Анализ социально-экономического развития Республики Бурятия
Содержание
Раздел 1. Теоретические основы социального развития
1.1 Понятие и сущность социально-экономического развития региона
1.2 Показатели характеризующие социальное развитие региона
1.3 Факторы оказывающие влияние на показатели социального развития
региона
Раздел 2. Методика проведения статистического анализа
2.1 Методика корреляционного анализа
2.2 Методика регрессионного анализа
2.3 Методы прогнозирования в рядах динамики
Раздел 3. Статистический анализ социального развития республики
бурятия
3.1 Современное состояние социального развития республики Бурятия
3.2 Корреляционно-регрессионный анализ показателей социального
развития республики Бурятия
3.3 Прогнозирование показателей социального развития республики
Бурятия
Заключение
Список использованой литературы
Введение
Проблемы устойчивого и согласованного
социально-экономического развития страны в целом и отдельных регионов являются
как никогда актуальными на современном этапе становления России как
равноправного и стабильного члена мирового сообщества. Развитие Российской
Федерации в условиях перехода к рыночным отношениям породило много серьезных
проблем. Отсутствие эффективных форм и методов проведения региональной политики
привело к резкой дифференциации регионов РФ по уровню экономического и социального
развития.
Цель курсовой работы - рассмотреть анализ и уровень
социально-экономического развития региона. Для достижения этой цели необходимо
решить следующие задачи: раскрыть понятие уровня социально-экономического
развития; рассмотреть основные проблемы социально-экономического развития
региона; а также сделать оценку социально-экономического развития
республики Бурятия.
Объектом исследования является республика Бурятия. Предмет
исследования - социально-экономическое развитие республики Бурятия.
Практическая значимость курсовой работы состоит в том, что
можно на основе этих данных оценить уровень социально-экономического развития
Республики Бурятия. Во введении дается общая характеристика выполненной работы.
В первой главе рассматривается теоретические основы анализа и уровня
социально-экономического развития региона. Здесь даются основные определения по
данной курсовой работе. Во второй главе, общая характеристика
социально-экономического развития Республики Бурятия, дается анализ,
рассмотрены механизмы и показатели уровня социально-экономического развития. В
заключении сформулированы основные выводы по результатам выполненного
исследования.
Раздел 1.
Теоретические основы социального развития
1.1 Понятие и
сущность социально-экономического развития региона
Устойчивое социально-экономическое развитие региона, решение
социальных проблем населения является условием сохранения региона. Особое
значение в управлении местными территориями придается развитию социальной
сферы, которая является базой формирования условий для воспроизводства
населения, на основе удовлетворения потребностей жителей.
Объективной необходимостью для современной России является
создание социально ориентированной рыночной экономики. Экономическое развитие
страны всегда оказывает влияние на социальную составляющую, так как любые
экономические процессы в той или иной степени имеют социальную окраску.
Социальная ориентация означает подчинение производства потребителю,
удовлетворение массовых потребностей населения.
В большинстве развитых стран потребности населения в начале и
середине XX в. поставили перед бизнесом две проблемы. Первая состояла в
необходимости насыщения очередного возросшего объема материальных потребностей
и вызвала стремительное наполнение рынка новыми товарами и рост цен,
сокращавший спрос. Вторая проблема была обусловлена появлением новых
потребностей в развитии образования, здравоохранения, культуры, охраны природы
и социальной защиты населения. Решение второй проблемы вызвало к жизни более
узкую область экономики, непосредственно связанную с социальными явлениями и
называемую социальной сферой. К ней принято относить экономические объекты и
процессы, виды экономической деятельности, непосредственно связанные с
потреблением материальных и духовных благ, услуг, удовлетворением конечных
запросов человека, семьи, коллектива и общества в целом. Социальная сфера
непосредственно связана и касается образа, уровня и качества жизни людей. Общая
характеристика социальной сферы свидетельствует, что социальная экономика
охватывает широкий круг экономических объектов и процессов. Прежде всего, она
изучает, анализирует природу и структуру потребностей, потребительские запросы
и рациональные потребности различных экономических субъектов.
Решение проблем стабильного развития экономики и повышения
благосостояния населения в России во многом определяется развитием регионов. В
нашей стране на протяжении многих десятилетий основным путем развития являлся
узкоотраслевой аграрный подход, в том числе на территориях с ограниченными
аграрными потенциалами. Это привело к однобокому аграрному развитию территорий
регионов, зачастую нерациональному размещению на них производительных сил,
неразвитости социально-бытовой инфраструктуры и другим серьезным проблемам.
Регион - это сложное и комплексное явление, представляющее
собой целостную, пространственно организованную форму жизнедеятельности как
системы, которой присущи относительная обособленность, целостность,
комплексность, структурированность, подчиненность единой цели, связи с внешней
средой.
Такая форма имеет свое содержание, которое включает:
. взаимодействие субъектов в процессе воспроизводства
условий жизнедеятельности;
2. материально-вещественные факторы, выступающие
основой воспроизводства;
. количественные и качественные показатели, характеризующие
результат - уровень социально-экономического развития.
К социальной сфере относят, прежде всего, сферу услуг
(образование, культуру, здравоохранение, социальное обеспечение, физическую
культуру, общественное питание, коммунальное обслуживание, пассажирский
транспорт, связь).
Основная цель развития регионов - стабилизация
социально-экономического развития, снижение бедности, повышение уровня и
улучшение условий жизни населения.
.2 Показатели
характеризующие социальное развитие региона
На социально-экономическое развитие
регионов влияет довольно большое число факторов (экономических, социальных,
политических и других), что создаёт трудности для нахождения комплексного
показателя оценки достигнутого уровня развития РСЭС.
Существуют различные подходы к определению
критериев социально-экономического развития регионов, к измерению степени их
значимости (оказываемого воздействия на социально-экономическое развитие) и
динамики показателей, характеризующих макроэкономическую ситуацию в регионе.
Для этого, обычно, предлагается построение экспертных рейтинговых оценок,
интегральных характеристик социально-экономического развития РСЭС, которые
описывают уровень развития по различным направлениям - экономический потенциал,
экономическая безопасность, инвестиционно-инновационная привлекательность,
конкурентные позиции региона и т.д.
Методика подобных исследований, как
правило, основывается на анализе таких категорий, как экономико-географическое
положение региона, ресурсно-производственный и трудовой потенциал, бюджетно-финансовые
отношения в регионе, внешнеэкономические связи, инвестиционная деятельность и
других.
Основным недостатком большинства
используемых методик оценки социально-экономического развития РСЭС является
логическое отсутствие базы для оценки - единой, важнейшей характеристики или
обоснованного набора характеристик региональной социально-экономической
системы, на основании динамики которых происходило бы обоснование используемых
в модели макроэкономических показателей, определение их весовых коэффициентов и
т.п.
