Статистика основных фондов предприятия
Содержание
Введение
1. Теоретические вопросы статистического изучения использования
основных фондов предприятия
1.1 Роль основных фондов в процессе производства продукции
1.2 Задачи и система показателей статистики основных фондов
предприятия
1.3 Информационное обеспечение статистического изучения основных
фондов предприятия
2. Статистическое изучение использования основных производственных
фондов на ФГУ ДЭП-97 ЗА 2005-2007 гг
2.1 Краткая экономическая характеристика объекта исследования
2.2 Статистическое изучение объема, структуры и динамики основных
фондов предприятия
2.3 Статистическое изучение движения и воспроизводства основных
фондов предприятия
2.4 Статистический анализ эффективности использования основных
фондов изучаемого объекта
3. Статистическая оценка влияния факторов и прогнозирование
эффективности использования основных фондов ФГУ ДЭП-97
3.1 Факторный анализ фондоотдачи на основе индексного метода
статистики
3.2 Статистическое изучение взаимосвязи объема производства
продукции и фондоотдачи с использованием корреляционно-регрессионного анализа
3.3 Статистическое прогнозирование фондоотдачи на основе
экстраполяции
3.4 Основные направления повышения эффективности использования
основных фондов ФГУ ДЭП-97
Заключение
Список использованных источников
Введение
Безусловно, чтобы происходило нормальное функционирование
предприятия, необходимо наличие определенных средств и источников. Основные
производственные фонды, состоящие из зданий, сооружений, машин, оборудования и
других средств труда, которые участвуют в процессе производства, являются самой
главной основой деятельности фирмы. Без их наличия вряд ли могло что - либо
осуществиться.
Средства труда (машины, аппараты, оборудование,
производственные здания, сооружения, силовые установки и т.д.) представляют
собой наиболее дорогостоящую часть средств производства и обслуживают большое
число производственных циклов в течение длительного времени, их принято
называть основными фондами. Их стоимость переносится частями на добываемую или
изготовляемую продукцию.
Для упрощения учета, отчетности и начисления амортизации
основных фондов в их состав не включаются: а) предметы, функционирующие в
процессе производства менее одного года (независимо от их стоимости); б)
спецодежда, обувь, мелкий инвентарь и т.п., независимо от срока службы (т.е.
предметы небольшой стоимости). Не относятся к основным фондам приборы, средства
автоматизации и лабораторное оборудование, приобретенное для центральных
заводских лабораторий.
Одна из главных задач промышленности - повышение
эффективности и качества общественного производства и значительное увеличение
отдачи капитальных вложений и основных фондов, являющихся материальной базой
производства и важнейшей составной частью производительных сил страны.
Численный рост и качественное улучшение средств труда на
основе непрерывного научно-технического прогресса - это решающая предпосылка
неуклонного роста производительности труда.
Основные фонды участвуют в процессе производства длительное
время, обслуживают большое число производственных циклов и, постепенно
изнашиваясь в производственном процессе, частями переносят свою стоимость на
изготовляемую продукцию, сохраняя при этом натуральную форму. Эта особенность
основных фондов делает необходимым их максимально эффективное использование.
В условиях быстрого технического прогресса происходит
постоянное совершенствование техники, создаются новые, более
высокопроизводительные виды механизмов и аппаратов, заменяющих старую технику.
Срок использования (срок службы) основных фондов в производственном процессе
приобретает все большее значение как с точки зрения технического прогресса, так
и с точки зрения более правильного высокоэффективного использования тех
капитальных вложений, которые затрачиваются на создание новых основных фондов.
Рациональное и экономное использование основных фондов
является первоочередной задачей предприятия. Поэтому необходимо рассмотреть
сущность, состав, структуру основных производственных фондов и пути улучшения
их использования.
Проблема повышения эффективности использования основных
фондов и производственных мощностей предприятий занимает центральное место в
период перехода к рыночным отношениям. От решения этой проблемы зависит место
предприятия в промышленном производстве, его финансовое состояние,
конкурентоспособность на рынке.
Имея ясное представление о роли каждого элемента основных
фондов в производственном процессе, физическом и моральном их износе, факторах,
влияющих на использование основных фондов, можно выявить методы, направления,
при помощи которых повышается эффективность использования основных фондов и
производственных мощностей предприятия, обеспечивающая снижение издержек
производства и рост производительности труда.
В условиях рыночных отношений на первый план выдвигаются
такие вопросы, касающиеся основных фондов, как технический уровень, качество,
надежность продукции, что целиком зависит от качественного состояния техники и
эффективного её использования. Улучшение технических качеств средств труда и
оснащенность работников ими обеспечивают основную часть роста эффективности
производственного процесса.
Статистика основных фондов изучает объем, состав,
распределение, состояние и использование основных фондов, процесс их
воспроизводства.
Объектом исследования курсовой работы является предприятие
ФГУ ДЭП-97, а предметом - основные фонды.
Целью курсовой работы является статистическое изучение
основных фондов. А задачи: показать роль основных фондов в процессе
производства, ознакомиться с системой показателей статистики основных фондов,
осветить информационное обеспечение статистического изучения основных фондов,
кратко охарактеризовать объект исследования, изучить объем, структуру,
движение, воспроизводство и эффективность использования основных фондов на
предприятии, провести факторный анализ фондоотдачи на основе индексного метода,
показать взаимосвязь объема производства продукции и фондоотдачи с
использованием корреляционно-регрессионного анализа, спрогнозировать
фондоотдачу на основе экстраполяции и найти пути улучшения основных фондов
предприятия.
Для написания курсовой были использованы следующие методы:
абсолютные и относительные показатели, показатели динамики, индексный метод,
прогнозирование на основе экстраполяции, корреляционно-регрессионный анализ.
Информационной базой являются учебные пособия, Интернет
ресурсы, бухгалтерская и статистическая отчетность предприятия.
1.
Теоретические вопросы статистического изучения использования основных фондов
предприятия
.1 Роль
основных фондов в процессе производства продукции
Основные фонды предприятия - совокупность материальных
ценностей (средств производства), переносящих свою стоимость в течение
производственного процесса по частям на изготавливаемую продукцию.
Основные фонды - это материально-техническая база любого
производства, любой предпринимательской деятельности. Конкретно основные фонды
выступают в форме зданий, сооружений, передаточных устройств, машин и
оборудования, приборов и устройств, вычислительной техники, транспортных
средств, рабочего и продуктивного скота, многолетних насаждений, внутрихозяйственных
дорог.
К этим активам относят также капитальные вложения на
улучшение земель и арендованные основные фонды. В состав основных фондов входят
находящиеся в собственности организации земельные участки и объекты
природопользования: вода, недра и другие природные ресурсы.
Учитывая исключительную важность основных фондов для
функционирования предприятий любых форм собственности, вопрос об эффективном их
использовании является определяющим. Эффективность использования основных
фондов зависит, в том числе, и от прогрессивности их структуры.
Основные фонды принято делить на две большие группы: основные
производственные фонды и основные непроизводственные фонды.
Основные производственные фонды промышленного предприятия -
это средства труда, которые участвуют во многих производственных циклах,
сохраняя при этом свою натуральную форму, а их стоимость переносится на
изготовляемый продукт частями по мере их износа. К ним относятся промышленные
здания и сооружения, силовое и производственное оборудование, передаточные
устройства, различные виды производственного транспорта, инвентарь
производственный и хозяйственный, нематериальные активы (патенты),
внутрихозяйственные дороги, земельные участки и т.д., то есть основные фонды,
функционирующие в сфере производства и прямо или косвенно участвующие в
создании продукции предприятия. Другими словами, основные производственные
фонды - часть средств производства, которая многократно участвует в
производственном процессе, переносит свою стоимость на готовый продукт частями
по мере износа, сохраняет свою натуральную форму в течение всего срока службы.
Основные непроизводственные фонды - это находящиеся в ведении
предприятий длительно существующие объекты непроизводственного назначения, ни
прямо, ни косвенно не участвующие в создании продукции предприятия, а
используемые в непроизводственной сфере (в жилищно-коммунальном хозяйстве,
торговле, общественном питании, здравоохранении и т.д.).
Для осуществления своей деятельности предприятия должны иметь
необходимые средства производства и материальные условия, являющиеся важнейшим
элементом и определяющие развитие производительных сил. Средства производства
делятся на средства труда и предметы труда. В рыночной экономике эти две
составляющие выступают в форме производственных фондов, обеспечивающих
непрерывный процесс как производства, так и сбыта продукции, а также развитие
социальной сферы.
В большинстве организаций основной капитал занимает 50 %
всего имущества. Следовательно, основные производственные и непроизводственные
фонды являются основой деятельности фирмы. Эффективное использование основных
фондов способствует улучшению всех технико-экономических показателей, в том
числе увеличению объема выпускаемой продукции, снижению себестоимости продукции
и трудоемкости ее изготовления, а также повышению прибыли.
