Организация дальних, местных и пригородных пассажирских перевозок в условиях функционирования пассажирских компаний
Федеральное Агентство
Железнодорожного Транспорта
МОСКОВСКИЙ
ГОСУДАРСТВЕННЫЙ УНИВЕРСИТЕТ
ПУТЕЙ
СООБЩЕНИЯ (МИИТ)
Институт
управления и информационных технологий
Кафедра
“Управление эксплуатационной работой”
Курсовая
работа
по дисциплине
«Управление эксплуатационной работой и качеством перевозок»
на тему «Организация дальних, местных
и пригородных пассажирских перевозок в условиях функционирования пассажирских
компаний»
Выполнил: Mrhaxer
гр. УПП
Проверила: доц. Куликова Е.Б.
Москва 2010
Содержание
Введение
1. Прямое и местное сообщение
1.1 Выбор композиции, весовых норм и скоростей движения
пассажирских поездов
.2 Расчёт плана формирования пассажирских поездов
2. Пригородные перевозки
2.1 Особенности графика движения на пригородных участках
.2 Определение рационального варианта размещения зонных
технических станций
.3 Расчёт размеров движения пригородных поездов
.4 Построение графика оборота пригородных составов
3. Построение принципиальной схемы обращения пассажирских
поездов
4. ПОКАЗАТЕЛИ ДАЛЬНЕГО, МЕСТНОГО ПАССАЖИРСКОГО И ПРИГОРОДНОГО
ДВИЖЕНИЯ
.1 Количественные показатели
.2 Качественные показатели
Заключение
Список использованных источников
Введение
Железнодорожный транспорт - основной перевозчик грузов в нашей стране, от
работы которого зависит, в том числе, и общее состояние экономики России.
Железные дороги связывают экономические регионы страны, а в таком обширном
государстве как наше - это представляется очень важной и непростой задачей.
Железные дороги играют не последнюю роль в обеспечении обороноспособности
страны. Кроме того, наличие железных дорог в том или ином регионе характеризует
степень его включённости как в российскую экономику, так и в мировую. Также
железные дороги выполняют важную психологическую и социальную функцию в обществе,
а именно удовлетворяют потребности населения в пассажирских перевозках.
Сегодня железнодорожный транспорт России находится на переломном этапе
развития, который характеризуется динамичным его включением в экономическую
реформу, вхождением в рыночные отношения.
Рыночная экономика диктует новые требования к экономическим, техническим
и эксплуатационным параметрам перевозочного процесса. Главными критериями
становятся степень удовлетворения запросов населения, отправителей и
получателей грузов, экономическая эффективность работы транспорта. В связи с
этим, важнейшими направлениями работы отрасли в сфере перевозочного процесса
определены переход на наиболее экономичные и прогрессивные технологии, снижение
расходов и приведение мощностей, материальных и трудовых затрат в соответствие
с выполняемыми объемами перевозок и получаемыми доходами, улучшение
качественных параметров перевозок, обеспечение их регулярности при высоких
скоростях.
Основой реализации этих решений является опора на эффективную технологию
перевозок. Её составляющие - укрупнение технологических звеньев перевозочного
процесса, рационализация использования транспортных мощностей с целью ускорения
продвижения грузов и пассажиров и снижения эксплуатационных затрат как в
грузовом так и, особенно, в пассажирском движении. Министерством путей
сообщения (МПС) предусмотрено проведение на сети крупных комплексных мер по
организации поездной работы, увязанных на стыках технологических элементов и
учитывающих реформирование структуры управления отраслью и системы оперативного
управления перевозками, обеспечивающих устойчивую работу дорог как крупных
самостоятельных подразделений железнодорожного транспорта.
Главная задача совершенствования управления перевозочным процессом -
переход к ориентированному на удовлетворение требований пользователей качеству
транспортного обслуживания при достижении наиболее экономичных результатов всех
составляющих технологического процесса.
Как отмечалось выше, одной из основных функций железных дорог, выполнение
которой для железнодорожного транспорта является обязательным в
общегосударственном масштабе, является удовлетворение спроса населения на
пассажирские перевозки. Железные дороги должны полностью удовлетворять
потребности населения в них, обеспечивать безопасность и необходимые удобства,
высокое качество обслуживания, своевременную перевозку и сохранность багажа.
Выполнение этих задач возможно только при движении пассажирских поездов всех
категорий строго по расписанию, образцовом техническом и санитарном состоянии подвижного
состава и постоянных устройств, используемых при перевозке пассажиров, чёткой
организации продаж билетов до указанных станций назначения и информации
пассажиров по всем вопросам проезда.
В целях наиболее правильного учёта особенностей пассажиропотока, создания
необходимых удобств, наилучшего использования транспортных средств в
зависимости от объёма работы, условий проезда, скорости, расстояния следования,
уровня удобств и других факторов имеет место деление сообщений, постоянных
устройств, поездов, вагонов по категориям.
Различают следующие виды сообщений:
·
пригородное - в
пределах пригородного участка, примыкающего к крупному узлу на расстоянии до
150 км., а в отдельных случаях и более при зонном тарифе до 200 км.;
·
местное - в
пределах одной дороги;
·
прямое - в
пределах 2-х и более дорог;
·
международное - в
пределах 2-х и более стран.
Прямое и местное сообщения в отличие от пригородного называют дальним.
Поезда, предназначенные для перевозки пассажиров, в зависимости от
скорости движения делятся на скоростные, скорые и пассажирские, от расстояния
следования - на дальние, местные и пригородные. Специальную группу составляют
почтово-багажные поезда, предназначенные для перевозки пассажиров, багажа и
почтовой корреспонденции, организационно-переселенческие поезда, туристские,
детские и воинские эшелоны.
Важным основополагающим вопросом в организации всего перевозочного
процесса в отрасли, создании более комфортных условий для пассажиров,
рациональном использовании пропускных способностей и эффективности
использования подвижного состава является совершенствование графика движения
пассажирских поездов, срок действия которого устанавливается МПС на период 2-5
лет с соответствующей корректировкой.
Одна из основных особенностей организации пассажирских перевозок, которая
находит отражение в графике движения - резкая сезонная неравномерность. Также
для всех пассажирских сообщений общим является изменение потока пассажиров по
дням недели.
Для пригородного сообщения характерна неравномерность перевозок по часам
суток. Общей закономерностью в распределении пассажирских перевозок по зонам
дальности для всех видов сообщений является уменьшение пассажиропотока с ростом
расстояния.
График движения должен обеспечивать удобное для пассажиров время
отправления и прибытия поездов, пропуск поездов дальнего следования через
крупные узлы с учётом часов пик пригородного движения, минимальный простой
беспересадочных вагонов, предоставление «окон» для ремонтных работ.
Наряду с улучшением разработки графика движения пассажирских поездов
очень важно обеспечить пропуск их по расписанию.
Организация перевозок пассажиров осуществляется в плановом порядке на
основе прогнозирования и статистических законов изменения пассажиропотока во
времени. Годовые планы перевозок в настоящее время составляют на основе анализа
отчётных данных за прошедший год и ожидаемых размеров перевозок.
В ближайшей перспективе основными направлениями развития пассажирских
перевозок, обеспечивающими их эффективность и качество, являются оптимальное
планирование эксплуатационной работы по пассажирским перевозкам, чёткое
выполнение графика движения пассажирских поездов, совершенствование форм и
методов продажи билетов, повышение уровня пассажирского сервиса и развитие
материально-технической базы пассажирского хозяйства.
Эффективное планирование и организация пассажирских перевозок на
железнодорожном транспорте могут быть достигнуты на основе использования
современных методов анализа и управления. Решение этих вопросов
инженерно-техническими работниками, связанными с организацией пассажирских
перевозок, невозможно без учёта основных факторов, влияющих на организацию
перевозочного процесса в дальнем и пригородном сообщениях.
Постановки новых задач и решение традиционных более точными методами
позволяют получить наибольший эффект в тех случаях, когда задачи организации
перевозочного процесса в пассажирском движении в достаточной степени
формализованы и их решение основано на применении передовых технологий и ЭВМ.
Внедрение в эксплуатацию железных дорог вычислительной техники и
экономико-математических методов позволяет по новому поставить и решить
наиболее важные задачи организации пассажирских перевозок, в том числе расчёта
плана формирования дальних и местных пассажирских поездов, размеров движения
пригородных поездов, построение графиков их оборота и на этой основе обеспечить
освоение пассажиропотоков, существенно повысить качество перевозочного
процесса.
Целью курсового проекта является получение навыков в области организации
пассажирских перевозок на железнодорожном транспорте, овладение навыками
передовой технологии перевозок, соответствующей современным требованиям сервиса
и безопасности; изучение современных приёмов прогнозирования пассажиропотока,
составления плана формирования пассажирских поездов и прокладывания ниток
пассажирского движения на графике.
К основным задачам проектирования относятся:
·
выбор композиции,
весовой нормы и скорости движения пассажирских поездов;
·
расчёт плана
формирования пассажирских поездов;
·
размещение
пригородных зон;
·
расчёт пропускной
способности пригородного участка и составление графика оборота составов;
·
составление
суточного плана-графика работы пассажирской и технической станции (парка);
·
составление
принципиальной схемы обращения пассажирских поездов по расчётному полигону и
графика движения на пригородном участке.
1.
Прямое и местное сообщение
1.1 Выбор композиции, весовых норм и скоростей движения пассажирских
поездов
Композиция состава пассажирского поезда устанавливает число и порядок
размещения вагонов разных категорий и определяет, с одной стороны, уровень
удобств, предоставляемых пассажирам, а с другой - расчетную населенность
поездов и их вес, а, следовательно, скорости поездов, размеры их движения и
расходы железных дорог, связанные с пассажирскими поездами. Выбор композиции
состава выполняется совместно с определением веса и скорости пассажирского
поездов.
Для расчета задаёмся четырьмя вариантами композиции состава, для каждого
из которых в соответствии с количеством мест в каждом вагоне и его весом
определяем населенность и весовую норму поезда. Нагрузку от пассажиров и ручной
клади принимаем для мягких вагонов - 3 т/ваг, купейных - 4 т/ваг, плацкартных -
6 т/ваг, общих - 8 т/ваг, вагонов-ресторанов - 3 т/ваг, почтовых - 12 т/ваг.
В соответствии с практикой организации пассажирских перевозок в состав
поезда включаем следующие вагоны: 1-2 мягких, 5-8 купейных, 7-8 некупейных с
плацкартными или общими местами, а также вагон-ресторан, багажный и почтовый
вагоны. При этом вместимость состава изменяется в пределах от 400 до 1100
человек.
На выбор наилучшего значения композиции оказывает влияние мощность
локомотива, тип профиля пути, конструктивные скорости подвижного состава и др.
Важными факторами являются скорость доставки пассажиров и денежные затраты,
связанные с выполнением перевозок.
Варианты композиций пассажирских поездов сводим в таблицу 1.1.
При заданном техническом оснащении линии наибольшее влияние на скорость и
вес оказывает стоимость пассажиро-часов следования и механической работы
локомотива, затрачиваемой на тягу поездов. Оптимальные весовые нормы поездов и
скорости движения могут быть установлены для возможных категорий поездов и их
композиций при различной расчетной населенности, заданной длине станционных
путей и мощности локомотива по минимуму приведенных затрат, учитывающих
изменяющиеся в различных вариантах капитальные вложения и эксплуатационные
расходы.
Величину приведенных затрат на один поезд определяем по формуле:
, (1.1)
где Rмех
- механическая работа локомотива, т-км;т-км - расходная ставка на 1 т-км
механической работы локомотива Cт-км = 9,45р.;
Сп-ч
- приведенная стоимость поездо-часа пассажирского поезда с учетом оценки
времени пассажиров, р.;
Vx - ходовая
скорость, км/ч;
-
коэффициент маршрутной скорости пассажирских поездов, зависящий от количества и
продолжительности стоянок поездов,
.
