Проектирование цифровых систем передачи

  • Вид работы:
    Курсовая работа (т)
  • Предмет:
    Информатика, ВТ, телекоммуникации
  • Язык:
    Русский
    ,
    Формат файла:
    MS Word
    996,5 Кб
  • Опубликовано:
    2012-04-18
Вы можете узнать стоимость помощи в написании студенческой работы.
Помощь в написании работы, которую точно примут!

Проектирование цифровых систем передачи

Содержание

1. Индивидуальное задание

. Краткие технические данные аппаратуры, включая структуру цикла передачи и кабеля

.1 Аппаратура ИКМ-120

.2 Структура цикла передачи ИКМ-120

.3 Аппаратура ИКМ-480

.4 Структура цикла передачи ИКМ-480

.5 Кабель МКСА 4x4x1.2

.6 Кабель МКТ-4

. Расчёт длин участков регенерации

.1 Расчёт местного участка сети

.2 Расчет внутризонового участка цепи

.3 Расчет магистрального участка цепи

. Расчет защищенности сигнала от шумов

.1 Расчет требуемой величины защищенности на входе регенератора

.1.1 Расчет для местного участка сети

.1.2 Расчет для внутризонового участка сети

.1.3 Расчет для магистрального участка сети

.2 Расчет ожидаемой величины защищенности

.2.1 Расчет для местного участка сети

.2.2 Расчет для внутризонового участка сети

.2.3 Расчет для магистрального участка сети

. Расчет шумов оконечного оборудования

.1 Расчет шумов дискретизации

.2 Расчет защищенности от шумов квантования

.2.1 Шумы при равномерном квантовании

.2.2 Шумы при неравномерном квантовании

.3 Расчет защищенности от шумов незанятого канала

.4 Расчет соотношения между шумами квантования и инструментальными шумами

. Нормирование качества передачи информации по ОЦК в соответствии с рекомендацией МСЭ-Т G. 281

. Комплектация оборудования на сети

. Список литературы

регенерация квантование цифровой канал

1. Индивидуальное задание


Таблица 1

Длина местного участка сети

Lм= 100 км

Тип ЦСП на местном участке сети

ИКМ-120

Длина внутризонового участка сети

Lв/з= 230 км

Тип ЦСП на внутризоновом участке сети

ИКМ-120

Длина магистрального участка сети

Lмаг= 450 км

Тип ЦСП на магистральном участке сети

ИКМ-480

Коэффициент шума корректирующего усилителя

F = 9

Запас помехоустойчивости регенератора

∆Aз= 5 дБ

Падение напряжения ДП на одном НРП

Uнрп= 15 В

Пик-фактор сигнала

Qпик= 13.5 дБ

Среднеквадратическое отклонение волюма сигнала

σy= 3 дБ

Среднее значение волюма сигнала

y0= -11 дБ

Защищённость сигнала от шумов дискретизации

Аз диск= 63 дБ

Минимальная защищённость от шумов квантования

Аз кв.мин= 32 дБ

Коэффициент, учитывающий инструментальные шумы кодирования

ε= 2·10-4

Коэффициент, учитывающий неидеальность устройств регенератора

ηр= 0.05

Допустимая величина ошибки на магистрали

Рош= 10-8

Вид компрессии

A = 87.6


2. Краткие технические данные аппаратуры, включая структуру цикла передачи и кабеля


2.1 Аппаратура ИКМ-120


1.       Аппаратура ИКМ-120 (имеются модификации ИКМ-120А, ИКМ-120У, ИКМ-120х2) предназначена для организации каналов на местных и внутризоновых сетях по высокочастотным симметричным кабелям типа МКС или МКСА при использовании двухкабельной системы связи

2.       Скорость передачи цифрового сигнала- 8448 кбит/с.

.        Максимальная дальность связи - 600 км.

.        Цепи усиления регенератора обеспечивают компенсацию затухания участка регенерации в пределах от 45 до 55 дБ (на частоте 4224кГц).

.        Тип кода в линии - КВП-3 (импульсы передаются со скважностью 2 и амплитудой +-3 В на нагрузочном сопротивлении 150 Ом).

