Применение метода множителей Лагранжа для решения задач оптимизации

  • Вид работы:
    Курсовая работа (т)
  • Предмет:
    Эктеория
  • Язык:
    Русский
    ,
    Формат файла:
    MS Word
    641,07 Кб
  • Опубликовано:
    2012-10-17
Вы можете узнать стоимость помощи в написании студенческой работы.
Помощь в написании работы, которую точно примут!

Применение метода множителей Лагранжа для решения задач оптимизации

Казанский (приволжский) федеральный университет

Институт вычислительной математики, кибернетики

и информационной технологии

Кафедра прикладной информатики







Курсовая работа по предмету

“Математическая экономика”

на тему

Применение метода множителей Лагранжа для решения задач оптимизации

Выполнила: Низамова А.Р.

Студентка гр.991пи

Проверил доцент кафедры

прикладной информатики

Евсеев В.И.



г.

Введение

Экономический рост в любой стране невозможен без реализации новых крупномасштабных проектов, инвестиций и инноваций, без политической стабильности и устойчивости финансово-банковской системы, уверенности инвесторов и собственников капитала в твердости реализуемого политического курса, нацеленности на эффективность развития производства, разумности правил налогообложения и деловой игры. Для этого необходимы:

•        совершенствование структурной политики и политики доходов как инструментов индикативного планирования;

•        разработка комплексных стратегий развития предприятий, федеральных научно-исследовательских программ повышения конкурентоспособности отдельных отраслей;

•        укрепление безопасности и обороноспособности страны;

•        органичное развитие её научно-технической, финансово-бюджетной, кредитно-банковской, инвестиционно-производственной, социально-экономической, культурно-образовательной и прочих сфер деятельности;

•        повышение материального благосостояния человека-труженика как основного носителя любых общественных отношений, его заинтересованности в результатах своего труда, уверенности в завтрашнем дне.

Для оживления реального сектора экономики, активизации кредитно-денежной политики, банковского бизнеса и предпринимательства во всех сферах деятельности российских субъектов рынка, повышения их эффективности, качества и надёжности функционирования, развития и совершенствования объектов производственной и коммерческой инфраструктуры необходимо:

•        разработать и жёстко проводить в жизнь единую государственную стратегию приоритетного развития отраслей хозяйства, включая отрасли, определяющие научно-технический прогресс и безопасность страны, подкреплённую действенным государственным регулированием, стимулированием и прогнозированием развития;

•        проводить экономическую политику, ориентированную на эффективное устойчивое развитие, укрепление правового фундамента экономических отношений, создать целостную систему законодательных актов и Кодекса государственного регулирования экономики;

•        вести планомерное обучение, подготовку и переподготовку специалистов, персонала и лиц, принимающих решения (ЛПР), в целях овладения глубокими знаниями экономико-математических методов и моделей оптимизации и эффективного распределения ограниченных ресурсов, выбора наилучших решений в условиях множества противоречивых требований и ограничений, моделирования и прогнозирования разнообразных процессов с применением информационных технологий и ЭВМ.

Сегодня общепризнано, что эффективность деятельности любого субъекта рынка зависит от степени адаптации организационных структур, процессов бизнеса, перестраиваемости производственных и технологических процессов, уровня подготовки, отбора, активизации и стимулирования персонала в реализации целей управления.

Часть 1. Модель Экономики

Моделирование является, одним из основных методов изучение экономических систем. Сами экономические системы могут рассматриваться на разных уровнях:

)        Макроэкономика - раздел экономики, посвященный изучению межгосударственных экономических процессов явлений и отношений, это самое сложное экономические системы.

)        Экономика государства - является относительной автономностью, т.к. с одной стороны государство имеет право выбора, свою экономическую политику в зависимости от реального состояния экономики, политических условий, и уровня развития народа населения. С другой стороны государство подчиняется единым экономическим законом существования в мировой экономической системы .эти законы во первых помогают определить приоритетные направления развития государства, и во вторых способствуют интеграции экономике государства, в мировую экономическую систему.

)        Микроэкономика - система отражает управление экономикой конкретного предприятия. Большинство простых экономических моделей были первоначально, построены, и проверены, именно на уровне микроэкономики. На каждом уровне экономической системе проводится моделирование, социально экономических явлений процессов и отношений, которые существуют в данной области, изучение этой модели и является основной задачей математической экономики.

Схема построения экономической модели


















Классификация моделей

На первом этапе рассматривается общее представление о классификации модели. Затем эта схема наполняется конкретным содержанием, связанным с изучаемой дисциплиной. При рассмотрении математической экономике изучается в основном экономико-математические модели. Они в основном являются виртуальными. Их материальная реализация проводится только в необходимых случаях (макет, структурирование, модель, действующие модели). В каждом случае моделирования необходимо выбрать основные параметры, характеризующие деятельность и результативность системы.

