Микрополосковая антенная решетка
Введение
В настоящее время происходит интенсивное
становление теории и совершенствование технологии микрополосковых антенн,
отличающихся большим разнообразием конструкций и пригодных для применений в
качестве как самостоятельных антенн, так и элементов антенных решеток.
Освоенный диапазон частот микрополосковых антенн простирается от 300 МГц до 20
ГГц.[2]
Применение наряду с двухпроводными коаксиальными
линиями и волноводами полосковых линий передачи привело к созданию специальных
полосковых антенн, выполняемых методом печатных схем.
Основным преимуществом подобных антенн является
малая масса, простота конструкции, высокая точность изготовления, возможность
создания не выступающих конструкций. Существенным недостатком одиночного
микрополоскового излучателя является его узкополосность, связанная с
резонансным механизмом действия антенны.
Основным недостатком антенн в печатном
исполнении является малая электрическая прочность.[1]
1.
Назначение и принцип работы микрополосоквых антенн
Микрополосковые антенны (МПА) предназначены для
приема и излучения электромагнитной энергии с линейной, круговой и
эллиптической поляризацией, в диапазоне дециметровых, сантиметровых и
миллиметровых волн. Полосковые излучатели особенно удобны в качестве элементов
антенных решеток, причем использование печатной технологии существенно упрощает
реализацию разветвленной схемы питания элементов. Такой тип антенн применяют и
в аэрокосмической технике, как антенны радиолокационных станций. Из-за
дешевизны и надёжности конструкции МПА нашли широкое применение в мобильной
связи. К простейшим излучателям в печатном исполнении относят плоские
симметричные вибраторы различной конфигурации, расположенные на диэлектрической
подложке параллельно проводящем экрану. Параметры диэлектрического слоя (его
толщина, диэлектрическая проницаемость) влияют на резонансную длину плеч
вибраторов.
Используют также печатные излучатели
резонаторного типа, представляющие собой диск, расположенный над металлическим
экраном на диэлектрической подложке и возбуждаемый коаксиально линией или
полосковой линией с противоположной стороны экрана. Другим примером печатного
излучателя резонансного типа является антенна, представленная на рисунке 1.1.
Антенна возбуждается несимметричной полосковой линией, расположенной с той же
стороны экрана, что и антенна.[1]
Рисунок 1.1 - Антенна, возбуждаемая
несимметричной полосковой линией
Упрощенно можно считать, что объемный резонатор
микрополоскового излучателя ограничен вертикальными стенками из идеального
магнитопроводящего материала, расположенными по периметру прямоугольной
пластины. В прямоугольных микрополосковых антеннах обычно используется низший
тип резонанса, при котором расстояние между излучающими щелями соответствует
половине длины волны в полосковой линии передачи с шириной проводника, в свою
очередь, равной половине длины волны в свободном пространстве.[2] Излучение
формируется в основном двумя щелями I и II, образованными краями излучателя и
экраном. Магнитные токи оказываются синфазными и формируют максимум излучения
вдоль нормали к экрану. Возбуждение микрополосковых антенн осуществляется от
коаксиальной или полосковой линей (см. рис.1.2). Конструкция получается весьма
компактной, к тому же на антенной плате возможно размещение элементов
управления излучением или схем обработки сигналов. Предполагается, что
излучение энергии происходит через торцевые щели, образованные кромками концов
отрезка полоскового проводника и экраном. При этом делается допущение о
пренебрежимо малом излучении боковых щелей и учитывается возбуждение лишь
квази-Т волны. Мощность, излучаемая торцевыми щелями, невелика по сравнению с
мощностью квази -Т волны, набегающей на щель. Поэтому
коэффициент отражения в плоскости торцевых щелей близок к единице. При этом распределение
тока, а также поля, вдоль оси полосковой линии между торцевыми щелями мало
Рисунок 1.2
- Возбуждение микрополосковых антенн с помощью: а) коаксиальнойб) полосковой
линии отличаются от соответствующих распределений в полосковой линий со стоячей
квази -Т волной
При