.        Структура цикла передачи представлена на рис. 2.2. Длительность цикла равна 125 мкс, он содержит 1056 импульсных позиций и условно разбит на 4 группы по 264 позиций в каждой(расположение позиций указано на рис.2.2.). При формировании группового сигнала в ИКМ-120, как и в ЦСП более высокого порядка, используется метод двухстороннего согласования скоростей с двухкомандным управлением.

.        Электропитание НРП осуществляется дистанционно по фантомным цепям от стойки линейного оборудования (СЛО). Предельная величина напряжения дистанционного питания на входе линии составляет 980 В при токе 125 мА.

.        Служебная связь между оборудованием ВВГ осуществляется по цифровому каналу, организованному методом дельта-модуляции, а между промежуточными пунктами - по рабочим парам кабеля в полосе 0.3-3.4 кГц. По этим же парам организуется телеконтроль за состоянием линейного тракта.

.        Комплектация оборудования.

Стойка вторичного временного группообразования (СВВГ) - на 8 комплектов ВВГ.

Стойка аналого-цифрового преобразования стандартной вторичной группы частот 312-552 кГц (САЦО-ЧРК-2), содержащая по одному комплекту АЦО-ЧРК-2, ВВГ и АЦО аппаратуры ИКМ-30. Необслуживаемые регенерационные пункты типа НРПК-4 (для установки в колодец) - на 4 линейных регенератора, НРПГ-8 (для установки в грунт) - на 8 линейных регенераторов.

2.2 Структура цикла передачи ИКМ-120


Рис. 2.1 - Структура цикла передачи ИКМ - 120.

 

2.3 Аппаратура ИКМ-480


1.       Аппаратура ИКМ-480 предназначена для организации каналов на внутризоновых и магистральных сетях при использовании коаксиальных кабелей МКТ-4 с парами 1.2/4.4 мм. Линейный тракт организуется по однокабельной схеме.

2.       Скорость передачи цифрового сигнала - 34368 кбит/с.

.        Максимальная дальность связи - 2500 км.

.        Цепи усиления регенератора обеспечивают компенсацию затухания участка регенерации в пределах от 43 до 73 дБ (на частоте 17184 кГц).

.        Тип кода в линии - КВП-3 или ЧПИ со скремблированием.

.        Структура цикла передачи представлена на рис. 2. Длительность цикла равна 62.5 мкс, он содержит 2148 импульсных позиций и условно разбит на 3 группы по 716 позиций в каждой.

.        Дистанционное питание НРП осуществляется по центральным жилам коаксиальных пар постоянным током 200 мА. Максимальное напряжение дистанционного питания равно 1300 В. Длина секции дистанционного питания составляет примерно 200 км.

.        Служебная связь между оборудованием ТВГ осуществляется по цифровому каналу, между ОРП - по высокочастотным каналам служебной связи, а между НРП и ОРП - в спектре 0.3-3.4 кГц по рабочим парам кабеля. Телеконтроль осуществляется по рабочим парам без перерыва связи.

.        Комплектация оборудования: Стойка третичного временного группообразования (СТВГ) - на 4 комплекта. Стойка оборудования линейного тракта (СОЛТ) - на 2 системы. Стойка аналого-цифрового преобразования стандартной третичной группы частот 812-1044 кГц (САЦО-ЧРК-3). Необслуживаемый регенеративный пункт НРПГ-2, устанавливаемый в грунт, - на 2 системы.

2.4 Структура цикла передачи ИКМ-480



2.5 Кабель МКСА 4x4x1.2


Междугородний симметричный кабель с кордельно-полистирольной стирофлексной изоляцией с броней из двух стальных лент. Диаметр медных жил 1.2мм. Токопроводящие жилы высокочастотных четверок изолируются разноцветным полистирольным корделем 0.8мм и полистирольной лентой 0,05 мм. Под общей оболочкой кабеля расположено четыре симметричные четвёрки.