основной фонд статистика показатель
Рыночной экономике присущи непрерывный рост и
совершенствование основных фондов, а также сокращение времени их оборота и
своевременное обновление.
В научной литературе существует множество способов
группировки основных фондов. С экономической точки зрения одной из наиболее
приемлемых является классификация по натуральному (вещественному) составу.
Деление основных фондов на активную и пассивную части в значительной степени
условно, но оно важно для того, чтобы не допускать излишнего роста пассивной
части по сравнению с ее оптимально необходимой величиной.
Эффективность управления основными производственными фондами
находит отражение в:
увеличении производства продукции;
улучшении ее качества;
повышении производительности труда;
снижении издержек производства.
Результативность управления основными фондами при равенстве
других условий определяется структурой и качеством вложений, организацией и
интенсивностью использования. Последние, в свою очередь, зависят от уровня
подготовки кадров и экономических условий.
Главный фактор экономии средств, вложенных в основные фонды,
- рост фондоотдачи. Данный показатель применяют для оценки технологической
эффективности работы предприятия за длительный период.
.2 Задачи и
система показателей статистики основных фондов предприятия
Одной из важнейших задач статистики является определение
объема основных фондов, а также их износа в стоимостном выражении. Оценка
основных фондов имеет ряд особенностей. Поскольку основные фонды функционируют
длительное время, им объективно присуще несколько оценок.
Важнейшими и наиболее употребительными в практике
социально-экономической статистики являются следующие их виды:
) полная первоначальная стоимость основных фондов - фактическая
стоимость ввода их в действие. Она отражает общий объем фактических затрат,
произведенных за время создания или в момент приобретения основных фондов. Эта
оценка остается неизменной в бухгалтерском учете в течение всего срока
функционирования основных фондов. По полной первоначальной стоимости основные
фонды на основании соответствующих документов (актов ввода в эксплуатацию и
др.) зачисляются на баланс организаций и в дальнейшем показываются в их
отчетности. Схематично баланс основных фондов по полной себестоимости можно
представить в следующем виде:
а) наличие на начало года;
б) поступило в отчетном году в отчетном году всего;
в) в том числе ввод в действие новых фондов;
г) прочие поступления;
д) выбыло в отчетном году всего;
е) в том числе ликвидировано основных фондов;
ж) прочие выбытия;
з) наличие на конец года.
) Полная первоначальная стоимость основных фондов за вычетом
износа - это та часть их стоимости, которую они сохранили после определенного
периода их функционирования. Иногда этот вид оценки называют остаточной
стоимостью основных фондов. Она равна полной первоначальной стоимости минус
сумма износа. В случае, если выбывшие за ветхостью и износом основные фонды
используются как лом, их стоимость по оценке продажи этого лома будет представлять
собой ликвидационную стоимость основных фондов. Баланс основных фондов по
стоимости за вычетом износа можно представить в виде следующей схемы:
а) наличие на начало года (по полной себестоимости за вычетом
износа);
б) поступило за год основных фондов всего;
в) в том числе ввод в действие основных фондов;
г) капитальный ремонт;
д) амортизационные отчисления;
е) выбытие и износ основных фондов за год:
ввиду ветхости и износа по остаточной стоимости;
потери (по остаточной стоимости);
продано и передано по остаточной стоимости;
ж) наличие на конец года по полной стоимости за вычетом
износа
) полная восстановительная стоимость основных фондов
представляет собой стоимость их воспроизводства в современных условиях, т.е. в
тот момент времени, когда она определяется. Вследствие научно-технического
прогресса и многих других факторов полная восстановительная стоимость основных
фондов изменяется во времени и практически может быть определена только при
проведении генеральных инвентаризаций и переоценок основных фондов;
) восстановительная стоимость основных фондов за вычетом
износа может быть определена по данным инвентаризаций и переоценок основных
фондов, в процессе которых путем осмотра объектов в натуре и при помощи
различных документов определяют действительный износ объектов. Она равна полной
восстановительной стоимости основных фондов за вычетом денежного выражения их
износа.
На основе данных баланса можно рассчитать систему
показателей, характеризующих движение и состояние основных фондов.
К показателям движения основных фондов относятся (таблица 1):
Таблица 1 - Показатели движения основных фондов
|
Наименование
показателя
|
Методика
расчета
|
|
1. Коэффициент
поступления (ввода) (Квв)
|
Отношение вновь
поступивших основных фондов к стоимости основных средств на конец отчетного
периода.
|
|
2. Коэффициент
обновления (Коб)
|
Отношение
стоимости новых основных фондов к стоимости основных средств на конец
отчетного периода
|
|
3. Коэффициент
выбытия основных средств (Квыб)
|
Отношение
стоимости всех выбывших основных фондов к стоимости основных средств на
начало отчетного периода
|
|
4. Коэффициент
ликвидации (Кл)
|
Отношение
стоимости ликвидированных основных фондов к стоимости основных средств на
начало отчетного периода
|
К показателям состояния основных фондов относятся (таблица 2):
Таблица 2 - Показатели состояния основных фондов
|
Наименование
показателя
|
Методика
расчета
|
|
1. Коэффициент
износа (Ки)
|
Отношение суммы
износа к полной стоимости основных средств, или Ки = 1 - Кг
|
|
2. Коэффициент
годности (Кг)
|
Отношение
остаточной стоимости основных средств к полной стоимости основных средств,
или Кг = 1 - Ки
|
К показателям динамики основных фондов относятся (таблица 3):
Таблица 3 - Показатели динамики основных фондов
|
Наименование
показателя
|
Методика
расчета
|
|
1
|
2
|
|
1. Абсолютное
отклонение (∆)
|
Разность между
уровнем отчетного года и базисного года
|
|
2.
Относительное отклонение (Тпр, %)
|
Отношение
абсолютного отклонения к уровню базисного года, выраженное в %.
|
|
3.
Относительное отклонение (Тр, %)
|
Отношение
уровня отчетного года к уровню базисного года, выраженное в %.
|
|
4. Абсолютное
значение 1% прироста (∆1%, тыс. руб)
|
Отношение
абсолютного отклонения к темпу прироста
|
К показателям эффективности использования основных фондов
относятся (таблица 3):
Таблица 3 - показатели эффективности использования основных
фондов
|
Наименование
показателя
|
Методика
расчета
|
|
1. Фондоотдача,
руб/руб
|
Отношение
валовой продукции, валового и чистого дохода предприятия к среднегодовой
стоимости основных фондов
|
|
2.
Фондоемкость, руб/руб
|
Отношение
стоимости основных фондов к объему продукции за этот же период
|
|
3.
Фондовооруженность, тыс руб. /чел.
|
Отношение
среднегодовой стоимости основных на среднесписочную численность работников за
год
|
1.3
Информационное обеспечение статистического изучения основных фондов предприятия
Состав, содержание и качество информации, которая
привлекается к анализу, имеют определяющую роль в обеспечении действительности
анализа хозяйственной деятельности. Анализ не ограничивается только
экономическими данными, а широко использует техническую, технологическую и
другую информацию. Все источники данных для анализа делятся на плановые,
учетные и внеучетные.
К плановым источникам относятся все типы планов, которые
разрабатываются на предприятии (перспективные, текущие, оперативные, хозрасчетные
задания, технологические карты), а также нормативные материалы, сметы, ценники,
проектные задания и др.
Источники и информация учетного характера - это все данные,
которые содержат документы бухгалтерского, статистического и оперативного
учета, а также все виды отчетности, первичная учетная информация.
Ведущая роль в информационном обеспечении анализа принадлежит
бухгалтерскому учету и отчетности, где наиболее полно отражаются хозяйственные
явления, процессы, их результаты.
Данные статистического учета, в которых содержится
количественная характеристика массовых явлений и процессов, используют для
углубленного изучения и осмысления взаимосвязей, выявления экономических
закономерностей.
Оперативный учет и отчетность способствуют более оперативному
по сравнению со статистикой или бухгалтерским учетом обеспечению анализа
необходимыми данными (например, о производстве и отгрузке продукции, о
состоянии производственных запасов) и тем самым создают условия для повышения
эффективности аналитических исследований.
К внеучетным источникам информации относятся документы,
которые регулируют хозяйственную деятельность, а также данные, которые не
относятся к перечисленным ранее, например:
официальные документы;
хозяйственно-правовые документы;
решения общих собраний коллектива, совета трудового
коллектива предприятия в целом или отдельных ее подотделов;
материалы изучения передового опыта, полученные из разных
источников информации (Интернет, радио, телевидение, газеты и т.д.);
материалы специальных обследований состояния производства на
отдельных рабочих местах (хронометраж, фотография и т.д.);
устная информация.
По отношению к объекту исследования информация бывает
внутренней (данные статистического, бухгалтерского, оперативного учета и
отчетности, плановые данные, нормативные данные и т.д.) и внешней (данные
статистических сборников, периодических и специальных изданий, конференций,
деловых встреч, официальные, хозяйственно-правовые документы и т.д.).