определенной длине отрезка полосковой происходит синфазное сложение волн,
отраженных от его концов, что соответствует резонансному режиму работы.
1.2
Параметры микрополосковых антенн
Входное сопротивление -
это эквивалентное сопротивление линии на ее входе, которое определяется
отношением напряжения к току в сечении линии.
Рабочая полоса частот -
полоса частот в пределах, которой другие параметры не выходят за пределы
допусков, установленных техническим заданием.
Коэффициент полезного
действия (КПД) - отношение мощностей излученной антенной и подводимой к
антенне.
Коэффициент
направленного действия (КНД) - численная величина, показывающая во сколько раз
мощность, излучаемая в данном направлении отнесенная к единице телесного угла
(интенсивность излучения в данном направлении) больше интенсивности излучения
абсолютно ненаправленной антенны, при условии равенства полных мощностей,
излучаемых обеими антеннами.
Коэффициент усиления
(КУ). Различают абсолютный и относительный КУ.
Абсолютный (изотропный)
КУ антенны показывает во сколько раз интенсивность излучения в данном
направлении, больше интенсивности абсолютно ненаправленной (гипотетической)
антенны с КПД равным 100%, при условии равенства подводимых к обеим антеннам
мощностей.
Диаграмма направленности
может быть амплитудной и фазовой. Она показывает зависимость амплитуда или фазы
вектора напряженности электрического поля от угловых координат точки
наблюдения, находящейся на фиксированном расстоянии в дальней зоне.
Поляризация -
ориентационная характеристика векторов электромагнитной волны.
2. Выбор материала антенной решетки и ориентировочное
определение конструктивных размеров микрополоскового излучателя (МПИ)
.1 Выбор
материала
При разработке и
конструировании МПА часто применяют полосковую линию, которая представляет
собоютрехпроводную линию, в которой пространство между проводниками заполнено
диэлектриком. Проводники имеют хорошую экранировку, но сложны в эксплуатации и
настройке. Такая полосковая линия является симметричной. Питание МПА с помощью
не симметричной полосковой лини более целесообразно, поскольку, она обладает
простотой изготовления и больше применяется, чем симметричная линия. Итак,
остановимся на несимметричной полосковой линии, которая и будет питать МПА в
моем курсовом проекте.
Зададимся значением
относительной диалектрической проницаемости ε материала
подложки:
ε = 3
Выбор материала для
изготовления излучающих элементов антенны. Основные требования при этом:
нужное значение диэлектрической
проницаемости;
малые потери;
высокая механическая
прочность, теплостойкость, однородность материала, устойчивость параметров во
времени, малая гигроскопичность.
обеспечивается
возможность изготовления листов фольгированого материала требуемого размера.
Зададимся значением
волнового сопротивления питающей линии:л = 50Ом
2.2
Определение ориентировочных размеров
Выбираем ориентировочные
размеры МПИ в соответствии с соотношениями (стр. 36. [3]):
b
,
с - скорость
света в вакууме
- частота излучения МПИ=fср=17.1 ГГц
где
- средняя длина волны рабочего диапазона в воздухе.
=0.48
Рассчитываем
ориентировочное значение толщины подложки h.
h/λ0=0.025
2.3
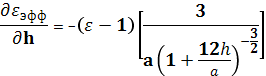
Определение эффективной диэлектрической проницаемости εэф и
волнового сопротивления ZВ эквивалентной НПЛ
асчет
эффективной диэлектрической проницаемости эквивалентной НПЛ необходимо
производить по формуле:
где h -
толщина подложки НПЛ.- ширина НПЛ. /h=2.907
Ширина
несимметричной полосковой линии (НПЛ) определяется, исходя из условия равенства
значения сопротивления, рассчитанного по следующей формуле (с учётом ранее
рассчитанного значения и фиксированного w):
/h=2.907
со
значением, выбранным в п.п.2.2 (
= 50
Ом).
Т.о. решая
полученную систему, состоящую из выше представленных формул путём подбора
величины wполучаю следующие рассчитанные значения эффективной диэлектрической
проницаемости, ширины НПЛ, а также волнового сопротивления:=0.0012752м
2.4
Определение входного сопротивления
Значение
входного сопротивления МПИ при питании с краю (т.е. утп = b/2 = 0.002659) на
резонансной частоте Zвх0 можно рассчитать, воспользовавшись следующим
формулами:

-
сопротивление каждой из торцевых щелей может определятся через их проводимости,
а именно:

;

;

-
волновое сопротивление МПИ (без учета потерь). Т.к. МПИ представляет собой
отрезок микрополосковой несимметричной линии, то его волновое сопротивление
можно определить по формуле аналогичной представленной в п.п.2.3, но для ширины
линии равной а:
В моём
случае 
= 7.239Ом.
β - постоянная распространения квази-Т волны определяется по
формуле:- входное сопротивление отрезка эквивалентной двухпроводной линии,
длинной l1 = b/2-yтп, нагруженной на сопротивление торцевой щели Zщ
определяется по формуле:- входное сопротивление отрезка эквивалентной
двухпроводной линии, длинной l2 = b/2+yтп, нагруженной на сопротивление
торцевой щели Zщ определяется по формуле:
Значение
входного сопротивления МПИ:
2.5
Определение положения точки питания
Исходя из
требований согласования МПИ с линией питания по сопротивлению на резонансной
частоте определяю ориентировочное положение точки питания yтп - входное
сопротивление МПИ в резонансном режиме существенно зависит от положения точки
питания. Смещение точки питания позволяет осуществить согласование.
При этом
используется следующее соотношение, учитывая только действительную часть
входного сопротивления.
3. Расчёт зависимости входного сопротивления МПИ от частоты и
уточнение конструктивных размеров МПИ
.1 Расчёт
зависимости входного сопротивления МПИ от частоты
Толщина
подложки: h = 
;
смещение
точки питания y = 
м;
размеры
излучателя a =0.011м; b = 0.005389 м.
волновое
сопротивление МПИ 
=
7.239Ом.
Т.о.
зависимость входного сопротивления от частоты имеет вид (на графике отдельно
изображена мнимая и вещественная части комплексного входного сопротивления
МПИ):
Рисунок 3.1
- Зависимость мнимой и вещественной части комплексного входного сопротивления
от частоты
3.2
Уточнение конструктивных размеров МПИ
При данных
размерах излучателя резонансная частота не совпадает со средней частотой
рабочего диапазона, что приводит к необходимости коррекции размеров МПИ для
точного согласования на резонансной частоте по входному сопротивлению. Т.о.,
после коррекции, конечные размеры МПИ, которых я буду придерживаться при
дальнейших расчётах:
Зависимость
входного сопротивления МПИ после коррекции размеров показана на рисунке:
Рисунок 3.2
- Зависимость мнимой и вещественной части комплексного входного сопротивления
от частоты после коррекции размеров МПИ
3.3 Определение
рабочей полосы частот
Определим
рабочую полосу частот. Для этого рассчитаем зависимость коэффициента отражения
на входе МПИ от частоты:
где
Рисунок 3.3
- График зависимости коэффициента отражения на входе МПИ от частоты
Для
определения полосы рабочих частот необходимо знать допустимый коэффициент
отражения на входе МПИ. Его определим по формуле:
где КБВдоп=0.75
- допустимый коэффициент бегущей волны в питающей линии, в результате
рдоп=0.143. Отметим его на рисунке 3.3. Теперь полосу рабочих частот определяем
по пересечению графика зависимости коэффициента отражения на входе МПИ от
частоты и линии допустимого коэффициента отражения. Рабочая полоса частот (рис.
3.3):
В данном
подразделе рассчитали зависимость входного сопротивления МПИ от частоты. Также
была произведена коррекция размеров МПИ, так что реактивная часть входного
сопротивления, на резонансной частоте, стремится к нулю, что вполне
удовлетворяет требованиям.
4. Расчёт КПД и ДН МПИ в Е и Н плоскостяхна средней частоте
рабочего диапазона
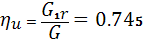
4.1 Расчет
КПД излучателя и потерь
Эффективность
МПИ может быть определена по нескольким критериям.
Во-первых,
по излученной мощности пространственных волн основной поляризации). Во-вторых,
по всей излученной (как пространственными, так и поверхностными волнами)
мощности.
Рассчитываем
КПД микрополоскового излучателя. Для этого воспользовавшись графиками рис. 4.1,
определяем соответствующие проводимости

