Вакуумное напыление

  • Вид работы:
    Курсовая работа (т)
  • Предмет:
    Другое
  • Язык:
    Русский
    ,
    Формат файла:
    MS Word
    658,56 Кб
  • Опубликовано:
    2012-11-22
Вы можете узнать стоимость помощи в написании студенческой работы.
Помощь в написании работы, которую точно примут!

Вакуумное напыление

Содержание

1. Белорусский государственный университет транспорта

.1 История университета

.2 Структура университета

.3 Кафедра "Материаловедение, обработка и упрочнение материалов"

. Вакуумное напыление

.1 Характеристика вакуумного напыления

.2 Реактивный метод нанесения покрытий конденсацией с ионной бомбардировкой (метод КИБ)

. Результаты проведенной работы

.1 Обзор гальванического метода нанесения покрытий

.2 Методика проведения испытаний

.3 Абразивное изнашивание

.4 Изнашивание при трении по стали

.5 Изнашивание при трении по полированной стали

.6 Выводы

Литература

1. Белорусский государственный университет транспорта

 

.1 История университета


В 1953 г. был основан Белорусский институт инженеров железнодорожного транспорта. Первым ректором института был назначен к. т. н., доцент Алексей Алексеевич Петрукович. Первым проректором по учебной и научной работе был Николай Иванович Тышкевич.

Первый учебный год БелИИЖТ начинал, имея в своем составе 3 факультета: механический (декан - Белый В.А.), строительный (декан - Зайцев П.Ф.) и эксплуатационный (декан - Купчинов И.И.); и 8 кафедр: "Высшая математика", "Графика", "Иностранные языки", "Основы марксизма-ленинизма", "Теоретическая механика и сопротивление материалов", "Физвоспитание", "Физика", "Химия".

Первый выпуск был в 1958 г. - 263 человека (из них 22 - отличники).

В июне 1961 г. институт возглавил переведенный с должности начальника Гомельского отделения Белорусской железной дороги Петр Александрович Сыцко и руководил им до 1986 г. Во время его руководства были возведены 3 учебных корпуса, построен жилой дом для преподавателей, общежитие и спортивный комплекс.

В начале 60-х на кафедрах "Вагоны и вагонное хозяйство", "Высшая математика", "Локомотивы и локомотивное хозяйство" и "Эксплуатация железных дорог" открылся набор в аспирантуру. С целью интеграции учебного процесса и научно-исследовательской работы при кафедрах начали образовываться научно-исследовательские лаборатории (НИЛ).

В 1970 г. открылся электротехнический факультет.

В 1986 г. ректором БелИИЖТа назначен д. т. н., профессор Петр Степанович Грунтов.

Построены: малосемейное общежитие, хозяйственный корпус с лабораториями, учебный полигон с выходом на железнодорожные пути ст. Новобелица.

В 1988 г. был образован факультет безотрывного обучения (за счет объединения вечернего (1953 г.) и заочного (1958 г.) факультетов).

В 1989 г. организован факультет профессиональной ориентации и довузовской подготовки.

В 1990 г. открылся гуманитарно-экономический факультет.

В 1993 г. БелИИЖТ получает статус университета - Белорусский государственный университет транспорта (БелГУТ). Начинается обучение на факультете иностранных студентов.

В 1997-2000 годах университетом руководил профессор Валентин Петрович Ярошевич. За эти годы было создано 8 НИЛ.

г. - при БелГУТе создан Научно-исследовательский институт железнодорожного транспорта.

г. - создан Научный центр комплексных транспортных проблем.

С 2001 г. ректором университета является Вениамин Иванович Сенько.

Сегодня БелГУТ является крупным учебно-научным центром, состоящим, собственно, из 3-х институтов: учебного, Научно-исследовательского института железнодорожного транспорта, Института повышения квалификации и переподготовки руководителей и специалистов транспортного комплекса РБ. В БелГУТе функционируют 10 факультетов и 36 кафедр.

1.2 Структура университета


В составе Белорусского государственного университета транспорта можно выделить следующие элементы:

Структуры управления университетом:

1.  Ректорат.

2.       Совет института (университета).

.        Отдел кадров.

.        Учебный отдел.

.        Аспирантура, докторантура.

.        Советы по защите диссертаций.

.        Попечительский совет.

Институт повышения квалификации (ИПК).

Факультеты:

. Безотрывного обучения:

учебно-консультационный пункт г. Барановичи;

учебно-консультационный пункт г. Брест;

учебно-консультационный пункт г. Витебск;

минский региональный учебно-методический центр.

. Военно-транспортный:

кафедры: "Специальной подготовки", "Общевойсковой подготовки".

центр обеспечения учебного процесса;

учебно-полевой центр.

. Гуманитарно-экономический:

кафедры: "Белорусский и русский язык", "Бухгалтерский учет, анализ и аудит", "Иностранные языки", "Экономика", "Философия, история и политология", "Таможенное дело".

НИЛ "Экономический анализ, методология бухгалтерского и налогового учета".

. Иностранных студентов

. Механический:

кафедры: "Вагоны и вагонное хозяйство", "Графика", "Детали машин и подъемно-транспортные механизмы", "Материаловедение, обработка и упрочнение материалов", "Неразрушающий контроль и техническая диагностика", "Тепловозы и тепловозные двигатели", "Техническая физика и теоретическая механика", "Электрический подвижной состав".

НИЛ: "Техническая и технологическая оценка ресурса единиц подвижного состава", "Физика поверхности тонких пленок", "Тормозные системы подвижного состава", Научно-исследовательский центр экологической безопасности и энергосбережения на транспорте.

. Промышленное и гражданское строительство:

кафедры: "Строительные конструкции, основания и фундаменты", "Строительная механика", "Строительное производство", "Архитектура промышленных и гражданских сооружений", "Химия".

НИЛ "Строительные конструкции, основания и фундаменты".

. Профориентации и довузовской подготовки:

подготовительные курсы;

учебно-профориентационный центр.

. Строительный:

кафедры: "Строительство и эксплуатация дорог", "Экология и рациональное использование водных ресурсов", "Прикладная математика, "Физика".

. Управление процессами перевозок:

кафедры: "Изыскание и проектирование транспортных коммуникаций", "Охрана труда", "Информационные технологии", "Управление грузовой и коммерческой работой", "Управление эксплуатационной работой", "Общетранспортные проблемы".

НИЛ: "Управление перевозочным процессом", "Грузовая, коммерческая работа и тарифы", "Комплексная эксплуатация видов транспорта".