По отношению к предмету исследования информация делится на
основную и вспомогательную.
По периодичности поступления аналитическая информация
подразделяется на регулярную (плановые и учетные данные) и эпизодическую
(формируется по мере необходимости).
Регулярная информация в свою очередь подразделяется на
постоянную (коды, шифры, план счетов бухгалтерского учета и т.д.),
условно-постоянную (показатели плана, нормативы) и переменную (отчетные данные
на определенную дату).
По отношению к процессу обработки информацию можно отнести к
первичной (данные первичного учета, инвентаризаций, обследований) и вторичной
(отчетность, конъюнктурные обзоры и т.д.).
К организации информационного обеспечения анализа
предъявляется ряд требований: аналитичность информации, ее объективность,
единство, оперативность, рациональность и др.
Информационная база, используемая в процессе анализа, для
аналитика является предметом труда. Для того чтобы результаты оценки
финансового состояния и выводы, сделанные на их основе, отражали действительную
ситуацию или хотя бы были максимально приближены к этому, в значительной
степени необходимо, чтобы данный анализ основывался на качественной информации.
Результаты финансового анализа при условии взаимодействия
данных всех подзадач на этапах его проведения дают возможность осуществить
стратегическое планирование деятельности предприятия, принимать обоснованные
решения в области распоряжения произведенной продукцией и доходами, выбора
деловых партнеров.
Источниками информации для анализа финансово-хозяйственной
деятельности являются данные оперативного и бухгалтерского учета.
Так, в соответствии с Положением по ведению бухгалтерского
учета и бухгалтерской отчетности в Российской Федерации, утвержденным приказом
Минфина России от 29 июля 1998 г. № 34н, бухгалтерская отчетность предприятия
является открытой для всех заинтересованных пользователей. В ее состав также
включается аудиторское заключение, подтверждающее ее достоверность. Прочая
информация, данные производственного и финансового учета, представляющие
коммерческую тайну, не публикуются, только руководство предприятия в отдельных
случаях может расширить информацию, предоставленную для анализа.
Бухгалтерская отчетность - единая система данных об
имущественном и финансовом положении организации и о результатах ее
хозяйственной деятельности, составляемая на основе данных
бухгалтерского учета по установленным формам.
Данные отчетности используются внешними пользователями для
оценки эффективности работы организации. Вместе с тем отчетность необходима для
оперативного руководства хозяйственной деятельностью и служит исходной базой
для последующего планирования и прогнозирования.
Состав и содержание бухгалтерской отчетности в настоящее
время регулируются следующими нормативными документами:
Федеральным законом от 21 ноября 1996 г. № 129-ФЗ "О
бухгалтерском учете" с последующими изменениями и дополнениями;
Положением по ведению бухгалтерского учета и бухгалтерской
отчетности в Российской Федерации, утвержденным приказом Минфина России от 29
июля 1998 г. № 34н;
приказом Минфина России от 13января 2000г №4н "О формах
бухгалтерской отчетности организаций";
Методическими рекомендациями о порядке формирования
показателей бухгалтерской отчетности организации, утвержденными приказом
Минфина России от 28 июня 2000 г. № 60н;
Планом счетов бухгалтерского учета финансово-хозяйственной
деятельности организаций, утвержденным приказом Минфина России от 31 октября
2000 г. N2 94н;
Положениями по бухгалтерскому учету и другими документами.
Федеральный закон "О бухгалтерском учете" содержит
наиболее общие положения в отношении отчетности. Согласно закону бухгалтерская
отчетность - это "единая система данных об имущественном и финансовом
положении организации и о результатах ее хозяйственной деятельности,
составляемая на основе данных бухгалтерского учета по установленным
формам". В соответствии с Федеральным законом "О бухгалтерском
учете", Положением по ведению бухгалтерского учета и бухгалтерской
отчетности в Российской Федерации и Положением по бухгалтерскому учету
"Бухгалтерская отчетность организации" (ПБУ 4/99) годовая
бухгалтерская отчетность организаций, за исключением отчетности бюджетных
организаций, состоит из:
) бухгалтерского баланса (форма № 1);
) отчета о прибылях и убытках (форма № 2);
) приложений к бухгалтерскому балансу и отчету о прибылях и
убытках:
а) отчета об изменениях капитала (форма № 3);
б) отчета о движении денежных средств (форма № 4);
в) приложений к бухгалтерскому балансу (форма № 5);
г) отчета о целевом использовании полученных средств (форма №
6).
) пояснительной записки;
) аудиторского заключения, подтверждающего достоверность
бухгалтерской отчетности организации, если она в соответствии с федеральными
законами подлежит обязательному аудиту (в настоящее время перечень организаций,
подлежащих обязательному аудиту, установлен Федеральным законом от 7 августа
2001 г. № 119-ФЗ "Об аудиторской деятельности").
Годовая бухгалтерская отчетность дает широкие возможности для
всестороннего анализа деятельности предприятия, и наиболее информативной ее
частью является баланс. Он отражает состояние имущества, собственного капитала
и обязательств предприятия на определенную дату.
Баланс позволяет оценить эффективность размещения капитала
предприятия, его достаточность для текущей и предстоящей хозяйственной
деятельности, оценить размер и структуру заемного капитала, а также эффективность
их привлечения.
На основе изучения баланса внешние пользователи могут:
принять решения о целесообразности и условиях ведения дел с данным предприятием
как с партнером; оценить кредитоспособность предприятия как заемщика; оценить
возможные риски своих вложений, целесообразность приобретения акций данного
предприятия и его активов и т.д.
При анализе бухгалтерского баланса необходимо в первую
очередь установить, какие изменения произошли в его активе и пассиве за
анализируемый период, и дать оценку этим изменениям.
Термин "баланс" (от лат. bis - дважды и lanx -
чаша, что значит буквально "двучашие") употребляется как символ
равновесия, равенства. Он не является специфическим бухгалтерским термином и
так же широко используется в других разделах экономической науки, политике и
повседневной жизни. В бухгалтерском учете слово "баланс" имеет
несколько значений: а) равенство итогов при проведении записей по счетам и
группировке средств хозяйствующего субъекта в различных разрезах; б) итог
основной отчетной формы; в) наименование основной отчетной формы.
Значение баланса как основной отчетной формы исключительно
велико, так как этот документ позволяет получить достаточно наглядное и
непредвзятое представление об имущественном и финансовом положении предприятия.
В балансе отражается состояние средств предприятия в денежной оценке на
определенную дату в двух разрезах: а) по составу (виду); б) по источникам
формирования, т.е. одна и та же сумма средств, которые находятся в распоряжении
предприятия, представлена двояко, что дает возможность получить представление о
том, куда вложены финансовые ресурсы предприятия и каковы источники их
происхождения.
2.
Статистическое изучение использования основных производственных фондов на ФГУ
ДЭП-97 ЗА 2005-2007 гг
2.1 Краткая экономическая
характеристика объекта исследования
Федеральное государственное унитарное дорожное
эксплуатационное предприятие №97 в 1995 г. при реорганизации автомобильной
дороги Москва - Харьков в соответствии с постановлением Правительства РФ №1310
от 01.12.94 г. "О федеральной целевой программе совершенствования и
развития автомобильных дорог РФ "Дороги России" и действует на
основании Устава.
Устав утвержден министерством транспорта Российской Федерации
от 29.12.2003 г. № ИС - 1165-р и согласован распоряжением Министерства
имущественных отношений от 15.12.2003 г. №6963-р.
Юридический адрес: 307500 Курская область г. Дмитриев
Крупецкой с/с.
ФГУ ДЭП-97 обслуживает федеральную дорогу "Тросна -
Калиновка" км 4+800-113+000 и участок федеральной дороги "Украина"
км 507+000-519+868 общей протяженностью 121,1 линейных км, 169,6 приведенных км
третьей технической категории.
На обслуживаемых дорогах расположены 15 мостов и один
путепровод общей протяженностью 946 м. п., а также 182 шт. водопропускных труб.
Протяженность барьерного ограждения - 11863 м. п., тросового
- 2720 м. п.
На автодороге расположено 55 автобусных остановок, 45 из
которых оборудованы автопавильонами, 7 площадок отдыха общей площадью 20230м2,
141 пересечения и примыкания.
В настоящий момент основной целью данного предприятия
является обеспечение безопасного проезда транзитного автомобильного транспорта.
Виды деятельности: ремонт и содержание дорог и дорожных сооружений. Основные
функции, выполняемые ФГУ ДЭП-97: выполнение подрядных работ по ремонту и
содержанию дорог и дорожных сооружений.
Основными задачами предприятия являются:
. Первоочередное и безусловное выполнение полного
комплекса работ по содержанию федеральной дороги "Тросна -
Калиновка", участка федеральной дороги "Украина" и сооружений на
них, обеспечивающих безопасное и бесперебойное движение транспортных средств, а
также благоустройство и повышение пропускной способности автодороги.
2. Обеспечение соответствия фактического уровня
транспортно-эксплуатационного состояния автодороги - заданному уровню.
