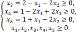
|
αij
|
x1
|
x2
|
βi
|
|
αij
|
x4
|
x2
|
βi
|
|
αij
|
x4
|
x3
|
βi
|
|
|
x3
|
1
|
2
|
2
|
|
x3
|
-1/2
|
3
|
3/2
|
|
x2
|
-1/6
|
3
|
1/2
|
|
|
x4
|
2
|
-2
|
1
|
→
|
x1
|
1/2
|
-1
|
1/2
|
→
|
x1
|
1/3
|
1/3
|
1
|
|
|
x5
|
-1
|
2
|
1
|
|
x5
|
-1/2
|
1
|
3/2
|
|
x5
|
-1/3
|
-1/3
|
1
|
|
|
f(x)
|
-4
|
2
|
0
|
|
f(x)
|
2
|
-2
|
2
|
5/3
|
2/3
|
3
|
|
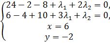
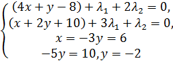
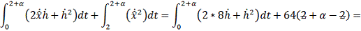
Таким образом, мы получили сходный ответ с полученным во второй задаче:
точка с координатами x1=1, x2=1/2, x3=2/3, x4=-1/6, x5=1,
.
.
Задача 4. Решить простейшую задачу классического вариационного исчисления
Воспользуемся уравнением Эйлера-Лагранжа для решения простейшей задачи:
.
Предположим, что:
Подставим в исходное уравнение:

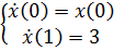
Применим краевые условия для нахождения констант:



- экстремаль
Исследуем экстремаль на предмет доставления функции максимума/минимума:
Проинтегрируем по частям:
, где:
- точка
является точкой максимума.
Задача 5. Решить задачу Больца
- Интегрант
- Терминант
Воспользуемся уравнением Эйлера-Лагранжа для решения задачи Больца:
.


- экстремаль
Воспользуемся условиями трансверсальности:

Посчитаем каждый элемент:
Тогда условия трансверсальности запишутся:

Мы будем использовать эти уравнения как краевые условия для нахождения
констант
.
Исследуем экстремаль на предмет доставления функции максимума/минимума:
(Запишем, сразу группируя
интегральную и неинтегральную части)
Проинтегрируем по частям:
, где:
А также воспользуемся условием:
и
в подстановке 0 и 1 (для подсчета значения
элемента
):
,
- отрицательный результат - следовательно
является точкой максимума.
Задача 6. Решить изопериметрическую задачу
;
,
Воспользуемся уравнением Эйлера-Лагранжа для решения изопериметрической
задачи:
.
1)
- нет решений (Лагранжиан не м. б.
равен нулю)


Воспользуемся краевыми условиями для нахождения констант:
,
- Воспользуемся уравнением для нахождения
:


Исследуем экстремаль на предмет доставления функции максимума/минимума:
Проинтегрируем по частям:
, где:
Так как
,
тоже должна быть равна нулю, следовательно
-
точка минимума.
Задача 7. Решить задачу с подвижными концами
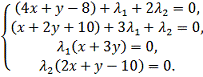
Выпишем, как положено, функцию Лагранжа:
Воспользуемся уравнением Эйлера-Лагранжа для решения задачи с подвижными
концами:
.

Воспользуемся условиями трансверсальности:

Посчитаем каждый элемент:
Тогда условия трансверсальности запишутся:
Запишем условие стационарности:

Пусть
Тогда
также равны нулю - нет решений.
Пусть
, тогда:
Если
, найдем константы, используя краевые условия:

, 

В уравнение стационарности также подставим
, используя уравнение, написанное
выше:


Рассмотрим
, тогда
а
- что является недопустимым значением
Рассмотрим
, тогда
и
Итак, мы получили:
,
;
,
Исследуем экстремаль
на предмет доставления функции максимума/минимума:
Воспользуемся
и h(0)=0
(в силу наложенного ограничения на левый конец).
Также, стоит выразить значение
из уравнения
, помня, что
, а


Итак:
- следовательно найденная точка является точкой минимума.
Задача 8. Решить задачу Лагранжа
;
,
,
Используем замену переменных
, тогда условие запишется:
;
,
,
Запишем функцию Лагранжа:
1) Воспользуемся уравнением Эйлера-Лагранжа для решения задачи с
Лагранжа. Оно запишется отдельно относительно x1 и x2 и образует, таким образом, систему
уравнений:

2) Воспользуемся условиями трансверсальности:


- уравнения, записанные относительно x1
- уравнения, записанные относительно x2
,
Положим
. Тогда из уравнений, записанных выше, получим
из третьего уравнения условий
трансверсальности, а также равенство нулю функции p(t) из второго
уравнения Эйлера-Лагранжа, а как следствие и равенство нулю
и
(1 и 2 уравнения условий
трансверсальности соответственно). Таким образом, этот вариант нам не подходит,
так как для нахождения решения Лагранжиан не может быть нулевым.
Тогда, пусть
:
Из уравнения 
Из 
Из
получим:
, сделаем замену
Решим однородное уравнение:
, 




Теперь решим неоднородное:
Пусть
. Подставим:



Используем краевые условия для нахождения констант:







Таким образом, очевидно:
,

,


Получаем:
,
,
Исследуем экстремаль функции
на предмет доставления ей
максимума/минимума:
Интегрируем по частям:
.
Таким образом, разница оказалась больше равна нулю. Это значит, что точка
является точкой минимума.
Заключение
лагранж вариационный исчисление
изопериметрический
В курсовой работе получены решения семи типовых задач теории оптимизации:
двух конечномерных (задачи выпуклого программирования и линейного
программирования) и пяти задач вариационного исчисления (простейшей задачи
вариационного исчисления, задачи Больца, изопериметрической задачи, задачи с
подвижными концами и задачи Лагранжа)
В результате работы над настоящей курсовой работой были достигнуты
следующие цели:
1. расширен объем и углублены теоретические
знания по дисциплине "Методы оптимизации";
. закреплены практические навыки решения задач
теории оптимизации;
. получены навыки применения метода множителей
Лагранжа как основного метода решения задач оптимизации с ограничениями, как
конечномерных, так и бесконечномерных;
. получен навык подготовки и оформления
научно-технической документации.
Список
использованных источников
1. Алексеев В.М., Тихомиров В.М., Фомин С.В. Оптимальное
управление. Москва : Наука, 1979.
. Алексеев В.М., Галеев Э.М., Тихомиров В.М. Сборник задач по
оптимизации. Москва : Наука, 1984.
. Галеев Э.М., Тихомиров В.М. Оптимизация: теория, примеры,
задачи. Москва.: Эдиториал УРСС, 2000.
. Галеев Э.М. Оптимизация: теория, примеры, задачи. Москва :
УРСС, 2002.
. Магарил-Ильяев Г.Г., Тихомиров В.М. Выпуклый анализ и его
приложения. Москва.: Эдиториал УРСС, 2000.
. Шатина А.В. Методы оптимизации. Практические занятия. М.:
МИРЭА, 2012,
. Методы оптимизации. 4-ый курс. Контрольные задания для
студентов факультета Кибернетики. М.: МИРЭА, 2010.