Мероприятия по совершенствованию управления товарооборотом торгового предприятия

  • Вид работы:
    Курсовая работа (т)
  • Предмет:
    Эктеория
  • Язык:
    Русский
    ,
    Формат файла:
    MS Word
    285,15 Кб
  • Опубликовано:
    2012-12-02
Вы можете узнать стоимость помощи в написании студенческой работы.
Помощь в написании работы, которую точно примут!

Мероприятия по совершенствованию управления товарооборотом торгового предприятия

ВВЕДЕНИЕ

В современных условиях, в процессе возрастания конкурентной борьбы между предприятиями, все более актуализуется проблема управления товарооборотом торгового предприятия, и ее решение является одной из приоритетных задач для стабильного развития любого среднего и крупного торгового предприятия.

Главной целью торговых предприятий является получение максимальной прибыли. Важнейшим необходимым условием, без которого не может быть достигнута эта цель, выступает товарооборот. Поскольку торговое предприятие получает определенную сумму дохода с каждого рубля реализуемых товаров, то задача максимизации прибыли вызывает необходимость постоянного увеличения товарооборота как основного фактора роста доходов и прибыли, относительного снижения издержек обращения и расходов на оплату труда.

Тема моей курсовой работы актуальна, так как товарооборот относится к числу важнейших показателей плана экономического и социального развития. Он оказывает влияние, как на производство, так и на потребление. В состав товарооборота входит сумма продажи товара населению через розничную торговую сеть и предприятия общественного питания, а так же продажи товаров предприятиям, учреждениям и организациям. Большая часть розничного товарооборота непосредственно связана с личным потреблением и покупательными фондами населения.

Цель работы заключается в разработке мероприятий по совершенствованию управления товарооборотом торгового предприятия ЗАО «Тандер».

Для достижения поставленной цели нам необходимо решить следующие задачи:

·        дать характеристику товарооборота, как одного из основных экономических показателей хозяйственной деятельности торгового предприятия;

·        определить роль товарооборота и его значение для торгового предприятия;

·        изучить методику анализа товарооборота предприятия;

·        провести анализ динамики и структуры товарооборота предприятия ЗАО «Тандер»;

·        на основе проведенного анализа разработать предложения к совершенствованию управления товарооборотом торгового предприятия;

·        выявить основные пути увеличения товарооборота предприятия ЗАО «Тандер»;

·        оценить эффект от оптимизации товарооборота;

Объектом моей курсовой работы является торговое предприятие ЗАО «Тандер».

Предметом моей курсовой работы является товарооборот торгового предприятия ЗАО «Тандер».

Цель и задачи определили структуру курсовой работы. Она состоит из оглавления, введения, двух глав, заключения, библиографического списка и приложений.

Теоретической базой исследования выступили труды таких авторов как А.В. Абрютина, Е.А. Белоусова, И.А. Бланк, Л.А. Брагин, Л.В. Давыдова, Е.В. Карпова, Л.И. Кравченко, А.Н. Соломатин, А.У. Альбеков, С.А. Согомонян и др.

При написании курсовой работы использовались такие методы изучения как аналитический, экономический и изучение литературы.

1. ТЕОРЕТИЧЕСКИЕ АСПЕКТЫ УПРАВЛЕНИЯ ТОВАРООБОРОТОМ ТОРГОВОГО ПРЕДПРИЯТИЯ

1.1 Товарооборот, его сущность, классификация и значение в повышении эффективности деятельности торгового предприятия

Одним из основных экономических показателей хозяйственной деятельности торгового предприятия является товарооборот - процесс обмена товаров на деньги. Владелец товара - торговое предприятие - за деньги передает товар в собственность другому юридическому или физическому лицу. Товарооборот характеризует процесс движения товаров через акты купли-продажи. Как экономическая категория товарооборот характеризуется наличием одновременно двух признаков: товара как объекта продажи и продажи как формы движения товара от производителя к потребителю.

К показателям, которые характеризуют товарооборот торгового предприятия, относятся: объем товарооборота в стоимостном выражении по текущим ценам; объем товарооборота в стоимостном выражении по сравнительным ценам; ассортиментная структура товарооборота по отдельным группам товаров (руб., проценты); однодневный объем товарооборота (руб.); объем товарооборота в расчете на одного работника, в том числе работника торговой группы; объем товарооборота на общей площади, в том числе торговой площади; время обращения товаров; скорость товарооборота (количество оборотов).

Товарооборот торгового предприятия можно рассматривать: как результат деятельности предприятия торговли, его экономический эффект; как показатель товарного потребления населения (в социально-экономическом аспекте), один из показателей уровня жизни (по классификации ООН).

Показатели товарооборота имеют количественную и качественную характеристики. Количественная характеристика товарооборота - объем реализации в денежном выражении, качественная - это структура товарооборота. Структура (или ассортиментный состав) товарооборота - это доля отдельных товарных групп в общем объеме реализации.

На предприятиях товарооборот выражается в сумме денежной выручки за проданные товары, на основании чего можно говорить о значимости данного предприятия на потребительском рынке.

Как экономический показатель, розничный товарооборот отображает объем товарной массы (в денежном выражении), что переходит к сфере личного потребления, и характеризует, с одной стороны, денежную выручку от продажи, а с другой - сумму расходов населения на приобретение товаров. Динамика розничного товарооборота отображает пропорции между производством и потреблением, потребности предприятий в материальных и трудовых ресурсах, развитие торговой сети.

Розничный товарооборот как статистический показатель отображает объем продажи товаров населению через все каналы реализации: на официально зарегистрированных предприятиях, на вещевых, смешанных и продуктовых рынках.

В розничный товарооборот определяется по ценам фактической реализации на момент отпуска товаров покупателю, независимо от времени уплаты денег.

В состав розничного товарооборота включается также отпуск за безналичными расчетами из розничной сети и сети общественного питания:

·        Продуктов питания заведениям здравоохранения; социального обеспечения и образования (больничным, профилактическим, домам отдыха, для лиц преклонного возраста, общего образования, дошкольного воспитания, воспитание детей, которые остались без опеки родителей) для организации питания соответствующих слоев населения;

·        Продовольственных товаров судам морского и речного флота, рыболовецким промышленным судам, для питания экипажей судов, туристов, пассажиров в судовых вагонах-ресторанах; геологоразведочным партиям для питания работников экспедиций, а также отдельных непродовольственных товаров на текущие нужды для реализации членам экипажей;

·        Товаров подарочного ассортимента к праздникам и новогодним подаркам для детей;

Кроме дохода от продажи товаров, торговые предприятия могут получать доходы и из других источников, в частности, от посреднической деятельности и от других видов деятельности.

Товарная структура розничного товарооборота включает в себя продовольственные и непродовольственные товары, которые разделены на ассортиментные группы и подгруппы.

Оптовый товарооборот классифицируется по назначению и в форме организации товародвижения. По назначению товарооборот делится на оптовый товарооборот по реализации и внутрисистемный товарооборот. Оптовый товарооборот по реализации - продажа товаров предприятиями оптовой торговли, массового питания, поставки внерыночным потребителям, на экспорт и по клирингу (безналичный расчет). Внутрисистемный оптовый товарооборот - отпуск товаров одними оптовыми предприятиями по поручению других, непосредственно рыночным и внутри рыночным потребителям. Сумма этих видов товарооборота составляет валовой оптовый товарооборот.

В зависимости от организации товародвижения каждый из этих видов товарооборота может делиться на складской и транзитный. Складской оптовый товарооборот - это продажа товаров со складов оптовых торговых предприятий.

Транзитный оптовый товарооборот - поставка товара производителями непосредственно розничной сети.

Транзитный товарооборот в свою очередь подразделяется на транзитный товарооборот без участия торговой базы в расчетах (организуемый) и транзитный товарооборот с участием торговой базы в расчетах, то есть торговое предприятие участвует в процессе товарообмена либо как посредник, либо как собственник, оплативший стоимость товара.

В тех случаях, когда имеет место определенная технологическая обработка товара на предприятии (транспортировка, хранение, оптовая подсортировка и т.д.) товарооборот относится к оптовому. В случаях реализации товара без какой-либо технологической обработки (например, через биржи, ярмарки) имеет место оптово-посреднический товарооборот.