. Обязательство по целевому экономному и эффективному
использованию финансовых и материальных ресурсов.
. Обязательство по целевому и эффективному
использованию федерального имущества, закрепленного за предприятием.
Согласно выписке из Единого государственного реестра
организаций и предприятий наименование юридического лица - ДОРОЖНОЕ
РЕМОНТНО-СТРОИТЕЛЬНОЕ УПРАВЛЕНИЕ №1 - ГОСУДАРСТВЕННОЕ УНИТАРНОЕ ПРЕДПРИЯТИЕ.
Перспективы развития:
. улучшить качество подрядных работ и снизить сроки их выполнения
за счет приобретения новой дорожно-строительной техники и оборудования;
. увеличить объем выполняемых работ за счет сокращения
времени их выполнения;
. В 2009 году намечается реорганизация предприятия:
государственного в акционерное, что даст возможность привлечения
дополнительного финансирования от заказчика.
Структура предприятия представлена на рисунке 1.
Должностные обязанности:
Директор - обеспечение жизнедеятельности и организации
предприятия. Осуществление контроля.
Фин. отдел - финансовый и бухгалтерский учет предприятия.
Главный инженер - организация и контроль за производственной
деятельностью предприятия.
ППО - составление планов, доведение до подразделения.
МУ (мастерские участки) и АБЗ (асфальтно-бетонный завод) -
непосредственное выполнение производственных заданий.
ОГМ (отдел главного механика) - содержание дорожных машин и
оборудования в технически исправном состоянии.
Рисунок 1 - Структура предприятия ФГУ ДЭП-97
Структура предприятия является линейно-функциональной, т.е.
весь рабочий персонал подчиняется директору организации.
Анализ оборотных средств предприятия представлен в таблице 4.
Таблица 4 - Динамика оборотных средств предприятия за
2005-2007гг
|
Показатель
|
2005
|
2006
|
2007
|
Абсолютное
отклонение
|
Относительное
отклонение, %
|
|
|
|
|
2006 к 2005
|
2007 к 2006
|
2006/ 2005
|
2007/ 2006
|
|
1. Объем
реализации услуг, тыс. руб.
|
17800,3
|
25617,2
|
26808,5
|
7816,9
|
1191,3
|
144
|
104
|
|
2.
Среднегодовой остаток оборотных средств, тыс. руб
|
13692
|
11137,9
|
11655,9
|
- 2554,1
|
518
|
81
|
105
|
|
3. Коэффициент
оборачиваемости, раз
|
1,3
|
2,3
|
2,3
|
1
|
0
|
177
|
100
|
|
4. Коэффициент
загрузки, раз
|
0,8
|
0,4
|
0,4
|
-0,4
|
0
|
50
|
100
|
|
5. Длительность
оборота, дни
|
288
|
144
|
144
|
-144
|
0
|
50
|
100
|
Из таблицы 4 видно, что объем реализации
услуг в течение исследуемого периода растет. Темп его роста в 2006 году по
сравнению с 2005 годом составил 144%, а в 2007 году по сравнению с 2006 годом -
104%. Среднегодовой остаток оборотных средств также увеличился. В 2006 году он
составил 11137,9 тыс. руб., а в 2007 году вырос на 518 тыс. руб. и составил
11655,9 тыс. руб. Коэффициент оборачиваемости показывает число кругооборотов
оборотных средств в течение планируемого периода. Из таблицы 3 следует, что в
2005 году число оборотов составило 1,3, а в 2006 и в 2007 - 2,3, то есть он повысился
на 77%.
Коэффициент загрузки - величина, обратная
коэффициенту оборачиваемости. В 2006 и 2007 он не менялся и был равен 0,4. Это
на 50% меньше, чем в 2005.
Теперь рассмотрим трудовые ресурсы ФГУ ДЭП-97 (таблица 5).
Таблица 5 - Численность, структура и средний возраст
различных категорий персонала предприятия за 2005 - 2007гг.
|
Категории
персонала
|
2005
|
2006
|
2007
|
|
количество,
чел.
|
Средний
возраст, лет
|
Количество,
чел.
|
Средний
возраст, лет
|
Количество, чел
|
Средний
возраст, лет
|
|
1. Руководители
|
2
|
55
|
2
|
55
|
2
|
55
|
|
2. Специалисты
|
14
|
48
|
14
|
48
|
14
|
48
|
|
3. Служащие
|
2
|
42
|
2
|
42
|
2
|
42
|
|
4. Рабочие
|
89
|
36
|
87
|
36
|
82
|
36
|
|
Всего
|
107
|
|
105
|
|
102
|
|
Таблица 5 показывает, что кадровый состав практически не
менялся и не обновлялся.
Далее посмотрим, как менялись показатели по труду на
протяжении 3-х лет, за 2005-2007гг (таблица 6).
Таблица 6 - Динамика показателей по труду за 2005 - 2007 гг.
|
Показатель
|
2005
|
2006
|
2007
|
Абсолютное
отклонение
|
Относительное
отклонение, %
|
|
|
|
|
2006 к 2005
|
2007 к 2006
|
2006/ 2005
|
2007/ 2006
|
|
1
|
2
|
3
|
4
|
5
|
6
|
7
|
8
|
|
1. Объем
реализации слуг, тыс. руб.
|
17800,3
|
25617,2
|
26808,5
|
7816,9
|
1191,3
|
144
|
104
|
|
2.
Среднесписочная численность работников предприятия, чел.
|
107
|
105
|
102
|
-2
|
-3
|
98
|
97
|
|
3. Фонд
рабочего времени, час.
|
191315
|
186900
|
183192
|
-4415
|
-5508
|
98
|
98
|
|
4. Отработано
за год одним работником, час.
|
1805
|
1780
|
1796
|
-25
|
16
|
101
|
|
5.
Производительность труда одного работника, тыс. руб. /чел.
|
166,4
|
244,0
|
262,8
|
77,6
|
18,8
|
147
|
108
|
|
6. Фонд оплаты
труда работников предприятия, тыс. руб.
|
6219,7
|
8316,0
|
9410,1
|
2096,3
|
1094,1
|
134
|
113
|
|
7. Средняя
месячная заработная плата, тыс. руб.
|
4,844
|
6,600
|
7,688
|
1,756
|
1,088
|
136
|
116
|
Из таблицы 6 видно, что производительность
труда одного работника в течение исследуемого периода увеличивалась. В 2006
году она выросла на 77,6 тыс. руб. /чел., это вызвано более быстрым темпом
роста объема реализации услуг (144%), чем численности персонала (98%). В 2007
году по сравнению с 2006 годом производительность труда увеличилась на 18,8
тыс. руб. /чел., в относительном выражении ее прирост составил 8%.
Таблица 7 - Показатели себестоимости, прибыли и
рентабельности предприятия за 2005-2007гг
|
Показатель
|
2005
|
2006
|
2007
|
Абсолютное
отклонение
|
Относительное
отклонение, %
|
|
|
|
|
2006/2005
|
2007/2006
|
2006/2005
|
2007/2006
|
|
1
|
2
|
3
|
4
|
5
|
6
|
7
|
8
|
|
1. Выручка от оказанных
услуг за минусом НДС и анало-гичных обяза-тельных платежей, тыс. руб
|
15085
|
21710
|
22719,1
|
6625
|
1009,1
|
144
|
105
|
|
2.
Себестоимость оказанных услуг, тыс. руб
|
14832
|
21236
|
22130
|
6404
|
894
|
143
|
104
|
|
3. Валовая
прибыль, тыс. руб
|
253
|
474
|
589,1
|
221
|
115,1
|
187
|
124
|
|
4. Прибыль от
оказанных услуг, тыс. руб
|
253
|
474
|
589,1
|
221
|
115,1
|
187
|
124
|
|
6. Чистая
прибыль отчетного периода, тыс. руб
|
149
|
250
|
279
|
101
|
29
|
168
|
112
|
|
7. Балансовая
прибыль, тыс. руб
|
253
|
474
|
589,1
|
221
|
115,1
|
187
|
124
|
|
8.
Рентабельность услуг
|
0,01
|
0,02
|
0,03
|
0,01
|
0,01
|
200
|
150
|
|
9.
Рентабельность предприятия
|
0,01
|
0,02
|
0,03
|
0,01
|
0,01
|
200
|
150
|
Под себестоимостью продукции, работ и услуг понимаются
выраженные в денежной форме затраты всех видов ресурсов: основных фондов,
природного и промышленного сырья, материалов, топлива и энергии, труда,
используемых непосредственно в процессе изготовления продукции и выполнения
работ, а также для сохранения и улучшения условий производства и его
совершенствования. Себестоимость - один из обобщающих показателей
интенсификации и эффективности потребления ресурсов.
Из таблицы 7 видно, что предприятию необходимо решать
проблему по снижению себестоимости услуг. Правда, в 2007 году дела обстоят
лучше, чем в 2006 году, потому что в 2007г. себестоимость возросла всего на 894
тыс. руб. по сравнению с 2006 г. А вот в 2006г. по сравнению с 2005 на 6404
тыс. руб.
