Расчет PDH и SDH систем

  • Вид работы:
    Дипломная (ВКР)
  • Предмет:
    Информатика, ВТ, телекоммуникации
  • Язык:
    Русский
    ,
    Формат файла:
    MS Word
    2,01 Mb
  • Опубликовано:
    2011-05-07
Вы можете узнать стоимость помощи в написании студенческой работы.
Помощь в написании работы, которую точно примут!

Расчет PDH и SDH систем

ВВЕДЕНИЕ

Курсовой проект по дисциплине Цифровые системы передачи посвящен проектированию цифровой системы передачи основе технологии PDH и проектирование транспортной сети на основе технологии SDH.

Основной целью курсового проекта является разработка (проектирование) цифровой системы передачи (ИКМ - NТЧ), расчет и определение основных параметров оконечного оборудования.

В данном проекте рассматриваются такие вопросы, как построения АЦП, построения структуры цикла и сверхцикла передачи ЦСП, вопросы прохождения сигнала через регенератор, вопросы выбора длины кабеля и длины участка регенерации и т.д.

По части SDH рассчитывается эквивалентное число первичных цифровых потоков, конфигурация узлов транспортной сети, организация тактовой сетевой синхронизации и сети управления. Производится выбор аппаратуры SDH.

ТЕХНИЧЕСКОЕ ЗАДАНИЕ

. Проектирование цифровой системы передачи на основе технологии PDH.

1.1 Выбрать частоту дискретизации телефонных сигналов, рассчитать количество разрядов в кодовом слове и защищенность от искажений квантования на выходе каналов ЦСП.

.2 Разработать укрупненную структурную схему оконечного оборудования ЦСП.

1.3 Разработать структуры временных циклов первичного цифрового сигнала и расчет тактовой частоты агрегатного цифрового сигнала.

.4 Построить сигнал на выходе генератора (в коде КВП - 3) для заданной кодовой последовательности символов. Рассчитать и построить временную диаграмму сигнала на выходе корректирующего усилителя регенератора.

.5 Выбрать тип кабеля и рассчитать длину регенерационного участка.

. Проектирование транспортной сети на основе технологии SDH.

.1 Рассчитать общее число первичных цифровых потоков для каждого узла транспортной сети с учетом развития.

.2 Произвести конфигурацию узлов транспортной сети.

.3 Разработать организацию тактовой сетевой синхронизации.

.4 Разработать организацию сети управления.

.5 Выбор аппаратуры SDH.

ИСХОДНЫЕ ДАННЫЕ

Протяженность линейного тракта, км……………………………….600;

Количество переприемов по ТЧ………………………………………...3;

Коэффициент шума корректирующего усилителя, ед….….…….……5;

Амплитуда импульса на выходе регенератора, В……………………...4;

Кодовая последовательность……………..……….………111011000011;

Количество каналов ТЧ……………………………………….….……200;

Защищенность от шумов квантования на выходе канала, дБ………..20;

Средне количество щелчков от цифровых ошибок….……..………….10.

Топология транспортной сети SDH Вариант 9



1. ПРОЕКТИРОВАНИЕ ЦИФРОВОЙ СИСТЕМЫ ПЕРЕДАЧИ НА ОСНОВЕ ТЕХНОЛОГИИ PDH.

1.1 Краткое сведение об аппаратуре ИКМ - 120

Комплекс аппаратуры вторичной цифровой системы передач ИКМ - 120 предназначен для организации уплотнения симметричных высокочастотных кабелей на внутризоновых и местных сетях, а также для формирования цифровых потоков со скоростью передачи 8448 кбит/с, используемых в системах передачи более высоких ступеней иерархии.

В настоящее время создается новое поколение аппаратуры ЦСП, основанных на БИС и больших ГБИС и использование стоек с габаритными размерами 2600×120×255 мм.

Аппаратура ЦСП состоит из аппаратуры формирования и приема цифровых сигналов, а также аппаратуры линейного тракта. Цифровой сигнал формируется в оборудовании АЦП (каналообразования) или в оборудовании временного группообразования. В первом случае на вход ЦСП поступают аналоговый сигнал, а во втором - цифровой.

Рисунок 1 - Структурная схема организации связи ИКМ-120

Аналоговые сигналы преобразуются в цифровые в АЦО. На выходе АЦО формируется многоканальный цифровой поток на основе ВРК. В ОВГ осуществляется объединение - разделение цифровых потоков, сформированного в ЦСП более низкого порядка.

Основные преимущества ЦСП от АСП:

      высокая помехоустойчивость;

      независимость качества передачи от длины линии связи;

      стабильность параметров каналов ЦСП;

      эффективность использование пропускной способности каналов передачи дискретных сигналов;

      более простая математическая обработка передаваемых сигналов;

      возможность построения цифровой сети связи;

      высокие технико-экономические показатели.

1.2 Расчет параметров аппаратуры ИКМ-120

.2.1 Выбор частоты дискретизаций телефонных сигналов

Выбор частоты дискретизации осуществляется на основе теоремы В.А. Котельникова. В аппаратуре ИКМ используется АИМ - 2, так как уменьшение погрешности амплитудного квантования значение отсчета в процессе квантования должно оставаться постоянным [1 стр.8-10].


Для восстановления исходного сигнала из последовательности отсчетов их достаточно пропустить через ФНЧ с частотой среза, соответствующей . Исходный сигнал может быть выделен из последовательности отсчетов (рис 2), если боковые полосы не накладываются друг на друга (в противном случае возникают необратимые не линейные искажения). Для этого необходимо, что бы выполнялось условие (1).

 (1)

Это условие соответствует вышеуказанной теореме В.А. Котельникова, согласно которой непрерывный сигнал, ограниченный по спектру частотой , может быть восстановлен без искажения из последовательности дискретных отсчетов сигнала, если частота дискретизаций , по крайней мере, в два раза выше наибольшей частоты , содержащегося в спектре исходного сигнала. Исходный аналоговый сигнал обычно не имеет четко выраженной верхней граничной частоты. Поэтому перед дискретизацией производится ограничение спектра исходного сигнала.

