Статистика основных производственных фондов
Министерство
образования и науки Украины
Севастопольский
национальный технический университет
Методико-учебное
пособие
по дисциплине
"Статистика"
по темам:
"Статистика основных производственных фондов"
Севастополь
Методико-учебное пособие по выполнению практических заданий и домашней
контрольной работы по дисциплине: "Статистика" для студентов всех
форм обучения /Сост. Т.Н.Петухова, О.С.Доценко-Севастополь: Изд-во СевНТУ,
2004.- 26с.
Методико-учебное пособие разработано в соответствии с учебным планом и
типовой программой дисциплины "Статистика" и содержит основные
понятия, формулы, примеры и решения типовых задач, контрольные вопросы по
изучаемым темам и библиографический список.
Методико-учебное пособие предназначено для студентов всех форм обучения
факультета "Экономика и менеджмент".
Методико-учебное пособие рассмотрено и утверждено на заседании кафедры
"Учет и аудит" СевНТУ (протокол№ от 2004 г.)
Допущено учебно-методическим центром СевНТУ в качестве методико-учебного
пособия
Рецензенты:
Письменная Т.И., к.э.н, доцент;
Колесова И.В., к.э.н, доцент кафедры "ФиК".
Введение
Настоящее методико-учебное пособие содержит задачи курса
"Статистика. Часть 2" с целью сориентировать студентов на подготовку
по темам: "Статистика основных производственных фондов",
"Статистика оборотных фондов", "Удельные расходы
материалов". С этой же целью в конце пособия приведен список литературы по
всему курсу.
Готовясь к практическим занятиям, студент должен прочесть рекомендованную
литературу и конспект лекций, самостоятельно проверить, как он усвоил вопросы
той темы, по которой будет решать задачи.
Решение задач необходимо сопровождать соответствующими формулами,
подробными расчетами, пояснением сущности исследуемых показателей и краткими
выводами. При этом особое внимание следует уделять экономическому содержанию
показателей.
Расчеты должны быть выполнены с принятой в статистике точностью: индексы
рассчитываются с точностью до 0.001, а проценты-до 0.01. При выполнении работ
рекомендуется использовать статистические таблицы, которые должны быть
построены и оформлены по правилам, изучающимся в курсе "Статистика. Часть
1".
В соответствии с учебной программой студентам дневного отделения
необходимо иметь навык в решении определенных задач, согласно требованиям;
студентам - заочникам необходимо выполнить по данному разделу контрольную
работу. По окончании курса предусмотрен экзамен.
Данное методико-учебное пособие значительно упростит процесс изучения
материала, т.к. в нем систематизированы темы раздела, даны основные формулы.
Для повышения эффективности самостоятельной работы приведены подробные выкладки
всех расчетных формул с ответами по каждой типовой задаче, а так же
представлены примеры распространенных задач для самостоятельного решения. В
конце каждой темы приведены контрольные вопросы, ответы на которые обеспечат
положительный результат на экзамене.
Перед выполнением контрольной работы или решением задач на практических
занятиях требуется внимательное изучение настоящего методико-учебного пособия.
1. Статистика основных производственных фондов
Основные производственные фонды (ОПФ)-производственные активы, созданные
в процессе производства, которые длительное время неоднократно или постоянно в
неизменной натурально-вещественной форме используются для производства товаров,
оказания рыночных и нерыночных услуг, постепенно утрачивая свою стоимость.
.1 Основные формулы
По вариантам
стоимости рассчитываются балансы основных фондов, на основании которых
определяется стоимость фондов на определённую дату:
где Фк.г. и Фн.г. - полная стоимость фондов на
начало и конец года соответственно;
Фпост. и Фвыб. - полная стоимость поступивших и выбывших фондов
соответственно.
где Бк.г., Бн.г., Б пост. и Б выб. - балансовая стоимость на конец и
начало года балансовая стоимость поступивших и выбывших фондов соответственно; КР -капитальный ремонт; А -
амортизация.
Показатели состояния основных фондов:
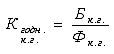
1. Коэффициент годности на определённую дату:
. Коэффициент износа на определенную дату:
(1.4)
где Кгодн. и Кизноса - коэффициенты годности и
износа на конец года соответственно.
