Организация производства детали 'Стойка' на механическом участке
Организация
производства детали "Стойка" на механическом участке
Содержание
организация производственный процесс
механический
Введение
1 Организация производственного
процесса участка
1.1 Обоснование типа производства
1.2 Определение годового объема
работ
.3 Определение количества деталей,
обрабатываемых на участке
1.4 Определение потребного
количества оборудования и коэффициента его использования
1.5 Определение численности рабочих
1.5.1 Расчет численности основных
производственных рабочих
1.5.2 Расчет численности
вспомогательных рабочих, специалистов и служащих на участке
.5.3 Определение общей численности
рабочих на участке
1.6 Расчет годового фонда заработной
платы работающих на участке
1.6.1 Расчет фонда заработной платы
основных производственных рабочих
1.6.2 Расчет фонда заработной платы
вспомогательных рабочих
.7 Расчет стоимости основных фондов
1.7.1 Определение стоимости
производственных площадей
1.7.2 Определение стоимости
служебно-бытовых помещений
1.7.3 Стоимость инструмента и приспособлений
и инвентаря
2 Экономические расчеты
2.1 Расчет материальных затрат
.2Расчет себестоимости продукции
Заключение
Список литературы
Введение
Данная курсовая работа представляет собой
теоретическую разработку по организации участка механического цеха с
технико-экономическими обоснованиями и необходимыми расчетами.
В основу моего задания положена деталь,
технология изготовления которой предусмотрена в курсовой работе по предмету
«Технология машиностроения».
В производственных расчетах использованы нормативные
данные базового предприятия с учетом современного состояния цен, издержек
производства и организации работы участка.
Имеются все необходимые расчеты, связанные с
определением издержек производства и организации работы участка.
В заключение дана общая характеристика работы
данного участка механического цеха, сделаны соответствующие выводы и даны
рекомендации по улучшению работы.
1. Организация производственного процесса
участка
.1 Обоснование типа производства
В зависимости от ширины номенклатуры,
регулярности, стабильности и объема выпуска изделий необходимо определить тип
производства. При массе детали 3,5 кг и программе выпуска 51102 штук, тип
производства - крупносерийное.
Серийное производство характеризуется
ограниченной номенклатурой изделий, изготовляемых периодически повторяющимися
партиями и сравнительно большим объемом выпуска. При серийном производстве
используются универсальные станки, оснащенные как специальными, так и
универсальными и универсально-сборными приспособлениями, что позволяет снизить
трудоемкость себестоимости изготовления изделий. В серийном производстве
технологический процесс изготовления преимущественно дифференцирован, то есть
расчленен на определенных станках.
Количество деталей в партии определяется по
формуле:

, (1)
где N
- размер годовой программы выпуска деталей, N=51102шт.;
t - число деталей,
на которое нужно иметь запас деталей на складе, t=10шт.;
Фу - число рабочих дней в году, Фу=250дней
при двух днях отдыха в неделю и продолжительности рабочей смены 8ч.

.
1.2 Определение годового объема
работ
Для расчета технико-экономических
показателей участка необходимо определить годовой объем работ в нормо-часах по
каждому виду работ (токарная, сверлильная). На участке серийного типа
производства изготавливается несколько десятков наименований деталей.
Поэтому необходимо определить
трудоемкость не только заданной детали, но и трудоемкость всех других деталей,
которая определяется через коэффициент, который определяется по формуле:
(2)
где - годовая мощность участка, =100000;

- годовая программа выпуска
деталей, 
=51102шт.;
m - число
операций технологического процесса;

- сумма штучно-калькуляционного
времени по всем операциям технологического процесса, 
=0,23ч;
Расчет годовой трудоемкости по видам
работ приводится в таблице 1.
Таблица1 - Годовая трудоемкость по
видам работ
1.3 Определение количества деталей,
обрабатываемых на участке.
(3)