. Электротехнический:

кафедры: "Автоматика и телемеханика", "Системы передачи информации", "Микропроцессорная техника и информационно-управляющие системы", "Электротехника", "Высшая математика".

НИЛ "Безопасность и электромагнитная совместимость технических средств".

Подразделения по обеспечению деятельности университета:

1.   Научно-техническая библиотека.

2.       Вычислительный центр.

.        Отдел технических средств обучения.

.        Планово-экономический отдел.

.        Бухгалтерия.

.        Канцелярия.

.        Первый отдел.

.        Эксплуатационно-хозяйственная часть:

служба по ремонту и обслуживанию зданий и сооружений;

служба главного энергетика;

служба механика гаража;

студенческий городок;

хозяйственный отдел;

отдел материально-технического снабжения;

эксплуатационно-технический отдел.

9.   Редакционно-издательский отдел.

10.     Типография.

.        Здравпункт.

Общественные организации:

1. Отдел по воспитательной работе.

2.       Партийная организация.

.        Профсоюзная организация сотрудников университета.

.        Профсоюзная организация студентов.

.        Первичная организация Белорусского республиканского союза молодежи.

.        Студенческий клуб.

.        Организация ветеранов войны и труда.

.        Газета "Вести БелГУТа".

.        Музей.

1.3 Кафедра "Материаловедение, обработка и упрочнение материалов"


Кафедра сформирована 1 июля 1992 г. с целью открытия в БелИИЖТе новой специальности "Оборудование и технология повышения износостойкости и восстановление деталей машин и аппаратов". Кафедры "Теоретическая и прикладная механика" и "Теория механизмов, детали машин и технология металлов" 1 июля 1992 г. были преобразованы в кафедры: "Теория механизмов, детали машин и прикладная механика" (заведующий - д. т. н., профессор Щербаков С. В.) и "Материаловедение, обработка и упрочнение материалов" (д. х. н., профессор Рогачев А. В.).

С кафедры "Физика" была переведена научно-исследовательская лаборатория "Физика поверхностей и тонких пленок" (НИЛ ФПТП), которой с 1992 г. руководил д. х. н., профессор Рогачев А. В., а в настоящее время - доцент Казаченко В.П.

По составу сотрудников и материальной базе основу "МО и УМ" составила кафедра "Технология металлов", организованная в 1956 г. Ее возглавил к. т. н., доцент Макаренко А. М. В 1960 г. кафедры "Технология металлов" и "Вагоны и вагонное хозяйство" были объединены, а в 1964 г. снова организована самостоятельная кафедра "Технология металлов". Ее заведующим был избран к. т. н., доцент Федин А. П., который возглавлял кафедру до 1976 г. В эти годы созданы лаборатории "Сварка", "Оптическая и электронная микроскопия", "Термическая обработка металлов". Успешно развивалось основное научное направление кафедры - разработка сварочных материалов, в частности порошковых проволок и легированных сталей. По договору с ЦНИИ МПС выполнялись исследования и разработаны технологии сварки и наплавки низколегированных сталей, на двух оборонных машиностроительных заводах была усовершенствована технология автоматической сварки узлов летательных аппаратов. Поддерживались тесные научные связи с ИЭС им. Е. О. Патона. Работа по сварке включалась в координационные планы Совета Министров СССР.

В период 1976-1986 гг. кафедру возглавлял к. т. н., доцент Васильев Н. П. Основные направления научных исследований в этот период не изменились. В 1986 г. кафедра "Технология металлов" была объединена с кафедрой "Теория механизмов и детали машин" под названием "Теория механизмов, детали машин и технология металлов". Ее возглавил к. т. н., доцент Богородский Ю. В. С 1990 по 1992 гг. заведующим кафедрой был Щербаков С. В.

В 1992 г. кафедру "МО и УМ" возглавил д. х. н., профессор Рогачев А. В.

С 2001 г. кафедрой руководит д. т. н., профессор Богданович П. Н., работавший до этого заведующим отделом Института механики металлополимерных систем Национальной академии наук Беларуси.

Кафедра обеспечивает учебный процесс по специальности "Технология и оборудование высокоэффективных процессов обработки материалов".

Имеются учебные лаборатории по материаловедению, сварочному производству, вакуумной технологии нанесения покрытий, технологии активации полимеров концентрированными потоками энергии, триботехнике.

В 1992 г. в Институте механики металлополимерных систем НАН Беларуси был создан филиал кафедры "МО и УМ". Руководителем филиала была назначена к. т. н., старший научный сотрудник Заборская Л. В. Для проведения занятий приглашались специалисты ИММС НАНБ.

Активно проводится научно-исследовательская работа, в которой принимают участие сотрудники, аспиранты, магистранты и студенты. Большая часть (около 90 %) курсовых и дипломных проектов содержат исследовательские разделы. Подготовка в аспирантуре осуществляется по специальностям "Материаловедение в машиностроении", "Трение и износ в машинах", "Физическая химия".

При кафедре работает НИЛ "Физика поверхностей и тонких пленок", которая осуществляет работы в области технологии, физикохимии и механики композиционных материалов и покрытий, физикохимии поверхностных явлений, синтеза органических соединений из активной газовой фазы. Ежегодно сотрудники кафедры выполняют 5-10 научных тем, публикуют 12-15 статей в научных журналах и 5-7 - в сборниках научных трудов, выступают с докладами на научно-технических конференциях и симпозиумах. Научно-технические разработки защищаются патентами (за 1998-2001 гг. получено 10 патентов). Профессора Рогачев А. В. и Богданович П. Н. являются членами специализированных советов по защите диссертаций.

На кафедре ведется научно-исследовательская работа по следующим направлениям:

технология, физикохимия и механика композиционных материалов и покрытий;

технология модификации упрочнения и восстановления рабочих поверхностей машиностроительных изделий, в том числе деталей высокоточных узлов трения;

плазмохимическая технология окрашивания и аппретирования волокнисто-тканевых материалов (тканей, волокон, бумаги), которая исключает использование жидких технологических средств и является экологически чистой;

технология изготовления и модификации уплотнительных элементов запорной арматуры на основе гидрофобного графита, углеродных материалов;

технология получения композиционных полимерных покрытий из порошковых материалов;

тепловые и деформационные процессы при трении;

материалы триботехнического назначения;

технология сварки и наплавки металлов.

Разработки НИЛ "Физика поверхностей и тонких пленок" широко используются на производстве.

На кафедре периодически выпускается тематический сборник научных статей "Физика и технология тонкопленочных материалов". По данной тематике сотрудниками кафедры организуются научно-технические конференции, семинары.