Механическую
работу найдем по формуле:
, (1.2)
где Р
- масса локомотива, РЧС7 = 164 т;
Q - масса
состава брутто, т (см. табл. 1.1);
iэ -
эквивалентный по механической работе локомотива подъем на расчетном
направлении, iэ=1,2 о/оо;
L - длина
расчётного направления, LЛП = 1800 км.;
a - отношение
скорости начала торможения к ходовой скорости,a = 0,85;
Кост
- количество остановок поезда.
-
основное удельное сопротивление движению поезда, кг/т;
,
(1.3)
,
(1.4)
.
(1.5)
Приведенную
стоимость поездо-часа пассажирского поезда определяем по формуле:
, (1.6)
где m -
число вагонов в составе поезда (см. табл. 1.1);
Сл-ч
- приведенная стоимость локомотиво-часа, Сл-ч = 319,1 р;
-
стоимость часа работы бригады проводников,
;
-
стоимость часа работы локомотивной бригады,
;
-
коэффициенты, учитывающие время внепоездной работы, соответственно,
локомотивной бригады и бригады проводников
;
Спасс-ч
- приведенная стоимость поездо-часа пассажирского поезда с учетом оценки
времени пассажиров, Спасс-ч = 30 р.;
ап
- расчетная вместимость пассажирского поезда (см. табл. 1.1).
Св-ч
- приведенная стоимость вагоно-часа вагона i-ой категории (Св-чСВ=154р.; Св-чК
=93р.; Св-чПЛ =58р.; Св-чОБЩ =58р.;Св-чПЧТ=48р.;
Св-чВР
=49р.);
Наивыгоднейшее
значение скорости движения при заданном весе и расчетной населенности
определяется минимальным значением функции:
, (1.7)
Значение этой скорости находим графически на основании результатов
расчётов, сведённых во вспомогательную таблицу 1.2, для каждого значения
композиции состава (см. табл. 1.1), а оптимальный вес - минимальным значением
удельных приведенных затрат в каждом варианте, приходящихся на одного
пассажира.
Таблица 1.1
Варианты композиций пассажирских поездов
|
Вариант
|
Тип вагона
|
Число вагонов
|
Вес тары, т
|
Вес пассажиров и ручной
клади, т
|
Общая масса
|
Населённость
|
Общая населённость
|
|
1
|
2
|
3
|
4
|
5
|
6
|
7
|
8
|
|
1
|
СВ
|
2
|
59
|
3
|
124
|
18
|
36
|
|
К
|
6
|
52
|
4
|
336
|
38
|
228
|
|
ПЛ
|
7
|
51
|
6
|
399
|
54
|
378
|
|
О
|
3
|
52
|
8
|
180
|
76
|
228
|
|
ПЧТ
|
1
|
48,5
|
12
|
60,5
|
0
|
0
|
|
ВР
|
1
|
56
|
3
|
59
|
0
|
0
|
|
|
20
|
|
|
1158,5
|
|
870
|
|
2
|
СВ
|
1
|
59
|
3
|
62
|
18
|
18
|
|
К
|
6
|
52
|
4
|
336
|
38
|
228
|
|
ПЛ
|
9
|
51
|
6
|
513
|
54
|
486
|
|
О
|
1
|
52
|
8
|
60
|
76
|
76
|
|
ПЧТ
|
1
|
48,5
|
12
|
60,5
|
0
|
0
|
|
ВР
|
1
|
56
|
3
|
59
|
0
|
0
|
|
|
19
|
|
|
1090,5
|
|
808
|
|
3
|
СВ
|
2
|
59
|
3
|
124
|
18
|
36
|
|
К
|
6
|
52
|
4
|
336
|
38
|
228
|
|
ПЛ
|
7
|
51
|
6
|
399
|
54
|
378
|
|
О
|
2
|
52
|
8
|
120
|
76
|
152
|
|
ПЧТ
|
0
|
48,5
|
12
|
0
|
0
|
0
|
|
ВР
|
0
|
56
|
3
|
0
|
0
|
0
|
|
|
17
|
|
|
979
|
|
794
|
|
4
|
СВ
|
1
|
59
|
3
|
62
|
18
|
18
|
|
К
|
10
|
52
|
4
|
560
|
38
|
380
|
|
ПЛ
|
3
|
51
|
6
|
171
|
54
|
162
|
|
О
|
1
|
52
|
8
|
60
|
76
|
76
|
|
ПЧТ
|
0
|
48,5
|
12
|
0
|
0
|
0
|
|
ВР
|
0
|
56
|
3
|
0
|
0
|
0
|
|
|
15
|
|
|
853
|
|
636
|
Таблица 1.2
Вспомогательная таблица для построения кривых Е(vход) по вариантам
|
        
|
|
|
|
|
|
|
|
|
|
|
1
|
2
|
3
|
4
|
5
|
6
|
7
|
8
|
9
|
10
|
11
|
|
=1158,5704,073,023,15020810039,69332514,6630,25230284,2916160,6721248675,329
|
|
|
|
|
|
|
|
|
|
|
|
90
|
5,23
|
3,9
|
4,06493
|
12321,76
|
408096,7
|
23,529
|
30284,2
|
712569,412
|
1120666,114
|
|
110
|
6,63
|
4,94
|
5,149573
|
15034,47
|
497941,5
|
19,251
|
30284,2
|
583011,337
|
1080952,837
|
|
130
|
8,27
|
6,14
|
6,404136
|
18177,81
|
602049,05
|
16,29
|
30284,2
|
493317,285
|
1095366,336
|
|
150
|
10,15
|
7,5
|
7,82862
|
21751,79
|
720419,35
|
30284,2
|
427541,647
|
1147961
|
|
170
|
12,27
|
9,02
|
9,423025
|
25756,41
|
853052,41
|
12,457
|
30284,2
|
377242,63
|
1230295,037
|
|
190
|
14,63
|
10,7
|
11,18735
|
30191,67
|
999948,21
|
11,146
|
30284,2
|
337532,879
|
1337481,093
|
|
=1090,5704,073,023,1572669539,413315945,3430,25228180,8852527,4961168472,839
|
|
|
|
|
|
|
|
|
|
|
|
90
|
5,23
|
3,9
|
4,07387
|
11708,39
|
387781,89
|
23,529
|
28180,8
|
663076,941
|
1050858,83
|
|
110
|
6,63
|
4,94
|
5,160933
|
14287,08
|
473188,04
|
19,251
|
28180,8
|
542517,497
|
1015705,541
|
|
130
|
8,27
|
6,14
|
6,418454
|
17275,48
|
572163,81
|
16,29
|
28180,8
|
459053,267
|
1031217,077
|
|
150
|
10,15
|
7,5
|
7,846433
|
20673,59
|
684709,19
|
14,118
|
28180,8
|
397846,165
|
1082555,35
|
|
170
|
12,27
|
9,02
|
9,44487
|
24481,41
|
810824,17
|
12,457
|
28180,8
|
351040,734
|
1161864,906
|
|
190
|
14,63
|
10,7
|
11,21377
|
28698,94
|
950508,77
|
11,146
|
28180,8
|
314089,077
|
1264597,846
|
|
=979704,073,023,1706568719,098288776,5430,25227580,9834380,4711123157,013
|
|
|
|
|
|
|
|
|
|
|
|
90
|
5,23
|
3,9
|
4,090831
|
10702,64
|
354471,57
|
23,529
|
27580,9
|
648962,588
|
1003434,156
|
|
110
|
6,63
|
4,94
|
5,182485
|
13061,58
|
432599,66
|
19,251
|
27580,9
|
530969,39
|
963569,0458
|
|
130
|
8,27
|
6,14
|
6,445617
|
15795,92
|
523160,8
|
16,29
|
27580,9
|
449281,792
|
972442,596
|
|
150
|
10,15
|
7,5
|
7,880227
|
18905,65
|
626155,01
|
14,118
|
27580,9
|
389377,553
|
1015532,567
|
|
170
|
12,27
|
9,02
|
9,486317
|
22390,77
|
741582,29
|
12,457
|
27580,9
|
343568,429
|
1085150,715
|
|
190
|
14,63
|
10,7
|
11,26388
|
26251,29
|
869442,62
|
11,146
|
27580,9
|
307403,331
|
1176845,95
|
|
=853704,073,023,1893227792,107258074,5830,25222590,1683396,471941471,0495
|
|
|
|
|
|
|
|
|
|
|
|
90
|
5,23
|
3,9
|
4,114474
|
9566,105
|
316829,41
|
23,529
|
22590,1
|
531530,588
|
848360,0007
|
|
110
|
6,63
|
4,94
|
5,212527
|
11676,72
|
386732,96
|
19,251
|
22590,1
|
434888,663
|
821621,6194
|
|
130
|
8,27
|
6,14
|
6,483481
|
14123,95
|
467785,21
|
16,29
|
22590,1
|
367982,715
|
835767,9253
|
|
150
|
10,15
|
7,5
|
7,927335
|
16907,8
|
559986,17
|
14,118
|
22590,1
|
318918,353
|
878904,5278
|
|
170
|
12,27
|
9,02
|
9,54409
|
20028,26
|
663335,85
|
12,457
|
22590,1
|
281398,547
|
944734,3963
|
|
190
|
14,63
|
10,7
|
11,33375
|
23485,33
|
777834,23
|
11,146
|
22590,1
|
251777,647
|
1029611,882
|
Графическое определение оптимального значения ходовой скорости движения
пассажирского поезда при заданном его весе (композиции).
Вариант 1
Рис 1.1.
Графическое определение оптимального значения ходовой скорости движения
пассажирского поезда при заданном его весе (композиции).
Вариант 2
Рис 1.2.
Графическое определение оптимального значения ходовой скорости движения
пассажирского поезда при заданном его весе (композиции).
Вариант 3
Рис 1.3.
Графическое определение оптимального значения ходовой скорости движения
пассажирского поезда при заданном его весе (композиции).
Вариант 4
Рис 1.4.
Имеем (см. рис. 1.1.-1.4. и табл. 1.1):
Таблица 1.3
Удельные приведенные затраты по вариантам
|
Vхопт, км/ч
|
Emin, руб.
|
ап, чел.
|
Еmin/,
руб./чел.
|
|
1 вариант
|
110
|
1 080 953
|
870
|
1 242,47
|
|
2 вариант
|
110
|
1 015 706
|
808
|
1 257,06
|
|
3 вариант
|
110
|
963 569
|
794
|
1 213,56
|
|
4 вариант
|
110
|
821 622
|
636
|
1 291,86
|
Из расчётов удельных приведенных затрат в каждом варианте, приходящихся
на одного пассажира (Еmin/),
выбираем к дальнейшему рассмотрению вариант с минимальным значением этого
показателя. Таким вариантом является вариант 3 композиции пассажирского поезда
с Qоптим = 979 т.
Полученное значение веса и скорости проверяем по ряду требований:
1) По соответствию мощности заданного
локомотива:
·
по условию
трогания с места (1 - я проверка);
·
по обеспечению
оптимального уровня ходовой скорости (2 - я проверка).
2) По длине платформ и станционных
приемо-отправочных путей (3 - я проверка).
Первую проверку производим по формуле:
, (1.8)
где
- вес состава, при котором возможно трогание с места,
т;тр - сила тяги локомотива при трогании с места, Fтр= 115,8*1,8=208,44 кН ;
P - вес
локомотива, PЧС7 = 164 т);
iр - руководящий
уклон, iрЛП = 6,0 0/00 ).
wтр - удельное
сопротивление состава при трогании с места, кг/т;
,
(1.9)
где q0 -
нагрузка на ось,
. (1.10)
Если
вес поезда, полученный по формуле (1.8), больше, чем определенный технико-экономическими
расчетами, то заданный локомотив обеспечивает трогание с места пассажирского
поезда на расчетном подъеме.
