Оцінка параметрів неоднорідного вхідного потоку у телекомунікаційних мережах

  • Вид работы:
    Дипломная (ВКР)
  • Предмет:
    Информатика, ВТ, телекоммуникации
  • Язык:
    Украинский
    ,
    Формат файла:
    MS Word
    3,8 Мб
  • Опубликовано:
    2012-11-10
Вы можете узнать стоимость помощи в написании студенческой работы.
Помощь в написании работы, которую точно примут!

Оцінка параметрів неоднорідного вхідного потоку у телекомунікаційних мережах











ДИПЛОМНА РОБОТА

Оцінка параметрів неоднорідного вхідного потоку у телекомунікаційних мережах

Вступ

херст мобільний імітаційний трафік

Швидкий прогрес технологій дозволив значно збільшити продуктивність і пропускну спроможність усіх видів мереж і створити багато нових видів послуг. Різко підвищився попит на надання інтегральних послуг (передача мови, даних, зображень, мультимедійної інформації) у рамках однієї мультисервісної мережі зв'язку.

З розвитком технологій змінилася і сама структура процесів, що відбуваються в телекомунікаційних мережах. Були виявлені нові властивості трафіку: наявність самоподібної природи і довготривалої залежності досліджуваного процесу. До теперішнього часу показано, що самоподібну структуру має телетрафік в дротяних мережах при роботі широко поширених протоколів Ethernet, OKC7, VоIP, TCP, та ін. Аналогічні ефекти виявлені в стільникових телефонних мережах з комутацією пакетів, в мережах з технологією безпровідного доступу.

Слід зазначити, що самоподібність трафіку спостерігається лише в певному діапазоні часових шкал і є основи вважати, що трафік має складнішу структуру. Тобто трафік є неоднорідним. Це відбувається внаслідок того, що в одному фізичному каналі є присутньою величезна кількість інформації, різної за своєю природою (аудіо, відео, дані).

Нині спостерігається глобалізація усіх процесів. У області телекомунікацій це відбивається в тому, що з'явилися глобальні телекомунікаційні мережі, в яких число абонентів досягає сотні тисяч. У зв'язку з цим важливим завданням є визначення повного навантаження на сервера в таких системах, тобто необхідно визначити розподіл сукупного потоку, що входить, в телекомунікаційній системі з великим числом джерел. В останні 20 років це завдання є актуальним.

1. Основні положення теорії фракталів і самоподібних процесів

.1 Фрактали і мультифрактали

Фракталами Мандельброт називав геометричні об'єкти: лінії поверхні, просторові тіла, що мають сильно порізану форму, які можуть мати властивість самоподібності. Слово "фрактал" походить від латинського слова fructus і переводиться як дробовий, ламаний. Фрактальний об'єкт має нескінченну довжину, що істотно виділяє його на тлі об'єктів традиційної геометрії Евкліда. Фрактал, який має властивість самоподібності, більш менш однаково влаштований в широкому діапазоні масштабів, тобто існує схожість характеристик фрактала при розгляді його на різних розширеннях. У ідеальному випадку самоподібність призводить до того, що фрактальний об'єкт стає інваріантним при зміні масштабу. Фрактальний об'єкт може і не бути самоподібним, але у тих фракталів, про які піде мова, всюди спостерігаються самоподібні властивості, тому, коли йтиметься про самоподібний трафік, мається на увазі, що його тимчасові реалізації є фракталами.

Для виниклого природним чином (природного) фрактала існує деякий мінімальний масштаб довжини  такий, що на масштабах  його фрактальна структура не підтримується. Крім того, на досить великих масштабах , де  - характерний геометричний розмір об'єктів в даному оточенні, фрактальна структура об'єкту також порушується. Тому властивості природних фракталів розглядаються лише на масштабах , що задовольняють співвідношенню .

Такі обмеження стають зрозумілими, коли як приклад фрактала наводиться зламана (нерівна) траєкторія броунівської частини. На малих масштабах на неї робить вплив скінченість маси і розмірів броунівської частки, а також закінченість часу зіткнення. При врахуванні цих обставин траекторія броунівської частки стає плавною кривою і втрачає свої фрактальні властивості. Значить, масштаб , на якому можна розглядати броунівський рух у рамках фрактальної теорії, обмежений вказаними чинниками. Якщо говорити про обмеження масштабу "згори" (), то очевидно, що траекторія руху броунівської частки обмежена деяким простором, в який вона поміщена, наприклад, ємністю з рідиною, в яку поміщають часточки фарби в класичній роботі з ідентифікації броунівського руху.

Відмітимо, що властивість точної самоподібності характерна лише для регулярних фракталів. Якщо замість детермінованого способу побудови включити в алгоритм їх створення деякий елемент випадковості, то виникають так звані випадкові (стохастичні) фрактали. Основна їх відмінність від регулярних полягає в тому, що властивості самоподібності справедливі тільки після відповідного усереднювання по усіх статистично незалежних реалізаціях об'єкту. При цьому збільшена частина фрактала не повністю ідентична початковому фрагменту, проте їх статистичні характеристики співпадають. До класу самоподібних стохастичних фракталів відносять і мережевий трафік. Тому в літературі поняття фрактального і самоподібного трафіку часто використовуються як синоніми, коли це не призводить до плутанини.

Фрактальна розмірність множини

Відмінною властивістю фрактала є наявність у нього дробової розмірності. Формалізуємо поняття фрактальної розмірності і приведемо методику її обчислення.

Відповідно до алгоритму [1] для визначення хаусдорфовой розмірності  деякої множини, що займає область з об'ємом  в D-мірному просторі, покриємо цю множину кубами з об'ємом . Мінімальне число таких непорожніх кубів, що покривають множину, є . З цього виразу можна отримати наближену оцінку

 (1.1)

На практиці зручніше для оцінки цієї розмірності використати математичну конструкцію, відому як розмірність Реньї, , пов'язану з ймовірністю  знаходження контрольної точки в i- й ячійці в степеню q:

, q=0,1,2…. (1.2)

При q→ 0 з формули (1.2) маємо

 (1.3)

тобто розмірність Реньї  співпадає з хаусдорфовой розмірністю (1.1). В силу монотонності  як функції q розмірність Реньї зменшується як функція степені, і тому виконується наступна нерівність: . Таким чином, найбільша нижня межа хаусдорфової розмірності представима у виді

 (1.4)

зважаючи, що ймовірність знаходження контрольної точки в i-й ячійці  оцінюється як

 (1.5)

де N - загальне число контрольних точок через інтервали 1/L;  - число точок в i-й ячійці.

Формула (1.4) може бути розрахована з експериментально виміряних тривалостей сегментів. На практиці найбільшу нижню межу розмірності  можна обчислити як тангенс кута нахилу лінійної регресії наступних точок:

,

обчислиних при різних .

Мультифрактали

Під мультифракталами розуміють неоднорідні фрактальні об'єкти, для повного опису яких, на відміну від регулярних фракталів, недостатньо введення усього лише однієї величини, його фрактальної розмірності , а потрібний цілий спектр такої розмірності, число якої в загальному випадку нескінченно. Причина цього полягає в тому, що разом з чисто геометричними характеристиками, визначуваними величиною , такі фрактали мають і деякі статистичні властивості.

Приведемо опис мультифрактальних об'єктів з формальної точки зору. Розглянемо фрактальний об'єкт, що займає обмежену область £, що характеризується розміром L в просторі Евкліда розмірністю D. Нехай на якомусь етапі побудови фрактал є множиною з  точок, якось розподілених в цій області. Припускатимемо, що . Розіб'ємо усю область £ на ячійки зі стороною  які охоплюють  одиниць розглядає мого простору. Нас цікавитимуть тільки зайняті ячійки, в яких міститься хоч би одна точка з К, що належить цьому фракталу. Нехай індекс зайнятих ячійок i змінюється в межах i = 1,2, … , де  - сумарна кількість зайнятих ячійок, яка залежить від розміру сторони ячійки . Нехай  є кількістю точок в йчійці з індексом i, тоді величина

 (1.6)

є ймовірністю того, що навмання узята точка з множини знаходиться в ячійці i. З умови нормування ймовірності виходить, що . Введемо в розгляд узагальнену статистичну суму , що характеризується показником степені q, який може набувати будь-яких значень в інтервалі :

 (1.7)

Визначення 1.1. Спектром узагальненої фрактальної розмірності Реньї , що характеризують розподіл точок в області £, називається сукупність величин

 (1.8а)

де

 (1.8б)

Якщо , тобто не залежить від q, то ця множина точок є звичайним, регулярним фракталом, який характеризується усього лише однією величиною - фрактальною розмірністю . Напротив, якщо функція  якось змінюється з q, то дана множина точок є мультифракталом.

Таким чином, мультифрактал в загальному випадку характеризується деякою нелінійною функцією , що визначає поведінку статистичної суми  при :

Розглянемо, як поводиться узагальнена статистична сума у разі звичайного регулярного фрактала з фрактальною розмірністю . В цьому випадку в усіх зайнятих ячійках міститься однакова кількість точок , тобто фрактал є однорідним. Тоді очевидно, що відносні населеності усіх ячійок  теж однакові і узагальнена статистична сума набирає вигляду

(1.10)

Врахуємо тепер, що згідно з визначенням фрактальної розмірності  число зайнятих ячійок при досить малому ε поводиться наступним образом:


Підставляючи (1.11) в (1.10) і порівнюючи з (1.9), приходимо до висновку, що у разі звичайного фрактала функція


тобто є лінійною. Тоді усі  і дійсно не залежать від q. Для фрактала, уся узагальнена фрактальна розмірність  якого співпадають, часто використовується термін «монофрактал».

Якщо розподіл точок по ячійкам неоднаковий, то фрактал є неоднорідним, тобто представляє з себе мультифрактал, і для його характеристики потрібний цілий спектр узагальненої фрактальної розмірності , число яких в загальному випадку нескінченно.

Для характеристики розподілу точок необхідно знати не лише функцію , але і її похідну, що безпосередньо обчислюється з виразів (1.8б) і (1.7) :


Ця похідна має важливий фізичний сенс. Якщо вона не залишається постійною і змінюється з q, то це означає, що ми маємо справу з мультифракталом.

Фрактальна розмірність  і інформаційна розмірність

З'ясуємо, який фізичний сенс має узагальнена фрактальна розмірність  для деяких значень q. Так, при q=0 з вираження(1.7) виходить, що .

З іншого боку, згідно з формулами (1.9) и (1.8а)


Зіставляючи ці дві рівності, приходимо до співвідношення . Це означає, що величина  є звичайною хаусдорфовою розмірністю множини £, яка є найбільш грубою характеристикою мультифрактала і не несе інформації про його статистичні властивості.

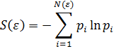
З'ясуємо тепер фізичний сенс величини . Можна показати, що


З точністю до знаку сума в цій формулі є ентропією фрактальної множини S(ε):

В результаті узагальнена фрактальна розмірність  пов'язана з ентропією S(ε) співвідношенням


Ґрунтуючись на подібних міркуваннях, Клод Шеннон узагальнив поняття ентропії S на абстрактні задачі теорії передачі і обробки інформації. Для цих задач ентропія стала мірою кількості інформації, необхідної для визначення системи в деякому стані i. Іншими словами, вона є мірою нашого незнання про систему. Повертаючись до початкової задачі про розподіл точок на фрактальній множині £, можна сказати, що оскільки


величина  характеризує інформацію, необхідну для визначення місця розташування точки в деякій ячійці. У зв'язку з цим узагальнену фрактальну розмірність  часто називають інформаційною розмірністю. Вона показує, як інформація, необхідна для визначення місця розташування точки, зростає при наближенні розміру ячійки ε до нуля.

Свойства фунцйії . Як ми вже говорили, мультифрактал характеризується неоднорідним розподілом точок по ячійкам. В той же час, якби точки, що становлять мультифрактал, були б розподілені по ньому рівномірно по усім N(ε) ячійкам з ймовірністю , ентропія такого розподілу була б максимальна і рівна

Іншими словами, вона була б більше фактичної величини ентропії мультифрактала, розрахованої для реального неоднорідного розподілу точок, . Звідси слідує важливий висновок, що інформаційна розмірність мультифрактала  завжди менше або дорівнює його хаусдорфовой розмірності Цю нерівність можна узагальнити для довільного показника міри q і довести, що узагальнена фрактальна розмірність завжди монотонно спадає(чи в крайньому випадку залишається постійною) із зростанням q: при . Знак рівності має місце, наприклад, для однорідного фрактала. Максимального значення  величина  досягає при q→-∞, а мінімального  при q→∞.

Спектр фрактальних розмірностей. Таким чином, вище сформульовано поняття мультифрактала - об'єкту, що є неоднорідним фракталом. Для його опису введений набір узагальненої фрактальної розмірності , де q набуває будь-яких значень в інтервалі . Проте величини  не являються, строго кажучи, фрактальною розмірністю в загальноприйнятому розумінні цього слова. З цієї причини вони і називаються узагальненою розмірністю.

Тому часто разом з ними для характеристики мультифрактальної множини використовують функцію мультифрактального спектру f(α) (спектр сингулярностей мультифрактала), до якої більше підходить термін "фрактальна розмірність". Покажемо, що величина f(α) фактично дорівнює хаусдорфовій розмірності деякої однорідної фрактальної підмножини з початкової множини £, яке дає домінуючий вклад в статистичну суму при заданій величині q.

Однією з основних характеристик мультифрактала є набір ймовірностей pi, що показують відносну заселеність ячійок ε, якими можна покрити досліджувану множину. Чим менше розмір ячійки, тим менше величина її заселеності. Для самоподібних множин залежність pi від розміру ячійки ε має степенний характер:


де αi , є деяким показником степені(різний, взагалі кажучи, для різних ячійок i). Відомо, що для регулярного(однорідного) фрактала усі показники степені αi однакові і дорівнюють фрактальній розмірності Df :


В цьому випадку статистична сума (1.7) має вигляд


Тому  і усі узагальнені фрактальні розмірності  в цьому випадку співпадають і не залежать від q.

Проте для такого складнішого об'єкту, як мультифрактал, внаслідок його неоднорідності, ймовірність заповнення ячійок pi в загальному випадку неоднакова і показник степені αi для різних ячійок може набувати різних значень. У разі монофрактала, для якого усі αi однакові(і дорівнюють фрактальній розмірності ), число N(ε), очевидно, степенним чином залежить від розміру ячійки ε. Так що . Показник степені в цьому співвідношенні визначається фрактальною розмірністю множини .