В аппаратуре ИКМ - 30, предназначенной для организации каналов ТЧ,  составляет 3400 Гц. Тогда, в соответствии с теоремой В.А. Котельникова,  можно выбрать равной 68000 Гц. Для упрощения фильтра, ограничивающего спектр аналогового сигнала перед дискретизацией, а также фильтра, выделяющего спектр исходного сигнала в приемной части,  выбирается несколько больше, чем  и для канала ТЧ принято МККТТ значение  Гц. Такая частота облегчает реализацию фильтров аппаратуры ЦСП.

Таким образом, частоту дискретизации выбираем из вышеуказанной рекомендации  Гц.

1.2.2 Расчет количество разрядов в кодовом слове

Расчет количества разрядов в кодовой комбинации выполняется на основе заданной величины защищенности от шума квантования на выходе канала и количества переприемов по ТЧ.

Амплитудное квантование заключается в замене бесконечного множества значений амплитуды входного сигнала (каждого отсчета) конечным множеством разрешенных значений уровней квантования. Интервал между двумя соседними уровнями квантования называется шагом квантования.

Искажение квантования действуют одновременно с передаваемым сигналом, поэтому их влияние следует оценивать по отношению мощности сигнала к мощности искажения квантования. Качество сигнала считается отличным, если это отношение отвечает условию (2).

 дБ (2)

где  - мощность сигнала.

 - мощность искажения.

Для выполнения этого условия с учетом возможного диапазона уровней телефонного сигнала, составляющего 54…66 дБ, необходимо около 2000 уровней квантования, что соответствует 11 разрядам двоичного кода. Однако при этом  для сигналов с большим уровнем намного превосходит требуемое значение.

Чтобы обеспечить одинаковое качество передачи  для сигналов с малым и большими уровнями, необходимо увеличить шаг квантования с увеличением уровня сигнала, т.е. осуществить неравномерное квантования. Естественно, что при этом уменьшает число уровней квантования, а, следовательно, и соответствующее им число разрядов двоичного кода.

Постоянное соотношение  достигает изменением шага квантования в зависимости от уровня входного сигнала в соответствии с логарифмической характеристикой, что эквивалентно компрессии (т.е. логарифмическому усилению) сигнал с последующим равномерным квантованием.

Формула для определения количества разрядов в кодовой комбинации:

 (3)

где символ Ц означает ближайшее число, большее числа, стоящего в квадратных скобках (т.е результат нужно округлить в большую сторону).

- количество переприемов по ТЧ.

дБ - защищенность от шумов квантования.


таким образом, количество разрядов в кодовом слове

1.2.3 Защищенность от искажений квантования на выходе канала ЦСП

Следующей ступенью является расчет, и определение зависимость защищенности сигнала на выходе канала от его уровня.

Имейте в виду, что в современных системах с ИКМ и ВРК применяется линейно-ломанная характеристика компрессии. МККТТ рекомендует использовать компрессию, основанную на 16-сегментной (т.е. состоящей из 16-ти отрезков) характеристике. Именно эту характеристику рекомендуется использовать в разрабатываемой ЦСП.

Чтобы рассчитать защищенность от шума квантования при неравномерном квантовании, представим АЦП с неравномерной шкалой квантования в виде каскадного соединения компрессора с характеристикой, показанной на рисунок 4 и АЦП с равномерной шкалой квантования рисунок 5.

Рисунок 4 - Характеристика компрессора с неравномерный шаг квантования

Определим по формуле (4) максимальную величину защищенности сигнала в пункте приема с учетом заданного числа переприемов по ТЧ и аппаратурных погрешностей АЦП.


,дБ; (4)

Таким образом

, дБ;

Минимальная величина защищенности будет на 3….4 дБ ниже максимальной (5).

,дБ; (5)

Таким образом

 дБ;

Построим зависимость защищенности сигнала на выходе канала от его уровня

Рисунок 6 - График величины защищенности сигнала

Последний максимум определяется из (6) и соответствует:

, дБ; (6)

, дБ;

Наносим на график горизонтальные прямые, соответствующие найденным Аз макс и Аз мин (рисунок 6). Точки максимумов защищенности соответствуют изломам характеристики компрессии. Из рисунка 6 следует, что имеется всего 8 таких точек, отстоящих друг от друга на 6 дБ. Последний максимум соответствует уровню сигнала Рс=0-6(8-1)=-42 дБ. При Рс<-42 дБ характеристика компрессии является прямой линией и, поэтому Аз, убывает на 1 дБ при уменьшении входного сигнала на такую же величину. Диапазон изменения уровня входного сигнала, в котором защищенность остается не ниже заданной, можно определить непосредственно из рисунка. При Аз=25 дБ он составляет D≈47 дБ.

1.3    Разработка укрупнённой структурной схемы оконечного оборудования ЦСП

Разработка структурной схемы выполняется, исходя из заданного количества каналов ТЧ и переприемов по ТЧ. Также следует учесть, что используемый кабель имеет четыре коаксиальные пары. Чтобы полностью использовать кабель, необходимо включить две идентичные системы передачи (по четырехпроводной схеме рисунок 7).

Рисунок 7 - Организация соединения по четырехпроводной схеме

Разработку структурной схемы ЦСП начнем с выбора емкости первичной системы передачи. Следуя рекомендации, используем тридцатиканальную систему, а формирование группового цифрового потока осуществим двумя ступенями группообразования. Исходя из нее, разработаем и вычертим схему ЦСП, соответствующую заданному количеству каналов. Учтем также, что количество каналов организуется с помощью двух СП, а переприемы по ТЧ по условию осуществляются в каждом ОРП. Число НРП на данном этапе не определяется.