Зачастую в существующих методиках оценки
отбор макроэкономических показателей для характеристики
социально-экономического развития региона происходит на основании анализа
зависимостей между ними, использования всевозможных критериев оптимальности и
т.п., но единого обоснованного всеохватывающего критерия (показателя), на
основе которого строится модель оценки и который характеризует общий уровень
развитости региональной социально-экономической системы, фактически нет.
Альтернативой служат методики, в которых
отбор показателей для включения в модель оценки происходит экспертным путём,
следует отметить, что в этом случае объективность подобных методик зависит
исключительно от компетентности составителей.
Также возможен третий путь - построение методик
оценки региональных социально-экономических систем, исходя из приоритетных
целей и задач социально-экономического развития, что также во многом
субъективный подход.
Мы предлагаем построение методики оценки
региональных социально-экономических систем на базе двух критериев - валового
регионального продукта (ВРП) как конечной характеристики региональной
экономической подсистемы и ожидаемой продолжительности жизни при рождении (ОПЖ)
как конечной характеристики социальной подсистемы.
Любой макроэкономический показатель,
который характеризует развитие экономической составляющей РСЭС, в конечном
счете, неизбежно сказывается на динамике ВРП.
Считается, что и любой социальный процесс
(или явление), в конечном счете, сказывается на продолжительности жизни. Например,
у людей, занимающихся спортом, продолжительность жизни гораздо выше, чем у тех,
кто спортом не занимается. Более того широко известен тот факт, что активная
умственная деятельность (например активные научные исследования) также
увеличивают продолжительность жизни, также считается что способствует продлению
жизни активное занятие культурой и религией.
Давыдянц Д.Е. в 1991 году для оценки
общего уровня развития региональных социально-экономических систем предложил
использовать произведение ВРП на душу населения и ожидаемой продолжительности
жизни при рождении, которое он определил как "критерий
социально-экономической эффективности".
.3 Факторы
оказывающие влияние на показатели социального развития региона
Социально-экономическое развитие регионов
в настоящее время испытывает возрастающее влияние трех главных факторов.
. Рыночного - взаимопроникновение
региональных, национальных и мирового рынков. Для России и ее регионов наиболее
значимыми являются либерализация внешней торговли и снятие протекционистских
ограничений в ближайшем будущем в результате вступления в силу соглашения с ЕС
и возможного принятия в ВТО.
. Конкурентного - усиление конкуренции на
всех перечисленных рынках, особенно неценовой конкуренции - конкуренции в
области качества жизни и инноваций.
. Производственного - постепенный переход
от фордизма к постфордизму как способу организации производства, что
подразумевает: замену массового производства мелкосерийным; заменой
вертикальной организации труда - горизонтальной; низкой индивидуальной
ответственности - соучастием индивида в производственном процессе.
Эти факторы ведут от территориальной
дифференциации и разделения труда к его территориальной интеграции, от
гомогенных региональных рынков - к диверсифицированным, а в целом - от национальной
региональной политики к собственно региональной на уровне отдельных субъектов
Федерации.
Для качественной характеристики и оценки
динамики изменения внутренней среды достаточно проанализировать следующие
группы факторов, характеризующих:
производственно-ресурсный потенциал
региона;
структуру регионального рынка;
кадровый потенциал региона;
региональный бюджет;
стратегию развития региона.
Внешняя среда региона прямого воздействия
включает взаимосвязи с партнерами:
внешними поставщиками товаров и услуг;
внешними потребителями;
регионами-конкурентами;
финансовыми организациями;
транспортными предприятиями.
Среда косвенного воздействия на регион
может включать следующие группы факторов влияния:
общеэкономические;
общеполитические;
научно-технические;
природно-экологические;
демографические.
Перспективы регионов России в первую
очередь обусловлены базовыми факторами, которые формируют преимущества или
барьеры пространственного развития. В "новой экономической географии"
(П. Кругман и др.) выделены две группы таких факторов.
. Факторы "первой природы":
обеспеченность природными ресурсами,
которые востребованы рынком (минеральными, земельными и др.);
выгодное географическое положение (в том
числе приграничное положение на путях глобальной торговли), снижающее транспортные
издержки и облегчающее трансляцию инноваций.
. Факторы "второй природы":
агломерационный эффект и высокая плотность
населения, дающие экономию на масштабе;
развитая инфраструктура, сокращающая
экономическое расстояние; этот фактор для России особенно важен из-за
протяженности ее территории;
человеческий капитал (образование,
здоровье, трудовые мотивации, мобильность и адаптивность населения);
институты, способствующие улучшению
предпринимательского климата, росту мобильности населения, распространения
инноваций и др.
Все эти факторы воздействуют на развитие
регионов и городов России, хотя в разных сочетаниях и в разной степени.
Особенностью регионального развития в нашей стране является повышенная роль
факторов "первой природы", прежде всего - обеспеченности минеральными
ресурсами, наиболее востребованными глобальным рынком (нефть, газ, металлы).
Факторы "второй природы", как и фактор географического положения, в
большинстве случаев работают как барьеры развития. Россия отличается:
малочисленностью городов, особенно крупных
с населением более 200 тыс. чел. (90 из 1090 российских городов), поэтому
агломерационный эффект проявляется слабо, за исключением крупнейшей агломерации
федеральной столицы;
неразвитой инфраструктурой и удаленностью
от транспортных путей большей части территории страны; масштабы экономической
периферии огромны даже в более плотно заселенной Европейской части (более 40%
территории по данным Т. Нефедовой);
бурятия социальный экономический статистический
снижением качества человеческого капитала
и депопуляцией, плохими институтами, модернизации которых препятствует не
только проводимая российскими властями политика, но и унаследованные
особенности развития (path dependence).
Все факторы и барьеры носят долговременный
характер, поэтому пространственное развитие очень инерционно. Быстрых
изменений, в том числе заметного ослабления барьерной функции факторов
"второй природы" и, тем более, сокращения масштабов периферийности, к
2020 г. не произойдет. Влияние базовых факторов и барьеров на пространственное
развитие следует учитывать в первую очередь при разработке прогнозов. Второй
основой для прогноза являются сложившиеся неравенства и тренды, поскольку
пространственное развитие очень инерционно. И только третьим компонентом может
быть прогноз политики властей, причем совсем не обязательно региональной. В
России до сих пор не сформировалась приоритеты региональной политики, плохо
работают ее инструменты, поэтому основное воздействие на развитие регионов
оказывают меры не региональной, а экономической и социальной политики.
Раздел 2.
