Состояние и перспективы развития ресторанного и гостиничного бизнеса в современном мире и в Республике Беларусь
МИНИСТЕРСТВО
ОБРАЗОВАНИЯ РЕСПУБЛИКИ БЕЛАРУСЬ
УЧРЕЖДЕНИЕ
ОБРАЗОВАНИЯ
«ГОМЕЛЬСКИЙ
ГОСУДАРСТВЕННЫЙ ТЕХНИЧЕСКИЙ УНИВЕРСИТЕТ ИМ. П.О. СУХОГО»
КАФЕДРА
«Маркетинг»
Курсовая
работа по курсу «Маркетинг»
На тему:
«Состояние и
перспективы развития ресторанного и гостиничного бизнеса в современном мире и в
Республике Беларусь»
Выполнила
студентка гр. МГ-32
Чернобаева А.А (4.01.2013 )
Проверил ст. преподаватель
Овсянникова А.А
Гомель 2012
ОГЛАВЛЕНИЕ
Введение
Глава 1. Исследование состояния
рынка туристических услуг
.1 Тенденции развития рынка
ресторанных услуг
.2 Основные факторы макросреды
.2.1 Демографические факторы
макросреды
.2.2 Экономические факторы
макросреды
.2.3 Научно-технические факторы
макросреды
.2.4 Культурная среда
.2.5 Природная среда
.2.6 Политическая среда
.3 Корреляционно-регрессионный
анализ влияния факторов маркетинговой среды на ресторанную деятельность
Глава 2. Анализ потребителей и
качества предлагаемых услуг
.1 Анализ потребителей
.2 Анализ качества услуг
Глава 3. Условия по усовершенствованию
ресторанных услуг
.1 Услуга «Тюремное кафе»
.2 Внедрение информационных киосков
в кафе и рестораны
.3 Создание сайта
Заключение
Список использованных источников
Приложения
Введение
Предприятия ресторанно - гостиничного бизнеса и
туризма являются важной составляющей сферы услуг, которая динамично
развивается, усиливает свою роль и значение в производстве валового внутреннего
продукта страны и в решении социальных проблем общества. В свою очередь
предприятия общественного питания, гостиницы, турфирмы являются одними из самых
перспективных, быстроразвивающихся отраслей сферы услуг. Поэтому понимание
экономической природы данных предприятий, сущности и особенностей производимых
ими продуктов и услуг исключительно важны управления этими предприятиями.
Ресторанный бизнес
подразумевает под собой комплекс знаний, необходимых для проектирования,
организации и ведения ресторанного бизнеса, а также основные принципы и методы
этой деятельности. В курс входит изучение различных концепций и критериев обеспечения
рентабельности ресторанов, планировка подсобных и основных помещений, дизайн,
эргономика и оборудование залов и управление персоналом.
Более того, ресторанный бизнес
включает в себя исследование законодательной базы, технологических процессов,
этикет и имидж обслуживающего персонала, работы с кассовыми аппаратами и других
сфер, необходимых для эффективного ведения ресторанного бизнеса.
Объективная и грамотная оценка ресторанного
бизнеса, так же и гостиничного, имеет главное значение в процессе выгодной и
скорой продажи.
Оценка ресторанного бизнеса предусматривает
изучение ряда факторов, влияющих на возможность получения дохода. Это
местоположение, занимаемая площадь, количество посадочных мест, качество
предоставляемых услуг, популярность ресторана. Оценка ресторана также во многом
зависит от времени года.
Рестораны играют важную роль в жизни
человеческого общества. «Выход» в ресторан выполняет важную социальную функцию.
Люди нуждаются не только в насыщении, но и общении друг с другом. Рестораны -
это одно из немногих мест на земле, где работают все наши органы чувств,
генерируя общее ощущение удовольствия. Вкусовые, зрительные, слуховые,
тактильные и обонятельные ощущения объединяются, чтобы оценить пищу,
обслуживание и саму атмосферу ресторана.
Актуальность выбранной темы обусловлена
необходимостью тщательного изучения деятельности ресторанного и гостиничного
бизнеса. От того, насколько своевременно производится изменение и
совершенствование процесса организации деятельности предприятия зависит и эффективность
работы ресторана в целом.
Целью работы является проведение исследования
состояния рынка ресторанных услуг Республики Беларусь.
Предметом исследования является рынок
ресторанных услуг Республики Беларусь.
Объектом -жители Республики Беларусь.
Данная курсовая работа состоит из следующих
частей: введение, три главы, заключение, список использованных источников,
приложения.
В первой главе рассматривается основная
информация о развитии ресторанного бизнеса в Республике Беларусь.
Во второй главе проводится анализ потребителей и
качества услуг.
В третьей главе разработаны новые услуги для
развития рынка ресторанных услуг.
В заключении сформированы основные выводы данной
работы.
Для написания курсовой работы были использованы
учебные пособия, журналы, интернет- источники ,благодаря которым были
рассмотрены многие аспекты данной работы.
Глава
1. Исследование состояния рынка туристических услуг
1.1 Тенденции
развития ресторанного рынка
Рестораны играют важную роль в жизни
человеческого общества. “Выход” в ресторан выполняет важную социальную функцию.
Люди нуждаются не только в насыщении, но и общении друг с другом. Рестораны -
это одно из немногих мест на земле, де работают все наши органы чувств,
генерируя общее ощущение удовольствия. Вкусовые, зрительные, слуховые,
тактильные и обонятельные ощущения объединяются, чтобы оценить пищу,
обслуживание и саму атмосферу ресторана.
Успешная работа ресторана зависит от многих
факторов. Как и всякая сложная система, ресторан начинается с замысла его
создателя и заканчивается контролем и его функционированием.
Сегодня ресторанный бизнес Беларуси в своем
развитии следует мировым тенденциям. При этом существует и своя специфика,
сложившаяся в силу различных факторов и характерная лишь для белорусских
реалий.
Потребность со стороны населения в новых барах,
кафе, ресторанах в нынешних экономических условиях есть, причем не только в
новых заведениях с оригинальной концепцией, но и в качестве тех, что уже
существуют. Теперь, когда люди поездили по миру, знают цену деньгам, они
гораздо более требовательны к тому, как и в каком интерьере их обслуживают, чем
кормят. Заведения среднего сегмента по-прежнему остаются самыми посещаемыми, но
само понятие «недорогого» места стало более размытым. Средний счет в столичных
ресторанах составляет 10-15 долларов на человека. Но в других странах дешевле.
Во-первых - конкуренция. В любом учебнике по экономике будет написано, что
конкуренция выступает как сдерживающий фактор в вопросе цены. Во-вторых -
свободное ценообразование. Владелец ресторана сам решает, по какой цене
продавать блюдо. Оптимальные цены формируются рынком, а не административным
аппаратом, как у нас.
Следует отметить, однако, что новые проекты,
которые сейчас запускаются либо уже запущены, не всегда достигают успеха.
Зачастую, несмотря на количество посетителей, рестораны становятся
нерентабельными, так как затраты на аренду и заработную плату велики, а
регулировать свой доход ресторан не в состоянии. А не в состоянии он в силу
ограничений, которые присутствуют в ценообразовании. В последнее время было
сделано несколько позитивных шагов, направленных на улучшение ситуации, однако
не все рестораторы и не всегда пользуются преимуществами, открывшимися перед
ними. Прежде всего, это происходит из-за боязни ошибки и существующих стереотипов.
К сожалению, к 127-му Указу Президента о свободном ценообразовании в ресторанах
с 1-й и высшей наценочной категорией не существует комментариев, в связи с чем,
бухгалтеры опасаются применять нововведения.
На сегодняшний момент в Минске и Минской области
в ресторанном бизнесе чувствуется оживление: открываются новые предприятия
общественного питания.
Организовать ресторанный бизнес в регионах легче
в Минске, т.к. в городах с населением до 100 тысяч человек для владельцев
заведений общепита предусмотрена упрощенная система налогообложения, отсрочка
платежей по земельному налогу, льготы по кредитованию и прочие преференции.
Органы городского управления более лояльно настроены к потенциальным
рестораторам. В столице все намного сложнее. Открыть маленький семейный
ресторан в Минске человеку без связей, даже если он располагает необходимой
суммой денег, практически невозможно. Слишком жесткие требования.
И если начало 2009 года характеризовалось
затишьем в данном сегменте, то уже с осени 2009 года наблюдалось некое
оживление. Это было связано с тем, что кризис постепенно пошел на спад, и,
несмотря на оставшиеся проблемы в экономике, стало понятно, что необходимо
заканчивать начатые проекты, развиваться и укреплять свои позиции на рынке.
Часть предприятий закрылась, не пережив тяжелые времена, на их места пришли
новые инвесторы. Соответственно новые владельцы начали делать ребрендинг и
рестайлинг своих заведений. Таким образом, появилась потребность и в замене
технологического оборудования.
В настоящий момент в Беларуси активно
развивается сегмент недорогого питания, представленный ресторанами быстрого
обслуживания и ресторанами “free-flow” . Данная тенденция видится достаточно
перспективной на нашем рынке.
Что касается классических гастрономических
ресторанов, которые имеют ограниченный круг клиентов, то таких ресторанов
достаточно открывать 1-2 в год. Необходимо отметить, что в последнее время
приостановили свое развитие сетевые проекты. В основном, все открывшиеся либо
открывающиеся предприятия - это совершенно новые, уникальные заведения, с
неизвестными названиями, с новыми учредителями, ранее не занимавшимися
ресторанным бизнесом.
Все мы видим, какими бурными темпами развивается
ресторанный бизнес в России и Украине, смотря на это, многие думают о сверхприбыльности
данного бизнеса и испытывают большое желание реализовать себя в этом сегменте
рынка в качестве ресторатора. Понимая, что в Беларуси есть «не паханное поле»
для его развития. Так появляется идея - а почему бы мне не попробовать! Почему
бы не вложить деньги в столь успешный бизнес.
Как правило, чужой отрицательный опыт плохо
анализируется и не принимается к вниманию. Всегда начиная новое дело, кажется,
что все получиться и дела пойдут лучше, чем у конкурентов. Оптимизм - нужная
черта в характере ресторатора, но нельзя обходиться без здравого анализа и
изучения чужого опыта!
Любой ресторатор, начинающий заниматься
ресторанным бизнесом желает видеть его успешным - прибыльным. Существующий опыт
работы в ресторанном бизнесе позволяет вывести универсальную формулу успеха
любого ресторана:
КОНЦЕПЦИЯ + МЕСТОРАСПОЛОЖЕНИЕ + ПЕРСОНАЛ = УСПЕХ
Настоящий успех возможен только при полном учете
и взаимосвязи каждого фактора КМП (концепция+месторасположение+персонал).
Увеличение значимости одного фактора над другим может, как улучшить, так и
усложнить положение ресторана. Отдавая предпочтение развитию только одного
фактора, мы можем, в конечном случае, потерпеть фиаско. В тоже время, контроль
и развитие более сильного фактора нивелирует не возможность полностью реализовать
в данных условиях другие факторы.
КОНЦЕПЦИЯ - идея, формат заведения, дизайн,
меню, цены, особенности обслуживания, применение VOW-фактора.
МЕСТОРАСПОЛОЖЕНИЕ - территория расположения
вашего ресторана, она может быть как изначально выигрышной, так и
проблематичной.
ПЕРСОНАЛ - как руководящий, так и рядовой, то
ключевое звено, которое может Вас как обогатить, так и разорить полностью, как
в прямом, так и переносном смысле.
Безусловно, при удачном расположении ресторана,
центр города, ключевые улицы, можно надеяться на благоприятный успех Вашего
бизнеса. Но не всегда это так, если не создать грамотно концепцию и не
контролировать персонал, то ваш ресторан обречен. Мы имеем массу примеров из
опыта работы центральных ресторанов г.Минска.