Для мультифрактала це не так, і різні значення αi зустрічаються з ймовірністю, що характеризується не однією і тією ж величиною , а різними(залежно від α) значеннями показника степені f(α),

Таким чином, фізичний сенс функції f(α) полягає в тому, що вона є хаусдорфовою розмірністю деякої однорідної фрактальної підмножини £α з початкової множини £, що характеризується однаковими ймовірностями заповнення ячійок . Оскільки фрактальна розмірність підмножини очевидно завжди менше або дорівнює фрактальній розмірності початкової множини , має місце важлива нерівність для функції f(α):


В результаті приходимо до висновку, що набором різних значень функції f(α) (при різних α) є спектр фрактальних розмірностей однорідних підмножин £α початкової множини £, кожне з яких має своє власне значення фрактальної розмірності f(α).

Оскільки будь-якій підмножині належить лише частина від загального числа ячійок N(ε), на які розбита початкова множина £, умова нормування ймовірностей , очевидно, не виконується при підсумовуванні тільки по цій підмножині. Сума цієї ймовірності виявляється менше одиниці. Тому і самі ймовірності  з одним і тим же значенням αi, очевидно, менше(чи в крайньому випадку одного порядку), ніж величина , яка обернено пропорційна до числа наявних ячійок, що покривають цю підмножину(нагадаємо, що у разі монофрактала ). В результаті приходимо до наступної важливої нерівності для функції f(α). А саме, при усіх значеннях α


Знак рівності має місце, наприклад, для повністю однорідного фрактала, де f(α)= α=.

1.2 Самоподібні процеси

Визначення і властивості самоподібних процесів

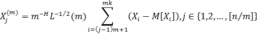
Розглянемо дискретний в часі випадковий процес або часовий ряд X(t), t, где X(t) () інтерпретується як об'єм трафіку (вимірюваний в пакетах, байтах або бітах) до моменту часу t.

Визначення 1.2. Будемо вважати, що дійсно значний процес  має стаціонарні прирости, якщо


Тут позначення = означає рівність в скінченномірних розподілах.

Послідовність приростів для  при дискретному часі можна визначити як  . Для цілей трафикового моделювання вважатимемо процес Х(t) "стаціонарним" в широкому сенсі, накладаючи обмеження, що ковариационная функція -  є інваріантною відносно зрушення, тобто  для будь-яких . Припустимо, що перші два моменти  існують і кінцеві для будь-яких t. Тут М(-) - операція усереднювання; m - початковий момент (математичне очікування); σ2 - дисперсія процесу X(t). Приймемо для зручності m = 0. Оскільки за умови стаціонарності , позначимо коваріацію як R(k), а коефіцієнт кориляції .

Визначення 1.3. [2] Дійснозначний процес  є самоподібним з показником H>0 (H-ss), якщо для усіх а > 0 скінченномірні розподіли для  ідентичні скінченномірним розподілам ; тобто, якщо для будь-яких  і будь-яких a>0



Коротше рівняння (1.27) можна записати у виді


Формула (1.27) свідчить, що зміна тимчасового масштабу еквівалентна| зміні просторового масштабу станів. Тому типові реалізації самоподібного| процесу візуально схожі незалежно від масштаба| часу, на якому вони розглядаються. Це не означає, що процес| повторюється в точності, швидше спостерігається схожість статистичних властивостей через те, що статистичні характеристики при масштабуванні не змінюються [2]. Параметр H, що дістав назву "показник Херста", має надзвичайно важливе значення в теорії самоподібних| процесів|, оскільки є індикатором самоподібності| випадкового процеса|, характеризує властивість довготривалої залежності.

Самоподібні процеси з показником самоподібності| H отримали в літературі| спеціальне позначення H-ss. Невироджений самоподібний| H-ss процес не може бути стаціонарним. Проте існує важливий зв'язок між самоподібними| і стаціонарними процесами.

Теорема 1.1. [2] Якщо  є Н-ss, тоді

є стаціонарним. І навпаки, якщо  є стаціонарним, тоді


є Н-ss.

Теорема 1.1 показує, що існує безліч різних самоподібних процесів. З точки зору використання на практиці цікаві ті, що мають стаціонарні прирости, оскільки вони призводять до стаціонарних послідовностей з особливими властивостями.

Процес H-ss (Н-Self-Similar), що має стаціонарні прирости, отримав спеціальне позначення Н-sssi (Self-similar process with Self-similarity parameter H with Stationary Increments).

Визначення 1.4. [2] Процес  називається Н-sssi, якщо він є самоподібним з показником Н і має стаціонарні прирости.

Лема 1.1. [2]. Допустимо, що  є (невиродженим) процесом Н-sssi з нескінченною дисперсією. Тоді 0<H≤1, X(0)=0 майже завжди і коваріація визначається із співвідношення


Якщо X(t) являється (невиродженим) Н-sssi процесом з кінцевою дисперсією, тоді 0 < Н < 1. При моделюванні трафіку інтерес представляє діапазон 0,5 < Н < 1, оскільки Н-sssi процес X(t) з H < 0 не можливо виміряти і представляє патологічні випадки, тоді як для випадку Н > 1 автокореляція процесу приростів не існує. Діапазон 0 < H < 0,5 можна виключити з розгляду на практиці, оскільки в цьому випадку процес приростів являється КВЗ. Для практичних цілей важливий лише діапазон 0,5 < H < 1. У цьому діапазоні нормована кореляційна функція (коефіцієнт кореляції) процесу приростів Х(t)


має наступний вид:

Агрегований процес. Нехай  стаціонарний процес з кореляційною функцією R(k). Визначимо m-агрегований часовий ряд  усереднюючи початковий ряд по блоках розміру m, що не перекриваються, замінюючи кожен блок його середнім значенням, тобто


чи в компактнішому виді


і позначимо кореляційну функцію, що відповідає йому, як .

Визначення 1.5. Дискретний, випадковий процес  є строго самоподібним в широкому сенсі(exactly second-order self-similar) з показником самоподібності H (0,5<H<1), якщо


для будь-яких k≥1. X(t) є асимптотично самоподібним в широкому сенсі(second-order asymptotical self-similarity-H-sssa), якщо


Можна перевірити, що формула (1.36) має на увазі  для будь-яких m≥ 1. Тому самоподібність в широкому сенсі означає, що коваріаційна структура - точна умова (1.35) або приблизна (менш строга) умова (1.36) зберігається при агрегації тимчасового ряду.

Вид  не випадковий і припускає додаткову структуру (довготривалу залежність), до якої повернемося пізніше. Самоподібність другого порядку - це основна структура для моделювання мережевого трафіку.

Є зв'язок між строго самоподібним в широкому сенсі процесом і процесом, самоподібним у вузькому сенсі.

Визначення 1.6. Процес X називається самоподібним у вузькому сенсі (strictly self-similarity) з параметром Н = 1-β/2, 0 < β < 1, якщо , де = означає рівність скінченномірних розподілів;  - усереднений по блоках довжини т процес X, компоненти  якого визначаються рівністю


Зв'язок між процесом строго самоподібним в широкому сенсі і процесом, самоподібним у вузькому сенсі аналогічна зв'язку між процесами, стаціонарними в широкому і вузькому сенсі.

На додаток до статистичної подібності при масштабуванні самоподібні процеси можна виявити за декількома рівноцінними ознаками.

По-перше, вони мають гіперболічно затухаючу коваріаційну функцію виду


де L(t) - функція, що повільно змінюється на нескінченності (тобто для усіх

х > 0 ). Отже, коваріаційна функція є непідсумовуваною, і ряд, утворений послідовними значеннями коваріаційної функції, розходиться:


Ця нескінченна сума є ще одним визначенням довготривалої залежності (ДВЗ), тому майже усі самоподібні процеси є довготривало залежними. Наслідки цього дуже істотні, оскільки кумулятивний ефект в широкому діапазоні затримок може значно відрізнятися від того, який спостерігається в короткочасно залежном КВЗ (SRD-Short Range Dependence) процесі(наприклад, пуасоновський, марківський або авторегресійний(AR- AutoRegressive) процес).

Хоча у минулому аналіз телетрафіку в основному базувався на КВЗ моделях, наслідки ДВЗ можуть бути дуже серйозними. Оскільки ДВЗ є причиною тривалих пульсацій, які перевищують середні рівні трафіку, ця властивість призводить до переповнювання буферів і викликає втрати і/або затримки.

По-друге, вибіркова дисперсія агрегованих процесів затухає повільніше, ніж величина, зворотна розміру вибірки. Якщо ввести в розгляд нову тимчасову послідовність , отриману усереднюванням первинної послідовності  по послідовних блоках розміру m, що не перетинаються, тоді для самоподібних процесів виявиться характерним повільніше загасання дисперсії згідно із законом


тоді як для традиційних(несамоподібних) стаціонарних випадкових процесів , тобто затухає обернено пропорційно до довжини вибірки. Це говорить про те, що статистичні характеристики вибірки, такі як середнє значення і дисперсія, сходитимуться дуже повільно, особливо при H→1. Ця властивість відбивається на усіх заходах самоподібних процесів і буде детальніше розглянуто при оцінці статистичних характеристик.

По-третє, якщо розглядати самоподібні процеси в частотній області, то явище довготривалої залежності призводить до степенного характеру спектральної щільності поблизу нуля:


де 0 < γ < 1; L2 - що повільно змінюється в 0 і  - спектральна щільність. Отже, з позиції спектрального аналізу довготривала залежність має на увазі, що , тобто спектральна щільність прагне до +∞, коли частота ω наближається до 0 (подібне явище надалі назване 1/f - шум). І навпаки, процеси з короткочасною залежністю характеризуються спектральною щільністю, що має позитивне і кінцеве значення при ω = 0.

Співвідношення (1.37), (1.39) і (1.40) пов'язані з показником H, який називається показником Херста. Показник Херста самоподібного процесу лежить між 0,5 і 1. При наближенні H до 1 ряд стає усе більш самоподібним, проявляючи себе у все повільніше затухаючій коваріації, як це видно з (1.37).

1.3 Оцінка показника Херста

На практиці перевірка на самоподібність і оцінка показника Херста є складним завданням. Проблема в тому, що в реальних умовах завжди оперують з кінцевими наборами даних, тому неможливо перевірити, чи є траса трафіку самоподібною. Тобто необхідно досліджувати різні властивості самоподібності в реальному виміряному трафіку.

Перша проблема, з якою зазвичай стикаються, полягає в тому, що навіть якщо підтверджуються деякі перелічені вище властивості самоподібності, не можна відразу зробити висновок, що проаналізовані дані мають самоподібну структуру, оскільки існують інші дії, які можуть призводити до таких же властивостей (наприклад, присутність нестаціонарності). І оскільки аналіз грунтувався тільки на тих тестах, які можуть ввести в оману, розумно говорити про самоподібну структуру, в заданому масштабному діапазоні для заданого набору даних.

Друга проблема полягає в тому, що оцінка показника Херста залежить від багатьох чинників (наприклад, методики оцінки, розміру вибірки, масштабу часу, кореляційної структури і так далі), що затруднює знаходження найдоречнішої для поставленого завдання "оцінки H".

Третя проблема при використанні показника Херста в практичних цілях (наприклад, визначення розмірів буферів) полягає в тому, що інтерпретація показника H (яка очевидна для теоретичних самоподібних процесів) не очевидна для реального трафіку, який може ніколи не розглядатися як теоретично самоподібний процес. На сьогодні відомі декілька методів оцінки самоподібності в тимчасових рядах [2, 8-10]. Найпопулярніші методи: аналіз R/S-статистики; аналіз графіку зміни дисперсії; аналіз, грунтований на специфічних властивостях S(ω); оцінка Віттла; аналіз, грунтований на вейвлет-функціях.

Теоретична основа для багатьох з цих статистичних інструментальних засобів базується на центральних або нецентральних граничних теоремах для випадкових послідовностей з довготривалою залежністю. Докази вимагають розуміння структури моментів нелінійних функцій випадкових змінних гаусів і лінійних процесів.

Методи оцінки показника Херста в часовій області

Аналіз нормованого розмаху. Грунтуючись на дослідженні різних явищ (наприклад, зміни рівня води в річці), Херст розробив нормовану безрозмірну міру, здатну описати мінливість. Цей захід він назвав нормованим розмахом (R/S). Для заданого набору спостережень  з вибірковим середнім  вводиться поняття розмаху

де


тобто різниця між максимальним и мінімальним відхиленням.

Ця характеристика відрізняється від розмаху тимчасової послідовності випадкової величини Xj який дорівнює


Замість нього вибрана величина, що враховує накопичення  і характеризуюча мінливість величини X відносно середнього значення. Для опису мінливості зручніша нормована безрозмірна характеристика

(1.69)

Херст назвав це відношення нормованим розмахом і показав, що для багатьох природних явищ справедливе емпіричне співвідношення


де с - позитивна кінцева константа, не залежна від п.

Прологарифмував обидві частини (1.70), отримаємо


Таким чином, параметр Н можна оцінити, зобразив графік , і, використовуючи отримані точки, підібрати по методу найменших квадратів пряму лінію з нахилом H./S-метод не занадто точний, оскільки дає оцінку тільки рівня самоподібності в часовому ряду. Тому цей метод може використовуватися тільки для перевірки, чи є часовий ряд самоподібним і, якщо являється, отримати грубу оцінку H (рисунок 1.1).

Рисунок 1.1 - Графік R/S-статистики для Ethernet-трафіка

Цей результат може бути використаний, щоб оцінити показник Херста по заданому ряду спостережень. Проте, якщо спостереження беруться з короткочасно залежного процесу, тоді показано, що


де d - кінцева додатня константа, не залежна від n. Цей випадок може розглядатися як характеристика процесу, що не має властивості самоподібності.

Графік зміни дисперсії. Як було показано вище для самоподібного процесу, зв'язок між дисперсією об'єднаного процесу і розміром блоку m формулюється як


де а - деяка кінцева додатня константа. Прологарифмувавши обидві частини (1.73), отримаємо залежність


Отже, можна отримати оцінку β, вичисливши  для різних значень m і, відображаючи результати графічно від , провести через отримані точки пряму лінію по методу найменших квадратів. Оцінку для β визначимо як від'ємний нахил прямої лінії, підібраної по методу найменших квадратів. Оскільки відомо, що H пов'язаний з β через співвідношення H=1-β/2, це дає оцінку для H, рівну .