Показатели движения основных фондов:
где Кобн. и Квыб. - коэффициенты обновления и
выбытия соответственно
Показатели эффективности использования основных фондов:
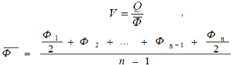
1. Фондоотдача:
где V - фондоотдача;
Q -
объём продукции;
- средняя полной стоимости.
где IQ, IV и I
- индексы объёма продукции, фондоотдачи и полной
стоимости соответственно,
где ΔQ -
показатель, характеризующий изменение объёма продукции;
Q1
и Q0 - объёмы продукции за отчётный и базовый периоды
соответственно.
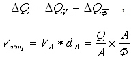
А) влияние изменения фондоотдачи на объём продукции:
где ΔQv - показатель, характеризующий изменение объёма продукции;
V1 и V0 - фондоотдача в отчётный и базовый периоды;
Ф1 - полная стоимость в отчётный период.
Б) прирост продукции
где Ф0 - полная стоимость в базовый период.
В)
где Vобщ. - фондоотдача; VA - фондоотдача активных фондов; dA - доля активных фондов в общей
стоимости, А - стоимость активной части фондов.
ΔQ может быть разложен на 3 фактора:
а) влияние
фондоотдачи активных фондов:
б) влияние структуры основных фондов:
в) влияние изменения общей стоимости основных фондов
В итоге:
. (1.19)
.2 Решение типовых задач
Задача №1
Имеются следующие данные об основных фондах предприятия за отчетный год,
тыс. грн.:
- полная стоимость основных фондов на начало года 5200;
- сумма износа основных фондов на начало года 1500;
введено в действие основных фондов за год 700;
выбыло:
а) по полной стоимости 200;
б) по ликвидационной стоимости 50;
- сумма начисленного за год износа основных фондов 520.
Определить:
1. Полную и балансовую стоимость на конец года.
2. Коэффициенты износа и годности на начало и конец года.
. Коэффициенты обновления и выбытия за год.
Решение:
1. Находим:
а) полная стоимость на конец года:
Фк.г.= Фн.г. + Фпост. - Фвыб.
где:
Фк.г. и Фн.г. - полная стоимость фондов на конец и
начало года соответственно;
Фпост. и Фвыб. - полная стоимость поступивших и
выбывших фондов соответственно.
Тогда:
Фк.г.= 5200 + 700 - 200 = 5700 (тыс. грн.),
б) балансовая стоимость на конец года:
Бк.г.= Бн.г. + Б пост. - Б выб. -
А.
где:
Бк.г., Бн.г., - балансовая стоимость на конец и
начало года соответственно;
Б пост. и Б выб. - балансовая стоимость поступивших
и выбывших фондов соответственно;
А - амортизация
Бн.г.= Фн.г. - И н.г.,
где И н.г. - износ основных фондов на начало года.
Бн.г.= 5200 - 1500 = 3700 ( тыс. грн.).
Тогда:
Бк.г.= 3700 + 700 - 50 - 520 = 3830 ( тыс. грн.).
2. Коэффициенты износа и годности на начало и конец года:
а) коэффициент износа на начало года:
К износа н.г. =
= 0,29 (29%),
коэффициент износа на конец года:
К износа к.г. =
= 0,33 (33%).
б) коэффициент годности на начало года:
К годн. н.г. =
К износа н.г. = 1 - 0,29 = 0,71 (71%),
коэффициент годности на конец года:
К годн. к.г. =
К износа к.г. = 1 - 0,33 = 0,69 (69%).
3. Коэффициенты обновления и выбытия за год:
а) коэффициент обновления:
К обн. =
=
= 0,12 (12%),
б) коэффициент выбытия:
К выб. =
=
= 0,04 (4%).
Задача №2
По приведенным ниже данным определить общий прирост объема продукции, в
том числе определить влияние изменения эффективности использования основных
фондов, структуру основных фондов и общей их стоимости.
|
Показатели
|
Базисный год
|
Отчетный год
|
|
Валовой выпуск сопоставимых
цен, тыс. грн. Q
|
2450
|
2645
|
|
Среднегодовая стоимость ОФ,
тыс. грн.
|
850
|
880
|
|
в том числе: - стоимость
машин и оборудования, тыс. грн.