.
Таким
образом, вес, полученный по формуле (1.8), больше, чем определенный
технико-экономическими расчетами, следовательно, локомотив ЧС7 обеспечивает
трогание с места пассажирского поезда на расчетном подъеме.
Вторую
проверку выполняем, исходя из достижения скорости, полученной по
технико-экономическому расчету; поезд должен иметь скорость на расчетном
подъеме не ниже, чем определенную соотношением
, (1.11)
где
значения К принимаются в зависимости от типа профиля и серии локомотива
(принимаем К = 1,2).
Касательную
мощность локомотива для электрической тяги определяем по формуле:
, кВт
(1.12)
Касательная
сила тяги локомотива по условию равновесного движения на расчетном подъеме
, (1.13)
подставляя,
получаем
, (1.14)
В
данном уравнении неизвестным является значение скорости на расчетном подъеме,
которое можно определить графоаналитическим способом.
Если
значение скорости на расчетном подъеме, определенное по условию (1.11) больше,
чем полученное графоаналитическим расчётом, то заданный локомотив не может
реализовать оптимальную ходовую скорость, и для дальнейших расчетов ходовая
скорость принимается на уровне, соответствующем мощности тяги или по другим
ограничениям.
-ая
проверка:
Расчёты
по этой проверке сведены в таблицу 1.4.
Таблица
1.4
Вспомогательная таблица для построения кривой потребной мощности
локомотива для реализации различных значений скорости на расчётном подъёме
|
Vх
|
Vp
|
Nk
|
Fk
|
Потребная мощность
локомотива
|
Наличная мощность
локомотива
|
|
70
|
58
|
1 922,39
|
12 101,15
|
705 900,42
|
3 084 480,00
|
|
90
|
75
|
2 718,72
|
13 310,87
|
998 315,25
|
|
|
110
|
92
|
3 680,97
|
14 745,31
|
1 351 653,42
|
|
|
130
|
108
|
4 839,74
|
16 404,47
|
1 777 150,92
|
|
|
150
|
125
|
6 225,61
|
18 288,35
|
2 286 043,75
|
|
|
170
|
142
|
7 869,19
|
20 396,95
|
2 889 567,92
|
|
|
190
|
158
|
9 801,09
|
22 730,27
|
3 598 959,42
|
|
Графоаналитическое определение скорости на расчётном подъёме
Рис. 1.5
Таким образом, значение скорости, определенное по условию (1.11) - 91,66
км/ч, меньше, чем получено графоаналитическим расчетом - 181 км/ч.
Следовательно локомотив ЧС7 может реализовать оптимальную скорость.
Третья проверка учитывает, что согласно ИПСУ длина поезда должна
соответствовать длине пассажирских платформ на станциях рассматриваемого
направления.
-я проверка:
Длина пассажирских платформ на рассматриваемой сети равна 500 м.
Расчётную длину поезда определим по формуле:
,
(1.13)
где lваг
- средняя длина одного пассажирского вагона lваг = 20 м.;
lлок - длина
локомотива ЧС7, lлок =32,9 м.
В
нашем случае:
Lпоезда = 20· 17
+ 32,9 = 372,9 м < 500 м - верно.
1.2 Расчёт
плана формирования пассажирских поездов
На основании данных о пассажиропотоках могут быть составлены различные
варианты плана формирования пассажирских поездов, устанавливающие число,
назначения и категории поездов. План формирования пассажирских поездов должен
обеспечивать беспересадочное следование для основного потока пассажиров и, в то
же время, рациональное использование подвижного состава и пропускной
способности железных дорог.
Исходными данными для составления плана формирования являются:
·
величины струй
пассажиропотока;
·
весовые нормы
поездов всех категорий;
·
композиции
составов, определяющие расчетные населенности поездов;
·
технико-экономические
нормативы, позволяющие оценить затраты на один поезд принятого к расчету
сообщения.
Для расчета ПФПП на основании заданных исходных данных месячных размерах
пассажиропотока определяется густота пассажиропотока по каждому участку
направления. На разветвленной сети допускаются различные маршруты следования
пассажиров между станциями. В качестве критерия для составления ПФПП примем
время следования пассажиров, с учетом того что на однопутной линии скорость
поездов составит
(0.75-0.8)Vх
,75*60=45 км/ч
а на двухпутной линии:
,95*60=57 км/ч
На основании длины участков и оптимальную ходовую скорость определенную в
предыдущем разделе определим время следования пассажиров между узловыми
станциями. (См. рис. 1.6)
о
840
660 720 960
720 600
420
660
о
18,67
11,58 16
12,63 13,33 21,33
7,37 14,66
Рис. 1.6
Далее зная времена следования можно определить кратчайшее расстояние
методом Форта (См. Таблица 1.2.1)
Таблица 1.2.1
Определение кратчайшего расстояния.
|
№ Узла
|
ШАГ
|
|
1
|
2
|
3
|
4
|
|
Б
|
-
|
-
|
-
|
-
|
|
Д
|
-
|
33,68 (из Б)
|
33,68 (из Б)
|
33,68 (из Б)
|
|
П
|
-
|
26,04 (из Б)
|
26,04 (из Б)
|
26,04 (из Б)
|
|
Л
|
-
|
-
|
57,62 (через П) 63,01
(через Д)
|
57,62 (через П) 63,01
(через Д)
|
|
И
|
-
|
-
|
86,31 (через Д)
|
93,61
(через Л)
|
Итак получили кратчайшие расстояния, выделим их на полигоне (Рис 1.7)
Рис. 1.7 Кратчайшие расстояние следования
В соответствии с откорректированными исходными данными (Таблица 1.2.2)
наносим струи по кратчайшему расстоянию в одном направлении + все угловые
пассажиропотоки. (рис. 1.8), а затем посчитаем густоты пассажиропотока,
просуммировав струи по каждому участку полигона.
Таблица 1.2.2
Месячные размеры пассажиропотоков дальнего и местного сообщения
|
На Из
|
Б
|
В
|
Г
|
Д
|
Е
|
Ж
|
З
|
И
|
К
|
Л
|
М
|
Н
|
О
|
П
|
Р
|
С
|
Т
|
|
Б
|
-
|
5880
|
6720
|
12600
|
-
|
5880
|
840
|
21000
|
6720
|
8400
|
420
|
33600
|
5040
|
-
|
1680
|
5880
|
2520
|
|
В
|
5880
|
-
|
840
|
13440
|
840
|
420
|
7560
|
11760
|
-
|
10080
|
840
|
16800
|
1680
|
1680
|
5460
|
1680
|
6720
|
|
Г
|
6720
|
8400
|
-
|
12600
|
1260
|
7560
|
7140
|
10080
|
840
|
6720
|
420
|
15120
|
3360
|
4200
|
6720
|
-
|
7980
|
|
Д
|
1260
|
13440
|
12600
|
-
|
7560
|
5880
|
7560
|
16800
|
8400
|
1680
|
5880
|
2940
|
420
|
4200
|
2940
|
2520
|
10080
|
|
Е
|
-
|
840
|
1260
|
7560
|
-
|
1260
|
840
|
2520
|
2100
|
-
|
-
|
8400
|
2520
|
-
|
4200
|
7560
|
2520
|
|
Ж
|
5880
|
420
|
7560
|
5880
|
1260
|
-
|
840
|
2940
|
-
|
-
|
-
|
3360
|
6720
|
4200
|
5460
|
3780
|
5880
|
|
З
|
840
|
7560
|
7140
|
7560
|
840
|
840
|
-
|
6300
|
2520
|
5040
|
8400
|
6720
|
2100
|
6720
|
-
|
8820
|
2100
|
|
И
|
21000
|
11760
|
10080
|
16800
|
2520
|
2940
|
6300
|
-
|
8400
|
7560
|
4200
|
21000
|
3360
|
6300
|
2520
|
5460
|
5880
|
|
К
|
6720
|
-
|
840
|
8400
|
2100
|
-
|
2520
|
8400
|
-
|
9240
|
840
|
7560
|
840
|
7560
|
4200
|
5880
|
3780
|
|
Л
|
8400
|
10080
|
6720
|
1680
|
-
|
-
|
5040
|
7560
|
9240
|
-
|
8400
|
16800
|
5040
|
-
|
2100
|
2940
|
9660
|
|
М
|
420
|
840
|
420
|
5880
|
-
|
-
|
8400
|
4200
|
840
|
8400
|
-
|
15120
|
4200
|
13440
|
5040
|
-
|
4620
|
|
Н
|
33600
|
16800
|
15120
|
2940
|
8400
|
3360
|
6720
|
21000
|
7560
|
16800
|
15120
|
-
|
420
|
2520
|
3780
|
6720
|
6300
|
|
О
|
5040
|
1680
|
3360
|
420
|
2520
|
6720
|
2100
|
3360
|
840
|
5040
|
4200
|
420
|
-
|
1344
|
7140
|
-
|
2940
|
|
П
|
-
|
1680
|
4200
|
4200
|
-
|
4200
|
6720
|
6300
|
7560
|
-
|
13440
|
2520
|
1344
|
-
|
5040
|
2100
|
2520
|
|
Р
|
1680
|
5460
|
6720
|
2940
|
4200
|
5460
|
-
|
2520
|
4200
|
2100
|
5040
|
3780
|
7140
|
5040
|
-
|
3360
|
7980
|
|
С
|
5880
|
1680
|
-
|
2520
|
7560
|
3780
|
8820
|
5460
|
5880
|
-
|
6720
|
-
|
2100
|
3360
|
-
|
8400
|
|
Т
|
2520
|
6720
|
7980
|
10080
|
2520
|
5880
|
2100
|
5880
|
3780
|
9660
|
4620
|
6300
|
2940
|
2520
|
7980
|
8400
|
-
|
Для составления ОПФПП необходимо посчитать возможное число назначений,
оно определяется из выражения:
=(n(n-1))\2
Где n - число участковых станций
рассматриваемого полигона.
Итак число назначений на полигоне будет равно:
(5-1)\2 = 10 назначений.
пассажирский поезд движение
Возможные назначения плана формирования пассажирских поездов
Рис. 1.9.
Далее по каждому назначению рассчитаем количество составов в обороте, при
этом примем время нахождения в основном депо 8 час, время нахождения в
оборотном депо 4 часа, время хода известно (см. Рис.1.6) , количество составов
определяем по формуле:
= (2tх+tоб+tосн)\24
Расчет количества составов в обороте удобно вести в табличной форме (см.
Таблица 1.2.3)
Таблица 1.2.3
Расчет количества составов в обороте
|
Назначение
|
2tх
|
tоб
|
tосн
|
Nс
|
|
Б-И
|
172,62
|
4
|
8
|
7,6925
|
|
Б-Д
|
67,36
|
4
|
8
|
3,3067
|
|
Б-Л
|
115,24
|
4
|
8
|
5,3016
|
|
Б-П
|
52,08
|
4
|
8
|
2,67
|
|
П-Л
|
63,16
|
4
|
8
|
3,1317
|
|
П-И
|
135,14
|
4
|
8
|
6,1308
|
|
П-Д
|
48,42
|
4
|
8
|
2,5175
|
|
Д-Л
|
58,66
|
4
|
8
|
2,9442
|
|
Д-И
|
105,26
|
4
|
8
|
4,8858
|
|
Л-И
|
71,98
|
4
|
8
|
3,4992
|
Поструйный график пассажиропотоков
ГБ-В
= 75180, ГВ-Г = 113820, ГГ-Д = 161280.
Г1 = 161280.
ГД-Е = 174720, ГЕ-Ж = 145320, ГЖ-З = 119280, ГЗ-И = 91980.
Г2 = 174720.
ГБ-Р = 39060, ГР-П = 70140.
Г3 = 70140.
ГП-С = 68040, ГС-Д = 96180.