×        Коэффициент затухания кабеля:

 (2.1)

При частоте f=4.224 МГц


×        Волновое сопротивление: Zв = 164 Ом

×        Сопротивление постоянному току: R =15.85 Ом

×        Температура окружающей среды: t = 20oC

2.6 Кабель МКТ-4


Малогабаритные коаксиальные кабели МКТ-4 предназначены для строительства кабельных магистралей, устройства рокадных линий между магистралями и вводов радиорелейных линий. Сердечник кабеля скручивается из четырёх коаксиальных пар, пяти симметричных пар и одной контрольной жилы. Каждая коаксиальная пара состоит из медного внутреннего проводника диаметром 1.2 мм и внешнего проводника в виде медной гофрированной трубки с продольным швом диаметром 4.6 мм. Внутренний проводник изолирован от внешнего концентрично наложенной баллонной полиэтиленовой изоляцией, поверх внешнего проводника имеется экран из двух стальных лент толщиной 0.1 мм. Сверху располагается поливинилхлоридная лента толщиной 0.23 мм. Диаметр коаксиальной пары 6.4 мм. Коэффициент затухания кабеля

 (2.2)

При частоте f=17.184 МГц


Волновое сопротивление: Zв = 73 Ом

3. Расчёт длин участков регенерации

 

.1 Расчёт местного участка сети


Длина местной линии связи

100 км

Тип аппаратуры

ИКМ-120

Тип кабеля

МКСА 4x4x1.2

Коэффициент затухания кабеля (на частоте 4.224 МГц)

10.67 дБ/км

Километрическое сопротивление цепи кабеля, используемой для передачи ДП, постоянному току, R0

15.85 Ом/км

Максимальное напряжение на выходе источника ДП, Uдп макс

980 В

Ток дистанционного питания

0.125 А

Падение напряжения на одном НРП

15 В


Длина участка регенерации определяется по формуле:

                                                                                  (3.1)

где aном=55 дБ - номинальное затухание участка

α=10.67 дБ/км - коэффициент затухания кабеля на частоте f=4.224МГц


Найдем количество участков регенерации по формуле:

                                                                                             (3.2)

где lм=100 км - длина местной линии связи

lрег=5.15 км - длина участка регенерации


Количество НРП:

Остаточная длина участка цепи:

                             (3.3)

Длина укороченного участка:

                                                 (3.4)

Длина дистанционного питания:

                                                                            (3.5)

Рассчитаем напряжение дистанционного питания:

                                                     (3.6)

где R0=15.85 Ом/км - километрическое сопротивление цепи кабеля, используемой для передачи ДП, постоянному току

lдп - длина участка ДП, км

k - число НРП, питаемых от одного ОП (или ОРП)

Uдп = 15 В - падение напряжения на одном НРП

Iдп= 0.125А - ток дистанционного питания


Поставим ОРП:


Местный участок сети состоит из 4 укороченных участков длиной 3.6 км, 20 участков регенерации длинной 5.15 км (19 НРП и 1 ОРП) и 2 ОП.

Схема местного участка сети представлена на рис 3.1.

Рисунок 3.1 - Схема местного участка сети.

3.2 Расчет внутризонового участка цепи


Длина внутризоновой линии связи

230 км

Тип аппаратуры

ИКМ-120

Тип кабеля

МКСА 4x4x1.2

Коэффициент затухания кабеля (на частоте 4.224 МГц)

10.67 дБ/км

Километрическое сопротивление цепи кабеля, используемой для передачи ДП, постоянному току, R0

15.85 Ом/км

Максимальное напряжение на выходе источника ДП, Uдп макс

980 В

Ток дистанционного питания

0.125 А

Падение напряжения на одном НРП

15 В


Рассчитаем коэффициент затухания:


Длина участка регенерации определяется по формуле (3.1):


где aном=55 дБ - номинальное затухание участка

α=10.67 дБ/км - коэффициент затухания кабеля на частоте f=4,224 МГц


Найдем количество участков регенерации по формуле (3.2):


где lв/з=230 км - длина внутризоновой линии связи

lрег=5.15 км - длина участка регенерации


Количество НРП:


Остаточная длина участка цепи по формуле (3.3):


Длина укороченного участка по формуле (3.4):


Длина дистанционного питания (по формуле 3.5):


Рассчитаем напряжение дистанционного питания по формуле (3.6):


где R0=15,85 Ом/км - километрическое сопротивление цепи кабеля, используемой для передачи ДП, постоянному току

lдп - длина участка ДП, км

k - число НРП, питаемых от одного ОП (или ОРП)

Uдп = 15 В - падение напряжения на одном НРП

Iдп=0.125 А - ток дистанционного питания


Поставим ОРП:


Таким образом, внутризоновый участок сети состоит из 4 укороченных участков длиной 4.3 км, 45 участков регенерации длинной 5.15 км (44 НРП и 1 ОРП) и 2 ОП.