A
|
480
|
560
|
Решение:
Общий прирост объема продукции:
=
= 2645 - 2450 = 195 (тыс. грн.).
Общий выпуск товарной продукции:
= V*
,
где: V - общая фондоотдача;
Тогда:
.
Фондоотдача активных фондов:
.
Доля активных фондов:
.
Представим данные в виде таблицы:
|
Показатели
|
Базисный год
|
Отчетный год
|
|
Общая фондоотдача, тыс.
грн. V
|
2,882
|
3,006
|
|
Фондоотдача активных
фондов, тыс. грн.
|
5,104
|
4,723
|
|
Доля активных фондов
|
0,560
|
0,636
|
Факторная модель:
.
. 
.
= (4,723 - 5,104)*0,636*880 = -213,238(тыс. грн.).
= 5,104*(0,636 - 0,560)*880 = 341,355(тыс. грн.).
= 5,104*0,560*(880 - 850) = 85,747(тыс. грн.).
=-213,238=341,355=85,747=195 (тыс.грн.)
Задача №3
Определить на каком предприятии лучше используются основные фонды, если
на 1-ом предприятии фондоотдача выросла на 6%, на 2-ом - фондоемкость снизилась
на 6%, на 3-ем предприятии фондоотдача активных фондов выросла на 3% и доля
активных фондов выросла на 2%.
Решение:
-ое предприятие:
фондоотдача (V) выросла на 6%
IV = 100% + 6% = 106% (или 1,06).
2-ое предприятие:
фондоемкость (f) снизилась на 6%
If = 100% - 6% = 94% (или 0,94).
= 1/ f IV = 1 / If = 1 / 0,94 = 1,064 (или106,4%).
3-е предприятие:
фондоотдача активных фондов (Va)
выросла на 3% и доля активных фондов (da) выросла на 2%.
Тогда:
IVa = 103% (или 1,03).
Ida = 102% (или 1,02).
Отсюда
IV = IVa * Ida = 1,03 * 1,02 = 1,051 (105,1%).
Исходя из полученных результатов, мы видим, что основные фонды лучше
всего используются на 2-ом предприятии, т.к. на нем самая высокая фондоотдача.
.3 Контрольные задачи
Задача №1
Имеются следующие сведения об основных промышленно- производственных
фондах предприятия за отчетный год
(тыс.грн):
Полная стоимость основных фондов на начало года4800.
Сумма износа основных фондов на начало года 1200.
Введено в действие основных фондов за год 600.
Выбыло основных фондов по полной стоимости100.
по остаточной стоимости30.
Сумма начисленного за год износа основных фондов520.
Постройте балансы основных фондов по полной и остаточной стоимости.
Определите на начало и конец отчетного года коэффициенты годности и износа, и
за отчетный год - коэффициенты обновления и выбытия.
Задача №2
По предприятию за базисный и отчетный годы имеются следующие данные
(тыс.грн.)
|
Наименование показателя
|
Базисный год
|
Отчетный год
|
|
Товарная продукция в
сопоставимых ценах, тыс.грн.
|
9240
|
12250
|
|
Среднегодовая полная
балансовая стоимость промышленно-производственных основных фондов, тыс. грн.
|
4230
|
4650
|
|
Среднесписочное число
рабочих, чел.
|
1180
|
1240
|
Вычислите:
А) показатель фондоотдачи промышленно-производственных основных средств;
Б) фондоемкость валовой продукции за базисный и отчетный годы;
В) среднюю выработку на 1 списочного рабочего;
Г) изменения в процентах этих показателей в отчетном году по сравнению с
базисным.
Задача №3
Определите по предприятию коэффициент динамики стоимости товарной
продукции за два года, если известно, что коэффициент фондоотдачи составил
104%, а коэффициент стоимости основных промышленно-производственных фондов
106%.
Задача №4
По предприятию за предшествующий и ответный годы имеются следующие данные
(тыс. грн.):
|
Показатели
|
Предшествующий год
|
Отчетный год
|
|
Валовая продукция в
сопоставимых ценах
|
13700
|
14800
|
|
Среднегодовая балансовая
стоимость громышленно-производственных основных фондов
|
5900
|
6130
|
Определите прирост валовой продукции в отчетном году по сравнению с
предшествующим:)общий;
Б)вследствие изменения фондоотдачи;)вследствие увеличения объема
промышленно-производственных основных фондов.