Прибыль является одним из важнейших оценочных показателей,
характеризующим результат хозяйственной деятельности предприятия. Таблица 7
показывает, что прибыль от оказанных услуг возрастала в течение исследуемого
периода. В 2006 по сравнению с 2005 она увеличилась на 221 тыс. руб., что в
относительном выражении составило 87%; в 2007 по сравнению с 2006 прирост
составил 24%. В условиях рыночной экономики рентабельность является важнейшим
качественным показателем работы предприятия, в котором обобщается состояние
доходов, издержек обращения, оборачиваемости товаров, использования основных
средств, рабочей силы, собственного и заёмного капиталов. Рентабельность
предприятия не велика, но она стабильно возрастала в каждый из исследуемых лет
на 0,001. Темп ее роста составил в 2006 году 200%, а в 2007 году - 150%.
Показатель рентабельности свидетельствует о прибыльности хозяйственной
деятельности предприятия в прошедшем периоде и о возможностях его дальнейшего
функционирования. Прибыль представляет собой конечный финансовый результат
хозяйственной деятельности предприятия. Однако финансовым результатом может
выступать не только прибыль, но и убыток, возникший, например, по причине
чрезмерно высоких затрат или недополучения доходов от реализации услуг в связи
с уменьшением объема их выполнения.
2.2
Статистическое изучение объема, структуры и динамики основных фондов
предприятия
По функциональному назначению основные фонды делятся на
производственные и непроизводственные. К производственным фондам относятся те
средства труда, которые непосредственно участвуют в производственном процессе
(машины, оборудование и т.п.), создают условия для его нормального
осуществления (производственные здания, сооружения, электросети) и служат для
хранения и перемещения предметов труда.
Непроизводственные основные фонды - это основные фонды,
которые непосредственно не участвуют в производственном процессе (жилые дома,
детские сада и ясли, школы, больницы и др.), но находятся на балансе
предприятия.
По принадлежности основные фонды подразделяются на
собственные и арендованные.
В зависимости от степени их воздействия на предмет труда - на
активные и пассивные.
На структуру основных фондов предприятий оказывают влияние
следующие факторы:
) Отрасль производства, к которой относится предприятие.
Например, рабочие машины и оборудование занимают наибольший удельный вес в
составе основных производственных фондов предприятий таких отраслей, как
машиностроение (36%), легкая промышленность (40%).
) Уровень концентрации, специализации и кооперирования
производства. Чем выше этот уровень, тем выше степень его механизации и больше
удельный вес в составе основных фондов рабочих машин и оборудования.
) Географическое размещение предприятий и климатические
условия. От этого зависит тип (а следовательно, и стоимость) зданий и
сооружений.
) Общий уровень индустриального развития страны и
технического оснащения промышленности. С повышением этого уровня в составе
основных производственных фондов предприятий возрастает удельный вес наиболее
активной части основных фондов - рабочих машин и оборудования - и понижается
удельный вес зданий, то есть пассивной части основных фондов
Покажем объем, структуру и движение основных фондов в таблице
8.
Таблица 8 - Объем, структура и движение основных фондов
предприятия за 2005-2007 гг.
|
Группа основных
средств
|
2005
|
2006
|
2007
|
|
тыс. руб.
|
%
|
тыс. руб.
|
%
|
тыс. руб.
|
%
|
|
1. Здания
|
4354
|
35,2
|
4354
|
36,9
|
4354
|
37,8
|
|
2. Сооружения и
передаточные устройства
|
867
|
7,0
|
867
|
7,4
|
867
|
7,5
|
|
3. Машины и
оборудования
|
5924
|
47,8
|
5365,5
|
45,5
|
4991
|
43,4
|
|
4. Транспортные
средства
|
1230,5
|
9,9
|
1195
|
10,1
|
1290
|
11,2
|
|
5.
Производственный хозяйственный инвентарь
|
8
|
0,1
|
8
|
0,1
|
6,5
|
0,1
|
|
Итого
|
12838,5
|
100
|
11789,5
|
100
|
11508,5
|
100
|
Как видно из таблицы 8, все группы
основных фондов предприятия относятся к активным. За три года на предприятии не
изменялась стоимость зданий, сооружений и передаточных устройств и составила
4354 тыс. руб. и 867 тыс. руб. соответственно. В отношении остальных видов основных
фондов можно сказать, что их стоимость изменялась. Это происходило засчет их
выбытия, связанного, возможно, с поломкой, и приобретением новых. Наибольший
удельный вес в общей численности основных фондов принадлежит группе машин и
оборудования.
Рассчитаем показатели динамики основных
фондов.
Таблица 9 - Показатели динамики основных фондов за 2005-2007
гг. на ФГУ ДЭП-97
|
2006/2005
|
2007/2006
|
|
Наименование
группы основных фондов из предыдущей таблицы
|
1. Здания
|
2. Сооружения и
передат. устр.
|
3. Маш, оборуд.
|
4. Трансп.
редст.
|
5. Инвентарь
|
1. Здания
|
2. Сооружения и
передат. устр.
|
3. Маш, оборуд.
|
4. Трансп.
редст.
|
5. Инвентарь
|
|
Абсолютное
отклонение, тыс. руб
|
0
|
0
|
-558,5
|
-35,5
|
0
|
0
|
0
|
-374,5
|
95
|
-1,5
|
|
Темп роста, %
|
1
|
1
|
90,6
|
97,1
|
1
|
1
|
1
|
93
|
107,9
|
81,3
|
|
Темп прироста,
%
|
0
|
0
|
-9,4
|
-2,9
|
0
|
0
|
0
|
-7
|
8
|
-18,8
|
|
Абсолютное
значение 1% прироста, тыс. руб
|
0
|
0
|
59,2
|
12,3
|
0
|
0
|
0
|
53,7
|
11,9
|
0,1
|
Важнейшим показателем динамики является абсолютный прирост,
который определяется в разностном сопоставлении двух уровней ряда динамики в единицах
измерения исходной информации. Базисный абсолютный прирост исчисляется как
разность между сравниваемым уровнем и уровнем, принятым за постоянную базу
сравнения. Цепной абсолютный прирост - разность между сравниваемым уровнем и
уровнем, который ему предшествует. Таблица 9 показывает, что на протяжении трех
лет на предприятии не происходило систематического увеличения абсолютных
приростов стоимости основных фондов. Стоимость зданий, сооружений и
передаточных устройств не изменялась; машин и оборудования - сначала
уменьшилась на 558тыс. руб., затем еще на 374,5тыс. руб., но по сравнению с
2005 годом все равно осталась ниже. Что касается транспортных средств, то там
происходило хоть и небольшое, но увеличение стоимости на протяжении трех лет.
Стоимость производственного инвентаря в 2005 и 2006 была одинаковая - 8 тыс.
руб. А в 2007 она снизилась на 1,5тыс. руб. и стала равной 6,5 тыс. руб.
Распространенным статистическим показателем является темп
роста. Он характеризует отношение двух уровней ряда и может выражаться в виде
коэффициента или в процентах. Если темп роста больше единицы (или 100%), то это
показывает на увеличение изучаемого уровня по сравнению с базисным. Темп роста,
равный единице (или 100%), показывает, что уровень изучаемого периода по сравнению
с базисным, не изменился. Темп роста меньше единицы (или 100%) показывает на
уменьшение уровня по сравнению с базисным. Темп роста всегда имеет
положительный знак.
Из таблицы 6 видно, что происходило увеличение темпа роста
транспортных средств на протяжении трех лет, а также машин и оборудования в
2007 по сравнению с 2006 и составил 107,9%.
Темп прироста характеризует абсолютный прирост в
относительном величинах. Исчисленный в процентах темп прироста показывает, на
сколько изменился сравниваемый уровень с уровнем, принятым за базу сравнения.
.3
Статистическое изучение движения и воспроизводства основных фондов предприятия
К показателям движения, воспроизводства и состояния основных
средств относятся следующие показатели: Коэффициент ввода (показывает долю
вновь поступивших основных фондов в общей стоимости основных фондов на конец
периода), коэффициент обновления (показывает долю новых основных фондов в общей
стоимости основных фондов на конец периода), коэффициент выбытия (показывает
долю всех выбывших основных фондов в общей стоимости основных фондов на начало
периода), коэффициент ликвидации (показывает долю ликвидированных основных
фондов в общей стоимости основных фондов на начало периода), коэффициент износа
(характеризует степень износа основных фондов в ходе эксплуатации), коэффициент
годности (показывает долю остаточной стоимости основных фондов в полной
стоимости основных фондов).
Рассчитаем данные показатели для ФГУ ДЭП-97.