На протяжении всего существования кафедры велась активная издательская работа; сотрудниками кафедры изданы 3 монографии, 1 учебник, 3 учебных пособия.

Преподаватели кафедры и сотрудники НИЛ ФПТП сотрудничают с научными организациями Беларуси, России, Китая, поддерживаются тесные связи с Институтом повышения квалификации БелГУТа.

2. Вакуумное напыление

 

.1 Характеристика вакуумного напыления


В настоящее время благодаря развитию, в основном, вакуумной техники методы осаждения покрытий в вакууме получили широкое распространение и в ряде случаев являются единственными эффективными технологическими приемами повышения долговечности и износостойкости машиностроительных изделий. Они по сравнению с другими методами нанесения функциональных слоев характеризуются следующими преимуществами:

. Высокая производительность процесса нанесения покрытия. Разработаны установки, в которых осаждение покрытия осуществляется со скоростью до 20 кг/мин. Скорость перемещения ленты в зоне металлизации может достигать более 10 м/с. Имеются камеры непрерывного действия, которые позволяют осаждать покрытия на листы шириной более двух метров, перемещающиеся со скоростью до 10 м/с. Это стало возможным в ряде случаев благодаря автоматизации процесса, использованию ЭВМ.

. Возможность получения покрытий в чистых условиях и, как следствие этого, достижение их высокого качества. Покрытия наносятся в вакууме при давлении р=102 Па и ниже, что позволяет практически полностью исключить загрязнения материала покрытия. Проведение предварительной обработки поверхности, например, тлеющим разрядом, обеспечивает удаление с поверхности адсорбированных слоев технологических газов.

. Возможность получения покрытий практически из любых материалов, в том числе и из сплавов, химических соединений. Наиболее часто применяются реактивные методы получения покрытий сложного состава, заключающиеся в испарении исходного металла в среде реакционно-способного газа и создании условий, при которых на поверхности протекают химические реакции, приводящие к образованию химических соединений. Продукты этих реакций и образуют покрытие, т. к. процесс химического взаимодействия протекает, как правило, на поверхности.

Реактивными методами получают покрытия, например, SiO2, Al2O3 (корунд), TiN, TiC и другие.

. Возможность нанесения многослойных и комбинированных покрытий в едином технологическом цикле. Например, с целью повышения износостойкости на рабочие поверхности режущего инструмента за один цикл откачки воздуха в вакуумной камере наносят многослойное покрытие на основе Тi, TiN, TiCN, TiC.

. Высокая воспроизводимость структуры и свойств формируемых слоев. Полное исключение водородной хрупкости, которая характерна, например, для гальванических покрытий.

. Вакуумные технологии нанесения покрытий являются экологически чистыми. При их реализации, как правило, не используются химически активные вещества, вредное экологическое воздействие на окружающую среду практически отсутствует.

Технология нанесения вакуумных покрытий

Процесс нанесения вакуумных покрытий предполагает реализацию следующих основных стадий:

образование газовой фазы (генерация паров, летучих продуктов);

перенос атомов, частиц вещества от источника газовой фазы до покрываемой поверхности;

взаимодействие частиц газовой фазы с поверхностью и образование покрытия.

Все известные методы нанесения покрытий отличаются способами генерации газовой фазы, режимами и условиями массопереноса и пленкообразования.

Необходимым условием получения качественных покрытий является создание в рабочей камере высокого вакуума, что позволяет:

. Исключить процесс окисления при нагреве металла до высоких температур.

2. Исключить химическое взаимодействие атомов паровой фазы с молекулами остаточных газов. Это реализуется при условии, когда длина свободного пробега молекул газа больше характерного размера вакуумной камеры ().

. Благодаря вакууму устраняется теплообмен за счет теплопроводности газов и конвекции.

. Использование вакуума позволяет производить высокоэффективную очистку поверхности, удалять адсорбированные газовые слои. Основные методы очистки поверхности заключаются в ее нагреве до температуры 250..300 0С, при которой происходит удаление адсорбированных молекул влаги, органических загрязнений и т. д., и ионной обработке поверхности.

При вакуумном нанесении покрытия предъявляются следующие требования к материалу подложек, на поверхности которых оно формируется:

. Подложка в процессе нанесения покрытия не должна выделять в вакууме летучие продукты. Часто при металлизации, в частности, полимерных материалов для уменьшения газовыделения поверхность подложки покрывают антидиффузионным слоем, который препятствует выделению летучих материалов в вакуум из объема материала.

. Сохранение размеров и геометрической формы при тепловом воздействии, которое имеет место при формировании покрытия. Данное условие особенно важно для материала подложки, имеющего низкую термостойкость.

Закономерности образования и роста вакуумных покрытий

Элементарные процессы, протекающие на поверхности при образовании вакуумных покрытий, в значительной степени зависят от условий и режимов формирования тонкопленочной системы. В случае осаждения покрытия в вакууме из газового потока кинетика роста покрытий, их структура и свойства зависят от следующих основных параметров:

. Давления остаточных газов в вакуумной камере. Достаточно обосновано эмпирическое правило: чем выше давление в камере, тем ниже качество покрытия.

. Плотности потока падающих на поверхность атомов j. При возрастании j, как правило, происходит более интенсивное зародышеобразование конденсированной фазы и повышается сплошность покрытия, увеличивается его адгезионная прочность и коррозионная стойкость.

. Температуры поверхности подложки. При ее повышении формируется покрытие с более равновесной структурой. Однако при этом снижается его сплошность и скорость осаждения. Изменение температуры покрытия после его нанесения может быть причиной полиморфных превращений, которые, в общем случае, оказывают сложное влияние на их структуру и свойства.

. Степени ионизации и энергии падающих атомов. Повышение степени ионизации и энергии падающих атомов до определенного предельного значения способствуют повышению качества осаждаемого покрытия. При больших значениях энергии атомов, взаимодействующих с поверхностью и участвующих в процессах роста пленки, возможно образование в ней структурных дефектов и даже, при определенных режимах, - травление растущего покрытия.

Процесс осаждения вакуумных покрытий является многофакторным и достаточно сложным. Рассмотрим основные стадии и механизмы роста покрытий при их осаждении из газового потока.

Пусть на поверхность твердого тела, находящегося в вакууме, действует поток частиц с плотностью j (на практике, в технологии осаждения покрытий используются потоки с j~1010..1020 ат./(с•м2)). При взаимодействии отдельного атома с поверхностью протекают следующие относительно элементарные процессы:

. Энергообмен (аккомодация) с поверхностными атомами подложки. В зависимости от условий энергообмена, природы взаимодействующих атомов возможны две взаимоисключающие друг друга ситуации:

а) атом упруго отразился;

б) атом закрепился на поверхности - перешел в адсорбированное состояние.