Методика проведения статистического анализа
2.1 Методика
корреляционного анализа
При исследовании динамики стоимости акций в научных и
практических целях исследователю часто приходится проводить статистический
анализ связей между факторными и результативными признаками статистический
совокупности (причинно-следственная связь) или определение зависимости
параллельных изменений нескольких признаков этой совокупности от какой либо
третьей величины (от общей их причины). Для этого используются методы
корреляции.
. Виды проявления количественных связей между
признаками
· функциональная связь
· корреляционная связь
2. Определения функциональной и корреляционной связи
Функциональная связь - такой вид соотношения
между двумя признаками, когда каждому значению одного из них соответствует
строго определенное значение другого.
Корреляционная связь - такая связь, при
которой каждому определенному значению одного признака соответствует несколько
значений другого взаимосвязанного с ним признака.
Практическое значение установления корреляционной связи.
Выявление причинно-следственной между факторными и результативными признаками.
Зависимость параллельных изменений нескольких признаков от какой-то третьей
величины.
Величина, характеризующая направление и силу связи между
признаками. Коэффициент корреляции, который одним числом дает представление о
направлении и силе связи между признаками (явлениями), пределы его колебаний от
0 до ± 1
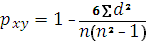
. Способы представления корреляционной связи
· график (диаграмма рассеяния)
· коэффициент корреляции
4. Направление корреляционной связи
· прямая
· oбратная
5. Сила корреляционной связи
· сильная: ±0,7 до ±1
· средняя: ±0,3 до ±0,699
· слабая: 0 до ±0,299
6. Методы определения коэффициента корреляции и формулы
· метод квадратов (метод Пирсона)
· ранговый метод (метод Спирмена)
7. Методические требования к использованию коэффициента
корреляции
· измерение связи возможно только в
качественно однородных совокупностях (например, измерение связи между ростом и
весом в совокупностях, однородных по полу и возрасту)
· расчет может производиться с
использованием абсолютных или производных величин
· для вычисления коэффициента корреляции
используются не сгруппированные вариационные ряды (это требование применяется
только при вычислении коэффициента корреляции по методу квадратов)
· число наблюдений менее 30
8. Рекомендации по применению метода ранговой
корреляции (метод Спирмена)
· когда нет необходимости в точном
установлении силы связи, а достаточно ориентировочных данных
· когда признаки представлены не только
количественными, но и атрибутивными значениями
· когда ряды распределения признаков имеют
открытые варианты (например, стаж работы до 1 года и др.)
9. Рекомендации к применению метода квадратов (метод
Пирсона)
· когда требуется точное установление силы
связи между признаками
· когда признаки имеют только количественное
выражение
10. Методика и порядок вычисления коэффициента корреляции
) Метод квадратов
· построить вариационные ряды для каждого из
сопоставляемых признаков, обозначив первый и второй ряд чисел соответственно х
и у;
· определить для каждого вариационного ряда средние значения (
и 
);
· найти отклонения (
и 
) каждого числового значения от среднего значения своего
вариационного ряда;
· полученные отклонения перемножить (
X 
)
· каждое отклонение возвести в квадрат и суммировать по каждому ряду
(
и 
· подставить полученные значения в формулу расчета коэффициента
корреляции:

(8)
2) Ранговый метод
· составить два ряда из парных
сопоставляемых признаков, обозначив первый и второй ряд соответственно х и у.
При этом представить первый ряд признака в убывающем или возрастающем порядке,
а числовые значения второго ряда расположить напротив тех значений первого ряда,
которым они соответствуют
· величину признака в каждом из сравниваемых
рядов заменить порядковым номером (рангом). Рангами, или номерами, обозначают
места показателей (значения) первого и второго рядов. При этом числовым
значениям второго признака ранги должны присваиваться в том же порядке, какой
был принят при раздаче их величинам первого признака. При одинаковых величинах
признака в ряду ранги следует определять как среднее число из суммы порядковых
номеров этих величин
· определить разность рангов между х и у
(d): d = х - у
· возвести полученную разность рангов в квадрат (
)
· получить сумму квадратов разности (
) и подставить полученные значения в формулу:

(
Схема оценки корреляционной связи по коэффициенту корреляции
|
Сила связи
|
Направление
связи
|
|
прямая (+)
|
обратная (-)
|
|
Сильная
|
от + 1 до +0,7
|
от - 1 до - 0,7
|
|
Средняя
|
от + 0,699 до +
0,3
|
от - 0,699 до -
0,3
|
|
Слабая
|
от + 0,299 до 0
|
от - 0,299 до 0
|
Вычисление ошибки коэффициента корреляции
· ошибка коэффициента корреляции,
вычисленного методом квадратов (Пирсона):

(10)
· ошибка коэффициента корреляции,
вычисленного ранговым методом (Спирмена):

(11)
Оценка достоверности коэффициента корреляции, полученного
методом ранговой корреляции и методом квадратов
Способ 1.
Достоверность определяется по формуле:

или 
(12)
Критерий t оценивается по таблице значений t с учетом числа
степеней свободы (n - 2), где n - число парных вариант. Критерий t должен быть
равен или больше табличного, соответствующего вероятности р ≥99%.
Способ 2.
Достоверность оценивается по специальной таблице стандартных
коэффициентов корреляции. При этом достоверным считается такой коэффициент
корреляции, когда при определенном числе степеней свободы (n - 2), он равен или
более табличного, соответствующего степени безошибочного прогноза р ≥95%.
.2 Методика
регрессионного анализа
Существующие между явлениями формы и виды связей весьма
разнообразны по своей классификации. Предметом статистики являются только такие
из них, которые имеют количественный характер и изучаются с помощью
количественных методов. Рассмотрим метод корреляционно-регрессионного анализа,
который является основным в изучении взаимосвязей явлений.
Данный метод содержит две свои составляющие части -
корреляционный анализ и регрессионный анализ. Корреляционный анализ - это
количественный метод определения тесноты и направления взаимосвязи между
выборочными переменными величинами. Регрессионный анализ - это количественный
метод определения вида математической функции в причинно-следственной
зависимости между переменными величинами.
Для оценки силы связи в теории корреляции применяется шкала
английского статистика Чеддока.
Линейная корреляция
Данная корреляция характеризует линейную взаимосвязь в
вариациях переменных. Она может быть парной (две коррелирующие переменные) или
множественной (более двух переменных), прямой или обратной - положительной или
отрицательной, когда переменные варьируют соответственно в одинаковых или
разных направлениях.
Если переменные - количественные и равноценные в своих
независимых наблюдениях
при их общем количестве
, то важнейшими
эмпирическими мерами тесноты их линейной взаимосвязи являются коэффициент
прямой корреляции знаков австрийского психолога Г.Т. Фехнера (1801-1887) и
коэффициенты парной, чистой (частной) и множественной (совокупной) корреляции
английского статистика-биометрика К. Пирсона (1857-1936).