Таблица 10 - Показатели движения и воспроизводства основных
фондов за 2005-2007 гг на ФГУ ДЭП-97
|
Группа основных
средств
|
2005
|
2006
|
2007
|
Абсолютное
отклонение
|
Относительное
отклонение, %
|
|
|
|
|
2006/2005
|
2007/2006
|
2006/2005
|
2007/2006
|
|
1. Коэффициент
поступления (ввода) (Квв)
|
0,004
|
0,003
|
0,03
|
-0,001
|
0,027
|
75
|
1000
|
|
2. Коэффициент
обновления (Коб)
|
0,003
|
0,003
|
0,04
|
0
|
0,037
|
100
|
1333
|
|
3. Коэффициент
выбытия основных средств (Квыб)
|
0,03
|
0,07
|
0,01
|
0,04
|
-0,06
|
233
|
14
|
|
4. Коэффициент
ликвидации (Кл)
|
0,02
|
0,05
|
0,02
|
0,03
|
-0,03
|
250
|
40
|
|
5. Коэффициент
износа (Ки)
|
0,76
|
0,79
|
0,82
|
0,03
|
0,3
|
104
|
104
|
|
6. Коэффициент
годности (Кг)
|
0,24
|
0,21
|
0,18
|
-0,03
|
-0,03
|
86
|
86
|
Таблица 10 показывает, что больше всего основных фондов
поступило в 2007, т.к. коэффициент ввода оказался самым большим и составил 0,3.
А доля выбывших основных средств в 2005 была 0,03, затем увеличилась на 0,03 и
стала 0,07. В этом году она оказалась большей, потому что в 2007 Квыб
составил 0,01, это на 0,06 меньше предыдущего. Степень изношенности можно
проследит с помощью коэффициента износа. На протяжении 3-х лет он увеличивался
и в 2007 составил 0,82.
2.4
Статистический анализ эффективности использования основных фондов изучаемого
объекта
К показателям эффективности использования основных фондов
относят фондоотдачу и фондоемкость. Фондоотдача показывает количество продукции,
приходящейся на 1 рубль среднегодовой стоимости основных фондов предприятия;
фондоемкость является обратной величиной, оценивающей стоимость фондов,
приходящуюся на 1 рубль продукции. Чем выше фондоотдача (ниже фондоемкость),
тем эффективнее.
Таблица 11 - Показатели уровня использования основных фондов
предприятия за 2005-2007 гг.
|
Показатель
|
2005
|
2006
|
2007
|
Абсолютное
отклонение
|
Темп роста, %
|
|
|
|
|
|
2006/ 2005
|
2007/ 2006
|
2006/ 2005
|
2007/ 2006
|
|
1
|
2
|
3
|
4
|
5
|
6
|
7
|
8
|
|
1. Объем
оказанных услуг, тыс. руб.
|
17800
|
25617,2
|
26808,5
|
9588,9
|
1191,3
|
160
|
105
|
|
2.
Среднегодовая стоимость основных фондов, тыс. руб.
|
12383,5
|
11789,5
|
11508,5
|
-594
|
-281
|
95
|
98
|
|
3.
Среднесписочная численность, чел.
|
107
|
105
|
102
|
-2
|
-3
|
98
|
97
|
|
4. Фондоотдача,
руб/руб
|
1,4
|
2,2
|
2,3
|
0,8
|
157
|
105
|
|
5. Фондоемкость,
руб/руб
|
0,7
|
0,5
|
0,4
|
-0,2
|
-0,1
|
71
|
80
|
|
6.
Фондовооруженность, тыс руб. /чел.
|
115,7
|
112,2
|
112,8
|
-3,5
|
0,6
|
97
|
101
|
|
|
|
|
|
|
|
|
|
Рассчитав фондоотдачу за весь период, можно сделать вывод,
что она в 2006 году увеличилась по сравнению с 2005 на 0,8 руб/руб и стала 2,2
руб/руб. Это показывает, что в 2006 году на один рубль основных фондов
количество оказанных услуг увеличилось на 8 тыс. рублей по сравнению с 2005
годом, а в 2007 году фондоотдача изменилась на 0,1 руб/руб по сравнению с 2006
годом, т.е. количество произведённой продукции на один рубль основных фондов
увеличилось по сравнению с2006 годом на 1 тыс. руб.
Фондоёмкость в 2005 году - 0,7 руб/руб. Это означает, что
стоимость основных производственных фондов, приходящихся на один рубль
оказанных услуг, равна 7 тыс руб. В 2006 году эта величина сократилась на 0,2
руб/руб и стала 0,5 руб/руб, то есть стоимость основных производственных
фондов, приходящихся на один рубль произведённой продукции, уменьшилась. И в
2007 году показатель фондоемкость тоже уменьшился на 0,1 руб/руб.
Основные фонды используются достаточно эффективно, т.к.
показатель фондоотдачи имеет тенденцию к увеличению, а фондоемкости - к
уменьшению.
3.
Статистическая оценка влияния факторов и прогнозирование эффективности
использования основных фондов ФГУ ДЭП-97
.1 Факторный
анализ фондоотдачи на основе индексного метода статистики
Индексами в статистике называются относительные величины,
которые показывают изменения явлений во времени или пространстве (индекс
означает показатель). С их помощью можно определить среднее изменение сложных
разнородных явлений, состоящих из элементов, непосредственно не поддающихся
суммированию. Так можно определить, как в среднем изменился объем нескольких
видов разнородной продукции, как в среднем изменились цены на несколько видов
различных товаров, себестоимость нескольких видов изделий.
В общей теории статистики индексы занимают особое место. При
помощи индексов исчисляются не только средние показатели изменения сложных
общественных явлений в динамике или в пространстве, но и в связи между
явлениями и измеряют степень влияния отдельных факторов.
Одним из направлений статистического изучения эффективности
основных и оборотных фондов является анализ их динамики. Он проводится с помощью
индексного метода.
В связи с этим динамика фондоотдачи изучается построением
следующих индексов:
а) индекс фондоотдачи переменного состава:
где Фо1, Фо0 - индивидуальные значения фондоотдачи по каждой
единице совокупности соответственно в отчетном и базисном периоде;
ОФ1, ОФо - объём основных производственных фондов
по каждой единице совокупности соответственно в отчетном и базисном периоде.
б) индекс фондоотдачи фиксированного состава:
в) индекс структурных сдвигов:
Рассчитаем индексы переменного состава, фиксированного
состава и структурных сдвигов и оформим в таблицу.
Таблица 12 - Расчетная таблица для вычисления индексов
|
Группа основных
средств
|
2005
|
2006
|
2007
|
|
ОФ
|
Фо
|
ОФ
|
Фо
|
ОФ
|
Фо
|
|
1. Здания
|
4354
|
2,1
|
4354
|
2,1
|
4354
|
2,1
|
|
2. Сооружения и
передаточные устройства
|
867
|
1,0
|
867
|
1,0
|
867
|
1,0
|
|
3. Машины и
оборудования
|
5924
|
2,3
|
5365,5
|
2,25
|
4991
|
2,1
|
|
4. Транспортные
средства
|
1230,5
|
1,8
|
1195
|
1,7
|
1290
|
1,9
|
|
5.
Производственный хозяйственный инвентарь
|
8
|
2,8
|
8
|
2,5
|
6,5
|
2,4
|
Вычислим индексы, считая, что за базисный 2005, а за отчетный
- 2006.
Теперь рассчитаем те же индексы, считая, что базисный - 2006,
а отчетный - 2007.
Таблица 13 - Вычисленные значения индексов
|
Индексы
|
2005
|
2006
|
2007
|
|
Переменного
состава
|
0,93
|
0,97
|
-
|
|
Фиксированного
состава
|
1,02
|
0,97
|
-
|
|
Структурных
единиц
|
0,91
|
1,0
|
-
|
Правильность расчетов можно проверить равенством

:
г.: 0,93= 1,02*0,91;
г.: 0,97 =0,97*1,0
Из таблицы 9 следует, что фондоотдача основных средств в 2006 г.
увеличилась и составила 2,3 руб. /руб., за счет увеличения выручки от реализации
на 7817,2 тыс. руб. - об этом свидетельствует индекс фиксированного состава, и
за счет снижения среднегодовой стоимости основных средств на 815 тыс. руб. -
свидетельствует индекс структурных сдвигов.
И в 2007 году показатель фондоотдачи остался прежним по сравнению
с 2006 годом.
.2
Статистическое изучение взаимосвязи объема производства продукции и фондоотдачи
с использованием корреляционно-регрессионного анализа
Наличие корреляционной связи присуще многим
социально-экономическим явлениям. Корреляционная зависимость существует там,
где взаимосвязанные явления характеризуются только случайными величинами. При
такой связи среднее значение случайной величины результативного признака (y)
закономерно изменяется в зависимости от изменения другой величины (х) или
других случайных величин х1, х2, …, хn.
Корреляционная связь проявляется не в каждом отдельном случае, а во всей
совокупности в целом. Только при достаточно большом количестве случаев каждому
значению случайного признака х будет соответствовать распределение средних
значений случайного признака у.