Для характеристики термической аккомодации используют коэффициент аккомодации ат, который определяет долю энергии, переданной атомам поверхности при взаимодействии. Считается, что всегда при реализующихся на практике условиях и режимах осаждения ат< 1.

Установлено, что практически полный энергообмен между атомами на поверхности происходит за время, равное двум периодам согласованных колебаний адсорбированного атома (адатома) и атома подложки; tт≈2τ0 (τ0 - период колебаний атомов в решетке, τ0~10-12..10-13 с).

Расчеты показывают, что если массы атома подложки и атома, взаимодействующего с поверхностью, примерно равны, то аккомодация практически всегда полная, и в итоге атом закрепляется (адсорбируется) на поверхности. Если взаимодействующий с поверхностью атом имеет массу меньшую атома подложки, то аккомодация всегда неполная (ат < 1).

. Поверхностная диффузия. В зависимости от условий формирования покрытий, адсорбированный атом в процессе диффузии может либо закрепиться на зародыше конденсированной фазы (устойчивой металлической частице), либо же через некоторое время τа, называемое временем жизни в адсорбированном состоянии, перейти в газовую фазу (в десорбированное состояние). Поверхностная диффузия характеризуется длиной диффузионного пробега , которая равна расстоянию, проходимому атомом на поверхности за время его жизни в адсорбированном состоянии τa (a - расстояние между соседними адсорбционными узлами поверхности; D - коэффициент поверхностной диффузии; Еa и Еd - энергия активации процессов адсорбции и поверхностной диффузии соответственно; k - постоянная Больцмана).

Образование покрытия происходит в результате взаимодействия адсорбированных атомов между собой и с атомами подложки. Следует различать следующие, протекающие последовательно стадии роста покрытия:

образование адсорбционной фазы;

зародышеобразование конденсированной фазы;

рост зародышей;

взаимодействие зародышей между собой и их слияние (коалесценция);

образование сплошного покрытия и его дальнейший рост. Каждая из этих стадий характеризуется особенностями структурного состояния, и кинетика их протекания оказывает влияние на свойства формируемых покрытий.

Классификация методов нанесения вакуумных покрытий

Выделяют следующие методы:

1.  Испарение:

- резистивное;

индукционное;

электронно-лучевое;

лазерное;

электродуговое.

2.  Ионное распыление (ионно-лучевое).

3.       Плазменное распыление:

катодное;

магнетронное;

высокочастотное;

в несамостоятельном газовом разряде.

Приборы для измерения давлений

Приборы для измерения давлений в вакуумной технике называются вакуумметрами. Они обычно состоят из 2-х частей: манометрического преобразователя (манометра) и измерительного блока. По методу измерения вакуумметры могут быть разделены на абсолютные и относительные.

Показания абсолютных не зависят от рода газа и могут быть заранее рассчитаны. Манометры в данном случае измеряют давление как силу, с которой газ воздействует на единицу площади.

В приборах для относительных измерений используется зависимость параметров некоторых физических процессов, протекающих в вакууме, от давления.

Область давлений, используемая в современной вакуумной технике, 105..10-12 Па. Измерение давлений в таком широком диапазоне не может быть осуществлено одним прибором. Поэтому при работе вакуумной системы обычно используют несколько вакуумметров.

По принципу действия вакуумметры делятся на:

1.  Гидростатические (105..10-1 Па) - основаны на уравновешивании измеряемого давления гидростатическим давлением столба жидкости.

2.       Деформационные (105..10-2 Па) - измеряемое давление определяется по деформации упругого чувствительного элемента.

.        Компрессионные (105..10-6 Па) - основаны на изотермическом сжатии газа и измерении его давления по высоте столба жидкости, уравновешивающей это давление.

.        Тепловые (105..10-1 Па (иногда до 10-5)) - основаны на зависимости теплопроводности разряженного газа от давления.

.        Ионизационные (105..10-12 Па) - в них используется ионизация молекул, а затем - измерение величины:

электронные (101..10-8 Па);

магнитные (102..10-12 Па);

радиоизотопные (105..10-1 Па (иногда до 10-5)).

Методы получения вакуума

Методы получения вакуума бывают:

1.  Механические:

- объемная откачка - за счет периодического изменения объема рабочей камеры;

молекулярная откачка - за счет передачи молекулам газа количества движения от твердой, жидкой или парообразной среды.

2.  Физико-химические:

- ионная откачка;

откачка за счет испарения;

хемосорбционная откачка;

криоконденсационная откачка;

криоадсорбционная откачка.

Принципиальная схема вакуумной установки

Схема вакуумной установки приведена на рисунке 1.

Рисунок 1 - Схема вакуумной установки

- насос предварительного разряжения; 2, 3, 6, 14, 15, 17, 18, 19 - вакуумные клапаны; 4, 8, 12, 20 - манометры; 5 - маслоотражатель; 7 - насос для получения среднего вакуума; 9 - электрический ввод; 10 - ввод движения; 11 - вакуумная камера; 13 - газоанализатор; 16 - гироскопатор

Вакуумные установки для получения различных степеней вакуума отличаются лишь конструкцией насоса.

2.2 Реактивный метод нанесения покрытий конденсацией с ионной бомбардировкой (метод КИБ)


В группу реактивных методов нанесения покрытий входят методы получения покрытий из химических соединений, синтез которых осуществляется непосредственно в процессе осаждения. Реактивные методы нанесения покрытий характеризуются тем, что в рабочую камеру напускают химически активный газ, при взаимодействии которого с испаренными атомами и образуется химическое соединение. Наибольшее распространение получили реактивные методы нанесения следующих покрытий:

. Нитридов металлов. Испарение металла, как правило, осуществляется электронно-лучевым (нагрев и испарение вещества осуществляется за счет действия на него потока электронов), лазерным (источником энергии является монохроматическое электромагнитное излучение) или электродуговым (генерация газовой фазы происходит в результате горения электрической дуги и выделения при этом теплоты) способами. В рабочую камеру запускается азот, который в зоне испарения диссоциирует, адсорбируется на поверхности подложки и вступает во взаимодействие с металлом, например, титаном:


В зависимости от соотношений потоков азота и титана возможно образование соединений переменного состава TiNx. Цвет покрытия при этом может меняться от зеленого до желтого. Процесс образования соединений протекает, в основном, на поверхности. В объеме вероятность химического взаимодействия атомов металла и азота низка.