Г4 = 96180.
ГП-О = 44604, ГО-Л = 46620.
Г5 = 46620.
ГД-К = 85260, ГК-Л = 88620.
Г6 = 88620.
ГЛ-Т = 100380, ГТ-И = 41580.
Г7 = 100380.
Далее составление ОПФПП необходимо определить такое количество поездов по
каждому назначению, которое бы обеспечивало перевозку заданного пассажиропотока
(полученные значения густот)
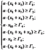
∑ аопт хj > Гj
Система будет состоять из семи неравенств по количеству участков
полигона, при этом в расчетах густота участков где предусмотрены промежуточные
станции принимается максимальная из всех значений густот по этому участку (если
реализуется максимум, значить реализовано будут все значения что меньше).
Итак составим систему неравенств, значение аопт = 794 , значения ni = см. таб. 1.2.3
Задача расчета плана формирования пассажирских поездов имеет вид:
Зная
значения густот и вместимости, имеем:
Целевая функция имеет вид:
(Х) =
7,6925Х1+3,3067Х2+5,3016Х3+2,67Х4+3,1317Х5+6,1308Х6+4,8858Х7+3,4992Х8+2,9442Х9+
+2,5175Х10 min.
Сформулированная выше задача является задачей линейного программирования,
которую можно решить симплекс-методом.
Производим расчёт нашей задачи на ЭВМ стандартной программой решения
систем линейных уравнений LP.
Оптимальное решение
|
F(x)
|
3111,5471
|
|
x1
|
203,12343
|
|
x2
|
0
|
|
x3
|
58,71537
|
|
x4
|
29,62217
|
|
x5
|
0
|
|
x6
|
0
|
|
x7
|
16,92695
|
|
x8
|
126,42317
|
|
x9
|
111,61209
|
|
x10
|
121,1335
|
Пассажиропоток указан за месяц то периодичность пассажирских поездов
представлена в таблице 1.2.4
Таблица 1.2.4
Периодичность обращения пассажирских поездов
|
хi
|
Число вагонов в составе
|
назначение
|
Количество поездов
(округленное)
|
План приема и отправления
поездов
|
|
Х1
|
20
|
Б-И
|
203,12 (204)
|
По 6 поездов ежедневно + 1
поезд с понедельника по пятницу
|
|
Х3
|
20
|
Б-Л
|
58,72 (59)
|
2 поезда ежедневно
|
|
Х4
|
20
|
Б-П
|
29,62 (30)
|
1 поезд ежедневно
|
|
Х7
|
20
|
Д-И
|
16,93
(17)
|
4 поезда в неделю
|
|
Х8
|
20
|
Л-И
|
126,42 (127)
|
4 поезда ежедневно + 2
поезда в выходные
|
|
Х9
|
20
|
Д-Л
|
111,61 (112)
|
3 поезда ежедневно, 5
поездов в выходные и каждые 6 во вторые выходные месяца
|
|
Х10
|
20
|
П-Д
|
121,13
(122)
|
3 поезда ежедневно + 1 поезд
с понедельника по субботу
|
2.
ПРИГОРОДНЫЕ ПЕРЕВОЗКИ
2.1 Особенности графика движения на пригородных участках
Пригородные пассажиропотоки отличаются от пассажиропотоков дальнего и
местного сообщения рядом существенных особенностей. К их числу относится
массовость, неравномерность распределения по хонам, временам года, дням и часам
суток.
Суточный пассажиропоток исчисляется десятками тысяч человек, что требует
больших размеров движения пригородных поездов: от 5..10 до 300 пар в сутки и
более.
Важной особенностью пригородных перевозок является неравномерность
распределения пригородного пассажиропотока в пределах пригородного участка. По
мере удаления от головной станции, как правило, густота пригородного
пассажиропотока значительно уменьшается.
С учетом неравномерности распределения пригородных пассажиропотоков по
сезонам года, дням недели и часам суток эта особенность приводит к
необходимости деления пригородного участка на отдельные части - зоны,
обслуживаемые прикрепленными к ним зонными поездами, размеры движения которых
увеличиваются в предпраздничные и выходные дни, что дает возможность лучше
использовать вместимость пригородных составов как по времени, так и по маршруту
следования.
Одной из особенностей пригородных перевозок являются короткие расстояния
проезда, сосредоточение в крупных населенных пунктах, необходимость учета
большого количества факторов, обусловленных требованиями унификации тяги в
крупных железнодорожных узлах, повышением уровня и комфортабельности поездки и
др. Большое влияние на основные параметры организации пригородного
пассажирского движения оказывает вид тяги и тип подвижного состава.
2.2 Определение рационального варианта размещения зонных технических
станций
На пригородных линиях возможно применение различных типов ГДП, а именно
применение параллельного графика и двух типов непараллельного : классического
зонного с остановками поездов только в пределах данной зоны, обычного зонного с
остановками поездов не только в пределах своей зоны, но и на всех попутных
зонных станциях (см. рис. 2.1). При отсутствии межзонной корреспонденции
пассажиропотока можно применять классическую зонную прокладку. На участках со
значительной межзонной корреспонденцией целесообразно использование зонного
графика с остановками поездов на зонных станциях.
Б
а
б
в
Параллельный Классический
- движение с участковой скоростью
- движение с ходовой скоростью
Рис. 2.1 Варианты работы электропоездов
Определение размещения зонных станций будем производить на основании
технико-экономических расчетов, в которых намеченные варианты сравниваются по
величине приведенных затрат, включающих приведенные к эксплуатационным расходам
капиталовложения в подвижной состав и в развитие станционных устройств (зонные
станции с необходимым оборудованием), а также эксплуатационные расходы на
пригородном участке. Однако наибольшее влияние на выбор числа зон оказывают
пассажиро-часы проезда и ожидания.
Размеры суточных пригородных пассажиропотоков представлены в таблице 2.1,
схема пригородного участка с назначениями пассажиропотоков показана на рис. 2.2
На участке согласно заданию предусмотрено размещение 3 -х технических
зон.
Значения ходовой и участковой скорости принимаются равными соответственно
и 40 км.\ч.
Таблица 2.1
Размеры суточных пригородных пассажиропотоков
|
Из/на
|
Б
|
а
|
б
|
в
|
г
|
д
|
е
|
|
Б
|
-
|
13225
|
10580
|
7935
|
2645
|
1323
|
1984
|
|
а
|
13225
|
-
|
5290
|
2645
|
1323
|
661
|
1323
|
|
б
|
10580
|
5290
|
-
|
1323
|
661
|
1058
|
2645
|
|
в
|
7935
|
2645
|
1323
|
-
|
1323
|
926
|
661
|
|
г
|
2645
|
1323
|
661
|
1323
|
-
|
1323
|
926
|
|
д
|
1323
|
661
|
1058
|
626
|
1323
|
-
|
1323
|
|
е
|
1984
|
1323
|
2645
|
661
|
926
|
1323
|
-
|
Поструйный график пригородных пассажиропотоков.
Рис 2.2
Далее на основании данных о густотах пассажиропотока построим диаграмму
распределения густоты пассажиропотока между пассажирскими станциями. (Рис. 2.3)
Диаграмма распределения пригородных пассажиропотоков между пассажирскими
станциями
Рис. 2.3
Критерием выбора размещения зонных станций является минимум пассажиро-часов
в ожидании и в движении:
min
Суммарные
пассажиро-часы в движении составят:
,
где Аi -
густота пассажиропотока между раздельными пунктами пригородного участка, в
пределах
i-ой зоны, пассажиров;
li - длина i-го
пригородного участка, км;
vх - ходовая
скорость пригородных поездов, vх = 60 км/ч);
vуч - участковая
скорость пригородных поездов, vуч = 40км/ч.
Суммарные
пассажиро-часы в ожидании составят:
,
где
- количество зонных технических станций,
= 3;
-
максимальная вместимость электропоезда,
= 1160
чел;
- период
обращения пригородных электропоездов,
= 18-20
ч.
Таблица
2.2
Расчет
суммарных затрат пассажиро-часов в движении и в ожидании
|
№ варианта
|
Atож
|
Atдв
|
At
|
|
1
|
34800
|
88612,66
|
123412.66
|
|
2
|
34800
|
74670.78
|
109470.78
|
|
3
|
34800
|
80125.57
|
114925.57
|
|
4
|
34800
|
95485.31
|
130285.31
|
|
5
|
34800
|
68891.51
|
103691.51
|
|
6
|
34800
|
67403.33
|
102203.33
|
|
7
|
34800
|
74187.6
|
108987.6
|
|
8
|
34800
|
70956.93
|
105756.93
|
|
9
|
34800
|
69888.75
|
104688.75
|
|
10
|
34800
|
81129.27
|
115929.27
2.3. Расчет размеров движения пригородных поездов
Размеры движения пригородных поездов в значительной мере определяют
эффективность и качество перевозочного процесса, так как с ними связаны условия
проезда пассажиров и потребность в подвижном составе, необходимая пропускная
способность, затраты железных дорог на выполнение заданного объема пригородных
перевозок.
Необходимо определить количество поездов в пиковый и непиковый период до
зонных станций и обратно. Примем пиковый период 4 часа в сутки, с 7 00 до 9 00
утром и с 17 00 до 19 00 вечером. Согласно заданию доля пассажиропотока
пикового периода от общего составляет 30%, Зная расположение зонных станций,
долю пассажиропотока пикового периода, количество вагонов в поездах по периодам
во первых составим диаграмму густот пассажиропотока с указанием густоты в
пиковый и непиковый период (Рис. 2.4)
Рис. 2.4 Распределение густоты между пиковым и непиковым периодом
Во вторых составим схему возможных назначений пассажирских пригородных
поездов по отправлении с головной станции и по прибытию на головную станцию в
пиковый и непиковый период. На участке предусмотрено обращение пассажирских
пригородных поездов (электричек) в пиковый период 10 вагонные секции (а10)
общей вместимостью 1100 мест, 8-и, и 6-и вагонных секций (а8, а6) в непиковый
период вместимостью соответственно 880 и 560 мест.
Схема возможных назначений по периодам П и НП по прибытии и отправлении
на (с), головную станцию представлена на рис. 2.5
Непиковый по
отправлению с Б
а8 Х1
а8 Х2
а8 Х3
а6 Х4
а6 Х5
а6 Х6
Пиковый по
отправлению с Б
а10 Х7
а10 Х8
а10 Х9
Непиковый по
прибытию на Б
а8
У1
а8 У2
а8
У3
а6 У4
а6
У5
а6 У6
Пиковый по
прибытию на Б
а10 У7
а10
У8
а10
У9
Рис. 2.5 Назначения пригородных поездов по прибытию и отправлению в
пиковый и непиковый периоды.