.
При равномерном в течение года выпуске продукции
mд = Кз.о
(коэффициент закрепления операции). Кз.о. служит показателем типа
производства:
для массового производства Кз.о. = 1;
для крупносерийного производства 2 ≤ Кз.о.
≤ 10;
для среднесерийного производства 11 ≤ Кз.о.
≤ 20;
для крупносерийного производства 21 ≤ Кз.о.
≤ 40.
Вывод: тип производства -
крупносерийный.
1.4 Определение потребного количества
оборудования и коэффициента его использования
Исходя из годовой трудоемкости работ, рассчитаем
потребное количество оборудования для каждой операции отдельно:
(4)
где Sрасч
- расчетное количество оборудования;
Тгод - годовая общая трудоемкость работ
; Кв - коэффициент выполнения норм рабочим, Кв=1,1;
Fд
- действительный фонд времени работы единицы оборудования за год;

(5)
где Дпл - количество рабочих дней в
планируемом периоде, Дпл=250дней;
Тсм - продолжительность смены, Тсм
= 8ч;
q - число смен
работы, q=2;
Поб - процент плановых потерь времени
на ремонт оборудования, Поб=2,2%;

.

.

.

.

.

.

.

.

.

.
Полученные значения количества
единиц оборудования округляются до целого числа (в большую сторону), которое
называется принятым числом станков. Если полученное дробное число превышает
целое не более, чем на 8-10 %, его следует округлять до меньшего целого.
Перегрузка станка может быть
компенсирована повышением режима обработки или повышением оснастки, уменьшающей
вспомогательное время.
Коэффициент использования
оборудования определяется отдельно для каждой операции:
(6)
где Sрасч
- расчетное количество оборудования;
Sприн
- принятое количество оборудования;

.

.

.

.

.

.

.

.

Таблица 2 -
Потребное количество оборудования и коэффициенты его использования.
|
Nоп
|
Тип и модель оборудования
|
Тгод,ч
|
Fд,ч
|
Sрасч,шт
|
Sприн,шт
|
Ки
|
|
010
|
Вертик.-фрезер. станок; 6Р13
|
3066
|
3912
|
0,78
|
1
|
0,78
|
|
015
|
Вертик.-фрезер. станок;6Р13
|
3066
|
3912
|
0,78
|
1
|
0,78
|
|
020
|
Вертик.-фрезер. станок;6Т13
|
3066
|
3912
|
0,78
|
1
|
0,78
|
|
025
|
Вертик.-фрезер. станок;6Р13
|
3066
|
3912
|
0,78
|
1
|
0,78
|
|
030
|
Вертикально -сверлильный станок;2H118
|
1533
|
3912
|
0,36
|
1
|
0,36
|
|
035
|
Вертикально -сверлильный станок;2H118
|
1533
|
3912
|
0,36
|
1
|
0,36
|
|
040
|
Радиально-сверлильный станок ГС544
|
1533
|
3912
|
0,36
|
1
|
0,36
|
|
045
|
Радиально-сверлильный станок ГС544
|
1533
|
3912
|
0,36
|
1
|
0,36
|
|
050
|
Радиально-сверлильный станок ГС544
|
1533
|
3912
|
0,36
|
1
|
0,36
|
Средний коэффициент
использования оборудования по участку определяется по формуле:

, (7)

