|
Химический
элемент
|
%
|
|
Углерод (C)
|
0.14-0.22
|
|
Кремний (Si)
|
0.12-0.30
|
|
Медь (Cu), не
более
|
|
Мышьяк (As), не
более
|
0.08
|
|
Марганец (Mn)
|
0.40-0.65
|
|
Никель (Ni), не
более
|
0.30
|
|
Фосфор (P), не
более
|
0.04
|
|
Хром (Cr), не
более
|
0.30
|
|
Сера (S), не
более
|
0.05
|
В общем случае по свариваемости все стали
условно подразделяют на четыре группы.
1. 1. Хорошо сваривающиеся - до 0,3%
углерода.
2. 2. Удовлетворительно
сваривающиеся - до 0,38% углерода.
. 3. Ограничено сваривающиеся - до
0,48% углерода.
. 4. Плохо сваривающиеся - свыше
0,48% углерода.
Сэкв = С + Mn/6 + (Cr + Mo + V)/5 + (Ni + Сu)/15
Сэкв = 0.35
Следовательно, Сталь ВСт3сп является удовлетворительно
сваривающемся материалом.
4. Описание способа получения неразъемного
соединения, его физической сущности
Для сварки дна резервуара РВС-2000 м3 следует
применять механизированную сварку в защитных газах CO2 сварочной
проволокой 08Г2С диаметром 1,2 мм по ГОСТ 2246-70.
Рисунок 2 - Механизированная сварка в
защитных газах, схема процесса
Защитный газ, выходя из сопла, вытесняет
воздух из зоны сварки. Сварочная проволока подается вниз роликами, которые
вращаются двигателем подающего механизма. Подвод сварочного тока к проволоке
осуществляется через скользящий контакт.
Учитывая, что защитный газ активный и
может вступать во взаимодействие с расплавленным металлом, полуавтоматическая
сварка в углекислом газе имеет ряд особенностей.
Углекислый газ применяется в качестве активного защитного
газа при дуговой сварке (обычно при полуавтоматической сварке) плавящимся
электродом (проволокой), в том числе в составе газовой смеси (с кислородом,
аргоном). [4]
Особенность металлургических процессов в этом случае
обусловлена его сильным окислительным действием. Газовая среда в дуге, торящей
в СО2, имеет более окислительный характер (33% О2), чем при горении ее на
воздухе (21% О2). Поэтому наблюдается сильное окисление сварочной ванны по
реакции
+ CO2= FeO + CO.
Одновременно происходит диссоциация углекислого газа.
Атомарный кислород также окисляет в сварочной ванне железо и другие Примеси:
кремний, марганец, углерод и др. Эти реакции происходят как в период перехода
капель электродного металла в дуге, так и на поверхности самой ванны. Для
управления реакцией окисления, а также пополнения потерь элементов применяют
электродные Проволоки с повышенным содержанием марганца и кремния (Св-08ГС,
Св-08Г2С и др.). При использовании этих проволок в зоне понижения температуры в
сварочной ванне протекают реакции раскисления:
FeO+Si 2Fe + SiO2
FeO + Mn Fe + MnO
Образующиеся оксиды марганца и кремния всплывают на
поверхность сварочной ванны.
Окислению сварочной ванны способствуют находящиеся примеси в
защитном газе в виде свободного кислорода и паров воды. При этом окисляется в
основном углерод с образованием газообразного оксида СО. Для подавления реакции
окисления углерода в сварочной ванне должно находиться достаточное количество
раскислителей кремния, марганца. С этой целью при сварке углеродистых сталей
используют те же электродные проволоки, что и при сварке в углекислом газе, - с
повышенным содержанием раскислителей.
Сварной шов при механизированной сварке формируется путем
кристаллизации расплавленного металла сварочной ванны. Кристаллизацией называют
процесс образования кристаллов металла из расплава при переходе его из жидкого
в твердое состояние. Образующиеся при этом кристаллы металла принято называть
кристаллитами.