Далее исходя из схемы возможных назначений (см. рис 2.5) пригородных
поездов строится схема прокладки линий пригородных поездов по прибытии и по
отправлению, в пиковый и непиковый период. Схему удобно составлять в табличной
форме.(таблица 2.3.1)
Таблица 2.3.1
Схема прокладки линий пригородных поездов.
|
Станция
|
8ваг. 6 ваг. 10ваг. 10
ваг. 8 ваг. 6 ваг. непик. по отправ. пик. по отправ. пик. по приб. непик. по
прибытию x1 x2 x3 x4 x5 x6
x7 x8 x9 y7 y8 y9 y1 y2 y3 y4 y5 y6
|
Длина участка км.
|
|
Б б
|
|
31,25
|
|
б г
|
|
50
|
|
г е
|
|
56,25
|
Пиковый период:
(Х7+Х8+Х9)*1100*1.2≥ ГпикБ-б ≥ 11308
(Х7+Х8)*1100 ≥ Гпикб-г ≥ 7658
Х7*1100≥ Гпикг-е ≥ 3849
Непиковый период:
(Х1+Х2+1.2Х3)*880+(Х4+Х5+1.2Х6)*660≥ ГнепикБ-б >=26384
(Х1+Х2)*880+(X4+Х5)*660≥
Гнепикб-г >=17868
X1*880+Х4*660≥
Гнепикг-е >=8981
Таблица 2.3.2
Расчет вагоночасов в движении
|
Назн.
|
tоборота
|
Число ваг
|
Ваг- часы
|
Расчет
|
Результат
|
|
Х1=У1
|
0.17 Час.
|
8
|
(Сi(81,25\60+56,25\40)+tоб)*nваг
|
Сi(1.35+1.41+0.17)*8ваг
|
23.44
|
|
Х2=У2
|
0.17 Час.
|
8
|
(Сi(31,25\60+50\40)+tоб)*nваг
|
Сi(0.52+1.25+0.17)*8ваг
|
15.52
|
|
Х3=У3
|
0.17 Час.
|
8
|
(Сi(31,25\40)+tоб)*nваг
|
Сi(0.78
+0.17)*8ваг
|
7.6
|
|
Х4=У4
|
0.17 Час.
|
6
|
(Сi(81,25\60+56,25\40)+tоб)*nваг
|
Сi(1.35+1.41+0.17)*6ваг
|
17.58
|
|
Х5=У5
|
0.17 Час.
|
6
|
(Сi(31,25\60+50\40)+tоб)*nваг
|
Сi(0.52+1.25+0.17)*6ваг
|
11.64
|
|
Х6=У6
|
0.17 Час.
|
6
|
(Сi(31,25\40)+tоб)*nваг
|
Сi(0.78
+0.17)*6ваг
|
5.7
|
|
Х7=У7
|
0.17 Час.
|
10
|
(Сi(137,5\40)+tоб)*nваг
|
Сi(3.43+0.17)*10ваг
|
36
|
|
Х8=У8
|
0.17 Час.
|
10
|
(Сi(81,25\40)+tоб)*nваг
|
Сi(2.03+0.17)*10ваг
|
22
|
|
Х9=У9
|
0.17 Час.
|
10
|
(Сi(31,25\40)+tоб)*nваг
|
Сi(0.78+0.17)*10ваг
|
9.5
|
F(X)=23.44Х1+15.52Х2+7.6Х3+17.58Х4+11.64Х5+5.7Х6+36Х7+22Х8+9.5Х9
MIN
F(X)=F(У)=F MIN
Х1=0,
Х2=10,1(11 поездов),
Х3=8,06(9 поездов),
Х4=13,6(14 поездов),
Х5=0,
Х6=0,
Х7=3,49 (4 поезда),
Х8=3,46 (4 поезда),
Х9=1,6 (2 поезда),
Проверка:
По пиковому периоду:
Густота в пиковый период на первой зоне составляет 11308, зону
обслуживают поезда Х7+Х8+Х9 вместимостью 1100 каждый, значит умножим вместимость
на количество поездов обслуживающих данную зону (10 поездов в пиковый период)
можно проверить правильность решения задачи:
-я зона:
*1100*1.2 = 13200>11308
-я зона:
*1100 = 8800>7658
-я зона:
*1100 = 4400>3849
По непиковому периоду:
-я зона:
*880+ 14*660=26840>26384
-я зона:
*880+14*660=18920>17868
-я зона:
*660=9240>8981
Проверки выполняются для всех зон, значит можно принять рассчитанные
значения размеров движения для дальнейших расчетов.
2.4 Построение схематичного ГД пригородных
электропоездов
Для построения схемы прокладки поездов в пиковый период сначала
необходимо сопоставить количество поездов в пиковый период с временем пикового
периода (пиковый период 4 часа в сутки, с 7 00 до 9 00 и с 17 00 до 19 00)
Распределяем поезда по пиковому периоду на несколько частей Рис. 2.4.1
Х7 = 4, Х8 = 4, Х9= 3,
Тпер = 30 мин
Х7 = 1
Х8 = 1
Х9 = 1
Тпер = 30 мин
Х7 = 1
Х8 = 1
Х9 = 1
Тпер
= 30 мин
Х7 = 1
Х8 =
1
Х9 = 1
Тпер = 30 мин
X7 = 1
X8 = 1
Рис.
2.4.1 Распределение поездов по пиковому периоду.
Для определения интервалов следования между поездами которое достигается
минимальным количеством пассажиро-часов ожидания на начальной станции, рассмотрим
два варианта прокладки поездов в пиковый период. (Рис. 2.4.2)
Б 0 t1
t2 1
0 t1 t2
1
б
г
е
Рис. 2.4.2 Варианты прокладки поездов.
Затем для каждого варианта по каждой станции в системе координать (t,А) строим кривую нарастающего итога
пассажиропотока и ступенчатую линию характеризующую принятое расписание.
Площадь Фi ограниченная ступенчатой линией и
осью абсцисс есть функция искомых значений времени отправления. Итак обозначив t1 t2 -интервалы отправления 1-2 поездов, А - густота
пассажиропотока в пиковый период К1-I - коэффициент пропорциональности линейной зависимости пассажиропотока от
времени, составим график нарастающего итога пассажиропотока и ступенчатую линию
для первого варианта прокладки. (Рис 2.4.3 - 2.4.5 для первого варианта, Рис.
2.4.6 - 2.4.8 для второго)
А
Кб
Kб
0 t1 t2 1 t
Рис. 2.4.3
А
Кг
Kб
0 t2
1 t
Рис. 2.4.4
А
Ке
Kб
0 t2 t
Рис. 2.4.5
Максимум площади Фi
можно определить приравняв к нулю частную производную этой функции по ti
Значение К определяется из выражения:
К = (Г1-2*апик*β\Тпер)
Где: β -Пассажиропотоки непосредственно зонных станций (согласно
заданию равен 40%)
Определим значения К:
Кб=11308*0,4\2 = 2261,6
Кг=7658*0.4\2 = 1531,6
Ке=3849*0.4\2 = 769,8
Затем определим значения площади Ф по варианту 1:
Ф1 = ∑Ф1-i
Фб = КБ* t1*(t2 - t1)+ КБ* t2(1 -
t2);
Фг = КГ* t2*(1- t2);
Фе= 0
Сложим, раскроем скобки, приведем подобные слагаемые, получим:
Ф1=∑Ф1-i=t1 t2Кб - Кбt12 -
( Кб+ Кг) t22+(Кб+ Кг) t2
Возьмем производные и приравняем их к нулю:
d Ф1\d t1= t2Кб-2
t1Кб = 0 , t1 = t2\2
d Ф1\d t2= t1Кб-2
t2(Кб+ Кг)+( Кб+ Кг) = 0
Выразим искомые величины и решим систему:
1 = t2\2
t2 =
2( Кб+ Кг)/(3 Кб+4Кг)
t1=0,294
( = 9 минут)
t2=0,588
( = 18 минут)
Пассажирочасы ожидания составят:
АТож = Кб*0.5+ КГ*0.5+0.5 *КЕ - Ф1
Ф1=0,294*0,588*2261,6 -
2261,6*0,2942-(2261,6+1531,6)*0,5882+(2261,6+1531,6)*0,588=1114,4
АТож =(2261,6*0,5+1531,6*0,5+769,8*0,5)-1114.4= 1167,1пч
Для варианта 2:
А
Кб
Kб
0 t1 t2 1 t
Рис. 2.4.6
А
Кг
Kб
0 t1 1
t
Рис. 2.4.7
А
Ке
0 t2 t
Рис. 2.4.8
Ф2 = ∑Ф1-i
Фб= Кб* t1*( t2- t1)+
Кб* t2(1- t2)
Фг = Кг* t1*( 1-t1)
Фе = 0
Сложим, раскроем скобки приведем подобные слагаемые, получим:
Ф1=∑Ф1-i=t1 t2Кб+ t1 Кг
- (Кб+ Кг)t12- Кб t22+Кб t2
Возьмем производные и приравняем их к нулю:
d Ф1\d t1= t2Кб+
Кг - 2 t1(Кб+ Кг) = 0 ,
d Ф1\d t2= t1Кб+
Кб - 2 t2Кб=0, t1 = 2t2-1
Выразим искомые величины и решим систему:
t2=
(2Кб+ 3Кг)/ (3Кб+4Кг) ,
t1 = 2t2-1
t1=0,412
(=13 минут)
t2=0,706
(=21 минута)
Пассажирочасы ожидания составят:
АТож = КБ*0.5+ КГ*0.5+0.5 *КЕ - Ф1
Ф1=0,412*0,706*2261,6 +
1531,6*0,412-(2261,6+1531,6)*0,4122-2261,6*0,7062+2261,6*0,706=1114,4
АТож =(2261,6*0,5+1531,6*0,5+769,8*0,5)-1114.4= 1167,1пч
|
№ вар.
|
КБ
|
КГ
|
КЕ
|
t1
|
t2
|
Фi
|
АТож
|
|
1
|
2261,6
|
1531,6
|
769,8
|
0,294
|
0,588
|
1114,4
|
1167,1
|
|
2
|
2261,6
|
1531,6
|
769,8
|
0,412
|
0,706
|
1114,4
|
1167,1
|
2.5 Построение графика оборота пригородных
составов
Для того чтобы не выделять деповскую станцию из числа других станций
оборота, вводим фиктивную станцию оборота, соответствующую депо.
В момент разреза графика движения (обычно ночью) потребное число
составов, обращающихся на участке, равно числу составов, простаивающих на
станциях оборота.
Количество составов, находящихся в ночном отстое на станции оборота,
определяется вариантом увязки расписания прибытия с расписанием отправления поездов,
имеющих оборот, на этой станции. Не увязанное расписание отправления является
началом маршрута, а прибытия - концом маршрута. Начало и конец одного маршрута
могут находиться на разных станциях оборота.
Маршрутом называется последовательность «ниток» графика движения
увязанных между собой, от начала до конца маршрута.
В каждом маршруте должно быть обеспечено необходимое время для проведения
технического осмотра (ТО).
Маршрут, в котором состав заходит в депо для проведения профилактического
осмотра и ремонта, назовем ремонтным.
Построив, таким образом, все маршруты, увязываем их в единый замкнутый
цикл (граф маршрутов), обеспечивая тем самым равномерность использования
подвижного состава и ритмичность работы депо. При построении этого цикла
следует обеспечить равномерное чередование ремонтных маршрутов. Тем самым
достигается построение единого графика оборота пригородных составов с равным
межремонтным пробегом составов.
Строим граф маршрутов, указывая только начало и конец каждого маршрута на
станциях оборота.
2.5 Увязка времени прибытия и отправления
пригородных электропоездов
Итак, зная размеры движения пригородных поездов в пиковый и непиковый
период, построен схематичный ГДП дальних и пригородных. Для увязки времени
прибытия электропоездов со временем отправления обозначим время прибытия за ti а время отправления за Ti по каждой зонной станции. Далее
выносим каждую зонную станцию и на ней отметим Ti и ti.
Временная ось каждой зонной станции делится на Mi+1 отрезков прибывающих и отправляющихся поездов.
Поставим в соответствие каждому из них число Кv равное числу составов находящемуся в этот период на станции
оборота, после каждого прибытия это число увеличивается на 1 после каждого
отправления уменьшается на 1, минимальное значение Кv=0, в противном случае хотя бы один состав будет стоять на
станции больше суток
Кv = 7
Б
-1+1+1+1-1-1-1+1-1-1+1-1-1-1-1-1-1+1+1+1+1+1+1+1+1+1+1+1-1-1+1+1-1-1+1-1+1+1
T1 t1 t2 t3 T2T3T4t4T5T6t5T7T8T9T10T11T12t6 t7 t8 t9 t10 t11 t12 t13t14 t15 t16T13T14t17t18T15T16t19T17t20t21
-1+1-1+1-1+1-1+1+1-1+1+1-1-1+1-1+1+1-1+1-1-1-1-1-1-1-1-1-1-1-1+1+1+1-1
T18T19t22T20t23T21t24T22t25t26T23t27t28T24T25t29T26t30 t31T27 t32T28T29T30T31T32T33T34T35T36T37T38t33t34t35T39
+1+1-1+1+1-1+1-1+1-1+1-1+1+1-1+1
t36t37T40t38t39T41t40T42t41T43t42T44t43t44T45t45
На начало суток семь составов
Рис. 2.9. Временная ось по станции Б
Кv =1
-1+1-1+1+1+1-1-1-1+1-1+1-1+1-1+1-1+1+1+1-1-1-1+1
Т1 t1Т2 t2 t3 t4Т3Т4T5t5T6 t6 T7t7T8t8 T9 t9 t10 t11 T10T11T12 t12
Один состав на начало суток.