.
Этот коэффициент не
должен быть больше и равен «1», так как в этом случае указывается на возникшее
узкое место «оборудование перегружено», что ставит под угрозу исполнение
запланированного производства или объема работы.
Результаты расчетов
сводим в таблицу 2.
Таблица 3 -
Ведомость станков на участке
|
Наимен.станков
|
Тип, марка станка
|
Кол-во станков
|
К-т загрузки
|
Стоимость,тыс руб.
|
Стоимость монтажа и трансп., тыс. руб.
|
Полная стоимость,тыс. руб.
|
|
|
расч.
|
прин.
|
|
одного станка
|
всех станков
|
|
|
|
Фрезерный
|
Вертикфрезер.6Р13
|
0,78
|
1
|
0,78
|
1 500000
|
1 500000
|
1 50000
|
1650000
|
|
Фрезерный
|
Вертикфрезер.6Р13
|
0,78
|
1
|
0,78
|
1 500000
|
1 500000
|
1 50000
|
1650000
|
|
Фрезерный
|
Вертикфрезер.6Р13
|
0,78
|
1
|
0,78
|
1 500000
|
1 500000
|
1 50000
|
1650000
|
|
Фрезерный
|
Вертикфрезер.6Р13
|
0,78
|
1
|
0,78
|
1 500000
|
1 500000
|
1 50000
|
1650000
|
|
Сверл.
|
Сверл.;2H118
|
0,36
|
1
|
0,36
|
40000
|
40000
|
4000
|
44000
|
|
Сверл.
|
Сверл.;2H118
|
0,36
|
1
|
0,36
|
40000
|
40000
|
4000
|
44000
|
|
Сверл.
|
Рад.сверл.;ГС544
|
0,36
|
1
|
0,36
|
40000
|
40000
|
4000
|
44000
|
|
Сверл.
|
Рад.сверл.;ГС544
|
0,36
|
1
|
0,36
|
40000
|
40000
|
4000
|
44000
|
|
Сверл.
|
Рад.сверл.;ГС544
|
0,36
|
1
|
0,36
|
40000
|
40000
|
4000
|
44000
|
|
Итого
|
5
|
4,01
|
6200000
|
6200000
|
6200000
|
6820000
|
Потребное
количество вспомогательного оборудования, входящего в состав ремонтной службы,
можно рассчитать следующим образом. В начале укрупнено определить общую
стоимость вспомогательного оборудования из расчета 10-15% от стоимости
основного, а затем выбрать необходимый тип станков ремонтной базы, можно
определить их количество.
Стоимость монтажа и
транспортирования - 10% от стоимости оборудования, в том числе и стоимости
фундамента.
Общая стоимость
вспомогательного оборудования укрупнено определяется из расчета 10% от
стоимости основного оборудования.
Общая стоимость
основного и вспомогательного оборудования состоит:
1.5 Определение
численности рабочих
.5.1 Расчет
численности основных производственных рабочих
Число основных
производственных рабочих рассчитывается по трудоемкости или расстановочным
путем, исходя из количества рабочих мест.
Расчет числа
рабочих по трудоемкости производится раздельно по разрядам и профессиям по
формуле:
(8)
где Рр -
расчетное кол-во основных производственных рабочих;
Тгод -
годовая трудоемкость рабочих по разрядам и профессиям;
Кв -
коэффициент выполнения норм, (Кв = 1,05-1,25);
mc - кол-во станков, обслуживаемых одним рабочим;
Fэф - эффективный годовой фонд рабочего времени;
(9)
где Дпл
- количество рабочих дней в году, Дпл=250дней;
Тсм -
продолжительность смены, Тсм=8ч.;
П - процент
плановых потерь времени рабочим (болезни, отпуск, выполнение государственных
обязанностей), П=10%;

.

.

.

.

.

.

.

.

.
Результаты расчетов
сводим в таблицу4.
Таблица 4 - Состав
основных производственных рабочих участка
|
Наименов. профессии
|
Кол-во оборуд.
|
Число рабочих
|
Всего рабочих
|
По сменам
|
|
|
3 р.
|
4 р.
|
5 р.
|
|
1
|
2
|
|
фрезеровщик
|
4
|
2
|
2
|
|
4
|
2
|
2
|
|
сверловщик
|
5
|
5
|
|
|
5
|
3
|
2
|
|
Итого
|
|
7
|
2
|
|
9
|
5
|
4
|
Рассчитывается
средний разряд основных производственных рабочих:

, (10)
где i -
тарифный разряд основных производственных рабочих;
P - количество рабочих соответствующего разряда;
∑Рn - общее количество производственных рабочих;