Структурная схема ЦСП будет приведена в приложений А.

Как известно, одной из основных задач техники связи является обеспечение заданного качества передачи информации по типовым каналам и трактам. На этапе проектирования систем передачи необходимо соответствующим образом определить технические требования к различным устройствам и трактам, входящим в состав канала связи, а это, в свою очередь, требует детального анализа процессов, протекающих в этих устройствах, с целью выявления факторов, которые могут привести к снижению качества передачи информации. При этом, достижение поставленной цели (в данном случае заданного качества передачи информации) может быть обеспечено различными путями, т. е. можно прийти к одному конечному результату при выполнении различных требований к отдельным устройствам, входящим в состав канала связи. При четком представлении о характере искажений сигнала, возникающих в том или ином устройстве или тракте, а также о связи этих искажений с внутренними параметрами системы передачи, в процессе проектирования появляется возможность оптимального перераспределения удельного веса факторов, приводящих к снижению качества передачи информации, между отдельными трактами системы передачи. Другими словами, в процессе проектирования необходимо в зависимости от конкретных условий определить требования к отдельным узлам системы таким образом, чтобы заданные требования к системе в целом обеспечивались с минимальными затратами, т. е. наиболее эффективно.

На передаче первичный аналоговый сигнал c(t) ограничивается по спектру с помощью ФНЧпер, что позволяет в последующем достаточно просто осуществить дискретизацию сигнала по времени в соответствии с теоремой В.А. Котельникова. Уже на этом этапе обработки сигнала возникают искажения сигнала, связанные с тем, что, во-первых, исходный сигнал, имеющий в принципе неограниченный спектр, ограничивается по частоте, а во-вторых, нельзя реализовать ФНЧпер с идеальными характеристиками, в результате чего на его выходе формируется сигнал с неидеально ограниченным спектром. Однако ограничение спектра производится с учетом особенностей восприятия того или иного вида информации и не оказывает существенного влияния на качество передачи информации, а возможные искажения из-за неидеальности ФНЧпер (за счет перекрытия по спектру плохо подавленных высокочастотных составляющих исходного сигнала с нижней боковой полосой дискретизированного сигнала) могут быть сведены к минимуму путем соответствующего выбора частоты дискретизации.

После ограничения по спектру аналоговый сигнал подвергается дискретизации по времени в АИМ модуляторе, в результате чего формируется дискретный по времени индивидуальный АИМ сигнал. На этом этапе обработки сигнала искажения возможны по следующим причинам: во-первых, за счет использования АИМ сигнала с плоской вершиной импульсов (АИМ-2), необходимой для нормальной работы последующих устройств, возникают амплитудно-частотные искажения, а во-вторых, из-за случайных смещений моментов дискретизации АИМ отсчеты формируются нерегулярно (неравномерная дискретизация), что также приводит к искажениям аналогового сигнала при его восстановлении. Искажения за счет использования АИМ-2 уменьшаются до требуемого значения путем уменьшения длительности АИМ отсчетов и использования корректирующих устройств.

Дискретизированный по времени индивидуальный сигнал (АИМ сигнал) объединяется с аналогичными сигналами других каналов, т. е. формируется групповой 30-канальный АИМ сигнал (АИМгр), и подвергается квантованию по уровню. При этом возникают шумы квантования, которые во многих случаях являются основными в ЦСП. Поэтому выбору характеристики квантователя (Кb) необходимо уделять особое внимание.

Групповой квантованный АИМ сигнал (АИМгр) поступает на кодирующее устройство, где подвергается аналого-цифровому преобразованию (АЦП). При этом возникают так называемые инструментальные шумы, приводящие к снижению качества передачи информации. Затем групповой информационный цифровой сигнал (ИКМ сигнал) в ФЦ объединяется с СС, СУВ и ДИ, в результате чего формируется цикл передачи ЦСП.

Далее осуществляется временное группообразование (ВГ), т. е. объединение 7 групповых цифровых потоков ИКМ-30. При временном группообразовании требуется осуществить согласование скоростей объединяемых потоков, при котором возникают фазовые дрожания цифрового сигнала, являющиеся одним из источников искажений сигнала.

С БЦС сигнал поступает на формирователь группового сигнала ФГС предназначенный для: объединения 4 цифровых потоков; формирования циклового синхросигнала в начале каждого цикла передачи; ввода в групповой цифровой поток сигналов цифровой служебной связи; передачи сигналов «Извещение ЦС» о потере циклового синхронизма и вызова по цифровой служебной связи; организации технологического канала.

Объединенный высокоскоростной поток (ИКМ) в преобразователе кода передачи преобразуется в сигнал, удобный для передачи по линии, и поступает в цифровой линейный тракт, где в промежуточных пунктах осуществляется регенерация цифрового сигнала. В линейном тракте ЦСП качество передачи информации может ухудшиться, в основном, по следующим причинам. При передаче и регенерации цифрового сигнала возникают ошибки, в результате которых на выходе декодера появляются случайные ошибочные выбросы дискретизованного сигнала, вызывающие соответствующие отклонения принимаемого аналогового сигнала от переданного. Частота возникновения таких отклонений, определяемая коэффициентом ошибок, как правило, невелика, но при искажении наиболее значимых символов эти искажения проявляются в виде щелчков на выходе канала.

В большинстве практических систем сигнал тактовой частоты, как в линейных регенераторах, так и на приемной станции выделяется из принимаемой импульсной последовательности и поэтому не может абсолютно точно соответствовать тактовой частоте, генерируемой на передающей станции. В результате возникают фазовые дрожания, которые также приводят к искажениям выходного сигнала.

На приеме в ОЛТ осуществляется обратное преобразование кода, применяемого в линейном тракте, в двоичный сигнал. В процессе этого преобразования может происходить размножение ошибок, возникающих в линейном тракте. После преобразования кода происходит временное разделение (ВР) высокоскоростного сигнала на 4 групповых цифровых сигналов. При этом в случае ошибочного приема команд согласования скоростей может быть нарушена связь по всем каналам компонентных потоков.