Коэффициент парной корреляции знаков Фехнера определяет
согласованность направлений в индивидуальных отклонениях переменных
и
от своих средних
и
. Он равен отношению
разности сумм совпадающих (
) и несовпадающих (
) пар знаков в
отклонениях
и
к сумме этих сумм:
(13)
Величина Кф изменяется от - 1 до +1. Суммирование в (1)
производится по наблюдениям
, которые не указаны в суммах ради упрощения.
Если какое-то одно отклонение
или
, то оно не входит в
расчет. Если же сразу оба отклонения нулевые:
, то такой случай
считается совпадающим по знакам и входит в состав
.
Коэффициенты парной, чистой (частной) и множественной
(совокупной) линейной корреляции Пирсона, в отличие от коэффициента Фехнера,
учитывают не только знаки, но и величины отклонений переменных.
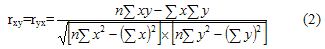
Для их расчета используют разные методы. Так, согласно методу
прямого счета по несгруппированным данным, коэффициент парной корреляции
Пирсона имеет вид:
(14)
Этот коэффициент также изменяется от - 1 до +1.
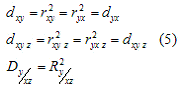
При наличии нескольких переменных рассчитывается коэффициент множественной
(совокупной) линейной корреляции Пирсона. Для трех переменных x, y, z он имеет
вид
(15)
Этот коэффициент изменяется от 0 до 1. Если элиминировать
(совсем исключить или зафиксировать на постоянном уровне) влияние
на
и
, то их "общая"
связь превратится в "чистую", образуя чистый (частный) коэффициент
линейной корреляции Пирсона:
(16)
Этот коэффициент изменяется от - 1 до +1.
Квадраты коэффициентов корреляции (2) - (4) называются
коэффициентами (индексами) детерминации - соответственно парной, чистой
(частной), множественной (совокупной):
(17)
Каждый из коэффициентов детерминации изменяется от 0 до 1 и
оценивает степень вариационной определенности в линейной взаимосвязи
переменных, показывая долю вариации одной переменной (y), обусловленную
вариацией другой (других) - x и y. Многомерный случай наличия более трех
переменных здесь не рассматривается.
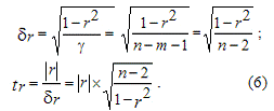
Согласно разработкам английского статистика Р.Э. Фишера
(1890-1962), статистическая значимость парного и чистого (частного)
коэффициентов корреляции Пирсона проверяется в случае нормальности их
распределения, на основании
-распределения английского статистика В.С.
Госсета (псевдоним "Стьюдент"; 1876-1937) с заданным уровнем
вероятностной значимости
и имеющейся степени свободы
, где
- число связей
(факторных переменных). Для парного коэффициента
имеем его
среднеквадратическую ошибку
и фактическое значение
-критерия Стьюдента:
(18)
Для чистого коэффициента корреляции
при расчете его
вместо (n-2) надо брать
, т.к. в этом случае
имеется m=2 (две факторные переменные x и z). При большом числе n>100 вместо
(n-2) или (n-3) в (6) можно брать n, пренебрегая точностью расчета.
Если tr > tтабл., то
коэффициент парной корреляции - общий или чистый является статистически
значимым, а при tr ≤ tтабл. - незначимым.
Значимость коэффициента множественной корреляции R
проверяется по F - критерию Фишера путем расчета его фактического значения
(19)
При FR > Fтабл. коэффициент R
считается значимым с заданным уровнем значимости a и имеющихся степенях свободы
и
, а при Fr≤
Fтабл - незначимым.
В совокупностях большого объема n > 100 для оценки
значимости всех коэффициентов Пирсона вместо критериев t и F применяется
непосредственно нормальный закон распределения (табулированная функция
Лапласа-Шеппарда).
.3 Методы
прогнозирования в рядах динамики
Статистические методы прогнозирования -
научная и учебная дисциплина, к основным задачам которой относятся разработка,
изучение и применение современных математико-статистических методов
прогнозирования на основе объективных данных; развитие теории и практики
вероятностно-статистического моделирования экспертных методов прогнозирования;
методов прогнозирования в условиях риска и комбинированных методов
прогнозирования с использованием совместно экономико-математических и
эконометрических (как математико-статистических, так и экспертных) моделей.
Научной базой статистических методов прогнозирования является прикладная
статистика и теория принятия решений.
Простейшие методы восстановления используемых
для прогнозирования зависимостей исходят из заданного временного ряда, т.е.
функции, определённой в конечном числе точек на оси времени. Временной ряд при
этом часто рассматривается в рамках той или иной вероятностной модели, вводятся
другие факторы (независимые переменные), помимо времени, например, объем
денежной массы. Временной ряд может быть многомерным. Основные решаемые задачи
- интерполяция и экстраполяция. Метод наименьших квадратов в простейшем случае
(линейная функция от одного фактора) был разработан К. Гауссом в 1794-1795 гг.
Могут оказаться полезными предварительные преобразования переменных, например,
логарифмирование. Наиболее часто используется метод наименьших квадратов при
нескольких факторах. Метод наименьших модулей, сплайны и другие методы
экстраполяции применяются реже, хотя их статистические свойства зачастую лучше.
Оценивание точности прогноза (в частности,
с помощью доверительных интервалов) - необходимая часть процедуры
прогнозирования. Обычно используют вероятностно-статистические модели
восстановления зависимости, например, строят наилучший прогноз по методу
максимального правдоподобия. Разработаны параметрические (обычно на основе
модели нормальных ошибок) и непараметрические оценки точности прогноза и
доверительные границы для него (на основе Центральной Предельной Теоремы теории
вероятностей). Применяются также эвристические приемы, не основанные на
вероятностно-статистической теории: метод скользящих средних, метод
экспоненциального сглаживания.
Многомерная регрессия, в том числе с
использованием непараметрических оценок плотности распределения - основной на
настоящий момент статистический аппарат прогнозирования. Нереалистическое
предположение о нормальности погрешностей измерений и отклонений от линии
(поверхности) регрессии использовать не обязательно; однако для отказа от
предположения нормальности необходимо опереться на иной математический аппарат,
основанный на многомерной Центральной Предельной Теореме теории вероятностей,
технологии линеаризации и наследования сходимости. Он позволяет проводить
точечное и интервальное оценивание параметров, проверять значимость их отличия
от 0 в непараметрической постановке, строить доверительные границы для
прогноза.