Сварочная ванна условно может быть разделена на две области:
переднюю (головную) и заднюю (хвостовую). В передней части горит дуга и
происходит нагревание и расплавление металла, а в хвостовой - охлаждение и
кристаллизация расплава. В процессе образования шва различают первичную и
вторичную кристаллизации. Первичной кристаллизацией называют непосредственный
переход металла из жидкого состояния в твердое с образованием первичных
кристаллитов (зерен). Она происходит при высоких скоростях охлаждения и
затвердевания. Теплота отводится в основной металл, окружающий сварочную ванну.
В общем виде процесс кристаллизации состоит из двух стадий: образования центров
кристаллизации (зародышей) и роста кристаллов от этих центров. При первичной кристаллизации
металла шва в качестве центров кристаллизации являются поверхности оплавленных
зерен основного металла, окружающих сварочную ванну. При этом между основным
металлом и металлом шва возникают общие зерна. Условную поверхность раздела
между зернами основного металла и кристаллитами шва называют зоной сплавления
при сварке.
Достоинства способа сварки в углекислом газе:
· Благодаря повышенному
использованию тепла сварочной дуги, обеспечивается высокая производительность
сварки металла в углекислом газе.
· Достаточно высокое
качество сварочных швов.
· Возможность осуществления
полуавтоматической и автоматической сварки в углекислом газе в различных
положениях в пространстве.
· Невысокая стоимость
защитного газа.
· Возможность осуществления
сварки в углекислом газе малых трещин и применения метода сварки
электрозаклепками.
· Осуществление сварки
металла на весу без применения подкладки.
Недостатки способа сварки в углекислом газе:
· Сильное разбрызгивание
металла при сварке на токах 200 - 400 А и необходимость удаления брызг с
поверхности изделия.
· Затруднено использование
на открытом воздухе (на ветру) из-за сдувания защитного газа Невысокая
стоимость защитного газа.
· Внешний (товарный) вид
шва хуже, чем при сварке под флюсом.
Процессы сварки, наплавки и резки металлов являются
источниками образования опасных и вредных факторов, способных оказывать
неблагоприятное воздействие на работников.
К опасным и вредным производственным факторам относятся:
твердые и газообразные токсические вещества в составе сварочного аэрозоля,
интенсивное излучение сварочной дуги в оптическом диапазоне (ультрафиолетовое,
видимое, инфракрасное), интенсивное тепловое (инфракрасное) излучение
свариваемых изделий и сварочной ванны, искры, брызги и выбросы расплавленного
металла и шлака, электромагнитные поля, ультразвук, шум, статическая нагрузка и
т.д.
Количество и состав сварочных аэрозолей и аэрозолей припоя
зависят от химического состава сварочных материалов и свариваемых металлов,
способов и режимов сварки, наплавки, резки и пайки металлов.
В зону дыхания сварщиков и резчиков могут поступать сварочные
аэрозоли, содержащие в составе твердой фазы различные металлы (железо,
марганец, кремний, хром, никель, медь, титан, алюминий, вольфрам и др.), их
окисные и другие соединения, а также газообразные токсические вещества
(фтористый водород, тетрафторид кремния, озон, окись углерода, окислы азота и
др.).
Воздействие на организм твердых и газообразных токсических
веществ в составе сварочных аэрозолей может явиться причиной хронических и
профессиональных заболеваний.
Интенсивность излучения сварочной дуги в оптическом диапазоне
и его спектральный состав зависят от мощности дуги, применяемых сварочных
материалов, защитных и плазмообразующих газов и т.п. При отсутствии защиты
возможно поражение органов зрения (электроофтальмия, катаракта и т.п.) и кожных
покровов (эритемы, ожоги и т.п.). [2]
5. Расчет температурных полей от движущихся
источников тепла
Данные:
низкоуглеродистая сталь,
сварка неплавящимся электродом в среде аргона,
- сварочный ток 
,
напряжение на дуге 
,
диаметр электрода 
,
скорость сварки 
,
толщина пластины 
,
условия теплообмена - медные водоохлаждаемые прижимы.