Роль и значение товарооборота как экономического показателя заключается в следующем:

·        Товарооборот является объемным показателем, характеризующим масштабы деятельности предприятий;

·        По удельному весу товарооборота предприятия региона отрасли можно судить о доли предприятия на рынке;

·        Товарооборот в расчете на душу населения характеризует один из аспектов жизненного уровня населения;

·        По доле товарооборота предприятия, в товарообороте региона определяется предприятие-монополист (оно считается таковым, если удельный вес товарооборота предприятия в товарообороте региона превышает 30%)

1.2 Экономический анализ и оценка динамики товарооборота торговых предприятий

Для эффективного управления торговыми предприятиями важное значение имеет анализ объема, динамики, скорости и структуры их товарооборота на потребительском рынке. Изучение существующих тенденций и возможностей торговых предприятий, касающихся реализации товаров, определение факторов, которые позитивно и негативно влияют на объем продаж товаров торговым предприятием, определяются в процессе анализа объема и структуры их товарооборота. В этом случае проведение экономического анализа позволяет:

·        изучить процесс выполнения плана товарооборота, ритмичность и сезонность реализации товаров в ретроспективном периоде;

·        изучить состав товарооборота по формам, видам, методам продажи, ассортиментной структуре;

·        выявить основные тенденции и закономерности в реализации товаров;

·        проанализировать и количественно оценить влияние отдельных факторов на объем, состав и структуру товарооборота.

В общем случае анализ товарооборота торгового предприятия может проводиться по следующей схеме:

«Определение общего объема товарооборота и оценка степени выполнения плана» _ «Оценка и анализ динамики общего объема товарооборота» _ «Анализ товарно-групповой структуры товарооборота» _ «Анализ состава товарооборота по его определенным видам» ⇒ «Оценка и анализ ритмичности и сезонности реализации товаров» _ «Количественная оценка факторов, которые обуславливают изменение товарооборота» _ «Анализ запаса финансовой прочности торгового предприятия».

Первый этап проведения анализа заключается в определении общего объема товарооборота торгового предприятия за отчетный период и оценка степени выполнения плана товарооборота.

На этом этапе анализа определяют общий объем реализации товара и платных услуг в стоимостном выражении, а по некоторым товарным группам и видам товаров, кроме того - в натуральном размере.

Оценка степени выполнения плана товарооборота осуществляется путем расчета относительного и абсолютного размеров отклонений фактического объема товарооборота от заданного, которые могут быть вызваны негативным влиянием неучтенных в процессе планирования факторов. Изучение степени выполнения плана проводится не только для оценки качества планирования и степени профессионализма работников планово-экономической службы торгового предприятия, а, прежде всего, с целью оценки динамики его внешней среды и чувствительности к изменению объемов реализации товаров на данном торговом предприятии.

Второй этап сводится к анализу динамики общего товарооборота на протяжении отчетного периода (поквартально, на протяжении года или за 2-5 лет).

Для исследования динамических изменений в объеме товарооборота предприятия строится сопоставимый динамический временной ряд изменения товарооборота. Приведение фактического товарооборота в сопоставимый вид осуществляют по площади торговой сети предприятия, длительности его работы, а так же по ценам реализации товаров.

Корректировка фактического товарооборота в связи с вводом (выбытием) и изменениями в графике реализации товаров осуществляется методом прямого расчета.

Учитывая достаточно высокую динамику изменения цен на Российском рынке, определение объема товарооборота, сопоставленного с ценами реализации Тсц., может проводиться последующей формуле:


где n- число интервалов времени за отчетный период, на которых цена на различные виды товаров оставалась стабильной;количество наименований товаров различного видафij - фактический товарооборот за i-й интервал времени отчетного периода по товару j-го наименования;цij -индекс прироста цены реализации товара j-го наименования на i-м интервале отчетного периода по сравнению с предыдущим периодом i -1, который рассматривается как базовый.

Средний индекс изменения цен рассчитывается непосредственно предприятием с учетом структуры товарооборота и информации об изменении цен реализации на определенные товары на различных интервалах отчетного периода. Использование для корректировки индекса инфляции за соответствующий период обычно является некорректным в связи с отличиями в структуре товарооборота торговых предприятий.

На базе построенного динамического ряда сопоставимого товарооборота вычисляются абсолютные изменения в объеме реализации товаров, а так же темпы роста и прироста что касается предыдущего и базового периода.

Важное значение для планирования и управления торговым предприятием имеет так же определение средних темпов изменения объема товарооборота (среднеквартальных или среднегодовых) по формуле среднегеометрической:


где Т - среднегеометрический темп роста;k - конечный показатель динамического ряда;0 - начальный показатель динамического ряда- количество показателей в динамическом ряду.

Третий этап сводится к анализу товарно-групповой структуры товарооборота торгового предприятия за отчетный период и в динамике, определение закономерностей развития объема продажи по отдельным товарным группам (видами и разновидностями товаров).

На этом этапе аналитической работы изучаются темпы роста и прироста, абсолютный объем изменения товарооборота по отдельным товарным группам (видами и разновидностями товаров), определяется вес отдельных товарных групп (видов товаров) в общем объеме товарооборота предприятия. В процессе проведения этой работы используется информация, полученная в конъюнктурных рейтингах (изучение рынка соответствующих товаров), что позволяет определить объективные (изменение объема и структуры спроса, специализации предприятия, объемов и структуры товарного предложения, налогового регулирования) и субъективные (недочеты в организации закупки и продажи товаров, просчеты в планировании, недобросовестность персонала и др.) причины изменения ассортиментной структуры товарооборота предприятия и объема реализации товаров.

Изучение ассортиментной структуры товарооборота позволяет производить ранжирование товарных групп по степени их значимости (вклада) в общий товарооборот предприятия, а также количественно оценивать положительное или негативное влияние динамики реализации отдельных видов товаров на общий объем товарооборота предприятия и дальнейшие возможности его увеличения.

Четвертый этап сводится к анализу состава товарооборота предприятия в зависимости от положения конечных потребителей, форм и сроков расчетов, характера реализуемых товаров, организационных форм и методов торговли.

Исследование состава товарооборота предприятием проводится за отчетный период и в динамике. Предвидит определение основных закономерностей отдельных видов товарооборота - реализацию товаров населению и оптовым потребителям, с немедленной оплатой и в кредит, оплата наличными и по безналичному расчету, новых и бывших в употреблении товаров, в стационарной торговой сети и в пунктах мелкооптовой торговли и др.

Для проведения исследования рассчитывают и сопоставляют между собой объемы реализации товаров по отдельным видам товарооборота, темпам их роста и прироста, исследуют изменение их веса в общем объеме товарооборота.

Пятый этап сводится к проведению анализа объемов реализации товаров поквартально и помесячно, исследование ритмичности работы и сезонности реализации товаров и определение факторов, которые их обуславливают.

Для проведения анализа за отчетный период и в динамике рассчитывают показатели, которые характеризуют ритмичность реализации товаров: средний за отчетный период фактический товарооборот для товара j-го наименования (Тфсрj), среднеквадратическое отклонение (σj) товарооборота товара j-го наименования от его среднего объема за отчетный период и коэффициент вариации (νj) товарооборота товара j-го наименования в отчетном периоде:


Среднеквадратическое отклонение определяет диапазон колебания реализации товаров, то есть минимальный и максимальный объем товарооборота предприятия в среднем за период исследования.

Коэффициент вариации оценивает равномерность реализации товаров на протяжении периода, который исследуется, то есть относительный (в %) размер отклонения объема товарооборота от среднего размера. При этом если коэффициент вариации νj равен нулю, то это говорит о стабильном товарообороте товара j-го наименования в отчетном периоде. Если νj= 1, то это показывает высокий уровень нестабильности товарооборота товара j-го наименования в отчетном периоде.

Исследования названных показателей дает возможность установить степень равномерности продажи товара по месяцам и кварталам, выявить особенности торговли и спроса на товары, которые реализует предприятие. Чем выше значение имеют показатели, тем менее ритмичнее является процесс реализации товаров на данном предприятии.

Шестой этапом - анализа разно оптового товарооборота является изучение факторов, которые имели влияние в отчетном периоде на его объем и структуру. С этой целью дается количественная оценка влияния факторов внутреннего порядка (факторов, связанных с товарными ресурсами; с численностью работников, организацией и продуктивностью работы; с использованием основных способов) исследуется характер влияния факторов внешней среды (спрос потребителей на товары, предложение товаров на рынки, цены на товары, деятельность конкурентов на потребительском рынке, уровень жизни и реальные денежные доходы населения, которые обслуживаются, социально-демографические факторы и др.)

Количественная оценка влияния отдельных факторов проводится методом цепных подстановок и индексным методом на базе моделей связи факторов и объема товарооборота предприятия.

Завершается анализ товарооборота предприятия седьмым этапом и сводится к исследованию запаса финансовой прочности предприятия, в ходе которого определяется возможное падение товарооборота (в абсолютном и относительном измерении) к достижению критической таблицы «точки безубыточности деятельности».