.
Производительность
труда основных производственных рабочих определяется по формуле:
(11)
где - годовая общая
трудоемкость работ;
∑Рр
- количество основных производственных рабочих;
.5.2 Расчет
численности вспомогательных рабочих, специалистов и служащих на участке
Состав
вспомогательных рабочих на участке в соответствии со штатным расписанием может
быть следующим:
наладчики (4-6
разряды)
слесари по ремонту
оборудования (3-5 разряды)
дежурные электрики
(4-5 разряды)
раздатчики
инструмента (1-2 разряды)
транспортные
рабочие (1-2 разряды)
контролеры (4-5
разряды)
распреды (2-3
разряды)
уборщицы
- мастера
- технологи
Количество рабочих,
обслуживающих оборудование, определяется из норм обслуживания:
(12
где Sпр -
принятое количество станков;
Кн -
коэффициент, учитывающий невыходы на работу
по уважительным
причинам, Кн=0,96;
Ксм -
коэффициент сменности оборудования, Ксм=2;
Нобс -
норма обслуживания оборудования на одного рабочего
данной профессии в
смену.
Норма обслуживания
выбирается:
для наладчиков 5-7
единиц оборудования;
для
слесарей-ремонтников 10-12 единиц оборудования.
4.
2.
Количество
остальных вспомогательных рабочих определяется по нормативам относительно
численности основных производственных рабочих:
распреды 1 человек
на 25 основных производственных рабочих;
контролеры 1
человек на 25 основных производственных рабочих;
раздатчики
инструмента (кладовщицы) 1 человек на 25-100 основных производственных рабочих;
транспортные
рабочие (грузчики) 1 человек на 25-100 основных производственных рабочих;
сменный мастер в
условиях серийного производства назначается при наличии не менее 25 человек, в
условиях крупносерийного - не менее 40 человек;
старший мастер
назначается при наличии 2-3 сменных мастеров;
технолог
назначается при наличии в производстве от трех до пяти наименований деталей.
Назначаем двух
мастеров и одного технолога.
1.5.3 Определение
общей численности работников на участке.
Общая численность
работников на участке определяется суммированием числа основных и
вспомогательных производственных рабочих:
, (13)
.
Определяем общий
уровень производительности труда работающих на участке:
,
(14)
где ∑Тгод
- годовая общая трудоемкость работников по участку;
∑Р -
суммарное количество принятых работников по всем категориям;
.6 Расчет годового
фонда заработной платы работающих на участке
.6.1 Расчет фонда
заработной платы основных производственных рабочих
Годовой фонд
заработной платы работающих на участке определяется для каждой категории
отдельно. Годовой фонд заработной платы основных производственных рабочих
состоит из основного и вспомогательного фондов. Основной фонд состоит из
тарифного фонда и доплат, включающихся в часовой фонд заработной платы.
Тарифный фонд заработной платы производственных рабочих определяется по
специальному расчету, так как на участке для этой группы работников применяются
отдельно премиальные оплаты труда. Расценка представляет собой размер оплаты за
каждую единицу работы.
Тарифный фонд
заработной платы определяется по формуле:
,(15)
где ЗТо
- тарифный фонд заработной платы за год;
∑Тгод
- суммарная трудоемкость на участке;
Сср -
среднечасовая тарифная ставка;

(16)
где С1,С2,Сn - часовая тарифная ставка соответствующих разрядов;
R1,R2,Rn - количество рабочих, соответствующих разряду;
∑Rn - общее количество рабочих на участке;
Основной фонд
заработной платы рассчитывается по формуле:
,(17)
где Кд -
коэффициент, определяющий размер доплат, Кд=1,4;
П - премия, которая
берется 10% от ЗТо, она выплачивается на 100% выполнения задания со
сдачей продукции с первого предъявления или за экономию.
Для определения
общего годового фонда заработной платы необходимо к основному фонду рассчитать
дополнительную заработную плату, которая включает в себя оплату очередных и дополнительных
отпусков, оплату льготных часов подросткам, оплату по государственным
обязательствам.
Дополнительная
заработная плата принимается в размере 10-11% от основной заработной платы.
Общий годовой фонд
заработной платы основных производственных рабочих определяется по формуле:
.
где Зосн
- основной фонд заработной платы;
Здоп -
дополнительная заработная плата;
После расчета
годового фонда заработной платы основных производственных рабочих определяется
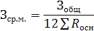
размер отчислений на социальное страхование. Расчеты по фонду заработной платы
основных производственных рабочих заканчиваются определением среднемесячной
заработной платы.
где Зобщ
- общий годовой фонд заработной платы основных производственных рабочих;
∑Rосн -
общее количество основных производственных рабочих.
.
1.6.2
Расчет фонда заработной платы вспомогательных рабочих
Расчет
тарифного фонда заработной платы вспомогательных рабочих, находящихся на
повременной оплате, определяется по формуле:
(20)
где Сср
- среднее число тарифных ставок рабочего-повременщика;
Fэф - эффективный годовой фонд работы одного рабочего;
Rвсп.повр. - общее количество вспомогательных рабочих, находящихся
на повременной оплате на участке.
Рабочим-повременщикам,
находящимся на повременной оплате на участке, являются наладчики 5 разряда 2
человека и слесарь-ремонтник 6 разряда 2 человека.
,(21)
.
Основной фонд
заработной платы вспомогательных рабочих-повременщиков рассчитывается по
формуле:
, (22)
.
где Кд -
коэффициент, определяющий размер доплат, Кд=1,4
П - премия, которая
берется в размере 10% от ЗТв;
Дополнительная
заработная плата вспомогательных рабочих-повременщиков принимается в размере
10-11% от основной заработной платы рабочих-повременщиков.
Общий годовой фонд
заработной платы вспомогательных рабочих-повременщиков определяется по формуле:

(23)
где Зосн
- основной фонд заработной платы вспомогательных рабочих-повременщиков;
.
Здоп -
дополнительная заработная плата вспомогательных рабочих-повременщиков;
Определяем
среднемесячную заработную плату вспомогательных рабочих-повременщиков:
,(24)
где Зобщ
- общий годовой фонд заработной платы вспомогательных
рабочих-повременщиков;
∑Rосн -
общее количество вспомогательных рабочих-повременщиков;

Расчет
фонда заработной платы вспомогательных рабочих, находящихся на окладной системе
оплаты труда, производится по формуле:

, (25)
где - месячный
оклад вспомогательных рабочих i-ой профессии;

-
списочная численность вспомогательных рабочих, находящихся на окладной системе;
к -
количество наименований профессий вспомогательных рабочих, находящихся на
окланой системе. 
На
окладной системе оплаты труда находятся ИТР: 2 мастера и 1 технолог.

;
Результаты
расчетов сводим в таблицу5.
Таблица
5 - Сводная ведомость фондов заработной платы
|
Категория работающих
|
Кол-во
|
Фонд осн. зар. платы
|
Фонд дополн.зар. платы
|
Всего фондзар. платы
|
|
Основные произв. рабочие на сдельной оплате
|
9
|
|
4666
|
73660
|
|
Вспомог. рабочие: -повременщики (наладчики,
сл.-ремонтн.) -ИТР (инж.-тех. рабочие)
|
4 4
|
|
2287 14520
|
30367 152520
|
|
Итого
|
256547
|
.7 Расчет стоимости
основных фондов
К основным фондам
относят здания, подсобные сооружения, оборудование, транспортные средства,
инструмент и приспособления, производственный и хозяйственный инвентарь.
Стоимость основных
фондов определяется по формуле:

(27)
где Сзд
- стоимость зданий;
Соб -
стоимость оборудования;
Стр -
стоимость транспортных средств;
Сприсп -
стоимость приспособлений и инструмента;
Синв -
стоимость производственного и хозяйственного инвентаря.
.7.1 Определение
стоимости производственных площадей
Производственные
площади рассчитываются с учетом габаритов оборудования, исходя из площадей,
включаемых в зону рабочего времени, а также с учетом транспортных разделов и требования
противопожарной безопасности.
Производственная
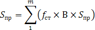
площадь определяется по формуле:

(28)
где fст -
площадь станка по габаритам;
В - коэффициент,
учитывающий дополнительную площадь;
Sприн - принятое количество станков.
При отсутствии
данных о габаритах станка производственную площадь можно определить по формуле:
(29)
где Sуд.i -
удельная площадь на единицу оборудования;
Qоб.i - количество видов оборудования.
Среднюю удельную
площадь можно принять:
для малых станков
0-15м2
для средних станков
15-25м2
для крупных станков
30-45м2

.

.