. Карбидов металлов. В частности, данным методом получают покрытия из карбидов титана, циркония, хрома, вольфрама. Карбиды образуются при испарении металлов в среде углеродосодержащих газов (метана, ацетилена).

. Оксидов металлов. В этом случае испарение металлов проводят в среде кислорода или паров воды.

Покрытия, получаемые реактивными методами, имеют достаточно высокую твердость, адгезию. Для повышения адгезионной прочности рекомендуется наносить покрытия на подложки, нагретые до температуры 400..600 0С. В машиностроении для упрочнения режущего инструмента наносят покрытия нитридов и карбидов металлов толщиной до 10..12 мкм. Часто используютсямногослойные покрытия, наносимые, как правило, за один технологический цикл. Это достигается, например, путем изменения состава газовой среды.

Метод КИБ является разновидностью реактивных методов нанесения покрытий сложного состава. Образование газовой фазы металла осуществляется электродуговым испарением. Данным методом получают покрытия нитридов (осаждение атомов металла проводится в присутствии активного газа: азота или аммиака), карбидов (активный газ - ацетилен, метан), оксидов (активный газ - кислород) титана, циркония, хрома и других металлов.

Отметим следующие основные преимущества метода КИБ:

1. Универсальность, возможность нанесения покрытий из соединений различной природы и регулирование при этом в широких пределах стехиометрией соединений путем изменения тока дуги, давления реакционного газа и температуры поверхности.

2.       Высокие скорость нанесения и адгезия покрытий.

.        Высокая технологичность процесса. Совмещение в едином технологическом цикле стадий очистки, нагрева поверхности до рабочей температуры (200..600 0С) со стадией нанесения функционального покрытия без использования при этом отдельной технологической оснастки.

Основные недостатки метода:

1.  Сильная зависимость свойств покрытий от технологических режимов, что требует практически для каждой детали проведения отдельных работ по их оптимизации. По этой причине в вакуумную камеру производится загрузка только однотипных деталей.

2.       Наличие капельной фазы. При нанесении таких покрытий на поверхность трения капли действуют на поверхность контртела как абразивные частицы.

.        Трудности при нанесении покрытий на мелколезвийный инструмент, так как при ионной очистке инструмента имеет место притупление острых кромок, и они легко разрушаются.

.        Относительно низкая воспроизводимость физико-механических свойств покрытий.

Типовая установка для получения нитридов, оксидов, карбидов металлов методом КИБ включает:

реакционную камеру с вакуумной системой откачки;

систему электродугового испарения с блоком питания;

систему напуска реакционного газа.

Основные характеристики установок, выпускаемых в странах СНГ, приведены в таблице 1.

Таблица 1 - Характеристики ионио-плазменных установок, позволяющих наносить покрытия методом КИБ

Характеристика установки

Тип установки


ННВ6.6-И1

ННВ9.5-И1

ННВ6.10-И1

ИЭТ-8-И2

Юнион

Пуск 81-1

Булат-4

ВУ-1Б

Размеры рабочей камеры, мм: - диаметр - длина

  600 600

  900 500

  600 1000

  900 500

  700 500

  360 450

  700 500

  600 510

Число электродуговых испарителей, шт.

3

4

4

2

2

1 2

3

1

Наибольшая потребляемая мощность, кВт

27

35

35

20

30

16

20

20

Наибольшие размеры упроч-няющего инструмента, мм: - диаметр - длина

  200 250

  200 250

  200 500

  200 250

  150 250

  200 200

  200 250

  60 200

Скорость осаждения пок-рытия TiN, мкм/ч

10..30

10..30

10..30

10.30

10..40

40

6..10

6..15

Масса установки, кг

3400

-

-

1900

3150

1500

2800

-

Площадь для размещения, м2

15

-

-

24

17,5

30

30

24


Установки, содержащие мощные дуговые испарители и позволяющие наносить покрытия с высокой скоростью, имеют существенный недостаток: при больших токах дуги возникает нестабильность дугового разряда вследствие большого тепловыделения на катоде, возрастает содержание капельной фазы, размер частиц и в результате снижается качество покрытий. Поэтому с целью повышения производительности напыления, достижения более высоких скоростей роста при сохранении высокого качества покрытий используют несколько (три и более) испарителей, генерирующих направленные потоки атомов металла во взаимно перпендикулярных направлениях. Это позволяет также повысить равнотолщинность наносимых покрытий и обеспечить высокую экономичность процесса.

Метод КИБ получил широкое применение как способ повышения работоспособности режущего инструмента. Покрытия на основе тугоплавких и теплостойких соединений, таких, как TiN, TiC, Mo2N, ZrN и других, формируемые методом КИБ, обладают высокой твердостью, химической стойкостью, хорошей адгезией к подложке, способностью адсорбировать смазывающие вещества и большим сопротивлением к износу.

Однако при трении таких покрытий, полученных при режимах осаждения, не предусматривающих снижение капельной фазы, по металлическим материалам происходит интенсивный износ последних. Так, для покрытия TiN диаметр капель может достигать 25 мкм, а высота - нескольких микрометров, при этом капли имеют высокую твердость и в процессе трения вызывают многократное пластическое деформирование поверхности контртела и даже микрорезание поверхностных слоев.

Считается, что капельная фаза образуется в результате кипения материала катода при содержании в нем растворимых технологических газов. При этом только в поверхностных слоях образованных микрочастиц протекают плазмохимические реакции и капли осаждаются на поверхности подложки в виде включений Влияние капельной фазы на триботехнические свойства покрытий неоднозначно: с одной стороны, она ведет к уменьшению процесса трещинообразования, с другой, - снижает адгезионные свойства покрытия и ухудшает поверхностный рельеф детали. С целью снижения шероховатости покрытия TiN предлагают производить полировку поверхности покрытия, после чего интенсивность изнашивания покрытия и контртела значительно снижается.

Эффективным технологическим направлением повышения эксплуатационных свойств является нанесение многослойных покрытий. В таких покрытиях первый слой TiN (считая от материала основы) является износостойким, а последующие (молибден, титан, серебро, политетрафторэтилен) - мягкими, приработочными. При этом повышается износостойкость как покрытия, так и контртела.

С целью снижения содержания капельной фазы используют следующие технологические приемы:

1.  В качестве катода используют металлы с минимальным содержанием растворенных газов. Это достигается при получении катодов методом вакуумной плавки либо дегазации катода путем его нагрева в вакууме непосредственно перед нанесением покрытия.

2.       Проводят сепарацию газокапельных потоков, например, путем применения внешнего магнитного поля.