Признаки в классификации моделей.

А) Область использования (функционирования);

Б) Определение универсума модельных объектов;

В) Факторы пространства и времени;

Образ сухой системы находится из реальности, которая представляет собой образ пространства-времени. Либо реальное пространство, либо его отображение в универсуме модельных объектов.

Временные факторы представляют собой, во-первых, жизненный цикл как системы, так и её моделей. Во-вторых, периоды активности и пассивности их системы и моделей. В-третьих, контрольные точки, в которых снимают данные о моделях.

Г) Уровни представления модели (образы, понятный, текстовый, аналитический, логический, общепринятый);

Д) Возможно практические выводы и решения;

Е) Целевая структура модели.

Она базируется на заинтересованности исследователя в создании различных уровней моделей.

Первичный интерес отражает начальные представления по системе и приводит к выводу о необходимости и изучения.

Затем система изучается, создаётся модели большинству понятные.

Типология моделей.

А) материальная модель;

Б) информационная модель;

В) аналоговая модель;

Г) математическая модель;

Д) структурная модель;

Е) описательная модель(содержательная);

Ж) графическая модель;

З) прикладная модель;

И) системная модель;

К) аналитическая модель.

А) Особенность математической модели является её реальность в пространстве-времени. Примерами таких моделей являются макеты, конструкции, действующие модели, частичные модели, модели-субъинституты (заменители). Каждая материальная модель обычно отражает реально существующую математическую систему, но возможно случаи, когда исходная система уже не существует или ещё не существует.

Второй особенностью является наличие составных частей математического вида, которое определяем образом по замыслу конструктора, соединяются при этом исследователей либо находит формы модели и её функция в природе и действует по аналогии, либо создаёт свои принципы функционирования модели, которые не имеют аналога в природе. В данном случае существуют формула изобретения.

Кроме того математическая модель отражает реальные действия внутри системы или между какими то системами.

Основная цель создания заключается в определении существующих параметров исходной системы, их соответствия с параметрами моделей, а также области (интервалы), которых могут находиться значение этих параметров. Таким способом осуществляется переход к остальным видам моделей, которые в принципе являются виртуальными.

Б) Исходная эта модель представляет собой БД об выделенных параметрах системы, притом желательно не предполагать заранее какие-то взаимосвязи с параметрами. Эти взаимосвязи находятся путём экспертной работы с БД, то есть информационной модели.

Основная задача информационной модели найти аналогию пространство -временной структуры исходной системы в избранном универсуме объектов.

В) Эта модель строится в том случае, когда найдены аналогии, соответствия между математической моделью и её информационной подсистемы.

Информационные модели

Экономическая информация нескольких уровней данных о производственных, логических и общеэкономических процессах.

В каждом случае в производственной деятельности она начинается с нулевого цикла (при этом производственный цикл). На этом этапе подготавливаются производственные помещения, оборудование, инструменты, приспособления, технические маршруты, контрольные информации, сведения о необходимых специалистах.

Второй этап (производственный процесс) воспроизводится своими параметрами. Это прежде всего объемы производства, производительность труда и базовый период времени необходимых для выпуска конечного продукта.

Третий этап представляет собой реализацию производственной продукции. Здесь БД содержит номенклатуру и отличительное издание, его базовая ст-ть наценка за новизну, технологичность, товарные оценки и обеспечение акцизных затрат.

Четвёртый этап состоит из оборотного сдвижения средств, их распределение по структурами распределим оплате труда и видами прибыли.

)        Возврат затраченных средств.

)        Оплата всех видов деятельности персонала.

)        Уплата налогов и др. необходимых видов вычетов.

)        Восстановление амортизации производственного фонда.

)        Средства на обновление технологии.

)        Возвращение увеличения установленного фонда.

)        Чистая прибыль.

Информационные модели отражают специальные информационный параметрической подход к производственной деятельности. Каждый параметр фиксируется БД на основнии наблюдений на него подходит интервал допустимых отклонений, наиболее выгодное в эконом смысле значение - оптимальное.

Информационные модели производственной системе.

Производство представляет собой реальный переход от объекта труда к продукту труда. Обычно объект бывает несколько, а продукт труда, который называет деятельностью.

Эти детали собираются в различных технологических узла. Технический узел представляет собой отдельно автономное изделие, имеющие свое значение или цель функционирования.

Логические узлы соединяются в окончательное изделия, которые представляет собой комплексный продукт труда значит в этой пред труда вложено нескольких видов стоимости. Характер результатов производительной деятельности:

1)      V (объём)-количество изделий

2)      T (время)-с момента поступления заготовки на производство до отгрузки нового изделия

Все время T дифференцируется, т.е. подразделяется на:

подготовительный период;

чистое время станка;

Контрольное время;

тех время простое.;

санитарно - техническое время работников.

