Модели управления качеством продукции некоммерческих организаций на примере кинематографии
Введение
При выборе какого-либо продукта, человек
всегда обращает внимание на то, насколько качественно он произведен, будь то
мебель, техника или что-то другое. Это те продукты, которые потребитель может
осязать, оценить их внешний вид. Другими словами, это те вещи, качество которых
можно измерить.
Известно, что в сфере производства качество любого товара
можно рассматривать с двух сторон:
. Качество Технологическое:
качество конечного результата, полученного при соблюдении
технологий при производстве продукта. Сюда входят такие параметры как удобство
продукта, его прочность, выносливость и прочие технологические характеристики.
Этого можно добиться, соблюдая правила изготовления, используя предназначенное
для таких целей сырье и т.д.;
. Качество Символическое
качество эстетического вида, содержания, который включает в
себя продукт. В данном случае, оценивать качество, руководствуясь правилами -
невозможно, так как специальных правил по написанию писателем произведения не
существует.
В сфере культуры производителями товаров и
услуг являются в основном некоммерческие организации, при оценке качества
которых большее внимание уделяется качеству именно символическому, однако его
очень сложно охарактеризовать. Дело в том, что нет определенных правил и
методов оценки такого качества.
Также серьезной проблемой современного
общества является тенденция ухудшающего отбора. Возникла необходимость найти
способы организации производства, чтобы избежать возрастания данной тенденции
Исходя из этого, целью данной работы является
разработка системы оценки качества символических товаров и услуг.
В соответствии с целью, были поставлены следующие задачи:
− определить понятие качества для
символических товаров и услуг;
− построить математическую модель
управления качеством;
− построить индекс качества и
символических товаров и услуг;
− исследовать возможности
управления качеством при составлении долгосрочных планов;
− результаты исследования применить
при анализе деятельности кинематографической отрасли РФ.
В данной работе представлены математические модели
долгосрочного планирования на примере киноиндустрии, а так же модели
максимальной прибыли с ограничениями на издержки при эксплуатации оборудования
и модель ухудшающего отбора.
1.
Общее понятие качества продукции. Обзор методик управления качеством
1.1 Сущность и роль качества продукции в целом
символический качество
товар модель долгосрочный
В своей жизни и деятельности человек
повсюду имеет дело с созданным его разумом и руками вещественным миром, который
при всем своем бесконечном многообразии обладает единой общностью, имя которой
- качество продукции.
Качество продукции представляет собой
материальную основу удовлетворения как производственных, так и личных
потребностей людей, и этим определяется его уникальная общественная,
экономическая и социальная значимость. Чем выше качество продукции, тем большим
богатством обладает общество и тем большими материальными возможностями оно
располагает для своего дальнейшего прогресса.
.2 Качество продукции по
ГОСТ
Качество продукции - Совокупность свойств
продукции, обусловливающих ее пригодность удовлетворять определенные
потребности в соответствии с ее назначением
Проблема качества продукции имеет много
аспектов. Исследователи различают философский, социологический, экономический,
правовой, статистический аспекты, другие выделяют кибернетическую,
математическую, техническую, производственную, потребительскую ее сторону.
Оценка уровня качества продукции является
основой для выработки необходимых управляющих решений в системе управления
качеством продукции.
В общем случае оценка уровня качества
состоит из следующих этапов
− выбор номенклатуры
показателей качества и обоснование ее необходимости и достаточности,
− выбор или разработка методов
определения значений показателей качества;
− выбор базовых значений
показателей и исходных данных для определения фактических значений показателей
качества оцениваемой продукции;
− определение фактических
значений показателей качества и их сопоставление с базовыми;
− сравнительный анализ
вариантов возможных решений и нахождение наилучшего;
− обоснование рекомендаций для
принятия управляющего решения.
Содержание каждого из перечисленных этапов
и объем работ на каждом из них существенным образом зависят от цели оценки
качества продукции.
Целью оценки обусловливается: какие
показатели качества следует выбирать для рассмотрения, какими методами и с
какой точностью определять их значения, какие средства для этого потребуются,
как обработать и в какой форме представить результаты оценки, какие варианты
возможных решений следует сравнивать между собой и на какие вопросы ответить
при обосновании рекомендаций.
Качество как философская,
технико-экономическая, экономическая и социально-экономическая категории
Качество - это универсальная философская
категория, охватывающая как явления внешнего мира, так и сознание человека.
Качество, как философская категория, впервые было проанализировано Аристотелем
(3 в. до н.э.), определившем его как «видовое отличие,… видовой признак,
отличающий данную сущность … от другой сущности, принадлежащей к тому же роду».
Технико-экономическое понятие «качество
продукции», в отличие от философского понятия «качество», охватывает только те
свойства продукции, которые связаны с возможностью удовлетворения; продукцией
определенных общественных или личных потребностей в соответствии с ее
назначением.
Качество продукции зависит от качества
составляющих ее изделий и материалов. Если продукция состоит из изделий
машиностроения, то к свойствам, определяющим качество продукции, относятся
свойства отдельных изделий, а также такие свойства совокупности изделий как
однородность, взаимозаменяемость и т.д.
Экономическое содержание понятия «качество
продукции» базируется на том, что качество продукции формируется в процессе ее
изготовления. Поэтому как экономическая категория качество продукции
рассматривается как овеществленный результат производственной деятельности
людей, сопряженный с соответствующими затратами.
Любые вещи создаются для удовлетворения
определенных потребностей человека и общества в целом. Это предназначение вещей
полностью относится и к их качеству. Учитывая это социальное значение качества
продукции, можно охарактеризовать его как социально-экономическую категорию.
Качество, связанное с
потребительской стоимостью
Под потребительной стоимостью понимается
полезность товара, его способность удовлетворять общественные потребности -
личные или производственные. Каждый продукт обладает множеством свойств. Однако
его потребительную стоимость формируют только те из них, которые обусловливают
полезность, т.е. служат удовлетворению определенных человеческих потребностей.
Покупатель, вступая в товарно-денежные
отношения, рассматривает потребительские свойства вещи и выбирает те из них,
которые нужны для удовлетворения его потребности, т.е. покупатель оценивает
полезность данной вещи.
Следовательно, потребительная стоимость
представляет собой целостную совокупность свойств продукта, благодаря
которым он способен удовлетворять ту или иную человеческую потребность, т.е.
определяет полезность данного продукта, а категория качества означает
степень, в которой данная потребительная стоимость способна
удовлетворять ту или иную потребность, т.е. выражает меру полезности данной
потребительной стоимости.
Другими словами, потребительная стоимость
выражает вообще полезность вещи, а качество означает меру, в какой она
объективно способна удовлетворять конкретные потребности.
Такому пониманию качества соответствует
определение, даваемое международным стандартом ИСО 9000-2000: «Качество -
степень соответствия присущих характеристик требованиям».
Таким образом, для инженера качество
продукции есть совокупность свойств (лучше набор свойств - выше качество), а
для экономиста - степень удовлетворения потребности (чем ближе качество к
конкретной, реально существующей потребности, к оптимальному уровню качества -
тем лучше).
Любой продукт имеет два аспекта: он
является объектом производства и потребления. Отсюда качество продукции
выражает меру учета совокупных требований к ней как к объекту производства или
потребления соответственно со стороны изготовителей или потребителей при ее
разработке, производстве и использовании в соответствии с потребностями каждого
конкретного общества. Поэтому качество продукции следует рассматривать как меру
конструктивного и эксплуатационного еесовершенства, проявляющегося в
полезных свойствах, совокупность и значение которых отражают сложившиеся на
данном этапе требования общества к ней, как к средству удовлетворения
определенных потребностей.
Представление о качестве постоянно
изменяется. Качество, удовлетворявшее потребителя год назад, может уже не
отвечать его требованиям в этом году.
На каждой ступени развития общества
требования к качеству - результат взаимодействия объективных и субъективных
факторов. Первые проявляются в уровне развития производительных сил, прежде
всего науки и техники, вторые - в силе и характере воздействия потребителей на
общественное производство, в значительной мере проявляющегося в
платежеспособном спросе на конкретные виды продукции.
В процессе развития общества выделяют ряд
стадий в зависимости от степени удовлетворения общественных потребностей в
товарах. В индустриально развитых странах до середины 30-х годов ХХ столетия
была эпоха массового спроса на основные потребительские товары. В 30-е
годы эта эпоха завершилась практическим насыщением этого спроса. До достижения
этой стадии главные задачи предпринимательской деятельности состояли в
разработке и усовершенствовании механизма массового производства, снижавшего
издержки выпуска продукции. Успех в конкурентном сбыте имели фирмы,
предлагавшие товары по самой низкой цене.
На смену эпохе массового спроса в 30-50-е
годы пришла эпоха массового сбыта. Ее символизировал принцип ежегодной
смены моделей, переход от стандартной продукции к дифференцированной. Главными
задачи управления фирмами в условиях обострившейся конкуренции стали
предложение новых моделей на рынок, организация рекламы и сбыта, другие
маркетинговые способы воздействия на выбор потребителя. Основное внимание в
научно-исследовательских и опытно-конструкторских работах и в производстве
стало уделяться качеству продукции и ее ассортименту. Забота о производственном
потенциале для поддержания уровня прибыли за счет увеличения объема
производства отошла на второй план.
Стадии массового производства и массового
сбыта зарубежные ученые рассматривают как «индустриальную эпоху», когда было
достигнуто удовлетворение первичных жизненных потребностей и насыщение спроса
на основные товары. С середины 50-х годов наступила «постиндустриальная
эпоха», для которой характерно производство высококачественных товаров в
расчете на потребителя с относительно высоким уровнем доходов. Центр тяжести в
предпринимательской деятельности в этот период переместился на технический
прогресс - создание новых высококачественных видов продукции на базе новейших
технологий. Более активную жизненную позицию в отношении качества товаров
заняли в этот период потребители. Они стали требовать все более полной
информации о покупаемом товаре, гарантий качества и защиты своих интересов. Для
обеспечения этого создавались соответствующие правовые механизмы. Таким
образом, возникла необходимость повышать качество продукции не только для
экономической выгоды, но и из-за социального значения.
.2 Экономическое и социальное значение повышения качества продукции
символический качество
товар модель долгосрочный
В современных условиях объективная
необходимость повышения уровня качества продукции обусловлена несколькими
причинами:
) качество продукции становится одним из
решающих факторов повышения эффективности производства и интенсивного развития
экономики в целом;
) выпуск некачественной продукции наносит
большой экономический ущерб как отдельным предприятиям, так и всей национальной
экономике;
) изменяется психология потребителя и его
требования к качеству продукции;
) качество является одним из важнейших
факторов конкурентоспособности продукции в условиях усиления конкурентной
борьбы за рынки сбыта.
Повышение качества продукции является
важнейшим путем увеличения эффективности производства. Эффективность производства
определяется соотношением полученных результатов и производственных затрат.