.        Осуществляют оптимизацию технологических параметров электродугового испарения. Проводят процесс нанесения покрытия при минимальных значениях силы тока, что, однако, снижает скорость роста. Рекомендуется поддерживать максимально допустимое давление азота в вакуумной камере.

Одним из важнейших параметров процесса является давление реакционного газа (азота) при нанесении покрытия нитрида титана. От величины давления азота зависит фазовый состав, текстура, напряженное состояние и, соответственно, твердость и износостойкость покрытий. В интервале давлений от 10-3 до 102 Па азота в камере возможно образование соединений нитрида титана с различной стехиометрией. Максимальная твердость соответствует соединениям Ti2N, а также TiN и нестехиометрического TiNx (х=0,6, либо х=1,05). На механические свойства покрытий влияют и другие факторы, такие как потенциал смещения, температура покрытия, природа материала подложки, применение сепарации потоков.

При формировании износостойких покрытий различного состава важным является обеспечение оптимального сочетания твердости и сопротивления хрупкому разрушению. Кроме этого, при оптимальных режимах осаждения установлено образование структуры покрытия с высоким уровнем напряжений сжатия, препятствующих распространению трещин. Механизм изнашивания покрытий нитрида титана зависит от условий контактирования и включает в себя распространение трещин в слое покрытия под действием напряжений сдвига, отслаивания и окончательного отрыва участков слоя при взаимодействии неровностей.

В целом результаты проведенных исследований однозначно свидетельствуют, что нанесение покрытия нитрида титана с любой стехиометрией однозначно ведет к повышению износостойкости режущего инструмента в 1,8..10 раз. Этот эффект особенно проявляется при больших значениях скорости резания (до 110 м/мин). Структура и свойства покрытий нитридов и карбидов металлов значительно зависят от его толщины. Показано, что с увеличением толщины становится более выраженной преимущественная ориентация микрокристаллитов покрытия, и возрастают внутренние напряжения.

3. Результаты проведенной работы

 

.1 Обзор гальванического метода нанесения покрытий

вакуумное напыление сталь изнашивание

В основе технологии нанесения гальванических покрытий лежат процессы диссоциации солей металлов, в частности, галогенидов () и осаждение ионов на электродах, размещенных в электролите (рисунок 2).

- катод;

- анод;

- покрытие;

- электролит

Рисунок 2 - Схема осаждения гальванического покрытия

На электродах при электролизе одновременно протекают несколько процессов массопереноса. Процесс осаждения металла при гальванической металлизации рассматривают как главный, другие (например, выделение водорода) - как побочные.

В общем случае процесс электролиза описывается следующими законами Фарадея:

1.  Количество вещества m, осажденного на электроде, прямо пропорционально заряду q, перенесенному через электролит

,

где k - электрохимический эквивалент вещества (показывает, какая масса вещества выделяется на электроде при прохождении через электролит заряда в 1 Кл);

J - ток, протекающий через электролит;

t - время.

2.  Электрохимические эквиваленты элементов пропорциональны их химическим эквивалентам

,

где F - постоянная Фарадея (F=96487 Кл);

 - химический эквивалент;

A - атомный вес;

z - валентность.

На основании законов Фарадея можно определить массу осаждающегося при электролизе металла m (г) и толщину δ (мкм)

;

,

где k - электрохимический эквивалент, г/А*ч;

jk - катодная плотность тока, А/дм2;

Sk - поверхность катода, дм2;

d - плотность металла, г/см3.

Технология гальванических покрытий по сравнению с другими методами нанесения слоев характеризуется следующими основными преимуществами:

1. Относительная простота процесса и оборудования, необходимого для его реализации.

2.       Осаждаемые покрытия достаточно однородны, равнотолщинны (при оптимальных условиях и режимах процесса отклонения от средней толщины покрытия не превышают 1-2 %).

.        Имеется возможность достаточно простыми технологическими приемами изменять свойства покрытий в широких пределах.

К наиболее значительным недостаткам технологии нанесения гальванических покрытий можно отнести:

1. Технология предполагает использование растворов экологически вредных веществ, поэтому необходимо принимать специальные меры по очистке и регенерации отработанных растворов.

2.       Гальванические покрытия имеют высокую концентрацию водорода, внедряемого в покрытие на стадии его осаждения, и вследствие этого склонны к водородной хрупкости.

Наибольшее распространение получили следующие технологические процессы нанесения гальванических покрытий:

·   электролитическое хромирование;

·              железнение (осталивание);

·              никелирование;

·              меднение;

·              кадмирование;

·              цинкование;

·              нанесение комбинированных и композиционных покрытий.

В ряде случаев адгезионная прочность гальванических покрытий недостаточно высокая. Для повышения адгезии покрытия к основе используют подслои из пластичных материалов, например, меди. Высокая адгезия может быть достигнута при использовании оптимальных режимов нанесения (температуры и состава электролита, силы тока).

Качество гальванических покрытий зависит от состава электролита, силы тока (плотности тока), температуры электролита, интенсивности его перемешивания и геометрических параметров гальванической ванны. Изменяя эти параметры, можно получать покрытия с различной структурой и свойствами.

Технология осаждения гальванических покрытий является многостадийным процессом и может включать в себя около 30 основных операций.

Защитные свойства покрытия определяются параметрами и условиями протекающих в системе "окружающая среда - покрытие - основа" электрогальванических процессов. Несплошности покрытия в виде пор, трещин, локального отсутствия покрытия являются причиной образования микрогальваноэлементов, при функционировании которых имеет место растворение металла, разрушение покрытия и основы. Характер и эффективность защиты путем нанесения покрытия определяются значением стандартных потенциалов металлов основы и покрытия, омическим сопротивлением системы, степенью поляризуемости анодных и катодных участков.

При выборе типа покрытия (анодного или катодного) следует учитывать также требования к их декоративным свойствам и степень допустимого изменения химического состава среды в результате коррозии. При использовании катодного покрытия разрушается основной металл, и покрытие сохраняет высокий декоративный вид. Анодное покрытие разрушается в процессе эксплуатации, и продукты коррозии покрытия могут вызвать неконтролируемые загрязнения среды, что не всегда допустимо.

Т.к. в экспериментах использовались образцы с покрытиями из никеля и комбинированными покрытиями на основе никеля, то рассмотрим и их.

Никелирование - нанесение на поверхность изделий никелевого покрытия (толщиной, как правило, от 1-2 до 40-50 мкм). Никелированию подвергаются преимущественно изделия из стали и сплавов. Никелирование применяется для защиты изделий от коррозии (в атмосферных условиях, в растворах щёлочей, солей и слабых органических кислот), повышения износостойкости деталей, а также в защитно-декоративных целях.

