кодирование и декодирование линейных групповых кодов

  • Вид работы:
    Практическое задание
  • Предмет:
    Информатика, ВТ, телекоммуникации
  • Язык:
    Русский
    ,
    Формат файла:
    MS Word
    19,24 Кб
  • Опубликовано:
    2012-09-05
Вы можете узнать стоимость помощи в написании студенческой работы.
Помощь в написании работы, которую точно примут!

кодирование и декодирование линейных групповых кодов

Министерство образования Республики Беларусь

Учреждение образования

«Белорусский государственный университет информатики и радиоэлектроники»

Кафедра радиотехнических систем







Отчет по лабораторной работе №1

«КОДИРОВАНИЕ И ДЕКОДИРОВАНИЕ ЛИНЕЙНЫХ ГРУППОВЫХ КОДОВ»











Минск 2012

Цель работы

1.1. Изучить методы помехоустойчивого кодирования и декодирования информации с помощью линейных групповых кодов.

.2. Изучить принципы построения и функционирования кодирующих и декодирующих устройств этих кодов.

.3. Исследовать основные характеристики линейных кодов.

Предварительное задание

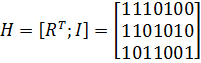
Порождающая матрица:

Проверочная матрица:

Основные параметры кода:

Практическая часть

Ошибки 1-й кратности

Кодер

Канал связи

Синдромный декодер

Мажоритарный декодер

a

C

e

y

f

s

0010

0010101

1000000

1010101

1

0010

111

0010


0010101

0100000

0110101

1

0010

110

0010


0010101

0010000

0000101

1

0010

101

0010


0010101

0001000

0011101

1

0010

011

0010


0010101

0000100

0010001

1

0010

100

0010


0010101

0000010

0010111

1

0010

0010


0010101

0000001

0010100

1

0010

001

0010



Ошибки 2-й кратности

Кодер

Канал связи

Синдромный декодер

Мажоритарный декодер

a

C

e

y

f

s

0010

0010101

1000001

1010100

1

1110

110

1110


0010101

1000010

1010111

1

1000

101

1000


0010101

1000100

1010001

1

1011

011

1011


0010101

1001000

1011101

1

1011

100

1011


0010101

1010000

1000101

1

1000

010

1000


0010101

1100000

1110101

1

1110

001

1110


0010101

0100001

0110100

1

1110

111


0010101

0100010

0110111

1

0110

100

0110


0010101

0100100

0110001

1

0110

010

0110


0010101

0101000

0111101

1

0101

101

0101


0010101

0110000

0100101

1

0101

011

0101


0010101

0010001

0000100

1

0000

100

0000


0010101

0010010

0000111

1

1000

111

1000


0010101

0010100

0000001

1

0000

001

0000


0010101

0011000

0001101

1

0101

110

0101


0010101

0001001

0011100

1

0011

010

0011


0010101

0001010

0011111

1

0011

001

0011

0001100

0011001

1

1011

111

1011


0010101

0000101

0010000

1

0000

101

0000


0010101

0000110

0010011

1

0110

110

0110


0010101

0000011

0010110

1

0011

011

0011


Ошибки 3-й кратности

Кодер

Канал связи

Синдромный декодер

Мажоритарный декодер

a

C

e

y

f

s

0010

0010101

1000011

1010110

1

1010

100

1010


0010101

1100001

1110100

0

1110

000

1110


0010101

1001001

1011100

1

1001

101

1001


Ошибки 4-й кратности

Кодер

Канал связи

Синдромный декодер

Мажоритарный декодер

a

C

e

f

s

0010

0010101

1101001

1111100

1

1110

011

1110


0010101

1110100

1100001

0

1100

000

1100


0010101

1111000

1101101

1

0101

111

0101


Ошибки 5-й кратности

Кодер

Канал связи

Синдромный декодер

Мажоритарный декодер

a

C

e

y

f

s

0010

0010101

1001111

1011010

1

1010

011

1010


0010101

1111100

1101001

1

1100

011

1100


0010101

0111101

0101000

1

0111

101

0111


Ошибки 6-й кратности

Кодер

Канал связи

Синдромный декодер

Мажоритарный декодер

a

C

e

Y

s

0010

0010101

0111111

0101010

1

1101


1101


0010101

1011111

1001010

1

1101


1101


0010101

1111110

1101011

1

1101


1101


Ошибки 7-й кратности

Кодер

Канал связи

Синдромный декодер

Мажоритарный декодер

a

C

e

y

f

s

0010

0010101

1111111

1101010

0

1101

000

1101


Анализ результатов: из полученных данных можно сказать, что данный код способен обнаруживать ошибки 2-й кратности, исправлять ошибки 1-й кратности.

Ошибки кратности больше 2-й, данный код исправить не может, но может обнаружить, в том случае, если полученное y совпадет с запрещенной комбинацией, в противном случае (если ошибка совпадает с разрешенной комбинацией) y совпадает с разрешенной комбинацией и ошибка не детектируется.

Выводы

кодирование код помеха

В ходе выполнения работы были получены навыки получения линейных групповых кодов и способов их декодирования с учетом помех различной кратности.

1.      

Похожие работы на - кодирование и декодирование линейных групповых кодов

 

Не нашли материал для своей работы?
Поможем написать уникальную работу
Без плагиата!
Без нейросетей!