Весьма важна проблема проверки
адекватности модели, а также проблема отбора факторов. Априорный список
факторов, оказывающих влияние на отклик, обычно весьма обширен, желательно его
сократить, и крупное направление современных исследований посвящено методам
отбора "информативного множества признаков". Однако эта проблема пока
еще окончательно не решена. Проявляются необычные эффекты. Так, установлено,
что обычно используемые оценки степени полинома имеют в асимптотике
геометрическое распределение. Перспективны непараметрические методы оценивания
плотности вероятности и их применения для восстановления регрессионной
зависимости произвольного вида. Наиболее общие результаты в этой области
получены с помощью подходов статистики нечисловых данных.
К современным статистическим методам
прогнозирования относятся также модели авторегрессии, модель Бокса-Дженкинса,
системы эконометрических уравнений, основанные как на параметрических, так и на
непараметрических подходах.
Для установления возможности применения
асимптотических результатов при конечных (т. н. "малых") объемах выборок
полезны компьютерные статистические технологии. Они позволяют также строить
различные имитационные модели. Отметим полезность методов размножения данных
(бутстреп-методов). Системы прогнозирования с интенсивным использованием
компьютеров объединяют различные методы прогнозирования в рамках единого
автоматизированного рабочего места прогнозиста.
Прогнозирование на основе данных, имеющих
нечисловую природу, в частности, прогнозирование качественных признаков
основано на результатах статистики нечисловых данных. Весьма перспективными для
прогнозирования представляются регрессионный анализ на основе интервальных
данных, включающий, в частности, определение и расчет нотны и рационального
объема выборки, а также регрессионный анализ нечетких данных, разработанный в.
Общая постановка регрессионного анализа в рамках статистики нечисловых данных и
ее частные случаи - дисперсионный анализ и дискриминантный анализ
(распознавание образов с учителем), давая единый подход к формально различным
методам, полезна при программной реализации современных статистических методов
прогнозирования.
Основными процедурами обработки
прогностических экспертных оценок являются проверка согласованности,
кластер-анализ и нахождение группового мнения. Проверка согласованности мнений
экспертов, выраженных ранжировками, проводится с помощью коэффициентов ранговой
корреляции Кендалла и Спирмена, коэффициента ранговой конкордации Кендалла и
Бэбингтона Смита. Используются параметрические модели парных сравнений -
Терстоуна, Бредли-Терри-Льюса - и непараметрические модели теории люсианов.
Полезна процедура согласования ранжировок и классификаций путем построения
согласующих бинарных отношений. При отсутствии согласованности разбиение мнений
экспертов на группы сходных между собой проводят методом ближайшего соседа или
другими методами кластерного анализа (автоматического построения классификаций,
распознавания образов без учителя). Классификация люсианов осуществляется на
основе вероятностно-статистической модели.
Используют различные методы построения
итогового мнения комиссии экспертов. Своей простотой выделяются методы средних
арифметических и медиан рангов. Компьютерное моделирование позволило установить
ряд свойств медианы Кемени, часто рекомендуемой для использования в качестве
итогового (обобщенного, среднего) мнения комиссии экспертов. Интерпретация
закона больших чисел для нечисловых данных в терминах теории экспертного опроса
такова: итоговое мнение устойчиво, то есть мало меняется при изменении состава
экспертной комиссии, и при росте числа экспертов приближается к
"истине". При этом в соответствии с принятым в подходом
предполагается, что ответы экспертов можно рассматривать как результаты
измерений с ошибками, все они - независимые одинаково распределенные случайные
элементы, вероятность принятия определенного значения убывает по мере удаления
от некоторого центра - "истины", а общее число экспертов достаточно
велико.
Многочисленны примеры ситуаций, связанных
с социальными, технологическими, экономическими, политическими, экологическими и
другими рисками. Именно в таких ситуациях обычно и необходимо прогнозирование.
Известны различные виды критериев, используемых в теории принятия решений в
условиях неопределенности (риска). Из-за противоречивости решений, получаемых
по различным критериям, очевидна необходимость применения оценок экспертов.
В конкретных задачах прогнозирования
необходимо провести классификацию рисков, поставить задачу оценивания
конкретного риска, провести структуризацию риска, в частности, построить
деревья причин (в другой терминологии, деревья отказов) и деревья последствий
(деревья событий). Центральной задачей является построение групповых и
обобщенных показателей, например, показателей конкурентоспособности и качества.
Риски необходимо учитывать при прогнозировании экономических последствий
принимаемых решений, поведения потребителей и конкурентного окружения,
внешнеэкономических условий и макроэкономического развития России,
экологического состояния окружающей среды, безопасности технологий,
экологической опасности промышленных и иных объектов.
Современные компьютерные технологии
прогнозирования основаны на интерактивных статистических методах
прогнозирования с использованием баз эконометрических данных, имитационных (в
том числе на основе применения метода статистических испытаний) и
экономико-математических динамических моделей, сочетающих экспертные,
математико-статистические и моделирующие блоки.
Раздел
3. Статистический анализ социального развития республики
бурятия
3.1
Современное состояние социального развития республики Бурятия
Социально-экономическое развитие Республики Бурятия в течение
ряда последних лет характеризуется положительной динамикой по всем основным
макроэкономическим показателям.
В апреле 2007 г. Народный Хурал Республики Бурятия утвердил
Президентом Республики Бурятия В.В. Наговицына. Правительство РБ взяло курс на
динамичный рост экономики, превращение республики в бездотационную и, как
следствие, подъем благосостояния населения.
Валовой региональный продукт за 2011 г. увеличился на 106,6 %
к уровню 20010 г. В 2011 г. в экономику республики было привлечено инвестиций в
основной капитал 20,63 млрд. руб., или 129,5 % к 2006 г., в том числе за счет
средств федерального бюджета - 4 642 млн. руб. (22,5 %), республиканского
бюджета - 2 214 млн. руб. (10,7 %), внебюджетных средств - 6 835 млн. руб.
(33,1 %). Собственные доходы консолидированного бюджета Республики Бурятия
возросли в 2011 г. по сравнению с 2010 г. на 3,15 млрд. руб., или на 108,5 %,
уровень дотационности снизился до 42,0 %.
Доля населения с доходами ниже прожиточного уровня
сократилась с 29,7 % в 2010 г. до 24,4 % в 2011 г. Снижается уровень общей
безработицы, который в 2010 г. составлял 13,4 %, в 2011 г. - 12,9 % от
численности экономически активного населения в Республике Бурятия.
В системе здравоохранения увеличился уровень обеспеченности
врачами и средним медицинским персоналом, больничными койками на 10 тыс.
человек населения, мощность врачебных амбулаторно-поликлинических учреждений.