Як і у разі R/S-аналізу, метод зміни дисперсії - лише евристичний метод. Обидва методи використовуються надалі при різних обмеженнях; наприклад, вони можуть бути дійсно обгрунтовані при малій кількості статистичних даних, доступних спостереженню з окремої вибірки самоподібного процесу. Отже, зміна дисперсії може використовуватися тільки для того, щоб перевірити, чи є часовий ряд самоподібним, і якщо являється, то отримати грубу оцінку H.

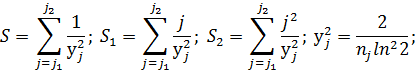
Індекс дисперсії для відліків. Мірою опису мінливості трафіку на різних масштабах часу зазвичай є індекс дисперсії для відліків IDC.


Самоподібні процеси дають монотонно зростаючий IDC виду m-1t2H-1. Накресливши графік  від , отримуємо пряму лінію з приблизним нахилом 2H-1.

Методи оцінки показника Херста в частотній області

Оцінка Віттла. Тоді як графіки зміни дисперсії і R/S-графіки дуже корисні для виявлення самоподібності (здебільшого в евристичній манері), відсутність яких-небудь результатів для граничних законів відповідних статистичних характеристик робить їх непридатними, коли потрібен тонший аналіз даних (наприклад, довірчі інтервали для степені самоподібності H, критерій вибору моделі або критерії згоди). Тонший аналіз даних можливий, якщо використати оцінки максимальної правдоподібності (ОМП) і пов'язані з ними методи, що використовують періодограми.

Дамо визначення ОМП. Нехай задана спектральна щільність  процеса X, де ; Н = (α +1)/2 - показник самоподібності (див. Визначення 1.7);  - параметры, що визначають КВЗ-структуру процесу. У якості масштабного коефіцієнта використовуємо дисперсію  інновації ε в нескінченному AR уявленні процесу, тобто , де . Це означає, що має місце співвідношення


Оцінка Віттла  для η вибирається з таким розрахунком, щоб значення наступного виразу було мінімальним (рисунок 1.4):

Рисунок 1.4 - Графік мінімізації

де


періодограма, а оцінка знаходиться згідно


Тоді можна сказати, що  є нормально розподіленою величиною, якщо  може бути записаний у вигляді нескінченного процесу ковзаючого середнього. У разі гаусівського процесу асимптотичні розподіли оцінки  і ОМП співпадають.

У цьому контексті з позиції стійкості, як правило, виникають дві проблеми: перша із-за відхилень реального розподілу від гаусівського; друга - із-за відмінностей між реальною і передбачуваною моделями спектру. Для подолання першої проблеми можна перетворити дані так, щоб приблизно отримати необхідний маргінальний (нормальний) розподіл. До вирішення другої проблеми існує декілька підходів, у тому числі визначення оцінки H з ординат періодограми тільки на низьких частотах або ж обмеження періодограми високих частотах. За наявності великих наборів даних альтернативний і простіший метод для вирішення другої проблеми полягає у використанні методики об'єднання. Якщо  гаусівський процес, то об'єднані (агреговані) процеси X(m), m≥1, визначаються як


і сходяться (по розподілу) до фрактального гаусівського шуму при m→∞ (L(-) - функція, що повільно змінюється, на нескінченності, див. (1.37)). Те ж саме справедливо, якщо , где  - гаусівський процес з параметрами  і . Отже, для досить великих т фрактальний гаусівський шум є хорошою моделлю для X(m) і для нього можна застосовувати ОМП.

Поєднання приблизного ОМП підходу Віттла і методики об'єднання дає процедуру для отримання довірчих інтервалів показника самоподібності H.

Асимптотично незміщені оцінки, що отримуються методом максимальної правдоподібності, показують в цілому хорошу статистичну ефективність; їх недолік в тому, що вони є параметричними оцінками, які вимагають, щоб аналітична форма спектральної щільності була відома заздалегідь. Це створює великі труднощі їх використання для великих наборів даних із-за високої обчислювальної складності. Крім того, якщо передбачувана модель спектральної щільності є некоректною, тоді і оцінка теж буде необ'єктивною. Із-за такого ризику оцінка Віттла на практиці дає не завжди стійкі результати.

Відмітимо, що при використанні оцінки Віттла передбачається, що процес насправді самоподібний. Це призводить до оцінки показника Херста з певною упевненістю. Щоб визначити, чи дійсно ряд має самоподібну структуру, додатково використовуються такі методи, як R/S-статистика, графік зміни дисперсії і тому подібне.

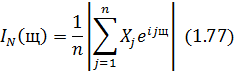
Графічний метод оцінки спектральної щільності (періодограмний аналіз). Оцінка, грунтована на графіці спектральної щільності, складає суть методу, який забезпечує велику статистичну суворість, ніж оцінки, грунтовані на об'єднанні. Проте ціною існування параметричного методу є вимога, щоб модель процесу, що параметризується, була відома заздалегідь. Періодограма (чи "функція інтенсивності") IN(ω) оцінює спектральну щільність дискретного стохастичного процесу Xt і може бути оцінена поруч (1.77) на інтервалі часу N:


де {Xk}- часовий ряд; N - довжина часового ряду.

Враховуючи, що самоподібність впливає на характер спектру S(ω) при ω→0, повинен виходити графік залежності спектральної щільності виду

Накресливши графік log[IN(ω)] від logω (тільки для низьких частот), підбирають дотичну пряму лінію до кривої. Нахил лінії приблизно дорівнюватиме 1-2H. На практиці для обчислення оцінки повинні використовуватися тільки нижні 10 % частот, оскільки описана вище поведінка справедлива тільки для області частот, близьких до нуля [137].

Приклад оцінки показника Херста для реальних даних за допомогою періодограмного методу показаний на рисунку 1.5.

Рисунок 1.5 - Оцінка показника Херста за допомогою періодограмного методу

Основний недолік методу полягає у високих вимогах до обчислювальних ресурсів.

2. Фрактальний і мультифрактальний аналіз трафіку мереж рухомого зв'язку

.1 Трафік мобільних програм

Розвиток стандарту глобальної системи мобільного зв'язку (GSM) для цифрових стільникових радіомереж у кінці 1980-х років привів до виникнення нового масового ринку послуг з декількома мільйонами абонентів в усіх країнах світу. Нині відбувається технологічний розвиток GSM : розроблені і стандартизовані нові послуги і програми. Хоча головне застосування GSM - мобільна телефонія, мобільні послуги даних стають усе більш популярними. Паралельно з еволюцією GSМ розвиваються і інформаційні програми, що надаються користувачам мобільного зв'язку.

На першій фазі еволюції послуг СSD (Circuit-Switched Data) і GPRS (General Packet Radio Service) домінуватимуть програми, грунтовані на WAP, які працюють в смартфонах і кишенькових комп'ютерах.

Починаючи з 2001 р. стали впроваджуватися послуги з комутацією пакетів, грунтовані на GPRS, завдяки чому сьогодні па ринку пропонуються мобільні програми даних з піковими швидкостями аж до 117 кбіт/с і швидкістю передачі даних у звичайного користувача до 25...64 кбіт/с. Щоб реалізувати великі швидкості передачі, European Telecommunications Standards Institute (ETSI) розробив стандарт Enhanced Data rates for GSM Evolution (EDGE). Частина Enhanced General Packet Radio Service (EGPRS), що відноситься до пакетів, пропонує максимальну бітову швидкість до 384 кбіт/с включно і швидкість передачі даних типового користувача 40...100 кбіт/с, яка досягається шляхом модифікації модуляції, кодування і проміжних схем доступу.

У міру оптимізації GPRS, впровадження технології EDGE і відповідних послуг пакетної передачі вдосконаленого GPRS (ЕGPRS) зростає популярність передачі відео- і аудіопрограм.

Послуга пакетної радіопередачі GPRS/ЕDGE на базі стандарту GSM. Для збільшення швидкості передачі даних в GSM фазі 2+ використовуються нові основні послуги, які можна порівняти зі швидкостями ISDN :- високошвидкісна передача даних з комутацією каналів;- узагальнені послуги пакетної радіопередачі;- підвищені швидкості передачі для еволюційного розвитку стандарту GSM.

Високошвидкісна передача даних з комутацією каналів HSCSD. HSCSD (High-Speed Circuit-Switched Data) використовується для програм з більш високою пропускною спроможністю і послідовним потоком даних, тобто для мультимедії або відеотелефонії. Більш висока пропускна спроможність досягається поєднанням 1-8 фізичних каналів для одного абонента. Більше того, кодек передачі даних був підданий змінам, і тепер максимальна швидкість на фізичний канал складає 14,4 кбіт/с замість 9,6 кбіт/с. Таким чином, HSCSD теоретично дозволяє здійснити передачу даних на швидкості до 115,2 кбіт/с. Для того, щоб реалізувати HSCSD, необхідно просто змінити програмне забезпечення в GSM-PLMN. Проблема залишається у великому об'ємі необхідних ресурсів.

За допомогою GPRS можливе поєднання 1-8 фізичних каналів на одного користувача, так само як і в HSCSD. Різні нові схеми кодування зі швидкостями передачі даних до 21,4 кбіт/с на фізичний канал теоретично дають можливість використання до 171,2 кбіт/с. На відміну від HSCSD, GPRS є пакетною комутацією, що означає, що той же самий фізичний канал може бути використаний для різних абонентів. GPRS дуже ефективний для короткотимчасових програм, що вимагають великих швидкостей передачі даних (приміром, доступ в Інтернет, електронна пошта...). GPRS також дозволяє використати передачу "точка-багатокрапка" і тарифікацію залежно від переданого об'єму. Для реалізації GPRS потрібно розширення GSM мережі і архітектури протоколів.здатний вийти на швидкість до 69,2 кбіт/с на фізичний канал, незважаючи на зміну процедури модуляції GSM (8PSK замість GMSK). Теоретично швидкість передачі може досягти 553,6 кбіт/с (відповідаючи ЗG вимогам) завдяки комбінуванню 8 каналів. Можливо, комбінація GPRS і EDGE зможе надати оптимальне використання Інтернету і Интранета, забезпечуючи велику економію у використанні частотних ресурсів одночасно.

Методи кодування. В цілях підвищення гнучкості передачі і пропускної спроможності в системі GPRS/EDGE можуть використовуватися наступні схеми кодування даних : CS1-СS4 і МСS1-МСS9 (рисунок 2.1). Для управління роботою радіолінії в режимі пакетної передачі розроблений спеціальний протокол RLS (Radio Link Control), який забезпечує її адаптивне налаштування, програмну перебудову частоти і управління потужністю. Адаптація радіолінії включає вибір тієї або іншої схеми кодування (CS1-СS4 або МСS1-МСS9) залежно від виду передаваної інформації, характеристик радіоканалу і рівня перешкод. У режимі GPRS/EDGE кожному абонентові надається від 1 до 8 канальних інтервалів. Під час пакетної передачі ресурси ліній зв'язку "вгору" і "вниз" можуть виділятися незалежно один від одного, тобто в системі допускається реалізація асиметричного режиму передачі.

Рисунок 2.1 - Схеми кодування в GPRS/EDGE

Технологія UWC-136 - EDGE, в якій використовується новий метод модуляції MCS (Modulation Coding Scheme), дозволяє передавати більшу кількість інформації в одному тимчасовому слоті (ТS) за той же час.

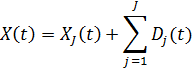
Структура трафіку, який передається. Для передачі як абонентських даних, так і сигнальної інформації на усіх інтерфейсах GSM/GPRS використовують багаторівневу систему протоколів, грунтовану на принципах 7-рівневої моделі взаємодії відкритих систем. Багаторівневу структуру протоколів, використовувану для передачі абонентських даних, прийнято називати площиною передачі (Transmission Plane), а для передачі сигнальної інформації - сигнальною площиною (Signalling Plane).

Протоколи передачі повідомлень призначені для передачі інформації для користувача у вигляді IP або Х.25 дейтаграм (пакетів) від мобільної станції (МS) до зовнішніх мереж і назад. Структура цих протоколів представлена на рисунку 2.2. Вона включає також процедури управління, пов'язані з передачею інформації, наприклад управління потоком, виявлення і виправлення помилок.

Розглянемо різні мобільні програми і представимо моделі трафіку, що відповідають їм, які грунтовані на добре відомих і модифікованих для використання в проектуванні моделях трафіку стільникових радіомереж пакетної передачі. Особливу увагу приділимо таким часто використовуваним програмам, як WWW, e-mail, FTP, WAP.

Рисунок 2.2 - Призначений для користувача рівень GPRS/EDGE

програми. Інтернет є найбільшою існуючою глобальною мережею (WAN), що пропонує широкий спектр інформаційних ресурсів у формі технічних документів, інформації про продукти, програмному забезпеченні, малюнків, аудіо- і відеоджерел і служб електронної комерції. Популярність використання цих ресурсів серед численних груп користувачів стимулювалася впровадженням WWW. У WWW діють глобальні угоди про використовувані найменування, протоколи і формати об'єктів. Об'єкт може бути текстовим файлом, аудіоджерелом, файлом зображення або навіть кодом програми, який може інтерпретуватися і запускатися на машині користувача (Java- аплети). Графічні інтерфейси користувача (GUI - Graphical User Interface), так звані WWW-браузери, дозволяють користувачеві переміщатися по WWW, передавати і відображати WWW- об'єкти. Окрім використання WWW як загальнодоступний Інтернет, концепція WWW знаходить все більше застосування в корпоративних мережах. З впровадженням таких локальних мереж очікується реалізація високої прозорості процесів компанії, простота використання корпоративних баз даних, а також оптимальна взаємодія з клієнтами.браузер відображає WWW-сторінки (рисунок 2.3), які складаються з одного або декількох WWW- об'єктів (текст і зображення). Усередині однієї сторінки можуть бути визначені посилання, які містять ідентифікатор WWW-ресурсу - URL (Unified Resource Locator). Коли користувач вибирає посилання, відображається новий об'єкт або сторінка. Шляхом безпосереднього введення URL в текстове поле WWW-браузеру користувач може вибрати певну сторінку або об'єкт. Кожен об'єкт в WWW має унікальний URL.