Задача №5
По заводу за предшествующий и отчетный годы имеются следующие данные:
|
Наименование показателя
|
Предшествующий год
|
Отчетный год
|
|
Товарная продукция в
сопоставимых ценах
|
14840
|
15880
|
|
Средняя годовая-стоимость
промышленно-производственных основных фондов
|
7850
|
8070
|
|
В том числе машин и
оборудования
|
4400
|
4790
|
Определите:
. Коэффициенты использования (фондоотдачу) за предшествующий и отчетный
годы:
а) промышленно-производственных фондов; б)в том числе машин и
oбopyдoвaния.
. Прирост валовой продукции: а) общий; б) вследствие изменения
(фондоотдачи); в) вследствие изменения удельного веса машин и оборудования в
стоимости всех промышленно-производственных основных фондов; г) вследствие
прироста объема промышленно-производственных основных фондов в отчетном году по
сравнению с предшествующим.
Задача №6
Установите на каком предприятии лучше используются основные фонды; если
известно, что на первом предприятии фондоотдача увеличилась на 4%, на втором
фондоемкостъ снижена на 5%, на третьем коэффициент использования активной части
основных фондов увеличился на 2%, а удельный вес активной части в стоимости
всех промышленно-производственных фондов увеличился на 3%.
Задача №7
По данным бухгалтерского отчета на промышленном предприятии на 1 января
полная стоимость промышленно-производственных фондов составляла 8ООО тыс. грн.,
а остаточная стоимость-6400 тыс. грн. Поступило в отчетном году основных фондов
по полной первоначальной стоимости на 910 тыс. грн, в том числе введено в
действие новых основных фондов на 810 тыс. грн., а на остальную сумму поступило
в порядке безвозмездной передачи с - других предприятий(с общим износом 10%)
Сумма начисленных за год амортизационных отчислений-900 тыс. грн. Выбыло
основных фондов на 400 тыс. грн., в том числе ликвидировано из-за полного
износа на 110 тыс. грн., а на остальную сумму передано другим предприятиям.
Износ по передаваемым фондам составлял сумму в 20 тыс. грн.
Определите по промышленно-производственным основным фондам: 1) абсолютный
прирост полной и остаточной стоимости; 2)темпы роста полной и остаточной
стоимости; 3)коэффициенты износа и годности на начала и конец отчетного года;
4)коэффициенты обновления и выбытия за отчетный год.
.4 Контрольные вопросы
производственный фонд оборотный статистический
1. Сущность основных фондов. Основной
капитал.
2. Действующая классификация основных фондов
и ее особенности в отдельных отраслях.
3. Виды оценки основных фондов.
4. Показатели движения и состояния
основных фондов.
5. Показатели использования
производственных фондов и вооруженности труда основными фондами.
6. Определение влияния эффективности
использования основных фондов на результаты работы предприятия.
2. Статистика оборотных фондов
Оборотные фонды-предметы труда, которые, участвуя в создании
потребительной стоимости, полностью потребляются в пределах каждого
производственного цикла и целиком переносят на создаваемый продукт свою
стоимость.
Оборотные средства - денежные средства, авансируемые в оборотные фонды и
фонды обращения, находящиеся в постоянном кругообороте и обеспечивающие
непрерывность процесса производства и обращения.
.1 Основные формулы
Показатели, характеризующие использование оборотных средств:
.Коэффициент оборачиваемости:
где ПР - прибыль от реализации продукции
СРП - себестоимость реализованной продукции
РП - стоимость реализованной продукции в оптовых ценах
О - средний остаток оборотных средств за период:
, (2.2)
где Он, Ок- средние остатки оборотных средств на начало и конец
исследуемого периода соответственно;
, (2.3)
где О1, О2,…, Оn-
данные на начало каждого месяца исследуемого периода.
.Коэффициент закрепления:
3.Продолжительность одного оборота:
где Д - продолжительность календарного периода (30 дней-месяц, 90
дней-квартал,180 дней-полугодие, 360 дней-год).