Допустимая граница снижения объема товарооборота характеризует порог безопасности предприятия (ПБто) и запас финансовой прочности (ЗФПто). Их значения рассчитываются по следующим формулам:

товарооборот торговый управление


где Тф - фактический объем товарооборота предприятия;

Тб/з - объем товарооборота, при котором обеспечивается безубыточная деятельность.

Чем большее значение имеют порог безопасности и запас финансовой прочности предприятия, тем лучше осуществляется процесс управления объемом, составом, динамикой, скоростью и структурой товарооборота с точки зрения обеспечения условий для его самоокупаемости и самофинансировании.

При этом основная задача управления товарооборотом торгового предприятия сводится к стабилизации показателей безопасности и финансовой прочности относительно заданных пороговых их величин с минимальным значением соответственно 0 и 1. Наиболее подходящим способом решение этой задачи является построение нечетких алгоритмов регулирования показателей безопасности и финансовой прочности торгового предприятия. В этом случае на основе накопленного опыта поведения или на основе информации, получаемой от высококвалифицированных менеджеров и маркетологов, формируется продукционная модель изменения регулируемых параметров. Для этого регулируемым параметрам ПБто, ЗФПто в соответствие ставятся лингвистические переменные «уровень безопасности предприятия» с нечеткими значениями «очень низкий», «низкий», «средний», «высокий», «очень высокий» и «величина запаса финансовой прочности» с нечеткими значениями «очень малая величина», «малая», «средняя», «большая» и «очень большая». Учитывая также пропорциональную зависимость регулируемых параметров от объема товарооборота и динамику его изменения во времени, данному показателю в соответствие ставится лингвистическая переменная «скорость изменения товарооборота» с нечеткими значениями «очень малая скорость», «небольшая», «средняя», «большая» и «очень большая скорость». При этом скорость v изменения товарооборота на заданном интервале времен t2-t1 будет определяться согласно выражению:

= (Тф(t2) - Тф(t1))/ (t2-t1),

Где Тф(t2), Тф(t1) -соответственно товарообороты торгового предприятия в моменты времени t2и t1.

Тогда для выбора управленческих мероприятий может использоваться нечеткий алгоритм регулирования, состоящий их продукций следующего содержание «если уровень безопасности является средним, но требуется иметь большой уровень, а скорость изменения товарооборота средняя, то в этом случае необходимо реализовать мероприятия, приводящие к высокой скорости увеличения товарооборота». Например, провести распродажу залежалого товара и завезти новый товар, пользующийся повышенным спросом. Совокупность таких продукций охватывающих весь допустимый диапазон изменения регулируемых параметров и будет определять нечеткий алгоритм регулирования данных товаров.

1.3 Пути и направления повышения управления товарооборотом торгового предприятия

Все факторы, под влиянием которых развивается товарооборот, следует разделить на две группы - экстенсивные и интенсивные.

Такие экстенсивные факторы, как покупательные фонды населения, товарные ресурсы, численность обслуживаемого населения, не зависят от деятельности торговых организаций и складываются под влиянием развития экономики страны в целом. Интенсивные факторы зависят в большой степени от эффективности деятельности торговых организаций.

К экстенсивным относятся факторы, которые связаны с количественным, а не с качественным приростом результативного показателя, например увеличение объема товарооборота путем увеличения торговой площади, увеличения объема товарных запасов, количества рабочих и т.д.

Интенсивные факторы характеризуют степень усилия, напряженности труда в процессе реализации, например повышение фондоотдачи, ускорения оборачиваемости [1].

Интеграция в торговле может осуществляться экстенсивным, или/и интенсивным образом. Централизованные и децентрализованные объединения, торговые сети и потребительские кооперативы, пулы и торгово-финансовые группы, аутсорсинг, франчайзинг - все эти, а также другие формы интеграции имеют много отличий, по-разному влияют на итоговую эффективность и, соответственно, процессы развития. Выбор и последующее применение той или иной формы определяется торговой организацией с учётом имеющегося потенциала, условий внутренней и внешней среды. Идентификация видов интеграции, оценка их влияния на результаты хозяйственной деятельности и процессы развития торговых организаций является одной из актуальных и значимых проблем [2].

Для обеспечения своего развития, формирования и трансформации потенциала торговые организации самостоятельно определяют, выбирают и используют определённые приёмы, которые рассматриваются как средства развития и трансформации потенциала. Все средства развития, в зависимости от механизма формирования и направленности воздействия, можно подразделить на экстенсивные (напр. создание торговых сетей) и интенсивные (напр. совершенствование технологических процессов). Но во многих хозяйственных ситуациях торговые организации применяют средства развития, сочетающие как экстенсивный, так и интенсивный подходы. В качестве таких средств в настоящей работе предложено рассматривать разные форматы торговых организаций, создающие предпосылки (но отнюдь не гарантирующие) эффективной работы на внутреннем рынке товаров народного потребления.

Интенсификация труда в производстве и торговле - процесс повышения его степени напряженности. Интенсивность труда измеряется количеством затраченного труда в единицу рабочего времени для получения полезного результата (эффекта). В отличие от этого экстенсивное увеличение затрат живого труда характеризуется продолжительностью рабочего времени. Рост производительности и интенсивности труда одинаково воздействует на его конечный результат, как он увеличивает массу продуктов, производимую в данный промежуток времени.

Оптимальная, физиологически нормальная интенсивность труда является обязательным условием эффективного использования рабочего времени, орудий и предметов труда.

Оптимальная интенсивность труда определяется в соответствии с научно-обоснованными критериями, вытекающими из требований о сохранении здоровья и высокой работоспособности трудящихся на протяжении всей их трудовой деятельности. При этом возникает необходимость последовательного контроля за мерой труда, за его интенсивностью, рационализацией производства и его научной организацией. Проблема оптимальной интенсификации труда может решаться на основе прогрессивных норм его затрат, рационального использования фонда рабочего времени, сокращения всякого рода его потерь и простоев, укрепления дисциплины.

Научно-технический прогресс, являющийся главным средством интенсификации, призван облегчать труд рабочего и не должен сопровождаться усилением напряженности труда сверх норм. За счет технического прогресса, механизации и автоматизации производства, внедрения новых технологий может и должен обеспечиваться основной прирост производительности труда. Доведение интенсивности труда до общественно нормального уровня пока остается важным фактором роста производительности труда во всей экономике, в том числе и в торговле.

Интенсификацию производства следует понимать как процесс в развитии производства, основанный на применении все более эффективных орудий и предметов труда, передовой технологии, более совершенных форм организации труда и производства в соответствии с достижениями научно-технического прогресса, а также наиболее полном и эффективном использовании всех факторов производства. Это положение в полной мере относится и к торговле.

Интенсивность производства можно характеризовать как меру, степень соответствия используемых средств производства уровню развития науки и техники, а интенсификацию - как процесс развития, углубления, повышения доли интенсивной стороны производства, всего воспроизводственного процесса, а, следовательно, и торговли. Для интенсивного развития характерно качественное совершенствование экономических ресурсов и благодаря этому достигается увеличение производства продукции путем повышения отдачи ресурсов, экономии трудовых и материальных затрат на единицу продукции. Экстенсивное развитие характеризуется чисто количественным ростом ресурсов производства на прежнем техническом уровне и увеличением выпуска продукции путем привлечения дополнительных ресурсов.

Процесс качественного преобразования охватывает все элементы общественного производства. Внедряется новая техника и технология, повышается квалификация работников, улучшается качество продукции.

Интенсификация производства характеризуется изменением технического и органического строения производства, ростом фондовооруженности и производительности труда, все возрастающей ролью экономии накопленного овеществленного труда. Экономия живого труда, рост его производительности, как правило, обеспечиваются дополнительными затратами овеществленного труда (ростом фондовооруженности).

Под воздействием этих факторов в процессе интенсификации проявляются три формы интенсивного расширенного воспроизводства: фондоемкая, фондосберегающая, нейтральная. Эти формы по существу отличаются разными уровнями эффективности замены живого труда овеществленным.

При фондоемкой форме повышение производительности живого труда достигается за счет дополнительных затрат основных средств на единицу продукции (увеличение фондоемкости); основные средства возрастают быстрее общественного продукта и валового национального дохода. Замена живого труда овеществленным происходит, следовательно, при снижении фондоотдачи.

При фондосберегающей форме повышение производительности живого труда сопровождается экономией производственных средств на единицу продукции (снижение фондоемкости). Замена живого труда овеществленным происходит в условиях растущей фондоемкости.

В торговле как составной части воспроизводственного процесса при оценке эффективности интенсификации следует также выявлять соотношение этих форм интенсивного развития.

В условиях интенсивного развития рост производительности труда обусловливается, как правило, уровнем его фондовооруженности и совершенством технологии. Наличие такой связи позволяет использовать соотношение этих показателей при экономическом анализе интенсификации.