Повысить эффективность можно двумя путями: снижением издержек производства или
повышением общественной значимости результатов труда, которая может возрастать
не только за счет увеличения количества продукции, но и вследствие повышения ее
качества. Первый путь имеет определенные границы, второй - практически не
ограничен.
Повышение качества продукции есть процесс,
ориентированный на наиболее полное удовлетворение потребностей в данной
продукции, который может осуществляться по двум направлениям: улучшение
качественных параметров уже освоенной продукции, а также создание и
освоение качественно новых ее видов.
Существует ошибочное мнение, что при
дефиците продукции ее качество отходит на второй план, т.к. покупается все, что
производится. Но продукция низкого качества не может уменьшить дефицит, т.к.
способна удовлетворить конкретную потребность далеко не полностью по своей
совокупности потребительских свойств и на короткий срок, если снижаются такие
показатели качества, как долговечность. При этом возрастает потребная масса
товаров.
Более того, низкое качество данного вида
продукции может вызвать дефицит других видов. Так, дефицит легковых автомобилей
может являться следствием не только ограниченных мощностей по их производству,
но и низкого качества металла; дефицит автомобильного топлива - следствие его
больших удельных расходов из-за некачественности двигателей; дефицит обуви из
натуральной кожи - во многом результат низкого качества сырья из-за плохого
ухода за скотом и т.д.
Самый надежный путь удовлетворения
потребностей в товарах - повышение качества.
Развитый товарный рынок решает проблему
качества просто: товар низкого качества не находит потребителя. В этих условиях
качество продукции - главный показатель ее конкурентоспособности.
Устойчивое положение фирм на рынке в
условиях конкуренции обеспечивается стабильным поддержанием уровня качества
выпускаемой продукции. Постоянный выпуск высококачественной продукции дает
возможность крупным корпорациям получать правительственные заказы,
участвовать в общегосударственных программах и проектах, что обеспечивает
гарантированный рынок сбыта.
В условиях острой конкурентной борьбы
положение на рынке мелких и средних фирм целиком зависит от качества
выпускаемой ими продукции. Если положение крупных компаний представляется
практически незыблемым, ибо, потерпев неудачу в производстве одного вида
продукции, они могут компенсировать ее успехом в производстве другого вида, то
выпуск некачественной продукции мелкими фирмами, у которых номенклатура чаще
всего ограничена, может привести к полному банкротству. Кроме того, мелкие и
средние фирмы часто являются поставщиками крупных корпораций, которые
предъявляют им жесткие требования в отношении качества поставляемой продукции.
Контракт заключается лишь с фирмами, доказавшими свою способность производить
высококачественную продукцию.
Достаточно давно проблема качества в
развитых странах перестала быть заботой отдельных фирм, а рассматривается как общенациональная
проблема. Так, проблема управления качеством продукции рассматривается как
важнейшая национальная задача в Японии, в США организуются ежегодные «месячники
качества», в Швеции по решению правительства проводятся общенациональные
кампании борьбы за качество, в Голландии разрабатывается общенациональный
пятилетний план повышения качества продукции.
Такое пристальное внимание в развитых
странах к качеству продукции объясняется действием объективных причин,
названных ранее, а также изменением условий, форм и методов обострившейся
конкурентной борьбы за рынки сбыта между ведущими фирмами разных стран.
Катализатором является «японский феномен» в области качества изделий. Японские
фирмы практически вытеснили конкурентов на мировом рынке аудио и видеоаппаратуры,
часов, фотоаппаратов, теснят ведущие американские и европейские фирмы на рынке
автомобилей и ряда других товаров.
Большинство стран прилагают огромные
усилия, чтобы повысить качество своих товаров и тем самым отстоять свой престиж
и положение на мировом рынке в ожесточенной борьбе против конкурентов из
Японии. Промышленные фирмы различных стран перенимают японский опыт организации
производства и управления качеством.
При этом все большее значение приобретает социальный
аспект качества, когда качество рассматривается в широком смысле - качество
жизни, жизнедеятельности. Под этим понимается совокупность объектов качества:
окружающая среда, охрана здоровья, образование и развитие личности, товары и
услуги, коммуникации и др.
Особенно остро проблема качества стоит и
требует своего решения в нашей стране. Эта проблема для нас застарелая, она
возникла еще в условиях директивной экономики, когда все работы по обеспечению
и улучшению качества продукции планировались и контролировались сверху. Однако
при этом слабо учитывались требования потребителей и качество продукции
оценивалось по ее соответствию требованиям нормативных документов, которые чаще
всего отставали от запросов потребителей. При монопольном положении
производителей и отсутствии мощного рыночного стимула качественного роста -
конкуренции - они не были заинтересованы в повышении качества продукции, в
расходовании дополнительных финансовых ресурсов на эти цели. Положение с
качеством продукции затем усугубилось нарастанием товарного дефицита, когда
спрос все больше превышал предложение, и лишенный выбора потребитель был готов
купить товар любого качества и по диктуемой цене (правда, цены были
доступными).
Так как наши производители практически не
выходили на внешний рынок (за небольшим исключением), то отсутствовала и
внешняя конкуренция и не было необходимости сопоставлять качество наших товаров
с товарами других стран.
Сейчас же, когда рынок насыщен импортными
товарами, проблема качества встала перед нашими товаропроизводителями в полный
рост. Без ее
решения наша продукция не будет иметь
сбыта ни внутри страны, ни на мировом рынке.
Определим понятие социально-необходимого
качества. Важно не просто качество основной массы данной продукции, не
любой уровень ее общественной полезности, а такой уровень, который необходим
для общества на данном этапе его развития с учетом реально имеющихся
потребностей. Мерой общественной полезности продукта является
социально-необходимое качество. Под социально-необходимым качеством понимают
такой уровень потребительских свойств продукции, который обеспечивает
удовлетворение общественных и индивидуальных потребностей при наиболее
эффективном использовании всех видов ресурсов, имеющихся в распоряжении
общества.
Качество продукции тогда будет социально
необходимым, когда его уровень будет находиться в пределах реализуемой
общественной полезности, а затраты труда на производство продукта будут
соответствовать средним общественным затратам на единицу потребительной
стоимости. Повышение качества продукции в рамках общественно необходимого
уровня должно сопровождаться снижением затрат в расчете на единицу полезности.
Каковы границы социально-необходимого
качества? Нижней границей можно считать техническое качество, т.е. такой
его уровень, при котором продукт еще является потребительной стоимостью, а ниже
этого уровня он становится вещью, которая не может удовлетворить ни одну
потребность индивида и общества. Верхней границей социально-необходимого
качества может быть максимальная величина общественной потребности, при которой
качество продукции полностью выступает как общественная полезность.
2.
Экономическая и социальная деятельность некоммерческих организаций
2.1 Понятие и виды организаций. Некоммерческие организации
Организация - составная часть
управленческой деятельности, представляющая собой процесс, комбинирующий труд,
выполняемые индивидуальными или группами людей, наделенных качествами,
необходимыми для его выполнения, так, что обеспечиваются наилучшие условия
эффективного, систематического, позитивного скоординированного приложения
знаний работников.
В соответствии с российским гражданским
законодательством юридические лица, создаваемые на территории Российской
Федерации, подразделяются на две группы:
− коммерческие организации;
− некоммерческие организации.
К коммерческим относятся организации,
имеющие в качестве основной цели своей деятельности получение прибыли.
Полученную прибыль они в дальнейшем тем или иным способом распределяют между
своими участниками (учредителями).
Некоммерческие
организации - организации, не имеющие извлечение прибыли в качестве основной
цели своей деятельности и не распределяющие полученную прибыль между
участниками.
Некоммерческие организации могут
создаваться для достижения социальных, благотворительных, культурных,
образовательных, научных и управленческих целей, в целях охраны здоровья
граждан, развития физической культуры и спорта, удовлетворения духовных и иных
нематериальных потребностей граждан, защиты прав, законных интересов граждан и
организаций, разрешения споров и конфликтов, оказания юридической помощи, а
также в иных целях, направленных на достижение общественных благ.
Так же такие организации могут
осуществлять предпринимательскую деятельность лишь постольку, поскольку это
служит достижению целей, ради которых они созданы, и соответствующую этим
целям.
Свойства некоммерческих организаций:
− наличие юридического лица;
− основной целью деятельности
не является извлечение прибыли;
− возможная прибыль не может
быть распределена между участниками некоммерческой организации.
Некоммерческая организация должна иметь
самостоятельный баланс или смету, и создается без ограничения срока
деятельности, если иное не установлено учредительными документами
некоммерческой организации.
Некоммерческая организация вправе в
установленном порядке открывать счета в банках на территории Российской
Федерации и за пределами ее территории.
Некоммерческая организация имеет печать с
полным наименованием этой некоммерческой организации на русском языке, а так же
штампы и бланки со своим наименованием и зарегистрированную в установленном
порядке эмблему.
В связи с тем, что некоммерческие
организации не ставят перед собой цель извлечения максимальной прибыли,
возникают следующие ограничения:
Во-первых, некоммерческая организация
может заниматься предпринимательством лишь постольку, поскольку это служит
достижению целей, ради которой она создана; сама бизнес-деятельность должна
соответствовать таким целям.
Во-вторых, возможная прибыль полностью
направляется на обеспечение основного профиля некоммерческой организации и не
может быть распределена среди ее участников. Например, прибыль организаций
здравоохранения используется на предоставление населению дополнительных видов
медицинских услуг и увеличение объема услуг уже существующих. Прибыль научных
организаций расходуется на осуществление новых проектов, приобретение
оборудования и сырья. Прибыль общественных организаций и объединений идет на
расширение спектра услуг, предоставляемых их участникам, на совершенствование
материальной базы и т.д.
Таким образом, прибыль от
предпринимательской деятельности некоммерческих организаций не распределяется
среди их учредителей и участников, а направляется на развитие фундаментальных
социальных сфер общества (просвещение, наука, культура, здравоохранение), на
укрепление социальной защиты населения.
2.2 Формы некоммерческих организаций
Некоммерческая организация может быть
создана в различных организационно-правовых формах.
Законом №7-ФЗ определены следующие формы
некоммерческих организаций:
Конкретный выбор формы зависит от целей,
ради которых образуется некоммерческая организация, ее отношений с
учредителями, возможных источников финансирования и др.
. Общественные и религиозные организации
(объединения)
Общественными и религиозными организациями
(объединениями) признаются добровольные объединения граждан, в установленном
законом порядке объединившихся на основе общности их интересов для
удовлетворения духовных или иных нематериальных потребностей. В частности,
религиозным объединением в Российской Федерации признается добровольное
объединение граждан Российской Федерации, иных лиц, постоянно и на законных
основаниях проживающих на территории Российской Федерации, образованное в целях
совместного исповедания и распространения веры.
Под общественным объединением понимается
добровольное, самоуправляемое, некоммерческое формирование, созданное по
инициативе граждан, объединившихся на основе общности интересов для реализации
общих целей, указанных в уставе общественного объединения.