.Высвобождение (вовлечение) средств вследствие ускорения (уменьшения) оборотов:
где П1,П0 - продолжительность одного оборота в отчетном и базисном
периодах соответственно,
РП1- стоимость реализованной продукции в отчетном периоде,
- средний остаток оборотных средств в отчетном периоде.
2.2 Решение
типовых задач
Задача №1
Имеются следующие данные о предприятии:
Себестоимость реализованной товарной продукции в ценах производителя
(тыс. грн.) за:
апрель -1810,
май - 1820,
июнь - 1840.
Остаток оборотных средств (тыс. грн.):
на 1.04 - 136,
1.05 - 130,8,
.06 - 131,1,
1.07 - 121.
Определить показатели оборачиваемости оборотных средств за каждый месяц и
в целом за квартал и сумму средств высвободившихся из оборота, вследствие
ускорения их оборачиваемости в июне по сравнению с маем.
Решение:
Апрель:
Коэффициент оборачиваемости оборотных средств:
,
где РП - стоимость реализованной продукции.
- средний остаток оборотных средств:
,
где Он и Ок-остаток соответственно на начало и на конец периода.
133,4 (тыс. грн.)
13,57 (обор.).
Продолжительность одного оборота:
,
где Д - количество дней в периоде.
2,21 (дней).
Май:
Коэффициент оборачиваемости оборотных средств:
130,95 (тыс. грн.)
13,89 (обор.).
Продолжительность одного оборота:
2,16 (дней).
Июнь:
Коэффициент оборачиваемости оборотных средств:
126,05 (тыс. грн.)
14,59 (обор.).
Продолжительность одного оборота:
2,05 (дней).
В целом за квартал:
.
Средний остаток оборотных средств по средней хронологической:
=130,13(тыс.грн.)
Отсюда:
42,03 (обор.).
Сумма высвободившихся из оборота оборотных средств, вследствие ускорения
их оборачиваемости в июне по сравнению с маем:
,
где:
- продолжительность одного оборота в мае;
- продолжительность одного оборота в июне;
РП1 - стоимость реализованной продукции в июне.
Тогда:
-6,75 (тыс.грн.).
Так как ответ отрицательный, то это означает высвобождение денежных
средств.
Задача №2
Имеются данные по району (тыс. грн.):
|
Предприятия
|
Средние остатки оборотных
средств
|
Стоимость реализованной
продукции
|
|
Кондитерская фабрика
|
250
|
2500
|
|
Текстильная фабрика
|
300
|
1800
|
|
Завод каучука
|
500
|
3600
|
Определить среднюю продолжительность одного оборота за год по каждому
предприятию и по району в целом.
Решение:
Кондитерская фабрика:
Продолжительность одного оборота:
,
где
Д - количество дней в периоде (360 дней);
- средний остаток оборотных средств;
РП - стоимость реализованной продукции.
Отсюда:
36 (дней).
Текстильная фабрика:
60 (дней).
Завод каучука:
50 (дней).
Среднюю продолжительность одного оборота за год по району в целом:
7,5 (обор.).
48 (дней).
Задача №3
Известно, что за 2-а смежных года средние остатки оборотных средств
увеличились на 5%, а стоимость реализованной продукции на 10%.
Определить на сколько процентов сократилась продолжительность одного
оборота.
Решение:
Средние остатки оборотных средств увеличились на 5%:
105% (или 1,05).
Стоимость реализованной продукции увеличилась на 10%:
110% (или 1,1).
Тогда:
1,047.
Отсюда:
0,95 (95%).
Исходя из полученного результата, мы можем говорить о том, что
продолжительность одного периода сократилась на 5%.
.3 Контрольные задачи
Задача №1
Имеются следующие данные по промышленному предприятию за квартал:
стоимость реализованной товарной продукции в оптовых ценах предприятий
составила за январь -1910, за февраль - 1920 и за март -1940 тыс.грн.; остаток
оборотных средств составил на 1 января- 146,0, на 1февраля - 140,8, на 1 марта
141,3 на 1 апреля - 131,0 тыс.грн.
Определить показатели оборачиваемости оборотных средств предприятия за
каждый месяц и в целом за квартал, а также сумму средств, высвободившихся из
оборота вследствие ускорения их оборачиваемости в марте по сравнению с
февралем.