Рис 2.10. Временная ось по станции б
Кv =2
+1-1-1+1-1-1+1-1+1-1+1-1+1-1+1-1+1-1+1-1+1-1+1+1-1+1+1-1+1-1
t1T1T2 t2T3 T4 t3T5 t4T6 t5 T7 t6 T8 t7 T9 t8T10 t9T11 t10T12 t11t12T13 t13 t14T14t15T15
Два состава на начало суток
Рис. 2.11. Временная ось по станции г
Кv =3 -1+1+1-1+1-1+1+1+1-1+1-1+1-1-1+1+1+1-1+1-1+1-1+1-1-1-1+1-1+1-1-1+1-1-1+1
t1T1T2T3T4t2T5t3T6t4T7t5T8 t6T9 t7T10 t8T11t9T12t10T13t11T14t12T15t13T16t14t15T17t16T18t17 t18
На начало суток три состава
Рис. 2.12. Временная ось по станции е
Расписание прибытия til (i-го состава по станции l) может быть увязано с расписанием
отправлением без увеличения числа составов только в том случае если Кv>0, для всех станций в нашем
случае это условие выполняется.
Расписание прибытия увязывается с расписанием отправления, если в промежутке
от ti до Ti нет Кv=0.
Увязку удобно свести в матричную форму элементы, в которой обозначают 1- не
увязывается, 0 -возможна увязка. Матрицы представлены в виде таблиц.
Таблица 2.13.
Матрица увязки по станции Б
|
1
|
2
|
3
|
4
|
5
|
6
|
7
|
8
|
9
|
10
|
11
|
12
|
13
|
14
|
15
|
16
|
17
|
18
|
19
|
20
|
21
|
22
|
23
|
24
|
25
|
26
|
27
|
28
|
29
|
30
|
31
|
3233343536373839404142434445
| 1 |
1
|
1
|
1
|
1
|
1
|
1
|
0
|
0
|
0
|
0
|
0
|
0
|
0
|
0
|
0
|
0
|
0
|
0
|
0
|
0
|
0
|
0
|
0
|
0
|
0
|
0
|
0
|
0
|
0
|
0
|
00000000000000
| 2 |
1
|
1
|
1
|
1
|
1
|
1
|
1
|
1
|
0
|
0
|
0
|
0
|
0
|
0
|
0
|
0
|
0
|
0
|
0
|
0
|
0
|
0
|
0
|
0
|
0
|
0
|
0
|
0
|
0
|
0
|
0
|
0000000000000
| 3 |
1
|
1
|
1
|
1
|
1
|
1
|
1
|
1
|
1
|
0
|
0
|
0
|
0
|
0
|
0
|
0
|
0
|
0
|
0
|
0
|
0
|
0
|
0
|
0
|
0
|
0
|
0
|
0
|
0
|
0
|
0
|
0000000000000
| 4 |
1
|
1
|
1
|
1
|
1
|
1
|
1
|
1
|
1
|
1
|
0
|
0
|
0
|
0
|
0
|
0
|
0
|
0
|
0
|
0
|
0
|
0
|
0
|
0
|
0
|
0
|
0
|
0
|
0
|
0
|
0
|
0000000000000
| 5 |
1
|
1
|
1
|
1
|
1
|
1
|
1
|
1
|
1
|
1
|
1
|
0
|
0
|
0
|
0
|
0
|
0
|
0
|
0
|
0
|
0
|
0
|
0
|
0
|
0
|
0
|
0
|
0
|
0
|
0
|
0
|
0000000000000
| 6 |
1
|
1
|
1
|
1
|
1
|
1
|
1
|
1
|
1
|
1
|
1
|
1
|
0
|
0
|
0
|
0
|
0
|
0
|
0
|
0
|
0
|
0
|
0
|
0
|
0
|
0
|
0
|
0
|
0
|
0
|
0
|
0000000000000
| 7 |
1
|
1
|
1
|
1
|
1
|
1
|
1
|
1
|
1
|
1
|
1
|
1
|
1
|
0
|
0
|
0
|
0
|
0
|
0
|
0
|
0
|
0
|
0
|
0
|
0
|
0
|
0
|
0
|
0
|
0
|
0
|
0000000000000
| 8 |
1
|
1
|
1
|
1
|
1
|
1
|
1
|
1
|
1
|
1
|
1
|
1
|
1
|
1
|
0
|
0
|
0
|
0
|
0
|
0
|
0
|
0
|
0
|
0
|
0
|
0
|
0
|
0
|
0
|
0
|
0
|
0000000000000
| 9 |
1
|
1
|
1
|
1
|
1
|
1
|
1
|
1
|
1
|
1
|
1
|
1
|
1
|
1
|
1
|
0
|
0
|
0
|
0
|
0
|
0
|
0
|
0
|
0
|
0
|
0
|
0
|
0
|
0
|
0
|
0
|
0000000000000
| 10 |
1
|
1
|
1
|
1
|
1
|
1
|
1
|
1
|
1
|
1
|
1
|
1
|
1
|
1
|
1
|
1
|
0
|
0
|
0
|
0
|
0
|
0
|
0
|
0
|
0
|
0
|
0
|
0
|
0
|
0
|
0
|
0000000000000
| 11 |
1
|
1
|
1
|
1
|
1
|
1
|
1
|
1
|
1
|
1
|
1
|
1
|
1
|
1
|
1
|
1
|
1
|
0
|
0
|
0
|
0
|
0
|
0
|
0
|
0
|
0
|
0
|
0
|
0
|
0
|
0
|
00000000000000
| 12 |
1
|
1
|
1
|
1
|
1
|
1
|
1
|
1
|
1
|
1
|
1
|
1
|
1
|
1
|
1
|
1
|
1
|
0
|
0
|
0
|
0
|
0
|
0
|
0
|
0
|
0
|
0
|
0
|
0
|
0
|
00000000000000
| 13 |
1
|
1
|
1
|
1
|
1
|
1
|
1
|
1
|
1
|
1
|
1
|
1
|
1
|
1
|
1
|
1
|
1
|
1
|
1
|
0
|
0
|
0
|
0
|
0
|
0
|
0
|
0
|
0
|
0
|
0
|
0
|
00000000000000
| 14 |
1
|
1
|
1
|
1
|
1
|
1
|
1
|
1
|
1
|
1
|
1
|
1
|
1
|
1
|
1
|
1
|
1
|
1
|
1
|
1
|
0
|
0
|
0
|
0
|
0
|
0
|
0
|
0
|
0
|
0
|
0
|
00000000000000
| 15 |
1
|
1
|
1
|
1
|
1
|
1
|
1
|
1
|
1
|
1
|
1
|
1
|
1
|
1
|
1
|
1
|
1
|
1
|
1
|
1
|
1
|
0
|
0
|
0
|
0
|
0
|
0
|
0
|
0
|
0
|
0
|
00000000000000
| 16 |
1
|
1
|
1
|
1
|
1
|
1
|
1
|
1
|
1
|
1
|
1
|
1
|
1
|
1
|
1
|
1
|
1
|
1
|
1
|
1
|
1
|
1
|
0
|
0
|
0
|
0
|
0
|
0
|
0
|
0
|
0
|
00000000000000
| 17 |
1
|
1
|
1
|
1
|
1
|
1
|
1
|
1
|
1
|
1
|
1
|
1
|
1
|
1
|
1
|
1
|
1
|
1
|
1
|
1
|
1
|
1
|
1
|
0
|
0
|
0
|
0
|
0
|
0
|
0
|
0
|
00000000000000
| 18 |
1
|
1
|
1
|
1
|
1
|
1
|
1
|
1
|
1
|
1
|
1
|
1
|
1
|
1
|
1
|
1
|
1
|
1
|
1
|
1
|
1
|
1
|
1
|
1
|
0
|
0
|
0
|
0
|
0
|
0
|
0
|
00000000000000
| 19 |
1
|
1
|
1
|
1
|
1
|
1
|
1
|
1
|
1
|
1
|
1
|
1
|
1
|
1
|
1
|
1
|
1
|
1
|
1
|
1
|
1
|
1
|
1
|
1
|
1
|
0
|
0
|
0
|
0
|
0
|
0
|
00000000000000
| 20 |
1
|
1
|
1
|
1
|
1
|
1
|
1
|
1
|
1
|
1
|
1
|
1
|
1
|
1
|
1
|
1
|
1
|
1
|
1
|
1
|
1
|
1
|
1
|
1
|
1
|
1
|
0
|
0
|
0
|
0
|
0
|
00000000000000
| 21 |
1
|
1
|
1
|
1
|
1
|
1
|
1
|
1
|
1
|
1
|
1
|
1
|
1
|
1
|
1
|
1
|
1
|
1
|
1
|
1
|
1
|
1
|
1
|
1
|
1
|
1
|
1
|
0
|
0
|
0
|
0
|
00000000000000
| 22 |
1
|
1
|
1
|
1
|
1
|
1
|
1
|
1
|
1
|
1
|
1
|
1
|
1
|
1
|
1
|
1
|
1
|
1
|
1
|
1
|
1
|
1
|
1
|
1
|
1
|
1
|
1
|
1
|
0
|
0
|
0
|
00000000000000
| 23 |
1
|
1
|
1
|
1
|
1
|
1
|
1
|
1
|
1
|
1
|
1
|
1
|
1
|
1
|
1
|
1
|
1
|
1
|
1
|
1
|
1
|
1
|
1
|
1
|
1
|
1
|
1
|
1
|
0
|
0
|
00000000000000
| 24 |
1
|
1
|
1
|
1
|
1
|
1
|
1
|
1
|
1
|
1
|
1
|
1
|
1
|
1
|
1
|
1
|
1
|
1
|
1
|
1
|
1
|
1
|
1
|
1
|
1
|
1
|
1
|
1
|
1
|
1
|
0
|
00000000000000
| 25 |
1
|
1
|
1
|
1
|
1
|
1
|
1
|
1
|
1
|
1
|
1
|
1
|
1
|
1
|
1
|
1
|
1
|
1
|
1
|
1
|
1
|
1
|
1
|
1
|
1
|
1
|
1
|
1
|
1
|
1
|
1
|