Схема внутризонового участка сети представлена на рис 3.2.

Рисунок 3.2 - Схема внутризонового участка сети

3.3 Расчет магистрального участка цепи


Длина внутризоновой линии связи

450 км

Тип аппаратуры

ИКМ-480

Тип кабеля

МКТ - 4

Коэффициент затухания кабеля (на частоте 17.184 МГц)

24.72 дБ/км

Километрическое сопротивление цепи кабеля, используемой для передачи ДП, постоянному току, R0

31.7 Ом/км

Максимальное напряжение на выходе источника ДП, Uдп макс

1300 В

Ток дистанционного питания

0.2 А

Падение напряжения на одном НРП

15 В


Рассчитаем коэффициент затухания:


Длина участка регенерации определяется по формуле (3.1):


где aном=73 дБ - номинальное затухание участка

α=24.72 дБ/км - коэффициент затухания кабеля на частоте f=17.184 МГц


Найдем количество участков регенерации по формуле (3.2):


где lм=450 км - длина магистральной линии связи

lрег=2.95 км - длина участка регенерации


Количество НРП:


Остаточная длина участка цепи по формуле (3.3):


Длина укороченного участка по формуле (3.4):


Рассчитаем напряжение дистанционного питания по формуле (3.5):


где R0=31.7 Ом/км - километрическое сопротивление цепи кабеля, используемой для передачи ДП, постоянному току

lдп - длина участка ДП, км

k - число НРП, питаемых от одного ОП (или ОРП)

Uдп = 15 В - падение напряжения на одном НРП

Iдп=200 мА - ток дистанционного питания


Полученное Uдп (2346.1 В) больше Uдп макс (1300 В), следовательно, нужно поставить еще ОРП.

Дистанционное питание ОРП1:


Дистанционное питание ОРП2:


Таким образом, магистральный участок сети состоит из 6 укороченных участков длиной 2.1 км, 154 участков регенерации длинной 2.95 км (152 НРП и 2 ОРП) и 2 ОП.

Схема магистрального участка сети представлена на рис 3.3.

Рисунок 3.3 - Схема магистрального участка сети.

4. Расчет защищенности сигнала от шумов


4.1 Расчет требуемой величины защищенности на входе регенератора


4.1.1 Расчет для местного участка сети

Требуемая защищенность определяется как отношение вероятности ошибки на всем участке к числу НРП и ОРП:

                                                                                        (4.1)

где Pош - вероятность ошибки на магистрали

n - число всех регенераторов на магистрали: НРП, ОРП, ОП2.


Pош1 - вероятность ошибки в каждом регенераторе

Рисунок 4.1 - График зависимости величины защищенности сигнала от вероятности ошибки в каждом регенераторе и значение требуемой защищенности для местного участка.

Из рис.4.1 видно, что требуемая защищенность Аз = 22 дБ

 

.1.2 Расчет для внутризонового участка сети

Требуемая защищенность определяется как отношение вероятности ошибки на всем участке к числу НРП и ОРП:


где Pош - вероятность ошибки на магистрали

n - число всех регенераторов на магистрали: НРП, ОРП, ОП2.

Pош1 - вероятность ошибки в каждом регенераторе

Рисунок 4.2 - График зависимости величины защищенности сигнала от вероятности ошибки в каждом регенераторе и значение требуемой защищенности для внутризонового участка.

Из рис.4.2 видно, что требуемая защищенность Аз = 21.8 дБ

4.1.3 Расчет для магистрального участка сети

Требуемая защищенность определяется как отношение вероятности ошибки на всем участке к числу НРП и ОРП:


где Pош - вероятность ошибки на магистрали

n - число всех регенераторов на магистрали: НРП, ОРП, ОП2.