Величина соотношения темпов прироста производительности труда и темпов прироста фондовооруженности для отдельных форм интенсивного производства складывается в четко определенных пределах.

В условиях перехода к преимущественно интенсивной форме расширенного воспроизводства происходит переход от частичной к всесторонней интенсификации производства, основанной на экономии всех элементов производства, т.е. переход к фондосберегающей форме интенсификации. Эта форма характеризуется экономией на единицу экономического эффекта всех видов ресурсов - рабочей силы, сырья, материалов и энергии, капитальных вложений, основных средств. Рост производительности труда сочетается с уменьшением материалов и фондоемкости.

Интенсивный путь развития единого народнохозяйственного комплекса включает не только материальное производство, но и сферы распределения, обращения и потребления. Интенсификация, таким образом, рассматривается как производственная и воспроизводственная категория. Это означает, что надо учитывать народнохозяйственные факторы интенсификации применительно к единому народнохозяйственному комплексу в целом и к каждому его структурному элементу в отдельности, в том числе к сфере товарного обращения и торговли.

На интенсификацию сферы торговли оказывают влияние такие народнохозяйственные факторы, как ускорение научно-технического прогресса в общественном производстве и системе товарного обращения; упрочение технических, технологических и организационно-экономических связей торговли с сопряженными отраслями, повышение качества и технологического уровня средств производства, повышение общеобразовательного и профессионального уровня трудящихся, совершенствование хозяйственного механизма и др. [3].

2. АНАЛИЗ И ОЦЕНКА ЭФФЕКТИВНОСТИ УПРАВЛЕНИЯ ТОВАРООБОРОТОМ ПРЕДПРИЯТИЯ ЗАО «ТАНДЕР»

.1 Общая характеристика исследуемого объекта - ЗАО «Тандер»

ЗАО «Тандер» (управляющая компания сети магазинов «Магнит») основана в 1994 г. как оптовый поставщик бытовой химии и косметики, а с 1997 г. приступила к освоению продовольственного сегмента рынка, став одним из пяти крупнейших дистрибьюторов в России.

В 1998 году начата работа по развитию розничного рынка: открыт первый магазин самообслуживания. В течение года компания вышла на лидирующие позиции на юге России, после чего началось продвижение компании в другие регионы.

г. - знаменательный год в истории компании. Руководство принимает решение о реорганизации работы розничного направления. Все магазины переводят в формат дисконтера и объединяются под брендом «Магнит».

В период с 2001 - 2005 гг. сеть показала стремительный региональный рост и заняла первое место в России по количеству магазинов - 1500 и стала второй по объему выручки в стране.

В начале 2006 года была завершена реорганизация группы компаний «Магнит», в результате которой ОАО «Магнит» стало холдинговой компанией группы обществ, занимающихся розничной торговлей через сеть магазинов «Магнит».

В апреле 2006 года компания провела IPO, большая часть вырученных средств направлена на развитие сети магазинов «Магнит» и разработку формата гипермаркетов под тем же брендом. В апреле 2008 года в рамках вторичного размещения Компания вышла на Лондонскую Фондовую Биржу. Средства, привлеченные в результате SPO, были также направлены на развитие сети «магазинов у дома», гипермаркетов, а также на усиление собственной логистической системы.

По не аудированным данным чистая выручка ОАО «Магнит» на 31 марта 2011 составила 75 031,30 млн. руб. Количество магазинов сети «Магнит», по состоянию на 31 марта 2011 года, составило 4189 (4128 «магазина у дома», 57 гипермаркетов и 4 магазина дрогери).

Сеть «Магнит» не использует франчайзинг, компания полностью самостоятельно управляет своими магазинами, что позволяет устанавливать и поддерживать единые стандарты качества во всей сети.

На 31 декабря 2010 года в компании действуют 64 филиала, в которых по состоянию на 31 декабря 2010 года работает 120 тысяч сотрудников.

Благодаря использованию региональных распределительных центров ОАО «Магнит» удалось наладить эффективную систему логистики. В составе компании действуют 11 собственных распределительных центров, на которые приходится порядка 79% всего товарооборота.

Также компания располагает и собственным автопарком из 2642 машин, что позволяет снижать транспортные издержки и практически полностью исключать потери при транспортировке.

По состоянию на 31 декабря 2010 г. в ассортименте ОАО «Магнит» насчитывалось около 614 наименований товаров под собственной торговой маркой, что составляет 18,24% в ассортименте и 12,66% в общем объеме продаж.

Внедрена в компании и автоматизированная система управления товарными запасами, благодаря чему повышается их оборачиваемость.

ОАО «Магнит» является владельцем крупнейшей по числу магазинов и территории их покрытия сети в России, что позволяет осуществлять закупки на специальных условиях.

Большое внимание уделяется сотрудничеству с местными производителями и поставщиками, что позволяет оперативно решать вопросы обеспечения сетей магазинов свежими товарами местного производства.

С 2006 года компания развивает во всех городах России новый формат розничной торговли - сеть гипермаркетов «МАГНИТ».

Гипермаркет представляет собой объект нового для каждого города формата: современная функциональная архитектура, просторная планировка, большая и удобная парковка, продажа полного набора товарного ассортимента для всей семьи в одном месте, организация зоны общественного питания - всё это сегодня остро востребовано на рынке услуг каждого города, где работают наши гипермаркеты или идет их строительство.

По состоянию на 31 марта 2011 года были открыты 57 гипермаркетов. Торговая площадь гипермаркетов варьируется от 2000 - 12 500 кв.м. Ассортимент насчитывает 13 504 наименований товаров, из которых в среднем около 76% составляют продукты питания. Гипермаркеты расположены в черте города, что делает возможным их посещение не только автовладельцами.

У этой компании есть огромное желание расти и соответствовать потребностям и желаниям каждого покупателя. Они стремимся к тому, чтобы развивать и совершенствовать новые идеи, новые возможности.

2.2 Анализ динамики и структуры, факторный анализ товарооборота торгового предприятия ЗАО «Тандер»

.2.1 Анализ динамики объема товарооборота торгового предприятия ЗАО «Тандер»

В процессе анализа товарооборота торгового предприятия определяются:

·        сумма увеличения (уменьшения) объема товарооборота в отчетном году по сравнению с прошлым годом:

 

где ∑ УВ (УМ) - сумма увеличения (уменьшение) товарооборота, тыс. руб.;

Т1 - объем товарооборота в отчетном году, тыс. руб.;

Т0 - объем товарооборота в прошлом году, тыс. руб.;

Таблица 1 Анализ увеличения (уменьшения) объема товарооборота торгового предприятия ЗАО «Тандер»

Годы

Объем товарооборота, тыс. руб.

УВ



базисный

цепной

2006

65692289

-

-

2007

89967361

24275072

24275072

2008

129455249

63762960

39487888

2009

169751947

104059658

40296698

2010

241427782

175735493

71675835


·        темп роста (уменьшения) объема товарооборота в отчетном году по сравнению с прошлым годом:

 

где %Р (У) - темп роста (уменьшения) объема товарооборота, %;

Т1 - объем товарооборота в отчетном году, тыс. руб.;

Т0 - объем товарооборота в прошлом году, тыс. руб.;

·        темп прироста (уменьшения) объема товарооборота в отчетном году по сравнению с прошлым годом:

 

где ∆ - темп прироста (уменьшения) объема товарооборота, %.

Для того чтобы проанализировать объем товарооборота торгового предприятия ЗАО «Тандер» в динамике за ряд лет рассчитаем цепные (в % к предыдущему году) и базисные (в % к первому году в ряду динамики) темпы роста (или снижения) и темпы прироста.

Таблица 2 Анализ динамики объема товарооборота торгового предприятия ЗАО «Тандер»

Годы

Объем товарооборота, тыс. руб.

Темпы роста, %

Темпы прироста, %



цепные

базисные

цепные

базисные

2006

65692289

-

-

-

-

2007

89967361

137,0

137,0

37,0

37,0

2008

129455249

143,9

197,1

43,9

97,1

2009

169751947

131,1

258,4

31,1

158,4

2010

241427782

142,2

367,5

42,2

267,5


Из данных Таблицы 2 видно, что за анализируемый период объем товарооборота торгового предприятия ЗАО «Тандер» увеличился на 175735493 тыс. руб., или на 267,5%. Наблюдается четкая тенденция ежегодного увеличения объема товарооборота. Так, в отчетном году по сравнению с прошлым годом объем товарооборота увеличился на 42,2%.