К методу корреляции прибегают, потому что невозможно
определить влияние всех факторов на результативный признак, так как они либо
неизвестны, либо их нельзя измерить. Корреляционный анализ количественно оценивает
связь между двумя или несколькими взаимодействующими явлениями. Его применение
позволяет определить наличие и силу связи между явлениями. Связь между
явлениями обнаруживается статистически (посредством изменения величины
признаков одного явления устанавливается изменение величины признака другого
явления).
Установим результативный и факторный признаки: результативный
признак (y) - объем оказанных услуг, тыс. руб., факторный (x) - фондоотдача,
руб/руб
Определим наличие и форму корреляционной связи между объемом
оказанных услуг и фондоотдачей. Так как увеличение значений признака-фактора
влечёт за собой увеличение величины результативного признака. То можно
предположить наличие прямой корреляционной связи между объемом оказанных услуг
и фондоотдачей, y = a + bx. Проведём группировку по признаку-фактору.
Результаты оформим в таблицу.
Составим систему нормальных уравнений для выбранной функции
∑у=na + b∑ x
∑xy=a ∑x
+ b ∑x2
Таблица 10 - Расчетная таблица для корреляционного анализа
|
№
|
Фондоотдача,
руб/руб, х
|
Объем
оказанных услуг, тыс. руб., у
|
xy
|
х2
|
y2
|
|
1
|
0,7
|
10118,7
|
7083,09
|
0,49
|
102388089,7
|
|
2
|
0,9
|
11991,7
|
10792,53
|
0,81
|
143800868,9
|
|
3
|
0,9
|
12033,3
|
10829,97
|
0,81
|
144800308,9
|
|
4
|
0,9
|
12873,5
|
11587,05
|
0,81
|
165752750,3
|
|
5
|
1,0
|
14205,1
|
14205,1
|
1
|
201784866
|
|
6
|
1,0
|
14917,6
|
14917,6
|
1
|
222534789,8
|
|
7
|
1,1
|
15011,4
|
16512,54
|
1,21
|
225342130
|
|
8
|
1,3
|
15313,7
|
19907,81
|
1,69
|
234509407,7
|
|
9
|
1,4
|
17200,2
|
24080,28
|
1,96
|
295846880
|
|
10
|
1,4
|
17800,3
|
24920,42
|
1,96
|
316850680,1
|
|
11
|
2,2
|
25617,2
|
56357,84
|
4,84
|
656240935,8
|
|
12
|
2,3
|
26808,5
|
61659,55
|
5,29
|
718695672,3
|
|
Сумма
|
15,1
|
193892,2
|
272853,78
|
21,87
|
3428547380
|
|
Среднее
|
1,3
|
16157,7
|
22737,82
|
1,82
|
285712281,6
|
,2=12а + 15,1 b
,78=15,1a + 21,87 b
а =16157,7 - 1,3b
272853,78=15,1* (16157,7-1,3b) +21,87b=243981,27+2,24b
28872,51= 2,24b= 12889,5= - 598,7
Тогда связь между фондоотдачей и объемом оказанных услуг ФГУ
ДЭП-97 выражается следующим уравнением: y=12889,5 - 598,7х.
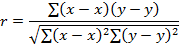
Степень тесноты связи между признаками можно определить при
помощи коэффициента корреляции:
где r - коэффициент корреляции;,y - значение изучаемых
признаком;, ? - средние значения признаков

+
Коэффициент корреляции равный 0,98 свидетельствует о существовании
сильной прямой зависимости между фондоотдачей и объемом оказанных услуг ФГУ
ДЭП-97.
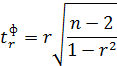
Для оценки значимости линейного коэффициента корреляции r
применяется t-критерий Стьюдента. При этом определяется фактическое (расчетное)
значение критерия trф
где n-2 - число степеней свободы при заданном уровне значимости α (обычно 0,05) и числа степеней свободы
k=n-2.

Расчетное значение trф сравнивают с
табличным значением t-критерия tkр, которое определяют по таблице
Стьюдента при заданном уровне значимости α (обычно 0,05) и числом степеней свободы
n-2. По таблице на пересечении α=0,05 и k=10 смотрим значение tкр.
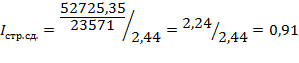
Параметр r признается значимый, если trф>tkр., trф=15,5,
tкр=3,84
Вычисленный коэффициент корреляции можно считать значимым.
Вычислим коэффициент эластичности, который показывает изменение
результативного признака на 1%.
Изменение результативного признака равно 1,04%
.3
Статистическое прогнозирование фондоотдачи на основе экстраполяции
Необходимым условием регулирования рыночных отношений
является составление надежных прогнозов развития социально-экономических
явлений.
Выявление и характеристика трендов и моделей взаимосвязи
создают базу для прогнозирования, т.е. для определения ориентировочных размеров
явлений в будущем. Для этого используют метод экстраполяции.
Под экстраполяцией понимают нахождение уровней за пределами
изучаемого ряда, т.е. продление в будущее тенденции, наблюдавшейся в прошлом
(перспективная экстраполяция).
Такой метод прогнозирования применяется преимущественно для
краткосрочных (текущих) прогнозов.
При экстраполяции развитие одного явления
не связывается с другим, т.е. развитие прогнозируемого явления рассматривается
только как функция времени.
В процессе моделирования тренда перед
аналитиком стоит задача - подобрать ту модель, которая наилучшем бы образом
отображала основную тенденцию ряда динамики. Выбор модели зависит от цели
исследования, осуществляющейся в процессе теоретического анализа, позволяющего
установить характер развития явления.
По отношению к ФГУ ДЭП-97 для
прогнозирования будем использовать линейную модель:
,
где a, b - параметры уравнений тренда;- параметр времени.
Для нахождения параметра t используют следующие формулы:
а) если число уровней нечетно:
б) если число уровней четно:
,
где k - порядковый номер периода (1,2,3…)- число уровней ряда
динамики или число периодов.
При условии, что ∑t = 0, имеем систему для вычисления
параметров a и b:
Рассчитаем данные для прогнозирования фондоотдачи и оформим
их в таблицу.
Таблица 15 - Расчетная таблица для прогнозирования методом
экстраполяции
Годы Фондоотдача, руб/руб, yi Порядковый
номер периода, k Параметр времени, ti
i2i∙ ti
|
2000
|
1,0
|
1
|
-7
|
49
|
-7,0
|
0,76
|
|
2001
|
1,0
|
2
|
-5
|
25
|
-5,0
|
0,96
|
|
2002
|
1,1
|
3
|
-3
|
9
|
-3,3
|
1,16
|
|
2003
|
1,3
|
4
|
-1
|
1
|
-1,3
|
1,36
|
|
2004
|
1,4
|
5
|
1
|
1
|
1,4
|
1,56
|
|
2005
|
1,4
|
6
|
3
|
9
|
4,2
|
1,76
|
|
2006
|
2,2
|
7
|
5
|
25
|
11
|
1,96
|
|
2007
|
2,3
|
8
|
7
|
49
|
16,1
|
2,16
|
|
Сумма
|
11,7
|
|
|
168
|
16,1
|
|
Вычислим коэффициенты a и b:
Таким образом, уравнение нашей модели будет иметь вид:
Подставив соответствующее t можно вычислить прогноз на 2008 год:
2008=1,46+0,1*8=2,26.
На практике результат экстраполяции обычно представляют не
точечными, а интервальными оценками, поскольку прогноз - это всегда оценка
вероятностная.
Вероятностная граница прогнозного интервала определяется по
формуле:
,
где Yt - точечная оценка прогноза;α - коэффициент доверия, который
определяется по таблице Стьюдента с учетом заданного уровня α и числа степеней свободы k (k=n-m; для
уравнения прямой m=2);Y - остаточное среднее квадратическое
отклонение от тренда
,
где yα -
исходные уровни ряда динамики;t - новые (выровненные) уровни ряда
динамики.
Вычислим интервальный прогноз фондоотдачи.
Y =
0,22
Экстраполируя ряды динамики, необходимо иметь ввиду, что
экстраполяция носит не только приближенный, но и условный характер. Поэтому ее
следует рассматривать как предварительный этап в разработке прогноза. Для
составления качественных прогнозов должна быть привлечена дополнительная
информация, не содержащаяся в самом динамическом ряду.
Таким образом, фондоотдача на ФГУ ДЭП-97 по прогнозу методом
экстраполяции в 2008 году должна находиться в интервале от 1,732 руб/руб до
2,788 руб/руб
3.4 Основные
направления повышения эффективности использования основных фондов ФГУ ДЭП-97
Самым важным показателем использования основных фондов
является фондоотдача, так как с увеличением фондоотдачи повышается
эффективность использования основных средств.