Рисунок 2.3 - Структура WWW-сторінки

WWW-сторінка описується на мові HTML. У HTML-файлі зберігається її представлення і посилання на об'єкти, що містяться в сторінці. HTML-сторінка також може містити текст, який відображається в певних місцях сторінки. HTML-сторінка сама по собі є об'єктом, яка аналізується браузером. Крім того, WWW-об'єкти включаються в HTML-файл як складові частини прошеної і передаваної сторінки.

Для WWW характерна клієнт-серверна архітектура. WWW-браузер є клієнтом, який посилає запити WWW-серверу, просячи передачу WWW-об'єктів, що зберігаються на цьому сервері. З'єднання між клієнтом і сервером контролюється прикладним протоколом НТТР, що використовує протокол управління передачею (ТСР) з кінця в кінець. У первинній версії НТТР клієнт передавав запит для кожного об'єкту сервера, і нове ТСР-з'єднання встановлювалося для кожного об'єкту, який було запрошено. Запит містить URL об'єкту, параметри форматів даних і параметри контролю доступу. Сервер обробляє цей запит і пересилає прошений об'єкт клієнтові. Потім ТСР-з'єднання розривається. У нових версіях НТТР (наприклад, в НТТР версії 1.1) ТСР-з'єднання може використовуватися подальшими об'єктами (постійні ТСР-з'єднання), і декілька ТСР-з'єднань можуть бути встановлені паралельно для конвеєрної передачі декількох різних об'єктів (конвеєрні ТСР-з'єднання). Рисунок 2.4 відображає послідовність WWW-сесій.

Рисунок 2.4 - Послідовність і параметри WWW-сервісу

Адаптована мозаїчна модель WWW. WWW-сесії складаються із запитів набору сторінок. Ці сторінки складаються з безлічі об'єктів певних розмірів. Іншим характерним параметром є затримка між сторінками, яка залежить від поведінки користувача при переміщенні по Web. У таблиці 2.1 приведений огляд параметрів мозаїчного WWW-трафіку. Мале число об'єктів на сторінці (2,5 об'єкту) і малі розміри об'єктів (3700 байт) були адаптовані на основі ETSI.

Таблиця 2.1- Параметри моделі пристосованого мозаїчного WWW-трафіку

Параметри WWW

Розподіл

Середнє

Дисперсія

Сторінки за сеанс

Геометричний

5,0

20,0

Інтервали між сторінками, с

Від'ємний експоненціальний

12,0

144,0

Об’єкти на сторінці

Геометричний

2,5

3,75

Розмір об’єкта, байт

Эрланга

3700

4,67*109


Характеристики трафіку WWW-моделі ілюструються функціями розподілу розмірів об'єктів. На рисунку 2.5 показані гістограми розмірів об'єктів і тривалості сесій. Вони отримані в ході стохастичних імітацій моделей трафіку через стек ТСР/IР і моделі вузькосмугового каналу для передачі генерованих ТСР-пакетів з фіксованою швидкістю передачі в 89,6 кбіт/с (типова швидкість для користувача EDGE/UMTS), затримкою IР-пакету в 10 мс і без втрат в Інтернеті.

Рисунок 2.5 - Характеристики трафіку WWW: а - розмір об'єкту; б - тривалість сеансу

Поведінкова модель для Web-трафіку. Поведінкова модель [1] є зразком для переміщень по мережі, що виконуються з персональних комп'ютерів (РС), приєднаних до Інтернету. Ця модель характеризується великими розмірами об'єктів і WWW-сторінок в порівнянні з мозаїчною моделлю. Оскільки продуктивність мобільних мереж на перших кроках еволюції GSM менша, ніж у мереж фіксованого доступу, модель менш придатна для проектування GPRS-трафіку. Подібна модель трафіку являється On/Off-моделлю з фазами генерації пакетів і очікування (рисунок 2.6), що чергуються.

Рисунок 2.6 - Модель поведінки

On-фаза починається після успішного прийому запиту. Впродовж цієї фази запрашуються об'єкти WWW-сторінки. Off-фаза є періодом простою після прийняття усіх об'єктів. Таким чином, On- і Off-фази - це періоди завантаження і читання сторінки відповідно.

Впродовж On-фрази об'єкти сторінки завантажуються. Розглянемо два типи об'єктів : основний об'єкт, НТМL-код документу, що містить, і вбудовувані об'єкти, такі як об'єкти посилання, малюнки або Java-аплети. Щоб прийняти усі вбудовувані об'єкти, сучасні браузери відкривають декілька паралельних ТСР-з'єднань після успішного завантаження основного об'єкту.

У таблиці 2.2 приведені випадкові змінні, використовувані моделлю вибору для опису розмірів об'єкту, числа вбудованих об'єктів і тривалості часу перегляду.

Таблиця 2.2 - Параметри моделі WWW-трафіку

Параметр WWW

Розподіл

Середнє

Дисперсія

Час просмотру, с

Вейбулла

39,5

8,57*103

Число вбудованих об'єктів на сторінці

Гамма

5,55

130,0

Розмір головного об'єкту, кбайт

Логормальний

10

625,0

Розмір вбудованих об'єктів, кбайт

Логнормальний

7,7

1,59*104


Величина даних S, згенерованих впродовж On-фази, задається рівнянням


і є комбінацією трьох випадкових змінних. Випадкова змінна S є корисним навантаженням, яке буде передане протоколом НТТР.

Програми електронної пошти. Електронна пошта передається в Інтернеті за допомогою простого протоколу передачі пошти (SМТР), поштового протоколу відділення версії 3 (РОРЗ) і протоколу доступу до Інтернет-повідомлень (IMAP) для завантаження електронної пошти. Тоді як локальні системи доставки пошти, наприклад в локальних мережах (LAN), частенько грунтуються на SМТР, часто буває неможливим тривалий час утримувати клієнта електронної пошти в постійному зв'язку з Інтернетом. Тому широко використовуються протоколи РОРЗ і IMAP для завантаження електронної пошти із служби електронної пошти (рисунок 2.7). Ці протоколи використовуються для допуску до терміналу при отриманні листа, який зберігається на сервері (так званий принцип буферизації). ТСР використовується для передачі електронної пошти як протокол передачі "точка-точка".

Рисунок 2.7 - SMTP і POP3 для передачі електронної пошти

Модель трафіку електронної пошти. Оскільки завантажуваний розмір електронної пошти на мобільний пристрій є критичним параметром для проектування трафіку стільникових мереж пакетної передачі, може застосовуватися модель трафіку, що визначає розмір електронної пошти. Пропонована модель електронної пошти описує навантаження, що виникає при передачі повідомлень користувача. Єдиним параметром є розмір електронної пошти, який охарактеризований двома логарифмічно-нормальними розподілами плюс додаткова фіксована добавка в 300 байт (таблиця 2.3). Базова добавка була прийнята з метою обліку постійних витрат. Максимальний розмір електронної пошти встановлений 100 кбайт.

Таблиця 2.3 - Параметри моделі трафіку електронної пошти

Параметр

Розподіл

Середнє значення

Дисперсія

Розмір електронної пошти (менше 80%), байт

Логарифмічно-нормальне Перетворене нормальне

1700  10,0

5,5*106  2,13

Розмір електронної пошти (більше 20%), байт

Логарифмічно-нормальне Перетворене нормальне

16000  9,5

71,3*109  12,8

Основна доля, байт

Постійне

300

0


На рисунку 2.8 представлені гістограми для менш ніж 80% невеликих електронних листів і для повного діапазону розмірів електронної пошти. Можна спостерігати два різні класи електронних листів. Розмір текстових електронних листів починається з 300 байт. Це встановлений розмір, необхідний для інформації заголовка. Межа між функціями розподілу цих двох класів електронних листів згідно [2] дорівнює 2 кбайт.

Рисунок 2.8 - Розмір електронної пошти : а - збільшений масштаб;  б - повний діапазон

Програми передачі файлів. Протокол передачі файлів (FТР) був розроблений, щоб забезпечити безпечну і ефективну передачу файлів між двома комп'ютерами. Специфічні системні особливості, подібні до файлової структури комп'ютерних систем, залучених в передачу, були здолані цим стандартом. Термін "FТР" зазвичай вживається і для протоколу, і для застосовної програми передачі файлів. FТР - прикладний протокол, який використовує ТСР як транспортний рівень. Системи, що підтримують зв'язок по FТР, будують стосунки клієнт-сервер. Система називається FТР- клієнтом, коли робляться запити до іншої системи або FТР-серверу на передачу файлів. Вказаний файл тоді передається між клієнтом і сервером.використовує два зв'язки між клієнтом і сервером, які називаються FTP-управлінням і FTP-даними (рисунок 2.9). FTP-управління застосовується для зв'язку і передачі команд, керованих інтерпретатором протоколу (РI). Приклади команд : dir - для перегляду директорії; put і get - для передачі файлів між клієнтом і сервером. Тільки одне з'єднання управління використовується впродовж FTP-сесії, тоді як для кожного переданого об'єкту використовується окреме з'єднання даних, кероване процесом передачі даних (DTP - Data Transfer Process). Об'єктом може бути файл або, наприклад, лістинг директорії.

Рисунок 2.9 - FTP-дані і зв'язок управління

Значення FTP зменшується при широкому поширенні НТТР-завантаження і приєднанні електронної пошти. Зокрема, у безпровідних мережах очікується зменшення використання FTP.

Модель трафіку FTP. Модель FTP є однонапрямленою передачею даних. Вона описує передачу файлу від FTP-сервера до FTP-клієнта. Дослідження грунтовані на великих вимірах WAN [2]. Більше 95% виміряних FTP-зв'язків виконали команду get. Оскільки низхідний канал є "вузьким місцем" в стільникових мережах, що підтримують Інтернет-програми, які є асиметричними за своєю природою, досить розглянути тільки передачу даних від сервера до клієнта. Трафік, що генерується з'єднаннями FTP-управління, не розглядається.

Параметрами, що описують сеанс FTP, являються загальний об'єм даних за сеанс, розмір кожного переданого об'єкту і інтервал між передачами двома об'єктів.

Об'єм даних за сеанс характеризує тривалість сеансу. Логарифмічно-нормальний розподіл був запропонований для загального об'єму даних за сесію і для розміру об'єктів. Задане число об'єктів включає як передачі файлів, так і лістинги директорій. Щоб описати інтервал між двома передачами об'єкту, може використовуватися модель, створена в [2]. Інтервали між двома об'єктами повинні відповідати log10-нормальному розподілу. Усі параметри, середні і девіації функцій розподілу, а також перетворені середні величини і їх девіації представлені в таблиці 2.4.

Таблиця 2.4 - Параметри моделі руху FTP

Параметр FTP

Розподіл

Середнє

Дисперсія

Загальна сума даних, байт

Логарифмічно-нормальне Перетворене нормальне

32542 15,0

9661 1,9*10-5

Кількість даних у файлі, байт

Логарифмічно-нормальне Перетворене нормальне

3000 11,55

1000 2,31*10-4

Інтервал між зв'язками, с

Логарифмічно-нормальне Перетворене нормальне

4 0,57

2,54 0,028


Програми на основі WAP. WAP-специфікації, вживані в сучасних мобільних терміналах, включаючи WAP 1.2.1, спрямовані на оптимізацію роботи в мережах 2G. Тому WAP 1.2.1 визначає чітку технологію, що включає представлення протоколів і їх вміст. WAP - це набір специфікацій, який визначає архітектуру структури, містить оптимізовані протоколи (наприклад, WDP, WTP, WSP), представлення вмісту на основі компактної розширюваної мови розмітки XML, безпровідної мова розмітки (WML), двійкова розширювана мова розмітки WAP (WBXML) і інші специфічні мобільні особливості, подібно до додатків безпровідної телефонії (WTA) [3, 4].реліз 1.x. З метою оптимізованої роботи в 2G-сетях був допрацьований WAP, оскільки графічні послуги мережі, що розширюються, не могли бути доставлені і показані клієнтам, наприклад, на мобільних телефонах GSM, і IP не міг застосовуватися в деяких середовищах, наприклад WAP через послуги коротких повідомлень (SMS) або неструктурованих додаткових послуг даних (USSD). Із-за оптимізації і різних протоколів неможливо було запускати WAP- з'єднання "точка-точка" із звичайними Інтернет-сайтами. Замість цього повинен використовуватися шлюз WAP. Основна послуга, яку забезпечує шлюз WAP, - функція зміни протоколу між WAP - і Інтернет-стеками. На додаток до цієї стандартизованной функціональності багато постачальників шлюзів надають ряд додаткових послуг, які застосовні, наприклад, для персоніфікації.

Архітектура протоколу WAP (рисунок 2.10) включає наступні компоненти:

Рисунок 2.10 - Архітектура протоколу WAP

·        безпровідне середовище додатків( WAE): з WAE забезпечується середовище для розвитку і виконання послуг, основний компонент WAE - мікробраузер, який надає відповідний зміст WML;

·        безпровідний протокол сеансу (WSP): протокол рівня сеансу WSP сприяє методам, що оперують сеансовим контекстом; таким чином, здійснюється зв'язок між клієнтом і сервером;

·        безпровідний протокол транзакцій q (WTP): протокол рівня транзакцій WTP забезпечує зв'язок без встановлення і зі встановленням логічного з'єднання: WTP класу 2 є зв'язком "клієнт-сервер" з підтвердженнями, який зазвичай використовується для більшої частини WAP-трафіку;

·        захист безпровідного рівня передачі (WTLS): WTLS - додаткова функція, яка працює подібно до протоколу безпечних сокетів (SSL) або протоколу захисту транспортного рівня (TLS) Інтернету; WTLS забезпечує встановлення достовірності і секретність для використовуваного зв'язку;

·        безпровідний протокол дейтаграммы(WDP): WDP транспортного рівня є рівнем адаптації між WAP і використовуваним переносником. У разі IP як мережевого рівня UDP використовується замість WDP.

При порівнянні з відомими протоколами Інтернету, такими як ТСР і НТТР, WAP-протоколи відрізняються від них наступними аспектами:

·        коректна доставка і повторні передачі забезпечуються окремим транспортним рівнем. Він виконує ці функції, тільки якщо вони запрошені послугами більш високих рівнів (WTP класу 1 або 2);

·        WAP працює методом транзакцій. Кількість даних, які можуть бути передані однією транзакцією за умовчанням, рівне 1400 байтам. Це здійснюється при установці часу сеансу WSP. Якщо використовуються WTP-сегментація і повторне складання, кількість даних в транзакції обмежена договірним розміром SDU;

·        WSP здійснює усі особливості НТТР 1.1 і збільшує їх двійковим кодом, прагнучи до більшої ефективності.реліз 2.0. У специфікації WAP 2.0 [6,7] деякі існуючі WАР-протоколи були доповнені новими можливостями. WАР 2.0 конверсируется з широко використовуваними протоколами Інтернету, такими як ТСР і НТТР.