В соответствии с данными по таблицам 11, 12 и 13 определяем
необходимые значения для последующего расчета. [5]
Таблица 8 - Теплофизические свойства металлов и сплавов
Таблица 9 - Тепловые характеристики различных источников тепла
Таблица 10 - Значения коэффициента теплоотдачи
Имеем:
объемная теплоемкость 
,
коэффициент теплопроводности 
,
температура плавления 
,
коэффициент теплоотдачи 
,
эффективный КПД процесса 
Определим эффективную мощность источника тепла по формуле:
Рассчитаем погонную энергию характеризующую количество теплоты,
вводимой на единицу длины шва, которая находится из выражения:
Ориентировочное значение диаметра и радиуса пятна нагрева
принимаем равным размеру электродной проволоки, то есть
Рассчитаем коэффициент сосредоточенности источника тепла по
формуле:

(2)
По формуле (2) получаем:
Максимальная плотность мощности в центре пятна нагрева:
Функция пользователя, описывающая распределение плотности
теплового потока по пятну нагрева выглядит следующим образом:

(3)
По функции (3) строим график распределения плотности мощности по
пятну нагрева (рисунок 3).
Рисунок 3 - Распределение плотности мощности по пятну нагрева
Зададим функции, описывающие распределение температуры:
- Функция r=f (x, y), возвращающая расстояние между
точкой (х, у) и началом координат на плоскости:
Функция R=f (x, y, z), возвращающая расстояние между точкой
(х, у, z) и началом координат в трехмерном пространстве:
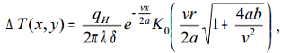
Функция, описывающая приращение температуры поля в
бесконечной пластине, при нагреве линейным источником, для квазистационарного
поля:
- Функция, описывающая приращение температуры поля в
бесконечной пластине с теплоизолированной поверхностью при нагреве линейным
источником, для квазистационарного поля:

- Функция, описывающая приращение температуры в
полубесконечном теле при нагреве точечным источником, для квазистационарного
поля:
Вычислим значения температуры в точке с координатами (х0,
у0):
При х0=-10 мм, у0=0 мм температура
будет равняться T=570.5 K.
Построим графики распределения температуры (рисунки 4, 5, 6).
Рисунок 4 - Распределение температуры в плоскости XOZ вдоль
прямых параллельных оси ОХ
Рисунок 5 - Распределение температуры перед источником
Рисунок 6 - Распределение температуры за источником
Построим изотермическую линию, которая будет соответствовать
температуре плавления. Для этого зададим матрицу, содержащую координаты х
(нулевой столбец матрицы) и у (первый столбец матрицы) точек, температуры
которых достигает температуры плавления.
Выписываем данные с кривых и получаем следующую матрицу:
Получаем изотермическую линию соответствующую температуре
плавления (рисунок 5.5).
Рисунок 7 - Изотермическая линия, соответствующая температуре
плавления
Заключение
Изучен вопрос получения неразъемного соединения конструкции
«Резервуар вертикальный цилиндрический стальной для хранения нефти и
нефтепродуктов емкостью 2000 м3».
Решены следующие задачи:
изучение условий эксплуатации и конструкционных особенностей
изделия «Резервуар вертикальный цилиндрический стальной для хранения нефти и
нефтепродуктов емкостью 2000 м 3»,
- описание материала изделия «Резервуар вертикальный
цилиндрический стальной для хранения нефти и нефтепродуктов емкостью 2000 м 3»
и оценка его свариваемости,
- описание способа получения неразъемного соединения, его
физической сущности.
выполнение расчета температурных полей от движущихся
источников тепла.
Поставленная цель - изучение физико-химических и тепловых
процессов сварки, решение практических вопросов применительно к изготовлению
сварной конструкции «Резервуар вертикальный цилиндрический стальной для
хранения нефти и нефтепродуктов емкостью 2000 м 3» - достигнута.
Список источников
1.
Справочник сварщика / Под ред. В.В. Степанова. - Перераб. и доп. - М.:
Машиностроение, 1983.
.
Сварка в машиностроении: Справочник. В 4-х томах / Под ред. Г.А. Николаева. -
М.: Машиностроение, 1978.
.
http://penzaelektrod.ru/articles/art18.htm
.
http://www.svarkainfo.ru/rus/technology/autoflus/
.
СТО УГАТУ 016-2007.
.
СНиП II - 23 - 81