В тоже время, хорошо проработанная концепция и
продуманный формат ресторана, раскрученность бренда, может заставить гостей
поехать к Вам в ресторан не зависимо от его месторасположения. Формат ресторана
надо тщательно продумывать исходя из особенностей месторасположения. Так как,
одна концепция подойдет в этом месте, а другая - нет. Нельзя делать дорогой
ресторан в спальных районах (даже если это богатый район) или по соседству с
дешевыми ресторанами. Как и нельзя делать ресторан классического обслуживания
на футкортах, в торговых центрах, среди фаст-фудов. Это заранее проигрышные
варианты.
Но самым важным, я считаю - это персонал. Это та
основа, на профессионализме которой Ваш ресторан может либо бурно процветать
или вяло прозябать до дня своего закрытия. Именно персонал создает ту атмосферу
ресторана, которая нравиться гостям, ради которой они приходят снова и снова.
Часто при смене персонала исчезают постоянные гости - самые дорогие гости
ресторана, связано это с тем, что пропадает та таинственная атмосфера комфорта
и общения.
Проблема профессиональных кадров у нас только
назревает, в других близ расположенных странах она уже давно назрела, что сразу
же сказалось на оттоке профессионалов из нашей страны. Основные причины
недовольства работой - это отсутствие возможности самореализации, карьерного
роста, атмосфера в коллективе и только затем - неудовлетворение зарплатой. Не
маловажным фактором является то, что компания вкладывает в развитие персонала -
это проведение тренингов и специализированного обучения, в создание нормальных
условий для работы и отдыха - проведение корпоративных мероприятий,
мотивирование персонала, создание комфортной рабочей обстановки, ведь
руководство задает тон работы, а персонал создает атмосферу для гостей.
Прошлый год стал предвестником серьезных
изменений на ресторанном рынке страны. Появились новые бизнесы, новые форматы,
новые бренды, активизировался процесс концентрации бизнеса. Международным
экспертам, составляющим отчеты по экономическому развитию Беларуси, следует
обратить внимание на такой сегмент белорусской экономики, как ресторанный
бизнес. По многим параметрам и именно с точки зрения западных бизнес-стандартов
это самая «живая» в белорусской экономике отрасль, которая может придать
административной гримасе нашей системы хоть какой-то цивилизованный вид.
Живость выражается во-первых, в достаточно
интенсивной и свободной (конечно, по белорусским меркам) динамике движения
собственности. На протяжении 15 лет, в течение которых, собственно, можно и
нужно говорить о существовании белорусского ресторанного бизнеса, в этом
сегменте пробовали силы многие бизнесмены. Рынок постоянно находится в
движении, совершается масса сделок купли-продажи. У некоторых объектов за 15
лет сменилось по три владельца, что, кстати, соответствует срокам окупаемости белорусских
ресторанов. Дело в том, что в среднем, по оценкам экспертов «Ежедневника»,
ресторан в Беларуси начинает возвращать деньги через 5 лет, а дальше требуется
проводить или его ремонт, или рестайлинг, или ребрендинг, опять инвестировать и
опять ожидать возврата вложенных ресурсов. Не все готовы повторить этот круг,
что приводит к достаточно интенсивной ротации бизнесменов в этой сфере. Но зато
те, кто остается, - это профессионалы, инвестирующие в новые проекты и, что
главное для динамики на рынке, готовые экспериментировать и рисковать.
Во-вторых, дополнительную динамику, по крайней
мере столичному ресторанному рынку, придает внимание к этой сфере иностранных
инвесторов. Так, в топ-10 самых успешных ресторанных бизнесов Беларуси.
«Засилье» иностранцев в этой сфере вызывает критику со стороны национальных
предпринимательских объединений. С ней можно и соглашаться, и не соглашаться.
Иностранный капитал в белорусском ресторанном бизнесе довольно пестр по своему
происхождению и поэтому бросается в глаза: россияне, литовцы, латыши, ливанцы,
болгары, есть даже тибетцы. Рассказывают, что одного иностранного инвестора
чиновники сами попросили взять в директора лицо славянской наружности, дабы
лишний раз не раздражать кого-то. Кого, не знаем. Впрочем, зарубежные инвесторы
(в основном арабского и турецкого происхождения) контролируют или имеют паи в
ряде белорусских заведений общепита и неофициально.
Ресторанов в Беларуси не хватает, как не хватает
и конкуренции, которая, как известно, создает предпосылки для качественного
роста рынка. Национальному бизнесу порой недостает не только ресурсов,
например, на приобретение и обслуживание тех же франшиз, но и профессиональных
навыков.
Можно ожидать, что в перспективе нескольких
ближайших лет рестораны будут очень популярны в Беларуси. Безусловно,
определенный импульс к развитию данный сегмент получил в связи с введением
запрета на распитие спиртных напитков в феврале 2010 года. Однако есть и другая
предпосылка, заключающаяся в сути белорусской кухни. Традиционная белорусская
кухня связана с употреблением мяса, она все-таки преимущественно мясная, а
употребление пива с мясом довольно гармонично. На примере Чехии и Германии,
национальная кухня которых пусть и отличается, но все-таки имеет схожие черты с
белорусской, мы можем видеть развитую культуру потребления .
Рестораны, которые можно назвать casual
(«кэжуал») или иначе - ресторанами семейного типа, очень хорошо ретируются на
рынке. Такая концепция предполагает место, куда мы ожидаем привлекать
посетителей не только в пятницу и в субботу, но и в другие дни. Круг таких
людей больше, чем тех, кто готов много платить.
С точки зрения инвестиций, такой ресторан
требует значительно меньше вложений в интерьер и оборудование, чем, к примеру,
гастрономический ресторан, заведение фаст-фуда или придорожного сервиса.
Вероятность успеха семенных ресторанов высока,
так как люди в Беларуси любят отдыхать, пить и вкусно поесть.
Напоследок я бы хотела отметить, что на
сегодняшний момент недостаточное развитие получили такие типы заведений как
кофейня, десертная и кафе-мороженое.
Такие предприятия общепита не сложны по
инвестициям, однако чтобы обеспечить посещаемость, необходимо выбирать
проходное место. В таких заведениях посетителю можно предложить отведать
хорошие десерты, коктейли или кофейные напитки.
Ресторанный бизнес в Беларуси имеет хорошие
перспективы для развития, необходимо лишь грамотно подходить к выбору концепции
и разработке бизнес-плана.
1.2
Основные факторы макросреды
Макросреда - это совокупность факторов, на
которые руководство предприятия повлиять не может и должно учитывать для того,
чтобы устанавливать и поддерживать с клиентами отношения сотрудничества.
Макросреда включает следующие основные элементы:
демографическая среда, экономическая среда, культурная среда, природная среда,
политическая среда, научно-техническая среда;
1.2.1 Демографическаие
факторы среды
Таблица 1.2 - Демографические показатели
|
Годы
|
2002
|
2003
|
2004
|
2005
|
2006
|
2007
|
2008
|
2009
|
2010
|
2011
|
|
1
|
2
|
3
|
4
|
5
|
6
|
7
|
8
|
9
|
10
|
11
|
|
Все
население, тыс.чел.
|
9900
|
9830
|
9762
|
9697
|
9630
|
9579
|
9542
|
9513
|
9500
|
9481
|
|
Родилось
Тыс.чел
|
9,0
|
9,0
|
9,1
|
9,4
|
10,1
|
10,8
|
11,3
|
11,5
|
11,4
|
11,5
|
|
Умерло,
тыс.чел.
|
14,9
|
14,6
|
14,4
|
14,7
|
14,4
|
13,9
|
14,1
|
14,2
|
14,4
|
14,3
|
|
Естественная
убыль, тыс.чел.
|
57,9
|
54,7
|
51,1
|
51,4
|
41,7
|
29,4
|
26,0
|
25,8
|
29,1
|
25,9
|
|
Прибыло
в РБ, Тыс.чел.
|
217,3
|
225,9
|
231,2
|
238,3
|
239,8
|
238,5
|
236,6
|
265
|
229
|
213
|
Источник:[13]
За последние 10 лет в Республике Беларусь
наблюдается снижение численности населения, но увеличение рождаемости,
миграционные процессы и сокращение уровня смертности замедляют этот процесс.
Максимальные количество населения было в 2002 году, когда за год убыль
населения республики составила почти 55 тыс. человек. Естественный прирост
населения является одним из компонентов динамики численности населения. Он
служит результирующим параметром естественного движения населения. Абсолютная
величина естественного прироста позволяет судить лишь о масштабах естественного
прироста или убыли населения, о том, насколько численность населения
увеличивается или уменьшается за счет разности между числами родившихся и
умерших.
Можно отметить, что наибольшая цифра смертности
зафиксирована в 2002 году и с каждым годом она, то уменьшается, то
увеличивается, то время как рождаемость значительно увеличивается.
1.2.1 1.2.2 Экономические
факторы среды
Таблица 1.3 - Экономические показатели
|
Годы
|
2002
|
2003
|
2004
|
2005
|
2006
|
2007
|
2008
|
2009
|
2010
|
2011
|
|
1
|
2
|
3
|
4
|
5
|
6
|
7
|
8
|
9
|
10
|
11
|
|
Денежные
доход населения млн. руб.
|
22795
|
27891
|
32492
|
38622
|
49673
|
63582
|
75305
|
87401
|
108468
|
120482
|
|
Денежные
расходы населения млрд. руб.
|
22457
|
27138
|
32257
|
38284
|
49143
|
63092
|
75049
|
87192
|
105021
|
120131
|
|
Общий
объем платных услуг населению, млрд. руб.
|
633
|
3705
|
5143
|
6776
|
8175
|
10479
|
12608
|
14223
|
15691
|
17013
|
|
Инфляция,
в %
|
34,8
|
25,4
|
14,3
|
8,0
|
6,6
|
12,1
|
13,4
|
10,1
|
9,9
|
109
|
Источник:[13]
Доходы населения с каждым годом увеличиваются и
соответственно увеличиваются и расходы населения. Так как существует
взаимосвязь между тем, что чем больше доход, тем больше нужд появляется у
населения и, следовательно, увеличиваются расходы. Значит, если увеличиваются
доходы населения, то и вероятность посещения ресторана увеличивается. И так с
2002 года до 2011 года доход стал больше приблизительно в 5,5 раза, и расходы
населения увеличились чуть больше чем в 5 раз. Из таблицы видно, что количество
платных услуг, которые оказываются на территории нашей станы, с каждым годом
растёт очень быстрыми темпами.
1.2.1 1.2.3 Научно технические
факторы среды
Таблица 1.4 - Основные факторы
научно-технической среды
|
Показатели
|
2002
|
2003
|
2004
|
2005
|
2006
|
2007
|
2008
|
2009
|
2010
|
2011
|
|
1
|
2
|
3
|
4
|
5
|
6
|
7
|
8
|
9
|
10
|
11
|
|
1.Число
организаций, выполняющих научные исследован, разработки, единиц
|
287
|
301
|
311
|
322
|
338
|
340
|
329
|
446
|
468
|
498
|
|
2.Численностьперсонала,
занятого научными исследованиями и разработками, человек
|
26987
|
28532
|
29875
|
30222
|
30544
|
31294
|
31473
|
32441
|
31712
|
32098
|
|
3.
Выполненный объем работ, млн. руб.
|
783453
|
809635
|
831344
|
832670
|
833742
|
1017051
|
1252474
|
1162788
|
142796
|
1563452
|
|
4.Внутренние
затраты на научные исследования и разработки, млрд. руб.
|
213,1
|
342,6
|
402,2
|
441,5
|
523,7
|
934,8
|
962,4
|
883,3
|
1140,6
|
1234,6
|
|
5.Количество
инновационно-активных организаций, единиц
|
178
|
190
|
253
|
318
|
378
|
380
|
371
|
234
|
324
|
378
|
Источник: [13]
Как видно из таблицы, все проанализированные
показатели растут. Это указывает на явный рост научно-технического потенциала
нашей страны. А стабильное научно-техническое развитие всегда способствует
развитию экономики, в т.ч. развитию сферы ресторанных услуг.