В сфере образования активно реализуются широкомасштабные
эксперименты по основным направлениям модернизации образования. Значительно
возросли капитальные вложения в строительство новых объектов образования, на
капитальный и текущий ремонт, на развитие материально-технической базы, включая
поставку компьютеров, учебно-лабораторного оборудования в образовательные
учреждения.
В общеобразовательных учреждениях обучаются 120,1 тыс.
учащихся. Охват детей дошкольного возраста дошкольными образовательными
учреждениями, составляет 55 мест на 100 детей. Выпуск специалистов
государственными высшими и средними специальными учебными заведениями
составляет 95 человек на 10 тыс. жителей.
Политика в сфере социальной защиты направлена на обеспечение
равных права и доступности мер социальной поддержки и социального обслуживания,
повышение эффективности деятельности существующей сети учреждений, адаптацию
системы социальной защиты к современным условиям. В республике действуют 47
учреждений социального обслуживания семьи, женщин и детей, граждан пожилого
возраста и инвалидов. Обеспеченность стационарными учреждениями социального
обслуживания для престарелых и инвалидов составляет 23,6 мест на 10 тыс.
населения.
Таблица 1 - Основные социально-экономические показатели
республики Бурятия
|
2008
|
2009
|
2010
|
2011
|
|
Численность
населения - всего, тыс. человек, в том числе:
|
959,9
|
960,7
|
971,3
|
972,2
|
|
городское
|
529
|
526,8
|
564,7
|
568,4
|
|
сельское
|
430,9
|
433,9
|
406,6
|
403,8
|
|
Родившихся
|
17
|
17,4
|
17
|
…
|
|
Умерших - всего
|
13,5
|
13
|
12,7
|
…
|
|
в том числе
детей в возрасте до 1 года
|
8,6
|
9
|
7,2
|
…
|
|
Численность населения,
имеющего среднедушевые доходы ниже прожиточного минимума, тыс. чел.
|
196,6
|
182
|
192,6
|
203
|
|
среднедушевых
денежных доходов тыс, руб
|
24,74
|
26,16
|
25,26
|
26,00
|
|
Средний размер
назначенных месячных пенсий на конец года,
|
4281,2
|
5828,4
|
7093,2
|
8500,3
|
|
Расходы на
выплату пособий и социальную помощь - всего, тыс. рублей
|
6419336
|
8381304
|
12339797
|
15648492
|
|
в том числе:
|
|
|
|
|
|
пособия по
временной нетрудоспособности
|
687555
|
799975
|
936964
|
967583
|
|
из них по
трудовым увечьям и профессиональным заболеваниям
|
10725
|
11802
|
14838
|
15965
|
|
семейные и
материнские пособия
|
1381482
|
1739171
|
1902558
|
2105681
|
|
из них:
|
|
|
|
|
|
по беременности
и родам
|
309389
|
415621
|
450536
|
468365
|
|
при рождении
ребенка
|
156946
|
179523
|
182898
|
193685
|
|
по уходу за
ребенком до 1,5 года
|
764682
|
970604
|
1101053
|
1304858
|
|
по уходу за
детьми-инвалидами
|
…
|
2674
|
2799
|
3007
|
|
ежемесячное
пособие на ребенка
|
150465
|
170749
|
165272
|
185321
|
|
Число
дошкольных учреждений
|
440
|
426
|
413
|
413
|
|
Число
учреждений начального профессионального образования
|
38
|
36
|
29
|
29
|
|
Число высших
учебных заведений
|
5
|
5
|
5
|
5
|
|
Число
больничных учереждений
|
51
|
44
|
46
|
47
|
|
Число
амбулаторно-поликлинических учреждений
|
81
|
89
|
74
|
70
|
|
Численность
врачей
|
3859
|
3943
|
4016
|
5013
|
|
Численность
среднего медицинского персонала
|
111,9
|
111,2
|
112,2
|
120,1
|
3.2
Корреляционно-регрессионный анализ показателей социального развития республики
Бурятия
Проведем корреляционно регрессионный анализ влияния
социально-экономических показателей на численность населения в республики
Бурятия, для этого рассмотрим следующие показатели представленные в таблице 2.
Таблица 2 - Данные для корреляционного анализа
|
дата
|
Численность
населения - всего, тыс. человек, в том числе:
|
среднедушевой
денежный доход тыс, руб
|
Средний размер
назначенных месячных пенсий на конец года, руб
|
Расходы на
выплату пособий и социальную помощь - всего, тыс. рублей
|
Число
больничных учереждений
|
Численность
врачей, человек
|
|
2000
|
1639,00
|
802,30
|
1598647
|
115
|
3810
|
|
2001
|
996,90
|
2262,00
|
1092,80
|
2459854
|
117
|
3752
|
|
2002
|
981,23
|
3141,00
|
1393,10
|
3864595
|
122
|
3716
|
|
2003
|
979,60
|
3857,00
|
1659, 20
|
3654987
|
122
|
3765
|
|
2004
|
974,30
|
4672,00
|
1908,30
|
4958541
|
121
|
3724
|
|
2005
|
969, 20
|
6044,00
|
2392,90
|
5485689
|
111
|
3712
|
|
2006
|
963,30
|
7020,00
|
2665,70
|
6212355
|
54
|
3830
|
|
2007
|
960,00
|
8892,00
|
3483,10
|
6512721
|
53
|
3842
|
|
2008
|
959,90
|
11298,00
|
4281, 20
|
6419336
|
51
|
3859
|
|
2009
|
960,70
|
13037,00
|
5828,40
|
8381304
|
44
|
3943
|
|
2010
|
971,30
|
13998,00
|
7093, 20
|
12339797
|
46
|
4016
|
|
2011
|
971, 20
|
14953,00
|
7503, 20
|
15648492
|
47
|
4506
|
|
2012
|
971,30
|
15627,00
|
8000,30
|
16849458
|
47
|
5012
|
В результате проведения анализа получим таблицу, в которой
приведены значения линейного коэффициента корреляции, характеризующего тесноту
связи между рассматриваемыми признаками:
Таблица 3 - Результаты корреляционного анализа
|
Численность
населения - всего, тыс. человек, в том числе:
|
среднедушевой
денежный доход тыс, руб
|
Средний размер
назначенных месячных пенсий на конец года,
|
Расходы на
выплату пособий и социальную помощь - всего, тыс. рублей
|
Число
больничных учреждений
|
Численность
врачей, человек
|
|
Численность
населения - всего, тыс. человек, в том числе:
|
1
|
|
|
|
|
|
|
среднедушевой
денежный доход тыс, руб
|
-0,65
|
1
|
|
|
|
|
|
Средний размер
назначенных месячных пенсий на конец года,
|
-0,53
|
0,98
|
1
|
|
|
|
|
Расходы на
выплату пособий и социальную помощь - всего, тыс. рублей
|
-0,46
|
0,92
|
0,96
|
1
|
|
|
|
Число
больничных учреждений
|
0,69
|
-0,90
|
-0,84
|
-0,74
|
1
|
|
|
Численность
врачей, человек
|
-0,17
|
0,74
|
0,81
|
0,89
|
-0,57
|
1
|
Из таблицы 4 видно, что по шкале Чеддока: значение
коэффициента корреляции R=-0,65 свидетельствует, что между среднедушевым
денежным доходом и численностью населения РБ заметная статистически значимая
связь, при этом уменьшение одного признака ведет к увеличение другого, между
числом больничных учреждений и численностью населения тоже заметная
статистически значимая связь R=0,69, данный факторный признак будем
использовать в регрессионном анализе.