Общая стоимость S изделия. Она суммируется затраты на каждый шаг производственного процесса. Отношение V производства ко T называется производственностью труда - P.

Часть 2.  Применение метода множителей Лагранжа для решения задач оптимизации

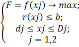
Общий случай задачи оптимизации:

 

является задачей условной оптимизации. Рассмотрим метод множителей Лагранжа, первый этап которого заключается в преобразовании задачи условной оптимизации в задачу безусловной оптимизации в соответствии со следующим алгоритмом.

.        Преобразовать ограничения-неравенства в уравнения:

g(xj) = r(xj) - b,= 1, 2.

экономический модель система оптимизация

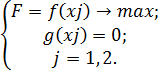
2.       Записать ограничения в виде

g(xj) = 0,

j = 1, 2.

Аналогично преобразовать граничные условия.

Тогда задача оптимизации будет иметь вид:

 

В результате получили задачу на условный экстремум.

Перед тем как перейти ко второму этаму, напомним, что функция Лагранжа L(x1,x2, λ) представляет собой сумму целевой функции (4.13) и функции ограничения (4.14), умноженной на новую независимую переменную λ, называемую множителем Лагранжа, входящую (обязательно) в первой степени:

 (4.13)

при условии

g(x1,x2) = 0 (4.14)

Второй этап метода Лагранжа состоит:

а) в построении функции вида L(x1,x2, λ) = f(x1,x2)+ λg(x1,x2) от трёх переменных x1,x2, λ, называемой функцией Лагранжа;

б) в сведении задачи на условный экстремум (4.13), (4.14) в случае двух независимых переменных к задаче на абсолютный экстремум функции L(x1,x2, λ).

Необходимое условие локального условного экстремума функции:

)        пусть функции f(x1,x2), g(x1,x2) непрерывны и имеют непрерывные частные производные первого порядка по переменным x1 и x2;

)        пусть (x01,x02) - точка условного локального экстремума функции (4.13) при наличии ограничения (4.14) и пусть grad g(x01,x02) = 0. Тогда существует единственное число λ0 такое, что трехмерная точка (x01,x020) удовлетворяет следующей системе трех уравнений с тремя неизвестными x1,x2, λ:

 

Всегда  g(x1,x2).

Таким образом, если двумерная точка (x01,x02) есть точка локального экстремума, то трехмерная точка (x01,x020) является критической точкой функции Лагранжа.

Алгоритм нахождения точек условного локального экстремума функции (4.13) при наличии ограничения (4.14):

а)найти критические точки функции Лагранжа, т.е. найти все решения системы уравнений (4.15);

б) в критических точках функции Лагранжа следует удалить коэффициенты;

в) каждую полученную точку проанализировать, является ли она в действительности точкой (условного) локального экстремума функции (4.13) при наличии ограничения (4.14) или не является. При этом используют геометрические или содержательные экономические соображения.

В некоторых новых задачах на условный экстремум, появляющийся в экономике, обычно критическая точка функции Лагранжа действительно является точкой условного локального (и глобального) экстремума функции (4.13) [17]

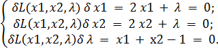
∆ Пример 4.5. Найти экстремум функции у = x21 + x22 при условии, что x1 + x2 = 1. Получили задачу на условный экстремум.

Р е ш е н и е. Запишем ограничение x1 + x2 = 1в виде x1 + x2 - 1 = 0.

Имеем

L(x1,x2, λ) = x21 + x22 + λ (x1 + x2 - 1).

откуда следует, что

 (4.16)

Из первых двух уравнений получаем, что х1 = х2. Используя третье уравнение, получаем, что x01 = x02 = ½. Таким образом, система уравнений (4.16) имеет единственное решение, т.е. получаем единственную критическую точку функции Лагранжа (1/2, ½, -1)(λ0 = -2х01 = -2∙1/2=-1). Критическая точка (x01 , x02 ) = (1/2; ½) есть точка условного локального (а также и глобального) минимума заданной функции при её заданном ограничении.►

Если задана общая задача (4.17) с ограничениями (4.18) на определение условного экстремума:

f(x1, …, xn)→max(f(x1, …, xn)→min) (4.17)

при условиях

g1(x1, …, xn) = 0,

… (4.18)

gN(x2, …, xn) = 0

(обычно m‹n), то функция Лагранжа имеет вид:

L(x1, …, xn, λ1, …, λn) = f(x1, …, xn)+ λ1g1(x1, …, xn)+ … + λngn(x1, …, xn).

При этом система (4.16) переписывается в виде системы уравнений с n + m неизвестными х1, …, хn, λ1, …, λn.