Среднегодовой темп изменения объема товарооборота рассчитывается по средней геометрической:

 

где  - среднегодовой темп изменения объема товарооборота, %;

Тn - объем товарооборота отчетного года, тыс. руб.;

Т1 - объем товарооборота в первом году ряда динамики, тыс. руб.;

n - количество лет в ряду динамики.

В анализируемом предприятии среднегодовой темп роста объема товарооборота составил 38,5%.

 

Проанализируем равномерность выполнения плана товарооборота торгового предприятия ЗАО «Тандер» за отдельные периоды времени, с помощью расчета коэффициента равномерности:

 

где Р - коэффициент равномерности выполнения плана товарооборота, %;

V - коэффициент вариации выполнения плана товарооборота по отдельным периодам, %.

 

где - среднеквадратическое отклонение выполнения плана товарооборота по отдельным периодам, %;

 - средний процент выполнения плана товарооборота.

 

где  - процент выполнения плана товарооборота за i-ый период.

Для расчета коэффициента равномерности выполнения плана составим разработочные таблицы.

Таблица 3 Исходные данные для расчета коэффициента равномерности выполнения плана товарооборота торгового предприятия ЗАО «Тандер» по кварталам за 2008-2009 года.

Годы/Кварталы

Объем товарооборота, тыс. руб.

( )


2008 год

2009 год

% выполнения



I квартал

27152994

37705642

138,9

7,8

60,8

II квартал

30083601

40087806

133,3

2,2

4,8

III квартал

33365800

43325560

129,9

-1,2

1,4

IV квартал

38852854

48632939

125,2

-5,9

34,8

Год, хi

129455249

169751947

131,1

-

101,8


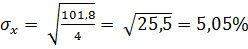
По данным Таблицы 3 рассчитаем среднеквадратическое отклонение выполнения плана товарооборота и коэффициент вариации:

 

 

Полученный коэффициент равномерности 96,1% (100% - 3,9%) свидетельствует о том, что в 2009 году по сравнению с 2008 годом план товарооборота по кварталам выполнялся достаточно равномерно.

Таблица 4 Исходные данные для расчета коэффициента равномерности выполнения плана товарооборота торгового предприятия ЗАО «Тандер» по кварталам за 2009-2010 года.

Годы/Кварталы

Объем товарооборота, тыс. руб.

( )


2009 год

2010 год

% выполнения



I квартал

37705642

49409421

131,1

-11,1

123,2

II квартал

40087806

55501758

138,5

-3,7

13,7

III квартал

43325560

62416610

144,1

1,9

3,6

IV квартал

48632939

74099993

152,4

10,2

104,0

Год, хi

169751947

241427782

142,2

-

244,5


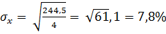
По данным Таблицы 4 рассчитаем среднеквадратическое отклонение выполнения плана товарооборота и коэффициент вариации:

 

 

Полученный коэффициент равномерности 94,5% (100% - 5,5%) свидетельствует о том, что в 2010 году по сравнению с 2009 годом план товарооборота по кварталам выполнялся достаточно равномерно.

Согласно расчетам Таблицы 3 и Таблицы 4 коэффициент равномерности выполнения плана товарооборота за 2010 год (94,5%) по сравнению с коэффициентом равномерности за 2009 год (96,1%) уменьшился на 1,6 %. Факторы, связанные с уменьшением коэффициента равномерности выполнения плана, я буду рассматривать в факторном анализе объема товарооборота.

2.2.2 Анализ структуры товарооборота торгового предприятия ЗАО «Тандер»

Анализ товарооборота следует проводить не только в целом по торговому предприятию, но и в разрезе структурных подразделений (филиалов, секций), отдельных товарных групп, то есть по ассортиментной структуре.

В ходе анализа структуры товарооборота определяется выполнение плана реализации по отделам, секциям, товарным группам, выявляется тенденция их оборотов, определяется удельный вес реализации в общем объеме товарооборота, рассчитывается коэффициент абсолютных структурных сдвигов в товарообороте в целом по торговому предприятию:

 

где  - коэффициент абсолютных структурных сдвигов в товарообороте, %;

 - удельный вес товарооборота i - ой товарной группы в общем объеме товарооборота в отчетном году, %;

 - удельный вес товарооборота i - ой товарной группы в общем объеме товарооборота в прошлом году, %;

n - количество товарных групп.

Таблица 5 Анализ структуры товарооборота торгового предприятия ЗАО «Тандер»

Товарные группы

Удельный вес в товарообороте, %


2009 год,

2010 год,



Мясо - птица

19,3

19,9

+0,6

0,36

Рыба

15,4

15,0

-0,4

0,16

Гастрономические товары

12,3

+0,6

0,36

Бакалейные товары

8,2

8,8

+0,6

0,36

Фрукты - овощи

7,2

7,3

+0,1

0,01

Кондитерские товары

8,3

8,2

-0,1

0,01

Вино - водочные товары

19,2

18,8

-0,4

0,16

Прочие товары

10,1

9,1

-1,0

1,00

Всего

100,0

100,0

-

2,42


Из Таблицы 5 видно, что в 2010 (отчетном году) наибольший удельный вес в товарообороте торгового предприятия ЗАО «Тандер» занимал оборот по реализации мяса - птицы - 19,9%, вино - водочных изделий - 18,8%, рыбы - 15%. В 2010 году по сравнению с прошлым годом снизился удельный вес реализации прочих товаров - на 1,0%, удельный вес мяса - птицы, гастрономических товаров, бакалейных товаров повысился на 0,6%, фруктов - овощей - на 0,1%, снизился удельный вес оборота рыбы и винно-водочных изделий - на 0,4%, кондитерских изделий - на 0,1%. В целом по торговому предприятию существенных изменений в структуре товарооборота не произошло, о чем свидетельствует коэффициент абсолютных структурных сдвигов, равный 0,6%:

 

2.2.3 Анализ факторов, влияющих на объем товарооборота торгового предприятия ЗАО «Тандер»

На объем товарооборота торгового предприятия ЗАО «Тандер» оказывает влияние большое число факторов. Они подразделяются на три группы:

·        факторы, связанные с товарными ресурсами;

·        факторы, связанные с численностью работников и производительностью их труда;

·        факторы, связанные с наличием и эффективностью использования основных фондов торгового предприятия и режимом его работы.

Факторы, связанные с товарными ресурсами, влияют на объем товарооборота через изменение величины запасов товаров на начало и конец года, поступление товаров и их выбытие. Между указанными величинами имеется определенная взаимосвязь, выражаемая формулой товарного баланса:

 

где  - запасы на начало года, тыс. руб.;

 - поступление товаров, тыс. руб.;

 - объем товарооборота, тыс. руб.;

В - выбытие товаров, тыс. руб.;

 - запасы на конец года, тыс. руб.

Преобразуя данную взаимосвязь можно получить балансовую формулу товарооборота:

 

Изменение каждого из слагаемых соответствующим образом влияет на объем товарооборота. Увеличение начальных запасов и поступления товаров оказывает положительное влияние на сумму реализации товаров. Их уменьшение наоборот, способствует сокращению объема товарооборота.

Уменьшение выбытие товаров, сокращение их конечных запасов повлияет положительно на сумму реализации; увеличение же отрицательно сказывается на величине объема товарооборота.

Рассматривая направления влияния (+;) данных факторов, необходимо учитывать доброкачественность поступающих товаров во всем ассортименте и требуемых количествах. Тот же подход соблюдается в отношении товаров в запасах. При нарушении этих условий фактор, оказывающий положительное влияние, может перейти в разряд отрицательных.

Влияние на объем товарооборота торгового предприятия факторов, связанных с товарными ресурсами, определяется способом разниц или цепных подстановок.

В первом случае находятся отклонения между показателями отчетного и прошлого года, а затем определяется направление влияния фактора на увеличение или уменьшение объема товарооборота. Причем следует учитывать, что направление влияния на объем товарооборота изменения выбытия товаров и запасов товаров на конец года меняется на противоположное.

Таблица 6 Расчет влияния на объем товарооборота торгового предприятия ЗАО «Тандер» факторов, связанных с товарными ресурсами, способом разниц (тыс. руб.)

Показатели

2009 год

2010 год

Отклонение (+;)

Влияние на объем товарооборота (+;)

Объем товарооборота

169751947

241427782

+71675835

+71675835

Запасы товара на начало года

10093995

12668499

+2574504

+2574504

Поступление товаров

171588053

251192033

+79603980

+79603980

Выбытие товаров

-738398

2212478

+2950876

-2950876

Запасы товаров на конец года

12668499

20220272

+7551773

-7551773


Так же влияния на объем товарооборота торгового предприятия ЗАО «Тандер» факторов, связанных с товарными ресурсами можно рассчитать методом цепной подстановки с помощью формулы товарного баланса.