Задача №2
Имеются следующие данные по предприятию (тыс.грн.):
|
Показатели
|
Кварталы
|
|
1
|
2
|
|
Объем реализованной
продукции
|
7 600
|
8 000
|
|
Средний остаток оборотных
средств
|
900
|
920
|
Определить:
. Показатели оборачиваемости оборотных средств за каждый квартал:
а) по числе оборотов;
б) в днях.
. Сумму средств, высвобожденных из оборота в результате ускорения их
оборачиваемости во втором квартале по сравнению с первым.
Задача №3
Число оборотов оборотных средств за полугодие увеличилось на 15%. как
изменилась продолжительность одного оборота нормируемых оборотных средств за
полугодие?
Задача №4
Средний остаток нормируемых оборотных средств промышленного предприятия в
году, предшествующем отчетному, составлял 250 тыс. грн., а в отчетном году
сократился на 4% при сокращении средней продолжительности одного оборота
средств с 55 до 50 дней.
Определите себестоимость реализованной продукции в отчетном году и ее
изменение (в %) по сравнению с предыдущим годом.
.4 Контрольные вопросы
1. Оборотные средства как элемент национального богатства.
2. Показатели скорости оборота оборотных средств.
3. Удельные расходы материалов
Общий расход материальных ресурсов (М) за период времени определяется
путем сравнения объемов запасов на текущую дату с их объемом на предшествующую
дату).
Удельный расход материала (m) - это общий расход материала в натуральном
выражении на количество (q) произведенной продукции (m=M/q).
.1 Основные формулы
Таблица 3.1- Индексы удельных расходов в зависимости от количества
используемых материалов и выпускаемой продукции в базисном и отчетном периодах
|
Материалы
|
Продукция
|
Индексы удельных расходов
|
|
1. Один вид
|
Один вид
|
. По нескольким разновидностям одной и той же
продукции: индекс переменного состава: , индекс
постоянного состава: , индекс структурных сдвигов: .
|
|
2. Один вид
|
Несколько видов
|
.
|
|
3. Несколько видов
|
Один вид
|
, где р0-сопостовимая цена базисного периода.
|
|
4. Несколько видов
|
Несколько видов
|
.
|
3.2 Решение типовых задач
Задача №1
На предприятии по выпуску моторов до и после конструктивных изменений
имелись следующие данные:
|
Показатели
|
До усовершенствования
|
После усовершенствования
|
|
Выпуск моторов (шт.)
|
5200,0
|
5500,0
|
|
Мощность 1 мотора (кВт)
|
200,0
|
250,0
|
|
Расход металла на весь
выпуск моторов, т.
|
728,0
|
797,5
|
Определить индекс удельного расхода металла на производство:
а) 1 мотора;
б) 1 кВт мощности мотора.
Определите экономию металла в результате изменения конструктивной
материалоемкости.
Решение:
а) индекс удельного расхода металла на производство 1 мотора.
вид материала и 1 вид продукции:
,
где:
- расход материала в отчетном
периоде;
- расход материала в базисном периоде.
Отсюда:
140 (кг) ,
145 (кг).
Тогда:
1,036 (103,6%).
б) индекс удельного расхода металла на производство 1 кВт мощности
мотора:
0,7 (кг),
0,58 (кг).
Тогда:
0,828 (82,8%) .
Сокращение расхода металла на 17,2%.
Экономия металла на производство 1 кВт мощности: 0,58 - 0,7 = -0,12 (кг.)
Экономия на весь выпуск:
Э = (m1 - m0)*250*5500 = -165000 = -165 (тонн)
В результате изменения конструктивной материалоемкости и мощности при
усовершенствовании, произошла экономия металла в размере 165 тонн.
Задача №2
На швейной фабрике имеются следующие данные о пошиве мужских костюмов
|
Показатели
|
Базисный год
|
Отчетный год
|
|
Изготовлено костюмов, шт.
|
30 тыс.
|
35 тыс.
|
|
Израсходовано шерстяной
ткани, м2
|
117 тыс.
|
133 тыс.
|
|
Израсходовано подкладочной
ткани, м2
|
75 тыс.
|
84 тыс.
|
|
Цена 1 м2
шерстяной ткани, грн.
|
25
|
32
|
|
Цена 1 м2
подкладочной ткани, грн.
|
12
|
12
|
Определить:
1. Индекс удельного расхода материалов на пошив костюмов.