1.2.4 Культурная
среда
Таблица 1.5 - Показатели культурной среды
|
Годы
|
Численность
иностранных туристов, посетивших Республику Беларусь
|
|
Всего
|
в
том числе из
|
|
|
Иностранных
государств
|
Стран
СНГ
|
|
2002
|
63
484
|
55
177
|
8
307
|
|
2003
|
64
289
|
56
600
|
7
689
|
|
2004
|
67
517
|
54
505
|
13
012
|
|
2005
|
90
811
|
61
980
|
28
831
|
|
2006
|
89
524
|
62
790
|
|
2007
|
105
410
|
66
523
|
38
887
|
|
2008
|
91
587
|
38
715
|
52
872
|
|
2009
|
95
463
|
35
580
|
59
883
|
|
2010
|
120
073
|
36
641
|
83
432
|
Источник:[13]
Таблица 1.6 - Субъекты малого
предпринимательства
|
субъекты
малого предпринимательства
|
2002
|
2003
|
2004
|
2005
|
2006
|
2007
|
2008
|
2009
|
2010
|
2011
|
|
1
|
2
|
3
|
4
|
5
|
6
|
7
|
8
|
9
|
10
|
11
|
|
Гостиницы
и рестораны
|
-
|
-
|
-
|
-
|
672
|
993
|
1243
|
1772
|
1948
|
2123
|
|
транспорт
и связь
|
-
|
-
|
-
|
-
|
2466
|
4731
|
6654
|
7380
|
7825
|
8147
|
|
операции
с недвижимым имуществом
|
-
|
-
|
-
|
-
|
4130
|
5418
|
6647
|
8161
|
9520
|
10625
|
|
Пассажирооборот
всех видов транспорта
|
29281
|
28165
|
28171
|
24354
|
24108
|
23906
|
21620
|
19818
|
23416
|
23585
|
Источник:[13]
Таблица показывает статистику посещения
иностранными туристами Республики Беларусь и направление туристов за рубеж. По
этим данным прослеживается то, что до 2007 года численность иностранных
туристов, посетивших Республику Беларусь, стабильно росло, потом упало, и к
2010 годы вновь возросло. И, в общем, за 10 лет число туристов, посетивших
Беларусь, увеличило почти в два раза.
До 2007 года большая часть посетителей приезжала
из иностранных государств, а, начиная с 2008, ситуация поменялась и более
многочисленными стали посетители со стран СНГ.
Касательно выезда туристов РБ за рубеж можно
сказать, что с каждым годом количество белорусов, посещающих иностранные
государства, снижается, в частности в страны СНГ.
Сложившаяся ситуация может послужить хорошим
стартом для развития ресторанного бизнеса , и раз есть такая возможность, то
необходимо более тщательное исследования и проведение различных мероприятий,
повышающих интерес к национальным достопримечательностям.
1.2.5 Природная
среда
Таблица 1.7 - Показатели природной среды
|
Годы
|
2002
|
2003
|
2004
|
2005
|
2006
|
2007
|
2008
|
2009
|
2010
|
2011
|
|
1
|
2
|
3
|
4
|
5
|
6
|
7
|
8
|
9
|
10
|
11
|
|
Число заповедников
|
2
|
2
|
2
|
2
|
2
|
2
|
2
|
2
|
2
|
2
|
|
Число национальных парков
|
4
|
4
|
4
|
4
|
4
|
4
|
4
|
4
|
4
|
4
|
|
Выбросы загрязняющих веществ в атмосферный воздух всего, тыс.
тонн
|
379,2
|
371,8
|
415,3
|
403,7
|
423,3
|
408,2
|
397
|
457,2
|
377,1
|
370,9
|
|
Совокупные расходы на охрану окружающей среды, млрд.
|
374
|
578
|
786
|
967
|
914
|
1253
|
1519
|
1744
|
2002
|
3485
|
Источник:[13]
Из таблицы видно, что выбросы загрязняющих
веществ в атмосферный воздух с каждым годом уменьшатся. И уровень загрязнения
на 2011 году, хоть и незначительно, но уменьшилось даже по сравнению с 2002
годом. Также хорошо видно, что расходы на охрану окружающей среды увеличивается
большими темпами. Улучшения окружающей среды может оказать хорошее влияние на
ресторанный бизнес.
1.2.6 Политическая
среда
Соответствие международным и национальным
стандартам качества:
ГОСТ РБ 50690-2000 « Туристские услуги. Общие
требования ».
ГОСТ Р 51074-97 Продукты пищевые. Информация для
потребителя. Общие требования.
ГОСТ 30602-97/ГОСТ Р 50647-94 Общественное
питание. Термины и определения.
ГОСТ РБ 50645-94 «Туристско-экскурсионное
обслуживание / Классификация гостиниц»
СанПиН 42-123-4117-86 Санитарные правила. Условия,
сроки хранения особо скоропортящихся продуктов
СанПиН 2.3.2.560-96 Гигиенические требования к
качеству и безопасности продовольственного сырья и пищевых продуктов.[5].
1.3
Корреляционно-регрессионный анализ влияния факторов маркетинговой среды на деятельность
отрасли
Для проведения корреляционно-регрессионного
анализа сформируем ряд из 10 показателей внешней среды за десять лет
результирующего показателя деятельности отрасли (прибыль отрасли). Исходные
данные для корреляционного анализа представлены в пункте 1.1.1.
На основе имеющихся данных определим линейный
коэффициент корреляции с помощью пакета АНАЛИЗ ДАННЫХ - корреляция MS Excel.
Показатели тесноты связи, исчисленные по данным
сравнительно небольшой статистической совокупности, могут искажаться действием
случайных причин. Это вызывает необходимость проверки их существенности.
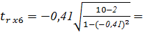
Для оценки значимости коэффициента корреляции
применяется t-критерий Стьюдента. Коэффициент детерминации рассчитывается как
квадрат коэффициента корреляции. Он показывает, на сколько процентов изменение
результата (в нашем случае прибыли) объясняется изменением данного фактора. Все
расчёты представлены в ПРИЛОЖЕНИИ А. Результаты корреляционного анализа
представлены в таблице 1.8.
Таблица 1.8 - Результаты
корреляционного анализа
|
Показатель
|
Коэффициент
корреляции, r
|
Показатель
t-статистики
|
Коэффициент
детерминации, R2
|
Теснота
и направление связи
|
|
1
|
2
|
3
|
4
|
5
|
|
Всего
население Беларуси (Х1)
|
-0,73
|
-3,1
|
0,55
|
Обратная,
очень высокая
|
|
Прибывшие
в Беларусь (Х2)
|
-0,22
|
-0,6
|
0,048
|
Обратная,
заметная
|
|
Затраты
на рекламу (Х3)
|
0,90
|
6,2
|
0,83
|
Прямая,
очень высокая
|
|
Денежные
доходы населения (Х4)
|
0,88
|
5,5
|
0,79
|
Прямая,
очень высокая
|
|
Приобретение
новых технологий (Х5)
|
-0,03
|
-0,1
|
0,0009
|
Обратная,
слабая
|
|
Инфляция
% (Х6)
|
-0,41
|
-1,3
|
0,17
|
Обратная,
очень высокая
|
|
Субъекты
малого предпринимательства (Х7)
|
0,86
|
4,9
|
0,76
|
Прямая,
очень высокая
|
|
Число
пользователей Интернет (Х8)
|
0,85
|
4,6
|
0,72
|
Прямая,
очень высокая
|
|
Индекс
потребительских цен (Х9)
|
0,78
|
3,5
|
0,61
|
Прямая,
очень высокая
|
|
Количество
людей с высшим образованием тыс.чел (Х10)
|
0,74
|
3,1
|
0,55
|
Прямая,
очень высокая
|
Источник: собственная разработка
На основании выводов, представленных в
ПРИЛОЖЕНИИ А, выбираем три самых значимых фактора для регрессионного анализа.
Этими факторами являются денежные доходы населения, субъекты малого
предпринимательства в ресторанной отрасли и затраты на рекламу. На их основании
проведём регрессионный анализ.
Таблица 1.9 - Результаты регрессионного анализа
влияния факторов на результативность деятельности отрасли
|
Переменная
(фактор) уравнения регрессии
|
Значение
переменной
|
t-
значение
|
p-
уровень
|
|
1
|
2
|
3
|
4
|
|
Общая
статистика регрессионной модели
|
|
1.
Множественный R:
|
0,92
|
|
|
2.
Коэффициент детерминации
фактическое
значение
нормативное
(табличное) значение0,84
|
0,704--
|
|
|
|
|
3.
F-статистика - фактическое значение (1/F) -нормативное (табличное) значение
|
0,09
4,76
|
-
|
0,009
0,05
|
|
Переменные
регрессионной модели
|
|
4.
Y-пересечение - фактическое значение -нормативное (табличное) значение
|
49722,1
-
|
0,91
2,44
|
0,39
0,05
|
|
5.
Фактор маркетинговой среды
|
|
5.1.
Затраты на рекламу (Х3) - фактическое значение -нормативное (табличное)
значение
|
2502,27
-
|
1,17
2,44
|
0,28
0,05
|
|
5.2.
Денежные доходы населения (Х4) - фактическое значение -нормативное
(табличное) значение
|
0,72
-
|
0,25
2,44
|
0,81
0,05
|
|
5.3.
Субъекты малого предпринимательства (Х7) - фактическое значение -нормативное
(табличное) значение
|
21,99
-
|
0,27
2,44
|
0,79
0,05
|
Источник: собственная разработка
Оценка уравнения регрессии представлена в
ПРИЛОЖЕНИИ Б. Полученное уравнение регрессии значимо и может быть использовано
в дальнейших расчетах.
Интерпретация результатов.
Если обратиться к нашему примеру, то коэффициент
детерминации R2 (Excel его подает как R-квадрат) равен 0,92, что
составляет 92 %. Этот результат следует толковать так: все исследуемые
воздействующие факторы х3, х4 и х7 объясняют 92% вариации анализируемой функции
(Y). Остальное же (8%) остается необъясненным и может быть связано с влиянием
других, неучтенных факторов.
В этом случае имеющуюся расчетную
величину R2расч необходимо сравнить с табличными (критическими)
значениями R2крит для соответствующего уровня значимости
. R2расч
> R2крит, значит, со степенью вероятности 95 % можно утверждать,
что анализируемая регрессия является значимой.
Проведем проверку по F-критерию.
Обычно F-тест проводится путем сопоставления вычисленного значения F-критерия с
эталонным (табличным) показателем Fтабл для соответствующего уровня значимости.
Если выполняется неравенство Fрасч < Fтабл, то с уверенностью, например на
95 %, можно утверждать, что рассматриваемая зависимость у = b0 + b1x1
+ b2x2 +…+ bkxk является
статистически значимой.
Для анализа уравнения будем
пользоваться величиной Fрасч, обратной представленной Excel. Отыщем по
эталонной таблице критическую величину Fкрит при условии, что для числителя
степень свободы f1 = k, т.е. составит 3 (число воздействующих факторов равно
3), а для знаменателя f2 = n − k− 1 = 10 − 3 − 1= 6.
Тогда будем иметь следующие значения для Fкрит: 4,76 (для α = 0,05).
Соотношение Fрасч < Fкрит
выполняется, значит уверенно можно говорить о высокой степени адекватности
анализируемого уравнения. В нашем случае оно адекватно 0,09<4,76.
Из этого следует, что данное
уравнение, представленное в ПРИЛОЖЕНИИ Б, действительно характеризуется очень
высокой степенью значимости. И мы понимаем, что существует взаимосвязь между
параметрами y и переменными xk. Однако не понятно, каково влияние конкретных
факторов Х3, Х4 и Х7 на исследуемую функцию. Поэтому нужно определить
значимость отдельных коэффициентов регрессии. Для этого используем t-критерия
Использование t-критерия.
Необходимые расчеты делает Excel, который выдает соответствующую компьютерную
распечатку с обозначением значений показателя t. Анализируемый коэффициент
считается значимым, если его t-критерий по абсолютной величине превышает 2,447
что соответствует уровню значимости 0,05. В нашем примере коэффициенты
уравнения оказываются незначимыми.