Общественные объединения могут создаваться
в одной из следующих организационно-правовых форм:
− общественная организация -
основанное на членстве общественное объединение, созданное на основе совместной
деятельности для защиты общих интересов и достижения уставных целей
объединившихся граждан;
− общественное движение -
состоящее из участников и не имеющее членства массовое общественное
объединение, преследующее социальные, политические и иные общественно-полезные
цели, поддерживаемые участниками общественного движения;
− общественный фонд - не
имеющее членства общественное объединение, цель которого заключается в
формировании имущества на основе добровольных взносов, иных, не запрещенных
законом поступлений, и использовании данного имущества на общественно-полезные
цели;
− общественное учреждение - не
имеющее членства общественное объединение, ставящее своей целью оказание
конкретного вида услуг, отвечающих интересам участников и соответствующих
уставным целям указанного объединения;
− орган общественной
самодеятельности - не имеющее членства общественное объединение, целью которого
является совместное решение различных социальных проблем, возникающих у граждан
по месту жительства, работы или учебы, направленное на удовлетворение потребностей
неограниченного круга лиц, чьи интересы связаны с достижением уставных целей и
реализации программ органа общественной самодеятельности по месту его создания;
− политические общественные
объединения - общественное объединение, в уставе которого в числе основных
целей закреплены: участие в выборах в органы государственной власти и органы
местного самоуправления посредством выдвижения кандидатов и организации их
предвыборной агитации, участие в организации и деятельности указанных органов;
− союзы (ассоциации)
общественных объединений.
− Участники (члены)
общественных и религиозных организаций (объединений) не сохраняют прав на
переданное ими этим организациям в собственность имущество, в том числе на
членские взносы.
. Фонды
Фондом признается не имеющая членства
некоммерческая организация, учрежденная гражданами и (или) юридическими лицами
на основе добровольных имущественных взносов и преследующая социальные,
благотворительные, культурные, образовательные или иные общественно полезные
цели.
Попечительский совет фонда, порядок
формирования и деятельности которого определяется уставом фонда, является
органом фонда и осуществляет надзор за деятельностью фонда, принятием другими
органами фонда решений и обеспечением их исполнения, использованием средств фонда,
соблюдением фондом законодательства.
. Государственная корпорация
Государственной корпорацией признается не
имеющая членства некоммерческая организация, учрежденная Российской Федерацией
на основе имущественного взноса и созданная для осуществления социальных,
управленческих или иных общественно полезных функций. Государственная
корпорация создается на основании федерального закона.
Особенности правового положения
государственной корпорации устанавливаются законом, предусматривающим создание
государственной корпорации.
Для создания государственной корпорации не
требуется традиционных учредительных документов. В законе, предусматривающем
создание государственной корпорации, должны определяться: наименование
государственной корпорации, цели ее деятельности, место ее нахождения, порядок
управления ее деятельностью (в том числе органы управления государственной
корпорации и порядок их формирования, порядок назначения должностных лиц
государственной корпорации и их освобождения), порядок реорганизации и ликвидации
государственной корпорации и порядок использования имущества государственной
корпорации в случае ее ликвидации.
. Некоммерческие партнерства
Некоммерческим партнерством признается
основанная на членстве некоммерческая организация, учрежденная гражданами и
(или) юридическими лицами для содействия ее членам в осуществлении
деятельности, направленной на достижение целей, предусмотренных для
некоммерческих организаций.
Ярким примером некоммерческого партнерства
является фондовая биржа, которая создается только в форме некоммерческого
партнерства. Суть некоммерческого партнерства «Фондовая биржа» заключается в
следующем: фондовая биржа, являясь организатором торговли на рынке ценных
бумаг, содействует своим членам в осуществлении каждым из них деятельности, связанной
с торговлей ценными бумагами.
. Учреждения
Учреждением признается некоммерческая
организация, созданная собственником для осуществления управленческих,
социально - культурных или иных функций некоммерческого характера и
финансируемая полностью или частично этим собственником.
Имущество учреждения закрепляется за ним
на праве оперативного управления в соответствии с Гражданским кодексом
Российской Федерации.
В зависимости от целей деятельности
различаются:
− государственные органы и
органы местного самоуправления;
− благотворительные
учреждения;
− образовательные учреждения;
− учреждения культуры
(которые, в свою очередь, в зависимости от вида осуществляемой деятельности
могут подразделяться на музеи, библиотеки и т.п.);
− медицинские учреждения;
− научные учреждения;
− социальные учреждения.
Особенности правового положения отдельных
видов государственных и иных учреждений определяются законом и иными правовыми
актами.
. Автономная некоммерческая организация
Автономной некоммерческой организацией
признается не имеющая членства некоммерческая организация, учрежденная
гражданами и (или) юридическими лицами на основе добровольных имущественных
взносов в целях предоставления услуг в области образования, здравоохранения,
культуры, науки, права, физической культуры и спорта и иных услуг.
Учредители автономной некоммерческой
организации могут пользоваться ее услугами только на равных условиях с другими
лицами.
. Объединения юридических лиц (ассоциации
и союзы)
Объединение юридических лиц (ассоциация и
союз) - это членская организация, объединяющая любые как коммерческие,
некоммерческие, так и государственные организации в целях координации их
предпринимательской деятельности, а также представления и защиты общих
имущественных интересов.
Различают следующие формы объединений
юридических лиц:
− объединения коммерческих
организаций;
− объединения некоммерческих
организаций;
− объединения коммерческих и
некоммерческих организаций.
Ассоциация, союз могут быть созданы только
группой юридических лиц.
Члены ассоциации (союза) сохраняют свою
самостоятельность и права юридического лица и имеют право безвозмездно
пользоваться ее услугами.
. Потребительский кооператив
Потребительским кооперативом признается
добровольное объединение граждан и юридических лиц на основе членства с целью
удовлетворения материальных и иных потребностей участников, осуществляемое
путем объединения его членами имущественных паевых взносов.
Потребительский кооператив создается за
счет вступительных и паевых взносов, осуществляет торговую, заготовительную,
производственную, посредническую и иные виды деятельности.
Наименование потребительского кооператива
должно содержать указание на основную цель его деятельности, а также или слово
«кооператив», или слова «потребительский союз» либо «потребительское общество».
2.3 Эффективность работы
некоммерческих организаций
Развиваясь вследствие перемен в обществе,
некоммерческие организации, в определенной степени оказывают свое влияние на
его дальнейшее преобразование: предоставляют социальные услуги, содействуют
развитию культуры, науки, образования, занимаются благотворительностью, а также
осуществляют разноплановую общественно полезную деятельность. Они одновременно
являются и продуктом, и производителем социальных процессов.
Достаточно часто звучит вопрос, а что же
является результатом деятельности НКО и как этот результат, вообще, можно
измерить?
Принято выделять три уровня результатов
НКО: продукт, результат и эффект. Рассмотрим основное значение каждого из них.
. Продукт - это то, что конкретные
люди получили от деятельности НКО. В приведенном выше примере непосредственное
обучение является продуктом.
. Результат - это то, что изменилось в
результате потребления продукта: поведение, уровень благосостояния или жизнь
целевой группы
. Эффект - это то, что изменилось в
структуре проблемы. Деятельность любой некоммерческой организации связана с
решением какой-то общественной проблемы. Если у деятельности НКО есть
результат, то можно надеяться и на эффект, т.е. долгосрочные, структурные
изменения. Оценка эффективности деятельности некоммерческих организаций - это
значимый вопрос, как для самих общественников-практиков, так и доноров,
финансирующих социальные проекты и для тех, кто исследует процессы в третьем
секторе.
Процедура оценки инвестиционных проектов
некоммерческой организации имеет две составляющие: экономическую и социальную.
Экономическая составляющая основывается на анализе финансовых выгод от их
реализации, а социальная составляющая - на оценке социальных результатов от
выполненной работы.
И если результатом деятельности НКО
считать достижение «социального эффекта», то насколько проблемно измерить
данный эффект, измерить вклад конкретной организации. Уместно встает вопрос и о
том, как сравнить эффективность деятельности организаций, производящих различные
социальные эффекты. При этом, конечно, будет неправильным, если полагать, что
«социальный эффект» есть результат деятельности только НКО.
В отличие от коммерческих предприятий
анализ эффективности работы некоммерческих организаций носит двойственный характер.
Помимо экономической оценки, большое значение придается анализу социальных
результатов, которые отражают степень достижения основных целей деятельности
некоммерческой организации. В силу того, что основной целью деятельности
некоммерческой организации является не извлечение прибыли, а реализация
общественно-полезных функций, оценка носит ярко выраженную специфику.
Человек, в ходе своей экономической
деятельности, создает частные и общественные блага. Частные блага - это
товары (работы, услуги), удовлетворяющие индивидуальный спрос. Процесс
производства и реализации частных благ наиболее эффективен на основе рыночных
механизмов с помощью коммерческого сектора. Общественные блага - это
товары (работы, услуги), удовлетворяющие общественные потребности. Общественные
блага бывают полностью общественными, созданными на основе исключительно
общественных потребностей (дорога, уличное освещение) и частично
общественными, созданными с учетом индивидуального спроса (образование,
здравоохранение). Процесс производства полностью общественных благ при рыночной
экономике возлагают на государство. В коммерческом секторе, где производятся
частные блага, мерой ценности продукта являются деньги, а механизмом измерения
ценности - рынок. Готовность граждан заплатить за продукт ту или иную цену и
является оценкой ценности коммерческого продукта (с учетом всех экономических и
социальных эффектов, которые даст этот продукт индивиду).
В общественном секторе, где производятся
общественные блага, мерой ценности создаваемых благ также является стоимость
ресурсов, которые общество готово заплатить за их создание. Ценность
создаваемых в НКО частных благ складывается из доходов от: реализации товаров
(работ, услуг); членских взносов, а так жеразличных спонсорских взносов.
Членские и спонсорские взносы являются своеобразной формой реализации товаров
(работ, услуг) в некоммерческих организациях. Ценность создаваемых в НКО
общественных благ складывается из доходов от: государственных субсидий;
грантов; благотворительных взносов (пожертвований); волонтерского труда.
Уровень производства общественных благ в некоммерческих организациях можно
оценить при помощи Социального индекса (SI), который показывает долю
общественных благ в общей сумме произведенных благ.
Для полностью коммерческих организаций SI
= 0, а для исключительно благотворительных организаций, производящих только
общественные блага, SI = 1. Социальный индекс также используется для оценки
уровня самофинансирования некоммерческих организаций. Чем больше значение
социального индекса, тем ниже уровень самофинансирования некоммерческой
организации.
Очевидно, что чем больше общественных благ
создается в некоммерческом секторе, тем более он эффективен. И люди оценивают
его полезность (производимый им совокупный экономический и социальный эффект),
направляя тем или иным способом ресурсы на создание общественных благ.
Конечно, здесь есть и другой момент.
Оценка эффективности некоммерческих организаций через объемы финансирования
вызывает порой сильное отторжение у общественников, которые имеют дело с
различными социальными и духовными проблемами (помогающими людям с
ограниченными возможностями, развивающими национальную культуру, спасающими
экологию и т.д.). Ведь они привыкли говорить о социальном эффекте и делать упор
на измерение социального эффекта, как показателя эффективности деятельности.