Критическая (n + m)-мерная точка (x01, …, x0n, λ01, …, λ0n) функция Лагранжа приобретает вид (x01, …, x0n) n-мерной точки.

grad f(x1,x2) + λ grad g(x1,x2) = 0.

Для критической точки (x01,x020) функции Лагранжа имеем:

grad f (x01,x02) = - λ0 grad (x01,x02),

что эквивалентно тому, что в точке (x01,x02) линии уровней функции f(x1,x2) и g(x1,x2) соответственно касаются (grad(x01,х) = 0).

Необходимое условие локального условного экстремума функции (4.13) при наличии ограничения (4.14) в геометрической форме:

пусть функции f(x1,x2), g(x1,x2) непрерывны и имеют непрерывные частные производные первого порядка по переменным х1 и х2;

пусть (x01,x02) - точка условного локального экстремума функции (4.13) при наличии ограничения (4.14);

пусть grad f(x01, x02) = 0 и grad g(x01, x02) = 0.

Тогда grad f(x01, x02) и grad g(x01, x02), выходящие из точки (x01, x02), обязательно расположены на одной прямой с противоположными направлениями, что эквивалентно тому, что линии уровней функций f(x1, x2) и g(x1, x2), содержащие точку (x01, x02), касаются в этой точке (рис. 4.4, а), являющейся точкой условного локального максимума.

Фрагмент карты линий уровня целевой функции f(x1, x2) типичен для экономической теории. Однако необходимое условие (в том числе и геометрическое) локального экстремума функции (4.13) при наличии ограничения (4.14), вообще говоря, не является достаточным, т.е. в случае касания в точке (x01, x02) линий уровня функций f(x1, x2) и g(x1, x2) (это эквивалентно расположению на одной прямой градиента grad f(x01, x02) и grad g(x01, x02), исходящих из точки (x01, x02)), точка (x01, x02) может и не являться точкой условного локального экстремума функции (4.13) при наличии ограничения (4.14). Иллюстрацией этому может служить точка (x01, x02) на рис. 4.4, б - критическая точка функции Лагранжа, которая не является точкой локального экстремума функции (4.13).







Рис. 4.4. Определение экстремумов в задачах потребительского спроса:

а - градиент функции у = f(x01, x02) и g(x01, x02); б - «укороченная» критическая точка; в - поиск условного экстремума; г - линии безразличия; д - график потребительского выбора; е - интерпретация замены благ; ж - процесс взаимозаменяемости и компенсационных эффектов

Заключение

В заключение отметим следующие особенности [7, 25].

.        Если в задаче (4.13) на условный экстремум ограничение (4.14) в виде равенства заменить на ограничение g(x1x2)≥0 в виде неравенства, то мы получаем частный случай задачи математического программирования (ЗМП):

f(x2,x1)→max (f(x1,x2)→min) (4.21)

при условии

g(x1,x2)≤0. (4.22)

2.       Задача математического программирования - более общая задача по сравнению с задачами на абсолютный (если исключить их общие ограничения, а из специальных оставить одно в виде равенства) экстремумы. Однако на практике в случае задачи математического программирования речь идёт только о глобальном экстремуме, т.е. задачах на абсолютный и условный экстремумы - как о глобальном, так и о локальном экстремуме.

.        В экономической теории часто (но не всегда) задача математического программирования сводится к задаче на условный экстремум (таковыми являются задачи потребительского выбора, или рационального поведения потребителя на рынке, которые с математической точки зрения являются разными задачами, но имеют одно и то же решение (х0j)).

.        Если в ЗМП все функции f(x1, x2), g1(x1,x2), …, gn(x1,x2) являются линейными, то имеем задачу линейного программирования, подробно рассмотренную в главе 2, а если же хотя бы одна из приведённых функций окажется нелинейной, то имеем задачу нелинейного программирования.

Ниже на примере решения задач потребительского выбора рассмотрим модели потребительского спроса, особенности влияния компенсационных эффектов на максимизацию функции полезности.

Список литературы

1)Шелобаев С.И. Экономические-математические методы и модели: Учеб. пособие для вузов. - 2-е изд., перераб. и доп. - М.:ЮНИТИ-ДАНА, 2005. -287с.

) Жданов С. А. Экономические модели и методы в управлении. - М.:Дело и сервис, 1998.

)Колесников А. Н. Краткий курс математики для экономистов. - М.: ИНФРА-М,1998

)Малыхин В. И. Математическое моделирование экономики. - М.: УРАО,1998.

)Семенов В. М., Баев И. А.,Терехова С.А. Экономика предприятий. - М.: Центр экономики и и маркетинга, 1998.

Похожие работы на - Применение метода множителей Лагранжа для решения задач оптимизации

 

Не нашли материал для своей работы?
Поможем написать уникальную работу
Без плагиата!
Без нейросетей!