|
Валы
|
Передаточные отношения
|
Числа зубьев
|
|
0-I
|
i1=1,262=1,59
|
i1=55/35
|
|
i2=1,26=1,26
|
i2=50/40
|
|
I3=1,26-1=0,79
|
i3=40/50
|
|
I4=1,26-2=0,63
|
i4=35/55
|
|
I-II
|
i5=1
|
i5=45/45
|
|
i6=1,26-4=0.4
|
i6=26/64
|
|
i7=1
|
i7=45/45
|
|
i8=1,26-4=0,4
|
i8=26/64
|
|
i9=1,26-4=0,4
|
i9=26/64
|
|
i10=1,26-6=0,25
|
i10=18/72
|
|
i11=1,26-4=0,4
|
i11=26/64
|
|
i12=1,26-6=0,25
|
i12=18/72
|
|
II-III
|
i13=1
|
i13=45/45
|
|
i14=1,26-2=0,63
|
i14=35/55
|
|
i15=1
|
i15=45/45
|
|
II-III
|
i16=1,26-2=0,63
|
i16=35/55
|
|
i17=1
|
i17=45/45
|
|
i18=1,26-2=0,63
|
i18=35/55
|
|
i19=1
|
i19=45/45
|
|
i20=1,26-2=0,63
|
i20=35/55
|
|
i21=1,26-1=0,79
|
i21=40/50
|
|
i22=1,26-3=0,5
|
i22=30/60
|
|
i23=1,26-1=0,79
|
i23=40/50
|
|
i24= 1,26-3=0,5
|
i24=30/60
|
|
i25= 1,26-3=0,5
|
i25=30/60
|
|
i26=1,26-5=0,31
|
i26=21/69
|
|
i27=1,26-3=0,5
|
i27=30/60
|
|
i28=1,26-5=0,31
|
i28=21/69
|
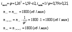
7. Уравнение
кинематического баланса:
Вывод: так как ошибка во всех случаях получилась меньше 2,6%, то число
зубьев у всех колес подобранно верно.
Расчет
крутящих моментов и мощности
1. Выбор
электродвигателя
Фрезерование производится дисковыми фрезами.
Сила Pz (вертикальная составляющая силы
резания):
,
Принимаем: Сталь, НВ=302, t=8 мм, S=0,050 мм
Это чистовое фрезерование стали, прошедшей
термообработку.
Скорость резания:
Где n=1800
(об/мин)
dфр=180(мм)
Крутящий момент на последнем валу:
Эффективная мощность при выбранном режиме:
Принимаем
Мощность электродвигателя:
Где
- общий КПД коробки
- общее количество пар трения
-каждая из пар трения, действующих при работе станка:
зубчатые зацепления 0-1, 1-2, 2-3, в каждом
подшипники качения на 2х валах (ориентировочно), всего 18 шт, в каждой
Мощность двигателя:
В таблице из интернет ресурсов принимаем двигатель АИР180М4, N=30 (кВт), n=1500 (об/мин).
Рассчитаем
:
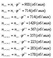
Расчет крутящих моментов валов:
У любого (iго) вала:
Отсюда:

Для вала "0":
=1134
В зубчатом зацеплении ηзз=0,97;
Для 4х подшипников качения ηпк=0,994=0,9606;
;
Мощность на входе равна:
;
Для вала "1":
Из 4х
выбираем нименьший
=714 (об/мин).
ηзз=0,972 - от вала
"0" и собственное;
Для вала "2":
=178 (об/мин);
ηзз=0,973
ηпк=0,9912
Для вала "3":
=56 (об/мин);
ηзз=0,974
ηпк=0,9916
При полном использовании 30 кВт и 29,428 Н низких частот вращения могут
быть очень большие крутящие моменты, больше чем 4000 кгс*см
2. Расчет
модулей для прямозубых колес
Проводится 2 расчета:
На напряжение изгиба:
- На контактную прочность:
фрезерный станок привод электродвигатель
Затем из 2х вбирается то значение, которое больше (входящие в формулы
величины рассматриваем далее). Полученные значения модуля следует округлить до
стандартных величин: m=2;2,5;3;4;5;6;8;10;13;16
(мм)
Не следует брать m<2.
Исходные данные для расчетов модуля:
- эффективная мощность, передаваемая i-м зацеплением;
- передаточное число зубчатой пары,
=1/i, где
i- передаточное отношение ;
знак "+" при наружном зацеплении;
знак "-" при внутреннем зацеплении;
- коэффициент формы зуба (табл. 4.4.1);
(табл. 4.1.1.) принимаем
=8
- допускаемое напряжение изгиба (табл. 4.2.1.), принимаем
(если m<6),
( если m>7),
ожидаем что m<6;
- допускаемое контактное напряжение (табл. 4.2.1.), принимаем
;
nр- расчетная частота вращения
шестерни;
К0 - коэффициент характера нагрузки:
,
- динамический коэффициент, учитывающий дополнительные
нагрузки от ошибок в шаге зубьев колес:
, принимаем
=1,15;
- коэффициент перегрузки,
=1…1,25, принимаем
=1,15;
-коэффициент неравномерности нагрузки,
=1…1,25, принимаем
=1,1;
К - коэффициент долговечности службы колес:
Коэффициент долговечности имеет реальный смысл в пределах К=0,3…1
Если К<0,3, то принимается К=0,3.