Тем не менее, эффективность является
оценочной категорией, выражающей отношение ценности продукта к ценности затрат.
Все что угодно может оказаться неэффективным для человека с соответствующей
системой ценностей. Наши понятия об эффективности и неэффективности
определяются тем, что мы ценим. Реальным объектом критики в этом случае должна
быть либо система ценностей людей, либо права, которыми они пользуются.
Чтобы можно было сравнивать эффективность
некоммерческого сектора в разных условиях, например, в Беларуси, Украине,
Литве, Германии, США и т.д., где разный уровень развития экономики, разная
численность населения и разные правовые правила игры, давайте введем такой
показатель, как «Уровень социальной ценности производимых общественных благ».
Уровень социальной ценности (УСЦ) - доля ресурсов, направляемых на создание
общественных благ, в общем объеме находящихся в распоряжении ресурсов.
Граждане, бизнес, правительство оценивают
совокупный социальный эффект, создаваемых некоммерческим сектором общественных
благ, выделяя на их создание часть имеющихся в своем распоряжении ресурсов. И
чем больше доля ресурсов направляется на общественное благо, тем больше уровень
доверия и оценки оказывается некоммерческому сектору, тем более эффективным он
признается общественностью.
Уровень социальной ценности для граждан
общественных благ, создаваемых некоммерческим сектором, можно оценить как
отношение объема частных пожертвований плюс стоимость волонтерского труда,
деленное на общие доходы населения. Другими словами, сколько имеющихся в
распоряжении граждан ресурсов они готовы заплатить за создание НКО общественных
благ.
Уровень социальной ценности для
правительства, создаваемых некоммерческим сектором общественных благ, можно
оценить как отношение объема государственных субсидий, деленное на доходы
государственного бюджета. Другими словами, сколько имеющихся в распоряжении
государства ресурсов они готовы направить на создание НКО общественных благ.
Уровень социальной ответственности бизнеса
можно оценить как отношение объема благотворительных пожертвований, деленное на
объем прибыли (в Беларуси на благотворительные цели бизнес может тратить
средства исключительно из прибыли).
Эффективность управления затратами
Во многих странах некоммерческие
организации называют «non-profit», то есть неприбыльными. От этого
англоязычного термина пошел миф о том, что некоммерческие организации не должны
иметь прибыли.
НКО являются неприбыльными организациями
потому, что извлечение прибыли не является целью их деятельности. Возникающая в
ходе деятельности НКО прибыль не делится между учредителями, а направляется на
развитие и создание общественных благ. Любые организации, даже некоммерческие,
обязательно должны работать с прибылью. Это определяется, прежде всего, тем,
что расходы имеют устойчивую тенденцию к превышению доходов, и со временем эту
организацию ожидает неминуемое банкротство или ликвидация, а для ее развития,
как известно, нужны свободные средства или источник прибыли.
Затраты и прибыль НКО
Постоянные организационные издержки - это
издержки, которые идут на общеорганизационные расходы (аренда офиса, оплата
труда персонала, связь, амортизация и т.д.). Переменные производственные
издержки - это издержки, которые идут непосредственно на создание частных и
общественных благ (материалы, гонорары, услуги производственного характера и
т.д.). В целом затраты (полные издержки) - это сумма постоянных организационных
и переменных производственных издержек.
Прибыль - часть доходов НКО, которая идет
на создание активов, развитие. Другими словами, доходы на покупку оборудования,
на обучение персонала, стоимость волонтерского труда и т.д. Прибыль НКО
складывается из прибыли, возникающей в ходе создания частных благ (называют эту
часть прибыли коммерческой), и прибыли, возникающей в ходе создания
общественных благ (называют ее социальной).

,
где 
- коммерческая прибыль, Чб - частные блага

,
где 
- социальная прибыль, Об - Общественные блага.
Показатель общей рентабельности организации:
В целях финансовой стабильности некоммерческих организаций их
общая рентабельность должна быть выше нуля. Тем не менее, возможны ситуации,
когда некоммерческая организация реализует проекты с отрицательной или нулевой
социальной прибылью, т.е. когда создание общественных благ убыточно для
организации. В этом случае финансовая стабильность некоммерческой организации
должна обеспечиваться за счет создания частных благ.
Таким образом, эффективность деятельности НКО определяется
отношением оценки результата к оценке затрат. И как оценивается деятельность
организации: эффективно или неэффективно - зависит от людей. Ибо на выбор
проектов некоммерческих организаций в большинстве случаев оказывают влияние
решения третьих лиц (государства, благотворительных фондов, спонсоров и др.), а
также ограничения на получение и распределение прибыли.
На современном этапе развития российской экономики некоммерческие
организации призваны стать устойчивым звеном взаимодействия государственных
структур и бизнеса в процессе осуществления социально-значимых проектов.
3.
Модели управления качеством продукции некоммерческих организаций на примере
кинематографии.
3.1
Общая характеристика рынка киноиндустрии
Кинорынок имеет свои специфические отличия от других рынков,
где уровень предложения товаров и услуг напрямую зависит от объемов их
производства. Если, например, в промышленности для удовлетворения спроса
широкого круга потребителей необходимо затрачивать сырье, материалы и денежные
средства пропорционально росту объема продукции, то в киноотрасли процесс
насыщения рынка происходит иначе. Для расширения кинообслуживания потребителей
затрачивается значительно меньшая сумма средств, которая используется
преимущественно на печатание дополнительных копий фильма. Поэтому обеспечение
потребности зрителей в киноуслугах может быть расширено и без числа
производимых фильмов. Кроме того, возможность дублирования кинокартин на
иностранные языки позволяет экспортировать их за границу. При этом спрос и
предложение на отечественную кинопродукцию не снижаются.
Кинопродукция является неотъемлемой и определяющей частью
кинорынка. Следуя маркетинговой концепции, действия производителей
кинопродукции и посредников должны быть направлены на удовлетворение культурных
потребностей и обеспечение досуговой деятельности населения.
Определяя концепцию маркетинга кинорынка, необходимо
подчеркнуть, что маркетинг в кино - это взаимосвязанный, двуединый процесс: с
одной стороны, это тщательное изучение мотивов и желаний многомиллионной
аудитории, ориентация фильмопроизводства на ее требования, адресность
выпускаемых фильмов; с другой стороны, активное воздействие на рынок и
существующий спрос при помощи рекламно-информационной деятельности, а также на
формирование потребностей и зрительских предпочтений.
В качестве продукта выступает фильм - аудиовизуальное
произведение, созданное в художественной (хроникально-документальной,
научно-популярной, учебной, анимационной, телевизионной и т.д.) форме. Главные
направления в ценовой политике формируются на этапе передачи (покупки) прав на
фильм и предложения услуг конечным потребителем. Прокат фильма - это
распространение фильма в любой форме и любыми способами (продажа оптом и / или
в розницу, сдача в прокат и т.д. копий фильмов, воспроизведенных на каком-либо
носителе). Посредником на кинорынке выступает прокатчик фильма, который
представляет собой физическое или юридическое лицо, имеющее право проката
фильма и осуществляющее или организующее его прокат. Прокатчик в
зависимости от формы прав (видеоправа, театральный прокат и т.д.)
соответственно выбирает и способ их реализации. Так, театральный прокат
подразумевает использование кинофильма только для прямого показа в кинотеатрах,
имеющих лицензию на данный вид деятельности, которые открыты для широкой публики
постоянно и которые берут входную плату за просмотр кинофильма.
В системе кинематографического процесса связь производства и
потребления осуществляется с помощью целого ряда посредствующих звеньев и
влияющих на эти звенья факторов. Характерной особенностью маркетинга кинорынка
является то, что посредники при предложении на рынке киноуслуг и кинопродукции
должны учитывать не только платежеспособность и запросы потребителей, но и
готовность потребителей потратить свое свободное время на потребление этих услуг.
Индустрия услуг обладает важной особенностью и отличается от
производственной отрасли тем, что большинство услуг предоставляется здесь
людьми, тогда как промышленность шире использует работу машин. Действия одних
людей для других приводят к различным результатам, неодинаковым и непохожим на
предшествующие. Услуги менее однородны и менее стандартизованы. Это означает,
что результаты покупки услуги могут быть неопределенными. Неопределенность
результата услуги создает ситуацию, при которой покупатель не имеет возможности
управлять и влиять на результат. Поэтому, «покупая услугу, покупатель
испытывает более сильный риск, чем при покупке товара».
Владельцы современных кинотеатров стремятся
продемонстрировать качество своих услуг путем материальных свидетельств. Так,
например, перед просмотром боевика Джона Ву «Без лица» (прокатчик - компания
«Ист-Вест») в холле была воссоздана настоящая больничная палата, в которой
посетители могли во всех подробностях рассмотреть «человека без лица». Также
показчики выбирают различные способы предоставления услуг: при театральном
прокате на передний план выходят внекинематографические услуги (уютные и
современные интерьеры, удобные кресла в зале, музыка в фойе). Кинотеатры
предоставляют зрителю широкий жанровый репертуар, демонстрацию фильмов в
оригинале, с субтитрами или синхронным переводом. Степень привлекательности
конкретного кинотеатра на рынке культурных услуг, его конкурентоспособность
теснейшим образом связаны с тем, насколько он способен удовлетворить запросы сферы
потребления
Непосредственная цель кинопотребления, связанная с отдыхом,
разрядкой и т.д., выступает как вторичная непосредственная цель
фильмопроизводства, ориентированного на рынок. Это закономерно, поскольку
производство достигает своих целей через взаимодействие со сферой потребления.
Необходимость включать потребителя во взаимодействие нацеливает производителя
на удовлетворение зрительских запросов.
На кинорынке продукт (кинокартина) представляет собой
законченное аудиовизуальное произведение. Для того чтобы потребитель смог
увидеть это произведение, необходима специальная воспроизводящая аппаратура.
Следовательно, потребитель (зритель) не может оценить полностью продукт
непосредственно на стадии принятия решения о покупке.
В задачу продавца в данном случае входит предоставление
конечному потребителю как можно больше информации о кинокартине, заинтересовать
его. Очевидно, что зритель смотрит фильмы не ради самого потребления и
связанных с ним целей фильмопроизводства. Из похода в кино или просмотра фильма
на домашнем экране он стремится извлечь определенную полезность, это может быть
отдых, эстетическое наслаждение, духовное обогащение - снятие стресса и т.д.
Зрительское потребление, по сути, является сферой непосредственного
производства определенного социального эффекта, связанного с эмоциональным и
физическим, моральным и интеллектуальным состоянием человека.
Одним из важнейших постулатов маркетинга является убеждение,
что покупатель осуществляет поиск не товара, а ценности или решения проблемы,
которые может обеспечить товар. Выбор потребителя направлен не на товар как
таковой, а на ценность, которую он ожидает получить от его использования.
