nop;                                   /* 0x000C: IRQL0*/

         RTI; nop; nop; nop;                                   /* 0x0010: SPORT0 transmit*/; nop; nop; nop;                               /* 0x0014: SPORT0 receive*/

         RTI; nop; nop; nop;                                   /* 0x0018: IRQE*/

         RTI; nop; nop; nop;                                   /* 0x001C: BDMA*/

         RTI; nop; nop; nop;                                   /* 0x0020: SPORT1 transmit*/

         RTI; nop; nop; nop;                                   /* 0x0024: SPORT1 receive*/

         RTI; nop; nop; nop;                                   /* 0x0028: Timer*/

         RTI; nop; nop; nop;                                   /* 0x002C: Power down*/

.section/pmprogram;:                                                    // НАЧАЛОПРОГРАММЫ

                   I0=x_input;          M0=1; L0=0;                  // УСТАНОВКА РЕГИСТРОВ

                   I1=y_output;        M1=1; L1=0;                  //       DAG

                           

                   CNTR=n;                                         // СЧЕТЧИК ЦИКЛОВ

                  

                   MR=0x0;                                          // ОБНУЛЕНИЕ РЕГИСТРОВ

                                                                  // РЕЗУЛЬТАТА УМНОЖЕНИЯ

the_end UNTIL CE;                                             // НАЧАЛО ЦИКЛА

                  

                   MX0=DM(I0,M0); MY0=DM(M);                                 //

                   MX0=DM(A1);     MY0=DM(W1);MR=MR+MX0*MY0(SS); // РЕКУРСИВНОЙ

                   MX0=DM(A2);     MY0=DM(W2);MR=MR+MX0*MY0(SS); // ЧАСТИ

                   DM(W)=MR1;                                                     //

                  

                   MX0=DM(B0);     MY0=DM(W);      MR=MX0*MY0(SS);     // ВЫЧИСЛЕНИЕ

                   MX0=DM(B1);     MY0=DM(W1);    MR=MR+MX0*MY0(SS);      // НЕРЕКУРСИВНОЙ

                   MX0=DM(B2);     MY0=DM(W2);    MR=MR+MX0*MY0(SS);      // ЧАСТИ

                   SR=ASHIFT MR1(HI);           // КОРРЕКТИРОВКА ВЫХОДНОГО ОТСЧЕТА

                   DM(I1,M1)=SR1;                    // ЗАПИСЬ ВЫХОДНОГО ОТСЧЕТА В ВЫХОДНОЙ МАССИВ

                           

                   MX0=DM(W1);DM(W2)=MX0;        MX0=DM(W);DM(W1)=MX0; // СДВИГ ПЕРЕМЕННЫХ

                            _end: NOP;                                                                   // КОНЕЦЦИКЛА;                                       // low-powerstate, waitingforinterrupts.

12. Определение требований к процессору ЦОС

Требуемая скорость обработки (быстродействие) процессора ЦОС определяется числом операций (сложения, умножения и пересылки), которые он должен выполнить за один период дискретизации, отнесенный к значению периода дискретизации. Учитывая, что современные ЦСП выполняют базовую операцию сложения - вычитания за один командный цикл, а число операций пересылки операндов взято равным 25% от общего числа базовых операций, в случае многократной НДС получаем:

Кумн1= 96; Кслож1 = 95;

Кпер1 = 0,25* ( Кумн1 + Кслож1 )= 48;

fд1 =1600

Кумн2= 64; Кслож2 = 63;

Кпер2 = 0,25* ( Кумн2 + Кслож2 )= 31;

fд2 = 400;

Vобр= Vобр1+ Vобр2 = ( Кумн1+ Кслож1 + Кпер1 ) * fд1 + ( Кумн2 + Кслож2 + Кпер2 ) * fд2Vобр= 382400 + 63200 = 445600 оп/с.

В случае многократной ВДС:

Vобр2 = 445600оп/с.

Суммарная скорость обработки восходящей и нисходящей дискретных систем при квадратурной обработке:

Vобр= VобрI+ VобрII= 891200 оп/с;

Так как рассматриваемая система МКЧТ является многоканальной, то необходимо полученное значение умножить на число каналов в системе:

Vобр= 16* 891200 =14 259 200оп/с;

Исходя из полученного значения, можно сделать вывод, что для реализации подсистем полосового анализа и полосового синтеза достаточно одного процессора ADSP-2181 с быстродействием 33*106 оп/с.

Требования к разрядности процессора ЦОС, определяемые необходимой точностью обработки равны выбранной разрядности произведений и сумматоров при синтезе ЦФ и составляет 16 бит.

Требуемый объем сигнальной памяти и памяти коэффициентов включает сигнальную память (отсчеты сигналов) w(n-1), w(n-2) и память коэффициентов фильтра x(n-1),…x(n-N-1), h(n). Кроме того в подсистемах с квадратурной обработкой для хранения сигналов синус - косинусных генераторов необходимы дополнительные ячейки памяти.

Исходя из вышеперечисленного, требуемый объем сигнальной памяти и памяти коэффициентов будет составлять 192 ячеек памяти коэффициентов.

Заключение

многоканальный речевой сигнал фильтр

В ходе выполнения курсовой работы был разработан и исследован один канал подсистемы анализа сигналов на основе полосовых фильтров и на основе квадратурной обработки.

По результатам расчетов можно сказать, что наиболее оптимальной для анализа является схема на основе квадратурной обработки. Она обладает рядом преимуществ:

1 создает меньшие частотные искажения, так как частотные характеристики вещественных ФНЧ строго симметричны относительно нулевой частоты;

2        при меньшем объеме обработки позволяет анализировать одновременно амплитудный и фазовый спектры;

         не имеет ограничений на значения полос каналов и их центральных частот;

         исключается влияние неизвестной начальной фазы несущей входного сигнала;

Подсистемы на полосовых фильтрах выполнены с использованием РЦФ и НЦФ. Отличие НЦФ от РЦФ в том, что они позволяют получить линейность ФЧХ, имеют конечную длительность переходных процессов. Применение многократно понижающих систем в НЦФ позволяет уменьшить число операций сложения и умножения.

Были изучены принципы организации и программирования цифровых сигнальных процессоров (ЦСП).

Производилось разработка программ ЦОС на языке ассемблера ЦСП.

Система реализована на одном сигнальном процессоре типа ADSP-2181.

Список литературы

1.       Глинченко А.С. Цифровая обработка сигналов: Учеб.пособие: В 2 ч. Ч. 1. Красноярск, ИПЦ КГТУ, 2005.-482с.

.        Глинченко А.С., Голенок А.И. Принципы организации и программирования сигнальных процессоров ADSP-21хх: Учебно-методическое пособие: Красноярск, ИПЦ КГТУ, 2000.-88с.

.        Глинченко А.С. Цифровая обработка сигналов: расчетно-лабораторный практикум. Красноярск: КГТУ, 1996 .-78с

Похожие работы на - Разработка и исследование систем многоканального полосового анализа и синтеза речевых сигналов

 

Не нашли материал для своей работы?
Поможем написать уникальную работу
Без плагиата!
Без нейросетей!