Если К>1. то принимается К=1.
- коэффициент, учитывающий использование мощности (табл.
4.4.2. в части 1 Матод. рук-во к выполнению курс. проекта, 1999 г.), выбираем
=0,65;
- коэффициент, характеризующий работу передачи на разных
частотах вращения (рис. 4.4.2.), выбираем
=1,58, т.к.
=0,65, а Rv=nmax/nmin=10…40 для всех передач данной
коробки;
Т - долговечность работы передачи, Т=10…12 тыс. часов, выбираем Т=11000
часов;
x -
число передач в элементарной коробке (у нас x=4);
N0 - базовое число циклов перемены
напряжений для материала зубчатых колес (шестерен) (табл. 4.2.1.), выбираем 40Х
с ТВЧ, N0=20*107 циклов.
nmin - минимальное число оборотов шестерен , об/мин.
Рассчитываем:
Расчет модуля с учетом предельного напряжения изгиба:
Зацепления между валами "0-1":
y=0,114
(табл. 4.4.1.) - коэффициент формы зуба
np=714 (об/мин)
Zш=57

Принимаем для зацепления между валами "0-1" модуль m=3.
Лимитирует напряжение изгиба.
Зацепления между валами "1-2":
=0,138 (табл. 4.4.1.) - коэффициент формы зуба
np=178 (об/мин)
Zш=72
Принимаем
=4 (мм)
Принимаем для зацепления между валами "1-2" модуль m=4.
Лимитирует напряжение изгиба.
Зацепления между валами "2-3":
=0,138 (табл. 4.4.1.) - коэффициент формы зуба
np=56 (об/мин)
Zш=69
Принимаем
=5 (мм)
Принимаем для зацепления между валами "2-3" модуль m=5.
Лимитирует напряжение изгиба.
3.
Расчет межосевых расстояний
Зная модуль и число зубьев Z1 и Z3 находим межосевое расстояние aw:
- Межосевое расстояние между валами "0-1":
- Межосевое расстояние между валами "1-2":
- Межосевое расстояние между валами "2-3":
4. Расчет
ширины венцов колес
- Если лимитирует напряжение изгиба:
- Если лимитирует контактная прочность:
Значение округляют до целого числа.
Минимально значение b=6мм
Во всех парах в проектируемой коробке лимитирует напряжение изгиба.
Зацепления между валами "0-1":
y=0,114
np=714 (об/мин)
Zш=57
m=3 (мм
)
- Зацепления между валами "1-2":
y=0,138
np=178 (об/мин)
Zш=72
m=4 (мм )
- Зацепления между валами "2-3":
y=0,138
np=56 (об/мин)
Zш=69
m=5
(мм )
5. Ориентировочный
расчет диаметров валов
Ориентировочно, только из расчета на кручение, т.к. пока еще нет данных о
расстояниях между опорами и размещении зубчатых колес, определяем диаметры
валов по формуле:
(3.2)
где
.

6.
Определение модуля подгрупп по напряжениям изгиба
По программе определяется модуль передачи и ширина зубчатого колеса.
После чего необходимо округлить эти значения до стандартных в большую сторону,
поскольку программа выдает минимальные допустимые значения, удовлетворяющие
заданным условиям работы.
7. Расчет
диаметров колес
Делительный диаметр
Диаметр окружности впадин
Диаметр окружности вершин
Расчет проводим с помощью компьютерной программы. Программа вычисляет
передаточное отношение зубчатого зацепления, как отношение числа зубьев колеса
к числу зубьев шестерни. Таким образом, нет необходимости считать каждую пару
зубчатых колес в коробке, а найти значения параметров наиболее нагруженных
передач в каждой группе и принять эти размеры для всей группы передач.
8. Расчет подшипников для 2-х опорных валов
9. Подбор
подшипников
. Выбираем подшипники шариковые радиальные однорядные 7204 по ГОСТ
27365-87.
.
е=0,42 (стр 110 П.Ф.Дунаев,О.П.Леликов)
Суммарные реакции в опорах:
Второй подшипник нагружен сильнее, дальнейший расчет по второму
подшипнику.
где V=1 - коэффициент, учитывающий
вращение колец
Х=1; Y=0
КБ=1,3 - коэффициент динамичности нагрузки [Дунаев, табл.
9.19, с. 214]; КТ=1 - температурный коэффициент [Дунаев, табл. 9.20,
с. 214
Расчетная долговечность подшипника:
Сr =26 кН - базовая радиальная
динамическая грузоподъемность
m -
показатель степени, m=3 - для
шарикоподшипников;
Подшипник подобран правильно.