Использование уровня значимости. В
этом случае оценка проводится путем анализа показателя р, т.е. уровня
значимости α.
Коэффициент
признается значимым, если рассчитанное для него р-значение (эти данные выдает
Excel) меньше (или равно) 0,05 (т.е. для 95 %-ной доверительной вероятности).
Показатель р составляет для коэффициентов b0, b1 и b2 следующие величины: р b0
= 0,39; р b1= 0,28 и р b2 = 0,81 и 0,79.
Можно сделать вывод о том, что
фактором, который в большей степени влияет на результативность деятельности
туристической отрасли, это денежный доход на душу населения, так как
покупательская способность населения напрямую зависит от его доходов.
В настоящее время Республика
Беларусь мало известна на мировом ресторанном рынке как самостоятельное
государство, имеющее древнюю историю и богатую культуру, разнообразную природу.
Слабо развита система маркетинг национальной кухни и ее продвижения на мировом
внутреннем рынке, низок ресторанный рейтинг Республики Беларусь, отсутствие
реального сотрудничества с зарубежными фирмами и международными ресторанными
организациями.
Преодоление негативных
тенденций в развитии ресторанной отрасли предполагает проведение
государственной политики в этой сфере, создание правовых, организационных основ
формирования в Республике Беларусь современного конкурентоспособного
ресторанного комплекса, который при активной поддержке и непосредственной
помощи государства.
Развитие ресторанной отрасли в
Республике Беларусь должно основываться на тех видах и формах ресторанов,
которые позволяют максимально и комплексно использовать имеющийся потенциал.
Проблема заключается в том, что ресторанный потенциал Беларуси используется не
в полной мере.
Существенные различия в
развитии хозяйственной деятельности и социальной сферы, экологической
обстановке, развитости транспортных коммуникаций и инфраструктуры, сохранности
историко-культурного и природного наследия требуют учета их при определении
перспектив развития ресторанной отрасли для каждого региона (области) Беларуси.
В последние годы произошли значительные перемены
в области ресторанной инфраструктуры. Наметилась тенденция к сокращению числа
выездов, в то же время неуклонно растет (хотя и незначительными темпами, около
10 % в год) количество прибытий в страну.
Беларусь стремится к сотрудничеству с
зарубежными странами, для способствования большего развития ресторанной
деятельности. Приоритетными для Беларуси внешними рынками являются Россия,
Польша. Все мероприятия направлены на закрепление имеющихся положительных
тенденций (в росте количества посещения ресторанов иностранцами, посещающих
Республику Беларусь, снижение отрицательного сальдо и т.д.) и создать условия
по преодолению препятствий, тормозящих динамичное развитие ресторанного бизнеса
в Республике Беларусь.
Глава
2. Анализ потребителей и качества предлагаемых услуг
.1
Анализ потребителей
Для анализа потребителей рынка активного туризма
была рассчитана численность детерминированной выборки (ПРИЛОЖЕНИЕ В),
разработана анкета (ПРИЛОЖЕНИЕ Г), опрошена выборочная совокупность (результаты
опроса представлены в ПРИЛОЖЕНИИ Д) и проведён анализ данных.
Анализ данных опроса:
Первый вопрос, заданный респондентам был:
Посещаете ли Вы рестораны?
Рисунок 2.1 - Количество посетителей ресторанов
Большинство опрашиваемых ответили, что посещают
рестораны, но также значительная часть респондентов приходит в ресторан по
обстоятельствам, т.е. отпраздновать день рождение, свадьбу и другие различные
события. Незначительная часть опрашиваемых вообще не посещают ресторан в силу
различных причин. Респонденты, которые ответили “Нет” на заданный им вопрос(7
человек), имели возможность указать причину. Причины были следующие:
.Нехватка времени (ответ двух респондентов).
.Нежелание платить за еду, которую можно поесть
дома (ответ трех респондентов).
.Несоответсвие отечественных ресторанов
представлением опрашиваемого (ответ одного респондента).
.Слишком высокие цены (ответ одного
респондента).
Т.к. 7 человек на 1 вопрос ответили ”Нет”, то на
следующие 8 вопросов отвечают только 69 человек (76-7=69 )
На вопрос “Устраивает ли Вас качество
обслуживания в ресторане?” большинство респондентов удовлетворены
обслуживанием, т.к. 19 человек (27,5%) ответили ”Да” и 24 человека (34,8%)
ответили ”Скорее да, чем нет”. Но 26 человек из опрашиваемых сочли качество
обслуживания в ресторане неудовлетворительным.18 человек (26,1%) ответили на
задаваемый им вопрос ”Скорее нет, чем да” и 8 человек (11,6%) категорически
недовольны качеством обслуживания в ресторане.
Рисунок 2.2 - Соотношение удовлетворенных и
неудовлетворенных качеством обслуживания в ресторане респондентов
Следующий вопрос был ” Что Вас больше не
устраивает в обслуживании?” и на него должны были отвечать только те
респонденты, которые в предыдущем вопросе не ответили ”Да”,т.к. их все
устраивает в обслуживании. Таким образом на данный вопрос отвечало 50 человек
(69-19=50). С помощью данного вопроса я смогла выяснить, что именно не
устраивает респондентов в обслуживании. Большинство опрашиваемых недовольны
высокими ценами (20 человек), также их не устраивает грубое отношение
официантов (16 человек). Немногим меньше (14 человек) респондентов не
устраивает дизайн интерьера в ресторане. Свой вариант ответа не предложил
никто.
Рисунок 2.3 - Распределение основных причин
плохого обслуживания в ресторанах
Затем следовал вопрос : ” Устраивает ли Вас
качество еды в ресторане?”. На этот вопрос вновь отвечали 69 респондентов.
Большая часть опрашиваемых либо не довольны едой в ресторане (19 человек) ,либо
не всегда довольны (30 человек).Респонденты, которые довольны едой в ресторане
(20 человек) не отвечают на следующий вопрос, т.к. нужно выяснить, что именно
не устраивает опрашиваемых в еде и блюдах ресторана.
Рисунок 2.4 - Распределение удовлетворенных и
неудовлетворенных едой в ресторане
Затем вопрос был следующий: ” Что именно Вас не
устраивает в меню ресторана?”. На этот вопрос должны были отвечать 49
респондентов, из которых 17 опрашиваемым не нравится маленький выбор блюд в
ресторане. По 16 респондентов ответили ,что их не устраивает качество еды и
долгое приготовление блюд. Свой вариант ответа не дал никто.
Рисунок 2.5 - Причины неудовлетворенных
качеством еды
На вопрос “Вы считаете, что в ресторане должны
быть блюда нескольких национальностей?” Отвечало 69 человек, результаты были
следующими: ”Да” - 52 человека, ”Нет”- 17 человек.
Рисунок 2.6 - Отношения респондентов к блюдам
различных национальностей
В следующем вопросе “Блюда какой национальности
Вы предпочли бы в ресторане?” ответы были такие:
Рисунок 2.7 - Распределение предпочтений
респондентов блюд разных национальностей
На вопрос “.Как часто Вы посещаете ресторан?”
ответы распределились по-разному.
Рисунок 2.8 - Частота посещения ресторанов
опрашиваемыми
Затем был задан вопрос.” В какое время суток Вы
предпочитаете посещать ресторан?”
Рисунок 2.9 - Тенденция посещения ресторана в
зависимости от времени суток
Следующим следовал вопрос “Что из перечисленного
привлекло бы Вас посетить ресторан?”. Отвечать на этот вопрос и последующие
будут уже 76 респондентов. Абсолютное большинство респондентов хотели бы иметь
возможность заказать еду еще до прихода в ресторан.
Рисунок 2.10 - Отношение респондентов к перечню
возможных нововведений в ресторане
Далее был вопрос ” В какой компании Вы бы хотели
посетить ресторан?”.Ответы распределились примерно поровну, но все же
большинство опрашиваемых предпочли бы посетить ресторан вместе с
девушкой/парнем.
Рисунок 2.11 - Предпочтения респондентов в
сопровождении в ресторан
2.2
Анализ качества услуг
Качество услуги - это совокупность характеристик
услуги, которые придают ей способность удовлетворять обусловленные или
предполагаемые потребности.
Для определения качества оказываемых услуг в
отрасли активного туризма было опрошено 5 экспертов. Им было предложено оценить
самые значимые показатели развития отрасли путём присвоения показателям баллов
от 1 до 5. (1 - наименьшая степень развития, 5 - наибольшая степень развития).
В качестве экспертов выступили сотрудники организаций, оказывающих услуги в
гостиничной и ресторанной отрасли.
Результаты опроса экспертов представлены в
таблице 2.1
Таблица 2.1 - Оценки экспертов
|
Эксперты
|
Показатели
качества туристических услуг
|
|
|
Наличие
развитой гостиничной инфраструктуры
|
Наличие
развитой ресторанной инфраструктуры
|
Государственное
регулирование гостиничной отрасли
|
Государственное
регулирование ресторанной отрасли
|
Оказание
гостиничных услуг
|
Качество
оказания ресторанного обслуживания
|
Дополнительные
услуги в двух отраслях
|
4
|
4
|
4
|
3
|
4
|
4
|
3
|
|
Эксперт
2
|
4
|
3
|
5
|
4
|
3
|
5
|
2
|
|
Эксперт
3
|
3
|
4
|
5
|
4
|
4
|
4
|
3
|
|
Эксперт
4
|
4
|
4
|
3
|
3
|
3
|
5
|
3
|
|
Эксперт
5
|
4
|
5
|
5
|
5
|
4
|
4
|
3
|
|
Всего
|
19
|
20
|
22
|
19
|
18
|
22
|
14
|
Источник: собственная разработка
В соответствии с расчётами, приведёнными в
ПРИЛОЖЕНИИ Ж, коэффициент конкордации составил 0,59, значит, мнения экспертов
согласованы. Из этого следует, что полученный коэффициент значимости можно
использовать для оценки качества ресторанных и гостиничных услуг.
По итогам полученных результатов эксперты
оценили на 22 балла(самый высший балл) качество оказания ресторанного
обслуживания и государственное регулирования отрасли, а наименьшее количество
баллов (14 баллов) получили дополнительные услуги в гостиничной и ресторанной
отрасли.
Целевым сегментом данной отрасли являются как
мужчины так и женщины в возрасте от 15 до 69 лет с доходом начинающимся от 1
миллиона рублей.
Для повышения уровня конкурентоспособности
рестораны должны постоянно вводить инновации, чтобы оставаться ведущими в своем
сегменте и быть на два шага впереди конкурентов. Одной из крупнейших проблем
ресторанного бизнеса является отсутствие рекламы, следовательно нужно ввести
агрессивную рекламу на сайтах, в агентствах, что отчасти снизит внешнюю
конкуренцию. Для рекламы является выгодной поддержка разнообразных фестивалей,
конкурсов.
Глава
3. Условия по усовершенствованию ресторанных услуг
.1
Комплекс «Тюремное кафе»
Мной было предложено открытие комплекса
“Тюремное кафе”. Согласно анкетированию абсолютное большинство (63%)
высказались в поддержку данной идеи. Создание данного кафе позволит улучшить
качество оказываемых услуг ресторанного и гостиничного бизнеса.
“Тюремное кафе” - это кафе с представлением и
элементами игры. Актуальность проекта заключается в том, что в РБ пока ещё не
существует такого вида кафе. Необычная идея и хорошее исполнение задуманного-
привлечет клиентов.
В меню - интересные названия блюд. Приходящие в
кафе встречают “тюремного смотрителя”, который просит их оставить отпечатки
пальцев и зачитывает им приговор, после чего угощает бесплатным коктейлем (если
нет 18- безалкогольным), затем приглашает занять места, после чего гости
выбирают блюда. В тоже время официанты - в тюремных рясах ухаживают за ними,
меняют тарелки и предлагают дополнительные блюда. После ужина игра не
заканчивается, посетителям предлагают совершить продуманный побег через черный
ход (вторая дверь в кафе- только для выхода”cбежавших”. Уютное кафе с
элементами игры надолго останется в памяти и привлечет новых клиентов.