 

Pош1 - вероятность ошибки в каждом регенераторе

Рисунок 4.3 График зависимости величины защищенности сигнала от вероятности ошибки в каждом регенераторе и значение требуемой защищенности для магистрального участка.

Из рис.4.3 видно, что требуемая защищенность Аз =22.4 дБ

4.2 Расчет ожидаемой величины защищенности

 

.2.1 Расчет для местного участка сети

Основными видами помех в линейном тракте ЦСП являются межсимвольные и переходные помехи, тепловые шумы, помехи, вызванные наличием несогласованностей на участках регенерации, а также помехи от устройств коммутации и индустриальные.

Главной причиной появления межсимвольных помех являются искажения цифрового сигнала, вызванные ограничением полосы пропускания линейного тракта в области как нижних, так и верхних частот.

Переходные помехи появляются вследствие взаимного переходного влияния между парами кабеля, причем при организации линейного тракта по однокабельной системе наиболее существенны влияния на ближний конец, а при использовании двухкабельной системы - переходные влияния дальний конец и через третьи цепи.

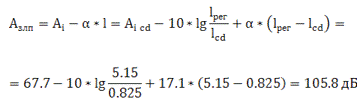
Расчёт ожидаемой защищённости сигнала на входе регенератора производится по следующей формуле:

                                                                 (4.2)

где Рс - мощность сигнала

Рш - мощность шума

                                                                (4.3)

где Рсш - собственные шумы; Рлп - помехи линейных переходов;  Ррег - помехи регенератора

 (4.4)

                                                              (4.5)

где k=1.38*10-23 Дж/К - постоянная Больцмана

Т=291 К

fт=8448 кГц - тактовая частота

Рпер=10-12 дБ - уровень передачи

αуч = 55 дБ номинальное затухание участка


ηрег=0.05

                   (4.6)

где Аi - переходное затухание на дальнем конце

α=10.67 дБ - коэффициент затухания кабеля

Ai cd=67.7 дБ - переходное затухание на дальнем конце кабеля

lрег=5.15 км - длина участка регенерации

lcd=0.825 строительная длина кабеля


Ожидаемая защищенность на входе регенератора:

Вывод: Из расчётов видно, что ожидаемая защищённость от шумов на входе регенератора (26.02 дБ) больше требуемой (22 дБ), следовательно, регенерационные участки выбраны и расставлены правильно.

4.2.2 Расчет для внутризонового участка сети

Расчёт ожидаемой защищённости сигнала на входе регенератора производится по формуле (4.2):

где Рс - мощность сигнала

Рш - мощность шума


где Рсш - собственные шумы

Рлп - помехи линейных переходов

Ррег - помехи регенератора


где k=1.38*10-23 Дж/К - постоянная Больцмана

Т=291 К

fт=8448 кГц - тактовая частота

Рпер=10-12 дБ - уровень передачи

αуч = 55 дБ номинальное затухание участка


ηрег=0.05


где Аi - переходное затухание на дальнем конце

α=10.67 дБ - коэффициент затухания кабеля

Ai cd=67.7 дБ - переходное затухание на дальнем конце кабеля

lрег=5.15 км - длина участка регенерации

lcd=0.825 строительная длина кабеля


Ожидаемая защищенность на входе регенератора:

Вывод: Из расчётов видно, что ожидаемая защищённость от шумов на входе регенератора (26.02 дБ) больше требуемой (21.8 дБ), следовательно, регенерационные участки выбраны и расставлены верно.

4.2.3 Расчет для магистрального участка сети

Расчёт ожидаемой защищённости сигнала на входе регенератора производится по формуле (4.2), но для коаксиального кабеля не учитываются собственные помехи:


где Рс - мощность сигнала

Рш - мощность шума


где Рлп - помехи линейных переходов

Ррег - помехи регенератора


где k=1.38*10-23 Дж/К - постоянная Больцмана

Т=291 К

fт=34368 кГц - тактовая частота

αуч = 73 дБ номинальное затухание участка


ηрег=0.05

Ожидаемая защищенность на входе регенератора:


Вывод: Из расчётов видно, что ожидаемая защищённость от шумов на входе регенератора (26.02 дБ) больше требуемой (22.4 дБ), следовательно, регенерационные участки выбраны и расставлены верно.