Цепной метод:

 

 

 

 

 

1)      10093995+171588053+738398-12668499=169751947 тыс. руб.

)        12668499+171588053+738398-12668499=172326451 тыс. руб.

)        12668499+251192033+738398-12668499=251930431 тыс. руб.

)        12668499+251192033-2212478-12668499=248979555 тыс. руб.

5)      12668499+251192033-2212478-20220272=241427782 тыс. руб.

а) определим влияние на объем товарооборота торгового предприятия изменения запасов товаров на начало года (Зн):

172326451-169751947= +2574504 тыс. руб.

За счет увеличения запасов товаров товарооборот торгового предприятия возрос на 2574504 тыс. руб.

б) определим влияние на объем товарооборота торгового предприятия изменения поступления товаров (П):

251930431-172326451= +79603980 тыс. руб.

За счет увеличения поступления товаров товарооборот торгового предприятия возрос на 79603980 тыс. руб.

в) определим влияние на объем товарооборота торгового предприятия изменения выбытия товаров (В):

248979555-251930431=  2950876 тыс. руб.

За счет увеличения выбытия товаров товарооборот торгового предприятия снизился на 2950876 тыс. руб.

г) определим влияние на объем товарооборота торгового предприятия изменения запасов товаров на конец года (Зк):

241427782-248979555= -7551773 тыс. руб.

За счет увеличения запасов товаров на конец года товарооборот торгового предприятия снизился на 7551773 тыс. руб.

Значительное влияние на объем товарооборота торгового предприятия оказывают трудовые факторы: численность работников и производительность их труда. Модель имеет вид:

 

где Т - объем товарооборота, тыс. руб.;

Ч - среднесписочная численность работников, чел.;

В - производительность труда одного работника, тыс. руб.

В условиях инфляций такой анализ целесообразно проводить по товарообороту и производительности труда (выработке на одного работника) в сопоставимых ценах.

Таблица 7 Показатели по труду торгового предприятия ЗАО «Тандер»

Показатели

2009 год

2010 год

Изменения




+;

%

Объем товарооборота в фактических ценах, тыс. руб.

169751947

241427782

+71675835

+42,2

Индекс цен

-

1,13

0,13

+13

Объем товарооборота в сопоставимых ценах прошлого года, тыс. руб.

169751947

213652904

43900957

+25,9

Среднесписочная численность работников, чел

119000

120000

+1000

+1,0

Производительность труда одного работника в фактических ценах, тыс. руб.

1426,5

2011,9

+585,4

+41,0

Производительность труда одного работника в сопоставимых ценах, тыс. руб.

1426,5

1780,4

+353,9

+24,8


В отчетном году по сравнению с прошлым годом среднесписочная численность работников торгового предприятия ЗАО «Тандер» увеличилась на 1000 человек, или на 1,0%; производительность труда одного работника в фактических ценах выросла на 585,4 тыс. руб., или на 41,0%, а в сопоставимых ценах прошлого года соответственно на 353,9 тыс. руб., или на 24,8%.

Используя способ разниц или метод интегрирования можно рассчитать влияние на объем товарооборота изменения трудовых факторов и индекса цен.

Используя способ разниц, имеем:

 

где - изменение объема товарооборота за счет изменения среднесписочной численности работников, тыс. руб.;

 - среднесписочная численность работников в прошлом году, чел.;

 - среднесписочная численность работников в отчетном году, чел.;

 - производительность труда одного работника в прошлом году, тыс. руб.

 

где - изменение объема товарооборота за счет изменения производительности труда одного работника, тыс. руб.;

 - среднесписочная численность работников в отчетном году, чел.;

 - производительность труда одного работника в сопоставимых ценах, тыс. руб.;

 - производительность труда одного работника в прошлом году, тыс. руб.

 

где - изменение объема товарооборота за счет изменения цен на товары, тыс. руб.;

 - производительность труда одного работника в отчетном году, тыс. руб.

При использовании для анализа интегрального метода сначала необходимо определить изменение производительности труда одного работника за счет интенсификации труда и за счет изменения цен:

 

где  - изменение производительности труда одного работника за счет интенсификации труда, тыс. руб.;

 

где  - изменение производительности труда одного работника за счет изменения цен на товары, тыс. руб.

Тогда влияние анализируемых факторов на объем товарооборота может быть рассчитано по следующим формулам:

·        изменение среднесписочной численности работников:

 

·        изменение производительности труда одного работника:

 

·        изменение цен на товары:

 

Имеем по анализируемому торговому предприятию:

·        изменение производительности труда одного работника за счет интенсификации труда - 353,9 тыс. руб. (1780,4-1426,5);

·        изменение производительности труда одного работника за счет роста цен на товары - 231,5 тыс. руб. (2011,9 - 1780,4);

·        изменение объема товарооборота за счет увеличения среднесписочной численности работников:

 

·        изменение объема товарооборота за счет повышения производительности труда одного работника:

 

·        изменение объема товарооборота за счет роста цен на товары:

 

Таким образом, в отчетном году по сравнению с прошлым годом за счет увеличения среднесписочной численности работников объем товарооборота торгового предприятия увеличился на , за счет повышения производительности труда одного работника объем товарооборота возрос на ,за счет повышения цен на товары объем товарооборота увеличился на

Значительное влияние на объем товарооборота торгового предприятия оказывают факторы, связанные с наличием основных фондов, эффективностью их использования и режимом работы.

Объем розничного товарооборота торгового предприятия отражен формулой:

 

где Т - объем товарооборота за период, тыс. руб.;

 - количество рабочих мест (условных) в предприятии, ед.;

Д - количество дней работы предприятия, дни;

t - продолжительность работы предприятия в день, ч;

 - выработка на одно рабочее (условное) место в час, тыс. руб.

Используя способ цепных подстановок, можно определить влияние изменения каждого из указанных факторов на объем товарооборота торгового предприятия:

 

 

 

 

 

Таблица 8 Анализ эффективности использования рабочих (условных) мест и режима работы торгового предприятия ЗАО «Тандер»

Показатели

2009 год

2010 год

Изменение




+;

%

Объем товарооборота в фактических ценах, тыс. руб.

169751947

241427782

+71675835

+42,2

Количество условных рабочих мест

100000

105000

5000

+5,0

Количество дней работы предприятия

358

356

-2

-0,6

Продолжительность работы предприятия в день, ч.

12

13

+1

+8,3

Выработка на одно условное рабочее место в час, тыс. руб.

0,395

0,497

0,102

+25,8


То есть в отчетном году по сравнению с прошлым годом количество условных рабочих мест в торговом предприятии увеличилось на 5000, или на 5,0%, количество дней работы сократилось на 2 дня, или на 0,6%, на 1 час, или на 8,3% увеличилось время работы, выработка на одно условное рабочее место в час возросла на 25,8%. Отмеченные изменения сказались на объеме товарооборота торгового предприятия следующим образом:

Т0=100000*358*12*0,395=169751947 тыс. руб.

Тр1=105000*358*12*0,395=178176600 тыс. руб.

Тр2=105000*356*12*0,395=177181200 тыс. руб.

Тр3=105000*356*13*0,395=191946300 тыс. руб.

Т1=105000*356*13*0,497=241427782 тыс. руб.

-       
за счет увеличения количества условных рабочих мест объем товарооборота возрос на 8424653 тыс. руб. (178176600-169751947);

·        за счет уменьшения количества дней работы объем товарооборота снизился на 995400 тыс. руб. (177181200-178176600);

·        за счет увеличения часов работы в день объем товарооборота возрос на 14765100 тыс. руб. (191946300-177181200);

·        за счет увеличения выработки на одно условное рабочее место в час объем товарооборота увеличился на 49481482 тыс. руб. (241427782-191946300)

2.3 Планирование товарооборота по кварталам и основные направления совершенствования политики управления товарооборотом торгового предприятия ЗАО «Тандер»

В настоящее время существует много различных методов, с помощью которых осуществляется анализ и планирование квартальных объемов товарооборота. Наиболее простым и достаточно надежным является метод относительной средней. Для расчета используют данные о квартальных (месячных) оборотах не менее чем за 3 года. При этом неважно, в каких ценах (фактических или сопоставимых) ведутся расчеты, так как при данной методике действие индекса цен нивелируется.

Рассчитаем индекс сезонности и планирование товарооборота торгового предприятия ЗАО «Тандер» по кварталам года.

Сначала определим среднеквартальный оборот каждого года:

 

где  - среднеквартальный товарооборот j-го года, тыс. руб.;

 - объем товарооборота j-го года, тыс. руб.

Далее рассчитаем сезонные колебания товарооборота по кварталам за каждый год и определим их сумму:

 

где  - сезонные колебания товарооборота i - го квартала j - го года, %;

 - объем товарооборота i - го квартала j - го года, тыс. руб.;

 - среднеквартальный товарооборот j - го года, тыс. руб.