Включення безпровідних профілів ТСР (WР-ТСР) в WАР-архітектуру версії 2.0 мотивувалося впровадженням безпровідних мереж з більш високими швидкостями передачі даних (наприклад, GPRS, EGPRS і UMTS). Перевага ТСР його здатність передавати великі об'єми даних, наскрізна безпека (використання протоколу захисту транспортного рівня (ТLS)) і конвергенція з протоколами IETF. WР-ТСР оптимізований для безпровідних систем зв'язку, але може використовуватися із стандартними реалізаціями ТСР (рисунок 2.11).

Рисунок 2.11 - Безпровідна профільована ТСР: а - з WAP-модулем; б - без WAP-модуля

Крім того, WAP 2.0 не вимагає WAP-проксі, оскільки зв'язок між клієнтом і сервером може проводитися з використанням НТТР 1.1. Проте впровадження WAP-проксі може оптимізувати процес з'єднання і відкриває можливості для додаткових послуг, таких як місце розташування, секретність і інші, на основі існуючих. Також WAP-проксі потрібний для забезпечення функціональності оперативної доставки інформації (Push).

Реалізації безпровідного профілю ТСР (WP-ТСР) можуть також використовуватися для наскрізних з'єднань без проміжних вузлів. Таким чином, WP-ТСР повинен підтримувати обидва режими роботи: розгалужену і наскрізну ТСР. Вибір режиму ТСР залежить від таких чинників, як поточні можливості, точки доступу додатка або мережі. Вимоги для реалізації WP-ТСР описуються детально в [8].

Послуги обміну мультимедійними повідомленнями. Такі послуги обміну мультимедійними повідомленнями (MMS - Multimedia Messaging Service) призначені для обміну між абонентами, зображеннями, фотографіями в комбінації з промовою або текстом. Це має на увазі як посилку, так і отримання подібних повідомлень облаштуваннями клієнта: традиційна електронна пошта, доступна в Інтернеті, і безпровідні системи обміну повідомленнями, наприклад системи типу пейджерів або SMS. Ці послуги є прикладом використання "завантаження і пересилки" [5].повідомлення повідомляють MS(Mobile Station) про отримане повідомлення, яке складається тільки із заголовків MMS. Мета повідомлення полягає в тому, щоб дозволити клієнтові безпосередньо вибирати мультимедійне повідомлення з позиції, вказаної в повідомленні. Клієнт витягає повідомлення, посилаючи WSP/НТТР-запит на сервер MMS, URL отриманого повідомлення, що містить. Відповідь на запит містить заголовки і вміст повідомлення, що поступило.представлення зроблене шляхом розставляння, розмітки, впорядкування і синхронізації мультимедійних об'єктів на екрані терміналу і інших облаштуваннях, наприклад, динаміка. За допомогою MMS-представлення посилач мультимедійного повідомлення має можливість організувати зміст мультимедіа у виразному порядку і вказати, як об'єкти мультимедіа представлені в приймальному терміналі.

Є різні альтернативи для мови представлень. Найбільш поширені мова розмітки для безпровідного зв'язку (WML - Wireless Markup Language) і синхронізована мова інтеграції мультимедіа (SMIL - Synchronised Multimedia Integration Language) [9]. Тоді як WML - представлeние для обміну мультимедійними повідомленнями пропонує ті ж можливості впорядкування і позиціонування для додатків перегляду, SMIL забезпечує додаткові можливості, такі як, наприклад, синхронізація об'єктів мультимедіа, а також анімація. SMIL - проста мова на основі ХМL, яка складається з набору модулів, що визначають семантику і синтаксис для деяких областей функціональних можливостей. Приклади цих модулів - модуль розміщення, модуль часу і синхронізації і модуль анімації.

Інформація про мову представлення MMS передасться в тому ж повідомленні, яке несе об'єкт мультимедіа. Таким чином, повідомлення мультимедіа компактний пакет об'єктів мультимедіа і додаткова інформація представлення.

Оскільки декілька компонентів MMS відповідають різним застосуванням, подібно до електронної пошти або перегляду WWW, існуючі моделі трафіку можуть застосовуватися для моделі MMS-трафіку. Типові розміри перших мультимедіа повідомлень - 20 кбайт, а максимальний розмір із-за обмежень пам'яті, як очікується, дорівнюватиме 100 кбайт.

Модель трафіку WAP. Модель руху WАР 1.2.1 була розроблена і застосовувалася в [10, 11]. Основні характеристики моделі мають дуже маленькі розміри пакетів (511 байт), апроксимуються логарифмічно нормальним розподілом.

Сеанс WАР складається з декількох запитів до дека, виконаних користувачем. Діаграма послідовності сесії зображена на рисунок 2.12.

Рисунок 2.12 - Діаграма послідовності і важливі параметри WAP- сесії

Сеанси WАР описуються запитами числа дек n, розмірами пакетів висхідних (x) і низхідних (у) з'єднань, часом читання абонента до запиту наступної деки (tчтения), а також часом відгуку мережі (tотклика). Останній показник не визначений користувачем і повністю залежить від основної мережі.

Кількість дек змодельована геометричним розподілом, час читання - від'ємним експоненціальним розподілом і розмір пакету - усіченим log10-нормальним розподілом. Модель сеансу може розглядатися в якості основної для сеансів WАР, параметри залежать від змісту. Параметри, прийняті тут, типові для WAP-програм. Оскільки додатки зміняться впродовж наступних років, параметри моделі теж мінятимуться разом з майбутніми модернізаціями. Нові WAP-розміри - приблизно 1 кбайт для монохромних дек і 3 кбайт для кольорових дек.

Таким чином, розглянуті статистичні характеристики найбільш важливих мобільних застосувань: WWW-трафік, параметри трафіку електронної пошти SМТР і РОРЗ, а також е-mail повідомлень: FТР і НТТР. Проведений аналіз характеристик додатків на основі WAP.

2.2 Трафік мобільних потокових програм

Разом з МРЕG найбільш поширеним нині стандартом кодування відео є стандарт Н.263. У області програм потокового аудіо, грунтованих на стандарті МРЗ, також є потенційні програми. Як очікується в найближчому майбутньому, системи зв'язку з рухливими об'єктами розширять можливості сьогоднішніх рішень потокового Інтернету шляхом впровадження стандартизованих потокових застосувань [12, 29]. Для передачі кадрів відео по Інтернету широко використовується транспортний протокол реального часу (RТР - Real-time Transmission Protocol) [13].

Потокове відео. Для передачі відеоданих в режимі реального часу потрібні високі швидкості. При перегляді нестислого відеопотоку навіть високопродуктивні дротяні мережі ледве відповідають вимогам такого потоку. Таблиця 2.5 дає уявлення про необхідні бітові швидкості.

Таблиця 2.5 - Бітові швидкості загальних нестислих відеоформатів

Відеоформат

Розширення, піксель

Бітовий показник, Мбіт/с

D1, цифровий стандарт студії

720×576

166

Якість VHS (CIF)

352×288

36,5

Відеофон (QCIF)

176×144

3


Без стискування неможливо здійснити відеопередачу. Усі відеокодеки працюють за однаковим принципом: вони стискають первинні картини шляхом скорочення надмірної інформації і видалення непотрібних даних.

Скорочення надмірної інформації без втрат якості залежить від властивостей сигналу і статистичних характеристик. Тому використовуються алгоритми, подібні до прогнозуючого кодування, кодування зі змінною довжиною слова і кодування на рівні відтворення( run-level-coding).

Видалення непотрібної інформації грунтоване на деяких особливостях людського сприйняття (наприклад, деталі в зображенні можуть бути опущені без видимого спотворення) і виконується з використанням різних рівнів квантування.

Хоча передача відео із швидкістю 64 кбіт/с була здійснена ще в 1979 р., все ще важко забезпечити достатню якість картинки при бітових швидкостях нижче 64 кбіт/с. Проте в 1996 р. з'явився стандарт, застосовний для передачі відео зі швидкістю нижче 64 кбіт/с. Міжнародний стандарт ITU-T Rec. Н.263 визначає кодоване представлення, яке може використовуватися як для стискування кінокартин, так і для аудіовізуальних послуг з низькими бітовими швидкостями.

Інший, добре відомий і поширений відеостандарт, - стандарт Н.263, який має велику подібність з МРЕG: в нім є присутніми блоки, подібні МРЕG, і макроблоки з компенсацією руху і пророцтвом; зигзагоподібно квантовані коефіцієнти закодовані з ис¬користуванням методів МРЕG.

Основна конфігурація алгоритму кодування відеоджерела Н.263 грунтована на ITUT Rес. Н.261 [1] і гібридному методі кодування, що застосовує міжкадрове припущення, щоб використати тимчасову залежність і перетворювати кодування сигналу, що залишився, для видалення просторової надмірності. Половина піксельної точності витрачається на компенсацію руху, на відміну від Rес. Н.261, де використовуються повна піксельна точність і циклічний фільтр. Для символів, які треба передати, застосовується кодування змінної довжини.

У основний алгоритм кодування відеоджерела для поліпшення експлуатаційних показників включені додаткові опції, найбільш важливими з яких є такі:

режим необмеженого руху вектору, що допускає посилання, які виходять за межі зображення; для цих цілей крайові зразки продубльовані, щоб створити відсутні зразки (додаток D);

арифметичне кодування, грунтоване на синтаксисі, який замінює кодування змінної довжини для забезпечення передачі однієї і тієї ж якості картинки меншим числом бітів, необхідних для кодування (додаток Е);

режим поліпшеного прогнозу, який направляє вектор руху для кожного 8x8 блоку для фреймів Р(додаток F);

двонаправлено передбачені кадри, що дозволяють генерувати В кадри між двома послідовними Р кадрами, використовуючи обоє Р кадру для прогнозу, мінімізуючи, таким чином, відмінності, що залишилися, які мають бути закодовані (додаток G).

Схема кодека Н.263 показана на рисунку 2.13. Відеокодер складається з кодера джерела, мультиплексного відеокодера і кодера передачі. Кодер джерела зменшує просторовий і часовий надлишок вхідного відеосигналу, використовуючи алгоритм DCТ (дискретне косинусне перетворення). Мультиплексний відеокодер визначає ієрархічну структуру закодованих відеоданих, придатних для передачі. Кодер передачі управляє швидкістю передачі для задоволення вимогам по пропускній спроможності каналу. Він об'єднує дані від різних послуг в єдиний закодований потік бітів, який спрямований до каналу передачі.

Рисуннок 2.13 - Схема відеокодека Н.263 : а - відеокодер; б - відеодекодер

Моделі трафіку потокового відео. У області моделювання відеоджерел велика увага приділена довготривало залежним або самоподібним моделям потоків трафіку в телекомунікаційних мережах. Безліч таких моделей використовувалася, щоб досліджувати змінну швидкість потоку (VBR) відеоджерел із статистичним аналізом емпіричних послідовностей і оцінкою рівня самоподібності. Відеотрафіки МРЕG і Н.263 складаються з висококорельованих послідовностей зображень внаслідок їх кодування, тому потрібне коректне моделювання кореляційної структури відеопотоків.

Розглянуті нижче моделі трафіку базувалися на реальних послідовностях відео, закодованих Н.263 кодером.

Модель трафіку потокового відео грунтована на трьох послідовностях відео в зменшеному вчетверо загальному проміжному форматі (QCIF) з дрозширенням 176×144 пікселів, кожна з послідовностей є специфічною групою відео з різною інтенсивністю руху:

·        Claire - це відео з дуже низькою інтенсивністю руху, може використовуватися як характерна відеопослідовність конференц-зв'язку або неактивній візуальній телефонії;

·        Carphone включає періоди з досить високою і з низькою інтенсивностями руху, може використовуватися для багатьох видів яскравих або активних відео-конференцій або навіть візуальної телефонії;

·        Foreman - це послідовність з постійною високою інтенсивністю руху як актора, так і фону; подібний рух характерний для спортивних подій або уривків кіно.

Кодер H.263 характеризується показником пропуску 2, який означає, що кожну секунду кадр оригінальної послідовності пропускається так, щоб частота кадрів закодованих послідовностей зменшувалася від 25 до 12,5 кадр/с.

Рівень квантування (Q20) був налагоджений для внутрішніх (I) і прогнозуючих (Р) кадрів. Результуюча якість низька, але це прийнятно для мобільних пристроїв з їх обмеженими візуальними вихідними можливостями.

Помірне з'єднання послідовностей, що включають 80% Claire,, 10% Carphone і 10% Foreman було відібране для запропонованої моделі трафіку. З'єднання містить відеопотоки з низькою інтенсивністю руху і тільки декілька потоків з більш високою інтенсивністю руху.

Із-за незначних розмірів повідомлень протоколу мовлення, що управляють, в реальному часі і RТР, в порівнянні з розміром даних реального часу, пропонується ними нехтувати. Результуючий середній IР- трафік, навантажений специфічним з'єднанням послідовностей, - 14,39 кбіт/с (таблиця 2.6).

Таблиця 2.6 - Навантаження IP-трафіку для відеопослідовностей

Послідовність

Навантаження IP-трафіку, кбіт/с


Q20

80-10-10 Mix

Claire Carphone Foreman

10,9 26,7 31,7

14,39 14,39 14,39


Передбачається, що усі знову виникаючі застосування мають бути відносно короткими за тривалістю. Так звані "важкі користувачі", що генерують довгі потоки з великою кількістю даних, не беруться до уваги. Тривалість сеансів змодельована негативним експоненціальним розподілом, середня величина - 120 с.

На рисунках 2.14-2.16 представлені траси довжини пакету RТР і гістограми відеопослідовностей Claire, Carphone і Foreman.