5. Расчет шумов оконечного оборудования


5.1 Расчет шумов дискретизации


Практически во всех ЦСП используется равномерная дискретизация сигналов во времени, то есть дискретизация с постоянным периодом Тд, а отклонения от этого периода ∆ti носят случайный характер. Эти отклонения приводят к изменению формы принимаемого сигнала, что субъективно воспринимается как характерная помеха, называемая шумами дискретизации.

Величины ∆ti определяются главным образом низкочастотными фазовыми флуктуациями импульсов, вызванными неточностью работы линейных регенераторов станции передачи.

Защищенность сигнала от шумов дискретизации определяется по формуле:

                                                              (5.1)

                                                                                  (5.2)

                                                                                  (5.3)

αд - величина отклонения, вызванная нестабильностью задающих генераторов

βд - величина отклонения, вызванная фазовыми флуктуациями

Тд=125 мкс - период дискретизации

aд - относительное отклонение периода, вызванное нестабильностью задающих генераторов

bд - относительное отклонение периода, вызванное фазовыми флуктуациями

При заданной защищенности сигнала от шумов дискретизации из (5.1) можно определить величины a и b. Относительные отклонения находим из условия а = b.

                                                                                 (5.4)


По формулам (5.2) и (5.3) определим величины отклонения от нестабильности задающих генераторов и отклонения от фазовых флуктуаций.

Защищенность сигнала от шумов дискретизации будет равна:


Вывод: Так как , следовательно, генераторное оборудование работает стабильно.

5.2 Расчет защищенности от шумов квантования


Квантование сигнала по уровню является главной операцией АЦП сигнала и заключается в округлении его мгновенных значений до ближайших разрешенных.

 

5.2.1 Шумы при равномерном квантовании

Если расстояние между уровнями квантования одинаково, то квантование называется равномерным.

При квантовании возникают ошибки, величина которых случайна, имеет равномерное распределение и не превышает значения половины шага квантования. Таким образом, сигнал после квантования представляет собой сумму исходного сигнала и сигнала ошибки, который воспринимается, как флуктуационный шум.

Определим динамический диапазон сигнала:

Dc = Pmax -Pmin                                                                                  (5.5)

где: Рмах - максимальный уровень сигнала

Рmin - минимальный уровень сигнала

 (5.6)


                                                                          (5.7)

где:           Qпик=13.5 дБ - пик-фактор сигнала

у0 = -11дБ - среднее значение волюма сигнала

σу=3 дБ - среднеквадратическое отклонение волюма сигнала

тогда:

Число уровней квантования Nкв однозначно связано с разрядностью кода m, необходимой для кодирования АИМ отсчетов. При использовании двоичных кодов Nкв=2m. Оценим необходимое число разрядов m при использовании равномерного квантования.

Найдем минимальную защищенность от шумов квантования:

                         (5.8)

Где Kпсоф - псофометрический коэффициент, равный для канала ТЧ - 0.75

Максимальная защищенность от шумов квантования:

                           (5.9)

Выразим из Акв min mр - число разрядов двоичного кода:

                               (5.10)

Найдем число шагов квантования:

                                                                     (5.11)

Большое число разрядов в коде (m=9) при равномерном квантовании приводит к усложнению аппаратуры и неоправданному увеличению тактовой частоты.

Рис. 5.1 Характеристика защищенности от шумов квантования

Анализ характеристики защищенности от шумов квантования показывает, что при заданной помехозащищенности число разрядов можно было бы уменьшить наклон характеристики Aз.кв.. Это достигается применением неравномерного квантования, т.е. уменьшение величины шагов квантования для малых мгновенных значений сигнала за счет увеличения шагов для больших значений.

Вывод: Использование равномерного квантования не является оптимальным.