Из группового цифрового сигнала выделяются сигналы синхронизации, а также сигналы управления и взаимодействия (СУВ). Ошибки при приеме СУВ могут привести к неправильному установлению соединения в соответствующих каналах. Система синхронизации обеспечивает правильное декодирование сигнала на приеме, причем потеря синхронизма (в частности, циклового) может привести к относительно длительной потере связи по всем информационным каналам системы.

Групповой цифровой сигнал затем подвергается ЦАП в декодирующем устройстве, в результате чего формируется групповой АИМ сигнал.

Из АИМгр сигнала временным селектором (ВС) выделяются индивидуальные канальные АИМ сигналы, и с помощью ФНЧпр восстанавливается аналоговый сигнал.

Искажения, возникающие в трактах ЦСП, можно разделить на два больших класса:

      искажения, возникающие в оконечной аппаратуре в процессе дискретизации и квантования;

      искажения, возникающие в линейном тракте (случайные ошибки, фазовые дрожания).

1.4 Разработка структуры цикла и сверхцикла первичной цепи ЦСП и расчёт тактовой частоты сигнала в линии

Тактовая частота первичного цифрового потока рассчитывается по очевидной формуле 7.

, МГц; (7)

 МГц;

Задача второй ступени цифрового группообразования состоит в объединении нескольких первичных цифровых потоков в единый цифровой поток с соответственно большей скоростью передачи. Известны 2 метода группообразования: синхронное и асинхронное. Отличительной чертой синхронного группообразования является использование только одного задающего генератора, частота которого равна тактовой частоте вторичного (группового) потока. Сигналы хронирования для аппаратуры системы низшего порядка получаются именно от этого генератора (делением частоты). При асинхронном объединении потоков тактовые частоты систем низшего порядка отличаются друг от друга вследствие того, что каждая из них использует «свой» задающий генератор. Этот способ группообразования предполагает использование так называемого цифрового выравнивания. Оно осуществляется путем введения в цифровой сигнал дополнительных (выравнивающих) символов, либо удаления информационных символов, причем значения удаленных символов передаются в приемное устройство с помощью дополнительного служебного канала.

При любом способе объединения потоков зависимость между тактовой частотой соединяемых символов  и тактовой частотой объединенного сигнала  имеет вид (8):

, МГц; (8)

где q - отношение числа дополнительных символов в цикле объединенного сигнала (для цикловой синхронизации, необходимой на приеме для разделения суммарного потока на компонентные, передачи служебной информации, данных и т.п.) к числу информационных символов,

M - количество объединяемых потоков.

Рассчитаем число количество объединяемых потоков, т.е. первичных СП для заданного числа каналов

 , (9)

где n - число каналов в первичной СП (ИКМ -30).

При асинхронном объединении величина избыточности несколько больше, чем при синхронном, поскольку приходится передавать еще и команды согласования скоростей объединяемых потоков. В курсовой работе можно принять q = 0.03 при синхронном объединении и q = 0.04 при асинхронном объединении.

При q = 0.03 :

 МГц

При q = 0.04:

 МГц;

цифровой система телефонный сигнал

1.4.1 Разработка синхронной структуры цикла

Следует определить среднюю величину времени поиска сигнала цикловой синхронизации и сравнить ее с нормой, приняв последнюю равной Тср≤2 мс. Оценить среднее время восстановления состояния циклового синхронизма можно по следующей приближенной формуле:

 (10)

где Н - число информационных позиций, заключенных между двумя соседними синхрокомбинациями,

в - количество символов в синхрокомбинации.

То - временной интервал между двумя ближайшими синхрокомбинациями.

Методика расчета  описывается в [3 стр. 51], заключается в следующем.

Увеличение скорости передачи из-за добавления согласующих символов мало по сравнению с увеличением скорости передачи из-за добавления служебных символов. Соотношение числа информационных и служебных символов в цикле передачи для каждого входного потока, т. е. цифрового сигнала системы низшего уровня, имеет вид

,

где а1/b1- несократимая дробь, в которой а1 определяет минимальное число информационных символов, а b1 - служебных символов, приходящихся на один входной поток. Частота считывания и записи определяется как:

Тогда общее число информационных Ми и служебных Мс символов в цикле передачи будет определяться соотношениями , , где  При этом минимальное значение i выбирается из условия (11):

 (11)

а реальное значение i определяется после анализа параметров системы с выбранной структурой цикла.

Кроме выбора оптимального соотношения числа информационных и служебных символов, обеспечивающего заданные параметры системы передачи, при построении цикла передачи необходимо учитывать следующие важные требования к его структуре:

-   число следующих подряд служебных символов должно быть по возможности минимальным, что обеспечивает минимизацию объема памяти запоминающих устройств в ОВГ;

-              распределение символов синхросигнала должно быть таким, чтобы обеспечивалось минимальное время восстановления синхронизма (обычно это достигается формированием сосредоточенного синхросигнала соответствующей длительности);

-   распределение команд согласования должно быть таким, чтобы обеспечивалась их максимальная помехоустойчивость (обычно это достигается за счет равномерного распределения символов команд согласования по циклу передачи, при котором уменьшается вероятность их искажений сосредоточенными помехами);

-   длительность цикла должна быть по возможности минимальной, что позволяет уменьшить время вхождения в синхронизм и временные флуктуации цифрового сигнала за счет оборудования объединения;

-              распределение служебных символов в цикле должно быть равномерным, что обеспечивает минимизацию объема памяти запоминающих устройств в ОВГ;

-   структура цикла должна обеспечивать возможность работы системы как в асинхронном, так и в синхронном режимах и т. п.