Рассчитаем сезонные колебания торгового предприятия по кварталам за 3 года.

Таблица 9 Исходные данные для расчета сезонных колебаний товарооборота торгового предприятия ЗАО «Тандер» по кварталам года

Годы/кварталы

2006 год

2007 год

2008 год

2009 год

2010 год

I квартал

13750036

19533059

27152994

37705642

49409421

II квартал

15050307

21039833

30083601

40087806

55501758

III квартал

17168107

22973462

33365800

43325560

62416610

IV квартал

19723839

26421007

38852854

48632939

74099993

65692289

89967361

129455249

169751947

241427782

16423072,3

22491840,3

32363812,3

42437986,8

60356945,5


Таблица 10 Расчет сезонных колебаний товарооборота торгового предприятия ЗАО «Тандер» по кварталам

Годы/кварталы

2006 год

2007 год

2008 год

2009 год

2010 год

∑Сi

I квартал

83,7

86,9

83,9

88,9

81,9

425,3

II квартал

91,6

93,5

93,0

94,5

92,0

464,6

III квартал

104,5

102,1

103,1

102,1

103,4

515,2

IV квартал

120,1

117,5

120,1

114,6

122,8

595,1


В целях устранения влияния случайных факторов на основе рассчитанных сезонных колебаний определяются индексы сезонности товарооборота по кварталам года:

 

где  - первоначальный индекс сезонности i- го квартала, %;

n - количество лет.

 

 

 

 

Сумма индексов сезонности за четыре квартала должна быть равна 400,0%, так как при отсутствии влияния сезонных факторов индекс каждого квартала равен 100,0%.

Таблица 11 Расчет индексов сезонности товарооборота торгового предприятия ЗАО «Тандер» по кварталам года (%)

Кварталы

Сумма сезонных колебаний, ∑Сi

 (%)

425,3

85,1

II квартал

464,6

92,9

III квартал

515,2

103,0

IV квартал

595.1

119,0

-

400,0


Индекс сезонности показывает, на сколько процентов отклоняется товарооборот данного квартала от среднеквартальной величины в ту или иную сторону под влиянием факторов сезонного характера.

Объем товарооборота по кварталам на планируемый год определяется умножением среднеквартального товарооборота планируемого года на первоначальный индекс сезонности соответствующего квартала и делением на 100%:

 

где  - товарооборот i - го квартала планируемого года, тыс. руб.;

 - среднеквартальный товарооборот планируемого года, тыс. руб.;

 - первоначальный индекс сезонности i - го квартала, %.

В свою очередь среднеквартальный розничный товарооборот планируемого года составит:

 

где  - объем товарооборота торгового предприятия в планируемом году, тыс. руб.

Имеем по торговому предприятию ЗАО «Тандер» на планируемый год:

 

 

 

 

 

Основные направления совершенствования политики управления товарооборотом торгового предприятия

Управление товарооборотом, обеспечивает экономическую основу всей деятельности торгового предприятия, так как товарооборот характеризует основной объемный показатель этой деятельности. Эта функция является наиболее массовой и требует постоянной разработки управленческих решений на всех уровнях деятельности торгового предприятия. В процессе реализации этой функции проводятся анализ и прогнозирование торговой конъюнктуры, осуществляется планирование объема и состава товарооборота, нормирование и планирование товарных запасов, планирование объема и состава закупки и поступления товаров.

Система управления товарооборотом на предприятии определяет конкретное содержание этого управления и последовательность его осуществления, которое заключается в:

·        оценке и прогнозирования конъюнктуры потребительского рынка;

·        планировании объема и структуры реализации товаров;

·        нормировании и планировании товарных запасов;

·        планировании поступления и закупки товаров.

В связи с циклическим развитием и постоянной изменчивостью потребительского рынка необходимо систематически изучать его конъюнктуру в разрезе отдельных видов и сегментов с тем, чтобы сформировать эффективную политику управления товарооборотом и определять возможности развития его объема и структуры.

Изучение конъюнктуры потребительского рынка в процессе управления товарооборотом торгового предприятия охватывает следующие три этапа:

·        текущее наблюдение за рыночной активностью требует формирования целенаправленной системы показателей, характеризующих отдельные его элементы. Среди этих показателей особое внимание должно быть уделено динамике объема розничного товарооборота в регионе в разрезе отдельных групп товаров (этот показатель отражается статистикой); динамике среднего уровня цен и размера ценового диапазона по наблюдаемым товарам; изменению числа пунктов продажи данного товара в регионе и некоторым другим;

·        оценка текущей конъюнктуры потребительского рынка осуществляется в процессе анализа, основная цель которого состоит в выявлении особенностей конкретных изменений, которые происходят на них в момент наблюдения по сравнению с предшествующим периодом;

·        прогнозирование конъюнктуры потребительского рынка, так как в условиях нестабильности экономического развития страны, отсутствия достоверной информации и по ряду других причин прогнозирование конъюнктуры ограничивается в настоящее время краткосрочным и среднесрочным периодом, что вполне достаточно для целей планирования товарооборота. Это прогнозирование осуществляется обычно двумя основными методами: факторным и трендовым.

Факторный метод прогнозирования конъюнктуры основан на изучении отдельных факторов, влияющих на спрос, предложение, цены и конкуренцию на рынке конкретного товара, и определении возможного изменения этих факторов в предстоящем периоде.

Трендовый метод прогнозирования конъюнктуры основан на распространении выявленной в процессе ранее проведенной оценки конъюнктурной тенденции на предстоящий период.

Планирование объема и структуры реализации товаров представляет наиболее ответственный этап в системе экономического управления товарооборотом. Это объясняется высокой ролью этих показателей в системе планов экономического и финансового развития предприятия.

Управление товарооборотом торгового предприятия непосредственно связана с формированием стратегии развития торгового предприятия и обеспечением эффективной ее реализации. В наиболее общем виде под управлением товарооборотом следует понимать формирование системы долгосрочных целей деятельности торгового предприятия и выбор наиболее эффективных путей их достижения.

Формирование стратегии торгового предприятия является довольно сложным творческим процессом, требующим высокой квалификации исполнителей. Прежде всего, формирование этой стратегии базируется на прогнозировании отдельных условий деятельности торгового предприятия, в первую очередь, конъюнктуры потребительского рынка в целом и избранного его сегмента, что является довольно трудоемким процессом. Сложность этого процесса заключается и в том, что при формировании стратегии торгового предприятия идет обширный поиск и оценка альтернативных вариантов стратегических управленческих решений, наиболее полно соответствующих миссии торгового предприятия и задачам его развития. Определенная сложность формирования стратегии торгового предприятия заключается также в том, что она не является неизменной, а требует периодической корректировки с учетом меняющихся условий внешней среды и возникающих новых возможностей развития торгового предприятия.

К числу основных стратегических целей торгового предприятия могут быть отнесены:

·        расширение сегмента потребительского рынка, охватываемого деятельностью торгового предприятия;

·        поиск и ускоренное заполнение новых рыночных ниш;

·        существенное повышение уровня торгового обслуживания покупателей;

·        рост суммы прибыли и уровня рентабельности торговой деятельности;

·        снижение уровня хозяйственных рисков;

·        рост суммы собственного капитала и повышение рыночной стоимости предприятия.

Оценка разработанной стратегии торгового предприятия проводится по следующим основным параметрам:

·        согласованность стратегии с внешней средой. В процессе этой оценки определяется насколько разработанная стратегия торгового менеджмента соответствует прогнозируемым изменениям экономики страны, правовым условиям деятельности торговых предприятий, а также конъюнктуре потребительского рынка;

·        внутренняя сбалансированность стратегии. В процессе такой оценки определяется насколько согласуются между собой отдельные стратегические цели и политики торгового менеджмента, а также мероприятия по обеспечению реализации стратегии. При этом особое внимание обращают на их непротиворечивость, логическую последовательность и согласованность во времени;

·        реализуемость стратегии с учетом имеющегося ресурсного потенциала предприятия. В процессе такой оценки в первую очередь рассматриваются потенциальные возможности торгового предприятия в формировании финансовых ресурсов за счет собственных источников для обеспечения всех намеченных направлений его развития. Кроме того, оценивается уровень квалификации персонала и его технической оснащенности с позиций возможности реализации избранной стратегии;

·        приемлемость уровня рисков, связанных с реализацией стратегии. Переход к новому качеству и росту объемов торговой деятельности сопровождается, как правило, возрастанием уровня всех основных видов хозяйственных рисков, особенно финансовых и инвестиционных. Поэтому в процессе оценки необходимо определить насколько уровень этих рисков является допустимым для деятельности торгового предприятия с позиций их возможных негативных финансовых последствий;

·        результативность стратегии. Оценка результативности стратегии торгового менеджмента базируется прежде всего на определении экономической эффективности ее реализации. Наряду с этим оцениваются и внеэкономические результаты, достигаемые в процессе реализации этой стратегии (рост деловой репутации торгового предприятия; повышение уровня управляемости структурными единицами и подразделениями; рост уровня торгового обслуживания и имиджа предприятия у покупателей; улучшение психологического климата на предприятии и условий труда персонала и т.п.).