5.2.2 Шумы при неравномерном квантовании

В реальных системах ИКМ с временным разделением каналов используется неравномерное квантование, которое может быть осуществлено различными способами:

·   сжатием динамического диапазона сигнала перед равномерным квантованием и последующим компенсирующим расширением его после линейного декодирования;

·   непосредственно в кодирующем устройстве, т.е. путем применения нелинейного кодирующего устройства;

·   с помощью соответствующего цифрового преобразования сигнала, формируемого на выходе линейного кодера, т.е. кодера с равномерной характеристикой (цифровое компандирование).

При неравномерном кодировании используются 8-ми разрядные коды, т.е. число уровней квантования равно 256.

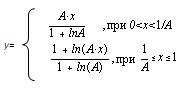
При реализации первого способа используется характеристика компрессирования типа А. Характеристика компрессирования - зависимость y от х, где y = Uвых/Uогр , x = Uвх/Uогр; Uогр определяется по формуле:

                                                                 (5.12)

Где: A = 87,6 - вид компрессии

Рис.5.2.Характеристика компрессирования типа А.

Отношение сигнал/шум для А-характеристики определяется по следующим уравнениям:


Где: Nкв = 28 = 256 - число уровней квантования

Рис.5.3. Зависимость Rкв от х при равномерном и неравномерном квантовании.

Для сигнала, относительная величина которого не превышает 1/A квантование носит равномерный характер. Поэтому уровень шума есть постоянная величина. Если все уровни сигнала лежат выше 1/А, то квантование является логарифмическим и мощность шумов пропорциональна мощности сигнала. Реальные сигналы имеют широкий диапазон и обычно подвергаются равномерному и логарифмическому квантованию. Мощность шума в этом случае не может быть меньше, чем мощность шума обусловленная каким-либо одним видом квантования; но она не может и превышать сумму двух указанных компонентов шума, которая точно равна верхней границе (двойное неравенство). Из зависимости видно, что верхняя и нижняя границы асимптотически сближаются как при больших, так и при малых уровнях сигналов.

5.3 Расчет защищенности от шумов незанятого канала


При отсутствии входного сигнала на входе кодера действуют слабые помехи, к которым относятся, например, собственные шумы и переходные помехи, несбалансированные остатки импульсов и т.д. Если характеристика кодера по некоторым причинам оказывается смещенной таким образом, что уровень нулевого входного сигнала совпадает с уровнем решения кодера, то помеха с любой сколь угодно малой амплитудой приводит к изменению кодовой комбинации. В этом случае выходной сигнал декодера представляет собой импульсы прямоугольной формы с размахом δ0 и со случайными моментами перехода через ноль.

Защищенность от шумов незанятого канала должна быть не менее:


где Uогр - напряжение ограничения, В

δ0 - величина минимального шага квантования

                                                                                (5.16)

где Н - пик-фактор, дБ

δy - среднеквадратическое отклонение волюма сигнала, дБ

δ0=2-11*Uогр                                                                                      (5.17)

 

Формула (5.13) для равномерного квантования примет вид:


Для равномерного квантования защищенность от шумов незанятого канала:

Для расчета шумов незанятого канала при неравномерном квантовании применяется формула:

           (5.18)

Где: Nкв.- число уровней квантования

Формула (5.13) для неравномерного квантования примет вид:


Для неравномерного квантования защищенность от шумов незанятого канала:

5.4 Расчет соотношения между шумами квантования и инструментальными шумами


В процессе преобразования аналогового сигнала в цифровой в оконечном оборудовании имеют место шумы, определяемые отклонением характеристик преобразователя от идеальных. Указанные отклонения вызываются ограниченным быстродействием и конечной точностью работы отдельных узлов, изменением параметров преобразователей при колебаниях температуры, старении и т.п. Уровень инструментальных шумов возрастает при увеличении скорости передачи и разрядности кода.

Соотношение между шумами квантования и инструментальными шумами:

                                                      (5.19)

где Ри.ш. - величина инструментальных шумов, В

Рш.кв. - величина шумов квантования, В

ε=2*10-4 - среднеквадратическое значение приведенной инструментальной погрешности преобразования

m - разрядность кода

Соотношение между шумами квантования и инструментальными шумами для равномерного квантования:


Соотношение между шумами квантования и инструментальными шумами для неравномерного квантования:


Величина П для современной аппаратуры не превышает нескольких сотых.