Рисунок 4.1
- Зависимость проводимостей МПИ от толщины подложки
В случаи,
когда ε -
диэлектрическая проницаемость выбранного материала лежит в промежутке значений ε1< ε<ε2, где ε1 = 2.3, а ε2 = 5, определяем проводимость Gi(ε), соответствующею
данному значению ε, путем линейной интерполяции значений, взятых из графика на
рис.4.1.
Gi(ε1) и Gi(ε2) - проводимости, определяемые из рис. 4.1.
Так, как
тангенс угла диэлектрических потерь подложки не равен значению соответствующему
рис.4.1 (tgδ=7*10-3), то
найденную выше величину G(ε) умножаем на поправочный коэффициент Δ = 103tgδ. После этого рассчитываем КПД по формуле:
ηu= G1r/G,
где 
Соответственно
и
- проводимости торцевых щелей,
и
- проводимости боковых щелей,
- проводимость метала,
- проводимость диэлектрика подложки.

,
где
=2,3,
=5,а
и
определяются по графику, приведенному на рис.4.1.
Далее по
формуле приведённой выше находим
:
См,
См,
См,
См,
См,
См.
Найдём
проводимость:
См.
КПД МПИ
равен:
КПД по всей
излученной мощности:
Выразим
соответствующие потери в децибелах через КПД:
КПД МПИ по
излучённой мощности пространственных волн основной поляризации наиболее полно
характеризует эффективность МПИ, так как при его расчёте полезной считается
только мощность излученная через торцевую щель, а все остальные относятся к
потерям.
4.2 Расчет
ДН МПИ в Е-плоскости
Расчёт ДН в
Е-плоскости производится по следующим формулам:
Рисунок 4.2
- Диаграмма направленности МПИ в Е-плоскости
4.3 Расчет
ДН МПИ в H- плоскости
Расчёт ДН в
H-плоскости производится по следующим формулам:

; 
Рисунок 4.3
- Диаграмма направленности МПИ в Н-плоскости
5. Расчёт допусков влияния разброса параметров на
характеристики МПИ
микрополосковый
антенна сопротивление частота
Изменение
геометрических параметров излучателя и отклонения диэлектрической проницаемости
материала и толщины подложки вызывают расхождения между расчетными и истинными
значениями параметров МПИ.
Это в
основном относится к резонансной частоте.
Поскольку
полоса рабочих частот МПИ составляет обычно несколько процентов от средней
частоты, то определение истинного значения резонансной частоты является весьма
важным при проектировании МПИ и, соответственно микрополосковых антенн.
Точность
изготовления пластины МПИ определяется способом производства и при
использовании современных технологических методов может быть весьма высокой.
Листовые диэлектрические материалы промышленного производства на базе
полиэтилена и полистирола имеют допуски на относительную диэлектрическую
проницаемость ±1% и ±5% на толщину.
Резонансная
частота МПИ определяется следующей формулой:
где:
с - скорость
света в вакууме.= 17.03ГГц.
На основе
выражения для резонансной частоты получена следующая расчетная формула для
относительной девиации частоты:
Так как
, то членом
можно пренебречь.
Частные
производные, входящие в формулу для относительной девиации частоты определяются
по формулам:

,
где Δh = 0,05·h = 0.00002193 - 5%-ый допуск на толщину листового диэлектрического материала,
заложенный при производстве;
Δε =
0,25 - допуск на значение относительной диэлектрической
проницаемости.
В результате
вычислений, значение относительной девиации частоты получилось таким:
6. РАСЧЕТ
КОНСТРУКТИВНЫХ РАЗМЕРОВ И СИСТЕМЫ ПИТАНИЯ ЭЛЕМЕНТОВ АНТЕННОЙ РЕШЕТКИ
Для расчета
конструктивных размеров и системы питания элементов антенной решетки рассмотрим
плоскую синфазную равномерно возбужденную эквидистантную решетку. N×N одинаковых
элементов - МПИ прямоугольного типа (фрагмент представлен на рисунке 5).
Рисунок 6.1 - Фрагмент
решетки (2×2 элемента): 1 - излучатель, 2 - трансформаторы сопротивлений
При расположении МПИ в
антенной решетке они неизменно влияют друг на друга. Это влияние приводит к
изменению параметров излучателей, например, входного сопротивления, резонансной
частоты. А также ухудшается согласование в рабочей полосе частот и КПД антенны.
Для устранения этого явления, расстояние между излучателями следует выбирать
исходя из условия: d>λ0/2
Также необходимо
исключить возможность появления вторичных главных максимумов характеристик
направленности. Для этого должно выполняться неравенство: d< 0.9 λ0
Рассчитаем параллельную
схему питания, придерживаясь необходимого порядка.
Исходя из приведенных
рекомендаций, шаг решетки должен лежать в пределах
6.1 Расчет
шага решетки и количества излучателей в горизонтальной плоскости и вертикальной
плоскости
Количество
элементов в горизонтальной плоскости:
=24.
Количество
элементов в вертикальной плоскости:
=16.
Примем шаг
решетки равным: 
Рис. 6.2
Основой
построения антенной решетки служит подрешетка 2×2 элемента
(рис. 6.1). Для обеспечения равноамплитудного синфазного питания всех элементов
расстояния от каждого МПИ до начала схемы питания должны быть одинаковыми. В
качестве линии питания используется НПЛ одинаковой ширины, что обеспечивает
простоту расчёта и изготовления схемы питания. Также необходимо обеспечить
согласование линии питания в точках ветвления, что можно осуществить с помощью
четвертьволновых трансформаторов.
Ширина
питающей НПЛ была рассчитана в пункте 2.3 и равна= 0.0012752на линии питания от
начала питания до МПИ может быть определена через шаг решетки по следующей
формуле:
Такое
расстояние одинаковое для любого МПИ, что позволяет судить о равноамплитудном
синфазном питании каждого элемента.
Для
согласования питающей линии по сопротивлению необходимо в точках ветвления
применять трансформаторы сопротивлений - четвертьволновые согласующие
трансформаторы (рис. 6.3),
Рисунок 6.3
- Согласующий четвертьволновой трансформатор
волновое
сопротивление и геометрические размеры которого рассчитываются по формулам:
где
- волновое сопротивление трансформатора;

= 50
Ом - сопротивление питающей линии;

= 25
Ом - сопротивление разветвляющихся линий (параллельное соединение двух 50-омных
питающих линий).
где - длина
трансформатора;
εэфф =3.452- эффективная диэлектрическая проницаемость.
По
найденному значению волнового сопротивления трансформатора можно определить его
ширину:
м.
6.2 Расчет
КПД схемы питания
Коэффициент
затухания α - величина,
обратно пропорциональная расстоянию, которое должна пройти волна вдоль
регулярной линии, чтобы ее амплитуда уменьшилась в e раз. Коэффициент затухания
рассчитывается в предположении, что структура полей в линии при наличии потерь
и без них одинакова. Коэффициент затухания волны (измеряется в Нп/м) основного
типа в НПЛ:
где
- коэффициент, определяемый потерями в проводнике;
- коэффициент, определяемый потерями в диэлектрике;
- коэффициент, определяемый наличием излучения из ПЛ;-
ширина полосковой линии (w = 0.00112752 м);
- сопротивление полосковой линии шириной w (
= 50 Ом);
tgδ - тангенс угла потерь диэлектрика (tgδ = 3·10-4);
КПД
параллельной схемы питания длиной 0.273 (без учёта взаимного влияния),
определяется по формуле:
7. Расчёт КПД, КНД, КУ и ДН антенны в Е и Н плоскостях
нецентральной частоте рабочего диапазона
.1 Расчет
КПД антенны
Произведём
полный расчёт КПД, учитывающий дополнительные потери из-за неполного
согласования МПИ с линией питания ηр, где
, а
означает комплексный коэффициент отражения от входа МПИ.
Поскольку
в полосе рабочих частот значительно меняется, то величина
существенно зависит от частоты. При упрощенной оценке можно
рассчитать КПД лишь в той точке рабочего диапазона, где потери максимальны. В
этом случае
. В результате получим следующее значение КПД:
Рассчитаем
суммарный коэффициент полезного действия решётки
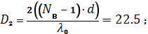
7.2 Расчет
КНД антенны
КНД решётки
с равномерным синфазным распределением поля вычисляется как произведение
соответствующих КНД в вертикальной и горизонтальной плоскости:
где 
, 
-
длина антенной решетки в горизонтальной и вертикальной плоскости;
Т.о. КНД
антенной решетки: D = 
· 