Эта ценность определяется тем, что зрители смотрят фильм для
того, чтобы испытать определенное эмоциональное состояние, чувства. Таким
образом, в интересах прокатных компаний охарактеризовать свой целевой рынок
через ключевую ценность.
Для удовлетворения определенной потребности или осуществления
определенной функции у покупателя обычно существует возможность выбора среди
различных товаров: разные товары могут удовлетворять одну и ту же потребность.
Востребуемую ключевую ценность на кинорынке - получение эмоций - могут
восполнить при помощи того же аудиовизуального воспроизведения, например,
игровые автоматы, компьютерные игры.
Заменяющие товары представляют собой часть целевого рынка,
хотя временами они создаются в секторах, весьма удаленных технологически.
Только анализ возможного использования различных товаров позволяет определить
диапазон товаров, которые может приобрести потребитель для осуществления
конкретной функции.
У каждого блага существует базовая функциональная ценность
или полезность, к которой можно добавлять дополнительные услуги, создающие
вторичную полезность самой разной природы.
Дополнительные услуги на кинорынке варьируются в зависимости
от канала распределения кинокартины. На этапе театрального проката
(демонстрация картины в кинотеатре) зрителям предоставляется разнообразный
комплекс независимых от кинопроцесса услуг: буфет, музыка в фойе кинотеатра,
система воспроизведения стереозвука, удобные кресла в зрительном зале и
кресельные системы перевода. Посетитель кинотеатра получает добавленные услуги
помимо ожидаемого зрелища на экране. Современные кинотеатры выполняют роль
развлекательных комплексов. Посетитель может не только посмотреть фильм и
получить эмоции, но и приятно и разнообразно провести время. Таким образом,
владельцы кинотеатров предоставляют улучшенную услугу (например, просмотр
фильма без перевода), отвечающую потребностям сверх обычных ожиданий.
Исследуем потребительские характеристики кинопродукции в
качестве товара и в качестве услуги. Под услугой подразумевается любая
деятельность, которую одна сторона может предложить другой, неосязаемое
действие, не приводящее к владению чем-либо; предоставление услуги может быть
связано с материальным продуктом.
Услуги обладают четырьмя основными характеристиками, которые
в значительной степени влияют на разработку маркетинговых программ:
неосязаемость, неотделимость от источника, непостоянство и невозможность
хранения.
Следуя данному определению услуг, выходы кинокартины в
различных формах на рынок можно классифицировать следующим образом:
а) чистые услуги;
б) больше товары, чем услуги
Фильм представляется потребителю в виде чистой услуги при демонстрации
фильма в кинотеатре и по телевидению. В отличие от материальных товаров фильм
нельзя увидеть, услышать до тех пор, пока не будет приобретен билет в кинотеатр
или включен телевизор. Фильм демонстрируется на экране и просматривается
конечным потребителем (зрителем) одновременно в отличие от материальных товаров
(например, видеокассет с записью), которые производятся, хранятся,
распространяются через сеть многочисленных посредников. Так как конечный
потребитель является непосредственным участником процесса обслуживания, то
взаимодействие продавца услуги (кинотеатры, каналы телевидения) и потребителя -
отличительная характеристика услуги как товара.
Непостоянство качества услуг определяется в зависимости от
того, какой кинотеатр или канал телевидения их предоставляет и в какое время. В
значительной степени качество самого фильма определяет исходный материал
(например, магнитная лента), на котором записана копия фильма. Это объясняется
тем, что правообладателями кино- и телеправ на кинокартину могут быть разные
компании.
Кинопродукция, которая выпускается на разных носителях
(например, видеокассеты являются магнитным носителем), больше обладает
свойствами товара, нежели услуги.
Во-первых, конечный потребитель приобретает конкретный -
товар, обладающий качественными характеристиками (качество записи фильма),
количественными характеристиками (исчисляется в штуках), имеет товарное
оформление и продолжительность использования (надежность, долговечность).
Во-вторых, конечный потребитель не может сразу посмотреть то,
что записано на магнитном носителе. Качество фильма и получение удовлетворения
от него оценивается только после просмотра.
В-третьих, если провести классификацию данного продукта, то
он относится к товарам повседневного спроса. Конечный потребитель может
приобретать видеокассеты с записью, с одной стороны, под воздействием импульса,
т.е. без предварительного планирования покупки. С другой стороны, любители кино
могут целенаправленно искать предварительно выбранный фильм.
Специфика кинопродукции как объекта маркетинга состоит в том,
что каждый канал распределения предоставляет один и тот же ключевой товар
(фильм), но в разнообразных формах его доведения до потребителя. Зрители
сообразно предложению рынка оценивают свои финансовые возможности, наличие свободного
времени и желания. И если раньше поход в кинотеатр был массовым увлечением
населения, то теперь менее обеспеченные граждане не могут себе позволить
посмотреть фильм в современно обустроенном кинотеатре.
3.2
Математические модели составления долгосрочного плана
Задачи математического моделирования социально-экономических
процессов необходимо проводят к требованию упрощения описания исследуемого
объекта. Реальные процессы настолько сложны и подвержены влиянию столь большого
числа различных факторов, что учесть все возможные закономерности не
представляется возможным. Упрощение механизмов социально-экономических
процессов вызывается также ограниченностью исходных данных о функционировании
объекта. С другой стороны упрощение модели ведет к снижению точности
результатов, что особенно важно при составлении долгосрочных прогнозов.
Выделение факторов существенно влияющих на функционирование объекта
производится часто произвольно, на основании представлений исследователей о
социально-экономических закономерностях. В результате такого отношения к
построению моделей социально-экономических процессов количественные показатели,
рассчитанные по таким моделям, имеют сомнительную ценность. В связи с этим
задача определения методики долгосрочного планирования является актуальной
задачей.
Далее рассмотрим вопросы математического моделирования для
кинематографической отрасли.
Цели составления долгосрочного плана
Для определения конкретных методов моделирования и
прогнозирования развития отрасли важно определить, каковы цели составления
долгосрочного плана.
Долгосрочный план может быть составлен, исходя из
необходимости осуществления координации различных агентов внутри отрасли
(принцип холизма). Такой план называется координирующим. Необходимость
координации диктуется различием целей отрасли и каждого из предприятий, а также
ограничением ресурсов в отрасли. Альтернативным координирующему плану является план
потенциальных возможностей. Такой план составляется для описания
возможностей развития отрасли, исходя из текущего состояния как самой отрасли,
так и социально-экономической политики. План потенциальных возможностей
позволяет обосновать возможность достижения отраслью конкретных результатов за
оговоренные сроки планирования. В зависимости от того, насколько корректны предположения
о состоянии отрасли, каким образом будут развиваться события в России и за
рубежом, как будет меняться уровень технологического оснащения отрасли, эти
конкретные результаты могут существенно корректироваться.
Особенности социально-экономического развития
Важным фактором, влияющим на выбор средств моделирования,
является предсказуемость социально-экономической ситуации как в отрасли, так и
в России в целом. Если параметры, характеризующие социально-экономическую
ситуацию, постоянны, взаимным влиянием их на показатели киноиндустрии можно
пренебречь, то можно использовать стационарные модели. Чувствительность их к
изменениям экзогенных параметров: показателей экономического роста в России,
параметрам технологического прогресса и др., позволяет оценить их пригодность к
использованию в долгосрочном прогнозировании. При этом даже небольшие изменения
исходных данных при большом горизонте планирования могут настолько существенно
влиять на прогнозные показатели, что обесценит данный прогноз.
В этом случае, так же, как и в случае количественной
нестационарности, когда параметры, характеризующие отрасль и ее окружение,
детерминированно или случайно меняются во времени, для моделирования развития
отрасли достаточно использовать регрессионные (в том числе аддитивные) модели.
При этом линейная модель экономически и статистически обоснована; экономический
и статистический смысл коэффициентов в полиномиальных и аддитивных
нелинейных моделях требует своего обоснования. Так, например, экономический
смысл показателя при квадрате объясняющей переменной в квадратичной модели не
вполне ясен.
Реально, на функционирование отрасли оказывает влияние не
только количественные, но и качественные показатели: это и неформализуемые
тенденции государственного управления, и технические инновации, и особенности
творческой реализации. Предсказать такие качественные изменения и их влияние на
количественные результаты развития отрасли - сложная вероятностная задача.
Поэтому для моделирования развития отрасли в этих условиях целесообразно вместо
прогноза конкретных параметров определить направления развития и их ожидаемую
эффективность.
Конечно, если требуется составить план потенциальных
возможностей, достаточно воспользоваться линейной или экспоненциальной
многофакторной моделью, включающей экзогенные и эндогенные параметры, но
следует учитывать, что такой план потеряет свою актуальность в течение
ближайших двух-трех лет.
Моделирование
направлений развития отрасли
Работа по составлению математического обеспечения
долгосрочного планирования проводится по следующим направлениям:
· Регрессионный анализ, позволяющий по
известным рядам данных осуществить экстраполяцию (прогноз) показателей на
краткосрочный период;
· Корреляционный анализ, позволяющий
определить тесноту статистических связей между показателями; использование
корреляционного анализа позволяет определить наличие или отсутствие
взаимосвязей между рядами данных, снизить размерность вектора критериев в
задачах определения эффективности работы отрасли; использование корреляционного
анализа выявляет существование статистической, но не причинно-следственной
взаимосвязи между параметрами;
· Вариационный анализ позволяет выявить
проблемы, связанные с распределением параметров развития отрасли; структурный
анализ не требует наличия временных рядов - исследование ведется по
существующему распределению показателей относительно других параметров -
жанровому, географическому, внутриотраслевому и пр.
· Критериальный анализ позволяет выявить
основные цели, используемые в текущей деятельности по планированию работы
отрасли; найти взаимосвязь между декларируемыми и реальными целями, определить
возможности изменения достижений отрасли в направлении данной цели;
· Анализ рисков позволяет определить
зависимость полученных результатов от внешних факторов и сформулировать
основные риски развития отрасли.
· Использование методов теории оптимального
управления для управления качеством кинопродукции:
o Определение горизонта
планирования;
o Определение распределения
финансирования по направлениям работ;
o Определение параметров
эффективности работы отрасли.
· Разработка математических методов теории
коллаборативной экспертизы для проведения экспертного анализа направлений
развития киноиндустрии
o Разработка
аксиоматической теории экспертизы;
o Разработка на ее основе
методики анализа противоречивых экспертных оценок с использованием специальных
метрик
o Анализ результатов опроса
с использованием разработанной методики.
Исследования в трех перечисленных направлениях позволят
разработать работоспособный координирующий план долгосрочного развития отрасли.
При этом, все три направления связаны друг с другом, поскольку результаты
экспертного оценивания и статистического анализа являются исходными данными для
решения оптимизационных задач.
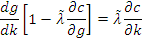
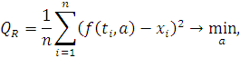
Рассмотрим ряд частных задач построения долгосрочного плана.
Регрессионный анализ.