 

6. Нормирование качества передачи информации по ОЦК в соответствии с рекомендацией МСЭ-Т G.281


В соответствии с рекомендацией МСЭ-Т G. 821 для ОЦК на международном соединении вводятся следующие требования к параметрам качества:

А - при оценке в одноминутных интервалах не менее, чем в 90% измерений должно быть не более 4-х ошибок.

Б - при оценке в односекундных интервалах не менее, чем в 99,8% измерений должно быть не более 64-х ошибок.

В - при оценке в односекундных интервалах не менее, чем в 92% измерений ошибки должны отсутствовать.

Рекомендуемое общее время оценки состояния канала - один месяц.

Исходя из этих норм, можно рассчитать требования к параметрам качества (А, Б и В) на отдельных участках номинальной цепи ОЦК ВВС по формуле:

                                                   (6.1)

Где KK - допустимое значение соответствующего параметра качества, указанного в рекомендации G. 821, %; α - часть общих норм на параметры качества, отведённая на данный участок номинальной цепи ОЦК ВСС, %, (для магистрального участка α = 20 %, для внутризонового участка α = 15 %, для местного α = 7,5 %).

Результаты соответствующих расчётов приведены в Таблица 6.1.

Таблица 6.1

Наименование цепи

K'A, %

K'Б, %

K'В, %

Участок магистральной сети (12500 км)

98

99,96

98

Участок внутризоновой сети (600 км)

98,5

99,97

98

Участок местной сети (100 км)

99,25

99,985

99

Расчёт значений параметров качества для конкретной линии протяжённостью 1км производится по формуле:

                                                    (6.2)

где:          lуч - номинальная протяженность соответствующего участка сети

Расчет значений параметров качества для каждого типа участка:

1)  Для местного участка

Lм=100 км - длина местного участка сети

2)  для внутризонового участка

Lвз=230 км - длина внутризонового участка сети

3)  для магистрального участка

Lмаг=450 км - длина магистрального участка сети

Вывод: Все каналы удовлетворяют требованиям к параметрам качества и могут использоваться в международных соединениях.

7. Комплектация оборудования на сети


Участок местной сети:

Наименование

Кол-во

Состав

На одну станцию

Всего

ОП

2

СВВГ ВВГ СЛО САЦО-ЧРК-2 АЦО-ЧРК-2 ВВГ(ИКМ-30) АЦО(ИКМ-30)

1 8 1 1 1 1 1

2 16 2 2 2 2 2

ОРП

1

СОЛТ

1

1

НРП

19

НРПГ-2

1

19


Участок внутризоновой сети:

НаименованиеКол-воСоставНа одну станциюВсего





ОП

2

СВВГ ВВГ СЛО САЦО-ЧРК-2 АЦО-ЧРК-2 ВВГ(ИКМ-30) АЦО(ИКМ-30)

1 8 1 1 1 1 1

2 16 2 2 2 2 2

ОРП

1

СОЛТ

1

1

НРП

44

НРПГ-2

1

44


Участок магистральной сети:

Наименование

Кол-во

Состав

На одну станцию

Всего

ОП

2

СОЛТ СТВГ ТВГ САЦО-ЧРК-3

1 1 4 1

2 2 8 2

ОРП

2

СОЛТ СДЦ

2 2

4 4

НРП

152

НРПГ-2

1

152


8. Список литературы


1. Азбукина О.Г., Калабекьянц Н.Э. Проектирование цифровых систем передачи. Учебное пособие/МТУСИ. - М., 2007.

2. Многоканальные системы передачи: Учебник для вузов/ Н.Н.Баева, В.Н.Гордиенко, С.А.Курицын и др.; Под ред. Н.Н.Баевой, В.Н.Гордиенко. - М.: Радио и связь,1997.

3. Цифровые и аналоговые системы передачи; Под ред. В.И.Ивановой - М.: Радио и связь, 1995.

4. Системы многоканальной связи: А.М.Зинченко, Н.Н.Баева, М.С.Тверецкий. - М.:Связь 1980.


Не нашли материал для своей работы?
Поможем написать уникальную работу
Без плагиата!
Без нейросетей!