Рисунок 2.14 - Відеопослідовність Claire (Q10): а - розгортка відео; б - ПРВ довжини пакету RTP

Рисунок 2.15 - Відеопослідовність Carphone (Q10): а - розгортка відео; б - ПРВ довжини пакету RTP

Рисунок 2.16 - Відеопослідовність Foreman (Q10): а - розгортка відео; б - ПРВ довжини пакету RTP

Аудіопотік. Для цифрового аудіосигналу з компакт-диска (СD) бітова швидкість дорівнює 1 411,2 кбіт/с. У разі МРЗ-стискування якість звуку, порівнянна з СD, досягається при 128 кбіт/с. Якість звуку УКВ-радіо для стереосигналів може бути досягнута при 64 кбіт/с, а для моносигналу при 32 кбіт/с. Для використання кодування звуку з низькою бітовою швидкістю в широкомовних застосуваннях при бітових швидкостях 60 кбіт/з на аудіоканал Міжнародний союз електрозв'язку (ITU-R) рекомендує стандарт МРЕG рівня 3.

Найвища ефективність кодування досягається алгоритмами, що використовують надмірність звукового сигналу.

Усі кодуючі пристрої мають одну і ту ж основну структуру (рисунок 2.17). Схема кодування може бути описана як формування перцепції (психоакустичне) шуму або кодування перцепції підсмуги перетворення. Кодуючий пристрій аналізує спектральні компоненти звукового сигналу у блоці аналізуючих фільтрів і застосовує модель психоакустики, щоб оцінити тільки значимий рівень шуму. У стадії квантування і кодування кодуючий пристрій намагається розподілити доступне число бітів даних так, щоб забезпечити виконання вимог до бітової швидкості і до маскування. Цей пристрій складається з наступних блоків.

Рисунок 2.17 - Структура психоакустичного кодування/декодування

Блок аналізуючих фільтрів, який використовується, щоб розділити вхідний сигнал на спектральні компоненти (область часу/ частоти). Разом з відповідним блоком фільтрів в декодері він формує систему аналізу/синтезу.

Распознавательная (перцепційна) модель: використовуючи вхідний сигнал тимчасової області і (чи) вихідний сигнал блоку аналізуючих фільтрів, а також правила, відомі в психоакустиці, обчислюється оцінка фактичного (тимчасова і частотна залежність) порогу маскування.

Квантування і кодування: спектральні компоненти квантуються і кодуються з метою збереження шуму, введеного квантуванням і нижче порогу маскування. Цей крок здійснюється різними способами і залежить від алгоритму.

Кодування потоку бітів: формувач бітового потоку використовується для збору бітового потоку, який складається з квантованих і закодироваииых спектральних коефіцієнтів і деякої сторонньої інформації, наприклад інформації про розподіл бітів.

Модель трафіку потокового аудіо. На відміну від відеопотоку потоки МРЗ мають постійну бітову швидкість (СВR). В принципі, звук МРЕG не працює при фіксованому коефіцієнті стискування. Право вибору бітової швидкості стислого звуку (у деяких межах) повністю передається конструктору або операторові МРЕG аудіокодера. Стандарт визначає діапазон бітових швидкостей від 32 (у разі МРЕG - 1) або 8 кбіт/с (у разі низьких частот дискретизації МРЕG - 2 (LSF)) до 320 (МРЕG - 1) або 160 кбіт/с (LSF). У разі МРЕG-1/2 рівні-3 перемикання бітової швидкості від аудіокадру до аудіокадру повинне підтримуватися декодерами. Це, в сукупності з технологією бітового зберігання, дозволяє здійснювати кодування як зі змінною, так і з будь-якою постійною швидкістю передачі в діапазоні, встановленому стандартом. Так, наприклад, Real - Audio (від компанії RealNetworks) використовує адаптивний потік для смуги пропускання, що чергується. Більшістю операторів вибране СВR. Наприклад, потоки QuickTime (від компанії Apple) і потоки МРЗ (використовувані багатьма радіостанціями) реалізовані за допомогою транспортного протоколу реального часу (RТР).

Тому пропонована модель потокового аудіо по (Е) GPRS є джерелом СВR з 10...64 кбіт/с. Наприклад, кодек поліпшеного аудіокодування (ААС) МРЕG - 2 формує 256 байт кожні 64 мс для 32 кбіт/с стерео і 128 байт кожні 64 мс для 16 кбіт/с моно.

Передача мови по мережах з пакетною комутацією, особливо VoIР, отримує широке застосування. До недавнього часу багато корпорацій передавали мову по мережах з комутованими лініями (СS), щоб економити гроші, але поява IР зумовила перехід від СS до VoIР. VoIР-передача може істотно зменшувати вартість хвилини розмови. Фактично, багато послуг вже сьогодні реалізовані на VoIР-магістралях для передавання мови, призводячи до деякого скорочення витрат клієнта.

Один з підходів до забезпечення мережевої архітектури, який дозволяє новим прогресивним послугам розгорнутися швидко і ефективно, полягає в тому, щоб структурувати мережу в три чіткі функціональні області: рівень обслуговування, рівень викликів і рівень перемикання і маршрутизації. Суть цього підходу полягає в тому, що сеансовий протокол ініціації (SIP) передбачає використання мереж наступних поколінь (NGNs) незалежно для стаціонарних або мобільних операторів.

В деяких випадках помічено, що при використанні SIP об'єднані послуги ядра мережі знаходяться спільно з оператором через оцінку відмінностей між стаціонарною і мобільною мережею. Для управління шлюзами від елементів зовнішніх викликів, що управляють, були створені міжмережеві диспетчери або агенти викликів, наприклад протокол управління міжмережевим шлюзом (MGCP).

2.3    Вейвлет-аналіз фрактальних властивостей складових GPRS-трафіку

З розвитком сервісних послуг в стільникових мережах зв'язку, що мають фрактальні властивості, виникає необхідність в удосконаленні основних транспортних мереж передачі даних, а знаючи поведінку мережевого трафіку, можна судити про міру відповідності цієї конфігурації мережі поставленим вимогам. Проектування трафіку є одним з основних завдань, що стоять перед розробниками сучасних сервісів. Оцінка продуктивності трафіку для мобільних послуг з пакетною передачею є складною проблемою, оскільки повинні враховуватися не лише пуассоновські характеристики трафіку і динамічна поведінка протоколів високих і низьких рівнів, але також наявність фрактальних властивостей, що впливають на основні показники якості обслуговування сервісів (QoS).

Нижче розглядаються складові GPRS-трафік протоколи, що передаються в реальному часі. Досліджуваний експериментальний трафік з пакетною комутацією складався з безлічі мультиплексированных потоків, що передаються з різними швидкостями і методами кодування.

Властивості і можливості вейвлет-перетворення

Результатом вейвлет-перетворення одновимірного ряду є двовимірний масив амплітуд вейвлет-перетворення - значень коефіцієнтів W(a,b). Розподіл цих значень в просторі (a,b) = (часовий масштаб, часова локалізація) дає інформацію про еволюцію відносного вкладу компонент різного масштабу в часі і називається спектром коефіцієнтів вейвлет-перетворення,(частотно-) масштабно-тимчасовим спектром або вейвлет-спектром.

Способи представлення результатів. одновимірного сигналу є поверхнею в тривимірному просторі. Способи візуалізації цієї інформації можуть бути різними. Замість зображення поверхонь часто представляють їх проекції на площину про з ізолініями або ізорівнями, що дозволяють простежити зміну інтенсивності амплітуд вейвлет-перетворення на різних масштабах і в часі, а також картини ліній локальних екстремумів цих поверхонь (так званий sceleton), що чітко виявляють структуру аналізованого процесу. Термін "скелет" або "скелетон" добре відбиває характер картин ліній локальних екстремумів, і ми використовуватимемо його скорочено.

У тих випадках, коли необхідно показати дуже широкий діапазон масштабів, візуалізація результатів виконується в логарифмічних координатах, наприклад loga,b.

Маючи вейвлет-спектри, можна вичислити корисні характеристики процесу, що вивчається, і проаналізувати багато його властивостей. Опишемо детальніше можливості аналізу особливостей сигналу і його енергетичних характеристик.

Аналіз локальної регулярності. Розглянемо деякі наслідки властивості масштабної інваріантності.

Якщо , тобто аналізована функція в точці t0 безперервно дифференцюєма аж до похідної порядку m, то коефіцієнти її вейвлет-перетворення при b = t0 повинні підкорятися нерівності

Якщо , тобто аналізована функція належить простору холдеровських функцій з показником α (нагадаємо, що це означає, що f безперервна, не обов'язково дифференцюєма в t0, але така, що ), то коефіцієнти її вейвлет-перетворення при b = t0 повинні підкорятися співвідношенню


Вейвлет-перетворення так влаштовано, що W(a,t) - регулярна функція навіть при нерегулярній f(t). Уся інформація про можливу особливість f(t) (локалізація t0, інтенсивність с, показник α) поміщена в асимптотичну поведінку коефіцієнтів W(a,t0) при малих а. Якщо коефіцієнти на малих масштабах розходяться, то f має особливість в t0 і показник сингулярност α визначається нахилом залежності  к loga. Якщо вони, навпаки, близькі до нуля в околиці t0 на малих масштабах, то f в точці t0 регулярна.

Описана властивість часто і з успіхом використовується при аналізі фрактальних і мультифрактальних сигналів [30]. Типовою властивістю фрактальних множин є їх асимптотична самоподібність. Так, роздивляючись f поблизу точки t0 з різним збільшенням, на різних масштабах можна побачити практично її ж:


Базис перетворення самоподібен, і легко показати, що і коефіцієнти перетворення масштабуються з тим же показником, що і аналізована функція:


Звідси легко отримати скейлинговий показник α(t0), який, як відомо, тісно пов'язаний з фрактальною розмірністю множини. Аналіз мультифрактальної множини дозволяє визначити спектр показників і спектр розмірності. Особливо відмітимо, що аналіз локальної регулярності в деякому розумінні універсальний - він не залежить від вибору аналізуючого вейвлета.

Енергетичні характеристики. З існування для вейвлет-перетворення аналога рівності Парсеваля виходить, що в просторі дійсних функцій повна енергія сигналу f може бути записана через амплітуди вейвлет-перетворення у виді


Щільність енергії сигналу  характеризує енергетичні рівні (рівні збудження) досліджуваного сигналу f(t) в просторі (a, b) = (масштаб, час).

На картині найбільш світлі місця відповідають найбільшим значенням ЕW(a,b), згущування кольору до чорного відповідає зменшенню ЕW(a,b) до нуля. Щоб краще були видні деталі, розподіл щільності енергії показаний для частини ряду і для верхньої третини діапазону масштабів. Показаний графік демонструє, що енергія нерівномірно розподілена по масштабах є виділені масштаби. Обидві картини демонструють нестаціонарну структуру аналізованого процесу з елементами квазіперіодичності, з еволюціонуючими частотами і з діапазонами локальних периодичностей на різних масштабах.

Локальний спектр енергії. Однією з основних особливостей вейвлет-перетворення є можливість отримувати злокалізовані характеристики і вивчати локальні властивості процесів. Як ні парадоксально звучать слова "локальний енергетичний спектр", проте природа вейвлет-перетворення така, що термін має право на існування. Пояснимо сказане.

Знаючи щільність енергії ЕW(a,b), можна за допомогою вікна визначити локальну щільність енергії в точці b0 (чи t0)


Віконна функція ξ "підтримує" діапазон біля t0 і задовольняє рівності . Якщо в якості ξ вибрати функцію Дираку, то локальний спектр енергії прийме вид . Ця характеристика дозволяє проаналізувати тимчасову динаміку передачі енергії процесу по масштабах - обмін енергією між складовими процес компонентами різного масштабу у будь-який заданий момент часу.

Глобальний спектр енергії. Повна енергія розподілена по масштабах відповідно до глобального спектру енергії коефіцієнтів вейвлет-перетворення


Його називають також скалограмой (scalogram) або дисперсією вейвлет-перетворення (wavelet variance).

Спектри досить добре узгоджуються, але спектр, вичислений по коефіцієнтах вейвлет-перетворення, набагато гладша крива. Причина полягає в тому, що вейвлет-спектр енергії сигналу ЕW відповідає згладженому спектру потужності ЕF. Це можна показати, виразив спектр енергії ЕW(а) через спектр енергії сигналу в просторі Фур'є:


Легко бачити, що скалограма ЕW відповідає спектру потужності згладженому на кожному масштабі спектром Фур'є аналізуючого вейвлета. Вейвлет-перетворення, що надає як би тимчасову розгортку спектру, дозволяє отримати і більше злокалізовану енергетичну інформацію. Енергія сигналу визначається через спектр енергії рівністю


Таким чином, величина Еf пропорційна площі під кривою ЕW(а)/а2, а скалограма відбиває відносний вклад різних масштабів в повну енергію і виявляє розподіл енергії процесу по масштабах.

Аналізована функція має кінцеву енергію, а аналізуючий вейвлет - нульове середнє значення, внаслідок чого спектр енергії ЕW(а) повинен прагнути до нуля на обох кінцях шкали масштабів і повинен мати принаймні один максимум. Положення подібних максимумів (піків) спектру Фур'є ЕF(ω) звично зв'язується з частотами і відповідними характерними модами аналізованого сигналу, що несуть в собі основну енергію процесу. Максимуми енергетичного спектру ЕW(а) інтерпретуються аналогічно - вони визначають масштаби процесу, що вносять основний вклад в повну енергію Еf. Вейвлет-перетворення з його ієрархічним базисом добре пристосоване для аналізу каскадних процесів, фрактальних і мультифрактальних множин, що мають ієрархічну природу.

Розкладання GPRS-трафіку по вейвлет-базису

Вейвлет-аналіз виконується шляхом розкладання вибірки Х(t): {х(t0), x(t1),. . .,x(tN-1)} об'єму  на функції деталізації різного масштабу. Тут  - максимальне число масштабів розкладання; [log2N] - ціла частина числа log2N. Значення індексу масштабу j=0 відповідає випадку максимального розширення найточнішої апроксимації, яка дорівнює початковому ряду X(t), що складається з n0 відліків. Зі збільшенням j (0 < j < Jmax) відбувається перехід до грубішого розширення. При заданих скейлинг-функції φ і материнському-вейвлеті ψ коефіцієнти апроксимацій aj,k і коефіцієнти деталей dj,k дискретного вейвлет-перетворення для процесу Х(t) визначаються таким чином:


Відповідно до положень вейвлет-анализа часовий ряд Х(t) може бути представлений у виді


де  - функція початкової апроксимації, що відповідає масштабу  - масштабний коефіцієнт, рівний скалярному добутку початкового ряду V(t) і масштабній функції "найгрубішого" масштабу J, зміщеній на k одиниць масштабу вправо від початку координат;

 - функція деталізації j-го масштаба;  - вейвлет-коефіцієнт масштабу j, рівний скалярному добутку початкового ряду Х(t) і вейвлета масштабу j зміщеного на k одиниць масштабу вправо від початку координат.