Разработка стратегии торгового предприятия позволяет принимать эффективные управленческие решения во всех сферах деятельности торгового предприятия, связанные с его развитием в перспективном периоде. Основные положения разработанной стратегии торгового предприятия получают свое отражение в бизнес-плане развития торгового предприятия. Необходимость разработки данного документа связана с тем, что в современных экономических условиях торговые предприятия не могут обеспечивать свое стратегическое развитие только за счет внутренних финансовых ресурсов и привлекают для этого значительный объем внешнего финансирования, особенно на инвестиционные цели. В то же время любой крупный инвестор должен иметь четкое представление о стратегии бизнеса, его масштабах и формах, важнейших показателях маркетинговой, экономической и финансовой деятельности; объеме финансовых ресурсов, связанных с реализацией стратегии, и сроках возврата инвестиций; рисках, связанных с реализацией стратегии развития торгового предприятия, и других характеристиках его деятельности.

ЗАКЛЮЧЕНИЕ

Подводя итоги курсовой работы, можно следующие выводы:

Товарооборот является одним из основных экономических показателей хозяйственной деятельности торгового предприятия.

Товарооборот характеризует процесс движения товаров через акты купли-продажи. Как экономическая категория товарооборот характеризуется наличием одновременно двух признаков: товара как объекта продажи и продажи как формы движения товара от производителя к потребителю.

К показателям, которые характеризуют товарооборот торгового предприятия, относятся: объем товарооборота в стоимостном выражении по текущим ценам; объем товарооборота в стоимостном выражении по сравнительным ценам; ассортиментная структура товарооборота по отдельным группам товаров (руб., проценты); однодневный объем товарооборота (руб.); объем товарооборота в расчете на одного работника, в том числе работника торговой группы; объем товарооборота на общей площади, в том числе торговой площади; время обращения товаров; скорость товарооборота (количество оборотов).

Также мною были выявлены факторы, под влиянием которых развивается товарооборот. Они делятся на две группы - экстенсивные и интенсивные.

Такие экстенсивные факторы, как покупательные фонды населения, товарные ресурсы, численность обслуживаемого населения, не зависят от деятельности торговых организаций и складываются под влиянием развития экономики страны в целом. Интенсивные факторы зависят в большой степени от эффективности деятельности торговых организаций.

К экстенсивным относятся факторы, которые связаны с количественным, а не с качественным приростом результативного показателя, например увеличение объема товарооборота путем увеличения торговой площади, увеличения объема товарных запасов, количества рабочих и т.д.

В практической части работы был проведен анализ динамики и структуры, факторный анализ товарооборота торгового предприятия ЗАО «Тандер», а также мною был спланирован товарооборот по кварталам и выявлены основные направления совершенствования политики управления товарооборотом торгового предприятия ЗАО «Тандер».

На объем товарооборота торгового предприятия оказывает влияние большое число факторов. Они подразделяются на три группы:

•        факторы, связанные с товарными ресурсами;

•        факторы, связанные с численностью работников и производительностью их труда;

•        факторы, связанные с наличием и эффективностью использования основных фондов торгового предприятия и режимом его работы.

Было рассчитано влияние на объем товарооборота факторов, связанных с товарными ресурсами; трудовыми ресурсами; эффективным использованием рабочих мест и режима работы предприятия, на примере торгового предприятия ЗАО «Тандер»

В целом можно сделать вывод, что у этой компании есть огромное желание расти и соответствовать потребностям и желаниям каждого покупателя. Они стремимся к тому, чтобы развивать и совершенствовать новые идеи, новые возможности.

БИБЛИОГРАФИЧЕСКИЙ СПИСОК

1 Кравченко, Л.И. Анализ хозяйственной деятельности в торговле: Учебник/ Л.И. Кравченко - 6-е изд., перераб. - М.: Новое знание, 2003. - 526 с.

Головачев, А.С. Экономика предприятия. В 2ч. Ч. 1: учеб. пособие / А.С. Головачев. - Мн: Выш. шк., 2008. - 447 с.

Интенсификация производства - Экономическая география [Электронный ресурс]

Баканов, М.И. Анализ хозяйственной деятельности в торговле / М. И. Баканов. - М. : Экономика, 2000 - 356 с.

Валевич, Р.П., Давыдова, Г.А. Экономика торгового предприятия: учебное пособие. - Мн.: Выш. шк., 1996. - 367с

Семенов, В.М. Экономика предприятия: учебник / В.М. Семенов, И.А. Баев и др.; под общ. ред. Семенова В.М. - 2-е изд., испр. - М:.Центр экономики и маркетинга, 2000. - 306с

Соловьев Б.А. .Экономика торговли: учебник для торг. вузов / Б.А. Соловьев, Л.А. Алькевич, В.И. Андросов и др.; Рук. авт. Коллектива Б.А. Соловьев. - М.: Экономика 1990. - 414 с.

8 Соломатин А.Н. Экономика, анализ и планирование на предприятии торговли. - Издат.: ПИТЕР, 2009;

Скляренко В.К. Экономика предприятия / В.К. Скляренко, В.М. Прудников - изд. «ИНФРА-М», 2006;

Ковалёв В.В., Волкова О.Н. Анализ хозяйственной деятельности предприятия. Учебник. М.: Проспект, 2007.

Любушин Н.П. Анализ финансово-экономической деятельности предприятия: Учеб. пособие для вузов/Под ред. проф. Н.П. Любушина. - М.: ЮНИТИ-ДАНА, 1999.-471с.

Экономика торгового предприятия: Торговое дело: Учебник для вузов / ред. Брагин Л.А. - М.: ИНФРА-М, 2004. - 314 с

Экономика торгового предприятия: учебник для вузов / под ред. А.И. Гребнева. - М. : Экономика, 2006. - 238 с.

Пястолов С.М. Экономический анализ деятельности предприятий: учеб. пособие для вузов. - М.: Академический Проект, 2004. - 576 с

15 Справочная правовая система «Гарант» [Электронный ресурс] - Режим доступа: <http://www.garant.ru/>.

Экономический словарь. Товарооборот [Электронный ресурс] - Режим доступа: <http://www.ekoslovar.ru/428.html>.

Анализ финансового состояния предприятия. Система показателей товарооборота и их анализ [Электронный ресурс] - Режим доступа: <http://afdanalyse.ru/publ/finansovyj_analiz/1/sistema_pokazatelej_tovarooborota_i_ikh_analiz/5-1-0-15>.

Бусел. Информационный портал. Планирование: Анализ товарооборота [Электронный ресурс] - Режим доступа: <http://busel.org/texts/cat9az/id5fwuedt.htm>.

www.Grandars.ru <http://www.Grandars.ru>. Анализ товарных запасов и оборачиваемости товаров [Электронный ресурс] - Режим доступа: <http://www.grandars.ru/college/ekonomika-firmy/tovarnye-zapasy.html>.

Губина, О.В. Анализ финансово-хозяйственной деятельности: практикум / О.В. Губина, В.Е. Губин. - М.: ИД «Форум»: ИНФРА-М, 2012. - 192 с.

Библиотекарь.Ру. Задачи и методы анализа и оценки товарооборота [Электронный ресурс] - Режим доступа: <http://bibliotekar.ru/torgovoe-delo/40.htm>.

Яковлева, А.В. Экономическая статистика: учебное пособие / А.В. Яковлева. - М: РИОР, 2011. - 95 с.

Экономика и финансы. Факторный анализ розничного товарооборота [Электронный ресурс] - Режим доступа: <http://www.economedu.ru/economanaliz/250-upravlenie-analiz-torgovli.html?start=3>.

Arhitrade. Сайт для начинающих в торговле. Классификация товарооборота [Электронный ресурс] - Режим доступа : <http://arhitrade.com/education.php?Id=12>.

Экономика торговли. Товарооборот [Электронный ресурс] - режим доступа: <http://eokd.tolgas.ru/euk/et/4.htm>.

Похожие работы на - Мероприятия по совершенствованию управления товарооборотом торгового предприятия

 

Не нашли материал для своей работы?
Поможем написать уникальную работу
Без плагиата!
Без нейросетей!