Таблица 4 - Шкала Чеддока оценки тесноты связи
|
Теснота связи
|
0,1-0,3
|
0,3-0,5
|
0,5-0,7
|
0,7-0,9
|
0,9-0,999
|
|
Характер связи
|
слабая
|
умеренная
|
заметная
|
тесная
|
Очень тесная
|
После проведения факторного анализа, переходим к
регрессионному анализу, для чего используем статистические данные примера
расчета линейного коэффициента корреляции между численностью населения и числом
больничных учреждений.
Выразим взаимосвязь между данными показателями уравнением
прямой линии:
Параметры уравнения прямой
и
определяются путем решения системы
нормальных уравнений, полученных по методу наименьших квадратов:
Для определения параметров уравнения регрессии построим расчетную
таблицу:
Таблица 5 - Расчет параметров регрессии уравнения прямой линии
|
дата
|
y, Численность населения - всего, тыс.
человек, в том числе:
|
x, Число больничных учреждений
|
x^2
|
xy
|
|
2000
|
1004,80
|
115
|
13225
|
115552
|
|
2001
|
996,90
|
117
|
13689
|
116637,3
|
|
2002
|
981,23
|
122
|
14884
|
119710,06
|
|
2003
|
979,60
|
122
|
14884
|
119511,2
|
|
2004
|
974,30
|
121
|
14641
|
117890,3
|
|
2005
|
969, 20
|
111
|
12321
|
107581,2
|
|
2006
|
963,30
|
54
|
2916
|
52018,2
|
|
2007
|
960,00
|
53
|
2809
|
50880
|
|
2008
|
959,90
|
51
|
2601
|
48954,9
|
|
2009
|
960,70
|
44
|
1936
|
42270,8
|
|
2010
|
971,30
|
46
|
2116
|
44679,8
|
|
2011
|
971, 20
|
47
|
2209
|
45646,4
|
|
2012
|
971,30
|
47
|
2209
|
45651,1
|
|
сумма
|
12663,73
|
1050,00
|
100440,00
|
1026983,26
|
Для определения параметров уравнения регрессии подставим в
систему нормальных уравнений фактические данные из таблицы:
Далее решаем систему нормальных уравнений и получаем следующие
коэффициенты уравнения регрессии:
= 952,7242 и
= 0,2651
Таким образом, уравнение регрессии примет следующий вид:
= 0,27х+952,72
Параметр
показывает усредненное влияние на результативный признак
неучтенных, т.е. не выделенных для исследования факторных признаков.
Экономического смысла не имеет, т.к. неизвестно, сколько факторов и как каждый
из них влияет на изменения результативного признака.
Параметр
- это
коэффициент регрессии, который показывает, насколько изменяется значение
результативного признака при изменении факторного признака на единицу его
собственного измерения.
В рассматриваемом примере при увеличении числа больничных
учреждений на 1, численность населения вырастит на 270 человек.
Таблица 6 - Показатели регрессионной статистики по линейному
уравнению
|
Множественный R
|
0,69
|
|
R-квадрат
|
0,48
|
|
Нормированный
R-квадрат
|
0,43
|
|
Стандартная
ошибка
|
10,40
|
|
Наблюдения
|
13
|
Коэффициент детерминации
=0,48 показывает, что численность населения зависит на 48% от
числа больничных учреждений.
Таблица 7-Дисперсионный анализ
|
df
|
SS
|
MS
|
F
|
Значимость F
|
|
Регрессия
|
1
|
1098,292
|
1098,29174
|
10,1531219
|
0,008662
|
|
Остаток
|
11
|
1189,901
|
108,172812
|
3,24
|
|
|
Итого
|
12
|
2288, 193
|
|
|
|
Дисперсионный анализ помогает выяснить, является ли уравнение
регрессии значимым.10,15 > 3,24, то есть Fрасч. > Fтабл., а это означает,
что линейное уравнение регрессии является значимым. Так же о значимости
уравнения говорит Значимость F, значение которой меньше 0,05.
Таблица 8 - Показатели уравнения регрессии
|
дата
|
y, Численность населения - всего, тыс.
человек, в том числе:
|
x, Число больничных учреждений
|
x^2
|
xy
|
y (x)
|
|
2000
|
1004,80
|
115
|
13225
|
115552
|
983,21
|
|
2001
|
996,90
|
117
|
13689
|
116637,3
|
983,74
|
|
2002
|
981,23
|
122
|
14884
|
119710,06
|
985,06
|
|
2003
|
979,60
|
122
|
14884
|
119511,2
|
985,06
|
|
2004
|
974,30
|
121
|
14641
|
117890,3
|
984,80
|
|
2005
|
969, 20
|
111
|
12321
|
107581,2
|
982,15
|
|
2006
|
963,30
|
54
|
2916
|
52018,2
|
967,04
|
|
2007
|
960,00
|
53
|
2809
|
50880
|
966,77
|
|
2008
|
959,90
|
51
|
2601
|
48954,9
|
966,24
|
|
2009
|
960,70
|
44
|
1936
|
42270,8
|
964,39
|
|
2010
|
971,30
|
46
|
2116
|
44679,8
|
964,92
|
|
2011
|
971, 20
|
47
|
2209
|
45646,4
|
965,18
|
|
2012
|
971,30
|
47
|
2209
|
45651,1
|
965,18
|
|
сумма
|
12663,73
|
1050,00
|
1026983,26
|
12663,73
|
Рис 1. Динамика численности населения РБ
3.3
Прогнозирование показателей социального развития республики Бурятия
Чтобы сделать прогноз численности
населения РБ рассмотрим численность в динамике и произведем прогнозирование на
основании времени, для этого рассмотрим следующие показатели, представленные в
таблице 8.
Таблица 8 - Данные для регрессионного анализа
|
дата
|
y, Численность населения - всего, тыс.