Соотношение числа информационных и служебных символов в цикле передачи в расчете на каждый входной поток составляет:

 (12)

Следует, что число информационных (а1) и служебных (b1) символов в цикле соответственно равно:

, (13)

.

Общее число информационных и служебных символов в цикле равно:

.

Для обеспечения коррекции одного искаженного символа команды согласования необходимо выбрать dc, как минимум равную трем:

.

Учитывая, что сигналы контроля могут передаваться на позициях сигнала, предназначенных для передачи информационных символов при отрицательном согласовании скоростей в те моменты, когда это согласование не осуществляется, можно принять dk=dи=dсл=dд=4. В работе dцс=8, т.е. выбираем количество символов для цифрового синхросигнала равным 8, поскольку при dцс<8, время вхождения в синхронизм не выполняется.

Минимальное значение i:


Общее число импульсных позиций в цикле:

 

 (14)

Частота следования циклов равна:

 (15)

где Свп - номинальная скорость передачи сигналов системы высшего порядка.

Теперь можно рассчитать время вхождения в синхронизм цикла передачи, т.е. оценим среднее время восстановления циклового синхронизма. Для этого, найдем это значение и сравним его с нормой, которая равна Тср≤2 мс.

В системе m = в=8.

мс

Таким образом, выполняется условие

1.4.2 Описание цикла передачи

Цикл передачи состоит из последовательно следующих друг за другом сверхциклов, каждый из которых содержит 16 циклов. Циклы, в свою очередь, разделяются на 32 канальных интервала, каждый из которых содержит восемь разрядов. Длительность цикла равна 125 мкс, что соответствует частоте дискретизации 8 кГц, длительность сверхцикла соответственно равна 2 мс, длительность канального интервала 3,9 мкс, а разряда 0,488 мкс.

Циклы в сверхцикле нумеруются следующим образом: Ц0, Ц1, Ц2,..., Ц14, Ц15. Отсчет циклов в сверхцикле начинается с Ц0, в котором передается сверхцикловой синхросигнал (СЦС) в виде комбинации 0000 в разрядах P1...Р4 16-го канального интервала (KИ16). Символы остальных разрядов KИ16 в Ц0 имеют вид: P5-1; Р7-1; P8-l, а Р6 используется для передачи сигнала о нарушении сверхциклового синхронизма на противоположную станцию.

Организация сверхциклов связана с тем, что передача СУВ для каждого телефонного канала (ТК) осуществляется не в каждом цикле передачи. При этом в каждом цикле в KИ16 передаются СУВ для двух телефонных каналов, каждому из которых соответствуют два одноразрядных канала СУВ.

Канальные интервалы в каждом цикле нумеруются следующим образом: КИ0, КИ1, КИ2,..., КИ31 Отсчет КИ в цикле начинается с КИ0, содержащего цикловой синхросигнал вида 10011011, передаваемый в Р2... P8 четных циклов сверхцикла. Разряд P1 в KИ0 всех циклов используется для передачи дискретной информации со скоростью 8 кБод. Символ разряда Р3 в КИ0 нечетных циклов используется для передачи сигнала о нарушении циклового синхронизма на противоположную, станцию: Р2 имеет значение 0, а Р6 используется для передачи сигнала автоматического контроля остаточного затухания канала (по ТК23). Использование символов Р4, P5, P7 и P8 в КИ0 нечетных циклов не регламентируется и на их местах формируется 1.

Таким образом, канальные интервалы КИ0 и КИ16 используются для передачи синхросигналов и СУВ, а канальные интервалы КИ1…КИ15 и КИ17…КИ31 - для организации 30 телефонных каналов.

1.4.3 Временной спектр вторичной ЦСП с ИКМ

Временной спектр (цикл передачи) вторичной ЦСП с ИКМ (ИКМ-120) является типичным для всех ЦСП с ИКМ высших ступеней плезиохронной иерархии. Цикл передачи имеет длительность 125 мкс и состоит из 1056 позиций.

Цикл разделен на четыре субцикла, одинаковых по длительности (рисунок 2 Б - приложения).

Первые восемь позиций первого субцикла заняты комбинацией 111001100, представляющей собой цикловой синхросигнал объединенного потока. Остальные 256 позиций первого субцикла (с 9-й по 264-ю включительно) заняты информацией посимвольно объединенных исходных потоков, номера которых отмечены на рисунке под номерами позиций. Первые четыре позиции второго субцикла заняты первыми символами КСС объединяемых потоков, а следующие четыре - сигналами -служебной связи. Вторые и третьи символы КСС (команда положительного согласования имеет вид 111, а отрицательного - 000) занимают первые четыре позиции субциклов III и IV (см. рисунок 2 Б - приложения). Позиции 5-8 субцикла III используются для передачи сигналов дискретной информации (две позиции), аварийных сигналов (одна позиция) и вызова по каналу служебной связи (одна позиция). Наконец, в субцикле IV на позициях 5-8 передается информация объединяемых потоков при отрицательном согласовании скоростей. При положительном согласовании исключаются позиции 9-12 субцикла IV. Поскольку операция согласования скоростей осуществляется не чаще, чем через 78 циклов, позиции 5-8 субцикла IV, предназначенные для передачи информации при отрицательном согласовании, большую часть времени свободны и используются для передачи информации о промежуточных значениях и характере изменения чно. Таким образом из общего числа позиций равного 1056, информационными являются 1024+/-4 позиции.

Структурные схемы будут приведены в приложении Б.

1.5 Построение сигнала на выходе регенератора для заданной кодовой последовательности символов. Расчет и построение временной диаграммы сигнала на выходе корректирующего усилителя регенератора

Изобразим заданную последовательность 111011000011 в кодах ЧПИ и HDB-3.

Рисунок 8 - Временная диаграмма заданной последовательности в кодах ЧПИ и HDB-3

В коде ЧПИ символы «1» исходной двоичной последовательности передаются чередующимися положительными и отрицательными импульсами. А «0» - обозначается отсутствием импульса.