00000000000000
| 26 |
1
|
1
|
1
|
1
|
1
|
1
|
1
|
1
|
1
|
1
|
1
|
1
|
1
|
1
|
1
|
1
|
1
|
1
|
1
|
1
|
1
|
1
|
1
|
1
|
1
|
1
|
1
|
1
|
1
|
1
|
1
|
10000000000000
| 27 |
1
|
1
|
1
|
1
|
1
|
1
|
1
|
1
|
1
|
1
|
1
|
1
|
1
|
1
|
1
|
1
|
1
|
1
|
1
|
1
|
1
|
1
|
1
|
1
|
1
|
1
|
1
|
1
|
1
|
1
|
1
|
11000000000000
| 28 |
1
|
1
|
1
|
1
|
1
|
1
|
1
|
1
|
1
|
1
|
1
|
1
|
1
|
1
|
1
|
1
|
1
|
1
|
1
|
1
|
1
|
1
|
1
|
1
|
1
|
1
|
1
|
1
|
1
|
1
|
1
|
11100000000000
| 29 |
1
|
1
|
1
|
1
|
1
|
1
|
1
|
1
|
1
|
1
|
1
|
1
|
1
|
1
|
1
|
1
|
1
|
1
|
1
|
1
|
1
|
1
|
1
|
1
|
1
|
1
|
1
|
1
|
1
|
1
|
1
|
11110000000000
| 30 |
1
|
1
|
1
|
1
|
1
|
1
|
1
|
1
|
1
|
1
|
1
|
1
|
1
|
1
|
1
|
1
|
1
|
1
|
1
|
1
|
1
|
1
|
1
|
1
|
1
|
1
|
1
|
1
|
1
|
1
|
1
|
11111000000000
| 31 |
1
|
1
|
1
|
1
|
1
|
1
|
1
|
1
|
1
|
1
|
1
|
1
|
1
|
1
|
1
|
1
|
1
|
1
|
1
|
1
|
1
|
1
|
1
|
1
|
1
|
1
|
1
|
1
|
1
|
1
|
1
|
11111100000000
| 32 |
1
|
1
|
1
|
1
|
1
|
1
|
1
|
1
|
1
|
1
|
1
|
1
|
1
|
1
|
1
|
1
|
1
|
1
|
1
|
1
|
1
|
1
|
1
|
1
|
1
|
1
|
1
|
1
|
1
|
1
|
1
|
11111110000000
| 33 |
1
|
1
|
1
|
1
|
1
|
1
|
1
|
1
|
1
|
1
|
1
|
1
|
1
|
1
|
1
|
1
|
1
|
1
|
1
|
1
|
1
|
1
|
1
|
1
|
1
|
1
|
1
|
1
|
1
|
1
|
1
|
11111111000000
| 34 |
1
|
1
|
1
|
1
|
1
|
1
|
1
|
1
|
1
|
1
|
1
|
1
|
1
|
1
|
1
|
1
|
1
|
1
|
1
|
1
|
1
|
1
|
1
|
1
|
1
|
1
|
1
|
1
|
1
|
1
|
11111111100000
| 35 |
1
|
1
|
1
|
1
|
1
|
1
|
1
|
1
|
1
|
1
|
1
|
1
|
1
|
1
|
1
|
1
|
1
|
1
|
1
|
1
|
1
|
1
|
1
|
1
|
1
|
1
|
1
|
1
|
1
|
1
|
1
|
11111111110000
| 36 |
1
|
1
|
1
|
1
|
1
|
1
|
1
|
1
|
1
|
1
|
1
|
1
|
1
|
1
|
1
|
1
|
1
|
1
|
1
|
1
|
1
|
1
|
1
|
1
|
1
|
1
|
1
|
1
|
1
|
1
|
1
|
11111111111000
| 37 |
1
|
1
|
1
|
1
|
1
|
1
|
1
|
1
|
1
|
1
|
1
|
1
|
1
|
1
|
1
|
1
|
1
|
1
|
1
|
1
|
1
|
1
|
1
|
1
|
1
|
1
|
1
|
1
|
1
|
1
|
1
|
11111111111100
| 38 |
1
|
1
|
1
|
1
|
1
|
1
|
1
|
1
|
1
|
1
|
1
|
1
|
1
|
1
|
1
|
1
|
1
|
1
|
1
|
1
|
1
|
1
|
1
|
1
|
1
|
1
|
1
|
1
|
1
|
1
|
1
|
11111111111110
| 39 |
0
|
0
|
0
|
0
|
0
|
0
|
0
|
1
|
1
|
1
|
1
|
1
|
1
|
1
|
1
|
1
|
1
|
1
|
1
|
1
|
1
|
1
|
1
|
1
|
1
|
1
|
1
|
1
|
1
|
1
|
1
|
11111111111111
| 40 |
1
|
0
|
0
|
0
|
0
|
0
|
0
|
1
|
1
|
1
|
1
|
1
|
1
|
1
|
1
|
1
|
1
|
1
|
1
|
1
|
1
|
1
|
1
|
1
|
1
|
1
|
1
|
1
|
1
|
1
|
1
|
11111111111111
| 41 |
1
|
1
|
0
|
0
|
0
|
0
|
0
|
1
|
1
|
1
|
1
|
1
|
1
|
1
|
1
|
1
|
1
|
1
|
1
|
1
|
1
|
1
|
1
|
1
|
1
|
1
|
1
|
1
|
1
|
1
|
1
|
11111111111111
| 42 |
1
|
1
|
1
|
0
|
0
|
0
|
0
|
1
|
1
|
1
|
1
|
1
|
1
|
1
|
1
|
1
|
1
|
1
|
1
|
1
|
1
|
1
|
1
|
1
|
1
|
1
|
1
|
1
|
1
|
1
|
1
|
11111111111111
| 43 |
1
|
1
|
1
|
1
|
0
|
0
|
0
|
1
|
1
|
1
|
1
|
1
|
1
|
1
|
1
|
1
|
1
|
1
|
1
|
1
|
1
|
1
|
1
|
1
|
1
|
1
|
1
|
1
|
1
|
1
|
1
|
11111111111111
| 44 |
1
|
1
|
1
|
1
|
1
|
0
|
0
|
1
|
1
|
1
|
1
|
1
|
1
|
1
|
1
|
1
|
1
|
1
|
1
|
1
|
1
|
1
|
1
|
1
|
1
|
1
|
1
|
1
|
1
|
1
|
1
|
11111111111111
| 45 |
1
|
1
|
1
|
1
|
1
|
0
|
1
|
1
|
1
|
1
|
1
|
1
|
1
|
1
|
1
|
1
|
1
|
1
|
1
|
1
|
1
|
1
|
1
|
1
|
1
|
1
|
1
|
1
|
1
|
1
|
11111111111111
Таблица 2.10.
Матрица увязки по станции б
|
1
|
2
|
3
|
4
|
5
|
6
|
7
|
8
|
9
|
10
|
11
|
12
|
|
1
|
1
|
0
|
0
|
0
|
0
|
0
|
0
|
0
|
0
|
0
|
0
|
0
|
|
2
|
1
|
1
|
0
|
0
|
0
|
0
|
0
|
0
|
0
|
0
|
0
|
0
|
|
3
|
1
|
1
|
1
|
0
|
0
|
0
|
0
|
0
|
0
|
0
|
0
|
0
|
|
4
|
1
|
1
|
1
|
1
|
0
|
0
|
0
|
0
|
0
|
0
|
0
|
0
|
|
5
|
1
|
1
|
1
|
1
|
1
|
0
|
0
|
0
|
0
|
0
|
0
|
0
|
|
6
|
1
|
1
|
1
|
1
|
1
|
1
|
0
|
0
|
0
|
0
|
0
|
0
|
|
7
|
1
|
1
|
1
|
1
|
1
|
1
|
1
|
0
|
0
|
0
|
0
|
0
|
|
8
|
1
|
1
|
1
|
1
|
1
|
1
|
1
|
1
|
0
|
0
|
0
|
0
|
|
9
|
1
|
1
|
1
|
1
|
1
|
1
|
1
|
1
|
1
|
0
|
0
|
0
|
|
10
|
1
|
1
|
1
|
1
|
1
|
1
|
1
|
1
|
1
|
1
|
0
|
0
|
|
11
|
1
|
1
|
1
|
1
|
1
|
1
|
1
|
1
|
1
|
1
|
1
|
0
|
|
12
|
0
|
1
|
1
|
1
|
1
|
1
|
1
|
1
|
1
|
1
|
1
|
1
|
Таблица 2.11.
Матрица увязки по станции г
|
1
|
2
|
3
|
4
|
5
|
6
|
7
|
8
|
9
|
10
|
11
|
12
|
13
|
14
|
15
|
|
1
|
1
|
1
|
0
|
0
|
0
|
0
|
0
|
0
|
0
|
0
|
0
|
0
|
0
|
0
|
0
|
|
2
|
1
|
1
|
1
|
0
|
0
|
0
|
0
|
0
|
0
|
0
|
0
|
0
|
0
|
0
|
0
|
|
3
|
1
|
1
|
1
|
1
|
0
|
0
|
0
|
0
|
0
|
0
|
0
|
0
|
0
|
0
|
0
|
|
4
|
1
|
1
|
1
|
1
|
1
|
0
|
0
|
0
|
0
|
0
|
0
|
0
|
0
|
0
|
0
|
|
5
|
1
|
1
|
1
|
1
|
1
|
1
|
0
|
0
|
0
|
0
|
0
|
0
|
0
|
0
|
0
|
|
6
|
1
|
1
|
1
|
1
|
1
|
1
|
1
|
0
|
0
|
0
|
0
|
0
|
0
|
0
|
0
|
|
7
|
1
|
1
|
1
|
1
|
1
|
1
|
1
|
1
|
0
|
0
|
0
|
0
|
0
|
0
|
0
|
|
8
|
1
|
1
|
1
|
1
|
1
|
1
|
1
|
1
|
1
|
0
|
0
|
0
|
0
|
0
|
0
|
|
9
|
1
|
1
|
1
|
1
|
1
|
1
|
1
|
1
|
1
|
0
|
0
|
0
|
0
|
0
|
|
10
|
1
|
1
|
1
|
1
|
1
|
1
|
1
|
1
|
1
|
1
|
1
|
0
|
0
|
0
|
0
|
|
11
|
1
|
1
|
1
|
1
|
1
|
1
|
1
|
1
|
1
|
1
|
1
|
1
|
0
|
0
|
0
|
|
12
|
1
|
1
|
1
|
1
|
1
|
1
|
1
|
1
|
1
|
1
|
1
|
1
|
1
|
0
|
0
|
|
13
|
1
|
1
|
1
|
1
|
1
|
1
|
1
|
1
|
1
|
1
|
1
|
1
|
1
|
1
|
0
|
|
14
|
0
|
0
|
1
|
1
|
1
|
1
|
1
|
1
|
1
|
1
|
1
|
1
|
1
|
1
|
1
|
|
15
|
1
|
0
|
1
|
1
|
1
|
1
|
1
|
1
|
1
|
1
|
1
|
1
|
1
|
1
|
1
|
Таблица 2.12.