Для оказания выбранной услуги необходимы
следующие инвестиционные затраты:
ресторан потребитель маркетинговый
среда
Таблица 3.1 - Обоснование объема инвестиционных
затрат, необходимых для подготовки организации производства
|
Вид
производственных мощностей
|
Потребность
на обеспечение производственной программы
|
Стоимость
единицы производственной мощности
|
Объем
инвестиционных затрат
|
|
1
|
2
|
3
|
4
|
|
Столы
|
7
|
449650
|
3147550
|
|
Стулья
|
6
|
383050
|
2298300
|
|
Музыкальный
центр с буфером
|
1
|
1590000
|
1590000
|
|
Мини-диваны
|
8
|
1040000
|
8320000
|
|
Барная
стойка
|
1
|
1600000
|
1600000
|
|
Письменный
стол
|
1
|
890000
|
890000
|
|
Стул
офисный
|
3
|
280000
|
840000
|
|
Шкаф
для одежды
|
1
|
410000
|
410000
|
|
Шкаф
для бумаг
|
1
|
330000
|
330000
|
|
Зеркало
|
1
|
180000
|
180000
|
|
Компьютер
|
1
|
4000000
|
4000000
|
|
Принтер/телефон/сканер
|
1
|
3900000
|
3900000
|
|
Мусорное
ведро
|
2
|
20000
|
40000
|
|
Лампа(неон)
|
10
|
200000
|
2000000
|
|
Пачка
бумаги А4
|
3
|
40000
|
40000
|
|
Холодильник
|
1
|
1400000
|
1400000
|
|
Тюремная
роба
|
6
|
140000
|
840000
|
|
Веник
|
2
|
15000
|
30000
|
|
Швабра
|
2
|
24000
|
48000
|
|
Тарелки
|
50
|
50000
|
2500000
|
|
Чашки
|
50
|
22000
|
1100000
|
|
Бокалы
|
60
|
24000
|
1440000
|
|
Столовые
приборы(вилка, ложка, чайная ложечка, нож)
|
14
|
55000
|
770000
|
|
Посудомоечная
машина
|
1
|
2008700
|
2008700
|
|
Шторы
|
6
|
59000
|
354000
|
|
Декоративные
растения
|
4
|
29000
|
116000
|
|
Картины
|
6
|
70000
|
420000
|
|
Моющее
средство
|
2
|
15000
|
15000
|
|
Дверь
(в виде решетки)
|
1
|
1110000
|
1110000
|
|
Книга
для отпечатков пальцев
|
1
|
30000
|
30000
|
|
Меню(книга)
|
22
|
20000
|
440000
|
|
Пепельницы
|
10
|
12000
|
120000
|
|
Кондиционер
|
1
|
1250000
|
1250000
|
|
WI-fi
модем
|
1
|
290000
|
290000
|
|
Скатерть
|
14
|
19000
|
266000
|
|
Набор
посуды для поваров
|
1
|
5200000
|
5200000
|
|
Духовой
шкаф
|
1
|
2780000
|
2780000
|
|
Микроволновая
печь
|
1
|
1100000
|
1100000
|
|
Газовая
плита
|
1
|
1980000
|
1980000
|
|
Плечики
для одежды/номерки
|
50/50
|
5000/500
|
250000/25000
|
|
Шкаф
для посуды
|
1
|
490000
|
490000
|
|
Резиновые
перчатки
|
5
|
2500
|
12500
|
|
Форма
для поваров
|
2
|
49000
|
98000
|
|
Огнетушитель
|
2
|
90000
|
180000
|
|
Набор
для специй
|
7
|
13000
|
91000
|
|
Поддоны
для хранения еды
|
15
|
42000
|
630000
|
|
Столы
разделочно-производственные
|
2
|
184000
|
368000
|
|
Моечные
ванны
|
1
|
265500
|
265500
|
|
Соковыжималка
|
1
|
1315000
|
1315000
|
|
Аппарат
для приготовления чая и кофе
|
1
|
294000
|
294000
|
|
Настольная
лампа
|
7
|
48500
|
339500
|
|
ИТОГО
|
-
|
-
|
57144050
|
Источник: собственная разработка
Собственные инвестиции представлены в Таблице
3.2
Таблица 3.2- Собственные средства
|
Вид
производственных мощностей
|
Потребность
на обеспечение производственной программы
|
Стоимость
единицы производственной мощности
|
Объем
инвестиционных затрат
|
|
1
|
2
|
3
|
4
|
|
Компьютер
|
1
|
4
000 000
|
5
000 000
|
|
Принтер/телефон/сканер
|
1
|
3
900 000
|
3
900 000
|
|
Итого:
|
-
|
-
|
7
900 000
|
Источник: собственная разработка
Расчет прямых и косвенных затрат на оказание
услуг представлен в виде табл.3.3.
Таблица 3.3 - Калькуляция туремного кафе
(количество человек: 22)
|
Статьи
затрат
|
Ставка,
%
|
Показатели,
руб.
|
|
1
|
2
|
3
|
|
1.
Заработная плата всего
|
|
292600
|
|
2.
Начисления на заработную плату
|
|
102406
|
|
-
фонд социальной защиты
|
34
|
99480
|
|
-
белгосстрах
|
1
|
2926
|
|
3.
Накладные расходы
|
|
99930
|
|
Питание
|
|
2743460
|
|
4.
Итого расходов
|
|
3238396
|
|
5.
Рентабельность
|
25
|
809600
|
|
Итого
|
|
4048000
|
|
Полная
стоимость
|
|
4048000
|
|
С
округлением на одного человека
|
|
184000
|
Источник: собственная разработка
Таблица 3.4 - Накладные расходы (количество
рабочих дней в месяц 27)
|
Статья
расходов
|
Стоимость,
руб.
|
Сумма
на группу, руб.
|
|
Аренда
помещения для офиса
|
480700
|
17810
|
|
Аренда
помещения для столовой
|
610000
|
22600
|
|
Аренда
помещения для кухни
|
520040
|
19260
|
|
Аренда
помещения для склада
|
270000
|
|
Коммунальные
платежи (электричество, отопление, вода,газ)
|
320000
|
11850
|
|
Очистки
канализации
|
57000
|
2110
|
|
Амортизация
компьютера
|
440000
|
16300
|
|
Итого:
|
99930
|
Источник: собственная разработка
Таблица 3.5 - Прогнозируемые цены на услуги в
тыс. (валюта расчета)
|
Перечень
продукции, рынков сбыта
|
По
периодам (годам) реализации проекта
|
|
1.Года
|
2013
|
2014
|
2015
|
2016
|
2017
|
|
2.Цена
реализации единицы услуги (без НДС): 2.1. Услуга - внутренний рынок
|
184
|
275
|
416
|
637
|
988
|
|
3.Индекс
цен
|
-
|
1,49
|
1,51
|
1,53
|
1,55
|
Источник: собственная разработка
Таблица 3.6 - Программа производства и
реализации услуг в натуральном выражении
|
Наименование
показателя
|
По
периодам (годам) реализации проекта
|
|
1.Года
|
2013
|
2014
|
2015
|
2016
|
2017
|
|
2.Объем
оказания услуг в чел.:
|
7260
|
7260
|
7260
|
7260
|
7260
|
|
3.Обьем
реализации услуг в тыс. руб.
|
1335840
|
1996500
|
3020160
|
4624620
|
7172880
|
Источник: собственная разработка
Примечания:
Всего себестоимость = 147200руб.(расходы/22)
Условно - постоянные издержки
=(147200-2110)*330*22=1053353400
Условно - переменные = 2110
Цена=184000
Таблица 3.7 - Разделение издержек. (тыс)
|
2013
|
2014
|
2015
|
2016
|
2017
|
|
1.
Условно-переменные издержки
|
15318,6
|
22824,7
|
34465,3
|
52732
|
81734,6
|
|
2.
Условно-постоянные издержки
|
1053353,4
|
1569496,5
|
2369939,7
|
3626007,7
|
5620311,9
|
Источник : собственная разработка
Определим точку безубыточности фирмы,
оказывающей туристические услуги, т.е. шведский стол. Расчет произведем по
формуле ( 3.1):
(3.1)
Где FC-постоянные издержки фирмыцена одной
услугипеременные издержки фирмы
Точка безубыточности окажется на уровне:
Тбез=1053353,4/(184-2,11)=5791,156
Определим выручку с помощью формулы (3.2):
(3.2)
Где В-выручка
Тбез- точка безубыточности
Р- цена
Выручка составила:
В=5791,156*184=1065572,7
По привлекаемому долгосрочному кредиту, взятому
в банке «Белагропромбанк», указываются условия его предоставления в
соответствии с Таблицей 3.8.
Таблица 3.8 -Условия предоставления
кредита
|
Условия
предоставления кредита
|
Значение
|
|
Срок
предоставления (лет)
|
5
|
|
Годовая
процентная ставка
|
38
|
|
процентная
ставка возмещения из бюджета части процентов по кредиту
|
-
|
|
Отсрочка
по выплате основного долга (лет, месяцев)
|
-
|
|
Дата
начала выплаты основного долга (месяц, год)/процентов (месяц, год)
|
01.01.2013
|
|
Периодичность
погашения основного долга/процентов
|
Долг
- равными долями, проценты - от остатка долга
|
|
Дата
окончания погашения (месяц, год)
|
31.12.2017
|
Источник: собственная разработка
Таблица 3.9 - Расчет погашения долгосрочных
кредитов, займов (тыс. бел. руб.)
|
Наименование
показателей
|
По
периодам (годам) реализации проекта
|
Всего
|
|
2012
|
2013
|
2014
|
2015
|
2016
|
2017
|
|
|
1
|
2
|
3
|
4
|
5
|
6
|
7
|
8
|
|
1.
Сумма получаемого кредита, займа
|
60000
|
-
|
-
|
-
|
-
|
-
|
60000
|
|
2.Задолженность
на начало года
|
-
|
60000
|
48000
|
36000
|
24000
|
12000
|
-
|
|
3.
Сумма основного долга
|
-
|
12000
|
12000
|
12000
|
12000
|
12000
|
60000
|
|
4.
Начислено процентов
|
-
|
22800
|
18240
|
13680
|
9120
|
4560
|
68400
|
|
5.
Погашение основного долга
|
-
|
12000
|
24000
|
36000
|
48000
|
60000
|
-
|
|
6.
Погашение процентов
|
-
|
22800
|
41040
|
54720
|
63840
|
68400
|
-
|
|
7.
Итого погашение задолженности
|
-
|
34800
|
65040
|
90720
|
111840
|
128400
|
-
|
|
8.Задолженность
на конец года
|
-
|
48000
|
36000
|
24000
|
12000
|
0
|
-
|
Источник: собственная разработка
Расчет прибыли от реализации продукции
оформляется согласно Таблице 3.10. В данной таблице отражаются ежегодно
образующаяся прибыль или убытки.
Таблица 3.10- Расчет прибыли от
реализации(валюта расчета)тыс.руб.
|
Наименование
показателей
|
По
периодам (годам) реализации проекта
|
|
2012
|
2013
|
2014
|
2015
|
2016
|
2017
|
|
1
|
2
|
3
|
4
|
5
|
6
|
7
|
|
1.
Выручка от реализации продукции
|
-
|
1335840
|
1996500
|
3020160
|
4624620
|
7172880
|
|
3.
Выручка от реализации продукции (за минусом НДС, акцизов и иных обязательных
платежей)
|
-
|
1335840
|
1996500
|
3020160
|
4624620
|
7172880
|
|
3.1
Справочно: бюджетные субсидии на покрытие разницы в ценах и тарифах
|
-
|
-
|
-
|
-
|
-
|
-
|
|
4.
Условно-переменные издержки
|
-
|
15318,6
|
22824,7
|
34465,3
|
52732
|
81734,6
|
|
5.
Маржинальная (переменная) прибыль (стр. 3 - стр. 4)
|
-
|
1320521,4
|
1973675,3
|
2985694,7
|
4571888
|
7091145,4
|
|
6.