Материнський вейвлет ψ(t) можна представити у вигляді смугового фільтру з граничними частотами ω1 і ω2, які являються відповідно до нижньої і верхньої відсічками частоти для ψ(t). В результаті коефіцієнти деталей dj,k можна розглядати як процес на виході смугового фільтру. Квадрат процесу деталей  грубо вимірює енергію біля моменту часу  і частоти , де  - прийнятий одиничний інтервал часу; /2. Дисперсії процесів деталей dj на усіх масштабах {2j} (коли такі процеси є стаціонарними) це характеристики 2-го порядку процесу Х(t), які визначають вид вейвлет-спектра.

Вейвлет-метод оцінки самоподібності GPRS-трафіку

Нехай Х(t) буде стаціонарним в широкому сенсі процесом. Тоді його вейвлет-коефіцієнти dj,k можуть бути знайдені з рівняння [17]

(2.1)

де f(λ) і ψ(λ) - спектр потужності і перетворення Фур'є для вейвлет-функції ψ0(-) відповідно.

На основі (2.1) отримуємо


де C(H, ψ0) - постійна, залежна від H і ψ0.

Якщо довжина вибірки X рівна n, тоді доступне число вейвлет-коефіцієнтів в октаві j рівне nj=2-jn. В результаті


Тут величина μj є незміщеною і заможною оцінкою . Формула (2.2) описує можливий спосіб оцінки показника Херста довготривало залежних (ДВЗ) процесів в наступному виді:


Це означає, що, якщо V(t) являється ДВЗ з показником Херста H, то графік залежності  від j, що називається логарифмічною діаграмою (LD), має лінійний нахил (2H-1) і масштабний показник α=(2H-1) може бути отриманий шляхом оцінки нахилу графіку функції  від j. Як показано в [17], можна знайти зважену оцінку  для α на інтервалі :

 (2.3)

Тут

- число коефіцієнтів-деталей на відповідному рівні розкладання j.

При практичному використанні викладеної процедури оцінки показника Херста має бути визначена нижня межа масштабування.

Результати експериментальних досліджень фрактальних властивостей GPRS-трафіку

Отримані експериментальні дані GPRS-трафіку були розкладені на його складові по протоколах згідно мережевої ієрархії моделі OSI. Результат досліджень на основі вейвлет-аналізу (рисунок 2.18-2.23) показав наявність складної багатомасштабної структури мережевих складових трафіку. На цих рисунках представлені наступні залежності: а - реалізація досліджуваного трафіку; б - автоматичний вибір межі масштабування; в - оцінка показника Херста в припущенні монофрактального трафіку; г - оцінка показника Херста в припущенні мультифрактального трафіку; д - гістограма розподілу досліджуваного трафіку; е - коефіцієнт кореляції досліджуваного трафіку.

Рисунок 2.18 - Вхідний трафік Frame Relay

На рисунках 2.18 і 2.19 зображені вхідний та вихідний FR-трафіки, отримані в результаті роботи алгоритму автоматичного визначення області масштабування. Суцільною лінією показана зона швидкого зростання, а пунктиром - зона рівноваги. На рисунках 2.18б і 2.20б точкою позначені межі розділу між короткочасними і довготривалими кореляціями в даних. Якщо робити оцінку по усіх доступних масштабах [2], то показник Херста буде схильний до сильного впливу короткочасних кореляцій (Н > 1), а це зменшить достовірність результату.

На рисунках 2.18,в і 2.19,г приведені логарифмічні діаграми отриманих даних з апроксимацією, виконаною з урахуванням вибраної області масштабування. Отримані графіки вказують на наявність двох масштабних областей, в яких виконані оцінки самоподібності. На рисунку 2.21,д представлені гістограми реальних даних, по яких видно асиметрична форма розподілу і повільно убуваючої залежності. Для досліджуваних трас (рисунки 2.18,е і 2.19,е) були побудовані коефіцієнти кореляції, по графіках яких можна побачити, що є присутніми короткочасно залежні процеси, а також що значення досліджуваного ряду є приблизно некорельованими.

Рисунок 2.19 - Вихідний трафік Frame Relay

Значення показника Херста на КВЗ (Н = 0,708) вище, ніж на ДВЗ (Н = 0,606), звідси видно, що інтервал ДВЗ має структуру, що більше змінюється, ніж інтервал КВЗ з урахуванням апроксимацій. Похилий показник α дорівнює 0,416 і для ДВЗ рівний 0,213 з вибірковою функцією , чисельне значення якої складає .

На рисунках 2.20 і 2.21 представлений вхідний і вихідний НТТР-трафіки, об'єм яких значно перевищує об'єми інших протоколів. Це показує, що користувачі мережі GPRS в основному користуються Інтернетом, використовуючи телефон як модем. З рисунків 2.20,в,г і 2.21,в,г видно, що значення показника Херста на ДВЗ перевищує його значення на КВЗ. Побудовані гістограми мають асиметричну форму і показують присутність довготривалої залежності "важкого" хвоста. Кореляційна функція з більш високим показником Херста має гладше виражену структуру.

Рисунок 2.20 - Вхідний трафік НТТР

Таблиця 2.7 - Значення показника Херста, отриманого за допомогою вейвлет-аналізу

Вид трафіку

FR (DL)

FR (UL)

FTP (DL)

FTP (UL)

FTP DATA

HTTP (DL)

HTTP (UL)

Значення Херста Н

0,864

0,902

0,670

0,702

0,606

0,854

0,784


Вид трафіку

ICMP (DL)

ICMP (UL)

SMTP (DL)

SMTP (UL)

WAP (DL)

WAP (UL)

Значення Херста Н

0,516

0,544

0,832

0,816

0,658

0,872


Рисунок 2.21 - Вихідний трафік HTTP

На рисунках 2.22 і 2.23 представлені вхідний і вихідний трафіки поштових протоколів SМТР. З графіків видно, що об'єми вхідних трафіків перевищують об'єми вихідних, також збільшується і значення показника Херста. З урахуванням масштабування межі розділу двох середовищ складає j = 4. З графіків видно, що зі збільшенням показника Херста кореляційна функція має характер, що менш змінюється, тобто має довготривалу залежність.

Рисунок 2.22 - Вхідний трафік SMTP

Рисунок 2.23 - Вихідний трафік SMTP

Чисельні значення усередненого показника Херста, самоподібності досліджуваних видів трафіку, що характеризує міру, представлені в таблиці 2.8.

Таблиця 2.8 - Значення параметра Херста, отримані на основі алгоритму автоматичного визначення області масштабування

Вид траси

Розкладання за всім діапазоном

При автоматичному обиранні меж масштабування в заданому діапазоні

FR (DL)

(1-15) 0,624±0,01

(6-15) 0,864±0,03

FR (UL)

(1-15) 0,628±0,01

(6-15) 0,902±0,03

FTP (DL)

(1-9) 0,640±0,036

(4-9) 0,670±0,127

FTP (UL)

(1-9) 0,702±0,034

(3-9) 0,441±0,111

FTP DATA (DL)

(1-9) 0,708±0,046

(2-9) 0,606±0,068

HTTP (DL)

(1-15) 0,674±0,005

(6-15) 0,854±0,03

HTTP (UL)

(1-15) 0,634±0,005

(6-15) 0,784±0,03

ICMP (DL)

(1-15) 0,561±0,004

(5-15) 0,516±0,021

ICMP (UL)

(1-15) 0,591±0,005

(4-15) 0,544±0,014

SMTP (DL)

(1-12) 0,676±0,024

(4-12) 0,832±0,045

SMTP (UL)

(1-12) 0,710±0,015

(4-12) 0,816±0,047

WAP (DL)

(1-12) 0,866±0,014

(5-12) 0,658±0,062

WAP (UL)

(1-12) 0,937±0,013

(5-12) 0,827±0,062


Розглянемо результати дослідження реального GPRS-трафіку, розбитого на складові його протоколи.

На рисунках 2.24-2.27 представлені значення коефіцієнтів вейвлет-перетворення в горизонтальних перерізах. На рисунках показані аналізовані ряди (а), картини значень коефіцієнтів вейвлет-перетворення W(a,b) від часу (б), залежності коефіцієнтів W(a,b) при фіксованому масштабі а (в) і скелетон (г) в проекціях на площину ab (часовий масштаб, час); по осі абсцис відкладений час (чи параметр зрушення), по осі ординат - часовий масштаб. На картині коефіцієнтів W(a, b) (рисунки б) темні області відповідають додатнім, а світлі - від'ємним значенням W(a, b), відтінками сірого кольору в кожній з областей виділені діапазони значень W(a, b).

Рисунок 2.24 - Вхідний трафік IP (DL)

Рисунок 2.25 - Вихідний трафік IP (UL)

Вище вже говорилося, що вейвлет-перетворення розкладає аналізований процес на складові його хвилі, компоненти різного масштабу і, крім того, дає "злокалізовану" в часі інформацію про процес. Горизонтальний переріз картини, приведеної на рисунках б, при заданому масштабі демонструє зміну компоненти вибраного масштабу в часі. Вертикальний переріз картини коефіцієнтів в деякий момент часу t0 демонструє поведінку процесу в околі вибраного моменту часу.

На рисунках показані фрагменти картин коефіцієнтів і ліній локальних максимумів. Вони досить детальні, проте лінійна зміна масштабу не дозволяє охопити великий діапазон масштабів. Картина коефіцієнтів демонструє ієрархічну структуру аналізованої множини. Ще ясніше вона видно на картинах ліній локальних максимумів. Скелетон виявляє не лише ієрархічну структуру аналізованої великої кількості, але і спосіб побудови фрактальної міри, на якій воно сформоване.

Для цих трафіків чітко простежується їх самоподібність, це видно з порівняння рисунків а і в. Зріз картини коефіцієнтів в точності повторює розташування глобальних максимумів і мінімумів початкової послідовності.

На рисунках г показані відповідні картини ліній локальних екстремумів - ліній, від масштабу до масштабу тих, що сполучають екстремуми кожної деталі поверхні ("пагорба" або "западини") окремо. Зазвичай вважають, що скелетон не лише чітко і без зайвих деталей візуалізує структуру аналізованого процесу, але de facto містить усю інформацію про нього. Суцільні лінії на малюнку відмічають положення локальних максимумів W(a, b), точкові мінімумів.

Представимо графік IP на рисунку 2.24 для порівняння з вихідним трафіком IР на рисунку 2.25. З представлених графіків видно, що об'єм вихідного трафіку значно менший за вхідний при істотній його неоднорідності. На рисунках 2.26 і 2.27 представлені характеристики вхідного і вихідного трафіків ТСР.

Рисунок 2.26 - Вхідний трафік TCP (DL)

Рисунок 2.27 - Вихідний трафік TCP (UL)

Масштабно-часова розгортка, що виходить в результаті вейвлет-перетворення сигналу, дозволяє виявити не лише осциляції з добре фіксованим періодом, але і нестаціонарні осциляції, злокалізовані періодичності і тому подібне.

Енергія (чи дисперсія) коефіцієнтів вейвлет-перетворення ЕW(а) пропорційна дисперсії аналізованих даних і дає розподіл енергії процесу по масштабах. Можливість отримання цієї характеристики локально дозволяє, наприклад, при аналізі досліджуваних процесів не лише отримати набір характерних масштабів, але і об'єктивно визначити масштаби, пов'язані з когерентними структурами, і досліджувати перемежану процесу.

По коефіцієнтах вейвлет-перетворення, а також по значеннях локальних екстремумів можна вичислити розмірність аналізованої множини або спектр розмірності, якщо воно мультифрактально.

Таким чином, аналіз проведених досліджень показав, що отримані експериментальні дані мають самоподібну(фрактальну) структуру як у вхідних трафіків, так і у вихідних.

Статистичні дані показують, що найбільші об'єми трафіків приходить на протоколи IР, ТСР, UDP і FR, що відповідає більше 70% усього досліджуваного трафіку. Трафік НТТР свідчить про те, що в десятки разів перевершує GPRS-WAP.

Розкладання GPRS-трафіку на безліч різних протоколів дозволило досліджувати наявність самоподібних (монофрактальних) властивостей у цих компонентів. Найбільше значення показника Херста спостерігається в вхідних IР, ТСР, UDP, FR, НТТР, IСМР, WАР-трафіках. Аналіз представлених експериментальних даних вказує на наявність складної багатомасштабної структури трафіку. Отримані значення показника Херста доводять, що мережевий трафік, розкладений по протоколах згідно мережевої моделі OSI, має складну, в загальному випадку мультифрактальну структуру. З графіків видно, що при збільшенні показника Херста кореляційна складова мережевого трафіку прагне до розподілу за експоненціальним законом, тобто має довготривалу залежність.

Аналіз отриманих експериментальних даних на основі вейвлет-перетворення також показав наявність складної самоподібної структури. З результатів аналізу видно, що загальна тимчасова характеристика сигналів і значення певних локальних екстремумів проявляють себе в тій або іншій групі залежно від досліджуваного протоколу.

Отримана картина коефіцієнтів W(a, b) при значенні а = 32 найбільш рівномірна у тих протоколів, які мають велику щільність енергії на усьому масштабі часу. Показано, що локалізація за часом з урахуванням щільності енергії найбільш властива для протоколів вищих рівнів IР, ТСР, UDР. Приведені скалограми енергетичних спектрів сигналів мають неоднорідну структуру, а найбільшу щільність розподілу енергії мають протоколи IР (DL), IР (UL), ТСР (DL), FR (DL), НТТР (UL), WАР (UL), WТР (DL) і SМТР (DL).

2.4    Мультифрактальний аналіз мережевого трафіку GPRS/EDGE

Розглянемо оцінки скейлингової і масштабної функції мультифрактального GPRS/EDGE трафіку.

Результати статистичної обробки представлені на рисунках 2.28-2.35. Ці рисунки містять наступні графіки: a - траса; б - вейвлет-траса; в - абсолютні моменти агрегованого трафіку; г - залежність τ(q); д- залежність log2c(q).

На рисунках а представлені аналізуємі траси у вигляді кількості пакетів на кожному інтервалі відліку. На рисунках б побудовані log-log графіки абсолютних моментів агрегованої послідовності набору даних досліджуваної траси залежно від рівня об'єднання для деяких значень порядку моменту q. З графіку моментів q отримані залежності τ0(q), які пов'язані з τ(q) простим співвідношенням τ0(q) = τ(q) + 1. Після застосування методу оцінки, представленого в попередньому розділі, були оцінені множини τ(q) і c(q), які представлені на малюнках г і д. Графік функції τ(q) є опуклою кривою, що говорить про мультифрактальний характер досліджуваної траси.