=2439;
7.3 Расчет
коэффициента усиления антенны
Расчет КУ
выполним по следующей формуле:
.4 Расчет ДН
антенны в Е-плоскости на центральной частоте рабочего диапазона
ДН антенной
решетки можно определить через характеристику направленности отдельно взятого
МПИ и множитель системы, учитывающий взаимодействие всех МПИ.
В
Е-плоскости ДН антенны можно определить по формулам:
где 
- ХН антенны;

- ХН
МПИ (определённая в п.п.3.3).;

=16 - число излучателей в вертикальной плоскости;= 0.013м -
шаг решетки.
Ширина главного лепестка 
.
Рис. 7.1
7.5 Расчет
ДН антенны в плоскости Нна центральной частоте рабочего диапазона
ДН антенной решетки
можно определить через характеристику направленности отдельно взятого МПИ и
множитель системы, учитывающий взаимодействие всех МПИ.
В Н-плоскости ДН антенны
можно определить по формулам:

;
где 
- ХН антенны;

- ХН
МПИ (определённая в п.п.3.3).;

=24 - число излучателей в горизонтальной плоскости;= 0.013м
- шаг решетки.
Ширина главного лепестка 
.
Рис. 7.2
8. Краткое описание конструкции антенны и выводы
.1 Краткое
описание конструкции антенны
Конструктивно
антенна представляет собой слоистый диэлектрик с одним металлическим экраном
(экраном может быть простая фольга). На одной стороне находятся пластинки
излучателей и питающие линии. С противоположенной стороны сплошной диэлектрик.
При этом КНД антенны равен приблизительно 2439, КУ приблизительно 
.
Питание
антенны может быть осуществлено с помощью полосковой линии, сопротивление
которой равно 50 Ом, или коаксиального кабеля, сопротивление которого также
равно 50 Ом. При этом согласующим устройством между сопротивлением питающей
линии и точкой начала схемы питания выступает четвертьволновый трансформатор.
Значение волнового сопротивления трансформатора будет таким: Wтр=35.355Ом
Целью
курсового проекта было рассчитать параметры микрополоскового излучателя и его
характеристику направленности. Определить влияние допусков и разброса
параметров на характеристики МПИ. Рассчитать схему питания микрополосковой
антенной решетки и ее характеристики. Как видно из курсового проекта МПИ
изготовляются обычно по технологии интегральных схем, что обеспечивает высокую повторяемость
размеров, относительно низкую цену, малые металлоемкости, габаритные размеры и
массу. Также многоэлементные антенные решетки позволяют решить ряд важных
задач: получение диаграммы направленности заданной формы путем независимого
регулирования амплитуд и фаз токов; электрическое управление положением
главного лепестка ДН в пространстве; осуществление обработки сигнала;
построение направленных ретрансляторов и т.д.
Антенна
может служить как для приема, так и для передачи. В нашем случаи антенна работает
в диапазоне частот 
ГГц.
КПД антенны составляет 52.1%.
Список используемой литературы
1. Цалиев Т.А. Розрахунок мікросмужкових випромінювачів та
антен. Навчальній посібник з курсового та дипломного проектування. Одеса, 2003.
2. Кочержевский Г.Н. Антенно-фидерные устройства. - М.:
Радио и связь, 1989.
. Панченко Б.А. Нефедов Е.И. Микрополосковые антенны.
- М.: Радио и связь, 1986.
. Конспект лекций по курсу «АС», лектор Цалиев Т.А.