2. Выбираем подшипники шариковые радиальные однорядные 7205 по ГОСТ
27365-87.
.
е=0,42 (стр 110 П.Ф.Дунаев,О.П.Леликов)
Суммарные реакции в опорах:
Второй подшипник нагружен сильнее, дальнейший расчет по второму
подшипнику.
где V=1 - коэффициент, учитывающий
вращение колец
Х=1; Y=0
КБ=1,3 - коэффициент динамичности нагрузки [Дунаев, табл.
9.19, с. 214];
КТ=1 - температурный коэффициент [Дунаев, табл. 9.20, с. 214
Расчетная долговечность подшипника:
Сr =29,2 кН - базовая радиальная
динамическая грузоподъемность
m -
показатель степени, m=3 - для
шарикоподшипников;
Подшипник подобран правильно.
3. Выбираем подшипники шариковые радиальные однорядные 7206 по ГОСТ
27365-87.
.
е=0,42 (стр 110 П.Ф.Дунаев,О.П.Леликов)
Суммарные реакции в опорах:
Второй подшипник нагружен сильнее, дальнейший расчет по второму
подшипнику.
где V=1 - коэффициент, учитывающий
вращение колец
Х=1; Y=0
КБ=1,3 - коэффициент динамичности нагрузки [Дунаев, табл.
9.19, с. 214];
КТ=1 - температурный коэффициент [Дунаев, табл. 9.20, с. 214
Расчетная долговечность подшипника:
Сr =38 кН - базовая радиальная
динамическая грузоподъемность
m -
показатель степени, m=3 - для
шарикоподшипников;
Подшипник подобран правильно.
4. Выбираем подшипники шариковые радиальные однорядные 7212 по ГОСТ
27365-87.
.
Суммарные реакции в опорах:
Второй подшипник нагружен сильнее, дальнейший расчет по второму
подшипнику.
где V=1 - коэффициент, учитывающий
вращение колец
Х=1; Y=0
КБ=1,3 - коэффициент динамичности нагрузки [Дунаев, табл.
9.19, с. 214];
КТ=1 - температурный коэффициент [Дунаев, табл. 9.20, с. 214
Расчетная долговечность подшипника:
Сr =91,3 кН - базовая радиальная
динамическая грузоподъемность
m -
показатель степени, m=3 - для
шарикоподшипников;
Подшипник подобран правильно.
Система
смазки
Для повышения долговечности, уменьшения трения и как следствие - износа,
увеличение КПД передач, а так же уменьшение шума и вибраций в коробке скоростей
предусмотрена система смазки.
Смазывание зубчатых колес, находящихся в зацеплении в коробке скоростей
осуществляется централизованной системой смазки поливанием маслом без давления.
В паспорте станка рекомендуется употреблять веретенное масло марки
"З" ГОСТ 1837-42. Масло, применяемое для смазки, должно быть чистым,
бескислотным, не должно содержать воды и твердых частиц.
Подача масла осуществляется плунжерным насосом, подоющим масло их
специального масляного разервуара. Для распределения масла по всей коробке и
обеспечения равного подвода к зубчатым зацеплениям установлен
маслораспределитель. От расходятся трубки к зонам контакта зубчатых колес.
На корпусе коробки скоростей вмонтирован маслоуказатель для отслеживания
уровня масла. Также имеется пробка, для слива и последуещей смены масла.
Переключение
скоростей
Коробка скоростей приводиться от электродвигателя, закрепленного на
верхней части станка, через муфту и зубчатую передачу.
Восемь различных чисел оборотов шпинделя осуществляется передвижением
двух двойных блоков шестерен.
Переключение шестерен осуществляется при помощи вилок, управляемых двумя
рукоятками , расположенными на стенке корпуса коробки.
Переключение скоростей в данной коробке скоростей осуществляется
установкой определенной комбинации положений рукояток.
Рукоятка поворачивается и вращает Г-образный рычаг, который входит в паз
на ползуне. Ползун, представляет собой подвижную в осевом направлении вилку,
перемещается по оси и передвигает блок шестерен в нужное зацепление. Из-за
того, что валы вертикальные и существует опасность самопроизвольного
перемещения блока шестерен под действием силы тяжести, предусмотрено стопорение
рукояток в каждом положении включения.
Библиографический
список
.Дунаев П.Ф. Леликов О.П. // Констуирование улов и деталей
машин. Изд. 9-е, 2006 год.
. Леликов О.П. // Основы расчета и проектирования деталей и
узлов. "Высшая школа", 1968, стр. 431.
. Методическое руководство к выполнению курсового проекта по
металлорежущим станкам для студентов всех видов обучения специальности 0501 -
Технология машиностроения, металлорежущие станки и инструмент. Ч. 1 и Ч. 2.
Изд. УПИ, Свердловск, 1978.
. Программа для расчетов mclspro.