Рисунок 2.28 - Мультифрактальний аналіз трафіка IP (DL)

Рисунок 2.29 - Мультифрактальний аналіз трафіка IP (UL)

Результати статистичної обробки з метою пошуку коефіцієнтів апроксимації функцій τ(q) і log2c(q), досліджуваних реалізацій трафіку, що характеризують мультифрактальність, приведені в таблиці 2.9.

Таблиця 2.9 - Коефіцієнти апроксимації функцій τ(q) та log2c(q)

Вид траси

Функція τ(q)

Функція log2c(q)


a0

a1

a2

c0

c1

c2

IP (DL)

0,99375

0,34042

0,02201

1,4539

19,00

-0,178

IP (UL)

0,9970

0,2728

0,02303

1,2137

16,4481

-0,1328

TCP (DL)

0,9887

0,3395

0,02290

1,4450

18,9575

-0,1792

TCP (UL)

1,0048

0,2810

0,02950

1,2413

16,3148

-0,09741

HTTP (DL)

0,91266

0,21178

0,05292

0,86711

16,4921

-0,06760

HTTP (UL)

0,92578

0,20784

0,04822

0,51292

13,84513

-0,11115

SMTP (DL)

0,7558

0,2375

0,019

1,6387

13,6957

-0,1133

SMTP (UL)

0,5945

0,07438

0,02991

0,7723

11,8116

-0,1502


Логарифмічні діаграми IР-трафіку, розраховані при різних q, дають оцінку показника масштабування τ(q), показану на рисунках г. Нелінійна крива функції масштабування говорить про те, що IР-трафік проявляє мультифрактальну структуру на цих масштабах часу. Отримана оцінка функції масштабування τ(q) на цих рисунках грунтована на функціях розбиття, показаних на малюнках е, і також підтверджує зроблені спостереження відносно мультифрактального масштабування.

При дослідженні рядів даних для протоколів транспортного рівня масштабний аналіз показав, що трафік цих протоколів має властивість ДВЗ, як і говорилося раніше, але тести на масштабну поведінку в UDP провалилися. У разі ТСР було виявлено, що його масштабна структура подібна до масштабної структури IР-трафіку. Оцінені log2c(q) і т(д) τ(q), показані на рисунках 2.30 і 2.31, мають подібність з тими, що отримані для IР-трафіку. Зроблений висновок, що ТСР-трафік також проявляє мультифрактальне масштабування.

Рисунок 2.30 - Мультифрактальний аналіз трафіка ТСP (UL)

Рисунок 2.31 - Мультифрактальний аналіз трафіка ТСP (DL)


Рисунок 2.32 - Мультифрактальний аналіз трафіка HTTP (DL)

Рисунок 2.33 - Мультифрактальний аналіз трафіка HTTP (UL)

Результати аналізу трафіку SМТР показані на рисунках 2.34 і 2.35. Видно, що показник масштабування log2c(q) і функція масштабування τ(q) є лінійними функціями від q. Отже, вибраний набір SМТР показує явну присутність монофрактальності. Проте відповідно до проведеного раніше обговорення виявлення монофрактальної структури не є загальним висновком стосовно характеристик трафіку, переносимого протоколом FТР. Отримані дані підтверджують результати, представлені в [24-27] і що показують, що WAN-трафік являється ДВЗ. Проте дослідження дозволили доповнити ці результати і показати, що WAN-трафік має складну мультифрактальну структуру не лише на малих, але і на великих масштабах часу. Більше того, аналіз показує, що агрегація складається із складових з масштабною поведінкою (без масштабування, мультифрактальне масштабування, монофрактальне масштабування), що сильно відрізняється.

Рисунок 2.34 - Мультифрактальний аналіз трафіка SMTP (DL)

Рисунок 2.35 - Мультифрактальний аналіз трафіка SMTP (UL)

Запропонований метод оцінки мультифрактальних властивостей трафіку на основі статистичного реалізацій телекомунікаційного трафіку і побудови функції розбиття дозволяє реалізувати на практиці оцінку скeйлинговой функції τ(q) і масштабного коефіцієнта c(q), що повністю характеризують мультифрактальний спектр і мультифрактальну розмірність реальних телекомунікаційних трафіків.

2.5    Оцінка самоподібності трафіку в мережі широкосмугового доступу WiМАХ

Нині безпровідні технології отримують все більше застосування для передачі інформації сервісів реального часу. Один з таких напрямів технологія безпровідного широкосмугового радіодоступу WiМАХ (Worldwide Interoperability for Microwave Access) на базі протоколу IEЕЕ 802.16, що забезпечує високошвидкісні з'єднання (до 70 Мбіт/с) на великих відстанях навіть за відсутності прямої видимості об'єкту. Технологія WiМАХ дозволяє працювати навіть в умовах щільної міської забудови, забезпечуючи високу якість зв'язку і значну швидкість передачі даних.

Сучасні дослідження показують [17, 28], що мережевий трафік в подібних системах має властивість самоподібності, що впливає на параметри якості передачі інформації QoS.

Опис досліджуваної мережі. Структура мережі на основі технології WiМАХ, в якій були проведені експериментальні дослідження вхідного і вихідного трафіків, показана на рисунку 2.36. Досліджувана мережа є сукупністю базових станцій (БС) і приймально-передавальних клієнтських терміналів. Базова станція (БС) є багатопотоковою станцією з високою вихідною потужністю, працююча в повнодуплексному режимі. Вона має централізовану архітектуру організації мережі і управління і призначена для виконання різних сервісів з високою надійністю і доступністю. Базова станція забезпечує усі функціональні можливості, які необхідні для організації з'єднань абонентських терміналів з сервісом провайдера.

Рисунок 2.36. Мережева архітектура мережі широкополосного доступу WiMAX

Клієнтський термінал складається із зовнішнього ODU (OutDoor Unit) і внутрішнього IDU (InDoor Unit) модулів. Зовнішній модуль виконує функцію високочастотного тракту, працюючого в діапазоні від 2 до 11 ГГц, а також містить усі активні компоненти і плоску інтегровану антену з високим коефіцієнтом посилення. Внутрішній модуль виконує наступні функції: передачу Ethernet-даних, управління системою, мультиплексування і маршрутизацію потоків, а також подання живлення на зовнішній блок.

Брандмауер (FireWall) забезпечує захист внутрішньої мережі від зовнішньої дії з боку Інтернету, а також блокує невживані з'єднання і пакети, забезпечуючи захист на прикладному рівні. Комутатор розподіляє отриманий трафік між двома мережами LAN і WiFi, які контролюються сервером. Реєстрація даних здійснювалася за допомогою маршрутизатора мережі WiМАХ в напрямах downlink і uplink. На рисунку 2.37 представлені кореляційні функції трафіку WiМАХ при різних розширеннях. З графіків видно, що кореляційна функція убуває досить повільно при різних розширеннях, що побічно свідчить про наявність самоподібності.

Як показують численні дослідження, найбільш перспективним способом обробки експериментального трафіку з метою оцінки міри самоподібності є використання вейвлет-аналізу.

Як приклад на рисунку 2.38 представлені результати обробки вихідного трафіку з розширенням 10 с, отримані за допомогою алгоритму автоматичного визначення меж масштабування [28]. На рисунку 2.38,а показана реалізація трафіку, отримана в результаті вимірів. На рисунку 2.38,б представлені результати роботи алгоритму автоматичного визначення нижньої межі масштабування. Суцільною лінією показана зона стрімкого зростання, а пунктиром - зона нульової рівноваги. Оскільки при обчисленні функції Q для початкових масштабів j = 1,2,3 були отримані дуже маленькі значення, то їх логарифми були усічені до -10. Горизонтальні лінії відповідають Q = 0,01; 0.05 і 0.1.

Зафарбованим ромбом на графіках відмічена знайдена в результаті роботи алгоритму точка початку області масштабування . По цій точці можна судити про знаходження "межі розділу" між короткочасними і довготривалими кореляціями в даних. Оскільки при оцінці показника Херста враховуються тільки довготривалі кореляції, а наявність сильної короткочасної складової може тільки спотворити оцінку, то точка  вибиралася в якості початкової при апроксимації логарифмічної діаграми.

На рисунку 2.38,в показані оцінки показника Херста по вейвлет-коефіцієнтам на усій області масштабування в діапазоні j = 1,2,..., 11, а на рисунку 2.38,г - в діапазоні j = 7,... 15, знайдені по алгоритму автоматичного визначення нижньої межі масштабування.

У таблиці 2.12 представлена зведена інформація про оцінки показника Херста вхідного і вихідного трафіку, знайдені як без, так і з урахуванням вибору початкової межі масштабування для діапазонів масштабування 0,1, 1, 10 і 100 секунд з 95%-вими довірчими інтервалами. У таблиці для порівняння приведені оцінки, виконані на усій області логарифмічної діаграми і в зоні масштабування, початок якої визначений відповідно до автоматичного алгоритму.

Таблиця 2.10 - Результати оцінки степені само подібності вхідного та вихідного трафіка для різних діапазонів масштабування

Метод оцінки показника Херста

Рівень розширення, с


0,1

1

10

100

Повний діапазон j Оцінка показника Херста для вхідного трафіка

1…18 0,0605±0,002

1…15 0,965±0,005

1…11 0,93±0,017

1…8 1,013±0,067

Повний діапазон j Оцінка показника Херста для вихідного трафіка

1…18 -0,011±0,02

1…15 1,0017±0,005

1…11 1,103±0,017

1…11 1,103±0,017

Автоматичний вибір діапазона j Оцінка показника Херста для вхідного трафіка

8…18 0,54±0,02

2…15 0,929±0,008

7…11 0,695±0,2

7…11 0,775±0,038

Автоматичний вибір діапазона j Оцінка показника Херста для вихідного трафіка

9…18 0,74±0,028

7…15 0,838±0,047

7…11 0,651±0,05

7…11 0,735±0,037


Результати, представлені в таблиці, підтверджують, що якщо робити оцінку по усіх доступних масштабах, то оцінка показника Херста буде схильна до сильного впливу короткочасних кореляцій (Н > 1). Але як тільки при оцінці враховувалася знайдена межа розділу між короткочасними і довготривалими кореляціями, то показник Херста набував значень в діапазоні 0,54...0,93.

Таким чином, порівняльний аналіз знайдених оцінок показника Херста показує, що спостережуваний трафік має властивості самоподібності на різних інтервалах розширення, що свідчить про мультифрактальний характер досліджуваного трафіку.

Висновки

У цій дипломній роботі описано процеси, які відбуваються в мережі мобільного зв’язку, була розглянута актуальність використання технології передачі GPRS та її складових частин.

Була розроблена імітаційна модель мобільного зв’язку та були проведені дослідження процесів передачі сигналу з використанням однієї та кількох мобільних станцій, які довели, що розміщення каналу в базових станція виконується успішно. Також в результаті роботи над дипломною роботою були отримані дані, що підтверджують наявність самоподібної структури трафіку, яка була оцінена за допомогою показника Херста. Це пов’язано з тим, що в одному фізичному каналі є присутньою величезна кількість інформації, різною за своєю природою.

Всі дослідження були проведені в програмі імітаційного моделювання OPNET. Повна модель OPNET GPRS служитиме корисним інструментом для оцінки продуктивності і планування мережі GPRS.

Список використаної літератури

1.       Шелухін О.І. Мультифрактали. Інфокомунікаційні програми / Шелухін О.І. - М.: Гаряча лінія - Телеком, 2011. - 576 с.: іл.

.        Шелухін О.І. Самоподібність і фрактали / Шелухін О.І., Осін А.В., Смольский С.М. - М.: Фізматліт, 2008.

.        Шелухін О.І. Оцінка самоподібності телекомунікаційного трафіка за допомогою вейвлетів // Електротехнічні та інформаційні комплекси та системи / Шелухін О.І., Осін А.В., Ахметшин Р.Р. - 2006. Т. 2, № 3. С. 28-34.

.        Шелухін О.І., Матвєєв С.Б., Пастухов А.С. Експериментальне дослідження GPRS-трафіку в стільниковій мережі зв'язку стандарта GSM // Електротехнічні та інформаційні комплекси та системи. 2007. Т. 3, № 2. С. 49-55.

.        Шелухін О.І., Матвєєв С.Б., Пастухов А.С. Експериментальне дослідження фрактальних властивостей GPRS-трафіку протоколів мережевих рівнів // Електротехнічні та інформаційні комплекси та системи. 2007. Т. 3, № 3. С. 33-41.

.        Шелухін О.І., Матвєєв С.Б., Пастухов А.С. Оцінка самоподібності трафіка в мережі широкосмугового доступа WiMAX // Електротехнічні та інформаційні комплекси та системи. 2008. Т. 4, № 1.2. С. 86-94.

.        Шелухін О.І. Моделі трафіку мобільних потокових програм / О.І. Шелухін // Електротехнічні та інформаційні комплекси та системи. 2007. Т. 3, № 4. С. 47-54.

.        Галактіонова О.В. Моделювання і оцінка параметрів неоднорідного вхідного потоку в телекомунікаційних системах: автореф. дис. на здобуття наук. ступеня канд. фіз.-мат. наук: спец. 05.13.18 «Математичне моделювання, чисельні методи і комплекси програм» / О.В. Галактіонова. - Тверь, 2011. - 23, с.

.        V. Vukadinovic, Lj.Trajkovic, «Mobile Application Part protocol implementetion in OPNET», Vancuver, BC, Canada.

.        R. Narayanan, P. Chan, M. Johansson, F. Zimmermann, Lj.Trajkovic, «Enhanced General Packet Radio Service OPNET Model» , Vancuver, BC, Canada.

.        R. Narayanan and Lj.Trajković, «General Packet Radio Service OPNET Model», Vancuver, BC, Canada.

.        Астаф’єв Н.М. Вейвлет-аналіз: основи теорії та приклади застосування// УФН. 1996. Т.166, №11. С. 1145-1170.

Похожие работы на - Оцінка параметрів неоднорідного вхідного потоку у телекомунікаційних мережах

 

Не нашли материал для своей работы?
Поможем написать уникальную работу
Без плагиата!
Без нейросетей!