Условно-постоянные издержки
|
-
|
1053353,4
|
1569496,5
|
2369939,7
|
3626007,7
|
5620311,9
|
|
7.
Прибыль (убыток) от реализации
|
-
|
267168
|
404178,8
|
615755
|
945880,3
|
1470833,5
|
|
8.
Прибыль (убыток) от операционных доходов и расходов
|
-
|
-
|
-
|
-
|
-
|
-
|
|
9.
Прибыль (убыток) от внереализационных доходов и расходов
|
-
|
-
|
-
|
-
|
-
|
-
|
|
10.
Прибыль (убыток) за отчетный период
|
-
|
267168
|
404178,8
|
615755
|
945880,3
|
1470833,5
|
|
11.
Налоги и сборы, производимые из прибыли (доходов)
|
-
|
38739,8
|
58605,9
|
89284,5
|
137152,4
|
213271,2
|
|
12.
Расходы и платежи из прибыли
|
-
|
-
|
-
|
-
|
-
|
-
|
|
13.
Сумма льготы по налогу на прибыль
|
-
|
-
|
-
|
-
|
-
|
-
|
|
14.
Прибыль (убыток) к распределению (стр. 10 - стр. 11 - стр. 12 - стр. 13)
|
-
|
228428,2
|
345572,9
|
526470,5
|
808727,9
|
1257562,3
|
|
15.
Чистая прибыль (стр. 10 - стр. 11 - стр. 12)
|
-
|
228428,2
|
345572,9
|
526470,5
|
808727,9
|
1257562,3
|
|
17.
Погашение задолженности по кредитам, займам
|
-
|
48000
|
36000
|
24000
|
12000
|
0
|
Источник: собственная разработка
Прогнозирование потока денежных средств
производится путем расчета притоков и оттоков денежных средств от текущей ,
инвестиционной и финансовой деятельности организации по годам реализации
проекта. Распределение во времени притока средств должно быть синхронизировано
с его оттоком. При этом не допускается дефицит денежных средств. Поток денежных
средств оформляется согласно таблице 3.11
Таблица 3.11- Расчет эффективности проекта, млн.
руб.
|
Показатели
|
2012
|
2013
|
2014
|
2015
|
2016
|
2017
|
|
1
|
2
|
3
|
4
|
5
|
6
|
7
|
|
1.Размер
инвестиций
|
60000
|
-
|
-
|
-
|
-
|
-
|
|
2.Доход
|
0
|
345597
|
526507
|
808784
|
1257649
|
|
2.
а) Величина прибыли
|
0
|
228428,2
|
345572,9
|
526470,5
|
808727,9
|
1257562,3
|
|
2.
б) амортизация
|
0
|
16,3
|
24,3
|
36,7
|
56,1
|
87
|
|
3.
Банковская процентная ставка, %
|
38
|
|
4.
Коэффициент приведения
|
1
|
0,72
|
0,52
|
0,37
|
0,27
|
0,19
|
|
5.Дисконтированная
стоимость (п2*п4)
|
0
|
164468
|
179698
|
194794
|
218351
|
238937
|
|
6.Дисконтированная
стоимость нарастающим итогом
|
0
|
164468
|
344166
|
538960
|
757311
|
996248
|
|
7.
Чистая дисконтированная стоимость(п6*п4)
|
-60000
|
58417
|
237383
|
436798
|
641272
|
830559
|
|
8.
Срок окупаемости
|
1,5
года
|
|
|
|
|
|
|
|
|
Источник: собственная разработка
Рассчитаем срок окупаемости по формуле (3.3):
(3.3)
Ток = 1-(-60000/(58417+60000)=1,5
Таким образом выходит что срок окупаемости
составит 1,5 года.
Таким образом, выходит, что срок окупаемости
составит 1,5 года. Чистая дисконтированная прибыль на втором год положительная.
Это говорит о том, что предлагаемое мероприятие является экономически
целесообразным. Доход, который получим от создания комплекса «Теремное кафе»
составляет 228 445 000 тыс. бел. руб. Для реализации данной услуги необходимо
нанять 6 человек: директора, товароведа, шеф-повара, двух официантов, уборщицу.
Из всего вышеперечисленного делаем вывод о том,
что создание комплекса «Тюремное кафе» потенциально возможно, так как
существует заинтересованность граждан Республики Беларусь в подобном виде
услуги и создание этой услуги является экономически эффективным.
3.2
Внедрения информационных киосков в кафе и рестораны
Информационный (сенсорный) киоск -
программно-аппаратный комплекс, собранный на базе персонального компьютера и
оснащённый сенсорным монитором
<#"580654.files/image018.gif">=
(3.3)
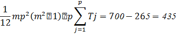
=(14+18+16+15+12)/5=
15
А
=
(3.4)
=
=
=
4
=
=
0,26
Коэффициент вариации равен 0,26 это меньше, чем
0,33, значит, мнение экспертов согласованно. И мы может принимать во внимание
эти данные при дальнейших подсчётах.
Объём продаж в ресторанной отрасли составил
601121 млрд. руб.
Число организаций, которые осуществляют
ресторанную деятельность, составило 1239 шт.
К ресторанным услугам прибегало 3128000 человек.
Рентабельность ресторанной отрасли - 0,11.
Посчитаем прирост выручки по формуле (3.5):
=
*
(3.5)
*
=
72 774 939,5 тыс.руб.
Следующее рассчитаем прирост прибыль
туристических предприятий в отрасли оп формуле (3.6):
=
-
(3.6)
= 72 774 939,5-(72
774 939,5/ (1+0,11)) = 7211930,9
тыс. руб.
Рассчитаем затраты для внедрения информационного
киоска.
Основные затраты, которые будет нести ресторан
при внедрении информационного киоска.
Постоянной затратой является платеж за
электроэнергию, которую потребляет информационный киоск, в месяц. Потребление
электроэнергии 90 кВт в месяц. При этом стоимость 1 кВт - 193,8 руб.
Значит, затраты в месяц составляют:
Затраты = 193,8* 90= 17,45 тыс. руб.
Однако ресторану придется понести некоторые
затраты ,которые связаны с приобретением, доставкой и установкой данного
киоска.
Стоимость информационного киоска равна 12 150,0
тыс. руб.
Доставка и установка стоит 300 тыс. руб.
В итоге единовременные затраты равны: 300+12
150,0 =12 450,0 тыс. руб.
Рассчитаем дельта прирост прибыли ресторана за
первый год:
за первый год
= 7211930,9 -17,45*12 = 7211721,5 тыс. руб.
Так же нужно найти эффект от использования
информационного киоска.
В связи с единовременными затратами ,доход
ресторана уменьшится на 12 450,0 тыс.руб. Его рассчитываем по формуле (3.7):
Эффект от использования =
-покупку и установку (3.7)
Эф. от использования =7211930,9- 12 450,0 =7 199
480,9 тыс. руб.
3.3
Создание сайта для услуги ”Тюремное кафе”
Для того чтобы разрекламировать “Тюремное кафе”
я создам официальный сайт. На сайте представлена наиболее полная информация о
”Тюремном кафе”, для того, чтобы его разрекламировать и дать более полную
информацию о данной услуге.
Будет существовать определённая система
размещения информации на сайте, т.е. реклама - баннеры. Система основывается на
том, что будет существовать возможность оставить отзывы и предложения
посетителям и клиентам, которые были я данном кафе, а также поместить
фотографии после посещения.
Для того, чтобы оценить возможный прирост
прибыли, после создания сайта, экспертам в ресторанной деятельности, был задан
вопрос о том, на сколько, по их мнению, повысится выручка кафе после создания
сайта и получены следующие результаты:
Таблица 3.13 - Результаты опроса экспертов
|
Показатель
|
Эксперт
1
|
Эксперт
2
|
Эксперт
3
|
Эксперт
4
|
Эксперт
5
|
|
Как
увеличится выручка кафе после создания сайта
|
18
|
23
|
38
|
28
|
33
|
Источник: собственная разработка
Теперь просчитаем коэффициент вариации, для
определения согласованности мнений экспертов, используя формулу (3.9):

=
(3.9)
=(18+23+38+28+33)/5= 28
А
=
(3.10)
=
=
=
7,1
=
=
0,25
Коэффициент вариации равен 0,25 это меньше, чем
0,33, значит, мнение экспертов согласованно. И мы может принимать во внимание
эти данные при дальнейших подсчётах.
Объём продаж в ресторанной отрасли составил
207,761 млрд. руб.
Число организаций, которые занимаются малым
предпринимательством 2123.
Рентабельность реализованной продукции, услуг
ресторанами равна 0,08% .
Рассчитаем прирост выручку по формуле (3.11):

= 
* 
(3.11)

=
*
= 27 401 356 600 руб.
Следующее рассчитаем прирост прибыль
туристических предприятий в отрасли оп формуле (3.12)

= 
- 
(3.12)

= 27 401 356 600- (27 401 356 600/
(1+0,08)) = 2 029 730 120 руб.
Так же к этой прибыли можно
прибывать ту сумму, которую мы будем получать от баннеров на сайте. Стоимость
размещения обычного баннера, на данном сайте будет стоить 25 000 тыс. руб. в
сутки, с учётом посещения более 100 пользователей в сутки (на сегодняшний день,
на новые сайты заходят от 100 до 150 человек в день, но эта цифра с каждым днем
растет, и для того, чтобы количество людей на сайт заходило больше нужна так
называемая раскрутка сайта. Чтобы раскрутить сайт нужны деньги, но один
официальный белорусский сайт предлагает бесплатную раскрутку взамен на
бесплатное размещение баннеров на моем сайте. Таким образом, через месяц после
создания сайта, на сайт будут заходить от 1000 до -1500 человек. Значит
размещение баннера на сайте будет стоить 72 000 руб.в сутки).
Рассчитаем дополнительный доход от
данного мероприятия за месяц и год по формуле (3.13):
Доп.
Доход в месяц=
стоимость 1 баннера * кол-во дней в месяце (3.13)
Доп.
Доход в месяц=
25000* 31 = 775 000 руб.
Следующие месяцы
Доп. Доход в год = стоимость 1
баннера * кол-во дней в году
Доп.доход в год =72000*(365-31)+775
000= 24823000 руб.
Так же нужно найти эффект от
создания сайта. Его рассчитываем по формуле (3.14):
Эффект от использования = 
- затраты ( 3.14)
Эф. от использования = 2 029 730 120
- 24823000 = 2 004 907 120руб.
Стоимость размещения обычного
баннера, на данном сайте будет стоить 72000 руб. в сутки, с учётом посещения
более 1000 пользователей в сутки. На моем сайте смогут размещаться 31 баннер,
но 1 из них будет бесплатным, т.к. мой сайт бесплатно ”раскручивают”.
Рассчитаем прибыль от данного
мероприятия за один день по формуле (3.16):

= стоимость 1 баннера * кол-во
платных баннеров * на количество дней в году (3.16)

=72000 * 30 * 365 = 778 400 000 руб.
Помимо прибыли ,мы будем нести
некоторые затраты. Представим основные затраты в месяц в таблицу 3.14.
Таблица 3.14 - Основные затраты при
создании сайта
|
Показатель
|
Сумма
руб.
|
|
Создание
сайта
|
1
000 000
|
|
Заработная
плата администратору сайта
|
4
900 000
|
|
Итого
|
5
900 000
|
Источник: собственная разработка
И тогда, с учётом всего прибыль за год составит:

=778 400 000 - (5 900 000*12) =
=717 600 000 руб.
Рассчитав возможный доход от данного
мероприятия, можно сделать вывод, о том, что создание сайта является
прибыльным. Так же существует возможность увеличения пользователей сайта, что
приведёт к ещё большему увеличению прибыли.
Развитие ресторанной отрасли
является масштабной задачей. Из проведённого анализа, можно сделать вывод о
том, что Тюремное кафе и информационный киоск в ресторанной отрасли будут
пользоваться спросом. Также эти услуги могут способствовать динамическому
развитию ресторанных услуг.