Вначале хотелось бы рассказать о способах улучшения
эффективности производства. В рыночных условиях требуются глубокие сдвиги в
экономике - решающей сфере человеческой деятельности. Необходимо осуществить
крутой поворот к интенсификации производства, переориентировать каждое предприятие,
организацию, фирму на полное и первоочередное использование качественных
факторов экономического роста. Должен быть обеспечен переход к экономике высшей
организации и эффективности со всесторонне развитыми производительными силами и
производственными отношениями, хорошо отлаженным хозяйственным механизмом. В
значительной степени необходимые условия для этого создает рыночная экономика.
При обосновании и анализе всех показателей экономической
эффективности учитываются факторы повышения эффективности производства по
основным направлениям развития и совершенствования производства. Эти
направления охватывают комплексы технических, организационных и
социально-экономических мер, на основе которых достигается экономия живого
труда, затрат и ресурсов, повышение качества и конкурентоспособности продукции.
Важнейшими факторами повышения эффективности производства здесь выступают:
ускорение научно - технического прогресса, повышение
технического
уровня производства, производимой и осваиваемой продукции
(повышение ее качества), инновационная политика;
структурная перестройка экономики, ее ориентация на
производство
товаров народного потребления, совершенствование
воспроизводственной структуры капитальных вложений (приоритет реконструкции и
технического перевооружения действующих предприятий), ускоренное развитие
наукоемких, высокотехнологичных отраслей;
совершенствование развития диверсификации, специализации и
кооперирования, комбинирования и территориальной организации
производства, совершенствование организации производства и труда на
предприятиях и в объединениях;
разгосударствление и приватизация экономики,
совершенствование
государственного регулирования, хозяйственного расчета и
системы мотивации к труду;
Важнейшим фактором повышения эффективности общественного
производства, обеспечения высокой его эффективности был и остается
научно-технический прогресс. До последнего времени НТП проистекал эволюционно.
Преимущество отдавалось совершенствованию уже существующих технологий,
частичной модернизации машин и оборудования. Такие меры давали определенную, но
незначительную отдачу. Недостаточны были стимулы разработки и внедрения
мероприятий по новой технике. В современных условиях формирования рыночных
отношений нужны революционные, качественные изменения, переход к принципиально
новым технологиям, к технике последующих поколений.
Таким образом, подводя итог всему вышесказанному, приведем
все основные пути повышения эффективности на рисунке 2.
Пути повышения эффективности производства
Рисунок 2 - Пути повышение эффективности производства
Указанные пути повышения справедливы для экономики в общем. А
сейчас конкретно по данному предприятию внесем некоторые предложения по
повышению эффективности производства:
) высокими темпами производить техперевооружение
производства;
2) стимулирование высокой эффективности и отдачи труда
работников предприятия при помощи оплаты труда. Система премирования должна
быть нацелена на повышение материальной заинтересованности работников в
количественных и качественных результатах труда, экономию
материально-технических ресурсов, а также на снижение затрат на производство и
повышение его рентабельности.
) выполнение большего числа заказов по ремонту дорог и
дорожных сооружений;
) сдача в аренду площадей, находящихся в собственности
предприятия. Доход от этого использовать на развитие производства;
) необходимые для развития денежные средства можно
получить взятием кредита.
Заключение
Улучшение использования основных средств отражается на
финансовых результатах работы предприятия за счет: увеличения выпуска
продукции, снижения себестоимости, улучшения качества продукции, снижения
налога на имущество и увеличения балансовой прибыли.
Прирост основных фондов и производственных мощностей
промышленности, ее отраслей и предприятий достигается благодаря новому
строительству, а также реконструкции и расширению действующих предприятий.
Реконструкция и расширение действующих фабрик и заводов,
являясь источником увеличения основных фондов и производственных мощностей
предприятий, одновременно позволяют лучше использовать имеющийся в
промышленности производственный аппарат.
Решающую часть прироста продукции в целом по промышленности
получают с действующих основных фондов и производственных мощностей, которые в
несколько раз превышают ежегодно вводимые новые фонды и мощности.
Известно, что на предприятиях кроме действующих станков,
машин и агрегатов часть оборудования находится в ремонте и резерве, а часть -
на складе. Своевременный монтаж не установленного оборудования, а также ввод в
действие всего установленного оборудования за исключением части, находящейся в
плановом резерве и ремонте, значительно улучшает использование основных фондов.
Итак, в курсовой работе были рассмотрены теоретические
аспекты повышения эффективности использования основных фондов и применены на
практике при анализе хозяйственной деятельности ФГУ ДЭП-97. Предприятие
переживало тяжелые времена в 90-е годы XX века и в самом начале XXI века, но в
2005-2007 гг ситуация стабильно улучшалась, о чем свидетельствует анализ
деятельности организации. В его результате выявлено, что на ФГУ ДЭП-97 все-таки
существует проблема эффективного использования основных фондов, и были
предложены некоторые рекомендации по решению данной проблемы, которые
поспособствуют благоприятному и стабильному дальнейшему развития предприятия, а
именно:
) высокими темпами производить техперевооружение
производства;
2) стимулирование высокой эффективности и отдачи труда
работников предприятия при помощи оплаты труда. Система премирования должна
быть нацелена на повышение материальной заинтересованности работников в количественных
и качественных результатах труда, экономию материально-технических ресурсов, а
также на снижение затрат на производство и повышение его рентабельности.
) выполнение большего числа заказов по ремонту дорог и
дорожных сооружений.
Пути улучшения использования основных средств зависят от
конкретных условий, сложившихся на предприятии за тот или иной период времени.
В третьей главе была рассмотрена статистическая оценка
влияния факторов и прогнозирование эффективности использования основных фондов
ФГУ ДЭП-97. С помощью индексов переменного, фиксированного и постоянного
состава выявлена зависимость фондоотдачи от объема реализации и от
среднегодовой стоимости основных средств. Корреляционно-регрессионный анализ
показал связь объема производства продукции и фондоотдачи. Коэффициент
корреляции, равный 0,98, говорит о том, что эта связь очень тесная.
Прогнозирование методом экстраполяции дало возможные значения фондоотдачи на
2008 год, как точечное значение, так и интервальные значения.
Список
использованных источников
1. Банк
В.Р., Банк С.В. Финансовый анализ: учебное пособие. - М.: ТК Велби,
Издательство "Проспект", 2006. - 344с.
2. Батуева
А.Д., Петецкая Е.П., Кокарев. Статистика: учебное пособие для вузов. - М.:
Издательство "Экзамен", 2008. - 255с.
. Гусаров
В.М. Статистика: Учебное пособие для вузов. - М.: ЮНИТИ - ДАНА, 2001. с.340 -
348. Пелих А.С. Экономика предприятия - М.: ИКЦ "МарТ", 2004. - 400
с.
. Елисеева
И.И. Статистика: Учебник. - М.: Высшее образование, 2006 - 565 с.
. Зайцев
Н.Л. Экономика организации - М.: Экзамен, 2004. - 624 с.
6. Иванов Ю.Н. Экономическая статистика: Учебник. - М.:
Инфра-М, 1998. - 480 с.
7. Налетова
И.А. Анализ финансово-хозяйственной деятельности: Учебно-методическое пособие.
- М.: ФОРУМ: ИНФРА-М, 2006. - 128с.
. Общая
теория статистики: Статистическая методология в изучении коммерческой
деятельности: учебник / под ред.О. Э Башиной, А.А. Спирина. - 5-е изд., доп. И
перераб. - М.: Финансы и статистика, 2007. - 440с.
. Пелих
А.С. Экономика предприятия - М.: ИКЦ "МарТ", 2004. - 400 с.
. Практикум
по статистике: Учебное пособие для вузов / Под ред. проф.В.М. Симчеры. -
Москва, ЗАО "Финстатинфом", 1999. с.6 - 12.
. Практикум
по статистике: Учебное пособие для вузов / Под ред.Я.С. Мелкумова, 2004. - 97с.
. Раицкий
К.А. Экономика предприятия: Учебник для вузов. - 2-е изд. - М.:
Информационно-внедренческий центр "Маркетинг", 2000. - 696 с.
. Савицкая
Г.В. Анализ хозяйственной деятельности предприятия. - 3-е изд. - Мн.: ИП
"Экоперспектива", "Новое знание", 2005. - 498 с.
. Статистика.
Курс лекций/Краснобокая И. А
. Статистика:
Учебник / Под ред.И. И. Елисеевой. - М.: Высшее образование, 2006. - 565с
. Статистический
словарь / Госкомстат РФ. - М.: Финансы и статистика, 1989. - 621 с
. Чернова
А.В. Анализ хозяйственной деятельности предприятия: Учебное пособие. - Орел,
ОрелГТУ, 2001. - 86с.
. Шепеленко
Г.И. Экономика, организация и планирование производства на предприятии. - М.:
ЮНИТИ, 2003. - 592 с.
. Экономика
организаций: учебник для вузов / Ю.Ф. Елизаров. - М.: издательство "Экзамен",
2005. - 496 с.
. Экономика
предприятия: учебник / Под ред.А.Е. Карлика, М.Л. Шухгальтера. - М.: ИНФРА-М,
2004. - 432 с. (Высшее образ.).