человек, в том числе:
|
t
|
t^2
|
|
2000
|
1004,80
|
1
|
1
|
|
2001
|
996,90
|
2
|
4
|
|
2002
|
981,23
|
3
|
9
|
|
2003
|
979,60
|
4
|
16
|
|
2004
|
974,30
|
5
|
25
|
|
2005
|
969, 20
|
6
|
36
|
|
2006
|
963,30
|
7
|
49
|
|
2007
|
960,00
|
8
|
64
|
|
2008
|
959,90
|
9
|
81
|
|
2009
|
960,70
|
10
|
100
|
|
2010
|
971,30
|
11
|
121
|
|
2011
|
971, 20
|
12
|
144
|
|
2012
|
971,30
|
13
|
169
|
В результате проведения регрессионного анализа получаем
несколько таблицу:
Таблица 9 - Регрессионная статистика
|
Множественный R
|
0,97795
|
|
R-квадрат
|
0,956387
|
|
Нормированный
R-квадрат
|
0,947664
|
|
Стандартная
ошибка
|
3,159046
|
|
Наблюдения
|
13
|
=0,98 свидетельствует о наличии тесной и статистически
значимой связи между временем и динамикой численности населения РБ.
Коэффициент детерминации =0,96, показывает, что изменение
численности населения на 96% определяется временем.
Таблица 10 - Дисперсионный анализ
|
df
|
SS
|
MS
|
F
|
Значимость F
|
|
Регрессия
|
2
|
2188,397
|
1094, 198
|
109,6438
|
1,58
|
|
Остаток
|
10
|
99,79572
|
9,979572
|
3,29
|
|
|
Итого
|
12
|
2288, 193
|
|
|
|
Из данной таблицы можно сделать вывод о том то искомое
уравнение регрессии считается статистически значимым, так как Fрасч>Fтпбл, 1094,2>3,29.
Таблица 11 - Оценка коэффициентов регрессии
|
Коэффициенты
|
Стандартная
ошибка
|
t-статистика
|
P-Значение
|
|
Y-пересечение
|
1016,785
|
3,092062
|
328,8371
|
1,66
|
|
t
|
-12,4725
|
1,015802
|
-12,2785
|
2,35
|
|
t^2
|
0,708821
|
0,070603
|
10,03952
|
1,53
|
Таким образом, уравнение, характеризующее зависимость между
численностью населения РБ и временем, выглядит следующим образом:
= 0,708x2 - 12,473x + 1016,785
Рис 2. График динамики численности
населения РБ и прогнозное ожидание
Рассмотрим, как отражает динамику
численности населения, линейное уравнение тренда для этого воспользуемся
следующими показателями в таблице 12.
Таблица 12 - Показатели для регрессионного
анализа
|
дата
|
y, Численность населения - всего, тыс.
человек, в том числе:
|
t
|
|
2000
|
1004,80
|
1
|
|
2001
|
996,90
|
2
|
|
2002
|
981,23
|
3
|
|
2003
|
979,60
|
4
|
|
2004
|
974,30
|
5
|
|
2005
|
969, 20
|
6
|
|
2006
|
963,30
|
7
|
|
2007
|
960,00
|
8
|
|
2008
|
959,90
|
9
|
|
2009
|
960,70
|
10
|
|
2010
|
971,30
|
11
|
|
2011
|
971, 20
|
12
|
|
2012
|
971,30
|
13
|
В результате проведения регрессионного анализа получаем
несколько таблицу:
Таблица 13 - Регрессионная статистика
|
Множественный R
|
0,718888
|
|
R-квадрат
|
0,5168
|
|
Нормированный
R-квадрат
|
0,472872
|
|
Стандартная
ошибка
|
10,02567
|
|
Наблюдения
|
13
|
Коэффициент детерминации =0,52, показывает, что изменение
численности населения на 52% определяется временем, следовательно,
полиномиальное уравнение более точно отражает динамику численности населения,
по нему и сделаем прогноз.
Рис 3. График динамики численности населения РБ и прогнозное
ожидание
По результатам прогнозирования видно, что ожидается
динамичный рост численности населения. Численность населения на 2013 год
составит
= 0,708* (14) 2 - 12,473*14 + 1016,785=980,931
тысяч человек
Заключение
В курсовой работе были раскрыты понятия анализа и уровня
социально-экономического развития. Социально-экономическое развитие региона -
это центральная функция органов власти региона, которая становится особенно
актуальной во время кризиса и постоянных структурных изменений.
Одним из основных и традиционных методов региональной
экономики является анализ социально-экономического развития региона. Он
основывается на использовании системы статистических показателей,
характеризующих основные явления и пропорции, существующие в региональной
социально-экономической системе. Цель анализа социально-экономического развития
региона - выявление диспропорций и неиспользуемых возможностей экономического
роста для последующего обоснования вариантов стратегии социально-экономического
развития региона.
Республика Бурятия обладает конкурентными преимуществами, но
чтобы их использовать в полную силу необходимо какое-то время. Только на
структурные изменения в экономике (без шоковой терапии) уходит не два-три года.
Даже не пять-десять, как правило.
Из этого следует, что, во-первых, чудес в ближайшие годы в
экономике Бурятии не произойдет: несколько процентов изменений ежегодно в
структуре доходов экономики региона будут мало ощутимы для населения. Большое
ведь видится на расстоянии, то есть измеряется в годах. Во-вторых, действующей
власти надо подготовиться к неудовольствию общественности от отсутствия
экономических чудес. Как же так: столько лет - и все по-старому? Обычно это
мало кому нравится.
Список
использованой литературы
1. Региональная
экономика: Учебник / Под ред. В.И. Видяпина и М.В. Степанова, - М.: ИНФРА-М,
2007.
2. Фетисов
Г.Г., Орешин В.П., Региональная экономика и управление: Учебник. - М.: ИНФРА-М,
2006.
. Региональная
экономика и управление, Коваленко Е.Г. Учебное пособие. - СПб.: Питер, 2005.
. Программа
социально-экономического развития Республики Бурятия на 2011-2015 годы.
. Программа
социально-экономического развития Республики Бурятия на 2008-2010 годы и на
период до 2017 года.
. Федеральная
целевая программа "Сокращение различий в социально-экономическом развитии
регионов Российской Федерации (2002-2010 годы и до 2015 года).
. Региональная
экономика: Учебник для вузов/ Под ред. проф. Т.Г. Морозовой. - 2-е изд.,
перераб. и доп. - М.: ЮНИТИ, 2001.
. Основы
макроэкономического анализа: учебное пособие / Н.С. Косов. - Тамбов: Изд-во
Тамб. гос. техн. ун-та, 2007.
. Мельников
Р.М. Межрегиональное экономическое неравенство в российской экономике:
тенденции и перспективы // Региональная экономика: теория и практика. - 2008.
. Сайт
Федеральной службы государственной статистики. - URL: http://burstat. gks.ru