Общая
площадь включает в себя производственную, вспомогательную и служебно-бытовую и
составляет 1,25-1,32 от производственной площади:

.
Стоимость
производственных площадей определяется по формуле:

(30)
где Цпл
- стоимость 1м2 площади цеха (одноэтажные здания с железобетонной
несущей конструкцией 1м2=1200руб., многоэтажные здания 1м2=1700руб.,
для служебных и вспомогательных помещений 1м2=1500руб.)
Sпр - производственная площадь;
.
.7.2
Определение стоимости служебно-бытовых помещений.
; (31)
.
Стоимость здания
определяется по формуле:
; (32)
.
Стоимость
здания определяется по формуле
; (31)
.
Стоимость здания
определяется по формуле:
; (32)
.
1.7.3 Стоимость
инструмента и приспособлений и инвентаря
Стоимость
оборудования берется из таблицы 3 за исключением стоимости слесарно-сборочного
оборудования, верстаков и т.д.
Стоимость инструмента
и приспособлений определяется по формуле:
; (33)
=
руб.
Стоимость
производственного и хозяйственного инвентаря:
, (34)
где Спроч.инв -
стоимость прочего инвентаря.
, (35)
.
Результаты расчетов
сводим в таблицу 6.
Таблица 6 -
Стоимость основных производственных фондов
|
Наименование
|
Стоимость, руб.
|
|
Здания
|
|
|
Оборудование
|
|
|
Инструмент и приспособления
|
|
|
Инвентарь
|
|
|
Итого
|
16376657
|
2 Экономические
расчеты
.1 Расчет
материальных затрат
Стоимость основных
материалов, расходуемых на одну деталь, определяется по формуле:

(36)
где Ц - оптовая
цена материала;
mз - норма расхода материала на единицу продукции;
Цо -
оптовая цена отходов, которая берется 10% от цены
материалов;
mо - масса реализуемых отходов на единицу продукции;
Стоимость
материалов, расходуемых на весь годовой выпуск продукции, определяется по
формуле:
, (37)
где Nгод - годовая
программа выпуска;
Ктр - коэффициент,
учитывающий транспортно-заготовительные
расходы, (Ктр =
1,02…1,1), Ктр=1,05;
.
Результаты
оформляются в таблице 7.
Таблица 7 -
Стоимость основных материалов
|
Наимен-ие материала
|
Вид заг-ки
|
Масса заг-ки, кг
|
Масса отх., кг
|
Цена 1 кг матер., руб.
|
Цена 1 кготх.,руб.
|
Стоим. заг-ки, руб.
|
Стоим отх. руб.
|
Стоим. мат-ла на одну деталь, руб.
|
Стоим. матер. на весь годов. выпуск, руб.
|
|
Углеродистая сталь ст45 ГОСТ 1050-88
|
Литье в кокиль
|
3,6
|
0,19
|
22
|
2,2
|
88,74
|
0,418
|
78,782
|
4227213
|
.2 Расчет
себестоимости продукции
Для определения
цеховой себестоимости заданной детали необходимо составить калькуляцию, которая
позволит определить все необходимые затраты на данный вид продукции.
Себестоимость
продукции представляет собой выраженные в денежной форме все затраты
предприятия на производство и реализацию продукции. Исчисления себестоимости по
статьям расходов называется калькуляцией себестоимости детали. Калькуляция
рассчитывается по следующим статьям затрат:
Основные материалы
СМ
Основная заработная
плата производственных рабочих ЗО
Дополнительная
заработная плата производственных рабочих ЗД
- Отчисления на
социальное страхование Qстр
Расходы на
содержание эксплуатацию оборудования РСЭО
- Цеховые расходы РЦ
Общезаводские
расходы РЗ
Таблица 8 -
Калькуляция цеховой себестоимости детали
|
№
|
Наименование статей калькуляции
|
Сумма затрат, руб.
|
|
|
на деталь
|
на год. программу
|
|
1
|
Материальные затраты
|
58,7
|
4227213
|
|
2
|
Оплата труда осн. произв. рабочих
|
0,9
|
73660
|
|
3
|
Соц. страхование
|
0,29
|
|
|
4
|
Расходы на содержание и эксплуатацию
оборудования
|
1,18
|
|
|
5
|
Цеховые расходы
|
0,9
|
|
|
6
|
Плановая себестоимость
|
61,97
|
5384216
|
Сумма
всех производственных расходов составляет производственную себестоимость.
Транспортные
расходы на материалы принимают в размере 5% от его стоимости.
Отчисления
на социальное страхование составляют 30,1% от суммы основной и дополнительной
заработной платы.
, (38)
К расходам на содержание
и эксплуатацию оборудования относятся затраты на текущий ремонт оборудования,
издержки, связанные с износом инструмента и оснастки, оплата за электроэнергию
и т.д.
, (39)
.
К цеховым расходам
относятся расходы на содержание аппарата управления цехом и прочего персонала,
амортизация и текущий ремонт зданий и сооружений, охрана труда, износ инвентаря
и прочее.
, (40)
.
Плановая
себестоимость будет равна:
(41)
4227213+73660++
=5384216
руб.
Внепроизводственные
расходы включают затраты на тару и упаковку, транспортировку продукции и
прочие, связанные со сбытом продукции. Они определяются в размере 2% от производственной
стоимости.
, (42)
.
Для определения
оптово-отпускной цены нужно определить полную себестоимость:
, (43)
.
Плановая прибыль
обычно составляет 25% от полной себестоимости:
, (44)
.
Оптовая цена
включает в себя сумму полной себестоимости изготовления детали и плановой
прибыли:
, (45)
.
Заключение
Главной задачей
машиностроения является обеспечение всех операций высокоэффективными
механизмами и оборудованием. Необходимо, чтобы производительность машин была более
высокая, а стоимость единицы мощности - низкая.
Для обеспечения
процесса машиностроительной промышленности необходимо:
1. Создать качественно новые орудия труда,
новые материалы и более современную технологию.
. Ускорить темпы обновления и замены устаревшей
техники.
. Налаживать ритмичность производства.
. Повышать квалификацию работников.
. Механизировать трудоемкие работы.
. Снизить количество бездействующего
оборудования.
. Снизить внутрисменные и целодневные
простои оборудования.
. Совершенствовать технологические
процессы.
. Повышать уровень технического состояния
и обеспечения основными средствами.
. Техническое перевооружение отдельных
цехов.
Все это означает, что технологический процесс
следует проектировать, определяя организацию производства. Поэтому при изучении
способов обработки деталей и сборки машин, необходимо учитывать комплекс
экономических вопросов, связанных с машиностроением.
При изготовлении деталей в машиностроении
главной задачей является установление наиболее эффективных и наименее
трудоемких технологических процессов. Для этого обработка деталей должна
обеспечивать выполнение требований их нормальной работы. При увеличении объема
выпуска деталей и уменьшении времени на обработку необходимо применять
быстродействующие приспособления и высокопроизводительное оборудование.
Применение средств контроля является средством предупреждения и исключения
брака, установления активных режимов резания, обеспечивающих высокую
производительность при высоком качестве обрабатываемых поверхностей и отклонение
форм в пределах допуска. Также необходимо активно внедрять новейшие достижения
науки в производстве.
Все это служит для повышения производительности
труда, уменьшения трудоемкости при изготовлении деталей, для повышения сбыта
продукции на рынках труда, а также для снижения себестоимости деталей.
Из полученных данных можно сделать вывод, что
изготовление и производство детали «Стойка» выгодно и технологично для
машиностроения.
Список литературы
1. Кован В.М. Справочник
технолога машиностроения. - 2т. - М.: Машиностроение, 1991.
. Кожевников Н.Н. Основы
экономики и управления. - М.: Издательский центр «Академия», 2004. - 272с.
. Кожевников Н.Н. Экономика и
управление в машиностроении. - М.: Издательский центр «Академия», 2004. - 208с.
. А.Б. Аскеров, Ю.И.
Брынских, А.А. Оглобин и др. Практическое пособие по планированию и
калькулированию себестоимости продукции (работ, услуг). - Екатеринбург:
Издательство АМБ, 2001. -178с.
. Конспекты по предмету
«Экономика отрасли».
. Данные из курсовой по технологии
машиностроения.