Правила формирования кода HDB-3 аналогичны ЧПИ, но при поступлении серии из 4х нулей, она заменяется на серию «000V» или «B00V» в зависимости от того, какое количество импульсов поступило после последней вставки. Если количество нечетное, то вставляетсясерия «000V», если четное - «B00V». Импульс «V» - повторяет полярность последнего импульса, «B» - противоположен последнему импульсу.

Преимущество ЦСП перед АСП состоит в возможности регенерации искаженного цифрового сигнала. Причинами искажения прямоугольной формы импульсов на выходе физической цепи являются линейные искажения, вносимые цепью. На рисунке 4 показаны отклики на прямоугольный импульс длительностью 15 нс на выходе коаксиальной пары размером 1,2/4,4 мм. При увеличении длины цепи длительность отклика существенно возрастает:

Рисунок 9 - Графики откликов на прямоугольный импульс на выходе коаксиальной пары

Вследствие этого происходит наложение символов друг на друга (интерференция).

Для уменьшения межсимвольной интерференции сигнал до регенерации корректируют. Одновременно с этим осуществляется его усиление. Эти операции выполняются корректирующим усилителем, включенным на входе регенератора.

Рисунок 10 - Структурная схема регенератора

Рациональный выбор импульсного отклика на входе решающего устройства регенератора (РУ) является одним из важных вопросов, возникавших при проектировании цифровых линейных трактов.

Чтобы построить временную диаграмму сигнала на выходе корректирующего усилителя регенератора, предлагается использовать «оптимальный» отклик, описываемый выражением:


Рисунок 11 - График «оптимального» отклика

Таблица 1 - Значения «оптимального» отклика


Теперь в соответствии с полученным линейным кодом HDB-3 можно построить временную диаграмму сигнала на выходе КУ:

Рисунок 12 - Временная диаграмма сигнала на выходе КУ

1.6    Выбор типа кабеля и расчет длины регенерационного участка


Для выполнения этого задания необходимо рассчитать длины регенерационных участков при использовании коаксиальных пар трех размеров. Выбрать тип кабельной пары из условия минимума затрат на создание ЛТ ЦСП.

Основным видом помех в линейных трактах ЦСП, работающих по коаксиальному кабелю, являются собственные помехи. Защищенность сигнала от собственной помехи (ожидаемая) на входе решающего устройства регенератора можно оценить по следующей формуле из [2 стр 419]:


где Uo- амплитуда отклика (импульса) на выходе КУ при подаче на вход участка регенерации одиночного прямоугольного импульса с амплитудой UПЕР, В;

Uсп- действующее значение напряжения собственной помехи в той же точке,

 - абсолютный уровень пиковой мощности прямоугольного импульса на входе регенерационного участка, дБм,

, Ом; - волновое сопротивление коаксиальной кабельной цепи.

 - уровень мощности помех.

 - мощность тепловых шумов.

- мощность, соответствующая нулевому уровню (const).

- рабочий диапазон частот линейного спектра

- постоянная Больцмана.

 - абсолютная температура по Кельвину.

F - Коэффициент шума корректирующего усилителя регенератора, ед.

Fт - тактовая частота сигнала в линии, МГц,

- затухание цепи длиной  на полутактовой частоте, дБ,

 - длина регенерационного участка, км,

α - коэффициент затухания цепи на полутактовой частоте, дБ/км.

Коэффициент затухания цепи приближенно равен:

,дБ/км;

где αо - параметр, аппроксимирующей функции, равный 2,34 дБ/км для кабеля КМ - 4 с парами 2,6/9,4 мм, 5,31 дБ/км - для малогабаритного кабеля МКТ - 4 с парами 1,2/4,6 мм, 8,86 дБ/КМ - для микрокоаксиала с размерами проводников 0,73/3,0 мм.

Рассчитаем основные параметры формулы.

, дБ/км;

, дБ/км;

, дБ/км;

, дБ;

Минимально допустимая защищенность (требуемая) - это допустимая вероятность ошибки регенерации в одиночном регенераторе (ho) с учетом необходимых запасов (∆h) и определяется выражением выражения


где , а значение ho определяется из следующих условий:



где К - средне количество щелчков от цифровых ошибок.

Ошибки регенерации (сбои) приводят к помехам на выходе цифрового канала. При передаче телефонных сообщений по каналам СП с ИКМ и ВРК ошибки приводят к появлению щелчков, похожих на щелчки, возникающие при проигрывании старых граммофонных пластинок. Сбои наиболее заметны в случае неправильной регенерации импульсов, соответствующих двум старшим разрядам кодовой комбинации. По заданному допустимому количеству щелчков К≤10 за единицу времени (в данном случае за 10 минут) можно найти среднюю допустимую вероятность ошибки Рош на весь линейный тракт. Такой расчет выполняется следующим образом. При fд=8кГц в течение 10 мин. Будет передано 8*103*60*10=4,8*106 кодовых комбинаций и соответственно 4,8*m*106 кодовых символов для каждого канала системы. Если бы каждая ошибка приводила к щелчку, то за это время можно было бы допустить К сбоев. Поскольку заметный щелчок возникает только в случае ошибок в двух старших разрядах, а вероятность поражения любого символа одна и та же, можно допустить не К, а К*(m/2) сбоев. Отсюда допустимая вероятность ошибки на весь тракт составит:

Рош=К*(m/2)/4,8*m*106≈10-7*K,

А вероятность ошибки в одном регенераторе равна:

Рош1=Рошlрег/L*10-7,

где L- протяженность линейного тракта.

Исходя из вычисленной вероятности ошибки в одном регенераторе, можно найти требуемую величину защищенности на входе РУ от собственной помехи по формуле указанной на с.370 {5}. Однако расчет по ней может быть выполнен только при наличии таблиц интеграла вероятности. Значительно более удобна для инженерных расчетов следующая приближенная формула {4}:

ho=10,65+11,42lg(lg1/Pош1).