Постановка задачи. Пусть заданна случайная
величина параметризованная относительно параметра t. Отметим, что t
может быть как реализацией другой случайной величины, так и неслучайным
параметром, например, временем. Отметим также, что недетерминированный характер
X может зависеть от ряда параметров, которые не учитываются в
исследовании.
Случайная величина X задана зависимостью ее от значений
параметра t. Эта зависимость может быть не функциональной, одному и тому
же значению параметра t может соответствовать несколько реализаций xi.
Полученный таким образом ряд данных требуется описать функцией f (t, a), зависящей как от
значений параметра t, так и от вектора коэффициентов a=(a0,…, an). Функция f (t, a) задана с точностью до
вектора a, критерием оптимальности выбора коэффициентов является средняя
квадратическая ошибка аппроксимации:
где (ti, xi) - пары чисел,
формализующие ряд данных, n - количество этих пар чисел (объем выборки).
Задача выбора коэффициентов a аналитически решается для любой
дробно-рациональной функции f (t, a). Как правило, выбирают
линейную функцию f (t, a) - в неявном предположении о нормальности
распределения X, - либо полином второго или третьего порядка, так как
статистическая значимость коэффициентов при увеличении порядка полинома
снижается за счет увеличения остаточной дисперсии ошибки
где Qe - остаточная сумма квадратов,
характеризующая отклонение от линии регрессии.
Полезной характеристикой качества аппроксимации является
коэффициент детерминации, вычисляемый по формуле
При небольшом объеме выборки эффективность прогноза при высоком R2 обеспечивается при допущении о неизменности распределения X.
К сожалению, это допущение для современной ситуации в кинематографической
отрасли представляется сомнительным для большинства экономических критериев в
связи с финансовым кризисом. Для учета влияния финансового кризиса требуется
вводить специальные поправочные коэффициенты. Для расчета этих коэффициентов
требуются дополнительные данные за 2009 год.
Регрессионный анализ по временным рядам можно провести на примере
данных по объему государственной финансовой поддержки кинопроизводства (Таблица 1). Данные охватывают период с 1999 по 2008 годы. Объем выборки
очень мал - 10 точек, поэтому требуется статистическая значимость коэффициентов
аппроксимирующей функции может быть достигнута только при больших (0,95)
значениях коэффициента детерминации. Существенное увеличение коэффициента
детерминации может быть достигнуто при учете данных с 2001 года (см. Рис. 1 и Рис. 2), т.е. за период относительной
экономической стабильности в России. Прогноз по квадратической функции в
Таблице 1 рассчитан именно для ряда данных с 2001 года.
Таблица 1. Данные по государственной поддержке
кинопроизводства и результаты прогноза по линиям регрессии на 2009, 2010 гг.
|
год
|
Объем
государственной поддержки (млн. руб.)
|
|
данные
|
прогноз по
линейной регрессионной модели
|
прогноз по
квадратической регрессионной модели
|
|
1999
|
183,5
|
|
|
|
2000
|
335,4
|
|
|
|
2001
|
476,7
|
|
|
|
2002
|
1044,6
|
|
|
|
2003
|
1543,4
|
|
|
|
2004
|
1834,5
|
|
|
|
2005
|
2097,9
|
|
|
|
2006
|
2359,8
|
|
|
|
2007
|
2641,3
|
|
|
|
2008
|
2740,8
|
2936,3
|
2740,1
|
|
2009
|
|
3251,6
|
2811,6
|
|
2010
|
|
3566,9
|
2821,7
|
Рис. 1. Линейный и квадратический тренды, рассчитанные по
периоду с 1999 года
Рис. 2. Квадратический тренд, рассчитанный по периоду с 2001
года
По результатам регрессионного анализа можно сделать выводы о
монотонном снижении темпов роста государственной поддержки кинопроизводства.
Линейный тренд позволяет сделать оптимистический прогноз на 2009, 2010 годы.
Более пессимистичный прогноз может быть сделан на основе квадратического тренда.
Сравнение с реальным финансированием кинопроизводства на 2009 год (ожидаемое
значение 2445 млн. руб. в сравнении с прогнозом по модели 2812 млн. руб.)
показывает, что статистические прогнозы на среднесрочные периоды не дают
надежных результатов, поскольку реальные значения существенно зависят от
состояния экономики России, что, к сожалению, трудно прогнозируемо.
Другая проблема возникает при регрессионном анализе рынка
кинопоказа. Согласно модели стратегического анализа рынка ADL/LC этап роста
рынка характеризуется экспоненциальной функцией показателей рынка от времени.
Так, например, число цифровых релизов в российском прокате за год
увеличивается. Рассмотрим развитие мультиплексов в России. Для построения
аппроксимирующей функции предложены четыре варианта: линейный, квадратический,
степенной и экспоненциальный. Результаты сведены в таблицу 2. Видно, что
экспоненциальная функция соответствует слишком оптимистическому прогнозу. Это
свидетельствует о наличии внешних проблем на рынке, которые тормозят развитие
мультиплексов. Наилучшими аппроксимациями являются квадратическая и близкая к
ней (показатель степени 2,03) степенная. Следует, однако, отметить, что,
поскольку расчет экспоненциальной и степенной аппроксимаций требует
линеаризации функций (см. таблицу 3), а соответственно и изменения критерия
оптимизации, то сравнение коэффициентов детерминации для этих функций между
собой и с полиномиальными функциями, некорректно. В данном примереR2 является только
справочной величиной, косвенно характеризующей статистическую значимость
коэффициентов регрессии.
Таблица 2. Развитие мультиплексов в России: прогноз на основе
регрессионной модели
|
год
|
число
кинотеатров
|
число залов
|
число залов в
среднем на один кинотеатр
|
прогноз на
основе регрессионной модели
|
|
|
|
|
линейная
|
квадратическая
|
степенная
|
экспоненциальная
|
|
2002
|
1
|
9
|
9
|
|
|
|
|
|
2003
|
2
|
20
|
10
|
|
|
|
|
|
2004
|
6
|
61
|
10,17
|
|
|
|
|
|
2005
|
13
|
127
|
9,77
|
|
|
|
|
|
2006
|
22
|
205
|
9,32
|
|
|
|
|
|
2007
|
30
|
277
|
9,23
|
|
|
|
|
|
2008
|
42
|
386
|
9,19
|
346,68
|
386,50
|
371,34
|
564,99
|
|
2009
|
|
|
|
410,57
|
506,14
|
487,27
|
1064,77
|
|
2010
|
|
|
|
474,47
|
641,72
|
619,23
|
2006,63
|
Таблица 3. Линеаризация степенной и экспоненциальной
зависимостей в методенаименьших квадратов
|
вид
аппроксимирующей функции
|
уравнение
аппроксимирующей функции
|
замена
переменных
|
|
степенная
|
|
|
|
|
экспоненциальная
|
|
|
|
Проводить регрессионный анализ рядов данных объемом меньше 7
статистически нецелесообразно в связи с экстремально низкой степенью свободы
уравнения регрессии.
Рис. 3. Регрессионные модели прогноза числа залов в
мультиплексах с 2002 по 20010 гг.
Рис. 4. Динамика изменений среднего количества залов в
мультиплексах
Корреляционный анализ
Постановка задачи. Пусть даны две случайные
величины X и Y. Если распределение одной из них не зависит от
реализации второй, то такие случайные величины являются независимыми. Требуется
проверить, являются ли данные две случайные величины зависимыми по их реализациям,
представляющим собой два согласованных ряда данных: (xi, yi). Числовая
характеристика позволяющая оценить зависимость между двумя величинами -
коэффициент корреляции (корреляция Пирсона). Он рассчитывается по формуле.
где
, 
- средние значения рядов данных.
,
- дисперсии рядов данных. Коэффициент
корреляции может принимать значение между -1 и 1.
Если величины X и Y независимы, то r,
вычисленный по их реализациям близок к нулю. В случае, когда
можно говорить о существовании
функциональной линейной зависимости между величинами X и Y.
В ходе корреляционного анализа, основанного на вычислении
корреляции Пирсона, следует учитывать, что:
· Коэффициент r определяет степень линейной взаимосвязи
величин. Нельзя делать вывод о независимости величин, если
: эта зависимость может быть существенно нелинейной.
· Величины X и Y должны быть измеримы. В случае
балльных оценок, инвариантных к монотонным преобразованиям, результат
использования коэффициента Пирсона может быть произвольным. Такая ситуация
возникает при обработке экспертных оценок.
· Нет никаких неявных предположений о виде распределений величин X
и Y.
Рассмотрим два примера использования корреляционного анализа
для задач планирования в кинематографической отрасли:
1. Учет бюджета кинофильма при оценке его
экономической эффективности
Одной из целей кинопроката является сбор. В отчете о
достижениях киноиндустрии указывается, что одним из показателей успешности
развития отрасли является рост производственных и рекламных бюджетов кино.
Можно ли считать эти два показателя независимыми или производственный бюджет и
сборы взаимосвязаны. Для проверки этого положения проведен корреляционный
анализ, результаты которого показаны в таблице 4.
Таблица 4. Данные о кинофильмах с высоким бюджетом и
корреляции показателей этих кинофильмов
|
№
п/п
|
бюджет, млн долл.
|
копии
|
сбор, млн руб.
|
зрители, млн
|
корреляционная
матрица (в скобках указано наблюдаемое значение критерия Стьюдента)
|
|
|
|
|
|
|
копии
|
сбор
|
зрители
|
|
1
|
16
|
1107
|
876,149
|
5,39
|
бюджет
|
0,59
|
0,35
|
0,30
|
|
2
|
15
|
893
|
118,625
|
0,721
|
|
(2,53)
|
(1,29)
|
(1,07)
|
|
3
|
12
|
377
|
54,205
|
0,341
|
копии
|
-
|
0,76
|
0,74
|
|
4
|
9,6
|
174
|
19,884
|
0,143
|
|
|
(4,07)
|
(3,85)
|
|
5
|
7,8
|
219
|
26,313
|
0,252
|
сбор
|
0,76
|
-
|
1,00
|
|
6
|
6,7
|
408
|
64,778
|
0,586
|
|
(4,07)
|
|
(44,51)
|
|
7
|
6
|
501
|
42,447
|
0,307
|
зрители
|
0,74
|
1,00
|
-
|
|
8
|
6
|
528
|
143,35
|
1,052
|
|
(3,85)
|
(44,51)
|
|
|
9
|
5
|
436
|
26,42
|
0,188
|
|
|
|
|
|
10
|
5
|
50
|
1,249
|
0,006
|
|
|
|
|
|
11
|
5
|
475
|
196,98
|
1,34
|
|
|
|
|
|
12
|
5
|
702
|
672,643
|
4,683
|
|
|
|
|
Критическое значение критерия Стьюдента для уровня значимости
0,05 составляет 2,69. Это означает, что гипотезу о значимости коэффициента
корреляции можно принять только для взаимосвязи числа копий, сбора и количества
зрителей. Эти три параметра взаимосвязаны между собой. Бюджет фильма линейно
независим от всех этих трех параметров.
Рис. 5. Данные о бюджете и кассовых сборах кинофильмов,
выпущенных в 2008 году.