Никель также используется в качестве легирующих добавок и является одним из наиболее перспективных. Например, покрытия цинка, содержащие около 25 % никеля, по сравнению с чистым цинковым покрытием, отличаются более высокой коррозионной стойкостью в атмосфере с высокой относительной влажностью при повышенной температуре и обладают более высокой твердостью. Покрытия на стальных деталях, содержащие 25-28 % никеля, являются катодными, а с малым содержанием никеля - анодными.

В последние годы широко применяют композиционные гальванические покрытия, обладающие комплексом высоких механических свойств: твердостью, прочностью, износостойкостью и т.д.

Данные покрытия представляют собой металлическую матрицу на основе Ni, Cr, Co, Cu и других, в которую включены твердые частицы: нитриды, карбиды, бориды, корунд, твердые смазки. Процесс осаждения композиционных покрытий проводят при использовании суспензий, содержащих твердую фазу в количестве 50-200 кг/м3. Суспензия подвергается непрерывному перемешиванию; частицы второй фазы все время находятся во взвешенном состоянии. Наличие в растворе твердых мелкодисперсных частиц положительно сказывается на качестве осаждаемых слоев. Движущиеся частицы активируют анод, препятствуют образованию питтинга и пор, вызванных накоплением и ростом пузырьков водорода на дефектных участках катодной поверхности.

Для получения композиционных гальванических покрытий используют, как правило, частицы размером 0,01-10 мкм. В последние годы в качестве наполнителя применяют наночастицы алмаза, оксидов металла.

Процесс образования композиционного покрытия происходит в результате присоединения микро- или наночастицы к катоду и последующего ее врастания в процессе осаждения металлического матричного слоя. Качество формирующихся слоев зависит, в основном, от выравнивающей способности электролита, характеризующей степень равномерности распределения металла на электродах. При использовании электродов с высокой выравнивающей способностью происходит выталкивание частиц наполнителя из растущего слоя, и образуются практически однородные слои. Для получения качественных композиционных покрытий используют режимы осаждения, при которых имеет место прерывание тока и скачкообразное изменение плотности тока.

3.2 Методика проведения испытаний


В испытаниях использовали стальные шарики №21, №22, №31, №41, №51 и №52 с оксидными покрытиями на основе Ni диаметром 6 мм, стальные шарики №61 и №62 с никелевым покрытием диаметром 6 мм, шарик из стали ШХ15 диаметром 6 мм, абразив (наждачная бумага), пластинку из закаленной стали 45.

Для проведения испытаний использовался возвратно-поступательный лабораторный трибометр.

При подготовке к испытаниям выполняли следующие операции:

1.  Закрепляли образец в держатель, а держатель устанавливали на рычаге трибометра.

2.       Закрепляли абразив (или стальную пластинку) на столике трибометра, совершающем возвратно-поступательные движения.

.        Приводили образец в контакт с абразивом (или стальной пластинкой).

.        Проводили тарировку трибометра путем многократного (7-8 раз) повторения навески груза одной массы и определения среднего тарировочного коэффициента.

Объем износа определялся двумя способами:

. Как объем шарового сегмента по формуле


где R - радиус шарика;

h - средняя глубина изношенного слоя.

. И, более точно, с учетом отклонения формы пятна износа от плоской по формуле

.

,

где  - площадь кругового сектора (R - радиус шарика,

 - угол COD на рисунке 3);

 - площадь треугольника OAB

( - высота треугольника).

 - уравнение эллипса (a, b - полуоси).

Рисунок 3 - Объем износа

3.3 Абразивное изнашивание

Испытания на абразивное изнашивание проводились по схеме шар-плоскость, при возвратно-поступательном движении индентора (рисунок 4).

В качестве абразива использовалась наждачная бумага №0.

Покрытия Ni и Ni+WO3 были нанесены на шаровой индентор, выполненный из стали 45.

Нормальная нагрузка на образец - 0,2 Н.

Средняя скорость трения - 13,5 мм/с.

Общая длительность эксперимента - 2000 циклов (для всех образцов).

В течение каждого эксперимента регистрировались изменения коэффициента трения. По окончании каждого эксперимента по линейным размерам пятна износа рассчитывался объёмный износ покрытия. Микроизображения пятна износа фотографировались. Также в процессе каждого эксперимента регистрировались температура воздуха и относительная влажность.

Рисунок 4 - Схема испытания

В результате экспериментов получены следующие результаты:

Зависимости коэффициента трения от продолжительности эксперимента представлены на рисунке 6.

Установлено, что при абразивном изнашивании КЭП на основе никеля значения коэффициента трения стабильны и находятся в пределах f = 1,0..1,5 в зависимости от свойств композиции. Наибольшим коэффициентом трения обладает образец №41. Для этого же образца характерна наибольшая величина износа V = 10,6·106 мкм3.

Примечание. При испытании образца №22 (рисунок 5) обнаружили, что покрытие разрушалось и отслаивалось. Поэтому измерения и дальнейшие эксперименты с этим образцом не проводились.

Рисунок 5 - Образец №22

При абразивном изнашивании электролитических покрытий из чистого никеля значение коэффициента трения не постоянно. В течение первых 150 - 200 циклов оно снижается от f = 1,5..1,7 до 1,0..1,2, а в дальнейшем равномерно возрастает.

Рисунок 6 - Зависимость коэффициента трения от числа циклов

В целях детального изучения процессов трения и износа КЭП на основе никеля и их отличий от покрытий из чистого никеля для образцов №21 (за 2000 циклов протерли покрытие), №31 (наименьший износ), №51 и №61 (чистый Ni) были проведены дополнительные испытания при тех же условиях, при количестве циклов истирания 200, 500 и 1000. Такие эксперименты позволили установить кинетику объёмного износа покрытий в зависимости от продолжительности истирания.