Рассчитанная по этой формуле величина ho является теоретическим порогом помехоустойчивости. Реально приходиться считаться с аппаратурными погрешностями и различными дестабилизирующими факторами: смещением порога решения и флуктуациями момента стробирования, неточностями коррекции, влиянием межсимвольных помех второго рода (из-за ограничения полосы частот линейного тракта снизу) и рядом других. Поэтому необходимо обеспечить определенный запас помехоустойчивости ∆h, который гарантирует долговременную стабильность параметров регенератора в процессе эксплуатации. На практике выбирают ∆h=6…12 дБ.

lрег=Рпер+110-10lgF-10lgfт/2-11,42lg(lg107L/lрег*к)-∆h/1,175αo√fт/2        

Обозначим:

А=9,72/αo√fт/2;  В= Рпер+110-10lgF-10lgfт/2-∆h/11,42

С учетом таких обозначений выражение можно переписать следующим образом:

Lрег=А(В-lg(lg107L/Klрег)),

Откуда lg(7+lgL/Klрег)=В-lрег/A

Решая это уравнение, можно найти длину регенерационного участка.

Пользуясь выражением, определим длину регенерационных участков при использовании коаксиальных пар трех заданных размеров. Методика расчета длины участка регенерации состоит в следующем:

1.      Определение величин А и В.

Постоянная величина В не зависит от размеров пары. Уровень передачи по мощности находят по следующей формуле:

Рпер=10lgU2пер/Zo/10-3, дБм, Zo=75 Ом.

Uпер = 4 В,

F =5 ед,

fт = 93,184 Мгц

Рпер=10lg42пер/75/10-3 = 25,23 дБм

Постоянная А равна:

А = 9,72/15,97 = 0,61

А = 9,72/36,25 = 0,268

А = 9,72/60,48 = 0,161

А постоянная В равна:

В = 25,23+110-10lg6-10lg46,592-9/11,42 =109,98

2.      Решение уравнения

Рисунок 13

Проще всего решать уравнение графически. Для этого нужно построить семейство прямых, соответствующих правой части уравнения, а затем - кривую, соответствующую его левой части. Точки их пересечения определяют искомую длину участка регенерации для каждого размера коаксиальной пары (рисунок 13).

Графическое решение уравнения имеет невысокую точность и поэтому приводит к непроизводительным затратам времени на уточнение решения и проверку его правильности.

Длина регенерационного участка находится из условия

таким образом:

при α=15,97дБ , примем  

при α=36,25дБ , примем  

при α=60,48дБ , примем

Следующий этап работы состоит в выборе размера коаксиальной пары, которым определяется тип используемого кабеля. Этот выбор осуществляется на основе экономических соображений, рассчитываются затраты на кабель и аппаратуру линейного тракта для трех вариантов размера пары. Окончательно выбирают такой кабель, при котором затраты минимальны. Порядок расчета следующий. Определяется количество НРП на магистрали по формуле:


где n - количество переприемов по ТЧ.

И их стоимость :


где С - стоимость одного (равно 0,5 ед)

Находятся затраты на кабель:


где Скаб цена одного км кабеля (значения приведены в таблице).

Суммарные затраты:


Для удобства приведем все полученные результаты в виде таблицы 1:


2,6/9,4 мм;

1,2/4,6 мм;

0,73/3,0 мм;

 Коэфф. Затух, , дБ/км;15,9736,2560,48




 Мощность пер. - , дБм; 25,2325,2325,23




 Длина рег. участка - , км;421,2




 Зат. на всем уч. рег. - , дБ;63,8872,572,58




 Количество НРП на магистрали 222447747




 И их стоимость, ед;

111

223,5

373,5

 Стоимость километра кабеля ед/км

0,12

0,08

0,03

Затраты на кабель, ед;

108

72

27

Суммарные затраты, ед;

219

295,5

400,5


Исходя из полученных результатов, можно придти к выводу, что оптимальным является кабель КМ - 4 с параметрами 2,6/9,4.

2       ВЫПОЛНЕНИЕ ЗАДАНИЯ НА SDH

 

2.1    Расчет эквивалентного числа первичных цифровых потоков


Произведем расчет общего числа первичных ЦП для каждого узла транспортной сети с учетом развития:

Таблица 2 - Первичные потоки узлов транспортной сети


год Х

год Y






A

A

год Х

год Y





B

50(19)

54(19)

B

год Х

год Y




C

12(-)

-

32(10)

34(11)

C

год Х

год Y



D

22(14)

23(-)

25(9)

27(17)

43(-)

-

D

год Х

год Y

41(17)

32(13)

17(7)

31(11)

- (17)

18(11)

17(10)

22(10)

E


F

9(8)

32(16)

21(10)

10(3)

26(8)

35(20)

15(8)

13(5)

41(17)

43(17)

F

141

156

87

85

146

133


Рассчитаем количество первичных цифровых потоков между всеми пунктами в 2009 году. Для этого обозначим существующие цифровые линейные тракты между пунктами малыми латинскими буквами:

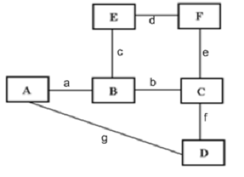
Рисунок 14 - Топология транспортной сети

Далее формируем основной и резервный пути для заданных в задании направлений. Пути меньшего ранга считаем основными, большего - резервными. Для путей указываем количество первичных цифровых потоков.

Таблица 3 - Маршрутизация потоков


A

B

C

D

E


Осн.

Рез.

Осн.

Рез.

Осн.

Рез.

Осн.

Рез.

Осн.

Рез.