2. Сумму экономии (или перерасхода, грн.) вследствие изменения
удельного расхода в отчетном году по сравнению с базисным.
Решение:
1. Индекс удельного расхода материалов на пошив костюмов.
Шерстяная ткань: Расход материала в базисном году:
3,9 (м2).
Расход материала в отчетном году:
3,8 (м2).
Подкладочная ткань:
Расход материала в базисном году:
2,5 (м2).
Расход материала в отчетном году:
2,4 (м2).
Поскольку несколько видов материалов и один вид продукции, то индекс
удельного расхода материалов на пошив костюмов:
,
где:
- цена соответствующего материала в базовом году.
0,971.
Экономия на производстве одного костюма:
123,8 - 127,5 = - 3,7 (грн.).
Экономия на весь выпуск: -3,7 * 35,000 = - 129500 = - 129,5 (тыс. грн.).
Задача №3
Имеются следующие данные о расходе металлопроката на изготовление уборочных
машин заводом сельскохозяйственного машиностроения за месяц:
|
Изделие
|
Изготовлено изделий, шт. (q1)
|
Фактически израсходовано
металлопроката навесь выпуск, т. (m1q1)
|
Расход металлопроката на
одно изделие по норме, т. ( m0)
|
|
Уборочная машина У-3
|
2400
|
2520
|
1.1
|
|
Уборочная машина У-4
|
6200
|
930
|
0.16
|
|
Итого:
|
|
|
|
Определить индекс удельных расходов и размер экономии (перерасхода)
металлопроката за месяц.
Решение: Изготовлено изделий, шт.: q1
Фактически израсходовано металлопроката навесь выпуск, т: m1q1
Расход металлопроката на одно изделие по норме, т: m0
Поскольку один вид материала и несколько видов продукции, то идекс
удельных расходов:
0,949.
Экономия металлопроката за месяц: 3450 - 3632 = - 182 (т).
Задачу необходимо оформить в виде таблицы, добавив столбец (m0 q1) и рассчитав итоговую строку. Это помогает при
использовании формулы индекса удельных расходов. В клетках итоговой строки
таблицы, не подлежащих заполнению, ставят символ
.
3.3 Контрольные задачи
Задача №1
По трем заводам имеются следующие данные об удельном расходе условного
топлива на производство металлоконструкций за год:
|
Завод
|
Расход условного топлива на
1т. металлоконструкций
|
Выпуск металлоконструкций,
тыс.т.
|
|
По норме
|
Фактически
|
По норме
|
Фактически
|
|
1
|
150
|
151
|
1000
|
800
|
|
2
|
140
|
142
|
1000
|
1040
|
|
3
|
145
|
130
|
1200
|
1400
|
|
Итого:
|
|
|
|
|
Определите индивидуальные индексы выполнения норм расхода топлива на
производство металлоизделий по каждому заводу; индексы выполнения норм расхода
топлива переменного, фиксированного состава, влияния структурных сдвигов, а
также общую сумму экономии (перерасхода) топлива за счет влияния отдельных
факторов. Проанализируйте полученные результаты.
Задача №2
Имеются следующие данные о расходовании стали в цехе завода за сентябрь:
|
№ детали
|
Норма расхода на 1
дет., кг
|
Фактически
изготовлено, шт.
|
Общий фактический
расход стали, кг
|
|
1
|
2
|
3
|
4
|
|
5
|
0,6
|
7200
|
3600
|
|
10
|
0,2
|
9460
|
1980
|
|
12
|
0,4
|
12120
|
4240
|
|
Итого:
|
|
|
|
Определить индекс удельного расхода стали и размер экономии или
перерасхода стали за сентябрь.
Задача №3
Имеются данные по швейной фирме:
|
Вид
продукции
|
Изготовлено штук
|
Средний расход материала на
1 ед., м2
|
Цена за 1 м2 ,
грн.
|
|
Баз.
|
Отч.
|
Баз.
|
Отч.
|
Баз.
|
Отч.
|
|
Блузы жен. шелковые
|
1500
|
1700
|
1,5
|
2,1
|
20
|
24
|
|
Рубашки муж.