Белорусский ресторатор должен
придумывать что-то новое буквально каждый день. В этом бизнесе то что было
вчера, сегодня уже не годится. Поэтому владелец должен или постоянно снижать
цену, или предлагать за ту же цену больше услуг. Корпоративные клиенты очень
ценны, поэтому рестораны идут на ряд уступок, могут готовить из продуктов клиента,
не существует фиксированных скидок для корпоративных клиентов, работает
правило: чем больше приглашенных, тем большую скидку получает заказчик
(20-50%).Специалисты отмечают, что более выгодным по цене является выездной
банкет, который могут организовать специалисты ресторана в арендованном зале
или офисе заказчика). Это позволяет заказчику сэкономить до 30% стоимости. К
тому приглашенным гарантируется ресторанное обслуживание и меню. В последнее
время рестораторы предлагают корпоративным клиентам организацию не только
«кулинарной» части мероприятия. Большинство столичных заведений активно
сотрудничает с компаниями, которые предоставляют услуги по организации
различных шоу, или сотрудники ресторана сами нанимают людей, чтобы развлекать
клиентов, т.е. такие люди содержатся в штате ресторана(музыканты)
фирмами-перевозчиками. За посредничество денег не берут, а услуги по
организации перевозки клиентов на катере на остров является неким бонусом
клиенту от ресторана.
Говоря о перспективах рынка,
эксперты считают, что перспективным направлением бизнеса есть рестораны
семейного типа. Такие заведения рассчитаны на широкие слои населения и получают
неплохую прибыль из большого количества посетителей. Также существует большой
спрос на «пирожковые», «кондитерские», которые являются также привлекательными
для инвесторов.
Заключение
В Беларуси есть конкурентоспособные рестораны,
но они являются конкурентоспособными в своей ценовой группе, ввиду большого
количества участников и строгих правил.
В условиях жесткой конкуренции и рестораны
вынуждены внедрять инновации, искать свою неповторимую особенность,
обеспечивать себе постоянных клиентов разного рода поощрениями и повышать
уровень сервиса. В своей курсовой работе я предложила несколько мероприятий по
улучшению качества оказываемых услуг в ресторанной сфере.
Общественное питание является динамично
развивающейся отрасльюэкономики. В связи с тем, что она затрагивает интересы
практически всего населения (как проживающего на данной территории, так и
приезжих),общественное питание быстро реагирует на потребности рынка.
Потребитель результатов деятельности предприятий
ресторанного бизнеса - конкретный индивид. Общественное питание является
отраслью социальной сферы, качество функционирования которой во многом
определяет не только уровень удовлетворенного спроса совокупного потребителя,
но и характер решения многих социальных проблем в рамках социальной политики
государства.
Общественное питание становится все более
инвестиционно привлекательным для зарубежных партнеров, заинтересованных в
развитии ресторанного бизнеса в Беларусии.
В настоящее время большинство предприятий сферы
ресторанного бизнеса следует относить к многопрофильным предприятиям, поскольку
они удовлетворяют не только базовые, физиологические потребности посетителей,
но и коммуникативные потребности, потребности в проведении тех или иных форм
досуга, а также в получении определенных культурных благ.
На тех территориях, где рыночная инфраструктура
недостаточно развита и поэтому современные логистические цепи в рамках
поставки, переработки и хранении продуктов питания отсутствуют, предприятия
ресторанного бизнеса налаживают прямые длительные хозяйственные связи
непосредственно с производителями сельхозпродукции. Последние формируют
продовольственный комплекс.
В последние десятилетия многие предприятия
ресторанного бизнеса включают в содержание своей хозяйственной деятельности
культурно-развлекательные программы, поставку определенного вида
культурно-досуговых услуг. В то же время хозяйствующие субъекты общественного
питания выступают своего рода структурными подразделениями крупных
развлекательных комплексов, казино, клубов так называемой
«досугово-развлекательной» специализации. Поэтому в этом контексте речь идет о
взаимодействии сферы ресторанного бизнеса с культурно-развлекательным
комплексом .Поэтому я предложила услугу “Тюремное кафе”
Сфера ресторанного бизнеса содействует развитию
въездного туризмав соответствующем регионе. Это, в свою очередь, создает
условия для комплексного территориального развития посредством эффекта
мультипликатора через повышение деловой активности региона и его инвестиционной
привлекательности. Создавая в отрасли новые рабочие места, расширяя туристскую
инфраструктуру и повышая эффективность ее функционирования, ресторанный бизнес
решает как экономические, так и социальные функции.
Таким образом, современные предприятия
ресторанного бизнеса могут тесно взаимодействовать с различными отраслевыми
комплексами: продовольственным, торгово-сбытовым, туристско-экскурсионным,
рекреационным, культурно-развлекательным, комплексом социальной защиты
населения.
Сфера ресторанного бизнеса играет важную роль и
в смягчении проблемы занятости населения. В этом проявляется одна из ее
важнейших социальных функций. В силу того что, с одной стороны, в данной сфере
весьма высока доля ручного труда, а с другой - наблюдается ярко выраженная
устойчивая тенденция бурного экономического роста в отрасли, сфера ресторанного
бизнеса существенно влияет на уровень и структуру безработицы, емкость рынка
труда соответствующих специальностей, его структурные сдвиги и т.п.
В мегаполисах, крупных культурных и туристских
центрах ресторанное дело играет особую роль. Основными клиентами предприятий
отрасли выступают туристы в рамках внешнего и внутреннего туризма. При этом
многие заведения ресторанного типа функционируют на территории туристских
комплексов, заповедников, дворцово-парковых ансамблей и т.п.
Велика роль отрасли и в процессах
взаимопроникновения национальных культур. Предприятия ресторанного дела
выступают своеобразными проводниками национального кулинарного искусства,
национальной кухни, национальных традиций приготовления и потребления пищи.
Речь идет о решении строго определенных глобальных социальных задач на
планетарном уровне. Изначально, формируясь вне отраслевой экономики, эти задачи
переносятся на уровень конкретных предприятий.
Подытоживая выше сказанное, необходимо сказать,
что только развитие туризма, рекреации, образования в области ресторанного
бизнеса, минимальное вмешательство государства (только в проблемных вопросах
тарифов, стандартов), налаживания системы снабжения, транспорта и сферы услуг
будет иметь результатом развитие ресторанной отрасли, а постоянное внедрение
инноваций, инвестиции и жесткая конкуренция - увеличение уровня ее глобальной и
региональной конкурентоспособности.
Список
использованных источников
1. Милл, Роберт Кристи.
Управление рестораном : учебник для студентов вузов / Р.К. Милл. - 3-е изд. -
Москва : Юнити, 2009. - 518 с.
2. Хмырова, Светлана
Валентиновна. Ресторанный маркетинг : учеб. пособие для стуюентов вузов / С.В.
Хмырова. - Москва : Юнити, 2010. - 252, [2] с.
. Темерева, Наталия
Викторовна. Бистро : С чего начать. Как преуспеть : практ. пособие / Н.В.
Темерева. - Москва : Дашков и К, 2010. - 134, [1] с.
. Темерева, Наталия
Викторовна. Закусочная на колесах : Эффективные решения бизнеса : практ.
пособие / Н.В. Темерева. - Москва : Дашков и К, 2010. - 198, [1] с.
. Саак, А.Э. Менеджмент в
индустрии гостеприимства (гостиницы и рестораны) [Текст] : учебн. пособие /
А.Э. Саак, М В. Якименко. - СПб. : Питер, 2008. - 432 с. : ил.
. Волкова, Ирина
Владимировна. Ресторанный бизнес в России: с чего начать и как преуспеть :
научно-популярная литература / И.В. Волкова, Я.И. Миропольский, Г.М. Мумрикова,
изд. 5-е, испр. - М. : Флинта: Наука, 2006. - 184 с. + ил.
. Милл, Роберт Кристи.
Управление рестораном : учебник для студентов вузов / Р.К. Милл. - 3-е изд. -
Москва : Юнити, 2009. - 518 с.
. Темерева, Наталия
Викторовна. Закусочная на колесах : Эффективные решения бизнеса : практ. пособие
/ Н. В. Темерева. - Москва : Дашков и К, 2010. - 198, [1] с.
. Саак, А.Э. Менеджмент в
индустрии гостеприимства (гостиницы и рестораны) [Текст] : учебн. пособие /
А.Э. Саак, М.В. Якименко. - СПб. : Питер, 2008. - 432 с. : ил.
. Волкова, Ирина Владимировна.
Ресторанный бизнес в России: с чего начать и как преуспеть : научно-популярная
литература / И. В. Волкова, Я.И. Миропольский, Г.М. Мумрикова, изд. 5-е, испр.
- М. : Флинта: Наука, 2006. - 184 с. + ил.
.Рестораны в беларуси //[Электронный
ресурс]. - Режим доступа : #"580654.files/image057.gif"> (А.1)
-3,1
-0,6
6,2
5,5
-0,1
-1,3
4,9
4,6
3,5
3,1
Вычисленное по формуле (А.1)
значение
сравнивается
с критическим
, которое
берется из таблицы значений t-Стьюдента с учетом заданного уровня значимости
и числа
степеней свободы k = n-2 либо при помощи функции MS Excel «СТЬЮДРАСПОБР».
Если
, то величина коэффициента
корреляции признается существенной.
С учетом принятых в
экономико-статистических исследованиях значимости
и числа
степеней свободы k = 10-2 табличное критическое значение
. Тогда
можно сделать вывод о том, что величина коэффициента корреляции существенна для
факторов Х3, Х4, Х7, Х8, Х9и Х10 и несущественна для факторов Х1, Х2, Х5 и Х6.
Коэффициент детерминации
рассчитывается как квадрат коэффициента корреляции.
КДХ1=0,742 =0,55
Изменение прибыли определяется
изменением численности Беларусь тыс. чел на 55%.
КДХ2=0,222=
0,048
Изменение прибыли определяется
изменением прибывших в Беларусь тыс.человек на 4,8%.
КДХ3=0,912=
0,83
Изменение прибыли определяется
изменением затрат на рекламу на 83%.
КДХ4=0,892=0,79
Изменение прибыли определяется
денежным доходом населения на 79%.
КДХ5=0,032 =0,0009
Изменение прибыли определяется
изменением приобретением новых технологий на 0,09%.
КДХ6=0,412=
0,17
Изменение прибыли определяется инфляцией
на 17%.
КДХ7=0,872=
0,76
Изменение прибыли определяется
субъектами малого предпринимательства на 76%.
КДХ8=0,852 =0,72
Изменение прибыли определяется
изменением числа пользователей Интернет на 72%.
КДХ9=0,782=0,61
Изменение прибыли определяется изменением
индекса потребительских цен на 61%.
КДХ10=0,742=0,55
Изменение прибыли определяется
количеством людей с высшим образованием на 55%.
Для получения выводов о практической
значимости, синтезированной в анализе модели показаниям тесноты связи дается качественная
оценка по таблице А.3:
Таблица А.3 - Качественная оценка
тесноты связи
|
Теснота
связи
|
Значение
коэффициента корреляции при наличии
|
|
прямой
связи
|
обратной
связи
|
|
1
|
2
|
3
|
|
Слабая
|
0,1
- 0,3
|
(-0,1)
- (-0,3)
|
|
Умеренная
|
0,3
- 0,5
|
(-0,3)
- (-0,5)
|
|
Заметная
|
0,5
- 0,7
|
(-0,5)
- (-0,7)
|
|
Высокая
|
0,7
- 0,9
|
(-0,7)
- (-0,9)
|
|
Очень
высокая
|
0,9
- 0,99
|
(-0,9)
- (-0,99)
|
Источник: [4]
При сравнении полученных коэффициентов
корреляции (таблица А.2) с данными таблицы А.3 видно, что факторы Х3, Х4, Х7,
Х8, Х9 и Х10 имеют прямую очень высокую связь с фактором «прибыль», фактор Х1и
Х6- обратную, очень высокую связь, Х2- обратную, заметную, Х5- обратную,
слабую.