B

a(54)

gfb(19)









C

ab(0)

gf(0)

b(34)

cde(11)







D

g(23)

abf(0)

bf(27)

ag(17)

f(0)

bag(0)





E

ac(32)

gfbc(13)

c(31)

bed(11)

ed(18)

bc(11)

fbc(22)

fed(10)



F

acd(32)

abe(16)

be(10)

cd(3)

e(35)

bcd(20)

fe(13)

fbcd(5)

d(43)

cbe(17)


По таблице 3 посчитаем количество первичных цифровых потоков в каждом цифровом ЛТ с учетом резервирования:

a:      54 + 32+32+16+17 =151:     19 + 13 + 16 + 34 + 27 + 10 + 11+11+20+22+5+17 = 205: 32+ 32 + 13 + 31 + 11 + 3 + 11+20+22+5+17 =197 :         32 + 11 + 11 + 3 + 18 + 20 + 10+5+43 = 153: 16+ 10 + 11 + 11 + 18+35 + 13+10+17 = 141:          19+ 13 + 27 + 22 + 13 + 10+5 = 109:     23+19+13+17=72

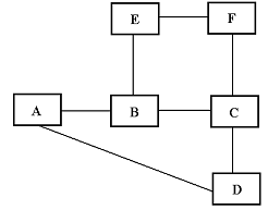
Отобразим проделанные расчеты на схеме топологии транспортной сети:

Рисунок 15 - Топология транспортной сети с рассчитанными параметрами

 

2.2    Конфигурация узлов транспортной сети


После определения необходимой пропускной способности между станциями и количества компонентных потоков на станциях можно более точно определить требуемые конфигурации узлов на станциях.

Мультиплексор в полной комплектации весьма сложное и дорогое устройство, состоящее из нескольких составляющих его узлов. Однако, часто полной комплектации мультиплексора не требуется, что уменьшает стоимость его приобретения, установки и эксплуатации.

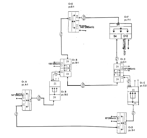
Рисунок 16 - Конфигурация узлов транспортной сети

 

2.3    Организация тактовой сетевой синхронизации


Синхронизация в транспортной сети необходима для устранения потерь информации из-за проскальзываний, которые возникают из-за колебаний тактовых частот генераторов цифрового оборудования. Синхронизация производится от первичного эталонного генератора со стабильностью частоты не хуже 10-11.

В качестве синхронизирующих сигналов оборудования сетевых элементов возможно использование следующих источников тактовой синхронизации:

-       Компонентные сигналы 2048 Мбит/с,

-       Любой из агрегатных сигналов STM-N,

-       Любой из компонентных входов STN-N,

-       Внешний источник синхросигнала 2048 кГц,

-       Внешний генератор с относительной стабильностью частоты не хуже 4.6×10-6.

При проектировании сети SDH необходима организация тактовой сетевой синхронизации с применением в качестве источников синхронизации первичного эталонного генератора (ПЭГ) и ведомого задающего генератора (ВЗГ), а в качестве средств восстановления синхронизации генератор сетевых элементов (ГСЭ) SDH.

При построении трасс синхронизации в каждом узле сети определяется свой перечень приоритетов по эталону хронирования.

Рисунок 17 - Синхронизация транспортной сети

2.4    Организация сети управления


Одним из немаловажных факторов обеспечения надежности сетей связи является эффективное управление их ресурсами. Для этого должны организовываться сети управления электросвязью.

Сеть управления состоит из:

-       «агентов управления» - контроллеров, помещаемых в сетевые элементы,

-       каналов передачи данных,

-       систем управления с их операционными системами и рабочими станциями.

Рисунок 12 - пердача управляющих данных

 

2.5    Выбор аппаратуры SDH


Согласно проделанным расчетам определим тип необходимого оборудования для построения транспортной сети SDH, сведем все данные в таблицу:

Таблица 4 - Типы оборудования SDH

Тип Пункты

STM-1, шт

STM-4, шт

Число типовых стоек, шт

Число мультиплексоров на стойке, шт

A

-

1

1

1

B

-

2

1

2

C

-

2

1

2

D

-

1

1

1

E

-

1

1

1

F

-

1

1

1


Для построения транспортной сети SDH используем оборудование фирмы Siemens. Для уровня STM-1 применим мультиплексор типа SMA-1 R2, а для уровня STM-4 - мультиплексор типа SMA-4 R2.

Таблица 6 - Основные характеристические параметры используемого оборудования «Siemens»

Определим количество установленных в каждом узле трибных интерфейсных плат.

Таблица 7 - Комплектация блоков STM в узлах транспортной сети

Пункт

A-1

B-1

B-2

C-1

C-2

D-1

E-1

F-1

21х2М

7

8

-

4

-

4

7

7

STM-1

1

2

2

2

2

1

-

-


Для установки данного оборудования на каждой станции будем испольщовать стойки TS300119 - 19 дюймов с размерами 2.2х0.6х0.3 м.

Для соединения станций используем кабель типа A-DSF фирмы Siemens.

ЗАКЛЮЧЕНИЕ

В процессе выполнения работы требовалось спроектировать две системы: на основе PDH и на основе SDH.

Для сети PDH пришлось рассчитывать множество параметров, таких как защищенность сигнала, количество разрядов в кодовой комбинации и др. Так же нужно было перевести исходную двоичную кодовую комбинацию 111011000011 в последовательность кодовых импульсов. И для этой последовательности рассчитать и построить график после наложения помех и при межсимвольной интерференции. Далее предлагалось выбрать коаксиальный кабель наиболее выгодный для конкретного случая. Все это говорит о том, что при использовании PDH могут появиться различные сложности в передаче, приеме и расшифровке сигналов.

Во второй части курсовой работы предлагалось для исходной топологии сети выбрать и сконфигурировать оборудование транспортной сети. Оснастить оборудование только лишь требуемыми модулями для экономии денежных средств.


Не нашли материал для своей работы?
Поможем написать уникальную работу
Без плагиата!
Без нейросетей!