хлопчатобумажные
|
1000
|
800
|
2,0
|
1,8
|
12
|
10
|
|
Итого:
|
|
|
|
|
|
|
Вычислить: 1) индивидуальные индексы удельного
расхода материалов, 2) общий индекс удельного расхода материалов на
производство продукции, 3) размер экономии (перерасхода),
полученный в результате снижения (увеличения)
удельного расхода материалов по каждому виду материалов (м2) и по двум видам материалов вместе (грн.).
Задача№4
Имеются следующие данные о расходе металлопроката на изготовление
уборочных машин заводом сельскохозяйственного машиностроения за месяц:
|
Изделие
|
Изготовлено изделий, шт.
|
Фактически израсходовано
металлопроката на весь выпуск, т
|
Расход металлопроката на
одно изделие по норме, т
|
|
Уборочная машина У-3
|
1400
|
1520
|
1,1
|
|
Уборочная машина У-4
|
4200
|
930
|
0,16
|
|
Итого:
|
|
|
|
Определить индекс удельных расходов и размер экономии (перерасхода)
металлопроката за месяц.
.4 Контрольные вопросы
1. Статистическое изучение материалоемкости продукции.
2. Расчет удельного расхода и образующих его элементов.
. Индексы удельных расходов сырья, материалов топлива и энергии.
Библиографический
список
1.
О государственной
статистике: Закон Украины// Голос Украины.-1992.-21 октября
2.
О мерах по
развитию государственной статистики: Указ Президента Украины от 22 ноября
1997г. №1299/97//Статистика Украины.-1998.-№1
3.
Об информации:
Закон Украины//Голос Украины.-1992.-от 13 ноября
4.
Указ Президента
Украины "О переходе Украины к общепринятой в международной практике
системе учета и статистики, с изм. и доп., внесенными Указами
Президента"от 14.04.95г. №312/95, от 27.01.99, №70"
5.
Ефимова М.Р.
Общая теория статистики: Учебник для студ.вузов, обучающих по специальности
фин., банковский, производственный менеджмент, бух. учет и аудит, международные
эконом. отношения/М.Р. Ефимова, Е.В. Петрова, В.Н. Румянцев.- М.: Инфра-
М,2002.-416c.
6.
Теория
статистики: Учебник/ Под ред. проф. Р.А.Шмойловой.-3 изд., перер.- М.: Финансы
и статистика, 2001.-240c.
7.
Кожухарь Л.И.
Основы общей теории статистики:Учебник/ Л.И.Кожухарь. - М.: Финансы и
статистика, 2001.- 144с.
8.
Теория
статистики: Учебник/ Под ред. проф. Г.Л. Громыко.-М.: Инфра- М, 2002.-414с.
9.
Статистика:
Учебник/С.С. Герасименко, А.В. Головач и др.-К.:КНЭУ, 2000.-450c.
10.
Парфенцева Н.
Мiжнароднi статистичнi классiфiкацii в Украiнi: Впровадження i використання/ Н.
Парфенцева. -К.: Основы,2000.-50c.
11.
Экономическая
статистика.2-е изд., доп.:Учебник/Под ред. Ю.Н. Иванова.-М.:ИНФРА-М,
2002.-480с.
12.
Парфенцева Н.
Мiжнароднi статистичнi классiфiкацii в Украiнi: Впровадження i використання/ Н.
Парфенцева. -К.: Основы,2000.-50c.
13.
Сборник задач по
теории статистики: Учеб. пособие/Под. ред. проф. В.В. Глинского и к.э.н. ,доц.
Л.К. Серга. - М.: ИНФРА- М; Новосибирск, 2002. -257с.
14.
Захошай В.Б.
Статистика труда и занятости: Учебно-метод. пособие/В.Б. Захошай, А.В.
Калинина; МАУП-К: МАУП, 2000.-79с.
15.
Гусаров. В.М.
Статистика: Учеб.пособие для вузов. - М.: ЮНИТИ-ДАНА, 2002. - 463с.
16.
Ерина А. М.,
Пальян З. О. Теория статистики: Практикум/А.М. Ерина - К.: О-во
"Знання". 2001. - 267с.
17.
Практикум по
курсу "Статистика": Учеб. пособие/В.Н. Салин., Э.Ю. Чурилова. - М.:
"Перспектива". 2002.- 188с.