Вывод - производственный бюджет кинофильмов и сборы - два
независимых критерия, - должен быть проведен на большем количестве данных.
Представленный здесь результат может рассматриваться, как предварительный из-за
небольшого объема выборки (желательный объем выборки - 100-200 картин).
2. Исследование рейтинговой оценки производителей
премьерных сериалов
Оценка проводится по количеству выпущенных в федеральный эфир
наименований. Такой рейтинг представляет собой двумерный вектор, включающий для
каждой компании количество выпущенных сериалов и количество каналов. Требуется
проверить, являются ли эти два критерия независимыми или можно использовать
один из них в качестве рейтинговой оценки.
Значение коэффициента корреляции получено равным 0,71. Такое
значение соответствует утверждению, что «Корреляция между указанными
показателями является сильной, однако функциональной связи между ними нет».
Второй критерий может быть использован в качестве уточняющего (т.е. с
существенной - на порядок - разницей в весовых коэффициентах). Однако,
количество данных (9) настолько мало, что проверка гипотезы о статистической
значимости коэффициента корреляции дает отрицательный результат (наблюдаемое
значение критерия Стьюдента 2,19 при критическом для уровня значимости 0,05
значении критерия Стьюдента 2,97). Поэтому реальным выводом является
необходимость увеличения объема выборки.
Критериальный анализ
Постановка задачи. При составлении планов
развития киноиндустрии важно определить набор критериев, значения которых могут
быть использованы в качестве показателей развития отрасли. С учетом важности
процесса кинопроизводства для стимулирования позитивных явлений в общественной
жизни страны, разработка критериев развития необходима как для планирования,
так и для контроля выполнения планов и не должна сводится к количеству
выпущенных фильмов и сериалов или к финансовым результатам проката.
Задачи государственного управления развитием отрасли
неоднократно формулируются и, при отсутствии противоречий, полностью не совпадают
Схема целей государственной поддержки кинематографии представлена на рис. 6.
Как правило, однако, заявленные цели не поддерживаются легко
измеримыми показателями, за исключением валовых и финансовых. В результате
показателями роста кинопроизводства выступают количественные - число
кинофильмов, количество копий, интенсивность просмотра и финансовые - сбор в
рублях и долларах США, наработка на копию.
Даже эти критерии либо не дают объективной картины:
количество зрителей видимо стоило бы рассчитывать за определенный период; иначе
сравнивать этот показатель для фильмов различной даты реализации некорректно,
либо пик зрительского интереса настолько скоротечен, что общий сбор картин,
выпущенных в прокат с промежутком в полгода можно сравнивать между собой.
Проблема определения критерия развития кинематографической
отрасли связана с тем, что:
1. Цели, стоящие перед отраслью весьма разноплановы.
2. Для ряда целей не существует наработанного метода
измерения уровня успешности.
. Методика должна учитывать различия между
кинопроизводством, производством телевизионных фильмов и сериалов, работой
киностудий, процессов кинотеатрального проката, видеодистрибьюции и
телевидением, иначе говоря, интегральная оценка должна учитывать «интересы
основных участников рынка аудиовизуальной продукции».
Вариационный анализ
Постановка задачи. Пусть дана информация о
случайной величине в виде вариационного ряда. Требуется описать спектр данной
случайной величины; с помощью функциональных преобразований случайной величины
показать особенности распределения. Вариационный анализ позволяет выявить
искажения статистической картины, полученные за счет усреднения величин.
В качестве примеров рассмотрим распределение кинотеатров по
федеральным округам, таблицу распределения государственной поддержки по
направлениям, анализ концентрации предприятий киноиндустрии, жанровое
распределение продукции и анализ конкурентного положения на рынке по
результатам регистрации.
Распределение кинотеатров по федеральным округам.
Таблица преобразований вариационного ряда с учетом населения
- таблица 5. Среднее квадратическое отклонение величины X: «количество
залов на 1 млн человек» существенно падает (с 10,63 до 2,73) при исключении из
ряда Москвы и Санкт-Петербурга. После исключения двух мегаполисов, можно рассматривать
это распределение как равномерное по федеральным округам. Вместе с тем, можно
сделать вывод о концентрации кинотеатров в больших городах: не имея
дополнительной информации о расположении кинотеатров вывод о среднем количестве
залов по городам: 3; 5 зала на 1 большой город (более 100 тыс. человек
населения) представляется более обоснованным, чем вывод о 0,5 зала на 1 город с
учетом малых городов.
Таблица 5. Вариационный ряд распределения кинотеатров по
федеральным округам
|
федеральные
округа
|
кинотеатры
|
залы
|
залов на один
кинотеатр
|
население,
тыс. человек
|
городское
население, тыс. человек
|
залов на
миллион человек
|
залов на
миллион городских жителей
|
|
Москва и
Московская обл.
|
104
|
415
|
3,99
|
17183
|
15886
|
24,15
|
26,12
|
|
Санкт-Петербург
|
36
|
185
|
5,14
|
4575
|
4575
|
40,44
|
40,44
|
|
Приволжский ФО
|
121
|
333
|
2,75
|
30200
|
21241
|
11,03
|
15,68
|
|
Центральный ФО
без Москвы и МО
|
116
|
233
|
2,00
|
19953
|
14086
|
11,68
|
16,54
|
|
Сибирский ФО
|
106
|
230
|
2,17
|
19549
|
13845
|
11,77
|
16,61
|
|
Уральский ФО
|
83
|
174
|
2,10
|
12248
|
9753
|
14,21
|
17,84
|
|
Южный ФО
|
74
|
151
|
2,04
|
22868
|
13006
|
6,60
|
11,61
|
|
Дальневосточный
ФО
|
56
|
78
|
1,39
|
6473
|
4808
|
12,05
|
16,22
|
|
Северо-западный
ФО без СПб
|
40
|
65
|
1,63
|
8907
|
6533
|
7,30
|
9,95
|
Распределение государственной поддержки по
направлениям
Распределение государственной поддержки по направлениям
представлено на Рис. 7. Видно, в частности, что на развитие новых технологий
выделено около 1% от общей суммы поддержки. Такое распределение указывает на
различие декларированных и реальных целей развития киноиндустрии: основной
целью является выпуск продукции (85% поддержки), следующей по значимости -
продвижение продукции на рынке, третьей - качество продукции.
Рис. 7. Распределение государственной поддержки
кинематографией по направлениям
Рис. 8. Распределение программ общенациональных эфирных
телеканалов по жанрам
Аналогичные результаты можно получить и путем анализа
жанровой структуры программ общенациональных эфирных телеканалов (рис. 8).
Пентильное распределение эфира выглядит следующим образом: художественные
фильмы, телесериалы, развлекательные программы, коммерческие и информационные
программы, остальные программы. Выбор структуры вещания, методика
программирования на телевидении подчинена задачам управления вниманием
аудитории, взаимодействия со зрителем, управления культурно-эстетическим
уровнем аудитории. Программирование вещания телеканала формирует программную
политику телевидения, а значит, непосредственно связано с целями
функционирования телевидения.
Анализ концентрации предприятий киноиндустрии
Анализ концентрации предприятий киноиндустрии проведен на основе
индекса предприятий. Результаты анализа представлены в таблице 6. На основе
распределения предприятий по городам России можно сделать вывод о чрезмерной
концентрации предприятий в г. Москве. Индекс концентрации Герфиндаля показывает
как неравномерность распределения, так и количество элементов в спектре: он
оценивает значение плотности распределения (наблюдаемой частоты попадания
реализаций в заданный интервал - значение этих частот для i-го
интервала, выраженную в процентах, обозначим ni) в точке моды
распределения. Индекс Герфиндаля рассчитывается, как 
. Расчетное значение индекса Герфиндаля G=7642 превышает
граничный Gmax=3000 более чем в 2 раза.
Таблица 6. Распределение предприятий киноиндустрии по городам
России
|
Предприятия
|
М
|
СПб
|
Екб
|
ВВ
|
НР
|
ХМ
|
НС
|
ДД
|
|
Профессиональные
ассоциации и объединения
|
5
|
|
1
|
1
|
|
|
|
|
|
Кинокомпании
|
34
|
5
|
1
|
|
|
|
|
|
|
Производители
телевизионных фильмов и сериалов
|
16
|
2
|
|
|
|
|
|
|
|
Киностудии и
рентал-хаусы
|
13
|
2
|
1
|
|
1
|
1
|
|
|
|
Сервисные
компании
|
13
|
1
|
|
|
|
|
|
|
|
Кинодистрибьюторы
|
25
|
1
|
|
|
|
|
|
|
|
Видеодистрибьюторы
|
20
|
|
|
|
|
|
|
|
|
Кинотеатральные
сети
|
7
|
1
|
1
|
|
|
|
1
|
|
|
Телевизионные
каналы
|
19
|
1
|
|
|
|
|
|
|
|
Фестивали
|
13
|
2
|
1
|
1
|
|
|
|
1
|
|
Премии
|
5
|
|
|
|
|
|
|
|
|
Рынки,
выставки, ярмарки
|
5
|
1
|
|
|
|
|
|
|
|
Всего
|
175
|
16
|
5
|
2
|
1
|
1
|
1
|
1
|
|
(87%)
|
(8%)
|
(2%)
|
(1%)
|
(2%)
|
Анализ конкурентоспособности
Анализ конкурентоспособности российских фильмов проведен на
основе данных о регистрации фильмов; результаты представлены в таблице 7.
Реализация государственной политики управления кинематографии
приводит к приоритету российской продукции при регистрации, что свидетельствует
о ее конкурентоспособности на внутреннем рынке.
Качество продукции подтверждается также относительно высоким
процентом российских игровых фильмов - лауреатов национальных
кинематографических премий среди всех законченных производством в 2008 году при
финансовой поддержке государства - 22,6%.
Таблица 7. Регистрация кинопродукции в России в 2008 году
|
Россия
|
США
|
Франция
|
Великобритания
|
Прочие
|
|
кино
|
|
|
|
|
|
|
Игровые
|
237
|
148
|
25
|
14
|
46
|
|
Анимационные
|
30
|
12
|
4
|
0
|
12
|
|
Неигровые
|
21
|
5
|
5
|
4
|
1
|
|
Всего
|
288
|
165
|
34
|
18
|
59
|
|
видео
|
|
|
|
|
|
|
Игровые
|
875
|
1611
|
184
|
163
|
704
|
|
Анимационные
|
243
|
315
|
46
|
12
|
216
|
|
Неигровые
|
1796
|
23
|
208
|
798
|
|
Всего
|
2914
|
2469
|
253
|
383
|
1718
|
Рис. 9. Доля кинопродукции, регистрированной в 2008 года
Модель
ухудшающего отбора
Чтобы исследовать модель ухудшающего отбора, нужно проследить
поведение производителя некоммерческой продукции (символических услуг) как
элемента социально-экономической системы.
Под понятием «социально-экономическая система» понимается
совокупность ресурсов и экономических субъектов (социально-экономическая
структура), образующих единое целое, взаимосвязанных и взаимодействующих между
собой в сфере производства, распределения, обмена и потребления товаров и
услуг, востребованных во внешней среде.
