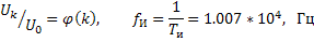
|
ИС; АЦП; L=8
|
ПДУ
|
НКС
|
ПРУ
|
Функция корреляции сообщения
|
|
|
|
Способ передачи
|
Частота
|
|
|
Способ приема
|
|
|
4.6
|
8
|
АМ
|
3.1
|
0.0008
|
18
|
НП
|

|
Временные диаграммы:
Исходный сигнал:
Спектр сигнала на выходе
дискретизатора

1. По заданной функции корреляции
исходного сообщения
а) рассчитать интервал корреляции, спектр плотности мощности,
начальную энергетическую ширину спектра сообщения
Рассчитаем интервал корреляции:
Так как область интегрирования положительная, то знак модуля можем
опустить.
Рассчитаем энергетический спектр или спектр плотности мощности:
Найдем начальную энергетическую ширину спектра сообщения.
Для
нахождения 
возьмем
производную от
и
приравняем ее нулю
Получаем
при

Подставляя

в
выражение для 
получаем.
б)
построить в масштабе графики функции корреляции и спектра плотности мощности;
отметить на них найденные в пункте а) параметры
График
функции корреляции- 
График
спектра мощности - 
Считая, что исходное сообщение воздействует на идеальный фильтр нижних
частот (ИФНЧ) с единичным коэффициентом передачи и полосой пропускания, равной
начальной энергетической ширине спектра сообщения
а) рассчитать среднюю квадратическую погрешность фильтрации
(СКПФ) сообщения, среднюю мощность отклика ИФНЧ, частоту и интервал временной
дискретизации отклика ИФНЧ
Мощность отклика ФНЧ равна:
Средняя квадратическая погрешность фильтрации:
Найдем частоту и интервал временной дискретизации отклика ИФНЧ:
1. Полагая, что
последовательность дискретных отсчетов на выходе дискретизатора далее
квантуется по уровню с равномерной шкалой квантования
а) Рассчитать интервал квантования, пороги и уровни
квантования, среднюю квадратическую погрешность квантования (СКПК);
Рассчитаем шаг квантования:

где L=8
- количествоуровней квантования.
Пороги
квантования находим из выражения:
|
|
0
|
1
|
2
|
3
|
4
|
5
|
6
|
7
|
8
|
|
|
|
-5.523
|
-3.682
|
-1.841
|
0
|
1.841
|
3.682
|
5.523
|
|
Уровни квантования определяются следующими соотношениями:
|
|
0
|
1
|
2
|
3
|
4
|
5
|
6
|
7
|
|
|
-6.444
|
-4.603
|
-2.762
|
-0.921
|
0.921
|
2.762
|
4.603
|
6.444
|
Средняя квадратическая погрешность квантования (мощность шума
квантования) равна:

соответственно
мощности (дисперсии) входного и выходного сигналов квантователя,а
коэффициентвзаимной корреляции между этими сигналами.

ФПВ
гауссовской случайной величины х
|
|
-5.523
|
-3.682
|
-1.841
|
0
|
1.841
|
3.682
|
5.523
|
|
|
0.0024
|
0.029
|
0.131
|
0.217
|
0.029
|
0.0024
|

распределение
вероятностей дискретной случайной величины 
Где
табулированная
функция Лапласа.
Следовательно,
получаем, что мощность шума квантования равна:
б)
построить в масштабе характеристику квантования
2. Рассматривая отклик
квантователя как случайный дискретный сигнал с независимыми значениями на входе
L- ичного дискретного канала связи (ДКС)
а) рассчитать закон и функцию распределения вероятностей
квантованного сигнала, а также энтропию, производительность и избыточность L-
ичного дискретного источника;
Распределение вероятностей рассчитывается так:

табулированная
функция Лапласа.
|
|
0
|
1
|
2
|
3
|
4
|
5
|
6
|
7
|
|
|
0.0013
|
0.021
|
0.136
|
0.341
|
0.341
|
0.136
|
0.021
|
0.0013
|
Интегральное распределение вероятностей:
Рассчитаем энтропию.
Производительность в ДКС определяется соотношением:
Избыточность последовательности источника:
б) построить в масштабе графики рассчитанных закона и функции
распределения вероятностей
3. Закодировать значения
L-ичного дискретного сигнала двоичным блочным примитивным кодом, выписать все
кодовые комбинации кода и построить таблицу кодовых расстояний кода
При
организации цифровой связи широкое распространение получило двоичное
кодирование, когда кодовые символы принимают только два значения
.
Процедура кодирования состоит в следующем.
Физические
уровни 
, вначале
пронумеровываются, т.е. заменяются их номерами 
. Затем
эти десятичные числа представляются в двоичной системе счисления с основанием
2. Это представление имеет вид:

двоичный
кодовый символ (0 или 1) десятичногочисла 
,расположенный
в j-ой позиции кодовой комбинации
В
нашем случае 
Тогда
получаем:








Образуется
сигнал импульсно-кодовой модуляции (ИКМ)
Кодовым
расстоянием 
между
двумя двоичными кодовыми комбинациями
и 
называют
количество позиций, в которых одна кодовая комбинация отличается от другой
Таблица
кодовых расстояний:
|
000
|
001
|
010
|
011
|
100
|
101
|
110
|
111
|
0
|
1
|
1
|
2
|
1
|
2
|
2
|
3
|
|
001
|
1
|
0
|
2
|
1
|
2
|
1
|
3
|
2
|
|
010
|
1
|
2
|
0
|
1
|
2
|
3
|
1
|
2
|
|
011
|
2
|
1
|
1
|
0
|
3
|
2
|
2
|
1
|
|
100
|
1
|
2
|
2
|
3
|
0
|
1
|
1
|
2
|
|
101
|
2
|
1
|
3
|
2
|
1
|
0
|
2
|
1
|
|
110
|
2
|
3
|
1
|
2
|
1
|
2
|
0
|
1
|
|
111
|
3
|
2
|
2
|
1
|
2
|
1
|
1
|
а) рассчитать априорные вероятности передачи по двоичному ДКС
символов нуля и единицы, начальную ширину спектра сигнала ИКМ:
Т.к.
среднее число нулей 
и
среднее число едениц 
в
сигнале ИКМ одинаково, то и вероятность их появления одинаковы:
Ширина
спектра сигнала ИКМ равна:

постоянная; 
4. Полагая, что для передачи
ИКМ сигнала по непрерывному каналу связи (НКС) используется гармонический
переносчик
а) рассчитать нормированный к амплитуде переносчика спектр
модулированного сигнала и его начальную ширину спектра;
Сигнал ДАМ представляется в виде:
Разложение сигнала по гармоническим составляющим имеет следующий вид:
При
не известной амплитуде 
вычисляют
нормированный спектр
Ширина
спектра сигнала ДАМ равна:

б)
построить в масштабе график нормированного спектра сигнала дискретной модуляции
и отметить на нем найденную ширину спектра
График
нормированного спектра сигнала дискретной модуляции.
5.
Рассматривая НКС как аддитивный гауссовский канал с ограниченной полосой
частот, равной ширине спектра сигнала дискретной модуляции, и заданными
спектральной плотностью мощности помехи и отношением сигнал-шум
а) рассчитать приходящиеся в среднем на один двоичный символ
мощность и амплитуду модулированного сигнала, дисперсию (мощность) аддитивной
помехи в полосе частот сигнала, пропускную способность НКС;
Мощность
гауссовского белого шума 
в полосе
пропускания ПФ геометрически определяется как площадь прямоугольника с высотой 
и
основанием
:
Учитывая,
что начальное соотношение сигнал-шум(ОСШ)

на входе
детектора приемника известно, находим мощность сигнала дискретной модуляции,
обеспечивающей это ОСШ:
Рассчитаем
приходящиеся в среднем на один двоичный символ мощность и амплитуду
модулированного сигнала:

Пропускная
способность НКС характеризует максимально возможную скорость передачи
информации по данному каналу. Она определяется:
б)
построить в масштабе четыре графика функций плотности вероятностей (ФПВ)
мгновенных значений и огибающих узкополосной гауссовской помехи (УГП) и суммы
гармонического сигнала с УГП.
ФПВ
мгновенных значений УГП имеют вид гауссовского распределения с числовыми
характеристиками 
-
математическое ожидание,

-
мощность.
Огибающаягауссовской
помехи распределена по закону Рэлея:
Огибающая
принимаемой суммы гармонического сигнала + УГП подчиняется обобщенному распределению
Рэлея:

6. С учетом заданного вида
приема (детектирования) сигнала дискретной модуляции
а) рассчитать среднюю вероятность ошибки в двоичном ДКС,
скорость передачи информации по двоичному симметричному ДКС, показатель
эффективности передачи сигнала дискретной модуляции по НКС;
За количественную меру помехоустойчивости в системах электросвязи
принимают среднюю на бит вероятность ошибки:
При
равенствах априорных вероятностей 
, а так
же условных вероятностей 
(условие
симметричности двоичного ДКС), средняя на бит вероятность ошибки равна 
Скорость
передачи информации по двоичному симметричному ДКС, когда 
определяется:
Т.к.
вероятность ошибок 
для
различных видов сигналов зависят от 
на входе
детектора, то и 
зависит
от ОСШ. Для сравнения скорости 
при
данном виде модуляции и способе приема с пропускной способностью НКС 
вводят
показатель эффективности
б)
изобразить схему приемника сигналов дискретной модуляции и коротко описать
принцип его работы, пояснить случаи, когда он выносит ошибочные решения.
Приемник
сигналов ДАМ
Амплитудный
детектор, представляющий собой нелинейный преобразователь и ФНЧ, выделяет
огибающую принимаемого сигнала ДАМ, прошедшего полосовой фильтр с эффективной
полосой пропускания равной
.
кдискретизатору подводятся отклик детектора
ипоследовательность
дискретизирующих импульсов 
с
периодом 
,которые
необходимы для взятия отсчета в середине посылки длительностью 
. В РУ
(решающем устройстве) отсчеты 
сравниваются
с пороговымнапряжением 
и
принимается решение - передана 1, если 
,
илипередан 0, если 
. Под
действием помех в канале связи амплитудасигнала изменяется и РУ может
ошибаться: при передаче 0 принимать 1 или же при передаче 1 принимать 0.
7.
Рассматривая отклик детектора ПРУ как случайный дискретный сигнал на выходе L-ичного ДКС
а) рассчитать распределение вероятностей дискретного сигнала
на выходе детектора, скорость передачи информации по L- ичному ДКС, относительные потери в
скорости передачи информации по L- ичному ДКС;
Распределение вероятностей дискретного сигнала на выходе детектора
определяется выражением:

,
где

вероятность
ошибки в двоичном симметричном ДКС; 
вероятность
правильного приема двоичного символа, 
|
|
0
|
1
|
2
|
3
|
4
|
5
|
6
|
7
|
|
|
0.004
|
0.024
|
0.136
|
0.337
|
0.337
|
0.136
|
0.024
|
0.004
|
Для
определения скорости передачи информации 
по L -
ичному ДКС воспользуемся соотношением:
Где

энтропия
ошибочных решений
Зная
производительность 
L -
ичного источника(скорость ввода информации в ДКС) и скорость передаваемой по
ДКС информации 
находим
величину относительных потерь в скорости:
б)
построить в масштабе график закона распределения вероятностей отклика декодера
и сравнить его с законом распределения вероятностей отклика квантователя.
10.Полагая ФНЧ на выходе ЦАП
приемника идеальным с полосой пропускания, равной начальной энергетической
ширине спектра исходного сообщения
а) рассчитать дисперсию случайных импульсов шума передачи на
выходе интерполятора ЦАП, среднюю квадратическую погрешность шума передачи
(СКПП) суммарную начальную СКП восстановления непрерывного сообщения (ССКП),
относительную СКП (ОСКП);
Дисперсия случайных импульсов шума передачи на выходе интерполятора ЦАП
определяется:
Где
вероятность
ошибки в двоичном симметричном ДКС.
Найдем
СКПП:
В
виду того, что погрешность фильтрации
шум
квантования 
и шум
передачи 
-
независимые случайные процессы, то суммарная СКПвосстановления непрерывного
сообщения
будет
равна сумме СКПуказанных процессов:

Тогда
относительная суммарная СКП восстановленного сообщения, очевидно будет равна:
8. В виду того, что выбор
начальной энергетической шириныспектра исходного сообщения не приводит к
минимуму ОСКП, решить оптимизационную задачу: с помощью ЭВМ определить
оптимальную энергетическую ширину спектра сообщения, доставляющую минимум
относительной суммарной СКП его восстановления
Относительная суммарная СКП восстановления сообщения равна:

Где

;

Где

интегральный
синус: 
интегральный
закон распределения
Суммарная
величина относительной СКП имеет минимум при оптимально выбранной
энергетической ширине спектра исходного сообщения.
9. Структурная схема системы
связи
Источник сообщения - это некоторый объект или система, информацию,
осостояние которой необходимо передать.
ФНЧ
- ограничивает спектр сигнала верхней частотой
.
Дискретизатор
- представляет отклик ФНЧ в виде последовательности отсчетов 
Квантователь
- преобразует отсчеты в квантовые уровни
; 
= 0, 1,
2... ;
, где 
- число
уровней квантования.
Кодер
- кодирует квантованные уровни двоичным безызбыточным кодом, т. е. формирует
последовательность комбинаций ИКМ
.
Модулятор
- формирует сигнал, амплитуда которого изменяются в соответствии с сигналом
.
Выходное
устройство ПДУ - осуществляет фильтрацию и усиление модулированного сигнала для
предотвращения внеполосных излучений и обеспечения требуемого соотношения
сигнал/шум на входе приемника.
Линия
связи - среда или технические сооружения, по которым сигнал поступает от
передатчика к приемнику. В линии связи на сигнал накладывается помеха.
Входное
устройство ПРУ - осуществляет фильтрацию принятой смеси -сигнала и помехи.
Детектор
- преобразует принятый сигнал в сигнал ИКМ
.
Декодер
- преобразует кодовые комбинации в импульсы.
Интерполятор
и ФНЧ восстанавливают непрерывный сигнал из импульсов - отсчетов.
Получатель
- некоторый объект или система, которому передается информация.
Список использованной литературы
связь сигнал кодирование модулирование
1. В.Г. Санников - Методические рекомендации по выполнению
курсовой работы-М.:1996.
. Прокис Дж. Цифровая Связь. Перевод с английского под
редакцией Д.Д. Кловского. - М.: Радио и связь. 2000.
. Теория электрической связи под редакцией Д.Д. Кловского М.:
Радио и связь 1998.
. Конспект лекций.