Самыми значимыми будут факторы, у которых rрасч
больше 0,632 и t-статистика больше 2,306. В нашем анализе - это
затраты на рекламу, денежные доходы населения, субъекты малого
предпринимательства, число пользователей Интернет, индекс потребительских цен,
количество людей с высшим образованием.
Приложение
Б
Таблица Б.1 - Данные регрессионного анализа в
Exel
|
Регрессионная
статистика
|
|
Множественный
R
|
0,92
|
|
R-квадрат
|
0,84
|
|
Нормированный
R-квадрат
|
0,75
|
|
Стандартная
ошибка
|
25309,46
|
|
Наблюдения
|
10
|
Дисперсионный анализ
|
df
|
SS
|
MS
|
F
|
Значимость
F
|
|
Регрессия
|
3
|
19671932079
|
6557310693
|
10,24
|
0,009
|
|
Остаток
|
6
|
3843411928
|
640568654,7
|
|
|
|
Итого
|
9
|
23515344007
|
|
|
|
|
Коэффициенты
|
Стандартная
ошибка
|
t-статистика
|
P-Значение
|
Нижние
95%
|
Верхние
95%
|
Нижние
95,0%
|
Верхние
95,0%
|
|
Y-пересечение
|
49722,1
|
54561,53
|
0,91
|
0,39
|
-83785,15
|
183229,35
|
-83785,15
|
183229,35
|
|
Затраты
на рекламу
|
2502,27
|
2125,92
|
1,17
|
0,28
|
-2699,66
|
7704,2
|
-2699,66
|
7704,2
|
|
Денежные
доходы населения
|
0,72
|
2,88
|
0,25
|
0,81
|
-7,77
|
6,33
|
-7,77
|
6,33
|
|
Субъекты
малого предпринимательства
|
21,99
|
82,28
|
0,27
|
0,79
|
-223,32
|
179,33
|
-223,32
|
179,33
|
Источник: собственная разработка
По данной таблице оценивается полученное
уравнение регрессии
ŷ = 49722,1 +2502,27 x1 +0,72 x2 + 21,99х3.
Критерии проверки:
· t-значение фактическое должно
превышать табличное;
· R2 фактическое должно
превышать табличное;
· F-критерий фактический должен быть
меньше табличного;
· Р-уровень должен быть меньше
табличного.
Если все вышеуказанные условия соблюдаются, то
уравнение регрессии является значимым с вероятностью 95%.
Условие р-уровня не выполняется, значит,
полученный результат носит случайный характер. Выполняется только два условие:
F-критерий соответствует табличному и R2 фактическое превышает
табличное Это свидетельствует о том, что уравнение значимо и может быть
использовано в дальнейших расчетах.
Приложение
В
Рассчитаем численность выборки, необходимой для
проведения исследования. Для этого используем случайной бесповоротной выборки
по формуле (1) :
=
(1)
где n- объём выборки;коэффициент доверия,
определяемый по таблице в зависимости от заданной вероятности4 т.к. p=0.954, то
t=2;
-среднее
квадратичное отклонение;
Δ - допустимая ошибка.
Среднее квадратичное отклонение определяется по
формуле (2):
=1/6*(
)
(2)
где
-
максимальный возраст =69 лет;
- минимальный
возраст = 15 лет.
=1/6*(69-15)=
1/6*54=9
Можем просчитать допустимую ошибку выборки. Ошибкой
выборки является отклонение результатов, полученных с помощью выборочного
наблюдения от истинных данных генеральной совокупности.
Допустимая ошибка определяется по формуле (3):
*0.03=2,07
Теперь получим объём выборки:
n=
*
=(4*81)/4,2849=76
человек.
Таким образом, необходимый объём выборки для
проведения исследования составляет 76 человек.
Далее рассчитаем репрезентативность выборки.
=
(4)
= 284551032,5/7065720=
40,3 лет
= 40,2
лет
Оценка репрезентативности выборки по формуле
(5):
(5)
1,95 (4,85% <
5%), значит ,выборка репрезентативна.
,35
40,3
42,25
Произвёдем расчёт половозрастной структуры
детерминированной выборки по Республике Беларусь. Результаты расчетов по
генеральной совокупности представлены в таблице 2.
Таблица 2 -Расчёты половозрастной структуры детерминированной
выборки
|
Численность
населения в возрасте, лет
|
Все
население
|
|
оба
пола
|
%
от численности
|
мужчины
|
%
от возрастной группы
|
женщины
|
%
от возрастной группы
|
|
15-19
|
586677
|
8,3
|
303339
|
51,7
|
283338
|
48,3
|
|
20-29
|
1523533
|
21,6
|
781766
|
51,3
|
741767
|
48,7
|
|
30-39
|
1351950
|
19,1
|
669894
|
49,5
|
682056
|
50,5
|
|
40-49
|
1390100
|
19,7
|
671050
|
48,3
|
719050
|
51,7
|
|
50-59
|
1401893
|
19,8
|
636937
|
45,4
|
764956
|
54,6
|
|
60-69
|
811567
|
11,5
|
345782
|
42,6
|
465785
|
57,4
|
|
Общая
численность
|
7065720
|
100
|
3408768
|
|
3656952
|
|
Источник: статистические данные
Исходя из данных по численности населения, можно
просчитать количество респондентов выборочной совокупности по полу и возрасту.
Необходимый объем выборки для проведения исследования составляет 71 человек. И
следовательно нужно опросить:
. респондентов в возрасте от 15 до 19 лет в
количестве 6 человек (из них 3 мужчины и 3 женщины)
. респондентов в возрасте от 20 до 29 лет в
количестве 16человек (из них 8мужчин и 8 женщин)
. респондентов в возрасте от 30 до 39 лет в
количестве 15 человек (из них 7 мужчин и 8 женщин)
. респондентов в возрасте от 40 до 49 лет в
количестве 15 человек (из них 7 мужчин и 8 женщин)
. респондентов в возрасте от 50 до 59 лет в
количестве 15 человек (из них 7 мужчин и 8 женщин)
. респондентов в возрасте от 60 до 69 лет в
количестве 9 человек (из них 4 мужчины и 5 женщин).
Приложение
Г
Анкета
Уважаемый респондент!
Наша компания проводит опрос для исследования
уровня удовлетворённости ресторанными услугами в Республике Беларусь. Для этого
Вам необходимо ответить на несколько несложных вопросов.
.Посещаете ли Вы рестораны?
а)Да
б)Редко(по обстоятельствам)
в)Нет , укажите причину_____________________
(переходите к вопросу 10)
.Устраивает ли Вас качество обслуживания в
ресторане?
а)Да(переходите к вопросу 4)
б)Скорее да,чем нет
в)Скорее нет,чем да
г)Нет
.Что Вас больше не устраивает в обслуживании?
а)Грубые официанты
б)Высокие цены
в)Дизайн ресторана
г)Свой вариант ответа
.Устраивает ли Вас качество еды в ресторане?
а)Да(переходите к вопросу 6)
б)Не всегда
в)Нет
.Что именно Вас не устраивает в меню ресторана?
а)Качество еды
б)Долгое приготовление еды
в)Небольшой выбор блюд
г)Свой вариант ответа
.Вы считаете, что в ресторане должны быть блюда
нескольких национальностей?
а) Да
б)Нет
.Блюдо какой национальности Вы предпочли бы в
ресторане?
а) Китайская кухня
б)Итальянская кухня
в)Французская кухня
г)Азиатская кухня
д)Белорусская кухня
е)Свой вариант ответа
.Как часто Вы посещаете ресторан?
а)1-3 раза в неделю
б)1-3 раза в месяц
в)1-3раза в полгода
г)1-3 раза в год
д)По обстоятельствам (праздник, свадьба)
.В какое время суток Вы предпочитаете посещать
ресторан?
а)Утром
б)Днем
в)Вечером
г)Ночью
.Что из перечисленного привлекло бы Вас посетить
ресторан?
а)Разнообразное меню
б)Скидки
в)Хорошие отзывы о ресторане
г)Живая музыка
д)Возможность заказать еду до прихода в ресторан
.В какой компании Вы бы хотели посетить
ресторан?
а)С семьей
б)С друзьями
в)С девушкой/парнем
г)Один
.Знаете ли Вы ,что такое сенсорный или
информационный киоск?
а)Да
б)Нет
.Пользовались ли Вы услугами информационного
киоска?
а)Да
б)Нет
.Хотели бы Вы воспользоваться информационным
киоском в ресторане?
а)Да
б)Нет
.Хотели бы Вы, чтобы к Вашему приходу в
ресторан, все блюда были готовы?
а)Да
б)Нет
.Укажите Ваш пол:
а)Женский
б)Мужской
.Укажите Ваш возраст:
а)15-20
б)21-29
в)30-39
г)40-49
д)50-59
е)60-69
.Укажите Ваше семейное положение:
а)Не женат/не замужем
б)Женат/замужем
.Есть ли у Вас дети?
а)Да
б)Нет
.Укажите Ваш доход в месяц:
а)Менее 1 млн рублей
б)1-2 млн рублей
в)2-3 млн рублей
г)3-4 млн рублей
д)Более 4 млн рублей
Благодарим за участие в опросе! Ваше мнение
важно для нас!
Приложение
Ж
Рассчитаем коэффициент значимости по каждому из
оцениваемых показателей по формуле (Ж.1):
(Ж.1)
где
-
коэффициент значимости по i-тому оцениваемому показателю;
- оценка i-того
показателя j-тым экспертом;
- эксперты.
Кзн1= (3+3,5+6,5+2,5+5)/5=4,1
Кзн2= (3+5,5+3,5+2,5+2)/5=3,3
Кзн3= (3+1,5+1+5,5+2)/5=2,6
Кзн4= (6,5+3,5+3,5+5,5+2)/5=4,2
Кзн5= (3+5,5+3,5+5,5+5)/5=4,4
Кзн6= (3+1,5+3,5+1+5)/5=2,8
Кзн7= (6,5+7+6,5+5,5+7)/5=6,5
Для того чтобы определить, можно ли использовать
данные коэффициенты, необходимо рассчитать степень согласованности мнений
экспертов. Для этого присвоим оценкам экспертов места от 1 до 7.
Таблица Ж.1 - Распределение мест по оценкам
экспертов
|
Эксперты
|
Показатели
качества туристических услуг
|
|
|
Наличие
развитой гостиничной инфраструктуры
|
Наличие
развитой ресторанной инфраструктуры
|
Государственное
регулирование гостиничной отрасли
|
Государственное
регулирование ресторанной отрасли
|
Оказание
гостиничных услуг
|
Качество
оказания ресторанного обслуживания
|
Дополнительные
услуги в двух отраслях
|
|
Эксперт
1
|
3
|
3
|
3
|
6,5
|
3
|
3
|
6,5
|
|
Эксперт
2
|
3,5
|
5,5
|
1,5
|
3,5
|
5,5
|
1,5
|
7
|
|
Эксперт
3
|
6,5
|
3,5
|
1
|
3,5
|
3,5
|
3,5
|
6,5
|
|
Эксперт
4
|
2,5
|
2,5
|
5,5
|
5,5
|
5,5
|
1
|
5,5
|
|
Эксперт
5
|
5
|
2
|
2
|
2
|
5
|
5
|
7
|
|
Всего
|
20,5
|
16,5
|
13
|
21
|
22
|
14
|
32,5
|
Источник: собственная разработка
Теперь оценим степень согласованности мнений,
используя коэффициент конкордации (Ж.2):
(Ж.2)
где,
;
.
Когда ранги повторяются, то для получения
нормальной ранжировки, имеющей среднее значение ранга, которое находится по
формуле (Ж.3):
(Ж.3)
Рассчитаем для коэффициента конкорнации по
формуле (Ж.4):
(Ж.4)
7
17
7
7
7
Рассчитаем S для расчёта конкордации по
числителю из формулы (Ж.2):
S=
+
+
+
+
+
+
=258,72
Тогда коэффициент конкордации равен:
Так как коэффициент равен 0,59 и это больше чем
0,5, значит, мнение экспертов согласовано.