Производители символических услуг - это авторы творческого
изделия: творцы, исполнители, ученые, дизайнеры.
Потребитель отдает свои деньги за услугу, которая
удовлетворит его моральные потребности. Влияние этой услуги внешне никак не
проявится, потому как, потребитель платит деньги за товар, который вызывает у
него эмоции, а какие именно эмоции - положительные или отрицательные - заранее
предугадать нельзя.
Деньги могут отражать ценность материального носителя
эстетики, но саму эстетическую ценность культурного продукта измеряют далеко не
всегда. (Отсюда парадокс однородных цен на музыкальные диски, книги, фильмы).
Предположим, за плохой и хороший фильм потребитель отдал одни и те же деньги,
то в этом случаевозникает ситуация, которая в экономике называется
потребительским излишком. Если бы потребитель знал, что понравится/не
понравится фильм, он бы согласился принять большую / меньшую цену.
Система цен в культуре, как правило, не рассчитана на то,
чтобы выявлять потребительский излишек и обращать его в пользу производителя
товара высокого качества. Производитель, возможно, и мог бы создать более
качественный продукт, но не делает этого, поскольку за большее качество не
доплачивают, и к тому же возникает риск отклониться от массового вкуса.
Выпустив же некачественное изделие и выдав его за качественное, он мало чем
рискует.
Современное общество лицом к лицу столкнулось с проблемой
«ухудшающего отбора».
Ухудшающий отбор - это ситуация, когда
производитель сознательно выпускает на рынок дешевые товары низкого качества,
за счет чего, он планирует получить максимальную прибыль.
Нобелевский лауреат, ДжоржАкерлоф в своей работе «Рынок
лимонов»: неопределенность качества и рыночный механизм» описал понятие «Рынок
лимонов» как пример ухудшающего отбора. В США лимонами называют подержанные
автомобили; они «выжаты, как лимон» но на глаз это трудно определить.
Главный постулат его работы таков: «Если потребитель не может
достаточно точно предсказать итоги своего выбора, то данная отрасль подвластна
тенденции ухудшающего (неблагоприятного) отбора: хорошие товары вытесняются
суррогатами, и их относительная доля падает»
В условиях неполной информации у покупателя велик риск
приобрести не то, что хотелось: ведь хорошие и плохие автомобили продаются по
одной цене, а отличить первые от вторых непросто.
Не в лучшем положении оказываются и продавцы нормальных,
небитых автомобилей, бывших ранее в употреблении.
В результате на рынке «лимонов» действует ухудшающий отбор:
хорошие машины остаются в руках владельцев, а плохие возвращаются для
перепродажи. В конце концов, если не принять мер, плохие автомобили могут
вытеснить хорошие, и рынок будет разрушен.
Проектируя данную проблему на сферу культуры, можно
обнаружить, что работает этот механизм по такому же принципу:
Когда человек выбирает какой-либо фильм, он руководствуется
информацией, которая представлена в СМИ, формирует свое мнение и делится им со
своими товарищами, а те со своими и так далее по цепочке. Однако, у всех разные
вкусы, человек может не получить ожидаемого результата, но потраченные время и
деньги вернуть он не сможет.
Таким образом, компания, создающая кино, заведомо выпуская
фильм низкого качества практически ничем не рискует, потому что цена за
просмотр кино будет такой же как цена за билет на фильм низкого качества.
То есть из-за неверной информации, представление о
символическом качестве фильма у потребителя изначально неверное, так что он
идет на риск, покупая билет на тот или иной фильм.
где 
- выручка,
p - цена,
q
- количество людей, которые за цену p надеются получить удовольствие от просмотра,
Прибыль продавца будет рассчитываться:
Значит:
где 
- качество
отдельного товара на рынке.
Модель
достижения максимальной прибыли
Данная модель составляется из расчета, что любая фирма
стремится к максимуму прибыли в результате своей деятельности.
Рост качества продукции имеет ограничители
двоякого рода: научно-технические достижения и производственный потенциал
общества, обусловливающий величину затрат совокупного общественного труда,
необходимых на создание и использование продукции. Обществу небезразлично то
количество труда, которое требуется на создание конкретной продукции и
удовлетворение ею общественной потребности. С экономической точки зрения
целесообразно не любое повышение качества изделий, а только такое, которое
соответствует общественным потребностям и удовлетворяет эти потребности с
наименьшими затратами. Высокое качество продукции - свидетельство достижения
максимальной экономии труда на удовлетворение определенной потребности за счет
оптимизации затрат труда на стадиях изготовления и потребления продукции.
По мере снижения качества продукции
возрастает необходимость дополнительных затрат труда в обществе на
удовлетворение общественной потребности. Так, при снижении надежности и срока
службы технических устройств возрастают расходы на ремонт и техническое
обслуживание. Если это касается бытовой техники, то возрастают потери рабочего
и свободного времени, возникающие из-за необходимости ее ремонта.
Повышение качества обеспечивает заметную
экономию средств предприятий и фирм - изготовителей продукции. Несмотря на
первоначальные затраты, экономия средств настолько велика, что фирмы могут
пересмотреть цены на свои товары в сторону их понижения, что значительно
повышает их конкурентоспособность, увеличивая долю этих товаров на рынке с
сохранением и даже ростом прибыли.
Удовлетворение общественных потребностей
осуществляется через два аспекта продукции: ее качество и количество. Эти два
аспекта продукции в определенных пределах взаимозаменяемы в удовлетворении
потребностей. Отдельная единица продукции с данным уровнем качества способна
удовлетворить единичную потребность. Весь объем удовлетворяемой потребности в
данной продукции определяется произведением ее количества на уровень ее качества.
Таким образом, заданный объем потребностей можно удовлетворить меньшим
количеством продукции при более высоком ее качестве.
Постановка задачи: предприятие работает на
рынке, выпускает определенную продукцию качества k с интенсивностью g(k), которую потом продает по
цене p,
но при этом несет издержки c (g, k).
Целью предприятия является:
) Получение прибыли:
2) Производство при ограничении на
издержки (эксплуатация оборудования):
при 
3) Производство с
ограничениеминтенсивности:
при 
В большинстве случаев улучшение качества
стимулирует рост объемов потребления, а, следовательно, и производства. Это
обусловлено тем, что новое, более высокое качество дает импульсы развитию
общественного производства и повышению уровня жизни людей.
Заключение
В данной работе было описано понятие
некоммерческих организаций, изучена эффективность их работы, так же рассмотрены
способы повышения эффективности производства некоммерческих продуктов.
Рассмотрены модели управления качеством продукции некоммерческих организаций на
примере киноиндустрии.
Проведены корреляционный анализ, который
показал, что для составления наиболее полной картины отрасли анализировать
нужно большую выборку (скажем, 100-200 фильмов), критериальный анализ, в
результате которого мы выяснили, что из-за стремительной скорости изменения
зрительского интереса к той или иной картине (жанру), можно сравнивать между
собой общий сбор картин, выпущенных в прокат с промежутком в полгода, а так же
вариационный анализ распределения кинотеатров по регионам, и степени
государственной поддержки киноотрасли.
Исследование показало, что количество
неигровых фильмов значительно превышает количество игровых и анимационных, и
именно на их производство государство выделяет наибольшее количество средств.
Так же выяснилось, что наибольшее число предприятий киноиндустрии сосредоточено
в Москве, на втором месте идет Санкт-Петербург.
Кроме того, в ходе исследования был
выведен ряд формул, позволяющих определить взаимосвязь прибыли и критериев
качества.
В результате исследования было выявлено,
что невозможно применить какой-либо один вид анализа для составления
долгосрочного плана. В ходе работы мы выяснили, что для оценки качества в
данной отрасли по всем критериям необходимо проводить комплексный анализ с
использованием всех рассмотренных моделей.
Список литературы
символический качество
товар модель долгосрочный
1. Государственный
Стандарт Российской Федерации 15467-79. Управление качеством продукции.
2. Государственный
Стандарт Российской Федерации Р 50691-94. Модель обеспечения качества услуг.
. Федеральный
Закон Российской Федерации «О некоммерческих организациях» №7-ФЗ, 12.01.1996.
. Гражданский
кодекс Российской Федерации №51-ФЗ
. Дж.
Акерлоф «Рынок лимонов»: неопределенность качества и рыночный механизм/ Thesis, 1994 г. [Электронный
ресурс] http://wwvv.dofa.ru/Dumnaja/4_PRIET/Akerlof.pdf
6. Амелькин
С.А., д.э.н. Скорчеллетти Д.С., Егорова М.В. Долгосрочное экономическое
планирование для отраслей культуры на примере кинематографии // Актуальные
вопросы экономических наук. Сб. статей - Новосибирск, 2010., 247 с
. Амелькин
С.А., Сафарова Э.А. Социальная модель поведения как противодействие
производственной. // Актуальные вопросы экономических наук. Сб. статей -
Новосибирск, 2010., 247 с
. Андреев
С.Н. Маркетинг в некоммерческой сфере: теоретический аспект // Маркетинг в
России и за рубежом. - 2000. - № №4. - С. 23-30.
. К.А.
Багриновский, В.М. Матюшок Экономико-математические методы и модели
(микроэкономика): Учеб.пособие. - М.: Изд-во РУДН, 1999. - 183 с: ил.
. Бутова,
Т.Г. Маркетинговые исследования культурного досуга // Маркетинг в России и за
рубежом. - М., 2000. №3. - С. 36-44.
. Виханский
О.С., Наумов А.И. Менеджмент: человек, стратегия, организация, процесс. - М.:
Из-во Московского университета, 1995.
. Долгин
А. Экономика символического обмена - М.: Из-во Инфра-М, 2006. 630 с.
. Информационно-аналитический
бюллетень «Российская кинематография 2008» / И. Каллистов, З. Шумова, Е.
Виноградова [и др.] - М.: ОАО «Информкино», 2008, 64 с.
. Кобец
Е.А. Планирование на предприятии. Учебное пособие. - Таганрог, ТРТУ, 2006.
. Мишин
В.М. Управление качеством 2-е изд., перераб. и доп. - М.: Юнити-Дана, 2005. - 463
с.
. Прохоров
Ю.К. Управление качеством - СПб: СПбГУИТМО, 2007. 144 с.
. Терентьева
И.В. Эффективность работы некоммерческих организаций: опыт и критерии оценки./
Аналитические доклады Общественной палаты РТ, 2011 [Электронный ресурс]
http://oprt.tatarstan.ru/rus/dokladi.html? page=1
. Ульянова
М.А. Особенности маркетинга кинорынка и специфика кинопродукции как объекта
маркетинга // Маркетинг в России и за рубежом. - 2000. №2.
. Фатхутдинов
Р.А. Производственный менеджмент. Учебник для ВУЗов. - СПб.: Питер, 2003. - 491
с.
. Цирлин
А.М. Оптимальное управление технологическими процессами. М.: Энергоиздат, 1986.