Матрица увязки по станции е
|
1
|
2
|
3
|
4
|
5
|
6
|
7
|
8
|
9
|
10
|
11
|
12
|
13
|
14
|
15
|
16
|
17
|
18
|
|
1
|
1
|
1
|
1
|
0
|
0
|
0
|
0
|
0
|
0
|
0
|
0
|
0
|
0
|
0
|
0
|
0
|
0
|
0
|
|
2
|
1
|
1
|
1
|
1
|
0
|
0
|
0
|
0
|
0
|
0
|
0
|
0
|
0
|
0
|
0
|
0
|
0
|
0
|
|
3
|
1
|
1
|
1
|
1
|
1
|
0
|
0
|
0
|
0
|
0
|
0
|
0
|
0
|
0
|
0
|
0
|
0
|
0
|
|
4
|
1
|
1
|
1
|
1
|
1
|
1
|
0
|
0
|
0
|
0
|
0
|
0
|
0
|
0
|
0
|
0
|
0
|
0
|
|
5
|
1
|
1
|
1
|
1
|
1
|
1
|
1
|
0
|
0
|
0
|
0
|
0
|
0
|
0
|
0
|
0
|
0
|
0
|
|
6
|
1
|
1
|
1
|
1
|
1
|
1
|
1
|
1
|
0
|
0
|
0
|
0
|
0
|
0
|
0
|
0
|
0
|
0
|
|
7
|
1
|
1
|
1
|
1
|
1
|
1
|
1
|
1
|
1
|
0
|
0
|
0
|
0
|
0
|
0
|
0
|
0
|
0
|
|
8
|
1
|
1
|
1
|
1
|
1
|
1
|
1
|
1
|
1
|
1
|
0
|
0
|
0
|
0
|
0
|
0
|
0
|
0
|
|
9
|
1
|
1
|
1
|
1
|
1
|
1
|
1
|
1
|
1
|
1
|
1
|
0
|
0
|
0
|
0
|
0
|
0
|
0
|
|
10
|
1
|
1
|
1
|
1
|
1
|
1
|
1
|
1
|
1
|
1
|
1
|
1
|
0
|
0
|
0
|
0
|
0
|
0
|
|
11
|
1
|
1
|
1
|
1
|
1
|
1
|
1
|
1
|
1
|
1
|
1
|
1
|
1
|
0
|
0
|
0
|
0
|
0
|
|
12
|
1
|
1
|
1
|
1
|
1
|
1
|
1
|
1
|
1
|
1
|
1
|
1
|
1
|
1
|
0
|
0
|
0
|
|
13
|
1
|
1
|
1
|
1
|
1
|
1
|
1
|
1
|
1
|
1
|
1
|
1
|
1
|
1
|
1
|
0
|
0
|
0
|
|
14
|
1
|
1
|
1
|
1
|
1
|
1
|
1
|
1
|
1
|
1
|
1
|
1
|
1
|
1
|
1
|
1
|
0
|
0
|
|
15
|
1
|
1
|
1
|
1
|
1
|
1
|
1
|
1
|
1
|
1
|
1
|
1
|
1
|
1
|
1
|
1
|
1
|
0
|
|
16
|
0
|
0
|
0
|
1
|
1
|
1
|
1
|
1
|
1
|
1
|
1
|
1
|
1
|
1
|
1
|
1
|
1
|
1
|
|
17
|
1
|
0
|
0
|
1
|
1
|
1
|
1
|
1
|
1
|
1
|
1
|
1
|
1
|
1
|
1
|
1
|
1
|
1
|
|
18
|
1
|
1
|
0
|
1
|
1
|
1
|
1
|
1
|
1
|
1
|
1
|
1
|
1
|
1
|
1
|
1
|
1
|
1
|
3. РАСЧЕТ ПОКАЗАТЕЛЕЙ ДАЛЬНЕГО И ПРИГОРОДНОГО СООБЩЕНИЙ
К количественным показателям в дальнем и пригородном
сообщении относятся:
Пассажирооборот, поездные пробеги, вагонокилометры пробега,
пробеги по предложенным местам, пассажиронапряженность.
К качественным показателям относятся: среднесуточный пробег
пассажирских составов дальних поездов, средняя населенность на вагон,
коэффициент использования вместимости, коэффициент использования ПС.
Количественные показатели:
) Пассажирооборот-сумма отправленных и прибывших пассажиров
(дальнее и пригородное сообщение.)
∑AL =
2*(Г1* L1 +Г2* L2 +Гn*Ln)
Гn -густота
пассажиропотока
Ln-длина
участка
Дальнее:
∑AL=2*(161280*1920+174720*3000+70140*1260+96180*1380+46620*1800+88620*1320+100380*1620)=2
836 864 800 пасс-км.
Пригородное:
∑AL=2*(37692*31,25+25526*50+12830*56,25)=
6 347 787,5 пасс-км.
) Поездные пробеги поездо-км.:
∑NL = 2*(N1 * L1+ N2* L2 + Nn*Ln)
Дальнее:
∑NL=2*(204*1920+59*1260+30*4920+17*1380+127*3000+112*1320+122*1620)=2
727 120 пкм
Пригородное:
∑NL=2*(11*81,25+9*31,25+14*137,5+4*137,5+4*81,25+3*31,25)=
8 137,5 пкм.
) Вагонокилометры пробега:
∑mL = 2*(m1*N1* L1 + m1*N2* L2 +mn*Nn*Ln)
Пригородное:
∑mL=2*(8*11*81,25+8*9*31,25+6*14*137,5+10*4*137,5+10*4*81,25+10*3*31,25)=
61 275 ваг-км.
Дальнее:
∑mL=2727120*17=
46 361 040 ваг-км.
) Пробег по предложенным местам:
∑Aпред
N L =2*(Апред N1* L1+ Апред N2* L2 +
Апред Nn*Ln)
Пригородное:
∑AпредNL=2*(880*11*81,25+880*9*31,25+660*14*137,5+1100*4*137,5+1100*4*81,25+1100*3*31,25)=
6 740 250
Дальнее:
∑AпредNL=2727120 *794 = 2 165 333 280
) Пассажиронапряженность:
= ∑AL \Lэк
Пригородное:
H= 6
347 787/ 137,5 = 46 165 пасс.
Дальнее:
H= 2
836 864 800/ 12300 = 230 639 пасс.
Качественные показатели:
) Среднесуточный пробег пассажирских составов:
= 2L\Өc
Өc = (tх’ +tх”+tоб+tосн)
Расчет удобно вести в табличной форме:
Таблица 3.1.
|
Назначение
|
tх”
|
tх’
|
tобф
|
tоснф
|
2L
|
Si
|
|
302/303
|
86.31
|
86.31
|
4
|
8
|
9840
|
53.29
|
|
304/305
|
35.99
|
35.99
|
4
|
8
|
3240
|
38.58
|
|
306/307
|
86.31
|
86.31
|
4
|
8
|
9840
|
53.29
|
|
308/309
|
35.99
|
35.99
|
4
|
8
|
3240
|
38.58
|
|
310/311
|
86.31
|
86.31
|
4
|
8
|
9840
|
53.29
|
|
312/313
|
52.63
|
52.63
|
4
|
8
|
6000
|
51.16
|
|
314/315
|
86.31
|
86.31
|
4
|
8
|
9840
|
53.29
|
|
316/317
|
86.31
|
86.31
|
4
|
8
|
9840
|
53.29
|
|
318/319
|
35.99
|
35.99
|
4
|
8
|
3240
|
38.58
|
|
320/321
|
86.31
|
86.31
|
4
|
8
|
9840
|
53.29
|
|
322/323
|
86.31
|
86.31
|
4
|
8
|
9840
|
53.29
|
|
324/325
|
35.99
|
35.99
|
4
|
8
|
3240
|
38.58
|
|
326/327
|
29.33
|
29.33
|
4
|
8
|
2640
|
37.36
|
|
328/329
|
29.33
|
29.33
|
4
|
8
|
2640
|
37.36
|
|
330/331
|
29.33
|
29.33
|
4
|
8
|
2640
|
37.36
|
|
332/333
|
24.21
|
24.21
|
4
|
8
|
2760
|
45.68
|
|
334/335
|
24.21
|
24.21
|
4
|
8
|
2760
|
45.68
|
|
336/337
|
24.21
|
24.21
|
4
|
8
|
2760
|
45.68
|
|
338/339
|
24.21
|
24.21
|
4
|
8
|
2760
|
45.68
|
|
340/341
|
26.04
|
26.04
|
4
|
8
|
2520
|
39.32
|
|
342/343
|
57.62
|
57.62
|
4
|
8
|
6120
|
48.09
|
|
344/345
|
57.62
|
57.62
|
4
|
8
|
6120
|
48.09
|
=1008.81
) Средняя населенность на вагон:
Асредф =∑Aпред N L\∑mL
Пригородное:
Асредф = 6740250\61275 = 110 чел/ваг
Дальнее:
Асредф = 2165333280\46361040 = 46 чел/ваг
) Коэффициент использования вместимости:
Квмест = ∑AL /∑Aпред N L
Дальнее:
Квмест =2836864800 / 2165333280 = 1,31
Пригородное:
Квмест =6347787,5/6740250 = 0,94
) коэффициент использования ПС
апс = Qн / Qсф
апс = 1
Заключение
В данном курсовом проекте были рассмотрены вопросы
организации дальних и местных пассажирских перевозок на расчётном полигоне, а
также рассмотрены вопросы, связанные с пригородным сообщением в крупном
населённом пункте. В результате была составлена схема оборота дальних и
местных поездов в увязке с графиком оборота пригородного подвижного состава.
От того, насколько оптимально (рационально) составлена схема оборота
пассажирских поездов, зависят расходы железной дороги, как временные (в данном
случае затраты, связанные с непроизводительным простоем пассажирских
составов), так и, следовательно, денежные, а также удобства в обслуживании
пассажиров.
Составление схемы обращения пассажирских поездов было
произведено в следующей последовательности с получением следующих результатов:
1)
Была выбрана
оптимальная композиция, весовая норма и скорость движения пассажирских поездов
дальнего и местного сообщения. Так, на основе комплексных расчётов и сравнения
различных предложенных вариантов была установлена: оптимальная весовая норма -
921,5 т, оптимальная скорость - 129 км/ч.
2)
Для заданного
полигона (расчётной сети), состоящего из 6 узлов, произведён расчёт плана
формирования пассажирских поездов. В результате расчёта плана формирования симплекс-методом
на ЭВМ получены следующие размеры движения по назначениям:
|
А-Д
|
18
|
|
Д-И
|
6
|
|
Д-Н
|
12
|
|
Л-И
|
6
|
|
П-И
|
|
И-Н
|
2
|
Данные размеры движения удовлетворяют условию полного
обеспечения потребности населения в перевозках и, вместе с тем, учтён
заложенный в расчёт критерий минимизации числа пассажирских поездов на
участках в обороте.
1)
По пригородному
движению обосновано размещение пригородных зон по критерию минимума суммарных
затрат времени пассажиров. Получен следующий результат, что зоны наиболее
рационально разместить на станциях а, б, в, е, ж (5 пригородных зон на
участке).
2)
Определены
размеры пригородного движения как на всём пригородном участке. Данные размеры
движения учитывают характер пассажиропотока по зонам, а также отвечают условию
полного удовлетворения потребности населения в пригородных перевозках.
3)
Составлен график
оборота пригородных составов на рассматриваемом полигоне, включающем 5 зон.
Увязка составов по зонным станциям произведена по критерию минимума простоя
составов на станциях; однако, при этом простой составов не допущен меньше
технологически необходимого времени.
4)
Составлен график
оборота дальних и местных поездов.
5)
По составленному
графику произведён расчёт следующих показателей:
Пассажиронапряжённость:
пасс/км.
пасс/км.
Среднесуточный
пробег дальних и местных поездов: км/сут.
Средняя
населённость одного вагона:
чел/ваг. чел/ваг.
Успешно составленный график оборота пассажирских поездов
позволит железнодорожному транспорту снизить временные затраты на
проследование поездов по участкам, сократить простои локомотивов и поездов на
станциях оборота, обеспечить требования безопасности и комфорта перевозимых
пассажиров, создать предпосылки для более точного оперативного прогнозирования
работы технических пассажирских станций, ускорить оборот пассажирских составов
и снизить их потребное число, за счет ускорения перевозки привлечь новых
пассажиров и получить дополнительные прибыли.
Список
ЛИТЕРАТУРЫ
1.
Управление
эксплуатационной работой и качеством перевозок на железнодорожном транспорте /
под редакцией П. С. Грунтова. М.: Транспорт, 1994
2.
Железнодорожный
транспорт. Энциклопедия. М.: Научное издательство «Большая Российская
энциклопедия», 1994
3.
Подвижной состав
и основы тяги поездов: Учебник для техникумов ж.д. транспорта/ П.И. Борцов,
В.А. Валетов и др. Под ред. С.И. Осипова. 3-е изд., перераб. и доп. - М.:
Транспорт, 1990. - 336 с.
4.
Пазойский Ю.О.,
Шубко В.Г., Вакуленко С.П. Организация дальних, местных и пригородных
пассажирских перевозок в условиях функционирования пассажирских компаний:
Методические указания к курсовому и дипломному проектированию. - М.: МИИТ,
2002. - 53 с.
|
Похожие работы на - Организация дальних, местных и пригородных пассажирских перевозок в условиях функционирования пассажирских компаний