Таблица 2 - Результаты абразивных испытаниях

№ образца

Темпера-тура, 0С

Влажность, %

Средняя глубина износа, мкм

Коэф-т трения f

Объемный износ V, 106 мкм3

Объемный износ V1, 106 мкм3

21

24

74

29,8

1.1

8,365

10

31

25,2

68

22,1

1.02

4,589

4,074

41

23,2

66

33,6

1.53

10,61

9,959

51

25

66

27,7

0.96

7,217

8,247

52

25,1

62

32

1.4

9,589

9,133

61

25,8

54

28,5

1.6

7,638

8,345

62

25,3

58

33,2

1.03

10,33

10,69

ШХ15

-

-

19,5

0.77

3,584

4,523


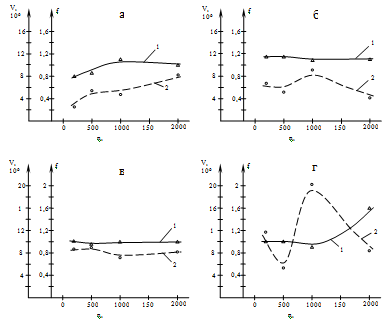
Графики зависимости объёмного износа покрытий представлены на рисунке 7.

Рисунок 7 - Зависимость коэффициента трения (1) и объёмного износа (2) от числа циклов для образца №21 (а), №31 (б), №51 (в) и №61 (г).

На рисунке видно, что кинетика изнашивания никельсодержащих КЭП также отличается от изнашивания чистого никеля. Коэффициент трения для образцов с КЭП практически постоянен (только у образца №21 вначале незначительное увеличение), что может быть связано со значительным увеличением контурной площади контакта и практически неизменной фактической площади (контакт происходит только по вершинам твердых включений). Износ здесь происходит за счет вырывания твердых включений из Ni матрицы.

У образца из чистого никеля (№61) коэффициент трения сначала практически постоянен, а затем - резко возрастает, что может быть связано с сильным увеличением фактической площади контакта. Объемный износ не имеет четкой зависимости и может значительно изменяться, что может быть обусловлено высокой шероховатостью никелевого покрытия. Износ здесь происходит за счет резания и распахивания Ni.

3.4 Изнашивание при трении по стали


Во второй серии экспериментов оценивались триботехнические характеристики электролитических покрытий Ni и никелевых КЭП в паре трения со сталью.

Испытания при трении по пластинке из закалённой стали 45 проводили по 1000 циклов для каждого образца, а для образцов №21 и №61 дополнительно по 200 и 500 циклов.

При проведении испытаний определялся коэффициент трения для каждого образца. Кроме того, регистрировалась температура и влажность каждого испытания.

Для трения образцов по стали расчет объема износа не проводился, т.к. вследствие молого, по сравнению с шероховатостью образцов, износа было затруднено измерение размеров пятен контакта (большое количество пятен фактического контакта, пятна неправильной формы и т.д.). Износ самой пластинки из стали 45 очень мал, методами профилометрии не наблюдался, на снимках оптической микроскопии выглядел, как отдельные продольные царапины неправильной формы рельефа. Примеры приведены на рисунке 8.

Зависимости коэффициента трения от количества циклов истирания для всех образцов имели одинаковый характер (рисунок 9), за исключением образца №62. Такой характер увеличения коэффициента трения был подтверждён повторными испытаниями. Причины такого поведения покрытий из чистого Ni пока не установлены. Кроме того, график коэффициента трения образца №61, также являющегося чистым никелем, такого характера не обнаруживает и ничем не отличается от КЭП.

Рисунок 8 - Примеры трения образцов №31 (рис а) и №41 (рис б) по стали 45

Рисунок 9 - Зависимость коэффициента трения от числа циклов

3.5 Изнашивание при трении по полированной стали


В третьей серии экспериментов оценивались триботехнические характеристики электролитических покрытий Ni и никелевых КЭП в паре трения с полированной сталью.

Перед началом испытаний была проведена полировка стальной пластинки и всех образцов.

Испытания проводили по 1000 циклов для каждого образца.

В течение каждого эксперимента регистрировались изменения коэффициента трения. По окончании каждого эксперимента по линейным размерам пятна износа рассчитывался объёмный износ покрытия. Микроизображения пятна износа фотографировались. Также в процессе каждого эксперимента регистрировались температура воздуха и относительная влажность.

Рисунок 10 - Зависимость коэффициента трения от числа циклов

На графике видны скачкообразные изменения коэффициента трения, которые характерны для всех образцов. Данную зависимость можно объяснить тем, что реализовывалось адгезионное изнашивание, т.е. происходило схватывание и вырывы материала. Это хорошо подтверждают снимки оптической микроскопии дорожек трения (рисунок 11).

Рисунок 11 - Дорожки трения

Таблица 3 - Результаты трения по полированной стали

№ образца

Темпера-тура, 0С

Влажность, %

Ширина дорожки трения, мкм

Средняя глубина износа, мкм

Объемный износ V, 105 мкм3

Объемный износ V1, 105 мкм3

21

21,4

71

265

7,05

4,678

3,805

31

22,4

67

215

3,9

1,435

0,9754

41

23

76

335

7,3

5,023

3,69

51

23,2

62

290

5,51

2,86

2,601

52

21,3

77

120

1,71

0,2743

0,1485

61

23

69

140

1,72

0,2791

0,2346

62

23,2

62

270

5,7

3,063

2,503


У образцов №52 и №61 при изменении коэффициента трения не наблюдалось резких скачков, как у остальных образцов, в результате чего их износ был минимальным. Причину этого установить не удалось. Хорошие результаты показал образец №31. Наибольший износ - у образца №41.

3.6 Выводы


Предложенная методика расчета объема износа (V1) дает результаты, отличающиеся (иногда до 40%) от идеального износа, что не удивительно, т.к. пятна контакта часто имели эллиптическую форму. Однако, установление погрешности не является возможным, поэтому необходимо проведение дополнительных испытаний или введение новой методики для сравнения.

Среди испытуемых образцов лучшим можно признать образец №31, который показал стабильно хорошие результаты во всех экспериментах. К худшим можно отнести образец №41, имеющий наибольший износ.

Литература


1.   Вакуумная техника и источники концентрированных потоков энергии. Ч.1: Вакуумная техника: Лабораторный практикум / Казаченко В.П., Попов А.Н., Егоров А.И. - Гомель: БелГУТ, 2004. - 33 с.

2.       Розанов Л.Н. Вакуумная техника: Учеб. для вузов. - 2-е изд., перераб. и доп. - М.: Высш. шк. 1990. - 320 с.

.        Рогачев А.В., Сидорский С.С. Восстановление и повышение износостойкости деталей машин: Учеб. пособие. - Гомель: БелГУТ, 2005. - 343 с.

.        Белорусский государственный университет транспорта: Хроника. События. Люди / Под ред. В.И. Сенько. - Гомель: БелГУТ, 2003. - 431 с. + 84 с. ил.

Похожие работы на - Вакуумное напыление

 

Не нашли материал для своей работы?
Поможем написать уникальную работу
Без плагиата!
Без нейросетей!